Genomic Medicine in the Developing World: Cancer Spectrum, Cumulative Risk and Survival Outcomes for Lynch Syndrome Variant Heterozygotes with Germline Pathogenic Variants in the MLH1 and MSH2 Genes
Abstract
1. Introduction
2. Materials and Methods
2.1. LS Registry at the DHG-UCT
2.2. Genetic Laboratory Analysis
2.3. MMR Variant Nomenclature and Classification
2.4. Study Population
- (i)
- Group 1A (N = 450 LSVH) included all LSVH with a germline P/LPV in the MLH1 gene with any variant (obligate LSVH with or without cancer who were under follow-up for their disease).
- (ii)
- Group 1B (A subgroup of Group 1A but with only MLH1:c.1528C>T PV, N = 426 LSVH) included only LSVH with a germline South African founder PV MLH1:c.1528C>T (obligate LSVH with or without cancer who were under follow-up for their disease).
- (iii)
- Group 2 (N = 120) included all individuals with a germline P/LPV in the MSH2 gene (obligate carriers with or without cancer who were under follow-up for their disease).
2.5. Statistical Analysis
3. Results
3.1. Demographics and Clinical Features of the Study Cohort
3.2. Genetic Characterization of LSVH in Our LS Registry
3.3. Age at Colonic and Extracolonic Cancer Diagnosis in LSVH
3.4. Cancer Spectrum and Frequencies in LSVH by Gene and Sex
3.5. Comparison of Age at CRC Diagnosis Between Prevalent and Incident Cancer Cases
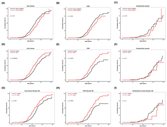
3.6. Gene and Sex-Specific Cumulative Risk of Cancer in LSVH
3.7. Crude Survival by Sex and Cancer Type in LSVH with MLH1:c.1528C>T PV
4. Discussion
- (i)
- The use of the largest LS registry in Africa with genetically confirmed LSVH from different ethnic groups in South Africa.
- (ii)
- Population-specific new insights from a unique cohort with the MLH1:c.1528C>T founder variant, providing valuable insights into LS in an African population.
- (iii)
- A cumulative risk assessment using Kaplan–Meier analysis to calculate age-specific cumulative risks for cancers in LSVH by gene and sex, offering unique, personalized risk estimates specifically for an African population.
- (iv)
- Detailed genetic characterization which offers a comprehensive breakdown of MLH1 and MSH2 variants, including stop codon/frameshift, missense, intronic, and deletion mutations, enhancing the understanding of the spectrum of LS variants in African population.
- (v)
- Sex-specific cancer risk analysis which identifies significant sex-based differences in cancer risks, particularly higher CRC risk in males and extracolonic cancer risk in females, supporting tailored surveillance recommendations from an African study population.
- (vi)
- Comparative survival analysis that examined crude survival outcomes from a new population of LSVH, comparing findings to other populations and noting lower crude survival rates, which may prompt further investigation into population-specific factors.
- (vii)
- Clinical implications for screening that have direct implications for genetic counselling, risk prediction, and the development of customized cancer screening protocols in African LS populations.
5. Conclusions
Supplementary Materials
Author Contributions
Funding
Institutional Review Board Statement
Informed Consent Statement
Data Availability Statement
Acknowledgments
Conflicts of Interest
References
- Bray, F.; Laversanne, M.; Sung, H.; Ferlay, J.; Siegel, R.L.; Soerjomataram, I.; Jemal, A. Global cancer statistics 2022: GLOBOCAN estimates of incidence and mortality worldwide for 36 cancers in 185 countries. CA Cancer J. Clin. 2024, 74, 229–263. [Google Scholar] [CrossRef] [PubMed]
- Nagy, R.; Sweet, K.; Eng, C. Highly penetrant hereditary cancer syndromes. Oncogene 2004, 23, 6445–6470. [Google Scholar] [CrossRef]
- Garber, J.E.; Offit, K. Hereditary cancer predisposition syndromes. J. Clin. Oncol. 2005, 23, 276–292. [Google Scholar] [CrossRef]
- Tsaousis, G.N.; Papadopoulou, E.; Apessos, A.; Agiannitopoulos, K.; Pepe, G.; Kampouri, S.; Diamantopoulos, N.; Floros, T.; Iosifidou, R.; Katopodi, O.; et al. Analysis of hereditary cancer syndromes by using a panel of genes: Novel and multiple pathogenic mutations. BMC Cancer 2019, 19, 535. [Google Scholar] [CrossRef] [PubMed]
- Garutti, M.; Foffano, L.; Mazzeo, R.; Michelotti, A.; Da Ros, L.; Viel, A.; Miolo, G.; Zambelli, A.; Puglisi, F. Hereditary Cancer Syndromes: A Comprehensive Review with a Visual Tool. Genes 2023, 14, 1025. [Google Scholar] [CrossRef] [PubMed]
- Peltomäki, P.; Nyström, M.; Mecklin, J.P.; Seppälä, T.T. Lynch Syndrome Genetics and Clinical Implications. Gastroenterology 2023, 164, 783–799. [Google Scholar] [CrossRef]
- Aarnio, M.; Sankila, R.; Pukkala, E.; Salovaara, R.; Aaltonen, L.A.; de la Chapelle, A.; Peltomäki, P.; Mecklin, J.P.; Järvinen, H.J. Cancer risk in mutation carriers of DNA-mismatch-repair genes. Int. J. Cancer 1999, 81, 214–218. [Google Scholar] [CrossRef]
- Watson, P.; Lynch, H.T. The tumor spectrum in HNPCC. Anticancer Res. 1994, 14, 1635–1639. [Google Scholar] [PubMed]
- Watson, P.; Lynch, H.T. Extracolonic cancer in hereditary nonpolyposis colorectal cancer. Cancer 1993, 71, 677–685. [Google Scholar] [CrossRef] [PubMed]
- Barnetson, R.A.; Tenesa, A.; Farrington, S.M.; Nicholl, I.D.; Cetnarskyj, R.; Porteous, M.E.; Campbell, H.; Dunlop, M.G. Identification and survival of carriers of mutations in DNA mismatch-repair genes in colon cancer. N. Engl. J. Med. 2006, 354, 2751–2763. [Google Scholar] [CrossRef]
