Efficacy of Serotonin and Dopamine Activity Modulators in the Treatment of Negative Symptoms in Schizophrenia: A Rapid Review
Abstract
1. Introduction
Aims and Rationale
2. Methods
- i.
- constraints of rapid review methods (e.g., limited search) will provide sufficient information and be credible for end-users;
- ii.
- the review has a narrow, well-defined scope (e.g., limited population, new drugs);
- iii.
- the amount of evidence on the topic chosen is small;
- iv.
- the evidence to summarize is limited in terms of years of interest;
- v.
2.1. Setting the Research Question and Eligibility Criteria
2.2. Search Terms and Electronic Searches
2.3. Screening and Selection Process
2.4. Data Extraction
2.5. Risk of Bias Assessment
2.6. Synthesis and Discussion
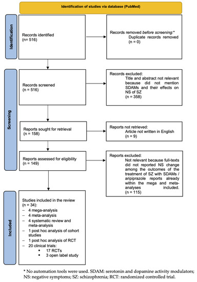
3. Results
3.1. Studies on the Efficacy of Aripiprazole in the Treatment of NS
3.1.1. Aripiprazole versus Placebo
3.1.2. Aripiprazole versus Other Antipsychotics
3.1.3. Aripiprazole as Augmentation Treatment
3.2. Studies on the Efficacy of Brexpiprazole in the Treatment of NS
3.3. Studies on the Efficacy of Cariprazine in the Treatment of NS
3.3.1. Cariprazine versus Placebo
3.3.2. Cariprazine in the Treatment of Predominant NS and versus Other Antipsychotics
3.4. Efficacy of Lumateperone in the Treatment of NS
4. Discussion
4.1. Limitations and Strengths
4.2. Implications and Future Directions
5. Conclusions
Author Contributions
Funding
Institutional Review Board Statement
Informed Consent Statement
Data Availability Statement
Acknowledgments
Conflicts of Interest
References
- Charlson, F.J.; Ferrari, A.J.; Santomauro, D.F.; Diminic, S.; Stockings, E.; Scott, J.G.; McGrath, J.J.; Whiteford, H.A. Global Epidemiology and Burden of Schizophrenia: Findings From the Global Burden of Disease Study 2016. Schizophr. Bull. 2018, 44, 1195–1203. [Google Scholar] [CrossRef] [PubMed]
- Valiente, C.; Espinosa, R.; Trucharte, A.; Nieto, J.; Martínez-Prado, L. The Challenge of Well-Being and Quality of Life: A Meta-Analysis of Psychological Interventions in Schizophrenia. Schizophr. Res. 2019, 208, 16–24. [Google Scholar] [CrossRef]
- Andreasen, N.C. The Lifetime Trajectory of Schizophrenia and the Concept of Neurodevelopment. Dialogues Clin. Neurosci. 2010, 12, 409–415. [Google Scholar] [CrossRef]
- Ashe, P.C.; Berry, M.D.; Boulton, A.A. Schizophrenia, a Neurodegenerative Disorder with Neurodevelopmental Antecedents. Prog. Neuro-Psychopharmacol. Biol. Psychiatry 2001, 25, 691–707. [Google Scholar] [CrossRef]
- Buoli, M.; Serati, M.; Caldiroli, A.; Cremaschi, L.; Altamura, A.C. Neurodevelopmental versus Neurodegenerative Model of Schizophrenia and Bipolar Disorder: Comparison with Physiological Brain Development and Aging. Psychiatr. Danub. 2017, 29, 24–27. [Google Scholar] [CrossRef]
- Velakoulis, D.; Wood, S.J.; McGorry, P.D.; Pantelis, C. Evidence for Progression of Brain Structural Abnormalities in Schizophrenia: Beyond the Neurodevelopmental Model. Aust. N. Z. J. Psychiatry 2000, 34, S113–S126. [Google Scholar] [CrossRef]
- Reckziegel, R.; Czepielewski, L.S.; Hasse-Sousa, M.; Martins, D.S.; de Britto, M.J.; Lapa, C.d.O.; Schwartzhaupt, A.W.; Gama, C.S. Heterogeneous Trajectories in Schizophrenia: Insights from Neurodevelopment and Neuroprogression Models. Rev. Bras. Psiquiatr. 2022, 44, 74–80. [Google Scholar] [CrossRef]
- de Berardis, D.; de Filippis, S.; Masi, G.; Vicari, S.; Zuddas, A. A Neurodevelopment Approach for a Transitional Model of Early Onset Schizophrenia. Brain Sci. 2021, 11, 275. [Google Scholar] [CrossRef]
- Rapoport, J.L.; Inoff-Germain, G. Update on Childhood-Onset Schizophrenia. Curr. Psychiatry Rep. 2000, 2, 410–415. [Google Scholar] [CrossRef]
- Thompson, P.M.; Vidal, C.; Giedd, J.N.; Gochman, P.; Blumenthal, J.; Nicolson, R.; Toga, A.W.; Rapoport, J.L. Mapping Adolescent Brain Change Reveals Dynamic Wave of Accelerated Gray Matter Loss in Very Early-Onset Schizophrenia. Proc. Natl. Acad. Sci. USA 2001, 98, 11650–11655. [Google Scholar] [CrossRef]
- Gogtay, N.; Giedd, J.N.; Lusk, L.; Hayashi, K.M.; Greenstein, D.; Vaituzis, A.C.; Nugent, T.F.; Herman, D.H.; Clasen, L.S.; Toga, A.W.; et al. Dynamic Mapping of Human Cortical Development during Childhood through Early Adulthood. Proc. Natl. Acad. Sci. USA 2004, 101, 8174–8179. [Google Scholar] [CrossRef]
- Greenstein, D.; Lerch, J.; Shaw, P.; Clasen, L.; Giedd, J.; Gochman, P.; Rapoport, J.; Gogtay, N. Childhood Onset Schizophrenia: Cortical Brain Abnormalities as Young Adults. J. Child Psychol. Psychiatry 2006, 47, 1003–1012. [Google Scholar] [CrossRef]
- Dahoun, T.; Trossbach, S.V.; Brandon, N.J.; Korth, C.; Howes, O.D. The Impact of Disrupted-in-Schizophrenia 1 (DISC1) on the Dopaminergic System: A Systematic Review. Transl. Psychiatry 2017, 7, e1015. [Google Scholar] [CrossRef]
- Norkett, R.; Modi, S.; Birsa, N.; Atkin, T.A.; Ivankovic, D.; Pathania, M.; Trossbach, S.V.; Korth, C.; Hirst, W.D.; Kittler, J.T. DISC1-Dependent Regulation of Mitochondrial Dynamics Controls the Morphogenesis of Complex Neuronal Dendrites. J. Biol. Chem. 2016, 291, 613–629. [Google Scholar] [CrossRef] [PubMed]
- Kvajo, M.; McKellar, H.; Drew, L.J.; Lepagnol-Bestel, A.M.; Xiao, L.; Levy, R.J.; Blazeski, R.; Arguello, P.A.; Lacefield, C.O.; Mason, C.A.; et al. Altered Axonal Targeting and Short-Term Plasticity in the Hippocampus of Disc1 Mutant Mice. Proc. Natl. Acad. Sci. USA 2011, 108, E1349–E1358. [Google Scholar] [CrossRef] [PubMed]
- Niigaki, S.T.; Peres, F.F.; Ferreira, L.; Libanio, T.; Gouvea, D.A.; Levin, R.; Almeida, V.; Silva, N.D.; Diana, M.C.; Suiama, M.A.; et al. Young Spontaneously Hypertensive Rats (SHRs) Display Prodromal Schizophrenia-like Behavioral Abnormalities. Prog. Neuro-Psychopharmacol. Biol. Psychiatry 2019, 90, 169–176. [Google Scholar] [CrossRef] [PubMed]
- Tanaka, M.; Tóth, F.; Polyák, H.; Szabó, Á.; Mándi, Y.; Vécsei, L. Immune Influencers in Action: Metabolites and Enzymes of the Tryptophan-Kynurenine Metabolic Pathway. Biomedicines 2021, 9, 734. [Google Scholar] [CrossRef]
- Park, C.; Park, S.K. Molecular Links between Mitochondrial Dysfunctions and Schizophrenia. Mol. Cells 2012, 33, 105–110. [Google Scholar] [CrossRef]
- Rajasekaran, A.; Venkatasubramanian, G.; Berk, M.; Debnath, M. Mitochondrial Dysfunction in Schizophrenia: Pathways, Mechanisms and Implications. Neurosci. Biobehav. Rev. 2015, 48, 10–21. [Google Scholar] [CrossRef]
- Holper, L.; Ben-Shachar, D.; Mann, J. Multivariate Meta-Analyses of Mitochondrial Complex I and IV in Major Depressive Disorder, Bipolar Disorder, Schizophrenia, Alzheimer Disease, and Parkinson Disease. Neuropsychopharmacology 2019, 44, 837–849. [Google Scholar] [CrossRef]
- Barik, S. The Uniqueness of Tryptophan in Biology: Properties, Metabolism, Interactions and Localization in Proteins. Int. J. Mol. Sci. 2020, 21, 8776. [Google Scholar] [CrossRef] [PubMed]
- Tanaka, M.; Szabó, Á.; Spekker, E.; Polyák, H.; Tóth, F.; Vécsei, L. Mitochondrial Impairment: A Common Motif in Neuropsychiatric Presentation? The Link to the Tryptophan-Kynurenine Metabolic System. Cells 2022, 11, 2607. [Google Scholar] [CrossRef]
- Liloia, D.; Brasso, C.; Cauda, F.; Mancuso, L.; Nani, A.; Manuello, J.; Costa, T.; Duca, S.; Rocca, P. Updating and Characterizing Neuroanatomical Markers in High-Risk Subjects, Recently Diagnosed and Chronic Patients with Schizophrenia: A Revised Coordinate-Based Meta-Analysis. Neurosci. Biobehav. Rev. 2021, 123, 83–103. [Google Scholar] [CrossRef] [PubMed]
- Picó-Pérez, M.; Vieira, R.; Fernández-Rodríguez, M.; de Barros, M.A.P.; Radua, J.; Morgado, P. Multimodal Meta-Analysis of Structural Gray Matter, Neurocognitive and Social Cognitive FMRI Findings in Schizophrenia Patients. Psychol. Med. 2022, 52, 614–624. [Google Scholar] [CrossRef] [PubMed]
