Influence of Phenotypes on the Metabolic Syndrome of Women with Polycystic Ovary Syndrome over a Six-Year Follow-Up in Brazil
Abstract
:1. Introduction
2. Materials and Methods
2.1. Subjects and Design
2.2. Clinical Features Database and Complementary Exams
2.3. Visits
2.4. Statistical Analysis
3. Results
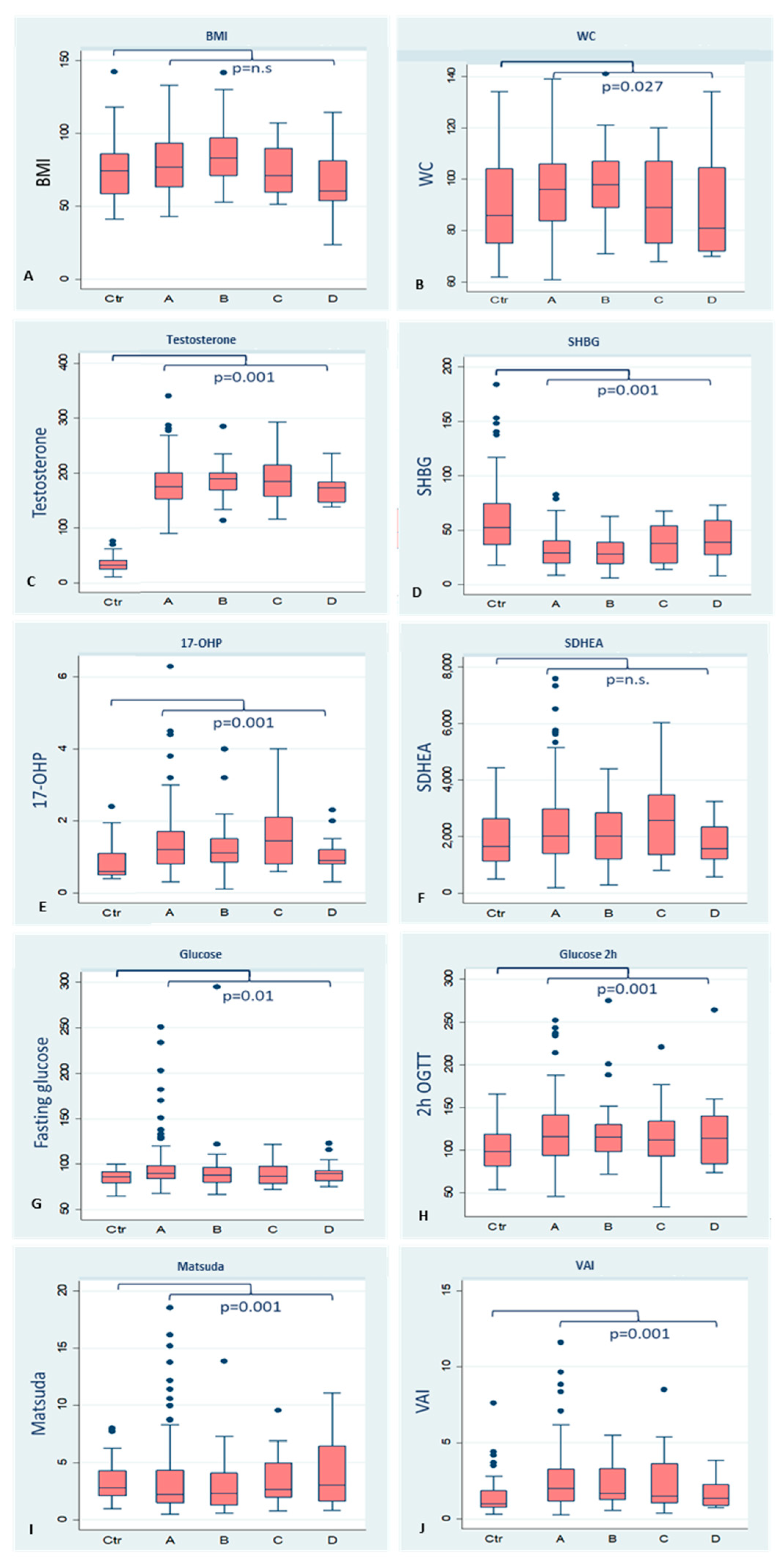
3.1. Baseline Characteristics
3.2. Follow-Up Characteristics
4. Discussion
5. Conclusions
Supplementary Materials
Author Contributions
Funding
Institutional Review Board Statement
Informed Consent Statement
Data Availability Statement
Conflicts of Interest
References
- National Institutes of Health. Evidence-Based Methodology Workshop on Polycystic Ovary Syndrome. 3–5 December 2012. Executive Summary. Available online: https://prevention.nih.gov/docs/programs/pcos/finalreport.pdf (accessed on 8 December 2022).
- Rotterdam ESHRE/ASRM—Sponsered PCOS Consensus Workshop Group. Revised 2003 consensus on diagnostic criteria and long-term health risks related to polycystic ovary syndrome (PCOS). Hum. Reprod. 2004, 19, 41–47. [Google Scholar] [CrossRef]
- Guastella, S.; Long, R.A.; Carmina, E. Clinical and endocrine characteristics of the maisn polycystic ovary syndromephenotypes. Fertil. Steril. 2010, 94, 2197–2201. [Google Scholar] [CrossRef]
- Lizneva, D.; Suturina, L.; Walker, W.; Brakta, S.; Gavrilova-Jordan, L.; Azziz, R. Criteria, prevalence, and phenotypes of polycystic ovary syndrome. Fertil. Steril. 2016, 106, 6–15. [Google Scholar] [CrossRef] [PubMed]
- Norman, R.J.; Masters, L.; Milner, C.R.; Wang, J.X.; Davies, M.J. Relative risk of conversion from normoglycaemia to impaired glucose tolerance or non-insulin dependent diabetes mellitus in polycystic ovarian syndrome. Hum. Reprod. 2001, 16, 1995–1998. [Google Scholar] [CrossRef]
- Legro, R.S.; Gnatuk, C.L.; Kunselman, A.R.; Dunaif, A. Changes in Glucose Tolerance over Time in Women with Polycystic Ovary Syndrome: A Controlled Study. J. Clin. Endocrinol. Metab. 2005, 90, 3236–3242. [Google Scholar] [CrossRef] [PubMed]
- Boudreaux, M.Y.; Talbott, E.O.; Kip, K.E.; Brooks, M.M.; Witchel, S.F. Risk of T2DM and impaired fasting glucose among PCOS subjects: Results of an 8-year follow-up. Curr. Diabetes Rep. 2006, 6, 77–83. [Google Scholar] [CrossRef]
- Hudecova, M.; Holte, J.; Olovsson, M.; Larsson, A.; Berne, C.; Poromaa, I.S. Diabetes and impaired glucose tolerance in patients with polycystic ovary syndrome—A long term follow-up. Hum. Reprod. 2011, 26, 1462–1468. [Google Scholar] [CrossRef] [PubMed]
- Carmina, E.; Campagna, A.M.; Lobo, R.A. A 20-Year Follow-up of Young Women with Polycystic Ovary Syndrome. Obstet. Gynecol. 2012, 119 Pt 1, 263–269. [Google Scholar] [CrossRef]
- Celik, C.; Tasdemir, N.; Abali, R.; Bastu, E.; Yilmaz, M. Progression to impaired glucose tolerance or type 2 diabetes mellitus in polycystic ovary syndrome: A controlled follow-up study. Fertil. Steril. 2014, 101, 1123–1128.e1. [Google Scholar] [CrossRef]
- Rubin, K.H.; Glintborg, D.; Nybo, M.; Abrahamsen, B.; Andersen, M. Development and risk factors of type 2 diabetes in a nationwide polulation of women with polycystic ovary syndrome. J. Clin. Endocrinol. Metab. 2017, 102, 3848–3857. [Google Scholar] [CrossRef]
- Jacewicz-Święcka, M.; Wołczyński, S.; Kowalska, I. The Effect of Ageing on Clinical, Hormonal and Sonographic Features Associated with PCOS—A Long-Term Follow-Up Study. J. Clin. Med. 2021, 10, 2101. [Google Scholar] [CrossRef]
- Gambineri, A.; Patton, L.; Alirei, P.; Pagotto, U.; Pizzi, C.; Manzoli, L.; Pasquali, R. Polycystic ovary syndrome is a risk factor for type 2 diabetes: Results from a long-term prospective study. Diabetes 2012, 61, 2369–2374. [Google Scholar] [CrossRef]
- Baracat, M.C.P.; Baracat, E.C.; Simões, R.S.; Simões, M.J.; Maciel, G.A.R.; Azziz, R.; Soares, J.M. Hormonal and Metabolic Factors Influence the Action of Progesterone on the Endometrium of Women with Polycystic Ovary Syndrome. Diagnostics 2023, 13, 382. [Google Scholar] [CrossRef]
- Andersen, M.; Glintborg, D. Diagnosis and follow-up of type 2 diabetes in women with PCOS: A role for OGTT? Eur. J. Endocrinol. 2018, 179, D1–D14. [Google Scholar] [CrossRef] [PubMed]