- Hampel, H.; Frankel, W.L.; Martin, E.; Arnold, M.; Khanduja, K.; Kuebler, P.; Nakagawa, H.; Sotamaa, K.; Prior, T.W.; Westman, J.; et al. Screening for the Lynch syndrome (hereditary nonpolyposis colorectal cancer). N. Engl. J. Med. 2005, 352, 1851–1860. [Google Scholar] [CrossRef]
- Møller, P.; Seppälä, T.; Bernstein, I.; Holinski-Feder, E.; Sala, P.; Evans, D.G.; Lindblom, A.; Macrae, F.; Blanco, I.; Sijmons, R.; et al. Cancer incidence and survival in Lynch syndrome patients receiving colonoscopic and gynaecological surveillance: First report from the prospective Lynch syndrome database. Gut 2017, 66, 464–472. [Google Scholar] [CrossRef]
- Møller, P.; Seppälä, T.; Bernstein, I.; Holinski-Feder, E.; Sala, P.; Evans, D.G.; Lindblom, A.; Macrae, F.; Blanco, I.; Sijmons, R.; et al. Incidence of and survival after subsequent cancers in carriers of pathogenic MMR variants with previous cancer: A report from the prospective Lynch syndrome database. Gut 2017, 66, 1657–1664. [Google Scholar] [CrossRef]
- Liccardo, R.; De Rosa, M.; Duraturo, F. Same MSH2 Gene Mutation But Variable Phenotypes in 2 Families With Lynch Syndrome: Two Case Reports and Review of Genotype-Phenotype Correlation. Clin. Med. Insights Case Rep. 2018, 11, 1179547617753943. [Google Scholar] [CrossRef] [PubMed]
- Scott, R.J. Modifier genes and Lynch syndrome: Some considerations. Hered. Cancer Clin. Pract. 2022, 20, 35. [Google Scholar] [CrossRef] [PubMed]
- Møller, P.; Seppälä, T.T.; Bernstein, I.; Holinski-Feder, E.; Sala, P.; Gareth Evans, D.; Lindblom, A.; Macrae, F.; Blanco, I.; Sijmons, R.H.; et al. Cancer risk and survival in path_MMR carriers by gene and gender up to 75 years of age: A report from the Prospective Lynch Syndrome Database. Gut 2018, 67, 1306–1316. [Google Scholar] [CrossRef] [PubMed]
- Schneider, R.; Schneider, C.; Jakobeit, C.; Fürst, A.; Möslein, G. Gender-Specific Aspects of Lynch Syndrome and Familial Adenomatous Polyposis. Viszeralmedizin 2014, 30, 82–88. [Google Scholar] [CrossRef]
- Therkildsen, C.; Ladelund, S.; Smith-Hansen, L.; Lindberg, L.J.; Nilbert, M. Towards gene- and gender-based risk estimates in Lynch syndrome; age-specific incidences for 13 extra-colorectal cancer types. Br. J. Cancer 2017, 117, 1702–1710. [Google Scholar] [CrossRef] [PubMed]
- Dominguez-Valentin, M.; Sampson, J.R.; Seppälä, T.T.; Ten Broeke, S.W.; Plazzer, J.P.; Nakken, S.; Engel, C.; Aretz, S.; Jenkins, M.A.; Sunde, L.; et al. Cancer risks by gene, age, and gender in 6350 carriers of pathogenic mismatch repair variants: Findings from the Prospective Lynch Syndrome Database. Genet. Med. 2020, 22, 15–25. [Google Scholar] [CrossRef]
- Oak, N.; Cherniack, A.D.; Mashl, R.J.; Hirsch, F.R.; Ding, L.; Beroukhim, R.; Gümüş, Z.H.; Plon, S.E.; Huang, K.L. Ancestry-specific predisposing germline variants in cancer. Genome Med. 2020, 12, 51. [Google Scholar] [CrossRef] [PubMed]
- Zhang, L.; Bhaskaran, S.P.; Huang, T.; Dong, H.; Chandratre, K.; Wu, X.; Qin, Z.; Wang, X.; Cao, W.; Chen, T.; et al. Variants of DNA mismatch repair genes derived from 33,998 Chinese individuals with and without cancer reveal their highly ethnic-specific nature. Eur. J. Cancer 2020, 125, 12–21. [Google Scholar] [CrossRef] [PubMed]
- Son, I.T.; Kim, D.W.; Kim, M.H.; Shin, Y.K.; Ku, J.L.; Oh, H.K.; Kang, S.B.; Jeong, S.Y.; Park, K.J. Comparison of oncologic outcomes between patients with Lynch syndrome and sporadic microsatellite instability-high colorectal cancer. Ann. Surg. Treat. Res. 2021, 101, 13–19. [Google Scholar] [CrossRef]
- Lautrup, C.K.; Mikkelsen, E.M.; Lash, T.L.; Katballe, N.; Sunde, L. Survival in familial colorectal cancer: A Danish cohort study. Fam. Cancer 2015, 14, 553–559. [Google Scholar] [CrossRef] [PubMed]
- Dominguez-Valentin, M.; Seppälä, T.T.; Sampson, J.R.; Macrae, F.; Winship, I.; Evans, D.G.; Scott, R.J.; Burn, J.; Möslein, G.; Bernstein, I.; et al. Survival by colon cancer stage and screening interval in Lynch syndrome: A prospective Lynch syndrome database report. Hered. Cancer Clin. Pract. 2019, 17, 28. [Google Scholar] [CrossRef] [PubMed]
- Haraldsdottir, S.; Hampel, H.; Wu, C.; Weng, D.Y.; Shields, P.G.; Frankel, W.L.; Pan, X.; de la Chapelle, A.; Goldberg, R.M.; Bekaii-Saab, T. Patients with colorectal cancer associated with Lynch syndrome and MLH1 promoter hypermethylation have similar prognoses. Genet. Med. 2016, 18, 863–868. [Google Scholar] [CrossRef] [PubMed]
- Dominguez-Valentin, M.; Haupt, S.; Seppälä, T.T.; Sampson, J.R.; Sunde, L.; Bernstein, I.; Jenkins, M.A.; Engel, C.; Aretz, S.; Nielsen, M.; et al. Mortality by age, gene and gender in carriers of pathogenic mismatch repair gene variants receiving surveillance for early cancer diagnosis and treatment: A report from the prospective Lynch syndrome database. EClinicalMedicine 2023, 58, 101909. [Google Scholar] [CrossRef]
- Abrha, A.; Shukla, N.D.; Hodan, R.; Longacre, T.; Raghavan, S.; Pritchard, C.C.; Fisher, G.; Ford, J.; Haraldsdottir, S. Universal Screening of Gastrointestinal Malignancies for Mismatch Repair Deficiency at Stanford. JNCI Cancer Spectr. 2020, 4, pkaa054. [Google Scholar] [CrossRef] [PubMed]
- Abbass, M.A.; Poylin, V.; Strong, S. Hereditary Colorectal Cancer Syndromes Registry: What, How, and Why? Clin. Colon Rectal Surg. 2024, 37, 198–202. [Google Scholar] [CrossRef]
