The Effect of Prebiotics, Alone or as Part of Synbiotics, on Cardiometabolic Parameters in Women with Polycystic Ovary Syndrome: A Systematic Review and Meta-Analysis of Randomized Controlled Trials
Abstract
1. Introduction
2. Materials and Methods
2.1. Data Sources and Search Strategies
2.2. Search Strategy
2.3. Study Selection Criteria and Outcomes and Prioritization
2.4. Data Extraction
2.5. Assessment of Risk of Bias and Quality of Evidence
2.6. Statistical Analyses
3. Results
3.1. Flow of Studies
3.2. Risk of Bias and Quality of Evidence
3.3. Characteristics of Included Studies
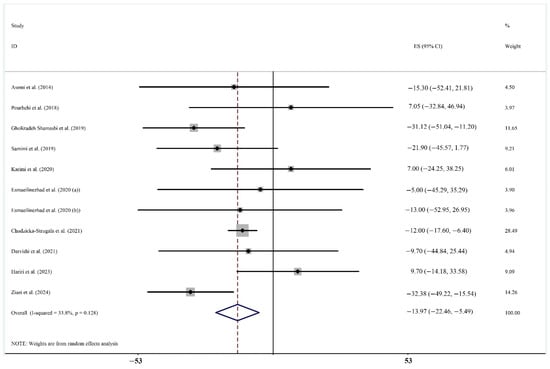
3.4. Meta-Analysis
3.4.1. Primary Outcomes
3.4.2. Secondary Outcomes
3.5. Blood Pressure [Systolic Blood Pressure (SBP) and Diastolic Blood Pressure (DBP)]
3.6. Outcomes Not Included in the Meta-Analysis
3.7. Publication Bias and Sensitivity Analyses
4. Discussion
5. Conclusions
Supplementary Materials
Author Contributions
Funding
Institutional Review Board Statement
Informed Consent Statement
Data Availability Statement
Acknowledgments
Conflicts of Interest
References
- Azziz, R.; Woods, K.S.; Reyna, R.; Key, T.J.; Knochenhauer, E.S.; Yildiz, B.O. The prevalence and features of the polycystic ovary syndrome in an unselected population. J. Clin. Endocrinol. Metab. 2004, 89, 2745–2749. [Google Scholar] [CrossRef] [PubMed]
- Singh, S.; Pal, N.; Shubham, S.; Sarma, D.K.; Verma, V.; Marotta, F.; Kumar, M. Polycystic Ovary Syndrome: Etiology, Current Management, and Future Therapeutics. J. Clin. Med. 2023, 12, 1454. [Google Scholar] [CrossRef] [PubMed]
- Liu, R.; Zhang, C.; Shi, Y.; Zhang, F.; Li, L.; Wang, X.; Ling, Y.; Fu, H.; Dong, W.; Shen, J.; et al. Dysbiosis of Gut Microbiota Associated with Clinical Parameters in Polycystic Ovary Syndrome. Front. Microbiol. 2017, 8, 324. [Google Scholar] [CrossRef]
- Sola-Leyva, A.; Pérez-Prieto, I.; Molina, N.M.; Vargas, E.; Ruiz-Durán, S.; Leonés-Baños, I.; Canha-Gouveia, A.; Altmäe, S. Microbial composition across body sites in polycystic ovary syndrome: A systematic review and meta-analysis. Reprod. Biomed. Online 2023, 47, 129–150. [Google Scholar] [CrossRef]
- Li, P.; Shuai, P.; Shen, S.; Zheng, H.; Sun, P.; Zhang, R.; Lan, S.; Lan, Z.; Jayawardana, T.; Yang, Y.; et al. Perturbations in gut microbiota composition in patients with polycystic ovary syndrome: A systematic review and meta-analysis. BMC Med. 2023, 21, 302. [Google Scholar] [CrossRef]
- Banaszewska, B.; Siakowska, M.; Chudzicka-Strugala, I.; Chang, R.J.; Pawelczyk, L.; Zwozdziak, B.; Spaczynski, R.; Duleba, A.J. Elevation of markers of endotoxemia in women with polycystic ovary syndrome. Hum. Reprod. 2020, 35, 2303–2311. [Google Scholar] [CrossRef]
- Davani-Davari, D.; Negahdaripour, M.; Karimzadeh, I.; Seifan, M.; Mohkam, M.; Masoumi, S.J.; Berenjian, A.; Ghasemi, Y. Prebiotics: Definition, Types, Sources, Mechanisms, and Clinical Applications. Foods 2019, 8, 92. [Google Scholar] [CrossRef] [PubMed]
- John, G.K.; Wang, L.; Nanavati, J.; Twose, C.; Singh, R.; Mullin, G. Dietary Alteration of the Gut Microbiome and Its Impact on Weight and Fat Mass: A Systematic Review and Meta-Analysis. Genes 2018, 9, 167. [Google Scholar] [CrossRef]
- Beserra, B.T.; Fernandes, R.; do Rosario, V.A.; Mocellin, M.C.; Kuntz, M.G.; Trindade, E.B. A systematic review and meta-analysis of the prebiotics and synbiotics effects on glycaemia, insulin concentrations and lipid parameters in adult patients with overweight or obesity. Clin. Nutr. 2015, 34, 845–858. [Google Scholar] [CrossRef]
- Xu, C.; Marques, F.Z. How Dietary Fibre, Acting via the Gut Microbiome, Lowers Blood Pressure. Curr. Hypertens. Rep. 2022, 24, 509–521. [Google Scholar] [CrossRef] [PubMed]
- Angoorani, P.; Ejtahed, H.S.; Ettehad Marvasti, F.; Taghavi, M.; Mohammadpour Ahranjani, B.; Hasani-Ranjbar, S.; Larijani, B. The effects of probiotics, prebiotics, and synbiotics on polycystic ovarian syndrome: An overview of systematic reviews. Front. Med. 2023, 10, 1141355. [Google Scholar] [CrossRef]
- Talebi, S.; Zeraattalab-Motlagh, S.; Jalilpiran, Y.; Payandeh, N.; Ansari, S.; Mohammadi, H.; Djafarian, K.; Ranjbar, M.; Sadeghi, S.; Taghizadeh, M.; et al. The effects of pro-, pre-, and synbiotics supplementation on polycystic ovary syndrome: An umbrella review of meta-analyses of randomized controlled trials. Front. Nutr. 2023, 10, 1178842. [Google Scholar] [CrossRef]
- Higgins, J.P.T.; Thomas, J.; Chandler, J.; Cumpston, M.; Li, T.; Page, M.J.; Welch, V.A. (Eds.) Cochrane Handbook for Systematic Reviews of Interventions; Version 6.4; Wiley Blackwell: Hoboken, NJ, USA, 2024. [Google Scholar]