- Schurz, M.; Tholen, M.G.; Perner, J.; Mars, R.B.; Sallet, J. Specifying the Brain Anatomy Underlying Temporo-Parietal Junction Activations for Theory of Mind: A Review Using Probabilistic Atlases from Different Imaging Modalities. Hum. Brain Mapp. 2017, 38, 4788–4805. [Google Scholar] [CrossRef] [PubMed]
- Shepherd, A.M.; Laurens, K.R.; Matheson, S.L.; Carr, V.J.; Green, M.J. Systematic Meta-Review and Quality Assessment of the Structural Brain Alterations in Schizophrenia. Neurosci. Biobehav. Rev. 2012, 36, 1342–1356. [Google Scholar] [CrossRef]
- Zhang, Y.; Zheng, J.; Fan, X.; Guo, X.; Guo, W.; Yang, G.; Chen, H.; Zhao, J.; Lv, L. Dysfunctional Resting-State Connectivities of Brain Regions with Structural Deficits in Drug-Naive First-Episode Schizophrenia Adolescents. Schizophr. Res. 2015, 168, 353–359. [Google Scholar] [CrossRef]
- Nakamura, K.; Takahashi, T.; Nemoto, K.; Furuichi, A.; Nishiyama, S.; Nakamura, Y.; Ikeda, E.; Kido, M.; Noguchi, K.; Seto, H.; et al. Gray Matter Changes in Subjects at High Risk for Developing Psychosis and First-Episode Schizophrenia: A Voxel-Based Structural MRI Study. Front. Psychiatry 2013, 4, 16. [Google Scholar] [CrossRef]
- Vitolo, E.; Tatu, M.K.; Pignolo, C.; Cauda, F.; Costa, T.; Ando’, A.; Zennaro, A. White Matter and Schizophrenia: A Meta-Analysis of Voxel-Based Morphometry and Diffusion Tensor Imaging Studies. Psychiatry Res. Neuroimaging 2017, 270, 8–21. [Google Scholar] [CrossRef] [PubMed]
- Brandl, F.; Avram, M.; Weise, B.; Shang, J.; Simões, B.; Bertram, T.; Hoffmann Ayala, D.; Penzel, N.; Gürsel, D.A.; Bäuml, J.; et al. Specific Substantial Dysconnectivity in Schizophrenia: A Transdiagnostic Multimodal Meta-Analysis of Resting-State Functional and Structural Magnetic Resonance Imaging Studies. Biol. Psychiatry 2019, 85, 573–583. [Google Scholar] [CrossRef] [PubMed]
- Nyatega, C.O.; Qiang, L.; Adamu, M.J.; Younis, A.; Kawuwa, H.B. Altered Dynamic Functional Connectivity of Cuneus in Schizophrenia Patients: A Resting-State FMRI Study. Appl. Sci. 2021, 11, 11392. [Google Scholar] [CrossRef]
- Perrottelli, A.; Giordano, G.M.; Brando, F.; Giuliani, L.; Pezzella, P.; Mucci, A.; Galderisi, S. Unveiling the Associations between EEG Indices and Cognitive Deficits in Schizophrenia-Spectrum Disorders: A Systematic Review. Diagnostics 2022, 12, 2193. [Google Scholar] [CrossRef]
- Townsend, L.; Pillinger, T.; Selvaggi, P.; Veronese, M.; Turkheimer, F.; Howes, O. Brain Glucose Metabolism in Schizophrenia: A Systematic Review and Meta-Analysis of 18FDG-PET Studies in Schizophrenia. Psychol. Med. 2022, Jun 2, 1–18. [Google Scholar] [CrossRef]
- Schultz, S.H.; North, S.W.; Shields, C.G. Schizophrenia: A Review. Am. Fam. Physician 2007, 75, 1821–1829. [Google Scholar]
- Jauhar, S.; Johnstone, M.; McKenna, P.J. Schizophrenia. Lancet 2022, 399, 473–486. [Google Scholar] [CrossRef]
- Foussias, G.; Agid, O.; Fervaha, G.; Remington, G. Negative Symptoms of Schizophrenia: Clinical Features, Relevance to Real World Functioning and Specificity versus Other CNS Disorders. Eur. Neuropsychopharmacol. 2014, 24, 693–709. [Google Scholar] [CrossRef]
- Galderisi, S.; Rucci, P.; Kirkpatrick, B.; Mucci, A.; Gibertoni, D.; Rocca, P.; Rossi, A.; Bertolino, A.; Strauss, G.P.; Aguglia, E.; et al. Interplay among Psychopathologic Variables, Personal Resources, Context-Related Factors, and Real-Life Functioning in Individuals with Schizophrenia a Network Analysis. JAMA Psychiatry 2018, 75, 396–404. [Google Scholar] [CrossRef] [PubMed]
- Marder, S.R.; Galderisi, S. The Current Conceptualization of Negative Symptoms in Schizophrenia. World Psychiatry 2017, 16, 14–24. [Google Scholar] [CrossRef] [PubMed]
- Lasebikan, V.O.; Ayinde, O.O. Effects of Psychopathology, Functioning and Anti-Psychotic Medication Adherence on Caregivers’ Burden in Schizophrenia. Indian J. Psychol. Med. 2013, 35, 135–140. [Google Scholar] [CrossRef]
- Provencher, H.L.; Mueser, K.T. Positive and Negative Symptom Behaviors and Caregiver Burden in the Relatives of Persons with Schizophrenia. Schizophr. Res. 1997, 26, 71–80. [Google Scholar] [CrossRef]
- Mantovani, L.M.; Ferretjans, R.; Marçal, I.M.; Oliveira, A.M.; Guimarães, F.C.; Salgado, J.V. Family Burden in Schizophrenia: The Influence of Age of Onset and Negative Symptoms. Trends Psychiatry Psychother. 2016, 38, 96–99. [Google Scholar] [CrossRef]
- Roick, C.; Heider, D.; Toumi, M.; Angermeyer, M.C. The Impact of Caregivers’ Characteristics, Patients’ Conditions and Regional Differences on Family Burden in Schizophrenia: A Longitudinal Analysis. Acta Psychiatr. Scand. 2006, 114, 363–374. [Google Scholar] [CrossRef]
- Ochoa, S.; Vilaplana, M.; Haro, J.M.; Villalta-Gil, V.; Martínez, F.; Negredo, M.C.; Casacuberta, P.; Paniego, E.; Usall, J.; Dolz, M.; et al. Do Needs, Symptoms or Disability of Outpatients with Schizophrenia Influence Family Burden? Soc. Psychiatry Psychiatr. Epidemiol. 2008, 43, 612–618. [Google Scholar] [CrossRef]
- Nordstroem, A.L.; Talbot, D.; Bernasconi, C.; Berardo, C.G.; Lalonde, J. Burden of Illness of People with Persistent Symptoms of Schizophrenia: A Multinational Cross-Sectional Study. Int. J. Soc. Psychiatry 2017, 63, 139–150. [Google Scholar] [CrossRef]
- Weber, S.; Scott, J.G.; Chatterton, M.L. Healthcare Costs and Resource Use Associated with Negative Symptoms of Schizophrenia: A Systematic Literature Review. Schizophr. Res. 2022, 241, 251–259. [Google Scholar] [CrossRef] [PubMed]
- Haslam, J. Observations on Madness and Melancholy; Hayden, G., Ed.; Second Edition: London, UK, 1809. [Google Scholar]
- Griesinger, W. Traité Des Maladies Mentales; Delahaye, A., Ed.; Nabu Press: Paris, France, 1865. [Google Scholar]
- Kraepelin, E. Dementia Praecox and Paraphrenia; Livingston: Edinburgh, UK, 1919. [Google Scholar]
- Bleuler, E. Dementia Praecox or the Group of Schizophrenias; International Universities Press: New York, NY, USA, 1950. [Google Scholar]
- Minkowski, E.L. Schizophrénie; Payot: Paris, France, 1954. [Google Scholar]
- Snezhnevsky, A.V. The symptomatology, clinical forms and nosology of schizophrenia. In Modern Perspectives in World Psychiatry; Howells, J.G., Ed.; Oliver & Boyd: Edinburgh, UK, 1968; pp. 425–447. [Google Scholar]
- Strauss, J.S.; Carpenter, W.T.; Bartko, J.J. The Diagnosis and Understanding of Schizophrenia. Part III. Speculations on the Processes That Underlie Schizophrenic Symptoms and Signs. Schizophr. Bull. 1974, 1, 61–69. [Google Scholar] [CrossRef] [PubMed]
- Carpenter, W.T.; Heinrichs, D.W.; Alphs, L.D. Treatment of Negative Symptoms. Schizophr. Bull. 1985, 11, 440–452. [Google Scholar] [CrossRef]
- Andreasen, N.C. Negative Symptoms in Schizophrenia. Definition and Reliability. Arch. Gen. Psychiatry 1982, 39, 784–788. [Google Scholar] [CrossRef]
- Kirkpatrick, B.; Fenton, W.S.; Carpenter, W.T.; Marder, S.R. The NIMH-MATRICS Consensus Statement on Negative Symptoms. Schizophr. Bull. 2006, 32, 214–219. [Google Scholar] [CrossRef]
- Blanchard, J.J.; Cohen, A.S. The Structure of Negative Symptoms within Schizophrenia: Implications for Assessment. Schizophr. Bull. 2006, 32, 238–245. [Google Scholar] [CrossRef]
- Kirkpatrick, B.; Fischer, B. Subdomains within the Negative Symptoms of Schizophrenia: Commentary. Schizophr. Bull. 2006, 32, 246–249. [Google Scholar] [CrossRef]
- Galderisi, S.; Mucci, A.; Dollfus, S.; Nordentoft, M.; Falkai, P.; Kaiser, S.; Giordano, G.M.; Vandevelde, A.; Nielsen, M.Ø.; Glenthøj, L.B.; et al. EPA Guidance on Assessment of Negative Symptoms in Schizophrenia. Eur. Psychiatry 2021, 64, e23. [Google Scholar] [CrossRef] [PubMed]
- Bucci, P.; Galderisi, S. Categorizing and Assessing Negative Symptoms. Curr. Opin. Psychiatry 2017, 30, 201–208. [Google Scholar] [CrossRef]
- Strauss, G.P.; Ahmed, A.O.; Young, J.W.; Kirkpatrick, B. Reconsidering the Latent Structure of Negative Symptoms in Schizophrenia: A Review of Evidence Supporting the 5 Consensus Domains. Schizophr. Bull. 2019, 45, 725–729. [Google Scholar] [CrossRef]