- Legro, R.S.; Arslanian, S.A.; Ehrmann, D.A.; Hoeger, K.M.; Murad, M.H.; Pasquali, R.; Welt, C.K. Diagnosis and Treatment of Polycystic Ovary Syndrome: An Endocrine Society Clinical Practice Guideline. J. Clin. Endocrinol. Metab. 2013, 98, 4565–4592. [Google Scholar] [CrossRef] [PubMed]
- Matheson, E.; Bain, J. Hirsutism in Women. Am. Fam. Physician 2019, 100, 168–175. [Google Scholar] [PubMed]
- Forslund, M.; Melin, J.; Stener-Victorin, E.; Hirschberg, A.L.; Teede, H.; Vanky, E.; Piltonen, T. International evidence-based guideline on assessment and management of PCOS—A Nordic perspective. Acta Obstet. Gynecol. Scand. 2023, in press. [CrossRef]
- Nakhleh, A.; Saiegh, L.; Shehadeh, N.; Weintrob, N.; Sheikh-Ahmad, M.; Supino-Rosin, L.; Alboim, S.; Gendelman, R.; Zloczower, M. Screening for non-classic congenital adrenal hyperplasia in women: New insights using different immunoassays. Front. Endocrinol. 2023, 13, 1048663. [Google Scholar] [CrossRef]
- ElSayed, N.A.; Aleppo, G.; Aroda, V.R.; Bannuru, R.R.; Brown, F.M.; Bruemmer, D.; Collins, B.S.; Gaglia, J.L.; Hilliard, M.E.; Isaacs, D.; et al. Classification and Diagnosis of Diabetes: Standards of Care in Diabetes. Diabetes Care 2023, 46, S19–S40. [Google Scholar] [CrossRef]
- Luque-Ramirez, M.; Escobar-Morreale, F. Adrenal hyperandrogenism and polycystic ovary syndrome. Cur. Pharmac. Des. 2016, 22, 5588–5602. [Google Scholar] [CrossRef]
- Little, R.R. Glycated hemoglobina standardization—National Glycohemoglobin Standardization Program (NGSP) perspective. Clin. Chem. Lab. Med. 2003, 41, 1191–1198. [Google Scholar] [CrossRef]
- Matsuda, M.; De Fronzo, R. Insulin sensitivity indices obtained from oral glucose tolerance testing. Diabetes Care 1999, 22, 1462–1470. [Google Scholar] [CrossRef]
- Matthews, D.R.; Hosker, J.P.; Rudenski, A.S.; Naylor, B.A.; Treacher, D.F.; Turner, R.C. Homeostasis model assessment: Insulin resistance and cell function from fasting plasma glucose and insulin concentrations in man. Diabetologia 1985, 28, 412–419. [Google Scholar] [CrossRef]
- Katz, A.; Nambi, S.S.; Mather, K.; Baron, A.D.; Follmann, D.A.; Sullivan, G.; Quon, M.J. Quantitative insulin sensibility check index: A simple, accurate method for assessing insulin sensibility in humans. J. Clin. Endocrinol. Metab. 2000, 85, 2402–2410. [Google Scholar] [CrossRef]
- Amato, M.C.; Giordano, C.; Galia, M.; Criscimanna, A.; Vitabile, S.; Midiri, M.; Galluzzo, A.; AlkaMeSy Study Group. Visceral adiposity index: A reliable indicator of visceral fat function associated with cardiometabolic risk. Diabetes Care 2010, 33, 920–922. [Google Scholar] [CrossRef]
- Grundy, S.M.; Cleeman, J.I.; Daniels, S.R.; Donato, K.A.; Gekel, R.H.; Franklin, B.A.; Gordon, D.J.; Krauss, R.M.; Savage, P.J.; Smith, S.C., Jr.; et al. Diagnosis and management of the metabolic syndrome: An American Heart Association/National Heart, Lung, and Blood Institute Scientific Statement. Circulation 2005, 112, 2735–2752. [Google Scholar] [CrossRef] [PubMed]
- Cobas, R.; Rodacki, M.; Giacaglia, L.; Calliari, L.; Noronha, R.; Valerio, C.; Custódio, J.; Santos, R.; Zajdenverg, L.; Gabbay, G.; et al. Diagnóstico do diabetes e rastreamento do diabetes tipo 2. Dir. Of. Soc. Bras. Diabetes 2022. [Google Scholar] [CrossRef]
- Baracat, E.C.; Baracat, M.C.; Soaresn, J.M., Jr. Are there new insights for the definition of PCOS? Gynecol. Endocrinol. 2022, 38, 703–704. [Google Scholar] [CrossRef] [PubMed]
- Jamil, A.S.; Alalaf, S.K.; Al-Tawil, N.G.; Al-Shawaf, T. Comparison of clinical and hormonal characteristics among four phenotypes of polycystic ovary syndrome based on the Rotterdam criteria. Arch. Gynecol. Obstet. 2016, 293, 447–456. [Google Scholar] [CrossRef] [PubMed]
- Ugwoke, C.K.; Cvetko, E.; Umek, N. Skeletal Muscle Microvascular Dysfunction in Obesity-Related Insulin Resistance: Pathophysiological Mechanisms and Therapeutic Perspectives. Int. J. Mol. Sci. 2022, 23, 847. [Google Scholar] [CrossRef]
- Jaliseh, H.K.; Tehrani, F.R.; Behboudi-Gandevani, S.; Hosseinpanah, F.; Khalili, D.; Cheraghi, L.; Azizi, F. Polycystic ovary syndrome is a risk factor for diabetes and prediabetes in middle-aged but not elderly women: A long-term population-based follow-up study. Fertil. Steril. 2017, 108, 1078–1084. [Google Scholar] [CrossRef]