- The Rotterdam ESHRE/ASRM-Sponsored PCOS Consensus Workshop Group. Revised 2003 consensus on diagnostic criteria and long-term health risks related to polycystic ovary syndrome. Fertil. Steril. 2004, 81, 19–25. [Google Scholar] [CrossRef] [PubMed]
- Tosti, V.; Bertozzi, B.; Fontana, L. Health Benefits of the Mediterranean Diet: Metabolic and Molecular Mechanisms. J. Gerontol. A Biol. Sci. Med. Sci. 2018, 73, 318–326. [Google Scholar] [CrossRef] [PubMed]
- Cena, H.; Calder, P.C. Defining a Healthy Diet: Evidence for The Role of Contemporary Dietary Patterns in Health and Disease. Nutrients 2020, 12, 334. [Google Scholar] [CrossRef]
- Wan, X.; Wang, W.; Liu, J.; Tong, T. Estimating the sample mean and standard deviation from the sample size, median, range and/or interquartile range. BMC Med. Res. Methodol. 2014, 14, 135. [Google Scholar] [CrossRef] [PubMed]
- Jonathan, A.C.S.; Jelena, S.; Matthew, J.P.; Roy, G.E.; Natalie, S.B.; Isabelle, B.; Christopher, J.C.; Hung-Yuan, C.; Mark, S.C.; Sandra, M.E.; et al. RoB 2: A revised tool for assessing risk of bias in randomised trials. BMJ 2019, 366, l4898. [Google Scholar] [CrossRef]
- Guyatt, G.; Oxman, A.D.; Akl, E.A.; Kunz, R.; Vist, G.; Brozek, J.; Norris, S.; Falck-Ytter, Y.; Glasziou, P.; deBeer, H.; et al. GRADE guidelines: 1. Introduction—GRADE evidence profiles and summary of findings tables. J. Clin. Epidemiol. 2011, 64, 383–394. [Google Scholar] [CrossRef]
- Matthias, E.; George Davey, S.; Martin, S.; Christoph, M. Bias in meta-analysis detected by a simple, graphical test. BMJ 1997, 315, 629. [Google Scholar] [CrossRef]
- Duval, S.; Tweedie, R. Trim and fill: A simple funnel-plot-based method of testing and adjusting for publication bias in meta-analysis. Biometrics 2000, 56, 455–463. [Google Scholar] [CrossRef]
- Agowska, K.Ł.; Kapczuk, K. Effects of nutritional intervention with or without metformin on insulin resistance in adolescents with polycystic ovary syndrome: A preliminary study. Prog. Nutr. 2021, 23, e2021015. [Google Scholar] [CrossRef]
- Garcia-Beltran, C.; Malpique, R.; Carbonetto, B.; Gonzalez-Torres, P.; Henares, D.; Brotons, P.; Munoz-Almagro, C.; Lopez-Bermejo, A.; de Zegher, F.; Ibanez, L. Gut microbiota in adolescent girls with polycystic ovary syndrome: Effects of randomized treatments. Pediatr. Obes. 2021, 16, 11. [Google Scholar] [CrossRef] [PubMed]
- Nybacka, A.; Hellstrom, P.M.; Hirschberg, A.L. Increased fibre and reduced trans fatty acid intake are primary predictors of metabolic improvement in overweight polycystic ovary syndrome—Substudy of randomized trial between diet, exercise and diet plus exercise for weight control. Clin. Endocrinol. 2017, 87, 680–688. [Google Scholar] [CrossRef]
- Haudum, C.; Lindheim, L.; Ascani, A.; Trummer, C.; Horvath, A.; Munzker, J.; Obermayer-Pietsch, B. Impact of Short-Term Isoflavone Intervention in Polycystic Ovary Syndrome (PCOS) Patients on Microbiota Composition and Metagenomics. Nutrients 2020, 12, 1622. [Google Scholar] [CrossRef] [PubMed]
- Lagowska, K.; Drzymala-Czyz, S. A low glycemic index, energy-restricted diet but not Lactobacillus rhamnosus supplementation changes fecal short-chain fatty acid and serum lipid concentrations in women with overweight or obesity and polycystic ovary syndrome. Eur. Rev. Med. Pharmacol. Sci. 2022, 26, 917–926. [Google Scholar] [PubMed]
- Lagowska, K.; Kapczuk, K. Lactobacillus rhamnosus has no beneficial effect on anthropometric parameters, carbohydrate metabolism and androgen status in women with polycystic ovary syndrome. Women Health 2022, 62, 336–347. [Google Scholar] [CrossRef] [PubMed]
- Rashad, N.M.; El-Shal, A.S.; Amin, A.I.; Soliman, M.H. Effects of probiotics supplementation on macrophage migration inhibitory factor and clinical laboratory feature of polycystic ovary syndrome. J. Funct. Food. 2017, 36, 317–324. [Google Scholar] [CrossRef]
- Zhang, J.C.; Sun, Z.H.; Jiang, S.M.; Bai, X.Y.; Ma, C.C.; Peng, Q.N.; Chen, K.N.; Chang, H.B.; Fang, T.Y.; Zhang, H.P. Probiotic Bifidobacterium lactis V9 Regulates the Secretion of Sex Hormones in Polycystic Ovary Syndrome Patients through the Gut-Brain Axis. mSystems 2019, 4, 16. [Google Scholar] [CrossRef]
- Arab, A.; Hossein-Boroujerdi, M.; Moini, A.; Sepidarkish, M.; Shirzad, N.; Karimi, E. Effects of probiotic supplementation on hormonal and clinical outcomes of women diagnosed with polycystic ovary syndrome: A double-blind, randomized, placebo-controlled clinical trial. J. Funct. Food. 2022, 96, 105203. [Google Scholar] [CrossRef]