- Ramesar, R.S.; Madden, M.V.; Felix, R.; Harocopos, C.J.; Westbrook, C.A.; Jones, G.; Cruse, J.P.; Goldberg, P.A. Molecular genetics improves the management of hereditary non-polyposis colorectal cancer. S. Afr. Med. J. 2000, 90, 709–714. [Google Scholar] [PubMed]
- Goldberg, P.A.; Madden, M.V.; Harocopos, C.; Felix, R.; Westbrook, C.; Ramesar, R.S. In a resource-poor country, mutation identification has the potential to reduce the cost of family management for hereditary nonpolyposis colorectal cancer. Dis. Colon Rectum 1998, 41, 1250–1253, discussion 1253–1255. [Google Scholar] [CrossRef] [PubMed]
- Blokhuis, M.M.; Goldberg, P.A.; Pietersen, G.E.; Algar, U.; Vorster, A.A.; Govender, D.; Ramesar, R.S. The extracolonic cancer spectrum in females with the common ‘South African’ hMLH1 c.C1528T mutation. Fam. Cancer 2008, 7, 191–198. [Google Scholar] [CrossRef] [PubMed]
- Ndou, L.; Chambuso, R.; Algar, U.; Goldberg, P.; Boutall, A.; Ramesar, R. Influence of Genetic Polymorphisms on the Age at Cancer Diagnosis in a Homogenous Lynch Syndrome Cohort of Individuals Carrying the MLH1:c.1528C>T South African Founder Variant. Biomedicines 2024, 12, 2201. [Google Scholar] [CrossRef] [PubMed]
- Felix, R.; Bodmer, W.; Fearnhead, N.S.; van der Merwe, L.; Goldberg, P.; Ramesar, R.S. GSTM1 and GSTT1 polymorphisms as modifiers of age at diagnosis of hereditary nonpolyposis colorectal cancer (HNPCC) in a homogeneous cohort of individuals carrying a single predisposing mutation. Mutat. Res. 2006, 602, 175–181. [Google Scholar] [CrossRef] [PubMed]
- Rodriguez-Bigas, M.A.; Boland, C.R.; Hamilton, S.R.; Henson, D.E.; Jass, J.R.; Khan, P.M.; Lynch, H.; Perucho, M.; Smyrk, T.; Sobin, L.; et al. A National Cancer Institute Workshop on Hereditary Nonpolyposis Colorectal Cancer Syndrome: Meeting highlights and Bethesda guidelines. J. Natl. Cancer Inst. 1997, 89, 1758–1762. [Google Scholar] [CrossRef]
- Umar, A.; Boland, C.R.; Terdiman, J.P.; Syngal, S.; de la Chapelle, A.; Rüschoff, J.; Fishel, R.; Lindor, N.M.; Burgart, L.J.; Hamelin, R.; et al. Revised Bethesda Guidelines for hereditary nonpolyposis colorectal cancer (Lynch syndrome) and microsatellite instability. J. Natl. Cancer Inst. 2004, 96, 261–268. [Google Scholar] [CrossRef]
- Vasen, H.F.; Mecklin, J.P.; Khan, P.M.; Lynch, H.T. The International Collaborative Group on Hereditary Non-Polyposis Colorectal Cancer (ICG-HNPCC). Dis. Colon Rectum 1991, 34, 424–425. [Google Scholar] [CrossRef]
- Vasen, H.F.; Watson, P.; Mecklin, J.P.; Lynch, H.T. New clinical criteria for hereditary nonpolyposis colorectal cancer (HNPCC, Lynch syndrome) proposed by the International Collaborative group on HNPCC. Gastroenterology 1999, 116, 1453–1456. [Google Scholar] [CrossRef] [PubMed]
- Miller, S.A.; Dykes, D.D.; Polesky, H.F. A simple salting out procedure for extracting DNA from human nucleated cells. Nucleic Acids Res. 1988, 16, 1215. [Google Scholar] [CrossRef]
- Krnajski, Z.; Geering, S.; Steadman, S. Performance verification of the Maxwell 16 Instrument and DNA IQ Reference Sample Kit for automated DNA extraction of known reference samples. Forensic Sci. Med. Pathol. 2007, 3, 264–269. [Google Scholar] [CrossRef]
- den Dunnen, J.T.; Dalgleish, R.; Maglott, D.R.; Hart, R.K.; Greenblatt, M.S.; McGowan-Jordan, J.; Roux, A.F.; Smith, T.; Antonarakis, S.E.; Taschner, P.E. HGVS Recommendations for the Description of Sequence Variants: 2016 Update. Hum. Mutat. 2016, 37, 564–569. [Google Scholar] [CrossRef]
- Thompson, B.A.; Spurdle, A.B.; Plazzer, J.P.; Greenblatt, M.S.; Akagi, K.; Al-Mulla, F.; Bapat, B.; Bernstein, I.; Capellá, G.; den Dunnen, J.T.; et al. Application of a 5-tiered scheme for standardized classification of 2,360 unique mismatch repair gene variants in the InSiGHT locus-specific database. Nat. Genet. 2014, 46, 107–115. [Google Scholar] [CrossRef] [PubMed]
- Berry, S.D.; Ngo, L.; Samelson, E.J.; Kiel, D.P. Competing risk of death: An important consideration in studies of older adults. J Am. Geriatr. Soc. 2010, 58, 783–787. [Google Scholar] [CrossRef] [PubMed]
- Tan, K.S.; Eguchi, T.; Adusumilli, P.S. Competing risks and cancer-specific mortality: Why it matters. Oncotarget 2018, 9, 7272–7273. [Google Scholar] [CrossRef]
- Lagerstedt-Robinson, K.; Rohlin, A.; Aravidis, C.; Melin, B.; Nordling, M.; Stenmark-Askmalm, M.; Lindblom, A.; Nilbert, M. Mismatch repair gene mutation spectrum in the Swedish Lynch syndrome population. Oncol. Rep. 2016, 36, 2823–2835. [Google Scholar] [CrossRef] [PubMed]
- Roht, L.; Laidre, P.; Tooming, M.; Tõnisson, N.; Nõukas, M.; Nurm, M.; Estonian Biobank Research, T.; Roomere, H.; Rekker, K.; Toome, K.; et al. The Prevalence and Molecular Landscape of Lynch Syndrome in the Affected and General Population. Cancers 2023, 15, 3663. [Google Scholar] [CrossRef] [PubMed]
- Álvarez, K.; Orellana, P.; De la Fuente, M.; Canales, T.; Pinto, E.; Heine, C.; Solar, B.; Hurtado, C.; Møller, P.; Kronberg, U.; et al. Spectrum and Frequency of Tumors, Cancer Risk and Survival in Chilean Families with Lynch Syndrome: Experience of the Implementation of a Registry. J. Clin. Med. 2020, 9, 1861. [Google Scholar] [CrossRef]
- Adar, T.; Rodgers, L.H.; Shannon, K.M.; Yoshida, M.; Ma, T.; Mattia, A.; Lauwers, G.Y.; Iafrate, A.J.; Hartford, N.M.; Oliva, E.; et al. Universal screening of both endometrial and colon cancers increases the detection of Lynch syndrome. Cancer 2018, 124, 3145–3153. [Google Scholar] [CrossRef] [PubMed]
