Relationships between Airway Remodeling and Clinical Characteristics in COPD Patients
Abstract
:1. Introduction
2. Methods
2.1. Study Subjects
2.2. Endobronchial Biopsy Collection and Immunohistochemistry
2.3. Statistical Analysis
3. Results
3.1. Study Subjects
3.2. Reticular Basement Membrane
3.3. Mucosal Measurements
Goblet Cells
3.4. Surface Immunoglobulin A Expression
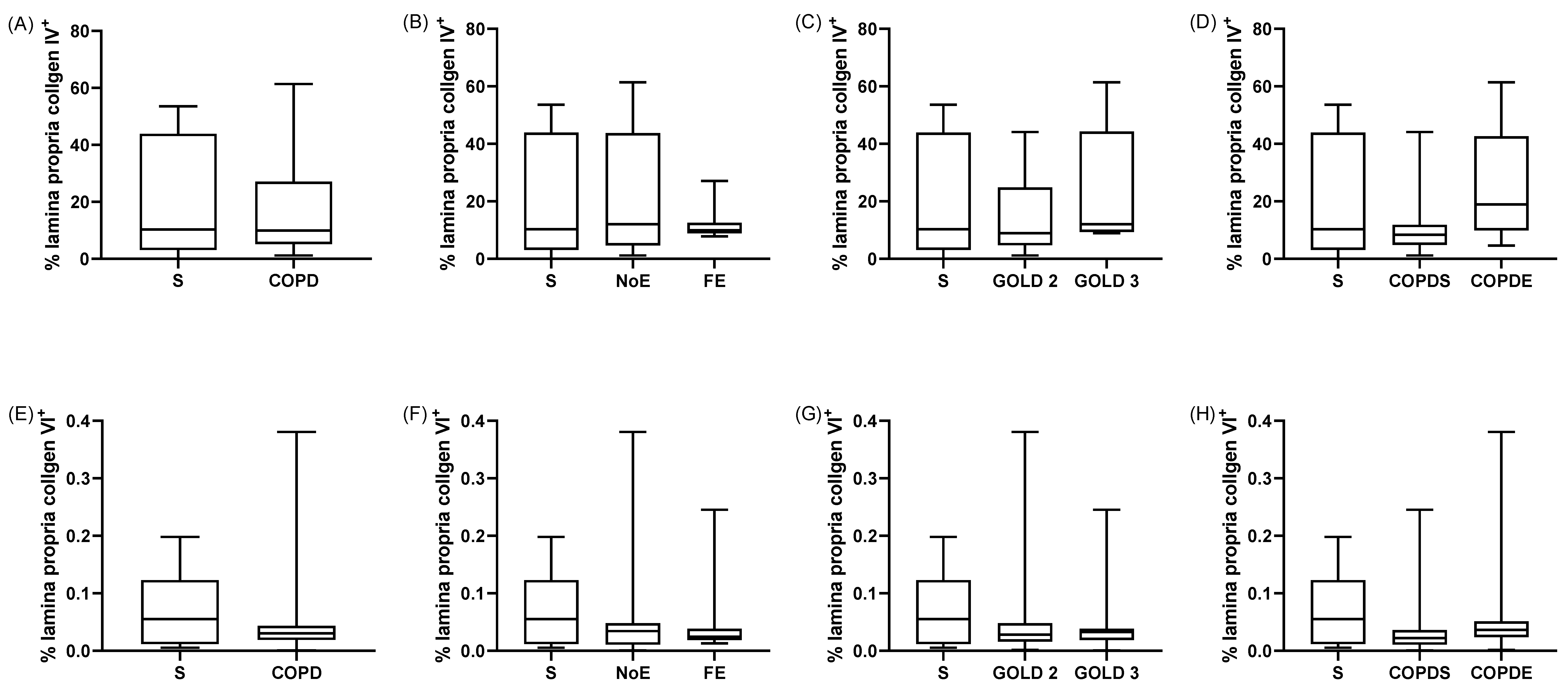
3.5. Sub-Mucosal Measurements
3.6. Inflammatory Cell Measurements
4. Discussion
Supplementary Materials
Author Contributions
Funding
Institutional Review Board Statement
Informed Consent Statement
Data Availability Statement
Acknowledgments
Conflicts of Interest
References
- Vogelmeier, C.F.; Criner, G.J.; Martinez, F.J.; Anzueto, A.; Barnes, P.J.; Bourbeau, J.; Celli, B.R.; Chen, R.; Decramer, M.; Fabbri, L.M.; et al. Global Strategy for the Diagnosis, Management, and Prevention of Chronic Obstructive Lung Disease 2017 Report: GOLD Executive Summary. Am. J. Respir. Crit. Care Med. 2017, 195, 557–582. [Google Scholar] [CrossRef] [PubMed]
- Hogg, J.C.; Chu, F.; Utokaparch, S.; Woods, R.; Elliott, W.M.; Buzatu, L.; Cherniack, R.M.; Rogers, R.M.; Sciurba, F.C.; Coxson, H.O.; et al. The nature of small-airway obstruction in chronic obstructive pulmonary disease. N. Engl. J. Med. 2004, 350, 2645–2653. [Google Scholar] [CrossRef] [PubMed]
- Higham, A.; Quinn, A.M.; Cançado, J.E.D.; Singh, D. The pathology of small airways disease in COPD: Historical aspects and future directions. Respir. Res. 2019, 20, 49. [Google Scholar] [CrossRef] [PubMed]
- Innes, A.L.; Woodruff, P.G.; Ferrando, R.E.; Donnelly, S.; Dolganov, G.M.; Lazarus, S.C.; Fahy, J.V. Epithelial mucin stores are increased in the large airways of smokers with airflow obstruction. Chest 2006, 130, 1102–1108. [Google Scholar] [CrossRef]
- Kranenburg, A.R.; Willems-Widyastuti, A.; Mooi, W.J.; Sterk, P.J.; Alagappan, V.K.; de Boer, W.I.; Sharma, H.S. Enhanced bronchial expression of extracellular matrix proteins in chronic obstructive pulmonary disease. Am. J. Clin. Pathol. 2006, 126, 725–735. [Google Scholar] [CrossRef]
- Liesker, J.J.; Ten Hacken, N.H.; Zeinstra-Smith, M.; Rutgers, S.R.; Postma, D.S.; Timens, W. Reticular basement membrane in asthma and COPD: Similar thickness, yet different composition. Int. J. Chronic Obstr. Pulm. Dis. 2009, 4, 127–135. [Google Scholar]
- Annoni, R.; Lanças, T.; Yukimatsu Tanigawa, R.; de Medeiros Matsushita, M.D.; de Morais Fernezlian, S.D.; Bruno, A.; Fernando Ferraz da Silva, L.; Roughley, P.J.; Battaglia, S.; Dolhnikoff, M.; et al. Extracellular matrix composition in COPD. Eur. Respir. J. 2012, 40, 1362–1373. [Google Scholar] [CrossRef]