- Ahmed, A.O.; Kirkpatrick, B.; Galderisi, S.; Mucci, A.; Rossi, A.; Bertolino, A.; Rocca, P.; Maj, M.; Kaiser, S.; Bischof, M.; et al. Cross-Cultural Validation of the 5-Factor Structure of Negative Symptoms in Schizophrenia. Schizophr. Bull. 2019, 45, 305–314. [Google Scholar] [CrossRef]
- Strauss, G.P.; Esfahlani, F.Z.; Galderisi, S.; Mucci, A.; Rossi, A.; Bucci, P.; Rocca, P.; Maj, M.; Kirkpatrick, B.; Ruiz, I.; et al. Network Analysis Reveals the Latent Structure of Negative Symptoms in Schizophrenia. Schizophr. Bull. 2019, 45, 1033–1041. [Google Scholar] [CrossRef]
- Mucci, A.; Vignapiano, A.; Bitter, I.; Austin, S.F.; Delouche, C.; Dollfus, S.; Erfurth, A.; Fleischhacker, W.W.; Giordano, G.M.; Gladyshev, I.; et al. A Large European, Multicenter, Multinational Validation Study of the Brief Negative Symptom Scale. Eur. Neuropsychopharmacol. 2019, 29, 947–959. [Google Scholar] [CrossRef]
- Kirkpatrick, B.; Strauss, G.P.; Nguyen, L.; Fischer, B.A.; Daniel, D.G.; Cienfuegos, A.; Marder, S.R. The Brief Negative Symptom Scale: Psychometric Properties. Schizophr. Bull. 2011, 37, 300–305. [Google Scholar] [CrossRef]
- Kring, A.M.; Gur, R.E.; Blanchard, J.J.; Horan, W.P.; Reise, S.P. The Clinical Assessment Interview for Negative Symptoms (CAINS): Final Development and Validation. Am. J. Psychiatry 2013, 170, 165–172. [Google Scholar] [CrossRef]
- Kirschner, M.; Aleman, A.; Kaiser, S. Secondary Negative Symptoms—A Review of Mechanisms, Assessment and Treatment. Schizophr. Res. 2017, 186, 29–38. [Google Scholar] [CrossRef]
- Kirkpatrick, B. Progress in the Study of Negative Symptoms. Schizophr. Bull. 2014, 40, S101–S106. [Google Scholar] [CrossRef] [PubMed]
- Möller, H.J. Clinical Evaluation of Negative Symptoms in Schizophrenia. Eur. Psychiatry 2007, 22, 380–386. [Google Scholar] [CrossRef]
- Buchanan, R.W. Persistent Negative Symptoms in Schizophrenia: An Overview. Schizophr. Bull. 2007, 33, 1013–1022. [Google Scholar] [CrossRef]
- Zhu, T.; Wang, Z.; Zhou, C.; Fang, X.; Huang, C.; Xie, C.; Ge, H.; Yan, Z.; Zhang, X.; Chen, J. Meta-Analysis of Structural and Functional Brain Abnormalities in Schizophrenia with Persistent Negative Symptoms Using Activation Likelihood Estimation. Front. Psychiatry 2022, 13, 957685. [Google Scholar] [CrossRef]
- Galderisi, S.; Mucci, A.; Buchanan, R.W.; Arango, C. Negative Symptoms of Schizophrenia: New Developments and Unanswered Research Questions. Lancet Psychiatry 2018, 5, 664–677. [Google Scholar] [CrossRef]
- Bromberg-Martin, E.S.; Matsumoto, M.; Hikosaka, O. Dopamine in Motivational Control: Rewarding, Aversive, and Alerting. Neuron 2010, 68, 815–834. [Google Scholar] [CrossRef]
- Salamone, J.D.; Yohn, S.E.; López-Cruz, L.; San Miguel, N.; Correa, M. Activational and Effort-Related Aspects of Motivation: Neural Mechanisms and Implications for Psychopathology. Brain 2016, 139, 1325–1347. [Google Scholar] [CrossRef]
- Morris, R.W.; Quail, S.; Griffiths, K.R.; Green, M.J.; Balleine, B.W. Corticostriatal Control of Goal-Directed Action Is Impaired in Schizophrenia. Biol. Psychiatry 2015, 77, 187–195. [Google Scholar] [CrossRef]
- Radua, J.; Schmidt, A.; Borgwardt, S.; Heinz, A.; Schlagenhauf, F.; McGuire, P.; Fusar-Poli, P. Ventral Striatal Activation During Reward Processing in Psychosis. JAMA Psychiatry 2015, 72, 1243. [Google Scholar] [CrossRef]
- Mucci, A.; Dima, D.; Soricelli, A.; Volpe, U.; Bucci, P.; Frangou, S.; Prinster, A.; Salvatore, M.; Galderisi, S.; Maj, M. Is Avolition in Schizophrenia Associated with a Deficit of Dorsal Caudate Activity? A Functional Magnetic Resonance Imaging Study during Reward Anticipation and Feedback. Psychol. Med. 2015, 45, 1765–1778. [Google Scholar] [CrossRef]
- Barch, D.M.; Pagliaccio, D.; Luking, K. Mechanisms Underlying Motivational Deficits in Psychopathology: Similarities and Differences in Depression and Schizophrenia. Curr. Top. Behav. Neurosci. 2016, 27, 411–449. [Google Scholar] [CrossRef] [PubMed]
- Strauss, G.P.; Cohen, A.S. A Transdiagnostic Review of Negative Symptom Phenomenology and Etiology. Schizophr. Bull. 2017, 43, 712–719. [Google Scholar] [CrossRef] [PubMed]
- Galderisi, S.; Rossi, A.; Rocca, P.; Bertolino, A.; Mucci, A.; Bucci, P.; Rucci, P.; Gibertoni, D.; Aguglia, E.; Amore, M.; et al. The Influence of Illness-Related Variables, Personal Resources and Context-Related Factors on Real-Life Functioning of People with Schizophrenia. World Psychiatry 2014, 13, 275–287. [Google Scholar] [CrossRef] [PubMed]
- Ergül, C.; Üçok, A. Negative Symptom Subgroups Have Different Effects on the Clinical Course of Schizophrenia after the First Episode: A 24-Month Follow up Study. Eur. Psychiatry 2015, 30, 14–19. [Google Scholar] [CrossRef]
- Peralta, V.; Moreno-Izco, L.; Sanchez-Torres, A.; García de Jalón, E.; Campos, M.S.; Cuesta, M.J. Characterization of the Deficit Syndrome in Drug-Naive Schizophrenia Patients: The Role of Spontaneous Movement Disorders and Neurological Soft Signs. Schizophr. Bull. 2014, 40, 214–224. [Google Scholar] [CrossRef]
- Pichot, P.J. DSM-III and Its Reception: A European View. Am. J. Psychiatry 1997, 154, 47–54. [Google Scholar] [CrossRef]
- Grinchii, D.; Dremencov, E. Mechanism of Action of Atypical Antipsychotic Drugs in Mood Disorders. Int. J. Mol. Sci. 2020, 21, 9532. [Google Scholar] [CrossRef]
- Fusar-Poli, P.; Papanastasiou, E.; Stahl, D.; Rocchetti, M.; Carpenter, W.; Shergill, S.; McGuire, P. Treatments of Negative Symptoms in Schizophrenia: Meta-Analysis of 168 Randomized Placebo-Controlled Trials. Schizophr. Bull. 2015, 41, 892–899. [Google Scholar] [CrossRef]
- Leucht, S.; Davis, J.M. Schizophrenia, Primary Negative Symptoms, and Soft Outcomes in Psychiatry. Lancet 2017, 389, 1077–1078. [Google Scholar] [CrossRef]
- Shen, W.W. A History of Antipsychotic Drug Development. Compr. Psychiatry 1999, 40, 407–414. [Google Scholar] [CrossRef]
- Leucht, S.; Corves, C.; Arbter, D.; Engel, R.R.; Li, C.; Davis, J.M. Second-Generation versus First-Generation Antipsychotic Drugs for Schizophrenia: A Meta-Analysis. Lancet 2009, 373, 31–41. [Google Scholar] [CrossRef] [PubMed]
- Laughren, T.; Levin, R. Food and Drug Administration Commentary on Methodological Issues in Negative Symptom Trials. Schizophr. Bull. 2011, 37, 255–256. [Google Scholar] [CrossRef] [PubMed]
- Danion, J.M.; Rein, W.; Fleurot, O. Improvement of Schizophrenic Patients with Primary Negative Symptoms Treated with Amisulpride. Amisulpride Study Group. Am. J. Psychiatry 1999, 156, 610–616. [Google Scholar] [CrossRef]
- Krause, M.; Zhu, Y.; Huhn, M.; Schneider-Thoma, J.; Bighelli, I.; Nikolakopoulou, A.; Leucht, S. Antipsychotic Drugs for Patients with Schizophrenia and Predominant or Prominent Negative Symptoms: A Systematic Review and Meta-Analysis. Eur. Arch. Psychiatry Clin. Neurosci. 2018, 268, 625–639. [Google Scholar] [CrossRef] [PubMed]
- Galderisi, S.; Kaiser, S.; Bitter, I.; Nordentoft, M.; Mucci, A.; Sabé, M.; Giordano, G.M.; Nielsen, M.Ø.; Glenthøj, L.B.; Pezzella, P.; et al. EPA Guidance on Treatment of Negative Symptoms in Schizophrenia. Eur. Psychiatry 2021, 64, e21. [Google Scholar] [CrossRef]
- Kikuchi, T.; Tottori, K.; Uwahodo, Y.; Hirose, T.; Miwa, T.; Oshiro, Y.; Morita, S. 7-{4-[4-(2,3-Dichlorophenyl)-1-Piperazinyl]Butyloxy}-3,4-Dihydro-2(1H)- Quinolinone (OPC-14597), a New Putative Antipsychotic Drug with Both Presynaptic Dopamine Autoreceptor Agonistic Activity and Postsynaptic D2 Receptor Antagonistic Activity. J. Pharmacol. Exp. 1995, 274, 329–336. [Google Scholar]
- Orsolini, L.; de Berardis, D.; Volpe, U. Up-to-Date Expert Opinion on the Safety of Recently Developed Antipsychotics. Expert Opin. Drug Saf. 2020, 19, 981–998. [Google Scholar] [CrossRef]
- Keks, N.; Hope, J.; Schwartz, D.; McLennan, H.; Copolov, D.; Meadows, G. Comparative Tolerability of Dopamine D2/3 Receptor Partial Agonists for Schizophrenia. CNS Drugs 2020, 34, 473–507. [Google Scholar] [CrossRef]
- Bandelow Borwin; Meier Andreas Aripiprazole, a “Dopanine-Serotonin-System Stabilizer” in the Treatment of Psychosis. German. J. Psychiatry 2003, 6, 9–16.