- Dillon, J.L.; Gonzalez, J.L.; DeMars, L.; Bloch, K.J.; Tafe, L.J. Universal screening for Lynch syndrome in endometrial cancers: Frequency of germline mutations and identification of patients with Lynch-like syndrome. Hum. Pathol. 2017, 70, 121–128. [Google Scholar] [CrossRef]
- Lamola, L. Genomics of Lynch Syndrome and Constitutional Mismatch Repair Deficiency Syndrome. Ph.D. Thesis, University of Cape Town, Cape Town, South Africa, 2018. [Google Scholar]
- Borràs, E.; Pineda, M.; Blanco, I.; Jewett, E.M.; Wang, F.; Teulé, A.; Caldés, T.; Urioste, M.; Martínez-Bouzas, C.; Brunet, J.; et al. MLH1 founder mutations with moderate penetrance in Spanish Lynch syndrome families. Cancer Res. 2010, 70, 7379–7391. [Google Scholar] [CrossRef]
- von Salomé, J.; Liu, T.; Keihäs, M.; Morak, M.; Holinski-Feder, E.; Berry, I.R.; Moilanen, J.S.; Baert-Desurmont, S.; Lindblom, A.; Lagerstedt-Robinson, K. Haplotype analysis suggest that the MLH1 c.2059C > T mutation is a Swedish founder mutation. Fam. Cancer 2018, 17, 531–537. [Google Scholar] [CrossRef] [PubMed]
- Rubin, J.B. The spectrum of sex differences in cancer. Trends Cancer 2022, 8, 303–315. [Google Scholar] [CrossRef] [PubMed]
- Perera, S.; Li, B.; Tsitsikotas, S.; Ramyar, L.; Pollett, A.; Semotiuk, K.; Bapat, B. A novel and rapid method of determining the effect of unclassified MLH1 genetic variants on differential allelic expression. J. Mol. Diagn. 2010, 12, 757–764. [Google Scholar] [CrossRef] [PubMed]
- Stupart, D.A.; Goldberg, P.A.; Algar, U.; Ramesar, R. Cancer risk in a cohort of subjects carrying a single mismatch repair gene mutation. Fam. Cancer 2009, 8, 519–523. [Google Scholar] [CrossRef]
- Cajal, A.R.; Piñero, T.A.; Verzura, A.; Santino, J.P.; Solano, A.R.; Kalfayan, P.G.; Ferro, A.; Vaccaro, C. Founder mutation in Lynch syndrome. Medicina 2016, 76, 180–182. [Google Scholar] [PubMed]
- Abu Shtaya, A.; Kedar, I.; Mattar, S.; Mahamid, A.; Basel-Salmon, L.; Farage Barhom, S.; Naftaly Nathan, S.; Magal, N.; Azulay, N.; Levy Zalcberg, M.; et al. The Diagnostic Yield and Implications of Targeted Founder Pathogenic Variant Testing in an Israeli Cohort. Cancers 2023, 16, 94. [Google Scholar] [CrossRef]
- Ramsoekh, D.; Wagner, A.; van Leerdam, M.E.; Dooijes, D.; Tops, C.M.; Steyerberg, E.W.; Kuipers, E.J. Cancer risk in MLH1, MSH2 and MSH6 mutation carriers; different risk profiles may influence clinical management. Hered. Cancer Clin. Pract. 2009, 7, 17. [Google Scholar] [CrossRef]
- Bonadona, V.; Bonaïti, B.; Olschwang, S.; Grandjouan, S.; Huiart, L.; Longy, M.; Guimbaud, R.; Buecher, B.; Bignon, Y.J.; Caron, O.; et al. Cancer risks associated with germline mutations in MLH1, MSH2, and MSH6 genes in Lynch syndrome. JAMA 2011, 305, 2304–2310. [Google Scholar] [CrossRef]
- Calvert, P.M.; Frucht, H. The genetics of colorectal cancer. Ann. Intern. Med. 2002, 137, 603–612. [Google Scholar] [CrossRef] [PubMed]
- Muto, T.; Bussey, H.J.; Morson, B.C. The evolution of cancer of the colon and rectum. Cancer 1975, 36, 2251–2270. [Google Scholar] [CrossRef]
- Subramaniam, R.; Mizoguchi, A.; Mizoguchi, E. Mechanistic roles of epithelial and immune cell signaling during the development of colitis-associated cancer. Cancer Res. Front. 2016, 2, 1–21. [Google Scholar] [CrossRef]
- Pandurangan, A.K.; Divya, T.; Kumar, K.; Dineshbabu, V.; Velavan, B.; Sudhandiran, G. Colorectal carcinogenesis: Insights into the cell death and signal transduction pathways: A review. World J. Gastrointest. Oncol. 2018, 10, 244–259. [Google Scholar] [CrossRef]
- Kastrinos, F.; Stoffel, E.M.; Balmaña, J.; Steyerberg, E.W.; Mercado, R.; Syngal, S. Phenotype comparison of MLH1 and MSH2 mutation carriers in a cohort of 1,914 individuals undergoing clinical genetic testing in the United States. Cancer Epidemiol. Biomark. Prev. 2008, 17, 2044–2051. [Google Scholar] [CrossRef]
- Dowty, J.G.; Win, A.K.; Buchanan, D.D.; Lindor, N.M.; Macrae, F.A.; Clendenning, M.; Antill, Y.C.; Thibodeau, S.N.; Casey, G.; Gallinger, S.; et al. Cancer risks for MLH1 and MSH2 mutation carriers. Hum. Mutat. 2013, 34, 490–497. [Google Scholar] [CrossRef] [PubMed]
- Mukama, T.; Kharazmi, E.; Sundquist, K.; Sundquist, J.; Brenner, H.; Fallah, M. Familial risk of breast cancer by dynamic, accumulative, and static definitions of family history. Cancer 2020, 126, 2837–2848. [Google Scholar] [CrossRef] [PubMed]
- Zheng, R.; Wang, S.; Zhang, S.; Zeng, H.; Chen, R.; Sun, K.; Li, L.; Bray, F.; Wei, W. Global, regional, and national lifetime probabilities of developing cancer in 2020. Sci. Bull. 2023, 68, 2620–2628. [Google Scholar] [CrossRef]
- Anyigba, C.A.; Awandare, G.A.; Paemka, L. Breast cancer in sub-Saharan Africa: The current state and uncertain future. Exp Biol. Med. 2021, 246, 1377–1387. [Google Scholar] [CrossRef] [PubMed]
- Vorobiof, D.A.; Sitas, F.; Vorobiof, G. Breast cancer incidence in South Africa. J. Clin. Oncol. 2001, 19, 125s–127s. [Google Scholar]
- National Cancer Registry. Summary Statistics of Cancer Diagnosed Histologically in 2016. Female-All Population Groups Combined. Available online: https://www.nicd.ac.za/wp-content/uploads/2020/04/NCR_2016_Report_updated_14April2020.pdf (accessed on 1 October 2024).
