Increased Frequency of Giant Miniature End-Plate Potentials at the Neuromuscular Junction in Diabetic Rats
Abstract
1. Introduction
2. Materials and Methods
2.1. Animals and Diabetes Induction
2.2. Induction to Diabetes
2.3. Diaphragm Dissection
2.4. Electrophysiological Recording
2.5. Statistical Analysis
3. Results
3.1. Glucose and Weight of Wistar Rats
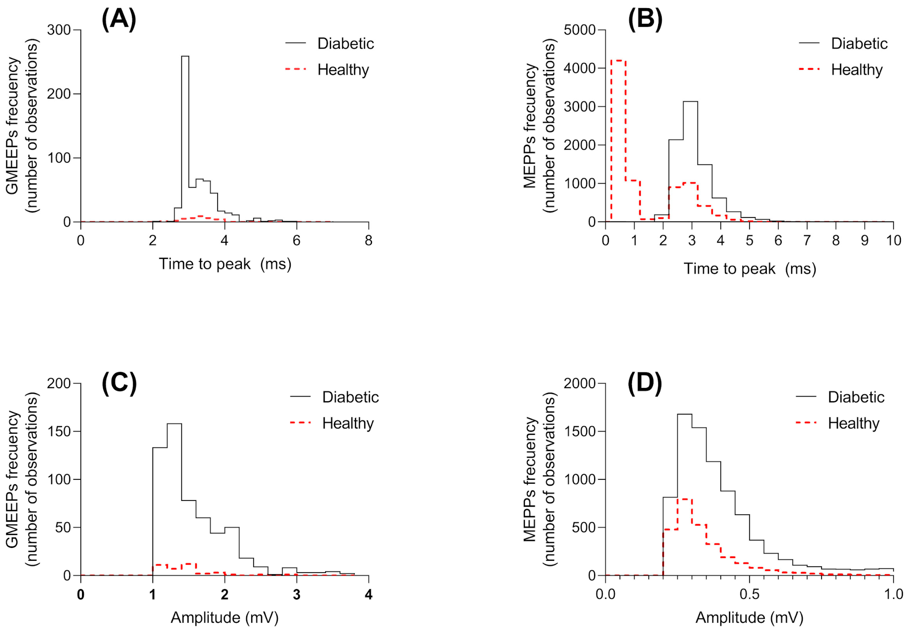
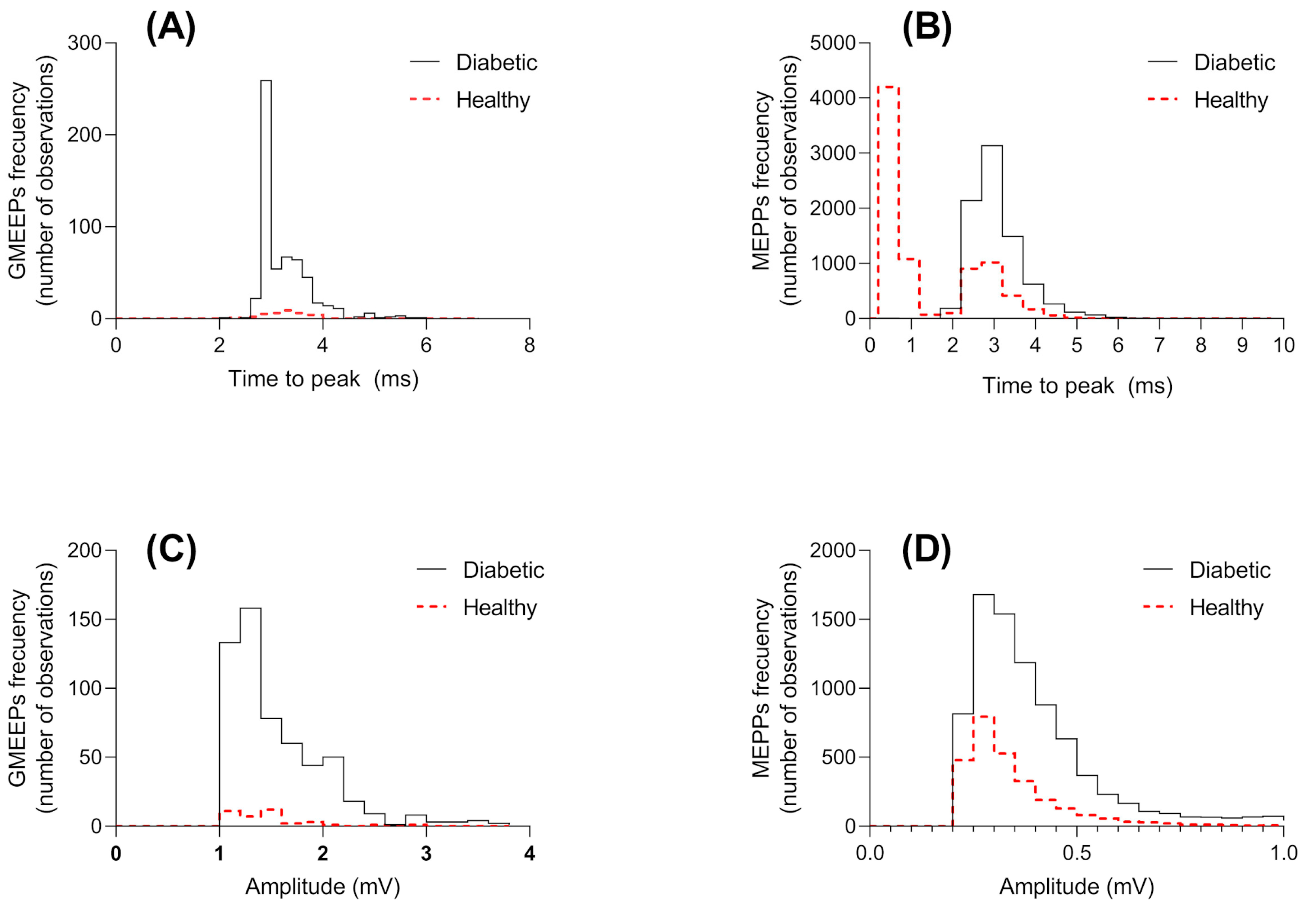
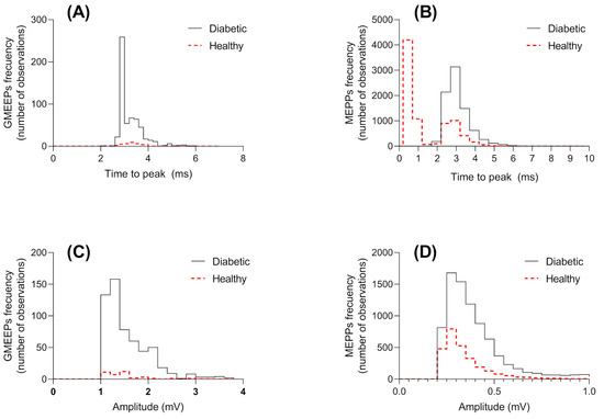
3.2. GMEPP Frequency Increases in Diabetic Wistar Rats
3.3. Diabetes Changes Electrophysiological Parameters of the NMJ
4. Discussion
5. Conclusions
Author Contributions
Funding
Institutional Review Board Statement
Informed Consent Statement
Data Availability Statement
Acknowledgments
Conflicts of Interest
References
- Galicia-Garcia, U.; Benito-Vicente, A.; Jebari, S.; Larrea-Sebal, A.; Siddiqi, H.; Uribe, K.B.; Ostolaza, H.; Martín, C. Pathophysiology of Type 2 Diabetes Mellitus. Int. J. Mol. Sci. 2020, 21, 6275. [Google Scholar] [CrossRef] [PubMed]
- Demir, S.; Nawroth, P.P.; Herzig, S.; Ekim Üstünel, B. Emerging Targets in Type 2 Diabetes and Diabetic Complications. Adv. Sci. 2021, 8, 2100275. [Google Scholar] [CrossRef] [PubMed]
- Khan, M.A.B.; Hashim, M.J.; King, J.K.; Govender, R.D.; Mustafa, H.; Al Kaabi, J. Epidemiology of Type 2 Diabetes–Global Burden of Disease and Forecasted Trends. J. Epidemiol. Glob. Health 2020, 10, 107–111. [Google Scholar] [CrossRef] [PubMed]
- Muramatsu, K. Diabetes Mellitus-Related Dysfunction of the Motor System. Int. J. Mol. Sci. 2020, 21, 7485. [Google Scholar] [CrossRef]
- Pandey, S.; Dvorakova, M.C. Future Perspective of Diabetic Animal Models. Endocr. Metab. Immune Disord. Drug Targets 2020, 20, 25–38. [Google Scholar] [CrossRef] [PubMed]
- Rawshani, A.; Sattar, N.; Franzén, S.; Rawshani, A.; Hattersley, A.T.; Svensson, A.-M.; Eliasson, B.; Gudbjörnsdottir, S. Excess Mortality and Cardiovascular Disease in Young Adults with Type 1 Diabetes in Relation to Age at Onset: A Nationwide, Register-Based Cohort Study. Lancet 2018, 392, 477–486. [Google Scholar] [CrossRef] [PubMed]