- Lieberman, J.A.; Stroup, T.S.; McEvoy, J.P.; Swartz, M.S.; Rosenheck, R.A.; Perkins, D.O.; Keefe, R.S.E.; Davis, S.M.; Davis, C.E.; Lebowitz, B.D.; et al. Effectiveness of Antipsychotic Drugs in Patients with Chronic Schizophrenia. N. Engl. J. Med. 2005, 353, 1209–1223. [Google Scholar] [CrossRef]
- Mishra, A.; Sarangi, S.C.; Maiti, R.; Sood, M.; Reeta, K.H. Efficacy and Safety of Adjunctive Serotonin-Dopamine Activity Modulators in Major Depression: A Meta-Analysis of Randomized Controlled Trials. J. Clin. Pharmacol. 2022, 62, 721–732. [Google Scholar] [CrossRef]
- Riva, M.A. [Third-Generation Antipsychotics: Focus on Cariprazine]. Riv. Psichiatr. 2021, 56, 1–9. [Google Scholar] [CrossRef]
- Citrome, L. The ABC’s of Dopamine Receptor Partial Agonists-Aripiprazole, Brexpiprazole and Cariprazine: The 15-Min Challenge to Sort These Agents Out. Int. J. Clin. Pract. 2015, 69, 1211–1220. [Google Scholar] [CrossRef] [PubMed]
- Casey, A.B.; Canal, C.E. Classics in Chemical Neuroscience: Aripiprazole. ACS Chem. Neurosci. 2017, 8, 1135–1146. [Google Scholar] [CrossRef] [PubMed]
- Mohr, P.; Masopust, J.; Kopeček, M. Dopamine Receptor Partial Agonists: Do They Differ in Their Clinical Efficacy? Front. Psychiatry 2021, 12, 781946. [Google Scholar] [CrossRef]
- Demyttenaere, K.; Detraux, J.; Racagni, G.; Vansteelandt, K. Medication-Induced Akathisia with Newly Approved Antipsychotics in Patients with a Severe Mental Illness: A Systematic Review and Meta-Analysis. CNS Drugs 2019, 33, 549–566. [Google Scholar] [CrossRef]
- Kishi, T.; Ikuta, T.; Matsuda, Y.; Sakuma, K.; Iwata, N. Aripiprazole vs. Brexpiprazole for Acute Schizophrenia: A Systematic Review and Network Meta-Analysis. Psychopharmacology 2020, 237, 1459–1470. [Google Scholar] [CrossRef]
- Nerkar, A.; Bhise, S. Polypharmacological Drugs in Treatment of Schizophrenia. Curr. Trends Pharm. Pharm. Chem. 2020, 2, 116–124. [Google Scholar]
- Stahl, S.M. Drugs for Psychosis and Mood: Unique Actions at D3, D2, and D1 Dopamine Receptor Subtypes. CNS Spectr. 2017, 22, 375–384. [Google Scholar] [CrossRef]
- Kiss, B.; Horváth, A.; Némethy, Z.; Schmidt, É.; Laszlovszky, I.; Bugovics, G.; Fazekas, K.; Hornok, K.; Orosz, S.; Gyertyán, I.; et al. Cariprazine (RGH-188), a Dopamine D(3) Receptor-Preferring, D(3)/D(2) Dopamine Receptor Antagonist-Partial Agonist Antipsychotic Candidate: In Vitro and Neurochemical Profile. J. Pharmacol. Exp. Ther. 2010, 333, 328–340. [Google Scholar] [CrossRef]
- Lobo, M.C.; Whitehurst, T.S.; Kaar, S.J.; Howes, O.D. New and Emerging Treatments for Schizophrenia: A Narrative Review of Their Pharmacology, Efficacy and Side Effect Profile Relative to Established Antipsychotics. Neurosci. Biobehav. Rev. 2022, 132, 324–361. [Google Scholar] [CrossRef]
- Snyder, G.L.; Vanover, K.E.; Zhu, H.; Miller, D.B.; O’Callaghan, J.P.; Tomesch, J.; Li, P.; Zhang, Q.; Krishnan, V.; Hendrick, J.P.; et al. Functional Profile of a Novel Modulator of Serotonin, Dopamine, and Glutamate Neurotransmission. Psychopharmacology 2015, 232, 605–621. [Google Scholar] [CrossRef]
- Zhang, L.; Hendrick, J. The Presynaptic D2 Partial Agonist Lumateperone Acts as a Postsynaptic D2 Antagonist. Matters 2018, 4, 1–4. [Google Scholar] [CrossRef]
- Corponi, F.; Fabbri, C.; Bitter, I.; Montgomery, S.; Vieta, E.; Kasper, S.; Pallanti, S.; Serretti, A. Novel Antipsychotics Specificity Profile: A Clinically Oriented Review of Lurasidone, Brexpiprazole, Cariprazine and Lumateperone. Eur. Neuropsychopharmacol. 2019, 29, 971–985. [Google Scholar] [CrossRef]
- McCutcheon, R.A.; Krystal, J.H.; Howes, O.D. Dopamine and Glutamate in Schizophrenia: Biology, Symptoms and Treatment. World Psychiatry 2020, 19, 15–33. [Google Scholar] [CrossRef] [PubMed]
- Hu, J.L.; Liu, G.; Li, Y.C.; Gao, W.J.; Huang, Y.Q. Dopamine D1 Receptor-Mediated NMDA Receptor Insertion Depends on Fyn but Not Src Kinase Pathway in Prefrontal Cortical Neurons. Mol. Brain 2010, 3, 20. [Google Scholar] [CrossRef] [PubMed]
- Meyer J M Lumateperone for Schizophrenia. Curr. Psychiatr. 2020, 19, 33–39.
- Blair, H.A. Lumateperone: First Approval. Drugs 2020, 80, 417–423. [Google Scholar] [CrossRef]
- Garritty, C.; Gartlehner, G.; Nussbaumer-Streit, B.; King, V.J.; Hamel, C.; Kamel, C.; Affengruber, L.; Stevens, A. Cochrane Rapid Reviews Methods Group Offers Evidence-Informed Guidance to Conduct Rapid Reviews. J. Clin. Epidemiol. 2021, 130, 13–22. [Google Scholar] [CrossRef]
- Hamel, C.; Michaud, A.; Thuku, M.; Skidmore, B.; Stevens, A.; Nussbaumer-Streit, B.; Garritty, C. Defining Rapid Reviews: A Systematic Scoping Review and Thematic Analysis of Definitions and Defining Characteristics of Rapid Reviews. J. Clin. Epidemiol. 2021, 129, 74–85. [Google Scholar] [CrossRef]
- Featherstone, R.M.; Dryden, D.M.; Foisy, M.; Guise, J.-M.; Mitchell, M.D.; Paynter, R.A.; Robinson, K.A.; Umscheid, C.A.; Hartling, L. Advancing Knowledge of Rapid Reviews: An Analysis of Results, Conclusions and Recommendations from Published Review Articles Examining Rapid Reviews. Syst. Rev. 2015, 4, 50. [Google Scholar] [CrossRef] [PubMed]
- Hartling, L.; Guise, J.-M.; Hempel, S.; Featherstone, R.; Mitchell, M.D.; Motu’apuaka, M.L.; Robinson, K.A.; Schoelles, K.; Totten, A.; Whitlock, E.; et al. Fit for Purpose: Perspectives on Rapid Reviews from End-User Interviews. Syst. Rev. 2017, 6, 32. [Google Scholar] [CrossRef] [PubMed]
- Plüddemann, A.; Aronson, J.K.; Onakpoya, I.; Heneghan, C.; Mahtani, K.R. Redefining Rapid Reviews: A Flexible Framework for Restricted Systematic Reviews. BMJ Evid. Based Med. 2018, 23, 201–203. [Google Scholar] [CrossRef] [PubMed]
- Mayo, N.; Asano, M.; Barbic, S. When Is a Research Question Not a Research Question? J. Rehabil. Med. 2013, 45, 513–518. [Google Scholar] [CrossRef]
- Farrugia, P.; Petrisor, B.A.; Farrokhyar, F.; Bhandari, M. Practical Tips for Surgical Research: Research Questions, Hypotheses and Objectives. Can. J. Surg. 2010, 53, 278–281. [Google Scholar]
- Durbin CG Jr How to Come up with a Good Research Question: Framing the Hypothesis. Respir. Care 2004, 49, 1195–1198.
