miRNAs and Hematological Markers in Non-Alcoholic Fatty Liver Disease—A New Diagnostic Path?
Abstract
1. Introduction
2. Materials and Methods
Statistical Analysis
3. Results
4. Discussion
5. Conclusions
Author Contributions
Funding
Institutional Review Board Statement
Informed Consent Statement
Data Availability Statement
Acknowledgments
Conflicts of Interest
References
- Estes, C.; Anstee, Q.M.; Arias-Loste, M.T.; Bantel, H.; Bellentani, S.; Caballeria, J.; Colombo, M.; Craxi, A.; Crespo, J.; Day, C.P.; et al. Modeling NAFLD disease burden in China, France, Germany, Italy, Japan, Spain, United Kingdom, and United States for the period 2016–2030. J Hepatol. 2018, 69, 896–904. [Google Scholar] [CrossRef] [PubMed]
- Feng, X.; Zhang, R.; Yang, Z.; Zhang, K.; Xing, J. Mechanism of Metabolic Dysfunction-associated Steatotic Liver Disease: Important role of lipid metabolism. J. Clin. Transl. Hepatol. 2024, 12, 815. [Google Scholar] [CrossRef] [PubMed]
- Abdelhameed, F.; Kite, C.; Lagojda, L.; Dallaway, A.; Chatha, K.K.; Chaggar, S.S.; Dalamaga, M.; Kassi, E.; Kyrou, I.; Randeva, H.S. Non-invasive Scores and Serum Biomarkers for Fatty Liver in the Era of Metabolic Dysfunction-associated Steatotic Liver Disease (MASLD): A Comprehensive Review from NAFLD to MAFLD and MASLD. Curr. Obes. Rep. 2024, 13, 510–531. [Google Scholar] [CrossRef] [PubMed]
- Ma, N.; Tan, J.; Chen, Y.; Yang, L.; Li, M.; He, Y. MicroRNAs in metabolic dysfunction-associated diseases: Pathogenesis and therapeutic opportunities. FASEB J. 2024, 38, e70038. [Google Scholar] [CrossRef] [PubMed]
- Gjorgjieva, M.; Sobolewski, C.; Dolicka, D.; Correia De Sousa, M.; Foti, M. miRNAs and NAFLD: From pathophysiology to therapy. Gut 2019, 68, 2065–2079. [Google Scholar] [CrossRef]
- Long, J.K.; Dai, W.; Zheng, Y.W.; Zhao, S.P. miR-122 promotes hepatic lipogenesis via inhibiting the LKB1/AMPK pathway by targeting Sirt1 in non-alcoholic fatty liver disease. Mol. Med. 2019, 25, 26. [Google Scholar] [CrossRef]
- He, Y.; Hwang, S.; Cai, Y.; Kim, S.; Xu, M.; Yang, D.; Guillot, A.; Feng, D.; Seo, W.; Hou, X.; et al. MicroRNA-223 Ameliorates Nonalcoholic Steatohepatitis and Cancer by Targeting Multiple Inflammatory and Oncogenic Genes in Hepatocytes. Hepatology 2019, 70, 1150–1167. [Google Scholar] [CrossRef]
- Vu-Hoai, N.; Ly-Phuc, D.; Duong-Minh, N.; Tran-Ngoc, N.; Nguyen-Dang, K. Predictive value of neutrophil-to-lymphocyte ratio for adverse outcomes in hospitalized patients with acute exacerbation of chronic obstructive pulmonary disease: A retrospective study. Medicine 2024, 103, e39797. [Google Scholar] [CrossRef] [PubMed]
- Lambrecht, J.; Verhulst, S.; Reynaert, H.; Van Grunsven, L.A. The miRFIB-Score: A Serological miRNA-Based Scoring Algorithm for the Diagnosis of Significant Liver Fibrosis. Cells 2019, 8, 1003. [Google Scholar] [CrossRef]
- Michalak, A.; Guz, M.; Kozicka, J.; Cybulski, M.; Jeleniewicz, W.; Szczygieł, K.; Tywanek, E.; Cichoż-Lach, H. microRNAs and Other Serological Markers of Liver Fibrosis in Patients with Alcohol-Related Liver Cirrhosis. Biomedicines 2024, 12, 2108. [Google Scholar] [CrossRef] [PubMed]
- Mohamed, A.A.; Abo-Elmatty, D.M.; Ezzat, O.; Mesbah, N.M.; Ali, N.S.; Abd El Fatah, A.S.; Alsayed, E.; Hamada, M.; Hassnine, A.A.; Abd-Elsalam, S.; et al. Pro-Neurotensin as a Potential Novel Diagnostic Biomarker for Detection of Nonalcoholic Fatty Liver Disease. Diabetes Metab. Syndr. Obes. Targets Ther. 2022, 15, 1935–1943. [Google Scholar] [CrossRef] [PubMed]
- Carmona-Maurici, J.; Ricart-Jané, D.; Viñas, A.; López-Tejero, M.D.; Eskubi-Turró, I.; Miñarro, A.; Baena-Fustegueras, J.A.; Peinado-Onsurbe, J.; Pardina, E. Circulating miRNAs as Biomarkers of Subclinical Atherosclerosis associated to Severe Obesity before and after Bariatric Surgery. Obes. Facts 2024, 17, 602–612. [Google Scholar] [CrossRef] [PubMed]
- Ozuynuk-Ertugrul, A.S.; Ekici, B.; Erkan, A.F.; Coban, N. Alteration of circulating miRNAs during myocardial infarction and association with lipid levels. Lab. Med. 2024, 55, 361–372. [Google Scholar] [CrossRef] [PubMed]
- Martinez-Arroyo, O.; Ortega, A.; Flores-Chova, A.; Sanchez-Garcia, B.; Garcia-Garcia, A.B.; Chaves, F.J.; Martin-Escudero, J.C.; Forner, M.J.; Redon, J.; Cortes, R. High miR-126-3p levels associated with cardiovascular events in a general population. Eur. J. Intern. Med. 2023, 113, 49–56. [Google Scholar] [CrossRef] [PubMed]