- Dall’Oglio, F.; Milani, M.; Micali, G. Effects of oral supplementation with FOS and GOS prebiotics in women with adult acne: The “S.O. Sweet” study: A proof-of-concept pilot trial. Clin. Cosmet. Investig. Dermatol. 2018, 11, 445–449. [Google Scholar] [CrossRef]
- Fu, L.; Li, Y.; Bian, Y.; Wang, Q.; Li, J.; Wang, Y.; Zhang, T.; Zou, X.; Cui, L.; Chen, Z. The Nutritional Intervention Improves the Metabolic Profile of Overweight and Obese PCOS Along with the Differences in Gut Microbiota. Reprod. Sci. 2023, 30, 2210–2218. [Google Scholar] [CrossRef] [PubMed]
- Baillargeon, J.P.; Iuorno, M.J.; Jakubowicz, D.J.; Apridonidze, T.; He, N.; Nestler, J.E. Metformin Therapy Increases Insulin-Stimulated Release of D-Chiro-Inositol-Containing Inositolphosphoglycan Mediator in Women with Polycystic Ovary Syndrome. J. Clin. Endocrinol. Metab. 2004, 89, 242–249. [Google Scholar] [CrossRef] [PubMed][Green Version]
- Cheang, K.I.; Baillargeon, J.P.; Essah, P.A.; Ostlund, R.E., Jr.; Apridonize, T.; Islam, L.; Nestler, J.E. Insulin-stimulated release of d-chiro-inositol-containing inositolphosphoglycan mediator correlates with insulin sensitivity in women with polycystic ovary syndrome. Metab. Clin. Exp. 2008, 57, 1390–1397. [Google Scholar] [CrossRef]
- De Leo, V.; La Marca, A.; Cappelli, V.; Stendardi, A.; Focarelli, R.; Musacchio, M.C.; Piomboni, P. Evaluation of the treatment with D-chiroinositol on levels of oxidative stress in PCOS patients. Minerva Ginecol. 2012, 64, 531–538. [Google Scholar] [PubMed]
- Le Donne, M.; Metro, D.; Alibrandi, A.; Papa, M.; Benvenga, S. Effects of three treatment modalities (diet, myoinositol or myoinositol associated with D-chiro-inositol) on clinical and body composition outcomes in women with polycystic ovary syndrome. Eur. Rev. Med. Pharmacol. Sci. 2019, 23, 2293–2301. [Google Scholar] [CrossRef] [PubMed]
- Hernandez Marin, I.; Picconi, O.; Laganà, A.S.; Costabile, L.; Unfer, V. A multicenter clinical study with myo-inositol and alpha-lactalbumin in Mexican and Italian PCOS patients. Eur. Rev. Med. Pharmacol. Sci. 2021, 25, 3316–3324. [Google Scholar] [CrossRef] [PubMed]
- Iuorno, M.J.; Jakubowicz, D.J.; Baillargeon, J.P.; Dillon, P.; Gunn, R.D.; Allan, G.; Nestler, J.E. Effects of d-chiro-inositol in lean women with the polycystic ovary syndrome. Endocr. Pract. 2002, 8, 417–423. [Google Scholar] [CrossRef]
- Jamilian, M.; Foroozanfard, F.; Kavossian, E.; Kia, M.; Aghadavod, E.; Amirani, E.; Asemi, Z. Effects of Chromium and Carnitine Co-supplementation on Body Weight and Metabolic Profiles in Overweight and Obese Women with Polycystic Ovary Syndrome: A Randomized, Double-Blind, Placebo-Controlled Trial. Biol. Trace Elem. Res. 2020, 193, 334–341. [Google Scholar] [CrossRef]
- Manzoor, F.; Nisa, M.U.; Shakoor, A.; Hussain, L.; Mahmood, A.; Younas, A. Effect of sodium alginate supplementation on weight management and reproductive hormones in polycystic females. Food Funct. 2022, 13, 9847–9855. [Google Scholar] [CrossRef] [PubMed]
- Mirgaloybayat, S.; Akbari Sene, A.; Jayervand, F.; Vazirian, M.; Mohazzab, A.; Kazerooni, M. Comparison of the Effect of Fenugreek and Metformin on Clinical and Metabolic Status of Cases with Polycystic Ovary Syndrome: A Randomized Trial. J. Reprod. Infertil. 2024, 25, 120–132. [Google Scholar] [CrossRef] [PubMed]
- Wang, X.; Xu, T.; Liu, R.; Wu, G.; Gu, L.; Zhang, Y.; Zhang, F.; Fu, H.; Ling, Y.; Wei, X.; et al. High-Fiber Diet or Combined With Acarbose Alleviates Heterogeneous Phenotypes of Polycystic Ovary Syndrome by Regulating Gut Microbiota. Front. Endocrinol. 2022, 12, 806331. [Google Scholar] [CrossRef]
- Johnson, L.K.; Holven, K.B.; Nordstrand, N.; Mellembakken, J.R.; Tanbo, T.; Hjelmesaeth, J. Fructose content of low calorie diets: Effect on cardiometabolic risk factors in obese women with polycystic ovarian syndrome: A randomized controlled trial. Endocr. Connect. 2015, 4, 144–154. [Google Scholar] [CrossRef] [PubMed]
- Kabiri, S.S.; Javanbakht, Z.; Zangeneh, M.; Moludi, J.; Saber, A.; Salimi, Y.; Tandorost, A.; Jamalpour, M. The effects of MIND diet on depression, anxiety, quality of life and metabolic and hormonal status in obese or overweight women with polycystic ovary syndrome: A randomised clinical trial. Br. J. Nutr. 2024, 28, 1–14. [Google Scholar] [CrossRef] [PubMed]
- Borzan, V.; Riedl, R.; Obermayer-Pietsch, B. Probiotic vs. placebo and metformin: Probiotic dietary intervention in polycystic ovary syndrome—A randomized controlled trial. BMC Endocr. Disord. 2023, 23, 82. [Google Scholar] [CrossRef] [PubMed]