- Thabane, L.; Thomas, T.; Ye, C.; Paul, J. Posing the Research Question: Not so Simple. Can. J. Anaesth. 2009, 56, 71–79. [Google Scholar] [CrossRef]
- Rios, L.P.; Ye, C.; Thabane, L. Association between Framing of the Research Question Using the PICOT Format and Reporting Quality of Randomized Controlled Trials. BMC Med. Res. Methodol. 2010, 10, 11. [Google Scholar] [CrossRef]
- Fandino, W. Formulating a Good Research Question: Pearls and Pitfalls. Indian J. Anaesth. 2019, 63, 611. [Google Scholar] [CrossRef]
- Osugo, M.; Whitehurst, T.; Shatalina, E.; Townsend, L.; O’Brien, O.; Mak, T.L.A.; McCutcheon, R.; Howes, O. Dopamine Partial Agonists and Prodopaminergic Drugs for Schizophrenia: Systematic Review and Meta-Analysis of Randomized Controlled Trials. Neurosci. Biobehav. Rev. 2022, 135, 104568. [Google Scholar] [CrossRef]
- Kay, S.R.; Fiszbein, A.; Opler, L.A. The Positive and Negative Syndrome Scale (PANSS) for Schizophrenia. Schizophr. Bull. 1987, 13, 261–276. [Google Scholar] [CrossRef] [PubMed]
- Kane, J.M.; Carson, W.H.; Saha, A.R.; McQuade, R.D.; Ingenito, G.G.; Zimbroff, D.L.; Ali, M.W. Efficacy and Safety of Aripiprazole and Haloperidol versus Placebo in Patients with Schizophrenia and Schizoaffective Disorder. J. Clin. Psychiatry 2002, 63, 763–771. [Google Scholar] [CrossRef]
- Potkin, S.G.; Saha, A.R.; Kujawa, M.J.; Carson, W.H.; Ali, M.; Stock, E.; Stringfellow, J.; Ingenito, G.; Marder, S.R. Aripiprazole, an Antipsychotic with a Novel Mechanism of Action, and Risperidone vs Placebo in Patients with Schizophrenia and Schizoaffective Disorder. Arch. Gen. Psychiatry 2003, 60, 681–690. [Google Scholar] [CrossRef] [PubMed]
- McEvoy, J.P.; Daniel, D.G.; Carson, W.H.; McQuade, R.D.; Marcus, R.N. A Randomized, Double-Blind, Placebo-Controlled, Study of the Efficacy and Safety of Aripiprazole 10, 15 or 20 Mg/Day for the Treatment of Patients with Acute Exacerbations of Schizophrenia. J. Psychiatr. Res. 2007, 41, 895–905. [Google Scholar] [CrossRef]
- Axelrod, B.N.; Goldman, R.S.; Alphs, L.D. Validation of the 16-Item Negative Symptom Assessment. J. Psychiatr. Res. 1993, 27, 253–258. [Google Scholar] [CrossRef] [PubMed]
- Durgam, S.; Cutler, A.J.; Lu, K.; Migliore, R.; Ruth, A.; Laszlovszky, I.; Németh, G.; Meltzer, H.Y. Cariprazine in Acute Exacerbation of Schizophrenia: A Fixed-Dose, Phase 3, Randomized, Double-Blind, Placebo- and Active-Controlled Trial. J. Clin. Psychiatry 2015, 76, e1574–e1582. [Google Scholar] [CrossRef] [PubMed]
- Kane, J.M.; Peters-Strickland, T.; Baker, R.A.; Hertel, P.; Eramo, A.; Jin, N.; Perry, P.P.; Gara, M.; McQuade, R.D.; Carson, W.H.; et al. Aripiprazole Once-Monthly in the Acute Treatment of Schizophrenia: Findings from a 12-Week, Randomized, Double-Blind, Placebo-Controlled Study. J. Clin. Psychiatry 2014, 75, 1254–1260. [Google Scholar] [CrossRef]
- Findling, R.L.; Robb, A.; Nyilas, M.; Forbes, R.A.; Jin, N.; Ivanova, S.; Marcus, R.; McQuade, R.D.; Iwamoto, T.; Carson, W.H. A Multiple-Center, Randomized, Double-Blind, Placebo-Controlled Study of Oral Aripiprazole for Treatment of Adolescents with Schizophrenia. Am. J. Psychiatry 2008, 165, 1432–1441. [Google Scholar] [CrossRef] [PubMed]
- Huhn, M.; Nikolakopoulou, A.; Schneider-Thoma, J.; Krause, M.; Samara, M.; Peter, N.; Arndt, T.; Bäckers, L.; Rothe, P.; Cipriani, A.; et al. Comparative Efficacy and Tolerability of 32 Oral Antipsychotics for the Acute Treatment of Adults with Multi-Episode Schizophrenia: A Systematic Review and Network Meta-Analysis. Lancet 2019, 394, 939–951. [Google Scholar] [CrossRef]
- Nielsen, M.Ø.; Kristensen, T.D.; Borup Bojesen, K.; Glenthøj, B.Y.; Lemvigh, C.K.; Ebdrup, B.H. Differential Effects of Aripiprazole and Amisulpride on Negative and Cognitive Symptoms in Patients With First-Episode Psychoses. Front. Psychiatry 2022, 13, 834333. [Google Scholar] [CrossRef]
- Wallwork, R.S.; Fortgang, R.; Hashimoto, R.; Weinberger, D.R.; Dickinson, D. Searching for a Consensus Five-Factor Model of the Positive and Negative Syndrome Scale for Schizophrenia. Schizophr. Res. 2012, 137, 246–250. [Google Scholar] [CrossRef]
- Galling, B.; Roldán, A.; Hagi, K.; Rietschel, L.; Walyzada, F.; Zheng, W.; Cao, X.-L.; Xiang, Y.-T.; Zink, M.; Kane, J.M.; et al. Antipsychotic Augmentation vs. Monotherapy in Schizophrenia: Systematic Review, Meta-Analysis and Meta-Regression Analysis. World Psychiatry 2017, 16, 77–89. [Google Scholar] [CrossRef]
- Zheng, W.; Zheng, Y.-J.; Li, X.-B.; Tang, Y.-L.; Wang, C.-Y.; Xiang, Y.-Q.; de Leon, J. Efficacy and Safety of Adjunctive Aripiprazole in Schizophrenia. J. Clin. Psychopharmacol. 2016, 36, 628–636. [Google Scholar] [CrossRef] [PubMed]
- Lee, B.J.; Lee, S.J.; Kim, M.K.; Lee, J.G.; Park, S.W.; Kim, G.M.; Kim, Y.H. Effect of Aripiprazole on Cognitive Function and Hyperprolactinemia in Patients with Schizophrenia Treated with Risperidone. Clin. Psychopharmacol. Neurosci. 2013, 11, 60–66. [Google Scholar] [CrossRef] [PubMed]
- Siskind, D.J.; Lee, M.; Ravindran, A.; Zhang, Q.; Ma, E.; Motamarri, B.; Kisely, S. Augmentation Strategies for Clozapine Refractory Schizophrenia: A Systematic Review and Meta-Analysis. Aust. N. Z. J. Psychiatry 2018, 52, 751–767. [Google Scholar] [CrossRef] [PubMed]
- Mitsonis, C.I.; Dimopoulos, N.P.; Mitropoulos, P.A.; Kararizou, E.G.; Katsa, A.N.; Tsakiris, F.E.; Katsanou, M.N.E. Aripiprazole Augmentation in the Management of Residual Symptoms in Clozapine-Treated Outpatients with Chronic Schizophrenia: An Open-Label Pilot Study. Prog. Neuropsychopharmacol. 2007, 31, 373–377. [Google Scholar] [CrossRef]
- Sabe, M.; Zhao, N.; Crippa, A.; Kaiser, S. Antipsychotics for Negative and Positive Symptoms of Schizophrenia: Dose-Response Meta-Analysis of Randomized Controlled Acute Phase Trials. NPJ Schizophr. 2021, 7, 43. [Google Scholar] [CrossRef]
- Correll, C.U.; Skuban, A.; Ouyang, J.; Hobart, M.; Pfister, S.; McQuade, R.D.; Nyilas, M.; Carson, W.H.; Sanchez, R.; Eriksson, H. Efficacy and Safety of Brexpiprazole for the Treatment of Acute Schizophrenia: A 6-Week Randomized, Double-Blind, Placebo-Controlled Trial. Am. J. Psychiatry 2015, 172, 870–880. [Google Scholar] [CrossRef]
- Ishigooka, J.; Iwashita, S.; Tadori, Y. Efficacy and Safety of Brexpiprazole for the Treatment of Acute Schizophrenia in Japan: A 6-Week, Randomized, Double-Blind, Placebo-Controlled Study. Psychiatry. Clin. Neurosci. 2018, 72, 692–700. [Google Scholar] [CrossRef]
- Kane, J.M.; Skuban, A.; Ouyang, J.; Hobart, M.; Pfister, S.; McQuade, R.D.; Nyilas, M.; Carson, W.H.; Sanchez, R.; Eriksson, H. A Multicenter, Randomized, Double-Blind, Controlled Phase 3 Trial of Fixed-Dose Brexpiprazole for the Treatment of Adults with Acute Schizophrenia. Schizophr. Res. 2015, 164, 127–135. [Google Scholar] [CrossRef] [PubMed]
- Kishi, T.; Oya, K.; Matsui, Y.; Nomura, I.; Sakuma, K.; Okuya, M.; Matsuda, Y.; Fujita, K.; Funahashi, T.; Yoshimura, R.; et al. Comparison of the Efficacy and Safety of 4 and 2 Mg/Day Brexpiprazole for Acute Schizophrenia: A Meta-Analysis of Double-Blind, Randomized Placebo-Controlled Trials. Neuropsychiatr. Dis. Treat. 2018, 14, 2519–2530. [Google Scholar] [CrossRef] [PubMed]
- Meade, N.; Shi, L.; Meehan, S.R.; Weiss, C.; Ismail, Z. Efficacy and Safety of Brexpiprazole in Patients with Schizophrenia Presenting with Severe Symptoms: Post-Hoc Analysis of Short- and Long-Term Studies. J. Psychopharmacol. 2020, 34, 829. [Google Scholar] [CrossRef] [PubMed]
- Forbes, A.; Hobart, M.; Ouyang, J.; Shi, L.; Pfister, S.; Hakala, M. A Long-Term, Open-Label Study to Evaluate the Safety and Tolerability of Brexpiprazole as Maintenance Treatment in Adults with Schizophrenia. Int. J. Neuropsychopharmacol. 2018, 21, 433–441. [Google Scholar] [CrossRef]
- Fleischhacker, W.W.; Hobart, M.; Ouyang, J.; Forbes, A.; Pfister, S.; McQuade, R.D.; Carson, W.H.; Sanchez, R.; Nyilas, M.; Weiller, E. Efficacy and Safety of Brexpiprazole (OPC-34712) as Maintenance Treatment in Adults with Schizophrenia: A Randomized, Double-Blind, Placebo-Controlled Study. Int. J. Neuropsychopharmacol. 2017, 20, 11–21. [Google Scholar] [CrossRef]
- Marder, S.R.; Meehan, S.R.; Weiss, C.; Chen, D.; Hobart, M.; Hefting, N. Effects of Brexpiprazole Across Symptom Domains in Patients With Schizophrenia: Post Hoc Analysis of Short- and Long-Term Studies. Schizophr. Bull. Open 2021, 2, sgab014. [Google Scholar] [CrossRef] [PubMed]
- Marder, S.R.; Eriksson, H.; Zhao, Y.; Hobart, M. Post Hoc Analysis of a Randomised, Placebo-Controlled, Active-Reference 6-Week Study of Brexpiprazole in Acute Schizophrenia. Acta Neuropsychiatr. 2020, 32, 153–158. [Google Scholar] [CrossRef]
- Durgam, S.; Starace, A.; Li, D.; Migliore, R.; Ruth, A.; Németh, G.; Laszlovszky, I. An Evaluation of the Safety and Efficacy of Cariprazine in Patients with Acute Exacerbation of Schizophrenia: A Phase II, Randomized Clinical Trial. Schizophr. Res. 2014, 152, 450–457. [Google Scholar] [CrossRef] [PubMed]