- Akaray, I.; Ozal, S.A.; Sancar, H.; Ozal, E.; Ayaz, L. miR-124, miR-126-3p, and miR-200b: Potential therapeutic targets for VEGF-mediated complications in proliferative diabetic retinopathy. Indian J. Ophthalmol. 2024. Available online: https://journals.lww.com/10.4103/IJO.IJO_1791_24 (accessed on 28 December 2024). [CrossRef] [PubMed]
- Li, C.; Dong, Y.; Zhang, Y.; Wu, C. Clinical significance of lncRNA XIST expression in cholangiocarcinoma and its effect on cell migration and invasion. Clin. Res. Hepatol. Gastroenterol. 2024, 48, 102398. [Google Scholar] [CrossRef]
- Dong, L.; Hu, C.; Ma, Z.; Huang, Y.; Shelley, G.; Kuczler, M.D.; Kim, C.J.; Witwer, K.W.; Keller, E.T.; Amend, S.R.; et al. Urinary extracellular vesicle-derived miR-126-3p predicts lymph node invasion in patients with high-risk prostate cancer. Med. Oncol. 2024, 41, 169. [Google Scholar] [CrossRef]
- Hassanin, A.A.I.; Ramos, K.S. Circulating Exosomal miRNA Profiles in Non-Small Cell Lung Cancers. Cells 2024, 13, 1562. [Google Scholar] [CrossRef] [PubMed]
- Gondaliya, P.; Driscoll, J.; Yan, I.K.; Ali Sayyed, A.; Patel, T. Therapeutic restoration of miR-126-3p as a multi-targeted strategy to modulate the liver tumor microenvironment. Hepatol. Commun. 2024, 8, e0373. Available online: https://journals.lww.com/10.1097/HC9.0000000000000373 (accessed on 27 September 2024). [CrossRef]
- Moirangthem, A.; Gondaliya, P.; Yan, I.; Sayyed, A.; Driscoll, J.; Patel, T. Extracellular vesicle-mediated miR-126-3p transfer contributes to inter-cellular communication in the liver tumor microenvironment. Int. J. Oncol. 2023, 62, 31. [Google Scholar] [CrossRef] [PubMed]
- Yıldırım, N.O.; Balcı, Ş.; Tamer, L. Reduced expression of miRNAs as potential biomarkers in axial spondyloarthritis. Rev. Assoc. Médica Bras. 2024, 70, e20231521. [Google Scholar] [CrossRef]
- Wilk, M.M.; Wilk, J.; Urban, S.; Gajewski, P. Current Review of Heart Failure-Related Risk and Prognostic Factors. Biomedicines 2024, 12, 2560. [Google Scholar] [CrossRef]
- Matsuzaki, J.; Ochiya, T. Extracellular microRNAs and oxidative stress in liver injury: A systematic mini review. J. Clin. Biochem. Nutr. 2018, 63, 6–11. [Google Scholar] [CrossRef] [PubMed]
- Fang, K.; Fang, D.L.; Yu, H.; Chen, Y.A.; Yu, P.Z.; Wang, Z.F.; Zhang, R.B.; Yang, W.; Tao, L.; Fukushima, H.; et al. Exploring the microRNA-mRNA regulatory network associated with solasonine in bladder cancer. Transl. Androl. Urol. 2024, 13, 812–827. [Google Scholar] [CrossRef] [PubMed]
- Hsa_circ_0072765 knockdown inhibits proliferation, activation and migration in transforming growth factor-beta (TGF-β)-induced hepatic stellate cells (HSCs) by the miR-197-3p/TRPV3 axis. Histol. Histopathol. 2023, 38, 1295–1306.
- Xia, Y.; Zhang, Y.; Wang, H. Upregulated lncRNA HCG18 in Patients with Non-Alcoholic Fatty Liver Disease and Its Regulatory Effect on Insulin Resistance. Diabetes Metab. Syndr. Obes. Targets Ther. 2021, 14, 4747–4756. [Google Scholar] [CrossRef] [PubMed]
- Cabral, B.C.A.; Hoffmann, L.; Bottaro, T.; Costa, P.F.; Ramos, A.L.A.; Coelho, H.S.M.; Villela-Nogueira, C.A.; Ürményi, T.P.; Faffe, D.S.; Silva, R. Circulating microRNAs associated with liver fibrosis in chronic hepatitis C patients. Biochem. Biophys. Rep. 2020, 24, 100814. [Google Scholar] [CrossRef]
- Navarro-Villarán, E.; Cruz PD, L.; Contreras, L.; González, R.; Negrete, M.; Rodríguez-Hernández, M.A. Molecular Pathways Leading to Induction of Cell Death and Anti-Proliferative Properties by Tacrolimus and mTOR Inhibitors in Liver Cancer Cells. Cell Physiol. Biochem. 2020, 54, 457–473. [Google Scholar] [PubMed]
- Ashirbekov, Y.; Khamitova, N.; Satken, K.; Abaildayev, A.; Pinskiy, I.; Yeleussizov, A.; Yegenova, L.; Kairanbayeva, A.; Kadirshe, D.; Utegenova, G.; et al. Circulating MicroRNAs as Biomarkers for the Early Diagnosis of Lung Cancer and Its Differentiation from Tuberculosis. Diagnostics 2024, 14, 2684. [Google Scholar] [CrossRef]
- Wang, Z.; Wang, H. Acyl-CoA Thioesterase 8 (ACOT8) is a Poor Prognostic Biomarker in Breast Cancer. Pharmacogenomics Pers. Med. 2024, 17, 403–421. [Google Scholar] [CrossRef] [PubMed]
- Zhou, T.; Nguyen, S.; Wu, J.; He, B.; Feng, Q. LncRNA LOC730101 Promotes Darolutamide Resistance in Prostate Cancer by Suppressing miR-1-3p. Cancers 2024, 16, 2594. [Google Scholar] [CrossRef] [PubMed]
- Tadros, S.A.; Attia, Y.M.; Maurice, N.W.; Fahim, S.A.; Abdelwahed, F.M.; Ibrahim, S.; Badary, O.A. Thymoquinone Suppresses Angiogenesis in DEN-Induced Hepatocellular Carcinoma by Targeting miR-1-3p. Int. J. Mol. Sci. 2022, 23, 15904. [Google Scholar] [CrossRef] [PubMed]