- Levy, T.S.; Rivera-Dommarco, J.; Bertozzi, S. Encuesta Nacional de Salud y Nutrición 2018–19: Análisis de sus principales resultados. Salud Pública México 2020, 62, 614–617. [Google Scholar] [CrossRef]
- Yang, X.; Ni, L.; Sun, J.; Yuan, X.; Li, D. Associations between Rs3480 and Rs16835198 Gene Polymorphisms of FNDC5 with Type 2 Diabetes Mellitus Susceptibility: A Meta-Analysis. Front. Endocrinol. 2022, 13, 946982. [Google Scholar] [CrossRef]
- Dyck, P.J.; Albers, J.W.; Andersen, H.; Arezzo, J.C.; Biessels, G.-J.; Bril, V.; Feldman, E.L.; Litchy, W.J.; O’Brien, P.C.; Russell, J.W.; et al. Diabetic Polyneuropathies: Update on Research Definition, Diagnostic Criteria and Estimation of Severity. Diabetes Metab. Res. Rev. 2011, 27, 620–628. [Google Scholar] [CrossRef]
- Allen, M.D.; Doherty, T.J.; Rice, C.L.; Kimpinski, K. Physiology in Medicine: Neuromuscular Consequences of Diabetic Neuropathy. J. Appl. Physiol. 2016, 121, 1–6. [Google Scholar] [CrossRef]
- Andersen, H. Motor Dysfunction in Diabetes. Diabetes Metab. Res. Rev. 2012, 28 (Suppl. 1), 89–92. [Google Scholar] [CrossRef] [PubMed]
- Andersen, H.; Nielsen, S.; Mogensen, C.E.; Jakobsen, J. Muscle Strength in Type 2 Diabetes. Diabetes 2004, 53, 1543–1548. [Google Scholar] [CrossRef] [PubMed]
- Iyer, S.R.; Shah, S.B.; Lovering, R.M. The Neuromuscular Junction: Roles in Aging and Neuromuscular Disease. Int. J. Mol. Sci. 2021, 22, 8058. [Google Scholar] [CrossRef] [PubMed]
- Fahim, M.A.; Hasan, M.Y.; Alshuaib, W.B. Early Morphological Remodeling of Neuromuscular Junction in a Murine Model of Diabetes. J. Appl. Physiol. 2000, 89, 2235–2240. [Google Scholar] [CrossRef] [PubMed]
- Rodríguez Cruz, P.M.; Cossins, J.; Beeson, D.; Vincent, A. The Neuromuscular Junction in Health and Disease: Molecular Mechanisms Governing Synaptic Formation and Homeostasis. Front. Mol. Neurosci. 2020, 13, 610964. [Google Scholar] [CrossRef] [PubMed]
- Fatt, P.; Katz, B. An Analysis of the End-Plate Potential Recorded with an Intra-Cellular Electrode. J. Physiol. 1951, 115, 320–370. [Google Scholar] [CrossRef] [PubMed]
- Fatt, P.; Katz, B. Spontaneous Subthreshold Activity at Motor Nerve Endings. J. Physiol. 1952, 117, 109–128. [Google Scholar] [CrossRef] [PubMed]