- Mei, S.; Ding, J.; Wang, K.; Ni, Z.; Yu, J. Mediterranean Diet Combined With a Low-Carbohydrate Dietary Pattern in the Treatment of Overweight Polycystic Ovary Syndrome Patients. Front. Nutr. 2022, 9, 876620. [Google Scholar] [CrossRef] [PubMed]
- Cincione, I.R.; Graziadio, C.; Marino, F.; Vetrani, C.; Losavio, F.; Savastano, S.; Colao, A.; Laudisio, D. Short-time effects of ketogenic diet or modestly hypocaloric Mediterranean diet on overweight and obese women with polycystic ovary syndrome. J. Endocrinol. Investig. 2023, 46, 769–777. [Google Scholar] [CrossRef]
- Meneghini, C.; Bianco, C.; Galanti, F.; Tamburelli, V.; Dal Lago, A.; Licata, E.; Gallo, M.; Fabiani, C.; Corno, R.; Miriello, D.; et al. The Impact of Nutritional Therapy in the Management of Overweight/Obese PCOS Patient Candidates for IVF. Nutrients 2023, 15, 4444. [Google Scholar] [CrossRef]
- Zohrabi, T.; Nadjarzadeh, A.; Jambarsang, S.; Sheikhha, M.H.; Aflatoonian, A.; Mozaffari-Khosravi, H. Effect of dietary approaches to stop hypertension and curcumin co-administration on glycemic parameters in polycystic ovary syndrome: An RCT. Int. J. Reprod. Biomed. 2024, 22, 689–700. [Google Scholar] [CrossRef] [PubMed]
- Hosseinzadeh-Attar, M.J.; Karimi, E.; Alipoor, E.; Moini, A. Effect of a Synbiotic Supplement on Cardiovascular Risk Factors in Overweight or Obese Patients with Polycystic Ovary Syndrome. J. Clin. Gastroenterol. 2020, 54, S26. [Google Scholar]
- Karamali, M.; Samimi, M.; Bahmani, F.; Foroozanfard, F.; Esmaillzadeh, A. The effects of DASH diet on lipid profiles and biomarkers of oxidative stress in overweight and obese women with polycystic ovary syndrome: A randomised clinical trial. Hum. Reprod. 2014, 29, i315–i316. [Google Scholar] [CrossRef]
- Asemi, Z.; Esmaillzadeh, A. DASH Diet, Insulin Resistance, and Serum hs-CRP in Polycystic Ovary Syndrome: A Randomized Controlled Clinical Trial. Horm. Metab. Res. 2015, 47, 232–238. [Google Scholar] [CrossRef]
- Karimi, E.; Moini, A.; Yaseri, M.; Shirzad, N.; Sepidarkish, M.; Hossein-Boroujerdi, M.; Hosseinzadeh-Attar, M.J. Effects of synbiotic supplementation on metabolic parameters and apelin in women with polycystic ovary syndrome: A randomised double-blind placebo-controlled trial. Br. J. Nutr. 2018, 119, 398–406, Erratum in Br. J. Nutr. 2020, 124, 479. https://doi.org/10.1017/S0007114520001488. [Google Scholar] [CrossRef]
- Ni, Z.; Cheng, W.; Ding, J.; Yao, R.; Zhang, D.; Zhai, D.; Zhou, L.; Yu, C. Impact of Buzhong Yiqi Prescription on the Gut Microbiota of Patients with Obesity Manifesting Polycystic Ovarian Syndrome. Evid.-Based Complement. Altern. Med. 2021, 2021, 6671367. [Google Scholar] [CrossRef] [PubMed]
- Oliva, M.M.; Buonomo, G.; Calcagno, M.; Unfer, V. Effects of myo-inositol plus alphalactalbumin in myo-inositol-resistant PCOS women. J. Ovarian Res. 2018, 11, 38. [Google Scholar] [CrossRef]
- Phy, J.L.; Pohlmeier, A.M.; Cooper, J.A.; Watkins, P.; Spallholz, J.; Harris, K.S.; Berenson, A.B.; Boylan, M. Low Starch/Low Dairy Diet Results in Successful Treatment of Obesity and Co-Morbidities Linked to Polycystic Ovary Syndrome (PCOS). J. Obes. Weight. Loss Ther. 2015, 5, 259. [Google Scholar] [CrossRef] [PubMed]
- Pohlmeier, A.M.; Phy, J.L.; Watkins, P.; Boylan, M.; Spallholz, J.; Harris, K.S.; Cooper, J.A. Effect of a low-starch/low-dairy diet on fat oxidation in overweight and obese women with polycystic ovary syndrome. Appl. Physiol. Nutr. Metab. 2014, 39, 1237–1244. [Google Scholar] [CrossRef] [PubMed]
- Rondanelli, M.; Riva, A.; Petrangolini, G.; Allegrini, P.; Giacosa, A.; Fazia, T.; Bernardinelli, L.; Gasparri, C.; Peroni, G.; Perna, S. Berberine phospholipid is an effective insulin sensitizer and improves metabolic and hormonal disorders in women with polycystic ovary syndrome: A one-group pretest–post-test explanatory study. Nutrients 2021, 13, 3665. [Google Scholar] [CrossRef] [PubMed]
- Chudzicka-Strugała, I.; Kubiak, A.; Banaszewska, B.; Wysocka, E.; Zwozdziak, B.; Siakowska, M.; Pawelczyk, L.; Duleba, A.J. Six-month randomized, placebo controlled trial of synbiotic supplementation in women with polycystic ovary syndrome undergoing lifestyle modifications. Arch. Gynecol. Obstet. 2024; online ahead of print. [Google Scholar] [CrossRef]
- Dou, P.; Zhang, T.T.; Xu, Y.; Xue, Q.; Zhang, Y.; Shang, J.; Yang, X.L. A Randomized Trial of the Efficacy of Three Weight Loss Diet Interventions in Overweight/Obese with Polycystic Ovary Syndrome. Endocr. Metab. Immune Disord. Drug Targets 2024, 24, 1686–1697. [Google Scholar] [CrossRef]