- Cancer Stat Facts Female breast cancer. National cancer Institute. Surveillance, Epidemiology and End Results Program. Available online: https://seer.cancer.gov/statfacts/html/breast.html (accessed on 1 October 2024).
- Itoh, H.; Houlston, R.S.; Harocopos, C.; Slack, J. Risk of cancer death in first-degree relatives of patients with hereditary non-polyposis cancer syndrome (Lynch type II): A study of 130 kindreds in the United Kingdom. Br. J. Surg. 1990, 77, 1367–1370. [Google Scholar] [CrossRef] [PubMed]
- Harkness, E.F.; Barrow, E.; Newton, K.; Green, K.; Clancy, T.; Lalloo, F.; Hill, J.; Evans, D.G. Lynch syndrome caused by MLH1 mutations is associated with an increased risk of breast cancer: A cohort study. J. Med. Genet. 2015, 52, 553–556. [Google Scholar] [CrossRef] [PubMed]
- Scott, R.J.; McPhillips, M.; Meldrum, C.J.; Fitzgerald, P.E.; Adams, K.; Spigelman, A.D.; du Sart, D.; Tucker, K.; Kirk, J. Hereditary nonpolyposis colorectal cancer in 95 families: Differences and similarities between mutation-positive and mutation-negative kindreds. Am. J. Hum. Genet. 2001, 68, 118–127. [Google Scholar] [CrossRef] [PubMed]
- Win, A.K.; Lindor, N.M.; Jenkins, M.A. Risk of breast cancer in Lynch syndrome: A systematic review. Breast Cancer Res. 2013, 15, R27. [Google Scholar] [CrossRef] [PubMed]
- Kheirelseid, E.A.; Miller, N.; Chang, K.H.; Curran, C.; Hennessey, E.; Sheehan, M.; Kerin, M.J. Mismatch repair protein expression in colorectal cancer. J. Gastrointest. Oncol. 2013, 4, 397–408. [Google Scholar] [CrossRef] [PubMed]
- Vasen, H.F.; Stormorken, A.; Menko, F.H.; Nagengast, F.M.; Kleibeuker, J.H.; Griffioen, G.; Taal, B.G.; Moller, P.; Wijnen, J.T. MSH2 mutation carriers are at higher risk of cancer than MLH1 mutation carriers: A study of hereditary nonpolyposis colorectal cancer families. J. Clin. Oncol. 2001, 19, 4074–4080. [Google Scholar] [CrossRef] [PubMed]
- van Leerdam, M.E.; Roos, V.H.; van Hooft, J.E.; Balaguer, F.; Dekker, E.; Kaminski, M.F.; Latchford, A.; Neumann, H.; Ricciardiello, L.; Rupińska, M.; et al. Endoscopic management of Lynch syndrome and of familial risk of colorectal cancer: European Society of Gastrointestinal Endoscopy (ESGE) Guideline. Endoscopy 2019, 51, 1082–1093. [Google Scholar] [CrossRef]
- Järvinen, H.J.; Aarnio, M.; Mustonen, H.; Aktan-Collan, K.; Aaltonen, L.A.; Peltomäki, P.; De La Chapelle, A.; Mecklin, J.P. Controlled 15-year trial on screening for colorectal cancer in families with hereditary nonpolyposis colorectal cancer. Gastroenterology 2000, 118, 829–834. [Google Scholar] [CrossRef] [PubMed]
- Gupta, N.; Kupfer, S.S.; Davis, A.M. Colorectal Cancer Screening. JAMA 2019, 321, 2022–2023. [Google Scholar] [CrossRef]
- Brenner, H.; Chang-Claude, J.; Seiler, C.M.; Rickert, A.; Hoffmeister, M. Protection From Colorectal Cancer After Colonoscopy: A population-based, case-control study. Ann. Intern. Med. 2011, 154, 22–30. [Google Scholar] [CrossRef]
- Lin, K.M.; Shashidharan, M.; Thorson, A.G.; Ternent, C.A.; Blatchford, G.J.; Christensen, M.A.; Watson, P.; Lemon, S.J.; Franklin, B.; Karr, B.; et al. Cumulative incidence of colorectal and extracolonic cancers in MLH1 and MSH2 mutation carriers of hereditary nonpolyposis colorectal cancer. J. Gastrointest. Surg. 1998, 2, 67–71. [Google Scholar] [CrossRef]
- Baraibar, I.; Ros, J.; Saoudi, N.; Salvà, F.; García, A.; Castells, M.R.; Tabernero, J.; Élez, E. Sex and gender perspectives in colorectal cancer. ESMO Open 2023, 8, 101204. [Google Scholar] [CrossRef] [PubMed]
- Wang, D.; Tang, L.; Wu, Y.; Fan, C.; Zhang, S.; Xiang, B.; Zhou, M.; Li, X.; Li, Y.; Li, G.; et al. Abnormal X chromosome inactivation and tumor development. Cell. Mol. Life Sci. 2020, 77, 2949–2958. [Google Scholar] [CrossRef] [PubMed]
- Spatz, A.; Borg, C.; Feunteun, J. X-chromosome genetics and human cancer. Nat. Rev. Cancer 2004, 4, 617–629. [Google Scholar] [CrossRef] [PubMed]
- Guo, M.; Fang, Z.; Chen, B.; Songyang, Z.; Xiong, Y. Distinct dosage compensations of ploidy-sensitive and -insensitive X chromosome genes during development and in diseases. iScience 2023, 26, 105997. [Google Scholar] [CrossRef] [PubMed]
- Abancens, M.; Bustos, V.; Harvey, H.; McBryan, J.; Harvey, B.J. Sexual Dimorphism in Colon Cancer. Front. Oncol. 2020, 10, 607909. [Google Scholar] [CrossRef] [PubMed]