- Gu, W.; Yang, Y.; Liu, J.; Xue, J.; Zhao, H.; Mao, L.; Zhao, S. Tumor-derived exosomes promote macrophages M2 polarization through miR-1-3p and regulate the progression of liver cancer. Mol. Immunol. 2023, 162, 64–73. [Google Scholar] [CrossRef] [PubMed]
- Tarim, B. The role of serum biomarkers in determining systemic inflammation and cardiovascular risk in pseudoexfoliation syndrome. Int. Ophthalmol. 2024, 45, 15. [Google Scholar] [CrossRef]
- Dejanović, B.; Barak, O.; Čolović, P.; Janjić, N.; Savić, Ž.; Gvozdanović, N.; Ružić, M. Hospital Mortality in Acute Decompensation of Alcoholic Liver Cirrhosis: Can Novel Survival Markers Outperform Traditional Ones? J. Clin. Med. 2024, 13, 6208. [Google Scholar] [CrossRef]
- Niu, Y.; Yuan, X.; Guo, F.; Cao, J.; Wang, Y.; Zhao, X.; Dou, J.; Zeng, Q. Correlation Between NLR Combined with PLR Score and Prognosis of Hepatocellular Carcinoma After Liver Transplantation. Int. J. Gen. Med. 2024, 17, 2445–2453. [Google Scholar] [CrossRef] [PubMed]
- Hao, L.; Dong, J.; Yu, H.; Chen, J.; Han, X.; Pan, Y. Association between platelet-to-lymphocyte ratio and outcomes in HER2-positive advanced breast cancer patients treated with pyrotinib: A retrospective study. Transl. Cancer Res. 2023, 12, 2726–2741. [Google Scholar] [CrossRef] [PubMed]
- Uzeli, Ü.Ş.; Doğan, A.G.; Şahin, T. The Relationship Between Systemic Immune Inflammatory Level and Dry Eye in Patients with Sjögren’s Syndrome. J. Clin. Med. 2024, 13, 6840. [Google Scholar] [CrossRef]
- Wróblewska, A.; Gliwiński, M.; Rybicka, M.; Cheba, M.; Lorenc, B.; Trzonkowski, P.; Bielawski, K.P.; Sikorska, K. Residual HCV-RNA and Elevated Platelet-to-Lymphocyte Ratio Predict Poor Long-Term Outcomes in Patients with Chronic Hepatitis C After Treatment. Infect Dis. Ther. 2024. Available online: https://link.springer.com/10.1007/s40121-024-01101-2 (accessed on 28 December 2024). [CrossRef]
- Zhang, Z.; Zhang, W.; Liu, Z.; Ou, J.; Sun, Y.; Zhang, L.; Ji, G. Association between systemic inflammation markers and cardiovascular mortality in adults with metabolic dysfunction-associated steatotic liver disease. Nutr. Metab. Cardiovasc. Dis. 2024, 103781. [Google Scholar] [CrossRef] [PubMed]
- Bagheri, S.; Fard, G.B.; Talkhi, N.; Rashidi Zadeh, D.; Mobarra, N.; Mousavinezhad, S.; Khamse, F.M.; Hosseini Bafghi, M. Laboratory Biochemical and Hematological Parameters: Early Predictive Biomarkers for Diagnosing Hepatitis C Virus Infection. J. Clin. Lab. Anal. 2024, 38, e25127. [Google Scholar] [CrossRef]
- Wang, Y.; Chen, S.; Tian, C.; Wang, Q.; Yang, Z.; Che, W.; Li, Y.; Luo, Y. Association of systemic immune biomarkers with metabolic dysfunction-associated steatotic liver disease: A cross-sectional study of NHANES 2007–2018. Front Nutr. 2024, 11, 1415484. [Google Scholar] [CrossRef] [PubMed]
- Liu, K.; Tang, S.; Liu, C.; Ma, J.; Cao, X.; Yang, X.; Zhu, Y.; Chen, K.; Liu, Y.; Zhang, C.; et al. Systemic immune-inflammatory biomarkers (SII, NLR, PLR and LMR) linked to non-alcoholic fatty liver disease risk. Front. Immunol. 2024, 15, 1337241. [Google Scholar] [CrossRef] [PubMed]
- Choe, E.K.; Kang, H.Y. The association between platelet-related parameters and nonalcoholic fatty liver disease in a metabolically healthy nonobese population. Sci. Rep. 2024, 14, 6118. [Google Scholar] [CrossRef]
- Demir, A.D. Relationship of the platelet distribution width/platelet count ratio with thyroid antibody levels in patients with Hashimoto’s thyroiditis. J. Int. Med. Res. 2021, 49, 03000605211043241. [Google Scholar] [CrossRef] [PubMed]
- Ustaoglu, M.; Aktas, G.; Avcioglu, U.; Bas, B.; Bahceci, B.K. Elevated platelet distribution width and red cell distribution width are associated with autoimmune liver diseases. Eur. J. Gastroenterol. Hepatol. 2021, 33, e905–e908. [Google Scholar] [CrossRef] [PubMed]
- Shen, T.; Fan, J.; Zheng, Y.; Luo, Y.; Liu, P. Potential Predictive Value of Platelet Distribution Width for Functional Outcome After Ischemic Stroke. Mol. Neurobiol. 2024. Available online: https://link.springer.com/10.1007/s12035-024-04556-z (accessed on 28 December 2024). [CrossRef] [PubMed]
- Zhou, Z.F.; Hu, C.F.; Gao, M.F.; Jin, X.; Chen, Y.; Wang, D.; Shen, C.X.; Liu, L. The predictive value of serum fibrinogen and platelet distribution width for long-term cardiac death in acute myocardial infarction patients. J. Thorac. Dis. 2024, 16, 5073–5085. [Google Scholar] [CrossRef]