- Asemi, Z.; Samimi, M.; Tabassi, Z.; Shakeri, H.; Sabihi, S.S.; Esmaillzadeh, A. Effects of DASH diet on lipid profiles and biomarkers of oxidative stress in overweight and obese women with polycystic ovary syndrome: A randomized clinical trial. Nutrition 2014, 30, 1287–1293. [Google Scholar] [CrossRef] [PubMed]
- Azadi-Yazdi, M.; Karimi-Zarchi, M.; Salehi-Abargouei, A.; Fallahzadeh, H.; Nadjarzadeh, A. Effects of Dietary Approach to Stop Hypertension diet on androgens, antioxidant status and body composition in overweight and obese women with polycystic ovary syndrome: A randomised controlled trial. J. Hum. Nutr. Diet. 2016, 30, 275–283. [Google Scholar] [CrossRef] [PubMed]
- Chudzicka-Strugala, I.; Kubiak, A.; Banaszewska, B.; Zwozdziak, B.; Siakowska, M.; Pawelczyk, L.; Duleba, A.J. Effects of Synbiotic Supplementation and Lifestyle Modifications on Women With Polycystic Ovary Syndrome. J. Clin. Endocrinol. Metab. 2021, 106, 2566–2573. [Google Scholar] [CrossRef] [PubMed]
- Darvishi, S.; Rafraf, M.; Asghari-Jafarabadi, M.; Farzadi, L. Synbiotic Supplementation Improves Metabolic Factors and Obesity Values in Women with Polycystic Ovary Syndrome Independent of Affecting Apelin Levels: A Randomized Double-Blind Placebo—Controlled Clinical Trial. Int. J. Fertil. Steril. 2021, 15, 51–59. [Google Scholar] [CrossRef] [PubMed]
- Esmaeilinezhad, Z.; Babajafari, S.; Sohrabi, Z.; Eskandari, M.H.; Amooee, S.; Barati-Boldaji, R. Effect of synbiotic pomegranate juice on glycemic, sex hormone profile and anthropometric indices in PCOS: A randomized, triple blind, controlled trial. Nutr. Metab. Carbiovasc. Dis. 2019, 29, 201–208. [Google Scholar] [CrossRef] [PubMed]
- Esmaeilinezhad, Z.; Barati-Boldaji, R.; Brett, N.R.; de Zepetnek, J.O.T.; Bellissimo, N.; Babajafari, S.; Sohrabi, Z. The effect of synbiotics pomegranate juice on cardiovascular risk factors in PCOS patients: A randomized, triple-blinded, controlled trial. J. Endocrinol. Investig. 2020, 43, 539–548. [Google Scholar] [CrossRef] [PubMed]
- Foroozanfard, F.; Rafiei, H.; Samimi, M.; Gilasi, H.R.; Gorjizadeh, R.; Heidar, Z.; Asemi, Z. The effects of dietary approaches to stop hypertension diet on weight loss, anti-Mullerian hormone and metabolic profiles in women with polycystic ovary syndrome: A randomized clinical trial. Clin. Endocrinol. 2017, 87, 51–58. [Google Scholar] [CrossRef] [PubMed]
- Gholizadeh Shamasbi, S.; Dehgan, P.; Charandabi, S.M.A.; Aliasgarzadeh, A.; Mirghafourvand, M. The effect of resistant dextrin as a prebiotic on metabolic parameters and androgen level in women with polycystic ovarian syndrome: A randomized, triple-blind, controlled, clinical trial. Eur. J. Nutr. 2019, 58, 629–640. [Google Scholar] [CrossRef] [PubMed]
- Gholizadeh Shamasbi, S.; Dehghan, P.; Charandabi, S.-A.; Aliasgarzadeh, A.; Mirghafourvand, M. Effect of prebiotic on anthropometric indices in women with polycystic ovarian syndrome: A triple-blind, randomized, controlled clinical trial. Iran. Red Crescent Med. J. 2018, 20, e67270. [Google Scholar] [CrossRef]
- Karimi, E.; Heshmati, J.; Shirzad, N.; Vesali, S.; Hosseinzadeh-Attar, M.J.; Moini, A.; Sepidarkish, M. The effect of synbiotics supplementation on anthropometric indicators and lipid profiles in women with polycystic ovary syndrome: A randomized controlled trial. Lipids Health Dis. 2020, 19, 60. [Google Scholar] [CrossRef]
- Nasri, K.; Jamilian, M.; Rahmani, E.; Bahmani, F.; Tajabadi-Ebrahimi, M.; Asemi, Z. The effects of synbiotic supplementation on hormonal status, biomarkers of inflammation and oxidative stress in subjects with polycystic ovary syndrome: A randomized, double-blind, placebo-controlled trial. BMC Endocr. Disord. 2018, 18, 21. [Google Scholar] [CrossRef] [PubMed]
- Pourbehi, F.; Ayremlou, P.; Mehdizadeh, A.; Zarrin, R. Effect of Psyllium Supplementation on Insulin Resistance and Lipid Profile in Non-diabetic Women With Polycystic Ovary Syndrome: A Randomized Placebo-Controlled Trial. Int. J. Womens Health Reprod. Sci. 2018, 8, 184–191. [Google Scholar] [CrossRef]
- Samimi, M.; Dadkhah, A.; Haddad Kashani, H.; Tajabadi-Ebrahimi, M.; Seyed Hosseini, E.; Asemi, Z. The Effects of Synbiotic Supplementation on Metabolic Status in Women With Polycystic Ovary Syndrome: A Randomized Double-Blind Clinical Trial. Probiotics Antimicrob. Proteins 2019, 11, 1355–1361. [Google Scholar] [CrossRef] [PubMed]