- Kim, V.; Oros, M.; Durra, H.; Kelsen, S.; Aksoy, M.; Cornwell, W.D.; Rogers, T.J.; Criner, G.J. Chronic bronchitis and current smoking are associated with more goblet cells in moderate to severe COPD and smokers without airflow obstruction. PLoS ONE 2015, 10, e0116108. [Google Scholar] [CrossRef]
- Vachier, I.; Vignola, A.M.; Chiappara, G.; Bruno, A.; Meziane, H.; Godard, P.; Bousquet, J.; Chanez, P. Inflammatory features of nasal mucosa in smokers with and without COPD. Thorax 2004, 59, 303–307. [Google Scholar] [CrossRef]
- Ollerenshaw, S.L.; Woolcock, A.J. Characteristics of the inflammation in biopsies from large airways of subjects with asthma and subjects with chronic airflow limitation. Am. Rev. Respir. Dis. 1992, 145, 922–927. [Google Scholar] [CrossRef]
- Hurst, J.R.; Vestbo, J.; Anzueto, A.; Locantore, N.; Müllerova, H.; Tal-Singer, R.; Miller, B.; Lomas, D.A.; Agusti, A.; MacNee, W.; et al. Susceptibility to exacerbation in chronic obstructive pulmonary disease. N. Engl. J. Med. 2010, 363, 1128–1138. [Google Scholar] [CrossRef] [PubMed]
- Bewley, M.A.; Budd, R.C.; Ryan, E.; Cole, J.; Collini, P.; Marshall, J.; Kolsum, U.; Beech, G.; Emes, R.D.; Tcherniaeva, I.; et al. Opsonic Phagocytosis in Chronic Obstructive Pulmonary Disease Is Enhanced by Nrf2 Agonists. Am. J. Respir. Crit. Care Med. 2018, 198, 739–750. [Google Scholar] [CrossRef] [PubMed]
- Polosukhin, V.V.; Richmond, B.W.; Du, R.H.; Cates, J.M.; Wu, P.; Nian, H.; Massion, P.P.; Ware, L.B.; Lee, J.W.; Kononov, A.V.; et al. Secretory IgA Deficiency in Individual Small Airways Is Associated with Persistent Inflammation and Remodeling. Am. J. Respir. Crit. Care Med. 2017, 195, 1010–1021. [Google Scholar] [CrossRef] [PubMed]
- Beech, A.; Lea, S.; Li, J.; Jackson, N.; Mulvanny, A.; Singh, D. Airway Bacteria Quantification Using Polymerase Chain Reaction Combined with Neutrophil and Eosinophil Counts Identifies Distinct COPD Endotypes. Biomedicines 2021, 9, 1337. [Google Scholar] [CrossRef] [PubMed]
- Miller, M.R.; Hankinson, J.A.T.S.; Brusasco, V.; Burgos, F.; Casaburi, R.; Coates, A.; Crapo, R.; Enright, P.; Van Der Grinten, C.P.M.; Gustafsson, P.; et al. Standardisation of spirometry. Eur. Respir. J. 2005, 26, 319–338. [Google Scholar] [CrossRef]
- Dekkers, B.G.; Saad, S.I.; van Spelde, L.J.; Burgess, J.K. Basement membranes in obstructive pulmonary diseases. Matrix Biol. Plus 2021, 12, 100092. [Google Scholar] [CrossRef]