- Song, M.; Zhao, L.; Huang, W.; Cui, M.; Liu, Y.; Wang, R.; Zhang, X. Preoperative platelet distribution width predicts bone metastasis in patients with breast cancer. BMC Cancer 2024, 24, 1066. [Google Scholar] [CrossRef]
- Han, J.; Wang, J.; Wang, Q.; Li, Y.; Li, T.; Zhang, J.; Sun, H. Clinical values of preoperative red blood cell distribution width and platelet parameters in patients with papillary thyroid carcinoma. Oncol. Lett. 2024, 28, 460. [Google Scholar] [CrossRef]
- Duran-Bertran, J.; Rusu, E.C.; Barrientos-Riosalido, A.; Bertran, L.; Mahmoudian, R.; Aguilar, C.; Riesco, D.; Martínez, S.; Ugarte Chicote, J.; Sabench, F.; et al. Platelet-associated biomarkers in nonalcoholic steatohepatitis: Insights from a female cohort with obesity. Eur. J. Clin. Investig. 2024, 54, e14123. [Google Scholar] [CrossRef] [PubMed]
- Duan, Y.; Luo, J.; Pan, X.; Wei, J.; Xiao, X.; Li, J.; Luo, M. Association between inflammatory markers and non-alcoholic fatty liver disease in obese children. Front. Public Health 2022, 10, 991393. [Google Scholar] [CrossRef] [PubMed]
- Kumari, B.; Sharma, S.; Kumar, R.; Dipankar, S.; Naik, B.N.; Banerjee, A.; Kumar, S. Efficacy of Lipid Ratios and Platelet Distribution Width for Assessment of Liver Fibrosis in Patients with Non-alcoholic Fatty Liver Disease. Cureus 2022, 14, e21110. Available online: https://www.cureus.com/articles/76897-efficacy-of-lipid-ratios-and-platelet-distribution-width-for-assessment-of-liver-fibrosis-in-patients-with-non-alcoholic-fatty-liver-disease (accessed on 28 December 2024). [CrossRef]
- Li, L.; Yu, J.; Zhou, Z. Association between platelet indices and non-alcoholic fatty liver disease: A systematic review and meta-analysis. Rev. Esp. Enferm. Dig 2022, 16, 264–273. Available online: https://online.reed.es/fichaArticulo.aspx?iarf=765747230417277-190165231639 (accessed on 28 December 2024). [CrossRef] [PubMed]
- Scarlata, G.G.M.; Ismaiel, A.; Gambardella, M.L.; Leucuta, D.C.; Luzza, F.; Dumitrascu, D.L.; Abenavoli, L. Use of Non-Invasive Biomarkers and Clinical Scores to Predict the Complications of Liver Cirrhosis: A Bicentric Experience. Medicina 2024, 60, 1854. [Google Scholar] [CrossRef] [PubMed]
- Abdel Hammed, M.R.; El-Amien, H.A.; Asham, M.N.; Elgendy, S.G. Can platelets indices and blood neutrophil to lymphocyte ratio be used as predictors for diagnosis of spontaneous bacterial peritonitis in decompensated post hepatitis liver cirrhosis? Egypt. J. Immunol. 2022, 29, 12–24. [Google Scholar] [CrossRef]
- Todor, S.B.; Ichim, C.; Boicean, A.; Mihaila, R.G. Cardiovascular Risk in Philadelphia-Negative Myeloproliferative Neoplasms: Mechanisms and Implications—A Narrative Review. Curr. Issues Mol. Biol. 2024, 46, 8407–8423. [Google Scholar] [CrossRef]
- Boccatonda, A.; Del Cane, L.; Marola, L.; D’Ardes, D.; Lessiani, G.; Di Gregorio, N.; Ferri, C.; Cipollone, F.; Serra, C.; Santilli, F.; et al. Platelet, Antiplatelet Therapy and Metabolic Dysfunction-Associated Steatotic Liver Disease: A Narrative Review. Life 2024, 14, 473. [Google Scholar] [CrossRef]
- Gwag, T.; Lee, S.; Li, Z.; Newcomb, A.; Otuagomah, J.; Weinman, S.A.; Liang, Y.; Zhou, C.; Wang, S. Platelet-derived thrombospondin 1 promotes immune cell liver infiltration and exacerbates diet-induced steatohepatitis. JHEP Rep. 2024, 6, 101019. [Google Scholar] [CrossRef]
- Malladi, N.; Alam, M.J.; Maulik, S.K.; Banerjee, S.K. The role of platelets in non-alcoholic fatty liver disease: From pathophysiology to therapeutics. Prostaglandins Other Lipid Mediat. 2023, 169, 106766. [Google Scholar] [CrossRef]
- Abdulaziz, B.A.; Bendary, A.M.; Thabet, A.; Behery, E.G.; Salah, M.; Khalil, M.A.; Rashad, G. Novel predictors of early atherosclerosis in nonalcoholic fatty liver disease. Clin. Exp. Hepatol. 2023, 9, 106–114. [Google Scholar] [CrossRef]
- Karaoğullarindan, Ü.; Üsküdar, O.; Odabaş, E.; Saday, M.; Akkuş, G.; Delik, A.; Gümürdülü, Y.; Kuran, S. Is mean platelet volume a simple marker of non-alcoholic fatty liver disease? Indian J. Gastroenterol. 2023, 42, 219–225. [Google Scholar] [CrossRef] [PubMed]
- Tobaruela-Resola, A.L.; Milagro, F.I.; Elorz, M.; Benito-Boillos, A.; Herrero, J.I.; Mogna-Peláez, P.; Tur, J.A.; Martínez, J.A.; Abete, I.; Zulet, M.Á. Circulating miR-122-5p, miR-151a-3p, miR-126-5p and miR-21-5p as potential predictive biomarkers for Metabolic Dysfunction-Associated Steatotic Liver Disease assessment. J. Physiol. Biochem. 2024; online ahead of print. Available online: https://link.springer.com/10.1007/s13105-024-01037-8 (accessed on 30 September 2024).
