T-Cell Infiltration and Immune Checkpoint Expression Increase in Oral Cavity Premalignant and Malignant Disorders
Abstract
:1. Introduction
2. Materials and Methods
2.1. Patient Cohorts
2.2. Immunohistochemical Staining
2.3. Scoring and Analysis of Immunohistochemical Data
2.4. Statistical Analysis
3. Results
3.1. Patient Characteristics
3.2. Immune Marker Detection across Oral Cancer Stages
3.3. Correlations between Treg, Teff and Immune Checkpoints
3.4. CXCR4-CXCL12 Correlation with Immune Landscape
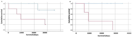
3.5. Survival Analysis
4. Discussion
5. Conclusions
Supplementary Materials
Author Contributions
Funding
Institutional Review Board Statement
Informed Consent Statement
Data Availability Statement
Acknowledgments
Conflicts of Interest
References
- Jiang, Z.; Wu, C.; Hu, S.; Liao, N.; Huang, Y.; Ding, H.; Li, R.; Li, Y. Research on neck dissection for oral squamous-cell carcinoma: A bibliometric analysis. Int. J. Oral Sci. 2021, 13, 13. [Google Scholar] [CrossRef] [PubMed]
- Jie, W.P.; Bai, J.Y.; Li, B.B. Clinicopathologic analysis of oral squamous cell carcinoma after interstitial brachytherapy. Technol. Cancer Res. Treat. 2018, 17, 1533033818806906. [Google Scholar] [CrossRef] [PubMed] [Green Version]
- Xu, H.; Jin, X.; Yuan, Y.; Deng, P.; Jiang, L.; Zeng, X.; Li, X.-S.; Wang, Z.-Y.; Chen, Q.-M. Prognostic value from integrative analysis of transcription factors c-Jun and Fra-1 in oral squamous cell carcinoma: A multicenter cohort study. Sci. Rep. 2017, 7, 7522. [Google Scholar] [CrossRef] [PubMed] [Green Version]
- Condurache, H.; Oana, M.; Botez, A.E.; Olinici, D.T.; Onofrei, P.; Stoica, L.; Grecu, V.B.; Toader, P.M.; Gheucă-Solovăstru, L.; Cotrutz, E.C. Molecular markers associated with potentially malignant oral lesions (Review). Exp. Ther. Med. 2021, 22, 834. [Google Scholar] [CrossRef]
- Diao, P.; Jiang, Y.; Li, Y.; Wu, X.; Li, J.; Zhou, C.; Jiang, L.; Zhang, W.; Yan, E.; Zhang, P.; et al. Immune landscape and subtypes in primary resectable oral squamous cell carcinoma: Prognostic significance and predictive of therapeutic response. J. ImmunoTherapy Cancer 2021, 9, e002434. [Google Scholar] [CrossRef]
- Stasikowska-Kanicka, O.; Wągrowska-Danilewicz, M.; Danilewicz, M. Immunohistochemical analysis of Foxp3(+), CD4(+), CD8(+) cell Infiltrates and PD-L1 in oral squamous cell carcinoma. Pathol. Oncol. Res. 2018, 24, 497–505. [Google Scholar] [CrossRef] [PubMed] [Green Version]
- Foy, J.P.; Bertolus, C.; Ortiz-Cuaran, S.; Albaret, M.A.; Williams, W.N.; Lang, W.; Destandau, S.; Souza, G.; Sohier, E.; Kielbassa, J.; et al. Immunological and classical subtypes of oral premalignant lesions. Oncoimmunology 2018, 7, e1496880. [Google Scholar] [CrossRef] [PubMed] [Green Version]
- Kouketsu, A.; Sato, I.; Oikawa, M.; Shimizu, Y.; Saito, H.; Tashiro, K.; Yamashita, Y.; Takahashi, T.; Kumamoto, H. Regulatory T cells and M2-polarized tumour-associated macrophages are associated with the oncogenesis and progression of oral squamous cell carcinoma. Int. J. Oral Maxillofac. Surg. 2019, 48, 1279–1288. [Google Scholar] [CrossRef] [PubMed]