- Liley, A.W. An Investigation of Spontaneous Activity at the Neuromuscular Junction of the Rat. J. Physiol. 1956, 132, 650–666. [Google Scholar] [CrossRef]
- Katz, B.; Miledi, R. The Binding of Acetylcholine to Receptors and Its Removal from the Synaptic Cleft. J. Physiol. 1973, 231, 549–574. [Google Scholar] [CrossRef]
- Kalamida, D.; Poulas, K.; Avramopoulou, V.; Fostieri, E.; Lagoumintzis, G.; Lazaridis, K.; Sideri, A.; Zouridakis, M.; Tzartos, S.J. Muscle and Neuronal Nicotinic Acetylcholine Receptors. FEBS J. 2007, 274, 3799–3845. [Google Scholar] [CrossRef]
- Arifin, W.N.; Zahiruddin, W.M. Sample Size Calculation in Animal Studies Using Resource Equation Approach. Malays. J. Med. Sci. 2017, 24, 101–105. [Google Scholar] [CrossRef] [PubMed]
- Festing, M.F. On Determining Sample Size in Experiments Involving Laboratory Animals. Lab. Anim. 2018, 52, 341–350. [Google Scholar] [CrossRef] [PubMed]
- Furman, B.L. Streptozotocin-Induced Diabetic Models in Mice and Rats. Curr. Protoc. 2021, 1, e78. [Google Scholar] [CrossRef] [PubMed]
- Márquez-Ibarra, A.; Huerta, M.; Villalpando-Hernández, S.; Ríos-Silva, M.; Díaz-Reval, M.I.; Cruzblanca, H.; Mancilla, E.; Trujillo, X. The Effects of Dietary Iron and Capsaicin on Hemoglobin, Blood Glucose, Insulin Tolerance, Cholesterol, and Triglycerides, in Healthy and Diabetic Wistar Rats. PLoS ONE 2016, 11, e0152625. [Google Scholar] [CrossRef] [PubMed]
- Özdek, U.; Yıldırım, S.; Değer, Y. The Effect of Diplotaenia Turcica Root Extract in Streptozotocin-Induced Diabetic Rats. Turk. J. Biochem. 2020, 45, 213–222. [Google Scholar] [CrossRef]
- Laferriere, C.A.; Pang, D.S. Review of Intraperitoneal Injection of Sodium Pentobarbital as a Method of Euthanasia in Laboratory Rodents. J. Am. Assoc. Lab. Anim. Sci. 2020, 59, 254–263. [Google Scholar] [CrossRef]
- Pousinha, P.A.; Correia, A.M.; Sebastião, A.M.; Ribeiro, J.A. The Giant Miniature Endplate Potentials Frequency Is Increased in Aged Rats. Neurosci. Lett. 2015, 584, 224–229. [Google Scholar] [CrossRef]
- Hakim, C.H.; Lessa, T.B.; Jenkins, G.J.; Yang, N.N.; Ambrosio, C.E.; Duan, D. An Improved Method for Studying Mouse Diaphragm Function. Sci. Rep. 2019, 9, 19453. [Google Scholar] [CrossRef]