- Soluyanova, P.; Quintás, G.; Pérez-Rubio, Á.; Rienda, I.; Moro, E.; Van Herwijnen, M.; Verheijen, M.; Caiment, F.; Pérez-Rojas, J.; Trullenque-Juan, R.; et al. The Development of a Non-Invasive Screening Method Based on Serum microRNAs to Quantify the Percentage of Liver Steatosis. Biomolecules 2024, 14, 1423. [Google Scholar] [CrossRef] [PubMed]
- Aghaei, S.M.; Hosseini, S.M. Inflammation-related miRNAs in obesity, CVD, and NAFLD. Cytokine 2024, 182, 156724. [Google Scholar] [CrossRef] [PubMed]
- He, R.R.; Yue, G.L.; Dong, M.L.; Wang, J.Q.; Cheng, C. Sepsis Biomarkers: Advancements and Clinical Applications—A Narrative Review. Int. J. Mol. Sci. 2024, 25, 9010. [Google Scholar] [CrossRef]
- Zhang, T.; Yang, Y.H.; Liu, Y.P.; Zhang, T.N.; Yang, N. Regulatory role of noncoding RNA in sepsis and sepsis-associated organ dysfunction: An updated systematic review. Shock 2022, 58, 434–456. Available online: https://journals.lww.com/10.1097/SHK.0000000000002000 (accessed on 12 January 2025). [CrossRef]
- Formosa, A.; Turgeon, P.; Dos Santos, C.C. Role of miRNA dysregulation in sepsis. Mol. Med. 2022, 28, 99. [Google Scholar] [CrossRef]
- Maiese, A.; Scatena, A.; Costantino, A.; Chiti, E.; Occhipinti, C.; La Russa, R.; Di Paolo, M.; Turillazzi, E.; Frati, P.; Fineschi, V. Expression of MicroRNAs in Sepsis-Related Organ Dysfunction: A Systematic Review. Int. J. Mol. Sci. 2022, 23, 9354. [Google Scholar] [CrossRef] [PubMed]
- Bindayna, K. MicroRNA as Sepsis Biomarkers: A Comprehensive Review. Int. J. Mol. Sci. 2024, 25, 6476. [Google Scholar] [CrossRef]
- Nong, A.; Li, Q.; Huang, Z.; Xu, Y.; He, K.; Jia, Y.; Cen, Z.; Liao, L.; Huang, Y. MicroRNA miR-126 attenuates brain injury in septic rats via NF-κB signaling pathway. Bioengineered 2021, 12, 2639–2648. [Google Scholar] [CrossRef] [PubMed]
- Chen, C.; Zhang, L.; Huang, H.; Liu, S.; Liang, Y.; Xu, L.; Li, S.; Cheng, Y.; Tang, W. Serum miR-126-3p level is down-regulated in sepsis patients. Int. J. Clin. Exp. Pathol. 2018, 11, 2605–2612. [Google Scholar]
- Mao, X.; Wu, Y.; Xu, W. miR-126-5p expression in the plasma of patients with sepsis-induced acute lung injury and its correlation with inflammation and immune function. Clin. Respir. J. 2023, 17, 629–637. [Google Scholar] [CrossRef] [PubMed]
- Liu, M.; Zhang, Y.; Cao, X.; Shi, T.; Yan, Y. miR-197 Participates in Lipopolysaccharide-Induced Cardiomyocyte Injury by Modulating SIRT1. Cardiol. Res. Pract. 2022, 2022, 7687154. [Google Scholar] [CrossRef] [PubMed]