- Drost, E.M.; Skwarski, K.M.; Sauleda, J.; Soler, N.; Roca, J.; Agusti, A.; MacNee, W. Oxidative stress and airway inflammation in severe exacerbations of COPD. Thorax 2005, 60, 293–300. [Google Scholar] [CrossRef]
- Rowe, R.G.; Weiss, S.J. Breaching the basement membrane: Who, when and how? Trends Cell Biol. 2008, 18, 560–574. [Google Scholar] [CrossRef]
- Woof, J.M.; Kerr, M.A. The function of immunoglobulin A in immunity. J. Pathol. 2006, 208, 270–282. [Google Scholar] [CrossRef]
- Polosukhin, V.V.; Cates, J.M.; Lawson, W.E.; Zaynagetdinov, R.; Milstone, A.P.; Massion, P.P.; Ocak, S.; Ware, L.B.; Lee, J.W.; Bowler, R.P.; et al. Bronchial secretory immunoglobulin a deficiency correlates with airway inflammation and progression of chronic obstructive pulmonary disease. Am. J. Respir. Crit. Care Med. 2011, 184, 317–327. [Google Scholar] [CrossRef]
- Putcha, N.; Paul, G.G.; Azar, A.; Wise, R.A.; O’Neal, W.K.; Dransfield, M.T.; Woodruff, P.G.; Curtis, J.L.; Comellas, A.P.; Drummond, M.B.; et al. Lower serum IgA is associated with COPD exacerbation risk in SPIROMICS. PLoS ONE 2018, 13, e0194924. [Google Scholar] [CrossRef]
- Saetta, M.; Turato, G.; Baraldo, S.; Zanin, A.; Braccioni, F.; Mapp, C.E.; Maestrelli, P.; Cavallesco, G.; Papi, A.; Fabbri, L.M. Goblet cell hyperplasia and epithelial inflammation in peripheral airways of smokers with both symptoms of chronic bronchitis and chronic airflow limitation. Am. J. Respir. Crit. Care Med. 2000, 161, 1016–1021. [Google Scholar] [CrossRef]
- Kim, V.; Jeong, S.; Zhao, H.; Kesimer, M.; Boucher, R.C.; Wells, J.M.; Christenson, S.A.; Han, M.K.; Dransfield, M.; Paine, R.; et al. Current smoking with or without chronic bronchitis is independently associated with goblet cell hyperplasia in healthy smokers and COPD subjects. Sci. Rep. 2020, 10, 20133. [Google Scholar] [CrossRef] [PubMed]
- Huang, X.; Guan, W.; Xiang, B.; Wang, W.; Xie, Y.; Zheng, J. MUC5B regulates goblet cell differentiation and reduces inflammation in a murine COPD model. Respir. Res. 2022, 23, 11. [Google Scholar] [CrossRef] [PubMed]
- Bidan, C.; Veldsink, A.C.; Meurs, H.; Gosens, R. Airway and Extracellular Matrix Mechanics in COPD. Front. Physiol. 2015, 6, 346. [Google Scholar] [CrossRef]
- Abdillahi, S.M.; Bober, M.; Nordin, S.; Hallgren, O.; Baumgarten, M.; Erjefält, J.; Westergren-Thorsson, G.; Bjermer, L.; Riesbeck, K.; Egesten, A.; et al. Collagen VI Is Upregulated in COPD and Serves Both as an Adhesive Target and a Bactericidal Barrier for Moraxella catarrhalis. J. Innate Immun. 2015, 7, 506–517. [Google Scholar] [CrossRef] [PubMed]