- Rodrigues, A.Z.C.; Wang, Z.-M.; Messi, M.L.; Delbono, O. Sympathomimetics Regulate Neuromuscular Junction Transmission through TRPV1, P/Q- and N-Type Ca2+ Channels. Mol. Cell. Neurosci. 2019, 95, 59–70. [Google Scholar] [CrossRef]
- Bray, J.J.; Hawken, M.J.; Hubbard, J.I.; Pockett, S.; Wilson, L. The Membrane Potential of Rat Diaphragm Muscle Fibres and the Effect of Denervation. J. Physiol. 1976, 255, 651–667. [Google Scholar] [CrossRef]
- Zanetti, G.; Negro, S.; Megighian, A.; Pirazzini, M. Electrophysiological Recordings of Evoked End-Plate Potential on Murine Neuro-Muscular Synapse Preparations. Bio-Protoc. 2018, 8, e2803. [Google Scholar] [CrossRef] [PubMed]
- Muramatsu, K.; Niwa, M.; Nagai, M.; Kamimura, T.; Sasaki, S.-I.; Ishiguro, T. The Size of Motoneurons of the Gastrocnemius Muscle in Rats with Diabetes. Neurosci. Lett. 2012, 531, 109–113. [Google Scholar] [CrossRef] [PubMed]
- Bauerfeind, R.; Huttner, W.B.; Almers, W.; Augustine, G.J. Quantal Neurotransmitter Release from Early Endosomes? Trends Cell Biol. 1994, 4, 155–156. [Google Scholar] [CrossRef] [PubMed]
- Estrada-Bonilla, Y.C.; Castro, P.A.T.S.; Luna, G.L.F.; Souza, A.B.A.; Santos, G.S.; Salvini, T.F.; Leal, A.M.O.; Russo, T.L. Reaching Task Performance Is Associated to Neuromuscular Junction Adaptations in Rats with Induced Diabetes Mellitus. Braz. J. Med. Biol. Res. 2020, 53, e8763. [Google Scholar] [CrossRef] [PubMed]
- Ferrari, M.C.; Peixoto, J.V.; Fogaça, R.H.; Dias, F.A. Changes in Phrenic Nerve Compound Muscle Action Potential in Streptozotocin-Induced Diabetic Rats. Respir. Physiol. Neurobiol. 2022, 303, 103923. [Google Scholar] [CrossRef]
- Romanovsky, D.; Wang, J.; Al-Chaer, E.D.; Stimers, J.R.; Dobretsov, M. Comparison of Metabolic and Neuropathy Profiles of Rats with Streptozotocin-Induced Overt and Moderate Insulinopenia. Neuroscience 2010, 170, 337–347. [Google Scholar] [CrossRef]
- Da Costa, R.; Doctor, P.; Mahajan, K.; Lakkappan, V.G. Bilateral Phrenic Nerve Palsy in a Diabetic Causing Respiratory Failure. Indian J. Crit. Care Med. 2018, 22, 737–739. [Google Scholar] [CrossRef]