- Chen, Y.L.; Xie, Y.J.; Liu, Z.M.; Chen, W.B.; Zhang, R.; Ye, H.X.; Wang, W.; Liu, X.Y.; Chen, H.S. Omega-3 fatty acids impair miR-1-3p-dependent Notch3 down-regulation and alleviate sepsis-induced intestinal injury. Mol. Med. 2022, 28, 9. [Google Scholar] [CrossRef] [PubMed]
- Xie, Q.; Wei, M.; Kang, X.; Liu, D.; Quan, Y.; Pan, X.; Liu, X.; Liao, D.; Liu, J.; Zhang, B. Reciprocal inhibition between miR-26a and NF-κB regulates obesity-related chronic inflammation in chondrocytes. Biosci. Rep. 2015, 35, e00204. [Google Scholar] [CrossRef] [PubMed]
- Liu, Y.; Xu, X.Y.; Shen, Y.; Ye, C.F.; Hu, N.; Yao, Q.; Lv, X.Z.; Long, S.L.; Ren, C.; Lang, Y.Y.; et al. Ghrelin protects against obesity-induced myocardial injury by regulating the lncRNA H19/miR-29a/IGF-1 signalling axis. Exp. Mol. Pathol. 2020, 114, 104405. [Google Scholar] [CrossRef] [PubMed]
- Sun, B.; Zhang, Y.; Zhang, M.; Liu, R.; Yang, W. Gene therapy targeting miR-212-3p exerts therapeutic effects on MAFLD similar to those of exercise. Int. J. Mol. Med. 2023, 51, 16. [Google Scholar] [CrossRef] [PubMed]


| Parameter | NAFLD n = 97 | CONTROLS n = 110 | TOGETHER n = 207 |
|---|---|---|---|
| sex (m/w) | 35/62 | 57/53 | 92/115 |
| age (years) (x ± s; me; min—max) | 60 ± 15; 62; 22–90 | 43 ± 15; 39; 20–85 | 52 ± 15; 54; 20–90 |
| BMI (kg/m2) (x ± s; me; min—max) | 29.37 ± 4.92; 28.69; 16.26–43.01 | 22.89 ± 2.38; 23.45; 16.18–36.99 | - |
| type 2 diabetes | 27/97 | - | - |
| arterial hypertension | 53/97 | - | - |
| Parameter [Reference Range] | NAFLD | CONTROLS | p [NAFLD vs. CONTROLS] | ||
|---|---|---|---|---|---|
| me | s | me | s | ||
| albumin [3.2–4.8 g/dL] | 3.96 | 0.56 | 4.09 | 0.45 | 0.004 |
| bilirubin [0.3–1.2 g/dL] | 0.9 | 1.39 | 0.7 | 0.27 | <0.0001 |
| creatinine [0.5–1.1 g/dL] | 0.8 | 0.29 | 0.7 | 0.81 | 0.001 |
| INR [0.8–1.2] | 1.08 | 0.29 | 1.08 | 0.11 | 0.053 |
| PT [10.4–13 s] | 12 | 3.32 | 11.7 | 0.8 | 0.02 |
| AST [<34 IU/L] | 34 | 60 | 22 | 7 | <0.0001 |
| ALT [<31 IU/L] | 34 | 128 | 21 | 8 | <0.0001 |
| GGTP [<31 IU/L] | 32 | 367 | 21 | 6 | <0.0001 |
| BARD score | 2 | 1 | - | - | - |
| NAFLD fibrosis score | −1.16 | 1.5 | - | - | - |
| Parameter [Reference Range] | NAFLD | CONTROLS | p [NAFLD vs. CONTROLS] | ||
|---|---|---|---|---|---|
| me | s | me | s | ||
| miR-126-3p [amol/μL] | 4.38 | 13.81 | 0.38 | 1.22 | <0.0001 |
| miR-197-3p [amol/μL] | 0.00 | 1.104 | 0.39 | 2.67 | 0.00003 |
| miR-1-3p [amol/μL] | 0.18 | 1.94 | 0.00 | 0.78 | <0.0001 |
| Parameter [Reference Range] | NAFLD | CONTROLS | p [NAFLD vs. CONTROLS] | ||
|---|---|---|---|---|---|
| me | s | me | s | ||
| PLT [130–400 × 109/L] | 233 | 80 | 288 | 61 | 0.003 |