- Behboudi-Gandevani, S.; Tehrani, F.R.; Hosseinpanah, F.; Khalili, D.; Cheraghi, L.; Kazemijaliseh, H.; Azizi, F. Cardiometabolic risks in polycystic ovary syndrome: Long-term population-based follow-up study. Fertil. Steril. 2018, 110, 1377–1386. [Google Scholar] [CrossRef] [PubMed]
- Lee, E.Y.; Han, K.; Kim, D.H.; Park, Y.-M.; Kwon, H.-S.; Yoon, K.-H.; Kim, M.K.; Lee, S.-H. Exposure-weighted scoring for metabolic syndrome and the risk of myocardial infarction and stroke: A nationwide population-based study. Cardiovasc. Diabetol. 2020, 19, 1–12. [Google Scholar] [CrossRef] [PubMed]
- Ng, N.Y.H.; Jiang, G.; Cheung, L.P.; Zhang, Y.; Tam, C.H.T.; Luk, A.O.Y.; Quan, J.; Lau, E.S.H.; Yau, T.T.L.; Chan, M.H.M.; et al. Progression of glucose intolerance and cardiometabolic risk factors over a decade in Chinese women with polycystic ovary syndrome: A case-control study. PLoS Med. 2019, 16, e1002953. [Google Scholar] [CrossRef] [PubMed]
- Amato, M.C.; Giordano, C.; Galia, M.; Criscimanna, A.; Vitabile, S.; Midiri, M.; Galluzzo, A.; AlkaMeSy Study Group. Visceral adiposity dysfunction associated with cardiometabolic risk in a Caucasian Sicilian population. Lipids Health Dis. 2011, 10, 183–189. [Google Scholar] [CrossRef] [PubMed]
- Elisha, B.; Messier, V.; Karelis, A.; Coderre, L.; Bernard, S.; Prud’homme, D.; Rabasa-Lhoret, R. The Visceral Adiposity Index: Relationship with cardiometabolic risk factors in obese and overweight postmenopausal women—A MONET group study. Appl. Physiol. Nutr. Metab. 2013, 38, 892–899. [Google Scholar] [CrossRef]
- Salazar, M.R.; Carbajal, H.A.; Espeche, W.G.; Aizpurúa, M.; Maciel, P.M.; Reaven, G.M. Identification of Cardiometabolic Risk: Visceral Adiposity Index Versus Triglyceride/HDL Cholesterol Ratio. Am. J. Med. 2014, 127, 152–157. [Google Scholar] [CrossRef] [PubMed]
- Korhonen, S.; Hippeläinen, M.; Niskanen, L.; Vanhala, M.; Saarikoski, S. Relationship of the metabolic syndrome and obesity to polycystic ovary syndrome: A controlled, population-based study. Am. J. Obstet. Gynecol. 2001, 184, 289–296. [Google Scholar] [CrossRef]
- Conderelli, R.A.; Calogero, A.E.; Di Mauro, M.; Mongioi, L.M.; Cannarella, R.; Rosta, G.; La Vignera, S. Androgen excesso and metabolic disorders in women with PCOS: Beyong the body mass index. J. Endocrinol. Investig. 2018, 41, 383–388. [Google Scholar] [CrossRef]
- Diamanti-Kanderakis, E.; Papalou, O.; Kandaraki, E.A. The role of androgen excess on insulin sensitivity in women. Front. Horm Res. 2019, 53, 50–64. [Google Scholar] [CrossRef]
- Corbould, A. Effects of androgens on insulin action in women: Is androgen excess a component of female metabolic syndrome? Diabetes Metab. Res. Rev. 2008, 24, 520–532. [Google Scholar] [CrossRef]
- Corbould, A.; Kim, Y.B.; Youngren, J.F.; Pender, C.; Kahnn, B.B.; Lee, A.; Dunaif, A. Insulin resistance in the skeletal muscle of women with PCOS involves intrinsic and acquired defects in insulin sig-naling. Am. J. Physiol. Endocrinol. Metab. 2005, 288, E1047–E1054. [Google Scholar] [CrossRef]
- Stepto, N.K.; Cassar, S.; Joham, A.E.; Hutchison, S.K.; Harrison, C.L.; Goldstein, R.F.; Teede, H.J. Women with polycystic ovary syndrome have intrinsic insulin resistance on euglycaemic-hyperinsulaemic clamp. Hum. Reprod. 2013, 28, 777–784. [Google Scholar] [CrossRef] [PubMed]
- Pasquali, R. Metformin in women with polycystic ovary syndrome, pro. Endocrine 2015, 48, 422–426. [Google Scholar] [CrossRef] [PubMed]
- Misso, M.L.; Teed, H.J. Metformin in women with polycystic ovary syndrome, cons. Endocrine 2015, 48, 428–433. [Google Scholar] [CrossRef] [PubMed]
- Glintborg, D.; Altinok, M.L.; Mumm, H.; Hermann, A.P.; Ravn, P.; Andersen, M. Body Composition Is Improved during 12 Months’ Treatment with Metformin Alone or Combined with Oral Contraceptives Compared with Treatment with Oral Contraceptives in Polycystic Ovary Syndrome. J. Clin. Endocrinol. Metab. 2014, 99, 2584–2591. [Google Scholar] [CrossRef]




| PCOS (n = 310) | Control (n = 71) | p-Value | ||
|---|---|---|---|---|
| Clinical Characteristics | Age (years, mean ± SD) | 25.5 ± 5.5 | 28.4 ± 5.4 | 0.001 |
| Menarche (years, mean ± SD) | 12.6 ± 1.9 | 12.1 ± 2.2 | ns | |
| BMI (kg/m2, mean ± SD) | 30.6 ± 7.2 | 28.8 ± 6.5 | ns | |
| WC (cm, mean ± SD) | 94.6 ± 16.2 | 90.8 ± 7.0 | 0.027 | |
| F-G Score [(median (Q1–Q3)] | 12 (7–16) | 2 (0–5) | 0.001 | |
| Obesity Classification | Normal (%) | 78/310 (25.2) | 28/71 (39.4) | 0.015 |