- Kimura, I.; Okazaki, M.; Kimura, M. Streptozocin-Diabetes Modifies Acetylcholine Release from Mouse Phrenic Nerve Terminal and Presynaptic Sensitivity to Succinylcholine. Jpn. J. Pharmacol. 1993, 62, 35–41. [Google Scholar] [CrossRef]
- Blight, A.R.; Precht, W. Miniature Endplate Potentials Related to Neuronal Injury. Brain Res. 1982, 238, 233–238. [Google Scholar] [CrossRef]
- Callahan, L.A.; Supinski, G.S. Hyperglycemia-Induced Diaphragm Weakness Is Mediated by Oxidative Stress. Crit. Care Lond. Engl. 2014, 18, R88. [Google Scholar] [CrossRef]
- Kolahian, S.; Leiss, V.; Nürnberg, B. Diabetic Lung Disease: Fact or Fiction? Rev. Endocr. Metab. Disord. 2019, 20, 303–319. [Google Scholar] [CrossRef]
- Liu, Y.; Lin, W. Morphological and Functional Alterations of Neuromuscular Synapses in a Mouse Model of ACTA1 Congenital Myopathy. Hum. Mol. Genet. 2023, ddad183. [Google Scholar] [CrossRef]
- Schiavo, G.; Matteoli, M.; Montecucco, C. Neurotoxins Affecting Neuroexocytosis. Physiol. Rev. 2000, 80, 717–766. [Google Scholar] [CrossRef]
- Sellin, L.C.; Molgó, J.; Törnquist, K.; Hansson, B.; Thesleff, S. On the Possible Origin of “Giant or Slow-Rising” Miniature End-Plate Potentials at the Neuromuscular Junction. Pflüg. Arch. 1996, 431, 325–334. [Google Scholar] [CrossRef]
- Eiber, N.; Rehman, M.; Kravic, B.; Rudolf, R.; Sandri, M.; Hashemolhosseini, S. Loss of Protein Kinase Csnk2b/CK2β at Neuromuscular Junctions Affects Morphology and Dynamics of Aggregated Nicotinic Acetylcholine Receptors, Neuromuscular Transmission, and Synaptic Gene Expression. Cells 2019, 8, 940. [Google Scholar] [CrossRef]
- Entezari, M.; Hashemi, D.; Taheriazam, A.; Zabolian, A.; Mohammadi, S.; Fakhri, F.; Hashemi, M.; Hushmandi, K.; Ashrafizadeh, M.; Zarrabi, A.; et al. AMPK Signaling in Diabetes Mellitus, Insulin Resistance and Diabetic Complications: A Pre-Clinical and Clinical Investigation. Biomed. Pharmacother. 2022, 146, 112563. [Google Scholar] [CrossRef]
- Yaribeygi, H.; Sathyapalan, T.; Atkin, S.L.; Sahebkar, A. Molecular Mechanisms Linking Oxidative Stress and Diabetes Mellitus. Oxidative Med. Cell. Longev. 2020, 2020, 8609213. [Google Scholar] [CrossRef]