| MPV [8–11 fL] | 7.8 | 0.88 | 9 | 0.88 | <0.0001 |
| MPR | 0.03 | 0.03 | 0.03 | 0.01 | 0.81 |
| PDW [40–60%] | 55.1 | 8.17 | 51.2 | 5.63 | 0.0002 |
| PCT [0.12–0.3%] | 0.19 | 0.08 | 0.21 | 0.05 | 0.655 |
| RDW [11–15%] | 14.25 | 2.28 | 13.38 | 1.1 | 0.011 |
| RPR | 0.06 | 0.02 | 0.05 | 0.01 | 0.000003 |
| NEU [2.5–5 × 103/μL] | 4.67 | 2.25 | 3.71 | 1.13 | 0.013 |
| LYM [1.5–3.5 × 103/μL] | 1.72 | 0.78 | 2.3 | 0.69 | <0.0001 |
| NLR | 3.35 | 2.77 | 1.78 | 0.94 | <0.0001 |
| PLR | 184.27 | 128.61 | 138.65 | 60.42 | 0.013 |
| RLR | 10.74 | 8.74 | 6.44 | 2.29 | <0.0001 |
| Parameter | NAFLD | CONTROLS | p [NAFLD vs. CONTROLS] | ||
|---|---|---|---|---|---|
| me | s | me | s | ||
| AAR | 0.96 | 0.53 | 1.09 | 0.38 | 0.077 |
| APRI | 0.46 | 1.02 | 0.23 | 0.12 | <0.0001 |
| FIB-4 | 1.54 | 1.59 | 0.72 | 0.48 | <0.0001 |
| GPR | 0.44 | 5.48 | 0.24 | 0.09 | <0.0001 |
| Parameter | NAFLD | CONTROLS | p [NAFLD vs. CONTROLS] | ||
|---|---|---|---|---|---|
| me | s | me | s | ||
| PICP (ng/mL) | 46.08 | 26.62 | 44.18 | 37.39 | 0.231 |
| PIIINP (ng/mL) | 11.00 | 4.016 | 10.25 | 5.61 | 0.08 |
| PDGF-AB (pg/mL) | 26,682.83 | 7003.17 | 25,623.2 | 10,068.8 | 0.028 |
| TGF-α (pg/mL) | 12.09 | 18.65 | 24.59 | 17.21 | <0.0001 |
| Laminin (ng/mL) | 375.23 | 231.69 | 663.27 | 386.1 | <0.0001 |
| NAFLD | ||
|---|---|---|
| Pair of Markers | R Spearman | p |
| miR-197-3p and PDW | −0.202 | 0.048 |
| miR-197-3p and PLR | 0.212 | 0.037 |
| Parameter | NAFLD | |
|---|---|---|
| Diagnostic Accuracy of the Marker | ||
| AUC | p | |
| miR-126-3p | 0.716 | <0.0001 |
| miR-197-3p | 0.672 | <0.0001 |
| miR-1-3p | - | - |
| PLT | 0.646 | 0.0002 |
| MPV | 0.842 | <0.0001 |
| MPR | 0.510 | 0.813 |
| PDW | 0.649 | 0.0001 |
| PCT | 0.574 | 0.065 |
| RDW | 0.603 | 0.009 |
| RPR | 0.694 | <0.0001 |
| NLR | 0.764 | <0.0001 |
| PLR | 0.600 | 0.012 |
| RLR | 0.740 | <0.0001 |
| GPR | 0.731 | <0.0001 |
| AAR | 0.573 | 0.076 |
| APRI | 0.831 | <0.0001 |
| FIB-4 | 0.823 | <0.0001 |
| PICP | 0.557 | 0.237 |
| PIIINP | 0.583 | 0.076 |
| PDGF-AB | 0.603 | 0.029 |
| TGF-α | 0.774 | <0.0001 |
| Laminin | 0.767 | <0.0001 |
| Parameter | NAFLD | ||||
|---|---|---|---|---|---|
| Cut-Off | Sensitivity [%] | Specificity [%] | PPV [%] | NPV [%] | |
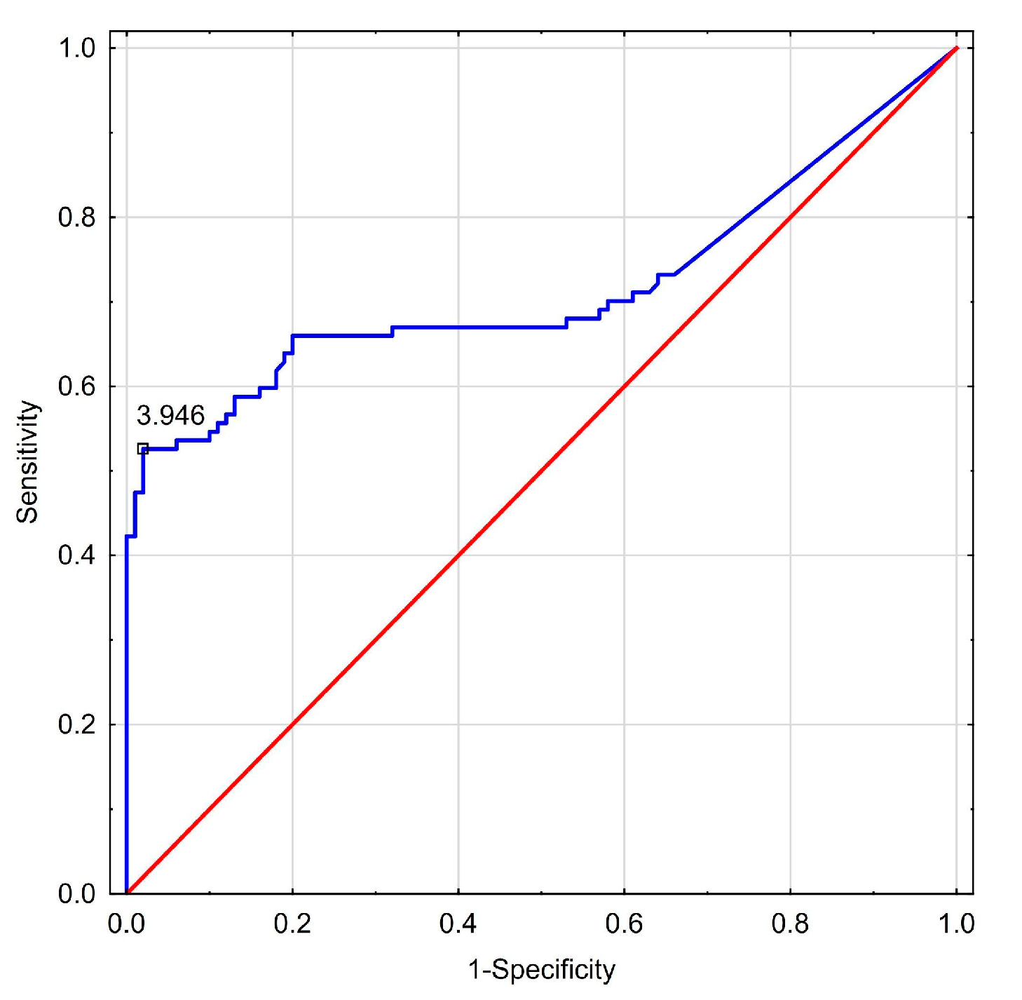
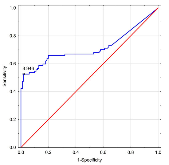
| miR-126-3p [amol/μL] | >3.95 | 53 | 98 | 96 | 68 |
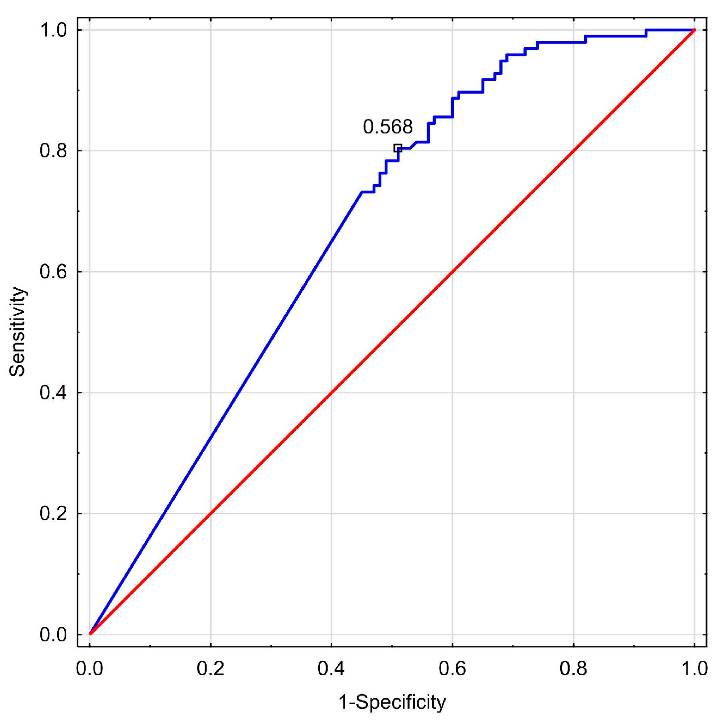
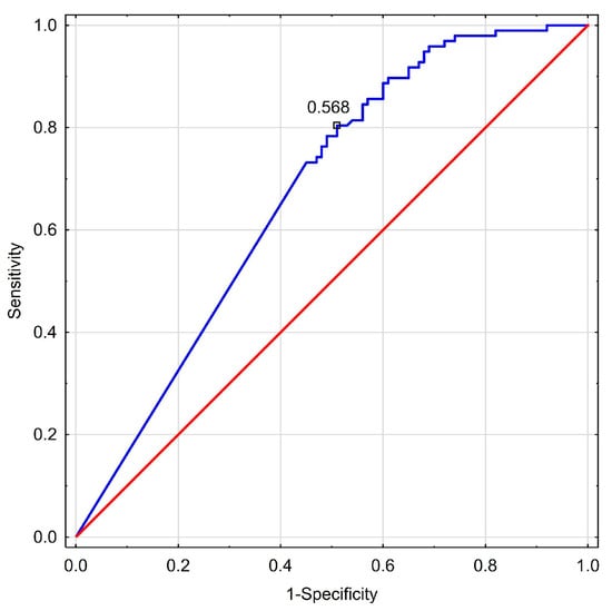
| miR-197-3p [amol/μL] | <0.57 | 80 | 49 | 60 | 78 |
| miR-1-3p [amol/μ] | - | - | - | - | - |
| PLT [130–400 × 109/L] | <230 | 50 | 82 | 71 | 65 |