- Kane, J.M.; Zukin, S.; Wang, Y.; Lu, K.; Ruth, A.; Nagy, K.; Laszlovszky, I.; Durgam, S. Efficacy and Safety of Cariprazine in Acute Exacerbation of Schizophrenia: Results From an International, Phase III Clinical Trial. J. Clin. Psychopharmacol. 2015, 35, 367–373. [Google Scholar] [CrossRef] [PubMed]
- Corponi, F.; Serretti, A.; Montgomery, S.; Fabbri, C. Cariprazine Specificity Profile in the Treatment of Acute Schizophrenia: A Meta-Analysis and Meta-Regression of Randomized-Controlled Trials. Int. Clin. Psychopharmacol. 2017, 32, 309–318. [Google Scholar] [CrossRef] [PubMed]
- Ivanov, S.V.; Smulevich, A.B.; Voronova, E.I.; Yakhin, K.K.; Beybalaeva, T.Z.; Katok, A.A. Early Clinical Effects of Novel Partial D3/D2 Agonist Cariprazine in Schizophrenia Patients With Predominantly Negative Symptoms (Open-Label, Non-Controlled Study). Front. Psychiatry 2022, 12, 770592. [Google Scholar] [CrossRef]
- Németh, G.; Laszlovszky, I.; Czobor, P.; Szalai, E.; Szatmári, B.; Harsányi, J.; Barabássy, Á.; Debelle, M.; Durgam, S.; Bitter, I.; et al. Cariprazine versus Risperidone Monotherapy for Treatment of Predominant Negative Symptoms in Patients with Schizophrenia: A Randomised, Double-Blind, Controlled Trial. Lancet 2017, 389, 1103–1113. [Google Scholar] [CrossRef]
- Fleischhacker, W.; Galderisi, S.; Laszlovszky, I.; Szatmári, B.; Barabássy, Á.; Acsai, K.; Szalai, E.; Harsányi, J.; Earley, W.; Patel, M.; et al. The Efficacy of Cariprazine in Negative Symptoms of Schizophrenia: Post Hoc Analyses of PANSS Individual Items and PANSS-Derived Factors. Eur. Psychiatry 2019, 58, 1–9. [Google Scholar] [CrossRef] [PubMed]
- Correll, C.U.; Davis, R.E.; Weingart, M.; Saillard, J.; O’Gorman, C.; Kane, J.M.; Lieberman, J.A.; Tamminga, C.A.; Mates, S.; Vanover, K.E. Efficacy and Safety of Lumateperone for Treatment of Schizophrenia: A Randomized Clinical Trial. JAMA Psychiatry 2020, 77, 349–358. [Google Scholar] [CrossRef] [PubMed]
- Lieberman, J.A.; Davis, R.E.; Correll, C.U.; Goff, D.C.; Kane, J.M.; Tamminga, C.A.; Mates, S.; Vanover, K.E. ITI-007 for the Treatment of Schizophrenia: A 4-Week Randomized, Double-Blind, Controlled Trial. Biol. Psychiatry 2016, 79, 952–961. [Google Scholar] [CrossRef] [PubMed]
- Leucht, S.; Leucht, C.; Huhn, M.; Chaimani, A.; Mavridis, D.; Helfer, B.; Samara, M.; Rabaioli, M.; Bächer, S.; Cipriani, A.; et al. Sixty Years of Placebo-Controlled Antipsychotic Drug Trials in Acute Schizophrenia: Systematic Review, Bayesian Meta-Analysis, and Meta-Regression of Efficacy Predictors. Am. J. Psychiatry 2017, 174, 927–942. [Google Scholar] [CrossRef]
- Shad, M.U. Seventy Years of Antipsychotic Development: A Critical Review. Biomedicines 2023, 11, 130. [Google Scholar] [CrossRef]
- Fasciani, I.; Petragnano, F.; Aloisi, G.; Marampon, F.; Carli, M.; Scarselli, M.; Maggio, R.; Rossi, M. Allosteric Modulators of G Protein-Coupled Dopamine and Serotonin Receptors: A New Class of Atypical Antipsychotics. Pharmaceuticals 2020, 13, 388. [Google Scholar] [CrossRef]

| Receptor | Type of Activity | Affinity Ki (Nm) In Vitro | Potential Clinical Effect Related to the Drug–Receptor Interaction [101,107] | |||
|---|---|---|---|---|---|---|
| Aripiprazole [101] | Cariprazine [99,101] | Brexpiprazole [101,104,105] | Lumateperone [108,113,114] | |||
| Dopamine D1 | Antagonist | 387 | N/A | 164 | 52 ** | Antipsychotic effect, sedation, may contribute to reduce stereotypies |
| Dopamine D2 | Partial Agonist | 1.4 | 0.59 | 0.3 | 32 *** | Antipsychotic effect, EPS ****, prolactin elevation, akathisia, nausea, insomnia, subjective response to treatment |
| Intrinsic activity | 60% | 30% | 45% | N/A *** | ||
| Dopamine D3 | Partial Agonist | 1 | 0.085 | 1.1 | N/A | Effects on positive and negative symptoms, procognitive effect, EPS, akathisia. |
| Intrinsic activity | 28% | 71% | 15% | |||
| Dopamine D4 | Antagonist | 216.5 | N/A | 6.3 | <100 | Antidepressant and anxiolytic effects, procognitive effect, reduction of EPS |
| Serotonin 5-HT1A | Partial Agonist | 5.6 | 3 | 0.12 | N/A | Anxiolytic effect, may contribute to boost antidepressant action |
| Intrinsic activity | 73% | 39% | 60% | N/A | ||
| Serotonin 5-HT2A | Antagonist | 8.7 | 19 | 0.47 | 0.54 | Reduction of EPS, weight gain |
| Serotonin 5-HT2B | Antagonist | 0.36 | 0.58 | 1.9 | >1000 | Not known |
| Serotonin 5-HT2C | Antagonist | 18.7 | 134 | 34 | 173 | Weight gain |
| Study | Study Design | Drugs | Comparator Group(s) | Sample | Age | Sample Characteristics | Diagnosis | Assessment of NS | Outcome | Results | |
|---|---|---|---|---|---|---|---|---|---|---|---|
| Change in NS | Effect | ||||||||||
| Osugo et al., 2022 [126] | Systematic review and meta-analysis | ARI | placebo | Studies N = 13 patients n = 4.960 | N/A | RCTs of dopamine partial agonist monotherapy vs. placebo. | SZ, SZA | PANSS negative | Primary outcome: change in PANSS total, positive and negative | ↑ vs. placebo | PANSS negative SMD= −0.33; CI 95% [−0.40, −0.26] |
| Fusar-Poli et al., 2015 [84] | Meta-analysis | ARI | placebo | Studies N = 3 patients n = 751 | ≥18 | Original articles on NS treatment in adults. | SZ, SZA | PANSS negative, SANS | Primary outcome: change in PANSS negative, change in SANS | ↑ vs. placebo | PANSS negative SMD = −1.93; CI 95% [−2.21, −1.66] |
| Kane et al., 2002 [128] | Double blind RCT Multicentric (36 US medical centers) | ARI 15 mg/d; ARI 30 mg/d | placebo | Patients n = 414 | ARI 15 mg/d: 37.8 (1.0); ARI 30 mg/d: 39.3 (1.0); Placebo: 38.5 (0.9) | Patients with acute relapse. | SZ (71% of placebo, 73% of ARI 15 mg/d, 71% of ARI 30 mg/d), SZA | PANSS negative | Primary outcome: change in PANSS negative | ↑ ARI 15 mg/d vs. placebo | PANSS negative mean change –3.6; p = 0.006 |
| Potkin et al., 2003 [129] | Double blind RCT multicentric (40 US medical centers) | ARI 20 mg/d; ARI 30 mg/d | placebo | 404 | ARI 20 mg/d: 30.1; ARI 30 mg/d: 40.2; Placebo: 38.8 | Patients with acute relapse. | SZ (72%), SZA (28%) | PANSS negative | Primary outcome: change in PANSS total and change in PANSS positive; secondary outcome: change in PANSS negative | ↑ vs. placebo | PANSS negative significant improvement vs. placebo (ARI 20 mg/d, p = 0.002; ARI 30 mg/d, p = 0.002) |
| McEvoy et al., 2007 [130] | Double blind RCT | ARI 10 mg/d; ARI 15 mg/d; ARI 20 mg/d | placebo | 420 | ARI 10 mg/d: 40.0 (1.1); ARI 15 mg/d: 40.0 (1.1); ARI 20 mg/d: 40.4 (1.1); Placebo: 41.2 (1.1) | Patients with acute relapse requiring hospitalization. | SZ | PANSS negative | Primary outcome: change in PANSS total; secondary outcome: PANSS negative | ↑ vs. placebo | PANSS negative improvement in all ARI arms was greater than placebo (p ≤ 0.01) |
| Durgam et al., 2015 [132] | Double blind RCT, phase III | ARI 10 | placebo | 617 | ARI 10 mg/d: 39.3 (10.8); placebo: 38.2 (11.3) | Patients with acute relapse requiring hospitalization. | SZ | PANSS negative, NSA-16 | Primary outcome: change in PANSS total; secondary outcome: change in PANSS negative, NSA-16 | ↑ vs. placebo | PANSS negative mean difference: −1.2, p < 0.05; NSA-16 mean difference: −4.2, p < 0.001 |
| Kane et al., 2014 [133] | Double blind RCT, phase III, multicentric (41 centers in US, Croatia, Latvia) | ARI once-monthly (AOM) 400 mg | placebo | 340 | AOM 400 mg: 42.1 (11.0); Placebo: 42.7 (10.9) | Patients with acute relapse requiring hospitalization. | SZ | PANSS negative | Primary outcome: change in PANSS total; secondary outcome: change in PANSS negative | ↑ vs. placebo | LSMC in PANSS negative for ARI was significantly improved vs. placebo, p < 0.0001 |
| Findling et al., 2008 [134] | Double blind RCT, phase III, multicentric (101 centers in US, EU, South America, Asia, Caribbean, South Africa) | ARI 10 mg/d; ARI 30 mg/d | placebo | 302 | ARI 10 mg/d: 15.6 (1.3); ARI 30 mg/d: 15.4 (1.4); Placebo: 15.4 (1.4) | Adolescent patients (13 to 17 years). | SZ | PANSS negative | Primary outcome: change in PANSS total; secondary outcome: change in PANSS negative | ↑ ARI 10 mg/d vs. placebo | PANSS negative improvement in ARI 10 vs. placebo p = 0.05 |
| Huhn et al., 2019 [135] | Systematic review and network meta-analysis | 32 oral antipsychotics included ARI | placebo | Studies N= 402; patients n = 53,463 | 37.40 (5.96) | Of the studies included: articles comparing oral SGA vs. placebo / oral FGA vs. placebo. | SZ, SFD, SZA | PANSS negative | Primary outcome: change in PANSS total; secondary outcome: change in PANSS negative | ↑ vs. placebo | PANSS negative SMD = −0.33; 95% CI [−0.41, −0.24]. |