| Overweight (%) | 86/310 (27.7) | 14/71 (19.7) | 0.053 | |
| Obesity (%) | 146/310 (47.1) | 29/71 (40.9) | ns | |
| Hormonal Profile | FSH (IU/L, mean ± SD) | 5.13 ± 1.61 | 5.72 ± 1.88 | 0.002 |
| LH (IU/L, mean ± SD) | 10.4 ± 6.2 | 5.75 ± 3.87 | 0.001 | |
| LH/FSH (mean ± SD) | 2.04 ± 1.05 | 1.07 ± 0.70 | 0.001 | |
| E2 (pg/mL, mean ± SD) | 64.4 ± 42.6 | 67.2 ± 44.6 | ns | |
| 17OHP (ng/mL, mean ± SD) * | 1.33 ± 0.79 | 0.83 ± 0.40 | 0.001 | |
| Testosterone (ng/dL, mean ± SD) | 47.1 ± 24.1 | 34.8 ± 13.2 | 0.001 | |
| SHBG (nmol/L, mean ± SD) | 32.7 ± 15.5 | 60.8 ± 34.7 | 0.001 | |
| Calculated free testosterone (pmol/L, mean ± SD) | 32.3 ± 19.8 | 16.5 ± 8.9 | 0.001 | |
| DHEAS (ng/mL, mean ± SD) | 2268.6 ± 1289.7 | 1950.3 ± 1035.8 | ns | |
| Androstenedione (ng/mL, mean ± SD) | 3.45 ± 1.39 | 1.27 ± 0.45 | 0.001 | |
| Metabolic Syndrome Evaluation (ATP III) | Fasting glucose intolerance or T2DM (%) | 45/303 (14.8) | 1/71 (1.4) | 0.01 |
| ↑ BP (≥130 × 85 mmHg) (%) | 68/305 (22.3) | 6/71 (8.4) | 0.001 | |
| ↑ TG (≥150 mg/dL) (%) | 83/310 (26.8) | 5/69 (7.2) | 0.001 | |
| ↓ HDL (<50 mg/dL) (%) | 182/310 (58.7) | 23/69 (33.3) | 0.001 | |
| ↑ WC (>88 cm) (%) | 167/299 (55.8) | 34/70 (48.6) | 0.027 | |
| Metabolic syndrome (%) | 89/306 (29.1) | 4/70 (5.7) | 0.001 | |
| Evaluation of Metabolic Profile | Fasting glucose intolerance (G0′) (%) | 45/301 (14.9) | 1/71 (1.4) | 0.01 |
| 2 h OGTT intolerance (G120’) (%) | 49/275 (17.8) | 3/48 (6.2) | 0.001 | |
| HbA1C intolerance (%) | 31/232 (13.4) | 2/34 (8.8) | 0.001 | |
| Total of intolerance (%) | 125/310 (40.3) | 6/71 (8.5) | 0.002 | |
| DM (G0′) (%) | 0 /301 (0.0) | 0/71 (0.0) | ns | |
| DM (G120’) (%) | 11/275 (4.0) | 0/48 (0.0) | 0.004 | |
| DM (HBA1C) (%) | 1/232 (0.43) | 0/34 (0.0) | ||
| Total of T2DM (%) | 12/310 (3.9) | 0/71 (0.0) | 0.004 | |
| Metabolic Profile | Total cholesterol (mg/dL, mean ± SD) | 179.6 ± 36.4 | 177.1 ± 31.9 | ns |
| HDL-c (mg/dL, mean ± SD) | 48.2 ± 14.0 | 56.5 ± 16.3 | 0.001 | |
| LDL-c (mg/dL, mean ± SD) | 108.1 ± 31.8 | 102.8 ± 28.0 | ns | |
| TG (mg/dL, mean ± SD) | 120.6 ± 71.2 | 94.7 ± 65.2 | 0.001 | |
| Fasting glucose (G0′) (mg/dL, mean ± SD) | 89.7 ± 9.7 | 85.7 ± 7.7 | 0.01 | |
| 2 h OGTT glucose (G120’) (mg/dL) | 122.8 ± 39.6 | 101.1 ± 25.3 | 0.001 | |
| Fasting insulin (I0′) (µU/mL, mean ± SD) | 19.0 ± 14.9 | 12.7 ± 15.7 | 0.001 | |
| 2 h OGTT insulin (I120’) (µU/mL, mean ± SD) | 162.1 ± 133.7 | 196.6 ± 48.9 | ns | |
| HbA1C (%,mean ± SD) | 5.51 ± 0.60 | 5.07 ± 0.38 | 0.001 | |
| HOMA-IR (mean ± SD) | 4.43 ± 3.79 | 2.39 ± 1.50 | 0.001 | |
| QUICKI (mean ± SD) | 0.324 ± 0.036 | 0.346 ± 0.04 | 0.001 | |
| ISI Matsuda (mean ± SD) | 3.380 ± 2.89 | 3.489 ± 2.09 | ns | |
| VAI (mean ± SD) | 2.378 ± 1.772 | 1.469 ± 1.225 | 0.001 |
| PCOS (n = 310) | Control (n = 71) | ||||
|---|---|---|---|---|---|
| (95% CI) | p-Value | (95% CI) | p-Value | ||
| Clinical Characteristics | Age (years) | 0.397 (0.186–0.608) | 0.001 | 0.450 (−0349–1.249) | 0.265 |
| Menarche (years) | –1.514 (–2.599–0.428) | 0.006 | −0.278 (−3.091–2.536) | 0.843 | |
| BMI (kg/m2) | 2.009 (1.868–2.150) | 0.001 | 2.112 (1.623–2.600) | 0.001 | |
| Hormonal Profile | FSH IU/L) | 0.086 (−1.253–1.426) | 0.899 | 0.345 (−1.882–2.571) | 0.758 |
| LH (IU/L) | –0.642(−0.965–0.320) | 0.001 | −0.431 (−1.531–0.669) | 0.437 | |
| E2 (pg/mL) | –0.015 (−0.069–0.040) | 0.595 | −0.033 (−0.132–0.066) | 0.511 | |
| 17OHP (ng/mL) * | –1.874 (−4.535–0.787) | 0.166 | −5.746 (−15.272–3.780) | 0.233 | |
| Testosterone (ng/dL) | –0.005 (−0.028–0.018) | 0.663 | −0.163 (−0.486–0.161) | 0.319 | |
| SHBG (nmol/L) | –0.061 (−0.099–0.023) | 0.002 | −0.173 (−0.293–0.0523) | 0.005 | |
| Calculated free testosterone (pmol/L) | 0.074 (−0.006–0.153) | 0.069 | 0.436 (−0.035–0.907) | 0.069 | |
| DHEAS (ng/mL) | –0.003 (−0.004–0.001) | 0.001 | −0.002 (−0.006–0.002) | 0.345 | |
| Androstenedione (ng/mL) | –0.642 (−3.493–2.209) | 0.653 | 4.956 (−5.347–15.260) | 0.338 | |
| Metabolic syndrome evaluation (ATP III) | Metabolic syndrome (%) | 7.365 (5.1076–9.622) | 0.001 | 3.000 (−28.424–3.424) | 0.781 |
| Evaluation of Metabolic Profile | 2h OGTT intolerance (G120’) (%) | 20.632 (14.384–26.881) | 0.001 | 22.030 (4.714–39.346) | 0.013 |
| Total of DM (%) | 8.969 (5.803–12.134) | 0.001 | 7.359 (−7.557–22.276) | 0.328 | |