| MPV [fl] | <7.9 | 54 | 100 | 100 | 71 |
| MPR | >0.04 | 32 | 79 | 57 | 57 |
| PDW [%] | >55.1 | 51 | 77 | 66 | 64 |
| PCT [%] | <0.17 | 40 | 76 | 59 | 59 |
| RDW [%] | >12.8 | 86 | 34 | 53 | 73 |
| RPR | >0.06 | 63 | 85 | 84 | 65 |
| NLR | >2.02 | 70 | 75 | 72 | 74 |
| PLR | <237.64 | 23 | 93 | 73 | 58 |
| RLR | >6.57 | 76 | 63 | 64 | 75 |
| AAR | >1.04 | 58 | 95 | 92 | 69 |
| APRI | <0.31 | 61 | 59 | 60 | 60 |
| FIB-4 | >1.18 | 74 | 82 | 80 | 76 |
| GPR | >0.38 | 68 | 84 | 80 | 73 |
| PICP (ng/mL) | >67.04 | 85 | 32 | 61 | 63 |
| PIIINP (ng/mL) | >11.38 | 51 | 68 | 66 | 52 |
| PDGF-AB (pg/mL) | >19,609.76 | 91 | 34 | 63 | 74 |
| TGF-α (pg/mL) | <13.37 | 63 | 85 | 84 | 65 |
| Laminin (ng/mL) | <438.25 | 67 | 79 | 80 | 66 |
Disclaimer/Publisher’s Note: The statements, opinions and data contained in all publications are solely those of the individual author(s) and contributor(s) and not of MDPI and/or the editor(s). MDPI and/or the editor(s) disclaim responsibility for any injury to people or property resulting from any ideas, methods, instructions or products referred to in the content. |
© 2025 by the authors. Licensee MDPI, Basel, Switzerland. This article is an open access article distributed under the terms and conditions of the Creative Commons Attribution (CC BY) license (https://creativecommons.org/licenses/by/4.0/).
Share and Cite
Michalak, A.; Guz, M.; Kozicka, J.; Cybulski, M.; Jeleniewicz, W.; Telejko, I.; Szczygieł, K.; Tywanek, E.; Cichoż-Lach, H. miRNAs and Hematological Markers in Non-Alcoholic Fatty Liver Disease—A New Diagnostic Path? Biomedicines 2025, 13, 230. https://doi.org/10.3390/biomedicines13010230
Michalak A, Guz M, Kozicka J, Cybulski M, Jeleniewicz W, Telejko I, Szczygieł K, Tywanek E, Cichoż-Lach H. miRNAs and Hematological Markers in Non-Alcoholic Fatty Liver Disease—A New Diagnostic Path? Biomedicines. 2025; 13(1):230. https://doi.org/10.3390/biomedicines13010230
Chicago/Turabian StyleMichalak, Agata, Małgorzata Guz, Joanna Kozicka, Marek Cybulski, Witold Jeleniewicz, Ilona Telejko, Karolina Szczygieł, Ewa Tywanek, and Halina Cichoż-Lach. 2025. "miRNAs and Hematological Markers in Non-Alcoholic Fatty Liver Disease—A New Diagnostic Path?" Biomedicines 13, no. 1: 230. https://doi.org/10.3390/biomedicines13010230
APA StyleMichalak, A., Guz, M., Kozicka, J., Cybulski, M., Jeleniewicz, W., Telejko, I., Szczygieł, K., Tywanek, E., & Cichoż-Lach, H. (2025). miRNAs and Hematological Markers in Non-Alcoholic Fatty Liver Disease—A New Diagnostic Path? Biomedicines, 13(1), 230. https://doi.org/10.3390/biomedicines13010230