- Ziaei, R.; Shahshahan, Z.; Ghasemi-Tehrani, H.; Heidari, Z.; Ghiasvand, R. Effects of inulin-type fructans with different degrees of polymerization on inflammation, oxidative stress and endothelial dysfunction in women with polycystic ovary syndrome: A randomized, double-blind, placebo-controlled trial. Clin. Endocrinol. 2022, 97, 319–330. [Google Scholar] [CrossRef]
- Dou, P.; Zhang, T.T.; Xu, Y.; Xue, Q.; Shang, J.; Yang, X.L. Effects of three medical nutrition therapies for weight loss on metabolic parameters and androgen level in overweight/obese patients with polycystic ovary syndrome. Zhonghua Yi Xue Za Zhi 2023, 103, 1035–1041. (In Chinese) [Google Scholar] [CrossRef] [PubMed]
- Hariri, Z.; Yari, Z.; Hoseini, S.; Mehrnami, A.; Abhari, K.; Sohrab, G. Effects of Synbiotic-Containing Bacillus coagulans (GBI-30) on the Cardiovascular Status of Patients With Polycystic Ovary Syndrome: A Triple-blinded, Randomized, Placebo-controlled Study. Clin. Ther. 2023, 45, e193–e199. [Google Scholar] [CrossRef] [PubMed]
- Hariri, Z.; Yari, Z.; Hoseini, S.; Abhari, K.; Sohrab, G. Synbiotic as an ameliorating factor in the health-related quality of life in women with polycystic ovary syndrome. A randomized, triple-blind, placebo-controlled trial. BMC Womens Health 2024, 24, 19. [Google Scholar] [CrossRef] [PubMed]
- Ziaei, R.; Shahshahan, Z.; Ghasemi-Tehrani, H.; Heidari, Z.; Nehls, M.S.; Ghiasvand, R. Inulin-type fructans with different degrees of polymerization improve insulin resistance, metabolic parameters, and hormonal status in overweight and obese women with polycystic ovary syndrome: A randomized double-blind, placebo-controlled clinical trial. Food Sci. Nutr. 2024, 12, 2016–2028. [Google Scholar] [CrossRef]
- Bamigbade, G.B.; Subhash, A.J.; Kamal-Eldin, A.; Nyström, L.; Ayyash, M. An Updated Review on Prebiotics: Insights on Potentials of Food Seeds Waste as Source of Potential Prebiotics. Molecules 2022, 27, 5947. [Google Scholar] [CrossRef]
- Zou, Y.Y.; Liao, R.Y.; Cheng, R.; Chung, H.Y.; Zhu, H.Q.; Huang, Y.F. Alterations of gut microbiota biodiversity and relative abundance in women with PCOS: A systematic review and meta-analysis. Microb. Pathog. 2023, 184, 106370. [Google Scholar] [CrossRef] [PubMed]
- Cotillard, A.; Kennedy, S.P.; Kong, L.C.; Prifti, E.; Pons, N.; Le Chatelier, E.; Almeida, M.; Quinquis, B.; Levenez, F.; Galleron, N.; et al. Dietary intervention impact on gut microbial gene richness. Nature 2013, 500, 585–588. [Google Scholar] [CrossRef] [PubMed]
- Sergeev, I.N.; Aljutaily, T.; Walton, G.; Huarte, E. Effects of Synbiotic Supplement on Human Gut Microbiota, Body Composition and Weight Loss in Obesity. Nutrients 2020, 12, 222. [Google Scholar] [CrossRef]
- Yoo, J.Y.; Kim, S.S. Probiotics and Prebiotics: Present Status and Future Perspectives on Metabolic Disorders. Nutrients 2016, 8, 173. [Google Scholar] [CrossRef] [PubMed]
- Barber, T.M. Why are women with polycystic ovary syndrome obese? Br. Med. Bull. 2022, 143, 4–15. [Google Scholar] [CrossRef] [PubMed]
- Ryan, D.H.; Yockey, S.R. Weight Loss and Improvement in Comorbidity: Differences at 5%, 10%, 15%, and Over. Curr. Obes. Rep. 2017, 6, 187–194. [Google Scholar] [CrossRef]
- Hamman, R.F.; Wing, R.R.; Edelstein, S.L.; Lachin, J.M.; Bray, G.A.; Delahanty, L.; Hoskin, M.; Kriska, A.M.; Mayer-Davis, E.J.; Pi-Sunyer, X.; et al. Effect of weight loss with lifestyle intervention on risk of diabetes. Diabetes Care 2006, 29, 2102–2107. [Google Scholar] [CrossRef] [PubMed]
- Ollila, M.M.; West, S.; Keinänen-Kiukaanniemi, S.; Jokelainen, J.; Auvinen, J.; Puukka, K.; Ruokonen, A.; Järvelin, M.R.; Tapanainen, J.S.; Franks, S.; et al. Overweight and obese but not normal weight women with PCOS are at increased risk of Type 2 diabetes mellitus—A prospective, population-based cohort study. Hum. Reprod. 2017, 32, 423–431. [Google Scholar] [CrossRef]
- Lim, S.S.; Davies, M.J.; Norman, R.J.; Moran, L.J. Overweight, obesity and central obesity in women with polycystic ovary syndrome: A systematic review and meta-analysis. Hum. Reprod. Update 2012, 18, 618–637. [Google Scholar] [CrossRef] [PubMed]
- Berentzen, T.L.; Jakobsen, M.U.; Halkjaer, J.; Tjønneland, A.; Overvad, K.; Sørensen, T.I. Changes in waist circumference and mortality in middle-aged men and women. PLoS ONE 2010, 5, e13097. [Google Scholar] [CrossRef] [PubMed]
- Tejani, V.N.; Dhillon, S.S.; Damarlapally, N.; Usman, N.U.B.; Winson, T.; Basu Roy, P.; Panjiyar, B.K. The Relationship Between Dietary Fiber Intake and Blood Pressure Worldwide: A Systematic Review. Cureus 2023, 15, e46116. [Google Scholar] [CrossRef]