| Metabolic Profile | Total cholesterol (mg/dL) | 0.053 (0.007–0.100) | 0.025 | 0.046 (−0.086–0.177) | 0.490 |
| HDL-c (mg/dL) | –0.406 (−0.519–0.294) | 0.001 | −0.518 (−0.750-−0.287) | 0.001 | |
| LDL-c (mg/dL) | 0.088 (0.036–0.139) | 0.001 | 0.191 (0.047–0.334) | 0.010 | |
| TG (mg/dL) | 0.054 (0.030–0.077) | 0.001 | 0.119 (0.061–0.177) | 0.001 | |
| Fasting glucose (G0’) (mg/dL) | 0.112 (0.028–0.196) | 0.009 | 0.601 (0.076–1.125) | 0.025 | |
| 2h OGTT glucose (G120’) (mg/dL) | 0.100 (0.046–0.154) | 0.001 | 0.261 (0.081–0.441) | 0.005 | |
| Fasting insulin (I0’) (µU/mL) | 0.453 (0.356–0.551) | 0.001 | 0.346 (0.087–0.606) | 0.010 | |
| HbA1C (%) | 1.843 (−0.161–3.848) | 0.071 | 25.250 (10.664–39.836) | 0.001 | |
| HOMA-IR | 1.705 (1.307–2.104) | 0.001 | 6.319 (3.909–8.728) | 0.001 | |
| QUICKI | –265.92 (−306.23–225.62) | 0.001 | −253.08 (−351.69–154.46) | 0.001 | |
| ISI Matsuda | −2.775 (−3.408–2.142) | 0.001 | 0.491 (−3.158–4.140) | 0.783 | |
| VAI | 2.414 (1.594–3.234) | 0.001 | 7.157 (4.165–10.150) | 0.001 | |
| Baseline (n = 310) Mean ± SD | Follow-Up (n = 310) Mean ± SD | p-Value | ||
|---|---|---|---|---|
| Clinical Characteristics | Age (years) | 25.5 ± 5.5 | 32.5 ± 7.7 | 0.001 |
| BMI (kg/m2) | 30.6 ± 7.2 | 31.3 ± 6.8 | ns | |
| WC (cm) | 94.6 ± 16.2 | 97.9 ± 12.6 | ns | |
| F-G Score | 11.9 ± 6.3 | 9.1 ± 5.4 | 0.001 | |
| Obesity Classification | Normal (%) | 78/310 (25.2) | 55/303 (18.2) | 0.029 |
| Overweight (%) | 86/310 (27.7) | 84/303 (27.7) | ns | |
| Obesity (%) | 146/310 (47.1) | 164/303 (54.1) | 0.025 | |
| Hormonal Profile | 17OHP (ng/mL) * | 1.33 ± 0.79 | 1.04 ± 0.78 | 0.001 |
| Testosterone (ng/dL) | 47.1 ± 24.1 | 38.8 ± 26.9 | 0.001 | |
| SHBG (nmol/L) | 32.7 ± 15.5 | 76.7 ± 85.0 | 0.001 | |
| Calculated free testosterone (pmol/L) | 32.3 ± 19.8 | 21.0 ± 19.1 | 0.001 | |
| DHEAS (ng/mL) | 2268.6 ± 1289.7 | 1986.4 ± 1161.5 | 0.009 | |
| Androstenedione (ng/mL) | 3.45 ± 1.39 | 2.13 ± 1.28 | 0.001 | |
| Metabolic Syndrome Evaluation (ATP III) | Fasting glucose intolerance or DM (%) | 45/303 (14.8) | 65/305 (21.3) | ns |
| ↑ BP (≥130 × 85 mmHg) (%) | 68/305 (22.3) | 69/305 22.6) | ns | |
| ↑ TG (≥150 mg/dL) (%) | 83/310 (26.8) | 88/302 (29.1) | ns | |
| ↓ HDL (<50 mg/dL) (%) | 182/310 (58.7) | 154/302 (51.0) | 0.018 | |
| ↑ WC (>88 cm) (%) | 167/299 (55.8) | 155/262 (59.2) | ns | |
| Metabolic syndrome (%) | 89/306 (29.1) | 77/307 (25.1) | ns | |
| Metabolic Profile | Total cholesterol (mg/dL) | 179.6 ± 36.4 | 181.2 ± 34.3 | ns |
| HDL-c (mg/dL) | 48.2 ± 14.0 | 50.6 ± 14.4 | ns | |
| LDL-c (mg/dL) | 108.1 ± 31.8 | 107.3 ± 30.5 | ns | |
| TG (mg/dL) | 120.6 ± 71.2 | 125.6 ± 67.4 | ns | |
| Fasting glucose (G0′) (mg/dL) | 89.7 ± 9.7 | 93.8 ± 23.0 | ns | |
| Fasting insulin (I0′) (µU/mL) | 19.0 ± 14.9 | 19.4 ± 15.8 | ns | |
| 2 h OGTT insulin (I120’) (µU/mL) | 162.1 ± 133.7 | 177.2 ± 172.6 | ns | |
| HbA1C (%) | 5.49 ± 0.56 | 5.62 ± 0.90 | ns | |
| HOMA-IR | 4.43 ± 3.79 | 4.31 ± 3.68 | ns | |
| QUICKI | 0.324 ± 0.036 | 0.323 ± 0.033 | ns | |
| ISI Matsuda | 3.380 ± 2.89 | 3.864 ± 3.327 | ns | |
| VAI | 2.378 ± 1.772 | 3.100 ± 2.214 | 0.003 | |
| n/total (%) | n/total (%) | |||
| Evaluation of Metabolic Profile | Fasting glucose ≥ 100 mg/dL (G0′) (%) | 45/301 (14.9) | 53/305 (17.4) | ns |
| 2 h OGTT intolerance (G120’) (%) | 49/275 (17.8) | 19/164 (11.0) | 0.014 | |
| HbA1C intolerance (%) | 31/232 (13.4) | 27/236 (11.4) | ns | |
| Total of intolerance (%) | 125/310 (40.3) | 99/310 (31.9) | ns | |
| T2DM (G0′) (%) | 0 /301 (0.0) | 12/305 (3.93) | ns | |
| T2DM (G120’) (%) | 11/275 (4.0) | 18/164 (11.0) | 0.045 | |
| T2DM (HBA1C) (%) | 1/232 (0.43) | 6/236 (2.54) | ns | |
| Total of T2DM (%) | 12/310 (3.9) | 36/310 (11.6) | 0.031 | |
| Metabolic Syndrome Evaluation (ATP III) | Fasting glucose intolerance or DM (%) | 45/303 (14.8) | 65/305 (21.3) | ns |
| ↑ BP (≥130 × 85 mmHg) (%) | 68/305 (22.3) | 69/305 22.6) | ns | |
| ↑ TG (≥150 mg/dL) (%) | 83/310 (26.8) | 88/302 (29.1) | ns | |
| ↓ HDL (<50 mg/dL) (%) | 182/310 (58.7) | 154/302 (51.0) | 0.018 | |
| ↑ WC (>88 cm) (%) | 167/299 (55.8) | 155/262 (59.2) | ns | |
| Metabolic syndrome (%) | 89/306 (29.1) | 77/307 (25.1) | ns |
| Phenotype A (n = 233) | Phenotype B (n = 36) | Phenotype C (n = 20) | Phenotype D (n = 21) | ||||||||||
|---|---|---|---|---|---|---|---|---|---|---|---|---|---|