- Jalalvand, F.; Su, Y.-C.; Mörgelin, M.; Brant, M.; Hallgren, O.; Westergren-Thorsson, G.; Singh, B.; Riesbeck, K. Haemophilus influenzae protein F mediates binding to laminin and human pulmonary epithelial cells. J. Infect. Dis. 2013, 207, 803–813. [Google Scholar] [CrossRef]
- Khan, K.M.F.; Falcone, D.J. Role of laminin in matrix induction of macrophage urokinase-type plasminogen activator and 92-kDa metalloproteinase expression. J. Biol. Chem. 1997, 272, 8270–8275. [Google Scholar] [CrossRef]
- Schumann, D.M.; Leeming, D.; Papakonstantinou, E.; Blasi, F.; Kostikas, K.; Boersma, W.; Louis, R.; Milenkovic, B.; Aerts, J.; Sand, J.M.; et al. Collagen Degradation and Formation Are Elevated in Exacerbated COPD Compared with Stable Disease. Chest 2018, 154, 798–807. [Google Scholar] [CrossRef]
- Shamhart, P.E.; Meszaros, J.G. Non-fibrillar collagens: Key mediators of post-infarction cardiac remodeling? J. Mol. Cell Cardiol. 2010, 48, 530–537. [Google Scholar] [CrossRef]
- Bonnans, C.; Chou, J.; Werb, Z. Remodelling the extracellular matrix in development and disease. Nat. Rev. Mol. Cell Biol. 2014, 15, 786–801. [Google Scholar] [CrossRef]
- Lams, B.; Sousa, A.; Rees, P.; Lee, T. Subepithelial immunopathology of the large airways in smokers with and without chronic obstructive pulmonary disease. Eur. Respir. J. 2000, 15, 512–516. [Google Scholar] [CrossRef] [PubMed]
- Battaglia, S.; Mauad, T.; van Schadewijk, A.M.; Vignola, A.M.; Rabe, K.F.; Bellia, V.; Sterk, P.J.; Hiemstra, P.S. Differential distribution of inflammatory cells in large and small airways in smokers. J. Clin. Pathol. 2007, 60, 907–911. [Google Scholar] [CrossRef] [PubMed]
- O’Shaughnessy, T.C.; Ansari, T.W.; Barnes, N.C.; Jeffery, P.K. Inflammation in bronchial biopsies of subjects with chronic bronchitis: Inverse relationship of CD8+ T lymphocytes with FEV1. Am. J. Respir. Crit. Care Med. 1997, 155, 852–857. [Google Scholar] [CrossRef] [PubMed]
- Isajevs, S.; Taivans, I.; Svirina, D.; Strazda, G.; Kopeika, U. Patterns of inflammatory responses in large and small airways in smokers with and without chronic obstructive pulmonary disease. Respiration 2011, 81, 362–371. [Google Scholar] [CrossRef]
- Bourbeau, J.; Christodoulopoulos, P.; Maltais, F.; Yamauchi, Y.; Olivenstein, R.; Hamid, Q. Effect of salmeterol/fluticasone propionate on airway inflammation in COPD: A randomised controlled trial. Thorax 2007, 62, 938–943. [Google Scholar] [CrossRef]
- Barnes, N.C.; Qiu, Y.-S.; Pavord, I.D.; Parker, D.; Davis, P.A.; Zhu, J.; Johnson, M.; Thomson, N.C.; Jeffery, P.K. Antiinflammatory effects of salmeterol/fluticasone propionate in chronic obstructive lung disease. Am. J. Respir. Crit. Care Med. 2006, 173, 736–743. [Google Scholar] [CrossRef]