- Webster, R.G. Animal Models of the Neuromuscular Junction, Vitally Informative for Understanding Function and the Molecular Mechanisms of Congenital Myasthenic Syndromes. Int. J. Mol. Sci. 2018, 19, 1326. [Google Scholar] [CrossRef]
- Doherty, P.; Hawgood, B.J.; Smith, I.C. Changes in Miniature End-Plate Potentials Due to Moderate Hypertonicity at the Frog Neuromuscular Junction. J. Physiol. 1986, 376, 1–11. [Google Scholar] [CrossRef]
- Colméus, C.; Gomez, S.; Molgó, J.; Thesleff, S. Discrepancies between Spontaneous and Evoked Synaptic Potentials at Normal, Regenerating and Botulinum Toxin Poisoned Mammalian Neuromuscular Junctions. Proc. R. Soc. Lond. B Biol. Sci. 1982, 215, 63–74. [Google Scholar] [CrossRef]
- Lundt, S.; Zhang, N.; Wang, X.; Polo-Parada, L.; Ding, S. The Effect of NAMPT Deletion in Projection Neurons on the Function and Structure of Neuromuscular Junction (NMJ) in Mice. Sci. Rep. 2020, 10, 99. [Google Scholar] [CrossRef] [PubMed]
- Eiber, N.; Fröb, F.; Schowalter, M.; Thiel, C.; Clemen, C.S.; Schröder, R.; Hashemolhosseini, S. Lack of Desmin in Mice Causes Structural and Functional Disorders of Neuromuscular Junctions. Front. Mol. Neurosci. 2020, 13, 567084. [Google Scholar] [CrossRef] [PubMed]
- Thesleff, S. Botulinal Neurotoxins as Tools in Studies of Synaptic Mechanisms. Q. J. Exp. Physiol. 1989, 74, 1003–1017. [Google Scholar] [CrossRef] [PubMed][Green Version]
- Fahim, M.A.; Al Shuaib, W.; Davidson, N. Depolarization Affects Neuromuscular Junction of Streptozotocin-Diabetic Mice. Cell. Mol. Biol. (Noisy-Le-Grand) 1999, 45, 259–263. [Google Scholar][Green Version]



| Initial | Final | |
|---|---|---|
| Body weight (g) | ||
| Healthy | 326 ± 13 | 375 ± 31 * |
| Diabetes | 351 ± 19 | 306 ± 26 * |
| Fasting glucose (mg/dL) | ||
| Healthy | 79 ± 3 | 72 ± 3 |
| Diabetes | 372 ± 15 | 268 ± 17 *** |
| Healthy | Diabetic | |
|---|---|---|
| Resting membrane potential (mV) | −75 ± 0.13 | −69 ± 0.24 ** |
| Time to peak (ms) GMEEPs | 3.10 ± 0.06 (n = 38) | 3.13 ± 0.02 (n = 572) |
| Time to peak (ms) MEEPs | 2.7 ± 0.01 (n = 2709) | 2.8 ± 0.07 *** (n = 8065) |