| Basal Mean ± SD | Follow-Up Mean ± SD | p-Value | Basal Mean ± SD | Follow-Up Mean ± SD | p-Value | Basal Mean ± SD | Follow-Up Mean ± SD | p-Value | Basal Mean ± SD | Follow-Up Mean ± SD | p-Value | ||
| Clinical Characteristics | Follow-up (months) | 86.8 ± 63.5 | 102.3 ± 63.6 | 67.6 ± 51.8 | 74.8 ± 55.3 | - | |||||||
| BMI (kg/m2) | 30.7 ± 7.1 | 31.6 ± 6.8 | ns | 32.9 ± 7.8 * | 32.4 ± 7.2 | ns | 28.9 ± 6.1 | 29.6 ± 6.4 | ns | 26.8 ± 6.4 * | 28.0 ± 5.9 | ns | |
| WC (cm) | 94.7 ± 15.8 | 97.5 ± 11.8 | ns | 99.7 ± 16.0 | 100.5 ± 14.8 | ns | 90.4 ± 16.8 | 101.4 ± 20.0 | ns | 89.9 ± 22.9 | 96.0 ± 17.2 | ns | |
| F-G score | 12.4 ± 6.2 † | 9.7 ± 5.3 † | 0.001 | 11.2 ± 5.9 †,‡ | 7.7 ± 5.1† | 0.002 | 15.1 ± 4.1 †,‡ | 11.8 ± 4.7 † | 0.019 | 2.9 ± 2.0 † | 2.8 ± 2.6 † | ns | |
| Hormonal Profile | 17OHP (ng/mL) | 1.34 ± 0.80 | 1.01 ± 0.78 | 0.001 | 1.26 ± 0.78 | 1.26 ± 0.77 | ns | 1.55 ± 0.91 | 1.15 ± 1.05 | ns | 1.08 ± 0.48 | 0.85 ± 0.40 | ns |
| Testosterone (ng/dL) | 51.6 ± 24.2 § | 41.2 ± 28.3 § | 0.001 | 38.4 ± 19.2 § | 32.8 ± 22.4 § | 0.013 | 35.5 ± 19.6 § | 32.8 ± 19.3 § | ns | 23.6 ± 9.9 § | 28.9 ± 19.2 § | ns | |
| SHBG (nmol/L) | 31.9 ± 14.7 | 76.8 ± 87.7 | 0.001 | 30.4 ± 15.5 | 74.4 ± 67.4 | 0.004 | 37.4 ± 18.1 | 78.5 ± 75.4 | ns | 40.8 ± 19.4 | 82.3 ± 98.6 | ns | |
| Calculated free testosterone (pmol/L) | 35.7 ± 19.6 § | 22.4 ± 20.0 | 0.001 | 28.7 ± 20.9 § | 15.8 ± 12.4 | 0.001 | 21.8 ± 15.2 § | 19.5 ± 19.2 | ns | 14.2 ± 7.4 § | 16.6 ± 18.6 | ns | |
| DHEAS (ng/mL) | 2301.4 ± 1311.6 | 1989.4 ± 1082.9 | 0.029 | 2107.1 ± 1173.2 | 1687.0 ± 1187.7 | ns | 2746.8 ± 1528.2 | 2607.0 ± 1780.3 | ns | 1768.2 ± 812.0 | 1744.5 ± 890.5 | ns | |
| Androstenedione (ng/mL) | 3.62 ± 1.38 || | 2.20 ± 1.34 | 0.001 | 2.78 ± 1.44 || | 1.82 ± 1.10 | 0.014 | 3.32 ± 1.22 | 1.92 ± 1.12 | 0.001 | 2.97 ± 1.07 | 2.33 ± 1.24 | ns | |
| Metabolic Profile | Total cholesterol (mg/dL) | 179.0 ± 36.9 | 180.4 ± 35.0 | ns | 186.6 ± 33.3 | 181.0 ± 31.1 | ns | 184.8 ± 44.9 | 192.7 ± 39.4 | ns | 170.5 ± 27.7 | 175.9 ± 27.7 | ns |
| HDL-c (mg/dL) | 47.9 ± 13.7 | 50.2 ± 14.5 | ns | 47.6 ± 13.5 | 51.0 ± 15.6 | ns | 49.8 ± 17.4 | 51.7 ± 12.4 | ns | 50.7 ± 14.2 | 51.8 ± 14.5 | ns | |
| LDL-c (mg/dL) | 106.9 ± 32.3 | 106.5 ± 31.1 | ns | 116.0 ± 27.8 | 109.8 ± 26.7 | ns | 112.3 ± 38.7 | 114.8 ± 34.9 | ns | 103.2 ± 25.2 | 102.6 ± 23.7 | ns | |
| TG (mg/dL) | 122.3 ± 66.3 # | 129.1 ± 69.4 # | ns | 115.4 ± 65.0 | 117.9 ± 69.7 | ns | 116.6 ± 70.7 | 122.4 ± 51.8 | ns | 82.7 ± 39.2 # | 103.4 ± 51.0 # | ns | |
| G0′ (mg/dL) | 89.6 ± 9.2 | 94.5 ± 21.7 | ns | 89.6 ± 11.6 | 93.7 ± 36.4 | ns | 90.0 ± 9.4 | 90.5 ± 14.7 | ns | 90.8 ± 12.2 | 89.9 ± 12.6 | ns | |
| G120′ (mg/dL) | 121.3 ± 37.7 | 141.8 ± 58.1 | 0.01 | 130.3 ± 47.9 | 130.6 ± 55.4 | ns | 120.0 ± 43.6 | 144.6 ± 60.8 | ns | 125.7 ± 47.3 | 115.8 ± 61.0 | ns | |
| I0′ (µU/mL) | 19.4 ± 15.3 | 20.5 ± 17.2 | ns | 21.5 ± 16.7 | 17.5 ± 11.4 | ns | 15.3 ± 9.8 | 122.4 ± 51.8 | ns | 14.1 ± 10.2 | 13.1 ± 8.2 | ns | |
| I120′ (µU/mL) | 169.5 ± 141.7 | 174.2 ± 191.1 | ns | 152.2 ± 108.1 | 130.6 ± 55.4 | ns | 145.2 ± 103.9 | 229.5 ± 118.7 | ns | 102.6 ± 70.5 | 145.5 ± 100.0 | ns | |
| HbA1C (%) | 5.54 ± 0.64 | 5.64 ± 0.78 | ns | 5.39 ± 0.49 | 5.7 ± 1.6 | ns | 5.39 ± 0.46 | 5.43 ± 0.50 | ns | 5.48 ± 0.44 | 5.44 ± 0.70 | ns | |
| HOMA-IR | 4.42 ± 3.8 | 4.49 ± 3.94 | ns | 5.17 ± 4.54 | 3.98 ± 2.98 | ns | 3.73 ± 2.47 | 3.96 ± 2.96 | ns | 3.84 ± 3.28 | 3.01 ± 2.18 | ns | |
| QUICKI | 0.323 ± 0.035 | 0.322 ± 0.033 | ns | 0.320 ± 0.038 | 0.326 ± 0.034 | ns | 0.326 ± 0.030 | 0.328 ± 0.037 | ns | 0.340 ± 0.043 | 0.337 ± 0.032 | ns | |
| ISI Matsuda | 3.332 ± 2.93 | 3.732 ± 3.300 | ns | 3.207 ± 2.860 | 4.208 ± 3.215 | ns | 3.539 ± 2.384 | 4.498 ± 5.354 | ns | 4.182 ± 3.171 | 4.943 ± 1.688 | ns | |
| #/total # (%) | #/total # (%) | #/total # (%) | #/total # (%) | #/total # (%) | #/total # (%) | #/total # (%) | #/total # (%) | ||||||
| Obesity Classification | Normal (%) | 54/233 (23.2) | 36/227 (15.8) | 0.031 | 7/36 (19.4) * | 7/35 (20.0) | ns | 7/20 (35.0) | 7/20 (35.0) | 10/21 (47.6) * | 5/21 (23.8) | ||
| Overweight (%) | 68/233(29.2) || | 66/227 (29.1) ¶ | ns | 7/36 (19.4) || | 4/35 (11.4) ¶ | ns | 6/20 (30.0) | 3/20 (15.0) ¶ | 6/21 (28.6) | 11/21 (52.4) ¶ | |||