- Costabile, A.; Buttarazzi, I.; Kolida, S.; Quercia, S.; Baldini, J.; Swann, J.R.; Brigidi, P.; Gibson, G.R. An in vivo assessment of the cholesterol-lowering efficacy of Lactobacillus plantarum ECGC 13110402 in normal to mildly hypercholesterolaemic adults. PLoS ONE 2017, 12, e0187964. [Google Scholar] [CrossRef]
- Weickert, M.O. Nutritional modulation of insulin resistance. Scientifica 2012, 2012, 424780. [Google Scholar] [CrossRef][Green Version]
- Parnell, J.A.; Reimer, R.A. Weight loss during oligofructose supplementation is associated with decreased ghrelin and increased peptide YY in overweight and obese adults. Am. J. Clin. Nutr. 2009, 89, 1751–1759. [Google Scholar] [CrossRef]
- Klop, B.; Elte, J.W.; Cabezas, M.C. Dyslipidemia in obesity: Mechanisms and potential targets. Nutrients 2013, 5, 1218–1240. [Google Scholar] [CrossRef] [PubMed]
- Zhao, H.; Zhang, J.; Cheng, X.; Nie, X.; He, B. Insulin resistance in polycystic ovary syndrome across various tissues: An updated review of pathogenesis, evaluation, and treatment. J. Ovarian Res. 2023, 16, 9. [Google Scholar] [CrossRef]




| Reference | Number of Randomized Participants (No. in Intervention and Control Group) | Age, Mean (Intervention, Control) (y) | Country | Outcome | Type of Intervention | Type of Prebiotics | Duration (wk) | Results |
|---|---|---|---|---|---|---|---|---|
| [61] | 48 (24, 24) | 22.10, 24.70 | Iran | Anthropometric indices, lipid profile, Oxidative stress markers | LC diet and DASH diet | Fiber | 8 | A significant decrease in TG, VLDL-C, weight, and BMI A Significant increase in TAC No significant changes in HDL-C, LDL-C, TC/HDL-C |
| [52] | 48 (24, 24) | 30.70, 29.40 | Iran | Anthropometric indices, Glycemic parameters, inflammatory markers | LC diet and DASH diet | Fiber | 8 | A significant decrease in insulin, HOMA-IR, hs-CRP, WC, HC No significant changes in FPG |
| [62] | 55 (28, 27) | 32.13, 31.78 | Iran | Hormonal parameters, Anthropometric indices | LC diet and DASH diet | Fiber | 12 | A significant decrease in weight, BMI, WC, HC, Fat mass, Lean mass, Androstenedione, A significant increase in SHBG, DPPH scavenging activity No significant changes in WHR, total testosterone, FAI |
| [63] | 39 (20, 19) | 30.80, 29.10 | Poland | Lipid profile, Glycemic indices, anthropometric indices, Hormonal parameters | Synbiotics and LC diet and exercise | Inulin and FOS | 12 | A significant decrease in weight, BMI, WC, total testosterone No significant changes in fat%, WHR, HC, tight, hirsutism, ovarian volume, DHEAS, SHBG, LH, FSH, LH/FSH, insulin, FPG, ISI, TCLDL-C, HDL-C, TG |
| [64] | 68 (34, 34) | 30.40, 28.60 | Iran | Lipid profile, Glycemic indices, anthropometric indices | Synbiotics | FOS | 8 | A significant decrease in FPG, insulin, HOMA-IR, Weight, BMI, WC, HC A significant increase in HDL-C No significant changes in TC, TG, LDL-C, Apelin, WHR |
| [75] | 60 (30, 30) | 32.00, 31 | China | Hormonal parameters, Glycemic indices, anthropometric indices | LC diet and High fiber diet and exercise | Fiber | 8 | A significant decrease in Weight, BMI, Fat mass, Body fat%, VFA, FFM, and BMR, FPG, Insulin A significant increase in SHBG No significant changes in HOMA-IR, total testosterone, FAI |
| [65] | 46 (23, 23) | 30.04, 29.3 | Iran | Hormonal parameters, Glycemic indices, Anthropometric indices, Blood pressure | Synbiotics | Inulin | 8 | A significant decrease in Weight, BMI, WC, WHR, FPG, Insulin, HOMA-IR, Total testosterone A significant increase in QUICKI No significant changes in HC, LH, FSH, LH/FSH |
| [66] | 46 (23, 23) | 29.52, 30.6 | Iran | Lipid profile Inflammatory markers Oxidative stress markers Blood pressure | Synbiotics | Inulin | 8 | A significant decrease in SBP, DBP, hs-CRP, MDA, TC, TG, LDL-C/HDL-C A significant increase in TAC, HDL-C |
| [67] | 60 (30, 30) | 27.10, 25.6 | Iran | Anthropometric indices Glycemic parameters Hormonal parameters Oxidative stress markers | LC diet and DASH diet | Fiber | 12 | A significant decrease in FPG, insulin HOMA-IR, AMH, SHBG, FAI, MDA A significant increase in QUICKI, NO No significant changes in FPG, Total testosterone, FSH, LH, 17-OH progesterone, |
| [68] | 62 (31, 31) | 28, 26 | Iran | Anthropometric indices | Prebiotics | resistant Dextrin, (polysaccharide from corn, wheat, and other edible starches with fibrous properties) | 12 | A significant decrease in BMI, weight, HC, WC |
| [69] | 62 (31, 31) | 28, 26 | Iran | Lipid profile, Glycemic indices, Hormonal parameters | Prebiotics | resistant Dextrin, (polysaccharide from corn, wheat, and other edible starches with fibrous properties) | 12 | A significant decrease in LDL-C, TC, TG, FPG, hs-CRP, DHEA-S, Free testosterone, Interval between menstrual cycles, and hirsutism score A significant increase in HDL-C No significant changes in Duration of menstrual bleeding |