- Lequerica-Fernández, P.; Suárez-Canto, J.; Rodriguez-Santamarta, T.; Rodrigo, J.P.; Suárez-Sánchez, F.J.; Blanco-Lorenzo, V.; Domínguez-Iglesias, F.; García-Pedrero, J.M.; de Vicente, J.C. Prognostic Relevance of CD4(+), CD8(+) and FOXP3(+) TILs in Oral Squamous Cell Carcinoma and Correlations with PD-L1 and Cancer Stem Cell Markers. Biomedicines 2021, 9, 653. [Google Scholar] [CrossRef]
- Surendran, S.; Siddappa, G.; Mohan, A.; Hicks, W., Jr.; Jayaprakash, V.; Mimikos, C.; Mahri, M.; Almarzouki, F.; Morrell, K.; Ravi, R.; et al. Cancer stem cell and its niche in malignant progression of oral potentially malignant disorders. Oral. Oncol. 2017, 75, 140–147. [Google Scholar] [CrossRef] [PubMed] [Green Version]
- Chaves, A.L.F.; Silva, A.G.; Maia, F.M.; Lopes, G.F.M.; de Paulo, L.F.B.; Muniz, L.V.; Dos Santos, H.B.; Soares, J.M.A.; Souza, A.A.; de Oliveira Barbosa, L.A.; et al. Reduced CD8(+) T cells infiltration can be associated to a malignant transformation in potentially malignant oral epithelial lesions. Clin. Oral. Investig. 2019, 23, 1913–1919. [Google Scholar] [CrossRef] [PubMed]
- Chen, X.J.; Tan, Y.Q.; Zhang, N.; He, M.J.; Zhou, G. Expression of programmed cell death-ligand 1 in oral squamous cell carcinoma and oral leukoplakia is associated with disease progress and CD8+ tumor-infiltrating lymphocytes. Pathol. Res. Pract. 2019, 215, 152418. [Google Scholar] [CrossRef] [PubMed]
- Baş, Y.; Koç, N.; Helvacı, K.; Koçak, C.; Akdeniz, R.; Şahin, H.H.K. Clinical and pathological significance of programmed cell death 1 (PD-1)/programmed cell death ligand 1 (PD-L1) expression in high grade serous ovarian cancer. Transl. Oncol. 2021, 14, 100994. [Google Scholar] [CrossRef] [PubMed]
- Simon, S.; Labarriere, N. PD-1 expression on tumor-specific T cells: Friend or foe for immunotherapy? Oncoimmunology 2017, 7, e1364828. [Google Scholar] [CrossRef]
- He, X.; Xu, C. Immune checkpoint signaling and cancer immunotherapy. Cell Res. 2020, 30, 660–669. [Google Scholar] [CrossRef] [PubMed]
- Dong, Y.; Sun, Q.; Zhang, X. PD-1 and its ligands are important immune checkpoints in cancer. Oncotarget 2017, 8, 2171–2186. [Google Scholar] [CrossRef] [Green Version]
- Quan, H.; Shan, Z.; Liu, Z.; Liu, S.; Yang, L.; Fang, X.; Li, K.; Wang, B.; Deng, Z.; Hu, Y.; et al. The repertoire of tumor-infiltrating lymphocytes within the microenvironment of oral squamous cell carcinoma reveals immune dysfunction. Cancer Immunol. Immunother. 2020, 69, 465–476. [Google Scholar] [CrossRef] [PubMed]
- Gannot, G.; Gannot, I.; Vered, H.; Buchner, A.; Keisari, Y. Increase in immune cell infiltration with progression of oral epithelium from hyperkeratosis to dysplasia and carcinoma. Br. J. Cancer 2002, 86, 1444–1448. [Google Scholar] [CrossRef] [Green Version]
- Sharma, S.H.; Thulasingam, S.; Nagarajan, S. Chemopreventive agents targeting tumor microenvironment. Life Sci. 2016, 145, 74–84. [Google Scholar] [CrossRef] [PubMed]
- Elmusrati, A.; Wang, J.; Wang, C.-Y. Tumor microenvironment and immune evasion in head and neck squamous cell carcinoma. Int. J. Oral Sci. 2021, 13, 24. [Google Scholar] [CrossRef]