| Obesity (%) | 111/233 (47.6) | 125/227 (55.1) | ns | 22/36 (61.2) * | 24/35 (68.6) | ns | 7/20 (35.0) | 10/20 (50.0) | 5/21 (23.8) * | 5/21(23.8) | |||
| Metabolic Syndrome Evaluation (ATP III) | Fasting glucose intolerance (%) | 34/230 (14.8) || | 53/228 (23.2) | ns | 5/36 (13.9) || | 4/36 (11.1) | ns | 4/20 (20.0) | 4/20 (20.0) | ns | 2/19 (10.5) | 4/21 (19.0) | ns |
| ↑ BP (%) | 56/231 (24.2) | 58/227 (25.6) | ns | 9/36 (25.0) | 7/36 (19.4) | ns | 3/20 (15.0) | 3/20 (15.0) | ns | 1/19 (5.3) | 4/21 (19.0) | ns | |
| ↑ TG (%) | 66/224 (29.5) | 71/226 (31.4) | ns | 8/35 (22.8) | 7/36 (19.4) | ns | 6/19 (31.6) | 7/20 (35.0) | ns | 2/21 (9.5) | 3/20 (15.0) | ns | |
| ↓ HDL (%) | 135/224 (60.3) | 116/226 (51.3) | 0.07 | 25/35 (71.4) | 20/36 (55.6) | ns | 12/18 (66.7) | 9/20 (45.0) | ns | 10/21 (47.6) | 10/20 (50.0) | ns | |
| ↑ WC (%) | 135/230 (58.7) | 141/220 (64.1) | ns | 27/35 (77.1) | 24/34 (70.6) | ns | 10/19 (52.6) | 9/20 (45.0) | ns | 8/21 (38.1) | 6/18 (33.3) | ns | |
| Metabolic syndrome (%) | 64/229 (27.9) | 59/230 (25.7) | 0.015 | 10/36 (27.8) | 10/36 (27.8) | ns | 7/20 (35.0) | 5/20 (25.0) | ns | 2/21 (9.5) | 3/21 (14.3) | ns | |
| Evaluation of Glucose Profile | Fasting glucose ≥ 100 mg/dL (%) | 31/230 (13.5) | 42/228 (18.4) | ns | 3/34 (8.8) | 3/36 (8.3) | 3/20 (15.0) | 4/20 (20.0) | 1/19 (5.3) | 4/21 (19.0) | - | ||
| 2 h OGTT intolerance (%) | 41/208 (19.7) | 14/108(13.0) | ns | 2/25 (8.0) | 5/20 (25.0) | 2/17 (11.8) | 1/8 (12.5) | 2/13 (15.4) | 0/21 (0.0) | - | |||
| HbA1C intolerance (%) | 19/173 (11.0) | 22/176 (12.5) || | ns | 6/29 (20.7) | 2/30 (6.7) || | 2/12 (16.7) | 2/13 (15.4) | 2/18 (11.1) | 1/17 (5.9) | - | |||
| Total intolerance (%) | 91/233 (39.1) | 78/233 (33.5) | 0.001 | 11/36 (30.6) | 10/36 (27.8) | ns | 7/20 (35.0) | 7/20 (35.0) | ns | 5/21 (23.8) | 5/21 (23.8) | ns | |
| T2DM | DM G0′) (%) | 0/230 (0.0) | 11/228 (4.8) | ns | 0/34 (0.0) | 1/36 (2.8) | 0/20 (0.0) | 0/20 (0.0) | 0/19 (0.0) | 0/21 (0.0) | - | ||
| DM (G120′) (%) | 6/208 (2.9) | 13/106 (12.3) | ns | 3/25 (12.0) | 2/20 (10.0) | 1/17 (5.9) | 2/8 (25.0) | 1/13 (7.7) | 1/10 (10.0) | - | |||
| DM (HBA1C) (%) | 1/173 (0.6) | 5/176 (2.8) | ns | 0/29 (0.0) | 0/30 (0.0) | 0/12 (0.0) | 0/13 (0.0) | 0/18 (0.0) | 1/17 (5.9) | - | |||
| Total T2DM (%) | 7/233 (3.0) | 29/233 (12.4) | 0.001 | 3/36 (8.3) | 3/36 (8.3) | ns | 1/20 (5.0) | 2/20 (10.0) | ns | 1/21 (4.8) | 2/21 (9.5) | ns | |
| Only OHCC Users | 106/233 (45.49) | 13/36 (36.11) | 10/20 (50) | 11/21 (52.38) | ns | ||||||||
| OHCC plus MH Drugs Association | 34/233 (10.73) | 13/36 (36.11) | 7/20 (35.6) | 5/21 (23.81) | ns | ||||||||
| Phenotype A (n = 233) (95% CI) | p-Value | Phenotype B (n = 36) (95% CI) | p-Value | Phenotype C (n = 20) (95% CI) | p-Value | Phenotype D (n = 21) (95% CI) | p-Value | ||
|---|---|---|---|---|---|---|---|---|---|
| Clinical Characteristics | Follow-up (months) | 0.003 (−0.001–0.007) | 0.077 | 0.001 (−0.010–0.011) | 0.980 | −0.002 (−0.013–0.008) | 0.661 | −0.006 (−0.017–0.006) | 0.285 |
| F-G Score | 0.003 (−0.037–0.044) | 0.891 | 0.005 (−0.099–0.112) | 0.909 | −0.065 (−0.254–0.125) | 0.485 | 0.234 (−0.085–0.553) | 0.129 | |
| Hormonal Profile | 17OHP * | −0.130 (−0.452–0.192) | 0.426 | −0.565 (−1.565–0.436) | 0.252 | −0.015 (−1.563–1.532) | 0.983 | −0.246 (−3.726–3.234) | 0.868 |
| Testosterone | −0.007 (−0.016–0.001) | 0.100 | 0.003 (−0.028–0.034) | 0.854 | 0.018 (−0.030–0.066) | 0.435 | −0.087 (−0.145–−0.029) | 0.009 | |
| SHBG | −0.005 (−0.010–0.001) | 0.103 | −0.007 (−0.022–0.009) | 0.407 | −0.022 (−0.049–0.004) | 0.096 | −0.035 (−0.058–−0.011) | 0.009 | |
| Calculated free testosterone | −0.001(−0.012–0.010) | 0.845 | 0.027 (−0.038–0.091) | 0.388 | 0.064 (0.003–0.125) | 0.041 | −0.069 (−0.332–0.194) | 0.563 | |
| DHEAS | −0.001 (−0.001–−0.001) | 0.001 | −0.001 (−0.001–0.001) | 0.155 | 0.001 (−0.001–0.001) | 0.251 | −0.001 (−0.002–0.001) | 0.121 | |
| Androstenedione | −0.145 (−0.326–0.039) | 0.116 | −0.399 (−0.837–0.039) | 0.072 | 0.623 (−0.400–1.646) | 0.211 | −0.264 (−0863–0.336) | 0.333 | |
| Obesity Classification | Normal | −1.512 (−2.163–−0.862) | 0.001 | −1.517 (−3.748–0.714) | 0.175 | −1.902 (−3.657–0.146) | 0.035 | −1.478 (−2.529–−0.426) | 0.012 |
| Overweight | 0.128 (−0.400–0.656) | 0.634 | −0.737 (−2.177–0.704) | 0.304 | 0.197 (−0.188–4.182) | 0.071 | 1.178 (−0.528–2.885) | 0.150 | |