| [76] | 60 (34, 26) | 28.14, 28.38 | Iran | Lipid profile, inflammatory marker and atherogenicity indexes | Synbiotics | FOS | 12 | A significant decrease in hs-CRP No significant changes in TC, TG, LDL-C, HDL-C, Castelli risk index I, Castelli risk index II, Atherogenic coefficient, cholesterol index, TG/HDL-C |
| [70] | 99 (50, 49) | 28.5, 29 | Iran | Anthropometric indices, Lipid profile, Blood pressure | Synbiotics | Inulin (FOS) | 12 | A significant increase in HDL-C A significant decrease in LDL-C, DBP No significant changes in weight, BMI, WC, HC, WHR, SBP, TC, TG |
| [53] | 99 (50, 49) | 28.5, 29 | Iran | Glycemic indices, Inflammatory parameters, | Synbiotics | Inulin (FOS) | 12 | A significant increase in hs-CRP and Apelin-36 No significant changes in FPG, Glycohaemoglobin, Insulin, HOMA-IR, QUICKI |
| [71] | 60 (30, 30) | 25.2, 25.7 | Iran | Inflammatory markers, Oxidative parameters, Hormonal indices, Anthropometric parameters | Synbiotics | Inulin | 12 | A significant decrease in mF-G scores, FAI, hs-CRP, MDA, A significant increase in HSBG, NO No significant changes in total testosterone, DHEAS, TAC, GSH |
| [72] | 48 (24, 24) | 27.7, 27.3 | Iran | Anthropometric indices, Lipid profile, Glycemic indices | Prebiotics | psyllium) | 8 | A significant decrease in FM No significant changes in weight, BMI, FFM, WHR, SMM, insulin, TC, TG, LDL-C, HDL-C, HOMA-IR, QUICKI |
| [73] | 60 (30, 30) | 27.3, 27 | Iran | Anthropometric indices, Lipid profile, Glycemic indices | Synbiotics | Inulin | 12 | A significant decrease in Insulin, HOMA-IR, TG, VLDL-C, FPG A significant increase in QUICKI No significant changes in TC, LDL-C, HDL-C, AIP |
| [74] | 50 (25, 25) | 29.4, 28.8 | Iran | Anthropometric indices, Inflammatory markers, Oxidative stress markers, Blood pressure | Prebiotics | Inulin | 12 | A significant decrease in hs-CRP No significant changes in SBP, DBP, TOS, NO, Emdothelin-1 |
| [77] | 52 (28, 24) | 28.42, 32.75 | Iran | Anthropometric indices | Synbiotics | FOS | 12 | No significant changes in weight, BMI, WC and HC |
| [78] | 50 (25, 25) | 29.4, 28.8 | Iran | Glycemic indices, Lipid profile, Hormonal Indices, WC | Prebiotics | Inulin | 12 | A significant reduction in insulin, HOMA-IR, TG, total testosterone, FAI, hirsutism and WC A significant increase in QUICKI and SHBG No significant changes in FPG, LDL HDL, and TC |
Disclaimer/Publisher’s Note: The statements, opinions and data contained in all publications are solely those of the individual author(s) and contributor(s) and not of MDPI and/or the editor(s). MDPI and/or the editor(s) disclaim responsibility for any injury to people or property resulting from any ideas, methods, instructions or products referred to in the content. |
© 2025 by the authors. Licensee MDPI, Basel, Switzerland. This article is an open access article distributed under the terms and conditions of the Creative Commons Attribution (CC BY) license (https://creativecommons.org/licenses/by/4.0/).
Share and Cite
Razmpoosh, E.; Sivanandy, M.S.; Ehrlich, A.M. The Effect of Prebiotics, Alone or as Part of Synbiotics, on Cardiometabolic Parameters in Women with Polycystic Ovary Syndrome: A Systematic Review and Meta-Analysis of Randomized Controlled Trials. Biomedicines 2025, 13, 177. https://doi.org/10.3390/biomedicines13010177
Razmpoosh E, Sivanandy MS, Ehrlich AM. The Effect of Prebiotics, Alone or as Part of Synbiotics, on Cardiometabolic Parameters in Women with Polycystic Ovary Syndrome: A Systematic Review and Meta-Analysis of Randomized Controlled Trials. Biomedicines. 2025; 13(1):177. https://doi.org/10.3390/biomedicines13010177
Chicago/Turabian StyleRazmpoosh, Elham, Mala S. Sivanandy, and Alan M. Ehrlich. 2025. "The Effect of Prebiotics, Alone or as Part of Synbiotics, on Cardiometabolic Parameters in Women with Polycystic Ovary Syndrome: A Systematic Review and Meta-Analysis of Randomized Controlled Trials" Biomedicines 13, no. 1: 177. https://doi.org/10.3390/biomedicines13010177
APA StyleRazmpoosh, E., Sivanandy, M. S., & Ehrlich, A. M. (2025). The Effect of Prebiotics, Alone or as Part of Synbiotics, on Cardiometabolic Parameters in Women with Polycystic Ovary Syndrome: A Systematic Review and Meta-Analysis of Randomized Controlled Trials. Biomedicines, 13(1), 177. https://doi.org/10.3390/biomedicines13010177