| Leucht et al., 2009 [87] | Meta-analysis | SGA, included ARI 10–30 mg/d | FGA | Studies N= 5; Patients n = 2049 | 36.2 (7.1) | Original articles comparing oral SGA with FGA for treatment of SZ, SFD, SZA, DD | SZ, SFD, SZA, DD | PANSS negative | Primary outcome: change in PANSS total; secondary outcome: change in PANSS negative | ↔ vs. FGA | PANSS negative change was not significantly different from first-generation antipsychotic drug (p = 0.079) |
| Nielsen et al., 2022 [136] | Post hoc analysis of two longitudinal cohort studies | ARI 10 mg/d ± 4.7, 2.5–25 (range) | AMI 276 mg/d ± 173, 50–800 (range) | 95 | ARI 22.9 (4), 18–42 (range); AMI 24.5 (6), 18–43 (range) | Patients from psychiatric hospitals and outpatient clinics, antipsychotic naïve. | SZ (71% ARI, 96% AMI), SZA (2% ARI, 4% AMI), non-affective psychoses other than SZ (27% ARI) | PANSS 7-items NS dimension according to Wallwork [137] | Primary Outcome: change in PANSS 7-items NS dimension according to Wallwork [137] | ↑ vs. AMI | Between-group difference in NS severity (p = 0.037) with lower NS in the ARI treated cohort |
| Galling et al., 2017 [138] | Systematic review and meta-analysis | CLO + FGA; CLO + SGA; FGA + SGA; SGA + SGA | augmentation with placebo or continuation of antipsychotic monotherapy | Studies N = 31; patients n = 4136 | N/A | Of the studies included: RCTs with ≥20 adults on antipsychotic augmentation vs. placebo augmentation or single antipsychotic continuation | SZ, SZA | PANSS negative, SANS | Primary outcome: change in PANSS total; secondary outcome: change in PANSS negative, SANS | ↑ with ARI augmentation | PANSS negative SMD= −0.41; 95% CI [−0.79, −0.03]; p = 0.036 |
| Zheng et al., 2016 [139] | Meta-analysis | augmentation with ARI 14.0 mg/d (mean) ± 7 | augmentation with placebo or antipsychotic monotherapy | Studies N = 55; patients n = 4457 | 34.9 (6.0) | Of the studies included: original studies on ARI augmentation. Of the patients included: illness duration 7.0 ± 6.3 years | SZ (98%), SZA (2%) | PANSS negative | Primary outcome: change in PANSS total; secondary outcome: change in PANSS negative | ↑ vs. placebo or antipsychotic monotherapy | PANSS negative SMD= −0.61; 95% CI [−0.91, −0.31]; p < 0.00001 |
| Lee et al., 2013 [140] | Double blind RCT, multicentric (3 hospitals in Korea) | RIS (3–6 mg/d) augmentation with ARI 10 mg/d | RIS (3–6 mg/d) augmentation with placebo | 35 | ARI 10 mg/d: 51.00 (2.32); Placebo: 50.50 (2.87) | Inpatients stabilized with RIS (3–6 mg/d) for 3 months. | SZ | PANSS negative | Primary outcome: change in PANSS negative | ↑ vs. placebo | PANSS negative significant difference between groups in both phases of the study (p < 0.05) |
| Siskind et al., 2018 [141] | Systematic review and meta-analysis (Studies from China, Italy, Korea) | CLO augmentation with ARI | CLO augmentation with placebo | Studies N= 7; patients n = 486 | N/A | Of the studies included: original studies comparing CLO plus ARI vs. CLO plus placebo. | SZ, SZA | PANSS negative, SANS | Primary outcome: change in PANSS total; secondary outcome: change in PANSS negative | ↑ vs. placebo augmentation in 5 studies | PANSS negative SMD = −0.33, 95% CI [−0.55, −0.11]; p < 0.05 |
| Mitsonis et al., 2006 [142] | Open-label pilot study | CLO augmentation with ARI 15 mg/d | CLO augmentation with placebo | 27 | 41.9 (8.6) | Stable outpatients with residual symptoms after CLO treatment ≥ 1 year. | SZ | PANSS negative | Primary outcome: change in PANSS negative | ↑ vs. placebo | PANSS negative mean scores improved vs. placebo p < 0.001 |
| Study | Study Design | Drugs | Comparator Group(s) | Sample | Age | Sample Characteristics | Diagnosis | Assessment of NS | Outcome | Results | |
|---|---|---|---|---|---|---|---|---|---|---|---|
| Change in NS | Effect | ||||||||||
| Sabe et al., 2021 [143] | Meta-analysis | BRE 0.25–4 mg/d | N/A | Studies N = 3 patients n = 1756 | 18–65 years (mean value and SD not available) | Patients with acute relapse. | SZ | PANSS negative subscale total score | Determination of the ED95 for NS | N/A | BRE 2.1 mg/d was sufficient to obtain the 95% effective dose (ED95) |
| Correll et al., 2015 [144] | Double blinded RCT, phase III | BRE 0.25 mg/d BRE 2 mg/d BRE 4 mg/d | placebo | 623 | BRE 0.25: 40.5 (11.4) BRE 2 mg/d: 39.6 (10.2) BRE 4 mg/d: 40.8 (11.0) placebo: 39.7 (10.8) | Patients with acute relapse. Excluded first psychotic episode Ethnicity: African American, Asian, White, Other | SZ | PANSS negative subscale total score, PANSS MF Negative Total Score | Primary outcome: change in PANSS total score Secondary outcome: change in PANSS negative, PANSS MF Negative score | ↑ vs. placebo for BRE 2 mg/d and 4 mg/d | BRE 0.25 mg/d vs. placebo: PANSS Negative MD −1.07, p = 0.1; PANSS MF Negative Score MD −0.86, p = 0.20; BRE 2 mg/d vs. placebo: PANSS Negative MD −1.78, p = 0.0007; PANSS MF Negative Score MD −1.68, p = 0.002; BRE 4 mg/d vs. placebo: PANSS Negative MD −1.41, p = 0.007; PANSS MF Negative Score MD −1.30, p = 0.02. |
| Ishigooka et al., 2018 [145] | Double blinded RCT, phase III | BRE 1 mg/d, 2 mg/d, 4 mg/d | placebo | 459 | BRE 1 mg/d: 44.7 (11.5) BRE 2 mg/d: 43.3 (12.0) BRE 4 mg/d: 44.1 (11.9) placebo: 45.0 (11.3) | Patients with acute relapse. Excluded first psychotic episode. Ethnicity not available. | SZ | PANSS negative subscale total score, PANSS MF Negative Total Score | Primary outcome: change in PANSS total score Secondary outcome: change in PANSS negative, PANSS MF Negative score | ↑ vs. placebo for BRE 2 mg/d and 4 mg/d | BRE 1 mg/d vs. placebo: PANSS Negative MD −1.14, p = 0.14; PANSS MF Negative Score MD −1.82, p = 0.02; BRE 2 mg/d vs. placebo: PANSS Negative MD −2.28, p = 0.002; PANSS MF Negative Score MD −2.57, p = 0.001; BRE 4 mg/d vs. placebo: PANSS Negative MD −2.04, p = 0.008; PANSS MF Negative Score MD −2.54, p = 0.001. |
| Kane et al., 2015a [146] | Double blinded RCT, phase III | BRE 1 mg/d, 2 mg/d, 4 mg/d | placebo | 674 | BRE 1 mg/d: 39.1 (11.9) BRE 2 mg/d: 38.6 (11.0) BRE 4 mg/d: 36.9 (10.9) placebo: 39.3 (10.8) | Patients with acute relapse. Excluded first psychotic episode. Ethnicity: African American, Asian, White, American Indian/Alaska Native, Other | SZ | PANSS negative subscale total score, PANSS MF Negative Total Score | Primary outcome: change in PANSS total score Secondary outcome: change in PANSS negative, PANSS MF Negative score | ↑ vs. placebo only for BRE 4 mg/d | BRE 1 mg/d vs. placebo: PANSS Negative LSMD −0.78, p = 0.2; PANSS MF Negative Score LSMD −1.00, p = 0.10; BRE 2 mg/d vs. placebo: PANSS Negative LSMD −0.77, p = 0.15; PANSS MF Negative Score LSMD −0.98, p = 0.07; BRE 4 mg/d vs. placebo: PANSS Negative LSMD −1.22, p = 0.02; PANSS MF Negative Score LSMD −1.28, p = 0.01. |
| Osugo et al., 2022 [126] | Systematic review and meta-analysis | BRE | placebo | Studies N= 6 patients n = 2690 | N/A | RCTs of dopamine partial agonist monotherapy vs. placebo. | SZ, SZA | PANSS negative | Primary outcome: change in PANSS total, positive and negative | ↑ vs. placebo | PANSS negative SMD = −0.22; CI [−0.31, −0.14] |
| Kishi et al., 2018 [147] | Mega-analysis | BRE 2 mg/d BRE 4 mg/d | placebo | 1444 | 18–65 years (mean value and SD not available) | Patients with acute relapse. Excluded first psychotic episode. Ethnicity: African American, Asian, White, Other | SZ | PANSS negative total score | Primary outcome: change in PANSS total, positive and negative subscale. | ↑ vs. placebo BRE 2 mg/d ↔ BRE 4 mg/d | BRE 2 mg/d vs. placebo: PANSS negative SMD −0.32, p = 0.001; BRE 4 mg/d vs. placebo: PANSS negative SMD −0.30 p < 0.00001; BRE 2 mg/d vs. BRE 4 mg/d: PANSS negative SMD −0.01 p = 0.9. |
| Meade et al., 2020 [148] | Mega-analysis | Short-term studies: BRE 2–4 mg/d Long-term studies: BRE 1–4 mg/d | placebo | 1405 | short-term studies: BRE 2–4 mg/d msi: 38.6 (10.9) placebo msi: 38.9 (10.8) BRE 2–4 mg/d lsi: 39.6 (10.8) placebo lsi: 41.0 (10.5) long-term studies: BRE 1–4 mg/d msi: 38.1 (10.5) BRE 1–4 lsi: 39.3 (10.6) | Patients with acute relapse. Excluded first psychotic episode. Ethnicity: African American, Asian, White, Other | SZ | PANSS negative subscale total score, PANSS MF Negative Total Score | Primary outcome: change in PANSS total score Secondary outcome: change in PANSS negative, PANSS MF Negative score for short term studies. | ↑ vs. placebo only for short-term studies. | BRE 2–4 mg/d msi vs. placebo: PANSS Negative LSMD −2.00, p = 0.0001; PANSS MF Negative Score LSMD −1.28, p = 0.001; BRE 2–4 mg/d lsi vs. placebo: PANSS Negative LSMD −0.88, p = 0.012; PANSS MF Negative Score LSMD −0.96, p = 0.001. |
| Forbes et al., 2018 [149] | Open- label phase III | BRE 1–4 mg/d | N/A | 1072 | 40.0 (11.1) | Patients with a stable state with antipsychotic regimen for at least one 3-month period in the last year. | SZ | PANSS negative subscale total score, PANSS MF Negative Total Score | Primary outcome: frequency of AEs | N/A | Mean change in PANSS negative from baseline to week 52 was −2.8 (4.6); Mean change in PANSS MF Negative from baseline to week 52 was −2.8 (4.4) |