| Amplitude (mV) GMEEPs | 1.37 ± 0.06 (n = 38) | 1.47 ± 0.02 (n = 572) |
| Amplitude (mV) MEEPs | 0.31 ± 0.002(n = 2709) | 0.36 ± 0.001 *** (n = 8065) |
Disclaimer/Publisher’s Note: The statements, opinions and data contained in all publications are solely those of the individual author(s) and contributor(s) and not of MDPI and/or the editor(s). MDPI and/or the editor(s) disclaim responsibility for any injury to people or property resulting from any ideas, methods, instructions or products referred to in the content. |
© 2023 by the authors. Licensee MDPI, Basel, Switzerland. This article is an open access article distributed under the terms and conditions of the Creative Commons Attribution (CC BY) license (https://creativecommons.org/licenses/by/4.0/).
Share and Cite
Martínez-Sánchez, J.E.; Cárdenas, Y.; Trujillo, X.; Ríos-Silva, M.; Díaz-Reval, M.I.; Bricio-Barrios, J.A.; Muñiz, J.; Alcaraz-Siqueiros, J.; Huerta, M. Increased Frequency of Giant Miniature End-Plate Potentials at the Neuromuscular Junction in Diabetic Rats. Biomedicines 2024, 12, 68. https://doi.org/10.3390/biomedicines12010068
Martínez-Sánchez JE, Cárdenas Y, Trujillo X, Ríos-Silva M, Díaz-Reval MI, Bricio-Barrios JA, Muñiz J, Alcaraz-Siqueiros J, Huerta M. Increased Frequency of Giant Miniature End-Plate Potentials at the Neuromuscular Junction in Diabetic Rats. Biomedicines. 2024; 12(1):68. https://doi.org/10.3390/biomedicines12010068
Chicago/Turabian StyleMartínez-Sánchez, Julián Elías, Yolitzy Cárdenas, Xóchitl Trujillo, Mónica Ríos-Silva, M. Irene Díaz-Reval, Jaime Alberto Bricio-Barrios, Jesús Muñiz, Julio Alcaraz-Siqueiros, and Miguel Huerta. 2024. "Increased Frequency of Giant Miniature End-Plate Potentials at the Neuromuscular Junction in Diabetic Rats" Biomedicines 12, no. 1: 68. https://doi.org/10.3390/biomedicines12010068
APA StyleMartínez-Sánchez, J. E., Cárdenas, Y., Trujillo, X., Ríos-Silva, M., Díaz-Reval, M. I., Bricio-Barrios, J. A., Muñiz, J., Alcaraz-Siqueiros, J., & Huerta, M. (2024). Increased Frequency of Giant Miniature End-Plate Potentials at the Neuromuscular Junction in Diabetic Rats. Biomedicines, 12(1), 68. https://doi.org/10.3390/biomedicines12010068