- Harvey, B.J.; Harvey, H.M. Sex Differences in Colon Cancer: Genomic and Nongenomic Signalling of Oestrogen. Genes 2023, 14, 2225. [Google Scholar] [CrossRef]
- Rennert, G.; Rennert, H.S.; Pinchev, M.; Lavie, O.; Gruber, S.B. Use of hormone replacement therapy and the risk of colorectal cancer. J. Clin. Oncol. 2009, 27, 4542–4547. [Google Scholar] [CrossRef] [PubMed]
- Kennelly, R.; Kavanagh, D.O.; Hogan, A.M.; Winter, D.C. Oestrogen and the colon: Potential mechanisms for cancer prevention. Lancet Oncol. 2008, 9, 385–391. [Google Scholar] [CrossRef]
- Caiazza, F.; Ryan, E.J.; Doherty, G.; Winter, D.C.; Sheahan, K. Estrogen receptors and their implications in colorectal carcinogenesis. Front. Oncol. 2015, 5, 19. [Google Scholar] [CrossRef] [PubMed]
- Vasen, H.F.; Möslein, G.; Alonso, A.; Bernstein, I.; Bertario, L.; Blanco, I.; Burn, J.; Capella, G.; Engel, C.; Frayling, I.; et al. Guidelines for the clinical management of Lynch syndrome (hereditary non-polyposis cancer). J. Med. Genet. 2007, 44, 353–362. [Google Scholar] [CrossRef] [PubMed]
- Barrow, E.; Robinson, L.; Alduaij, W.; Shenton, A.; Clancy, T.; Lalloo, F.; Hill, J.; Evans, D.G. Cumulative lifetime incidence of extracolonic cancers in Lynch syndrome: A report of 121 families with proven mutations. Clin. Genet. 2009, 75, 141–149. [Google Scholar] [CrossRef] [PubMed]
- Bucksch, K.; Zachariae, S.; Aretz, S.; Büttner, R.; Holinski-Feder, E.; Holzapfel, S.; Hüneburg, R.; Kloor, M.; von Knebel Doeberitz, M.; Morak, M.; et al. Cancer risks in Lynch syndrome, Lynch-like syndrome, and familial colorectal cancer type X: A prospective cohort study. BMC Cancer 2020, 20, 460. [Google Scholar] [CrossRef]
- Burn, J.; Sheth, H.; Elliott, F.; Reed, L.; Macrae, F.; Mecklin, J.P.; Möslein, G.; McRonald, F.E.; Bertario, L.; Evans, D.G.; et al. Cancer prevention with aspirin in hereditary colorectal cancer (Lynch syndrome), 10-year follow-up and registry-based 20-year data in the CAPP2 study: A double-blind, randomised, placebo-controlled trial. Lancet 2020, 395, 1855–1863. [Google Scholar] [CrossRef] [PubMed]
- Burn, J.; Gerdes, A.M.; Macrae, F.; Mecklin, J.P.; Moeslein, G.; Olschwang, S.; Eccles, D.; Evans, D.G.; Maher, E.R.; Bertario, L.; et al. Long-term effect of aspirin on cancer risk in carriers of hereditary colorectal cancer: An analysis from the CAPP2 randomised controlled trial. Lancet 2011, 378, 2081–2087. [Google Scholar] [CrossRef] [PubMed]
- Mathers, J.C.; Movahedi, M.; Macrae, F.; Mecklin, J.P.; Moeslein, G.; Olschwang, S.; Eccles, D.; Evans, G.; Maher, E.R.; Bertario, L.; et al. Long-term effect of resistant starch on cancer risk in carriers of hereditary colorectal cancer: An analysis from the CAPP2 randomised controlled trial. Lancet Oncol. 2012, 13, 1242–1249. [Google Scholar] [CrossRef] [PubMed]
- Doubeni, C.A.; Major, J.M.; Laiyemo, A.O.; Schootman, M.; Zauber, A.G.; Hollenbeck, A.R.; Sinha, R.; Allison, J. Contribution of behavioral risk factors and obesity to socioeconomic differences in colorectal cancer incidence. J. Natl. Cancer Inst. 2012, 104, 1353–1362. [Google Scholar] [CrossRef]
- Torres Stone, R.A.; Waring, M.E.; Cutrona, S.L.; Kiefe, C.I.; Allison, J.; Doubeni, C.A. The association of dietary quality with colorectal cancer among normal weight, overweight and obese men and women: A prospective longitudinal study in the USA. BMJ Open 2017, 7, e015619. [Google Scholar] [CrossRef] [PubMed]
- Doubeni, C.A.; Laiyemo, A.O.; Major, J.M.; Schootman, M.; Lian, M.; Park, Y.; Graubard, B.I.; Hollenbeck, A.R.; Sinha, R. Socioeconomic status and the risk of colorectal cancer: An analysis of more than a half million adults in the National Institutes of Health-AARP Diet and Health Study. Cancer 2012, 118, 3636–3644. [Google Scholar] [CrossRef] [PubMed]
- Fedewa, S.A.; Flanders, W.D.; Ward, K.C.; Lin, C.C.; Jemal, A.; Goding Sauer, A.; Doubeni, C.A.; Goodman, M. Racial and Ethnic Disparities in Interval Colorectal Cancer Incidence: A Population-Based Cohort Study. Ann. Intern. Med. 2017, 166, 857–866. [Google Scholar] [CrossRef] [PubMed]
- Doubeni, C.A.; Laiyemo, A.O.; Reed, G.; Field, T.S.; Fletcher, R.H. Socioeconomic and racial patterns of colorectal cancer screening among Medicare enrollees in 2000 to 2005. Cancer Epidemiol. Biomark. Prev. 2009, 18, 2170–2175. [Google Scholar] [CrossRef]






| Characteristic | Group 1A, N = 450, n (%) | ** Group 2, N = 120, n (%) | Group 1B, N = 426, n (%) | * p-Value |