| Fleischhacker et al., 2017 [150] | Double blinded RCT, phase III | BRE 1–4 mg/d | placebo | 524 | BRE 38.8 (10.7) placebo 41.6 (10.6) | Patients with acute relapse. Excluded first psychotic episode. | SZ | PANSS negative subscale total score, PANSS MF Negative Total Score | Primary outcome: change in PANSS total score Secondary outcome: change in PANSS negative, PANSS MF Negative score | ↔ vs. placebo | BRE 1–4 mg/d vs. placebo: PANSS negative LSMD −1.24, p = 0.05; PANSS MF Negative LSMD −1.23, p = 0.06 |
| Marder et al., 2021 [151] | Mega analysis | short-term studies: BRE 2–4 mg/d long-term studies: BRE 1–4 mg/d | placebo | 1778 | short-term studies: BRE 2–4 mg/d: 39.1 (10.9) placebo: 39.8 (10.8) long-term studies: BRE 1–4 mg/d: 38.8 (10.7) placebo: 41.6 (10.6) | Patients with acute relapse. Excluded first psychotic episode. Ethnicity: white, other. | SZ | PANSS negative subscale total score, PANSS MF Negative Total Score | Primary outcome: change in PANSS total score Secondary outcome: changes in PANSS MF Negative score and in single items of PANSS MF; | ↑ vs. placebo for both short-term and long-term studies | BRE 2–4 mg/d short-term studies single-item negative symptoms improvement vs. RIS 4 mg/d: N2,N3,N6 p < 0.01 N4, G16 p < 0.001; BRE 1–4 mg/d long-term studies vs. placebo: PANSS MF Negative LSMD −1.23, p = 0.063 |
| Study | Study Design | Drugs | Comparator Group(s) | Sample | Age | Sample Characteristics | Diagnosis | Assessment of NS | Outcome | Results | |
|---|---|---|---|---|---|---|---|---|---|---|---|
| Change in NS | Effect | ||||||||||
| Durgam et al., 2014 [153] | Double blinded RCT, phase II | CAR 1.5 mg/d, 3 mg/d,4.5 mg/d | RIS 4 mg/d, placebo | 732 | CAR 1.5 mg/d: 36.8 (9.6) CAR 3 mg/d: 37.1 (10.4) CAR 4.5 mg/d: 35.8 (10.8) RIS 4 mg/d: 36.5 (11.1) placebo: 36.0 (10.8) | Patients with current exacerbation less than 2 weeks duration. Ethnicity: African American, Asian, White, Other | SZ | PANSS negative subscale total score, NSA-16 total score | Primary outcome: change in PANSS total score Secondary outcome: change in PANSS negative subscale and in NSA-16 total score | ↑ vs. placebo | CAR 1.5 mg/d vs. placebo: PANSS negative LSMD −2.2, p < 0.001; NSA-16 LSMD −2.2, p < 0.001; CAR 3 mg/d vs. placebo: PANSS negative LSMD −2.5, p < 0.001; NSA-16 MD −4.6, p < 0.001 CAR 4.5 mg/d vs. placebo: PANSS negative LSMD −3.0, p < 0.001; NSA-16 MD −5.5, p < 0.001 RIS vs. placebo: PANSS negative LSMD −3.1, p < 0.001; NSA-16 MD −5.9, p < 0.001 |
| Durgam et al., 2015 [132] | Double blinded RCT, phase III | CAR 3 mg/d, CAR 6 mg/d | ARI 10 mg/d, placebo | 617 | CAR 3 mg/d: 37.9 (10.6) CAR 6 mg/d: 38.6 (10.6) ARI 10 mg/d: 39.3 (10.8) placebo: 38.2 (11.3) | Patients with current exacerbation less than 2 weeks duration. Ethnicity: African American, White, Other | SZ | PANSS negative subscale total score, NSA-16 | Primary outcome: change in PANSS total score Secondary outcome: change in PANSS negative, NSA-16 | ↑ vs. placebo ↔ vs. ARI | CAR 3 mg/d vs. placebo: PANSS negative LSMD −1.4, p < 0.01; NSA-16 LSMD −3.6, p < 0.01. CAR 6 mg/d vs. placebo: PANSS negative LSMD −1.7, p < 0.001; NSA-16 LSMD −4.5, p < 0.001; ARI 10 mg/d/day vs. placebo: PANSS negative LSMD: −1.2, p < 0.05; NSA-16 LSMD −4.2, p < 0.001 |
| Corponi et al., 2017 [155] | Mega-analysis | CAR 1.5–4.5 mg/d CAR 6–9 mg/d | placebo | 1795 | 18–65 (mean value and SD not available) | Patients with current exacerbation less than 2 weeks duration. | SZ | PANSS negative subscale total score | Change in PANSS total score and PANSS-subscales score | ↑ vs. placebo | CAR 1.5–4.5 mg/d MD = 2.01; 95% Confidence Interval (CI): 1.2–2.82; CAR 6–9 mg/d MD = 1.81, 95% CI: 1.2–2.4 |
| Osugo et al., 2022 [126] | Systematic review and meta-analysis | CAR | placebo | Studies N= 5 patients n = 2365 | N/A | RCTs of dopamine partial agonist monotherapy vs. placebo. | SZ, SZA | PANSS negative | Primary outcome: change in PANSS total, positive and negative | ↑ vs. placebo | PANSS negative SMD = −0.31; CI [−0.45, −0.17] |
| Ivanov et al., 2022 [156] | Open label, non-controlled study | CAR 1.5 mg/d–6 mg/d | N/A | 60 | 35.6 (9.1) | Patients in stable state for ≥6 months. Presence of PPNS and low levels of positive symptoms. | SZ | PANSS negative subscale total score, CAINS total score | Primary outcome: change in PANSS negative and CAINS | ↑ vs. baseline | CAR 1.5 mg/d–6 mg/d vs. baseline: PANSS negative MD −4.3, p < 0.01; CAINS MD −4.9, p < 0.01 |
| Nemeth et al., 2017 [157] | Double blinded RCT, phase III | CAR 3 mg/d, 4.5 mg/d or 6 mg/d | RIS 3 mg/d, 4 mg/d or 6 mg/d | 461 | CAR group: 40.2 (10.5) RIS group: 40.7 (11.2) | Patients in stable state for ≥6 months. Presence of PPNS and low levels of positive symptoms. Ethnicity: White | SZ | PANSS negative subscale total score | Change in PANSS MF Negative score | ↑ vs. RIS | CAR vs. RIS: LSMD −1.46, p = 0.002 |
| Fleischhacker et al., 2019 [158] | Post hoc analysis of one RCT | CAR 4.5 mg/d | RIS 4 mg/d | 454 | 18–65 years (mean value and SD not available) | Patients in stable state for ≥6 months. Presence of PPNS and low levels of positive symptoms. | SZ | PANSS negative subscale total score | Primary outcome: changes from baseline in individual items of PANSS | ↑ vs. RIS | CAR 4.5 mg/d single-item negative symptoms improvement vs. RIS 4 mg/d: N1, N2, N3 p < 0.01 N4, N5 p < 0.05 |
| Study | Study Design | Drugs | Comparator Group(s) | Sample | Age | Sample Characteristics | Diagnosis | Assessment of NS | Outcome | Results | |
|---|---|---|---|---|---|---|---|---|---|---|---|
| Change in NS | Effect | ||||||||||
| Correll et al., 2020 [159] | Double blinded RCT, phase III | LUM tosylate 40 mg/d, 60 mg/d | placebo | 450 | LUM tosylate 40 mg/d: 43.3 (10.1) LUM tosylate 60 mg/d: 42.4 (10.3) placebo: 41.4 (10.3) | Patients with acute relapse. Excluded first psychotic episode. | SZ | PANSS negative subscale total score | Primary outcome: change in PANSS total score. Secondary outcome: change in PANSS negative score | ↔ vs. placebo | LUM tosylate 40 mg/d vs. placebo: PANSS negative LSMD −0.9, p = 0.36; LUM tosylate 60 mg/d vs. placebo: PANSS negative LSMD −1.4 p = 0.09 |
| Lieberman et al., 2016 [160] | Double blinded RCT, phase II | LUM 60 tosylate mg/d, 120 mg/d Risperidone 4 mg/d, | placebo | 335 | LUM tosylate 60 mg/d: 38.3 (10.0) LUM tosylate 120 mg/d: 41.1 (8.9) RIS 4 mg/d: 40.7 (9.3) placebo: 40.5 (9.8) | Patients with acute relapse. Excluded first psychotic episode. | SZ | PANSS negative subscale total score | Primary Outcome: Change in PANSS total score Secondary outcome: change in PANSS negative score | ↔ vs. placebo | LUM tosylate 60 mg/d vs. placebo: PANSS negative LSMD −0.9, p = 0.230; LUM tosylate 120 mg/d vs. placebo: PANSS negative LSMD + 0.7 p = 0.319; RIS 4 mg/d vs. placebo: PANSS negative LSMD −0.1 p = 0.914. |
Disclaimer/Publisher’s Note: The statements, opinions and data contained in all publications are solely those of the individual author(s) and contributor(s) and not of MDPI and/or the editor(s). MDPI and/or the editor(s) disclaim responsibility for any injury to people or property resulting from any ideas, methods, instructions or products referred to in the content. |
© 2023 by the authors. Licensee MDPI, Basel, Switzerland. This article is an open access article distributed under the terms and conditions of the Creative Commons Attribution (CC BY) license (https://creativecommons.org/licenses/by/4.0/).
Share and Cite
Brasso, C.; Colli, G.; Sgro, R.; Bellino, S.; Bozzatello, P.; Montemagni, C.; Villari, V.; Rocca, P. Efficacy of Serotonin and Dopamine Activity Modulators in the Treatment of Negative Symptoms in Schizophrenia: A Rapid Review. Biomedicines 2023, 11, 921. https://doi.org/10.3390/biomedicines11030921
Brasso C, Colli G, Sgro R, Bellino S, Bozzatello P, Montemagni C, Villari V, Rocca P. Efficacy of Serotonin and Dopamine Activity Modulators in the Treatment of Negative Symptoms in Schizophrenia: A Rapid Review. Biomedicines. 2023; 11(3):921. https://doi.org/10.3390/biomedicines11030921
Chicago/Turabian StyleBrasso, Claudio, Gianluca Colli, Rodolfo Sgro, Silvio Bellino, Paola Bozzatello, Cristiana Montemagni, Vincenzo Villari, and Paola Rocca. 2023. "Efficacy of Serotonin and Dopamine Activity Modulators in the Treatment of Negative Symptoms in Schizophrenia: A Rapid Review" Biomedicines 11, no. 3: 921. https://doi.org/10.3390/biomedicines11030921
APA StyleBrasso, C., Colli, G., Sgro, R., Bellino, S., Bozzatello, P., Montemagni, C., Villari, V., & Rocca, P. (2023). Efficacy of Serotonin and Dopamine Activity Modulators in the Treatment of Negative Symptoms in Schizophrenia: A Rapid Review. Biomedicines, 11(3), 921. https://doi.org/10.3390/biomedicines11030921