- Tanaka, T.; Ishigamori, R. Understanding carcinogenesis for fighting oral cancer. J. Oncol. 2011, 2011, 603740. [Google Scholar] [CrossRef] [PubMed]
- Suárez-Sánchez, F.J.; Lequerica-Fernández, P.; Rodrigo, J.P.; Hermida-Prado, F.; Suárez-Canto, J.; Rodríguez-Santamarta, T.; Domínguez-Iglesias, F.; García-Pedrero, J.M.; de Vicente, J.C. Tumor-infiltrating CD20+ B lymphocytes: Significance and prognostic implications in oral cancer microenvironment. Cancers 2021, 13, 395. [Google Scholar] [CrossRef] [PubMed]
- Van der Leun, A.M.; Thommen, D.S.; Schumacher, T.N. CD8(+) T cell states in human cancer: Insights from single-cell analysis. Nat. Rev. Cancer 2020, 20, 218–232. [Google Scholar] [CrossRef] [PubMed]
- Lalos, A.; Tülek, A.; Tosti, N.; Mechera, R.; Wilhelm, A.; Soysal, S.; Daester, S.; Kancherla, V.; Weixler, B.; Spagnoli, G.C.; et al. Prognostic significance of CD8+ T-cells density in stage III colorectal cancer depends on SDF-1 expression. Sci. Rep. 2021, 11, 775. [Google Scholar] [CrossRef] [PubMed]
- Maibach, F.; Sadozai, H.; Seyed Jafari, S.M.; Hunger, R.E.; Schenk, M. Tumor-Infiltrating Lymphocytes and Their Prognostic Value in Cutaneous Melanoma. Front. Immunol. 2020, 11, 2105. [Google Scholar] [CrossRef] [PubMed]
- Gun, S.Y.; Lee, S.W.L.; Sieow, J.L.; Wong, S.C. Targeting immune cells for cancer therapy. Redox Biol. 2019, 25, 101174. [Google Scholar] [CrossRef]
- Badoual, C.; Sandoval, F.; Pere, H.; Hans, S.; Gey, A.; Merillon, N.; Van Ryswick, C.; Quintin-Colonna, F.; Bruneval, P.; Brasnu, D.; et al. Better understanding tumor-host interaction in head and neck cancer to improve the design and development of immunotherapeutic strategies. Head Neck 2010, 32, 946–958. [Google Scholar] [CrossRef] [PubMed]
- Koontongkaew, S. The tumor microenvironment contribution to development, growth, invasion and metastasis of head and neck squamous cell carcinomas. J. Cancer 2013, 4, 66–83. [Google Scholar] [CrossRef] [PubMed]
- Fontenot, J.D.; Gavin, M.A.; Rudensky, A.Y. Pillars Article: Foxp3 programs the development and function of CD4, CD25, regulatory T cells. J. Immunol. 2017, 198, 986–992. [Google Scholar] [PubMed]
- Khan, M.; Arooj, S.; Wang, H. NK Cell-Based immune checkpoint inhibition. Front. Immunol. 2020, 11, 167. [Google Scholar] [CrossRef]
- Kohli, K.; Pillarisetty, V.G.; Kim, T.S. Key chemokines direct migration of immune cells in solid tumors. Cancer Gene Ther. 2022, 29, 10–21. [Google Scholar] [CrossRef] [PubMed]
- Balermpas, P.; Michel, Y.; Wagenblast, J.; Seitz, O.; Weiss, C.; Rödel, F.; Rödel, C.; Fokas, E. Tumour-infiltrating lymphocytes predict response to definitive chemoradiotherapy in head and neck cancer. Br. J. Cancer 2014, 110, 501–509. [Google Scholar] [CrossRef] [PubMed]
- Nguyen, N.; Bellile, E.; Thomas, D.; McHugh, J.; Rozek, L.; Virani, S.; Peterson, L.; Carey, T.E.; Walline, H.; Moyer, J.; et al. Tumor infiltrating lymphocytes and survival in patients with head and neck squamous cell carcinoma. Head Neck 2016, 38, 1074–1084. [Google Scholar] [CrossRef] [Green Version]