|---|---|---|---|---|
| Age (years) | ||||
| Age range | 14–81 | 21–76 | 14–81 | NA |
| Sex | ||||
| Male | 217 (48.2%) | 40 (33.3%) | 207 (48.6) | 0.005 |
| Female | 233 (51.8%) | 80 (66.7%) | 219 (51.4) | |
| Ethnicity | ||||
| Mixed (Colored) | 439 (97.5%) | 108 (90.0%) | 426 (100%) | <0.001 |
| Indigenous African | 10 (2.2%) | 6 (5.0%) | 0 (0.0%) | |
| Unknown | 1 (0.2%) | 6 (5.0%) | 0 (0.0%) | |
| Cancer status | ||||
| Presymptomatic | 228 (51.8%) | 63 (52.5%) | 222 (52.1%) | 0.799 |
| Affected | 222 (49.3%) | 57 (47.5%) | 204 (47.9%) | |
| Cancer type | ||||
| CRC | 176 (79.3%) | 43 (75.4%) | 163 (79.9%) | 0.654 |
| Extracolonic cancer | 46 (20.%) | 14 (24.6%) | 41 (20.1%) | |
| Cancer by sex: Female | ||||
| CRC | 68 (65.4%) | 24(68.6%) | 60 (64.5%) | 0.890 |
| Extracolonic cancer | 36 (34.9%) | 11 (31.4%) | 33 (35.5%) | |
| Cancer by sex: Male | ||||
| CRC | 108 (91.5%) | 19 (86.4%) | 103 (92.8) | 0.715 |
| Extracolonic cancer | 10 (8.5%) | 3 (13.6%) | 8 (7.2%) |
| Number of Patients (n) | Age for Group 1A in Years (n = 222) | Age for Group 2 in Years (n = 57) | Age for Group 1B in Years (n = 204) | * p-Value | |||||||
|---|---|---|---|---|---|---|---|---|---|---|---|
| Mean (SD) | Median | Range | Mean (SD) | Median | Range | Mean (SD) | Median (Range) | Range | |||
| Any first cancer | |||||||||||
| All | 279 | 43.2 (11.3) | 41.5 | 16.6–78.2 | 47.3 (11.0) | 46.4 | 26.0–76.0 | 41.7 (11.2) | 42.8 | 15.3–78.2 | 0.015 |
| Female | 139 | 44.8 (11.0) | 45.4 | 16.6–78.0 | 47.1 (12.0) | 47.1 | 26.0–76.0 | 43,3 (10.5) | 45.2 | 16.6–78.0 | 0.310 |
| Male | 140 | 41.8 (11.4) | 40.0 | 15.3–78.2 | 47.5 (9.5) | 45.8 | 26.6–64.9 | 40.4 (11.6) | 40.2 | 15.3–78.2 | 0.017 |
| First CRC | |||||||||||
| All | 222 | 41.8 (10.4) | 41.5 | 16.6–78.2 | 44.8 (9.6) | 44.6 | 26.0–64.9 | 41.7 (10.8) | 42.8 | 16.6–78.2 | 0.078 |
| Female | 92 | 42.3 (9.63) | 43.0 | 16.6–69.7 | 43.1 (9.3) | 43.6 | 26.0–58.0 | 43.3 (10.5) | 45.2 | 16.6–78.0 | 0.697 |
| Male | 127 | 41.6 (10.8) | 39.8 | 19.6–78.2 | 46.9 (9.9) | 44.6 | 26.6–64.9 | 40.4 (11.0) | 39.8 | 19.6–78.2 | 0.043 |
| First Extracolonic cancer | |||||||||||
| All | 60 | 48.3 (13.3) | 49.6 | 15.3–78.0 | 54.8 (11.9) | 54.6 | 30.0–76.0 | 45.8 (13.6) | 49.4 | 15.3–78.0 | 0.093 |
| Female | 47 | 49.4 (11.9) | 50.0 | 25.2–78.0 | 55.8 (13.2) | 59.5 | 30.0–76.0 | 47.2 (12.2) | 49.4 | 25.2–78.0 | 0.175 |
| Male | 13 | 44.0 (17.3) | 43.8 | 15.3– 68.0 | 51.2 (5.2) | 53.6 | 45.2–54.8 | 40.4 (18.8) | 43.8 | 15.3–68.0 | 0.269 |
| Cancer | Group 1A (n = 222) | Group 2 (n = 57) | Group 1B (n = 204) |
|---|---|---|---|
| CRC | 176 (79.3%) | 43 (75.4%) | 162 (79.4%) |
| Endometrium | 15 (6.8%) | 2 (3.5%) | 14 (6.9%) |
| Bladder | 1 (0.5%) | 0 (0.0%) | 1 (0.5%) |
| Brain | 1 (0.5%) | 0 (0.0%) | 1 (0.5%) |
| Breast | 8 (3.6%) | 1 (1.8%) | 6 (2.9%) |
| Small bowel | 9 (4.1%) | 3 (5.3%) | 8 (3.9%) |
| Head and Neck | 0 (0.0%) | 2 (3.5%) | 0 (0.0%) |
| Liver | 1 (0.5%) | 0 (0.0%) | 1 (0.5%) |
| Ovary | 2 (0.9%) | 0 (0.0%) | 2 (0.9%) |
| Esophagus | 0 (0.0%) | 1 (1.8%) | 0 (0.0%) |
| Pancreas | 1 (0.5%) | 0 (0.0%) | 1 (0.5%) |
| kidney | 1 (0.5%) | 0 (0.0%) | 1 (0.5%) |
| Prostate | 1 (0.5%) | 0 (0.0%) | 1 (0.5%) |
| Skin | 2 (0.9%) | 1 (1.8%) | 2 (0.9%) |
| Spleen | 0 (0.0%) | 1 (1.8%) | 0 (0.0%) |
| Gastric | 3 (1.4%) | 2 (3.5%) | 2 (0.9%) |
| Thyroid | 1 (0.5%) | 0 (0.0%) | 1 (0.5%) |
| Lung | 0 (0.0%) | 1 (1.8%) | 0 (0.0%) |
| Cancer Type | Age (Year) | All % (CI95) | Sex | Group 1A | Group 2 | Group 1B | |||||||
|---|---|---|---|---|---|---|---|---|---|---|---|---|---|
| Female % (CI95) | Male % (CI95) | All % (CI95) | Female % (CI95) | Male % (CI95) | All % (CI95) | Female % (CI95) | Male % (CI95) | All % (CI95) | Female % (CI95) | Male % (CI95) | |||
| Any cancer | 50 | 50.4 (45.0–55.3) | 44.2 (36.8–50.7) | 58.0 (49.6–65.0) | 54.2 (47.9–59.7) | 48.0 (39.1–55.6) | 60.9 (51.6–68.4) | 37.7 (26.3–47.2) | 34.0 (22.8–60.6) | 44.8 (22.8–60.6) | 54.9 (48.3–60.6) | 49.3 (42.8–57.2) | 60.8 (53.1–69.1) |
| 60 | 72.7 (66.9–77.5) | 66.8 (58.3–73.5) | 80.0 (71.4–86.1) | 74.8 (68.1–80.2) | 69.7 (59.5–77.4) | 80.3 (70.6–86.8) | 65.5 (51.8–75.3) | 59.0 (41.50–71.30) | 78.4 (51.4–90.4) | 73.4 (66.4–79.0) | 66.9 (62.5–74.9) | 80.0 (69.2–86.8) | |