| Obesity | −0.019 (−0.081–0.042) | 0.526 | 0.082 (−0.119–0.283) | 0.398 | −0.074 (−0.737–0.590) | 0.774 | 1.152 (−1.285–3.588) | 0.307 | |
| Metabolic Syndrome Evaluation (ATP III) | Metabolic syndrome | 1.671 (1.370–1.972) | 0.001 | 1.369 (0.565–2.173) | 0.002 | 2.772 (1.883–3.661) | 0.001 | 0.323 (−0.828–1.474) | 0.536 |
| Diagnosis of Metabolic Changes | Total glucose intolerance | 0.925 (0.463–1.388) | 0.001 | 0.736 (−0.469–1.942) | 0.221 | 1.686 (0.234–3.138) | 0.025 | −0.006 (−1.573–1.561) | 0.993 |
| Total T2DM | 2.369 (1.586–3.153) | 0.001 | 1.410 (−0.552–3.372) | 0.152 | 6.409 (3.183–9.636) | 0.001 | 0.885 (−1.625–3.394) | 0.440 | |
| Metabolic Profile | Total cholesterol | 0.007 (−0.001–0.014) | 0.053 | 0.029 (0.012–0.046) | 0.002 | 0.022 (0.005–0.039) | 0.013 | −0.006 (−0.038–0.025) | 0.665 |
| LDL-c | 0.006 (−0.002–0.014) | 0.123 | 0.035 (0.014–0.056) | 0.002 | 0.030 (0.010–0.050) | 0.006 | −0.002 (−0.038–0.033) | 0.882 | |
| G0′ | 0.032 (0.018–0.046) | 0.001 | −0.001 (−0.019–0.018) | 0.965 | 0.053 (−0.040–0.145) | 0.247 | 0.014 (−0.017–0.045) | 0.325 | |
| G120′ | 0.019 (0.014–0.024) | 0.001 | 0.019 (0.005–0.033) | 0.010 | 0.026 (0.002–0.051) | 0.036 | 0.007 (−0.052–0.065) | 0.772 | |
| I0′ | 0.037 (0.022–0.053) | 0.001 | 0.020 (−0.030–0.071) | 0.421 | 0.111 (−0.034–2.56) | 0.125 | 0.108 (−0.046–0.626) | 0.137 | |
| I120′ | 0.005 (0.003–0.006) | 0.001 | 0.005 (−0.003–0.013) | 0.194 | 0.017 (0.005–0.029) | 0.008 | 0.024 (−0.051–0.099) | 0.154 | |
| HbA1C | 0.721 (0.383–1.059) | 0.001 | 0.071 (−0.392–0.535) | 0.754 | 0.320 (−3.006–3.647) | 0.836 | 0.311 (−0.813–1.435) | 0.534 | |
| HOMA-IR | 0.178 (0.123–0.233) | 0.001 | 0.206 (0.038–0.374) | 0.018 | 0.227 (−0.143–0.597) | 0.214 | −0.001 (−0.270–0.268) | 0.993 | |
| QUICKI | −22.34 (−28.46–−16.21) | 0.001 | −31.04 (−52.37–−9.71) | 0.006 | −22.41 (−48.13–3.30) | 0.084 | −15.27 (−30.06–−0.48) | 0.044 | |
| ISI Matsuda | −0.252 (−0.351–−0.153) | 0.001 | 0.0769 (−0.498–0.652) | 0.781 | −0.331 (−0.619–−0.436) | 0.027 | −0.256 (−2.096–1.583) | 0.327 |
Disclaimer/Publisher’s Note: The statements, opinions and data contained in all publications are solely those of the individual author(s) and contributor(s) and not of MDPI and/or the editor(s). MDPI and/or the editor(s) disclaim responsibility for any injury to people or property resulting from any ideas, methods, instructions or products referred to in the content. |
© 2023 by the authors. Licensee MDPI, Basel, Switzerland. This article is an open access article distributed under the terms and conditions of the Creative Commons Attribution (CC BY) license (https://creativecommons.org/licenses/by/4.0/).
Share and Cite
Soares-Jr., J.M.; Hayashida, S.A.Y.; Marcondes, J.A.M.; Maciel, G.A.R.; Barcellos, C.R.G.; Maffazioli, G.D.N.; Monteiro, K.K.A.C.; Turri, J.A.O.; Azziz, R.; Baracat, E.C. Influence of Phenotypes on the Metabolic Syndrome of Women with Polycystic Ovary Syndrome over a Six-Year Follow-Up in Brazil. Biomedicines 2023, 11, 3262. https://doi.org/10.3390/biomedicines11123262
Soares-Jr. JM, Hayashida SAY, Marcondes JAM, Maciel GAR, Barcellos CRG, Maffazioli GDN, Monteiro KKAC, Turri JAO, Azziz R, Baracat EC. Influence of Phenotypes on the Metabolic Syndrome of Women with Polycystic Ovary Syndrome over a Six-Year Follow-Up in Brazil. Biomedicines. 2023; 11(12):3262. https://doi.org/10.3390/biomedicines11123262
Chicago/Turabian StyleSoares-Jr., Jose Maria, Sylvia Asaka Yamashita Hayashida, Jose Antonio Miguel Marcondes, Gustavo Arantes Rosa Maciel, Cristiano Roberto Grimaldi Barcellos, Giovana De Nardo Maffazioli, Karla Krislaine Alves Costa Monteiro, Jose Antonio Orellana Turri, Ricardo Azziz, and Edmund Chada Baracat. 2023. "Influence of Phenotypes on the Metabolic Syndrome of Women with Polycystic Ovary Syndrome over a Six-Year Follow-Up in Brazil" Biomedicines 11, no. 12: 3262. https://doi.org/10.3390/biomedicines11123262
APA StyleSoares-Jr., J. M., Hayashida, S. A. Y., Marcondes, J. A. M., Maciel, G. A. R., Barcellos, C. R. G., Maffazioli, G. D. N., Monteiro, K. K. A. C., Turri, J. A. O., Azziz, R., & Baracat, E. C. (2023). Influence of Phenotypes on the Metabolic Syndrome of Women with Polycystic Ovary Syndrome over a Six-Year Follow-Up in Brazil. Biomedicines, 11(12), 3262. https://doi.org/10.3390/biomedicines11123262