| Smoking Controls | COPD | p-Value | |
|---|---|---|---|
| n | 10 | 24 | |
| Age (years) | 53 ± 8 | 64 ± 6 | <0.0001 |
| Gender: % male | 50 | 83 | 0.04 |
| Current smoker % | 100 | 42 | 0.002 |
| Pack years | 29 ± 15 | 43 ± 23 | 0.09 |
| Exacerbation group n (%) | |||
| NoE | n/a | 14 (58) | n/a |
| FE | 10 (42) | ||
| FEV1 (L) | 2.9 ± 0.7 | 1.6 ± 0.5 | <0.001 |
| FEV1 (%) | 97 ± 14 | 57 ± 11 | <0.001 |
| FEV1/FVC ratio (%) | 76 ± 4 | 44 ± 9 | <0.001 |
| GOLD category n (%) | |||
| 1 | n/a | 0 | n/a |
| 2 | 17 (71) | ||
| 3 | 7 (29) | ||
| 4 | 0 | ||
| SGRQ | n/a | 37 ± 26 | n/a |
| CAT | n/a | 16 ± 11 | n/a |
| Chronic Bronchitis (%) | n/a | 42 | n/a |
| ICS users (%) | n/a | 79 | n/a |
| SGRQ Score | CAT Score | |
|---|---|---|
| RBM thickness | Rho= −0.1 p = 0.8 | Rho= −0.02 p = 0.9 |
| % epithelium IgA2+ | Rho= −0.2 p = 0.3 | Rho= −0.3 p = 0.2 |
| PAS+ cells/mm2 | Rho= −0.4 p = 0.03 | Rho= −0.4 p = 0.07 |
| % LP expressing collagen 4 | Rho = 0.7 p = 0.005 | Rho = 0.6 p = 0.03 |
| % LP expressing collagen 6 | Rho= −0.1 p = 0.7 | Rho= −0.1 p = 0.8 |
| % LP expressing laminin | Rho= −0.4 p = 0.1 | Rho= −0.3 p = 0.2 |
| CD45+ cells/mm2 intra-epithelium | Rho= −0.1 p = 0.7 | Rho= −0.03 p = 0.9 |
| CD45+ cells/mm2 LP | Rho= −0.3 p = 0.2 | Rho= −0.3 p = 0.2 |
Publisher’s Note: MDPI stays neutral with regard to jurisdictional claims in published maps and institutional affiliations. |
© 2022 by the authors. Licensee MDPI, Basel, Switzerland. This article is an open access article distributed under the terms and conditions of the Creative Commons Attribution (CC BY) license (https://creativecommons.org/licenses/by/4.0/).
Share and Cite
Higham, A.; Dungwa, J.; Jackson, N.; Singh, D. Relationships between Airway Remodeling and Clinical Characteristics in COPD Patients. Biomedicines 2022, 10, 1992. https://doi.org/10.3390/biomedicines10081992
Higham A, Dungwa J, Jackson N, Singh D. Relationships between Airway Remodeling and Clinical Characteristics in COPD Patients. Biomedicines. 2022; 10(8):1992. https://doi.org/10.3390/biomedicines10081992
Chicago/Turabian StyleHigham, Andrew, Josiah Dungwa, Natalie Jackson, and Dave Singh. 2022. "Relationships between Airway Remodeling and Clinical Characteristics in COPD Patients" Biomedicines 10, no. 8: 1992. https://doi.org/10.3390/biomedicines10081992
APA StyleHigham, A., Dungwa, J., Jackson, N., & Singh, D. (2022). Relationships between Airway Remodeling and Clinical Characteristics in COPD Patients. Biomedicines, 10(8), 1992. https://doi.org/10.3390/biomedicines10081992