| 70 | 87.1 (80.8–91.3) | 81.0 (70.9–87.6) | 93.5 (85.0–97.2) | 88.4 (81.2–92.8) | 82.3 (70.3–89.4) | 94.1 (84.2–97.8) | 82.9 (65.2–91.6) | 77.7 (51.9–89.7) | 91.9 (55.6–98.5) | 87.0 (79.4–91.8) | 78.5 (61.4–86.0) | 94.0 (83.9–97.8) | |
| Colorectal | 50 | 51.5 (45.5–56.9) | 44.7 (36.2–52.1) | 58.6 (49.8–65.8) | 54.5 (47.6–60.5) | 47.1 (36.7–55.7) | 61.3 (51.5–69.1) | 41.3 (28.3–51.9) | 38.4 (22.2–51.3) | 46.1 (22.3–62.6) | 54.6 (47.3–60.8) | 47.5 (43.5–56.5) | 60.9 (51.0–69.0) |
| 60 | 70.3 (63.5–75.8) | 60.8 (50.6–68.8) | 79.3 (70.0–85.8) | 71.7 (63.9–77.8) | 60.7 (48.6–70.0) | 80.4 (70.0–87.1) | 65.2 (49.4–76.1) | 59.7 (38.8–73.5) | 74.6 (44.5–88.4) | 71.2 (63.1–77.5) | 58.7 (47.8–68.3) | 80.6 (70.2–87.5) | |
| 70 | 82.1 (73.7–87.7) | 69.7 (54.5–79.8) | 91.5 (82.1–96.0) | 84.1 (74.6–90.0) | 71.9 (53.9–82.9) | 92.1 (81.1–96.7) | 75.0 (53.8–86.4) | 59.7 (38.8–73.5) | 90.5 (48.4–98.2) | 82.3 (72.9–88.4) | 65.1 (53.0–75.4) | 92.2 (81.3–96.7) | |
| Extracolonic | 50 | 15.2 (9.4–20.6) | 16.5 (9.3–23.1) | 11.4 (2.3–19.7) | 18.5 (11.0–25.4) | 20.9 (11.4–29.4) | 11.2 (1.4–19.9) | 5.8 (0.0–12.0) | 4.6 (1.1–10.6) | 11.1 (0.0–29.4) | 19.5 (11.4–27.8) | 22.2 (12.1–31.2) | 10.6 (0.2–19.9) |
| 60 | 38.1 (27.5–47.1) | 39.5 (27.3–49.6) | 34.0 (14.8–51.8) | 42.1 (28.8–53.0) | 46.5 (30.7–58.7) | 28.3 (0.9–48.0) | 27.7 (9.4–42.4) | 23.1 (6.9–38.5) | 46.7 (24.9–74.9) | 36.9 (25.8–48.5) | 41.3 (26.2–53.3) | 21.8 (0.0–41.1) | |
| 70 | 59.8 (29.0–70.7) | 59.8 (43.3–71.7) | 60.4 (31.5–81.9) | 61.3 (42.3–74.1) | 61.1 (41.0–74.4) | 64.1 (12.8–100.0) | 56.2 (20.7–75.8) | 58.2 (14.2–79.6) | 46.7 (24.9–74.9) | 57.9 (37.8–74.6) | 57.3 (36.4–71.4) | 60.9 (0.0–85.6) | |
| Number of LSVH | Number of Deaths | 5-Year Survival (95% CI) | 10-Year Survival (95% CI) | |
|---|---|---|---|---|
| Male | 107 | 43 | 73.0% (64.9–82.7%) | 62.1% (52.9–74.1%) |
| Female | 90 | 26 | 81.1% (73.1–90.0%) | 77.6% (68.8–87.5%) |
| Any cancer | 197 | 69 | 76.9% (70.9–83.3%) | 69.5% (62.6–77.1%) |
| CRC | 161 | 56 | 78.5% (72.1–85.4%) | 70.9% (63.5–79.2%) |
| Any extracolonic cancer | 36 | 13 | 70.0% (55.8–87.7%) | 63.6% (47.4–85.3%) |
| Gynaecological cancer | 16 | 5 | 86.5% (72.1–85.4%) | 74.2% (70.7–100%) |
| Diagnosed < 40 years | 90 | 27 | 81.4% (73.6–90.1%) | 73.3% (64.0–84.1%) |
| Diagnosed > 40 years | 107 | 42 | 72.6% (64.0–82.4%) | 65.9% (56.3–77.2%) |
Disclaimer/Publisher’s Note: The statements, opinions and data contained in all publications are solely those of the individual author(s) and contributor(s) and not of MDPI and/or the editor(s). MDPI and/or the editor(s) disclaim responsibility for any injury to people or property resulting from any ideas, methods, instructions or products referred to in the content. |
© 2024 by the authors. Licensee MDPI, Basel, Switzerland. This article is an open access article distributed under the terms and conditions of the Creative Commons Attribution (CC BY) license (https://creativecommons.org/licenses/by/4.0/).
Share and Cite
Ndou, L.; Chambuso, R.; Algar, U.; Boutall, A.; Goldberg, P.; Ramesar, R. Genomic Medicine in the Developing World: Cancer Spectrum, Cumulative Risk and Survival Outcomes for Lynch Syndrome Variant Heterozygotes with Germline Pathogenic Variants in the MLH1 and MSH2 Genes. Biomedicines 2024, 12, 2906. https://doi.org/10.3390/biomedicines12122906
Ndou L, Chambuso R, Algar U, Boutall A, Goldberg P, Ramesar R. Genomic Medicine in the Developing World: Cancer Spectrum, Cumulative Risk and Survival Outcomes for Lynch Syndrome Variant Heterozygotes with Germline Pathogenic Variants in the MLH1 and MSH2 Genes. Biomedicines. 2024; 12(12):2906. https://doi.org/10.3390/biomedicines12122906
Chicago/Turabian StyleNdou, Lutricia, Ramadhani Chambuso, Ursula Algar, Adam Boutall, Paul Goldberg, and Raj Ramesar. 2024. "Genomic Medicine in the Developing World: Cancer Spectrum, Cumulative Risk and Survival Outcomes for Lynch Syndrome Variant Heterozygotes with Germline Pathogenic Variants in the MLH1 and MSH2 Genes" Biomedicines 12, no. 12: 2906. https://doi.org/10.3390/biomedicines12122906
APA StyleNdou, L., Chambuso, R., Algar, U., Boutall, A., Goldberg, P., & Ramesar, R. (2024). Genomic Medicine in the Developing World: Cancer Spectrum, Cumulative Risk and Survival Outcomes for Lynch Syndrome Variant Heterozygotes with Germline Pathogenic Variants in the MLH1 and MSH2 Genes. Biomedicines, 12(12), 2906. https://doi.org/10.3390/biomedicines12122906