- Öhman, J.; Magnusson, B.; Telemo, E.; Jontell, M.; Hasséus, B. Langerhans cells and T cells sense cell dysplasia in oral leukoplakias and oral squamous cell carcinomas--evidence for immunosurveillance. Scand. J. Immunol. 2012, 76, 39–48. [Google Scholar] [CrossRef]
- Rosenberg, S.A.; Yang, J.C.; Sherry, R.M.; Kammula, U.S.; Hughes, M.S.; Phan, G.Q.; Citrin, D.E.; Restifo, N.P.; Robbins, P.F.; Wunderlich, J.R.; et al. Durable complete responses in heavily pretreated patients with metastatic melanoma using T-cell transfer immunotherapy. Clin. Cancer Res. 2011, 17, 4550–4557. [Google Scholar] [CrossRef] [Green Version]
- Mandal, R.; Şenbabaoğlu, Y.; Desrichard, A.; Havel, J.J.; Dalin, M.G.; Riaz, N.; Lee, K.W.; Ganly, I.; Hakimi, A.A.; Chan, T.A.; et al. The head and neck cancer immune landscape and its immunotherapeutic implications. JCI Insight 2016, 1, e89829. [Google Scholar] [CrossRef] [PubMed] [Green Version]
- Leemans, C.R.; Snijders, P.J.F.; Brakenhoff, R.H. The molecular landscape of head and neck cancer. Nat. Rev. Cancer 2018, 18, 269–282. [Google Scholar] [CrossRef] [PubMed]
- Peske, J.D.; Woods, A.B.; Engelhard, V.H. Control of CD8 T-cell infiltration into tumors by vasculature and microenvironment. Adv. Cancer Res. 2015, 128, 263–307. [Google Scholar] [CrossRef] [Green Version]
- Ohigashi, Y.; Sho, M.; Yamada, Y.; Tsurui, Y.; Hamada, K.; Ikeda, N.; Mizuno, T.; Yoriki, R.; Kashizuka, H.; Yane, K.; et al. Clinical significance of programmed death-1 ligand-1 and programmed death-1 ligand-2 expression in human esophageal cancer. Clin. Cancer Res. 2005, 11, 2947–2953. [Google Scholar] [CrossRef] [Green Version]
- Shen, Y.; Teng, Y.; Lv, Y.; Zhao, Y.; Qiu, Y.; Chen, W.; Wang, L.; Wang, Y.; Mao, F.; Cheng, P.; et al. PD-1 does not mark tumor-infiltrating CD8+ T cell dysfunction in human gastric cancer. J. ImmunoTherapy Cancer 2020, 8, e000422. [Google Scholar] [CrossRef]
- Kim, J.M.; Chen, D.S. Immune escape to PD-L1/PD-1 blockade: Seven steps to success (or failure). Ann. Oncol. 2016, 27, 1492–1504. [Google Scholar] [CrossRef] [PubMed]
- Yearley, J.H.; Gibson, C.; Yu, N.; Moon, C.; Murphy, E.; Juco, J.; Lunceford, J.; Cheng, J.; Chow, L.Q.M.; Seiwert, T.Y.; et al. PD-L2 expression in human tumors: Relevance to Anti-PD-1 therapy in cancer. Clin. Cancer Res. 2017, 23, 3158–3167. [Google Scholar] [CrossRef] [PubMed] [Green Version]
- Müller, T.; Braun, M.; Dietrich, D.; Aktekin, S.; Höft, S.; Kristiansen, G.; Göke, F.; Schröck, A.; Brägelmann, J.; Held, S.A.E.; et al. PD-L1: A novel prognostic biomarker in head and neck squamous cell carcinoma. Oncotarget 2017, 8, 52889–52900. [Google Scholar] [CrossRef] [PubMed] [Green Version]
- Silvio, G.; Jack, B. The next frontier: Head and neck cancer immunoprevention. Cancer Prev. Res. 2017, 10, 681–683. [Google Scholar]


| Characteristic | Cases | Percentage |
|---|---|---|
| Sex | ||
| Male | 71 | 55.5% |
| Female | 57 | 45.5% |
| Age Group (years) | ||
| 28–50 | 30 | 23.4% |
| 51–60 | 40 | 31.3% |
| 61–70 | 35 | 27.3% |
| 71+ | 23 | 18.0% |
| Race | ||
| White | 116 | 90.6% |
| Black | 6 | 4.7% |
| Asian | 3 | 2.3% |
| American Indian or Alaskan Native | 1 | 0.8% |
| Hispanic | 1 | 0.8% |
| Other | 1 | 0.8% |
| Ever Smoker | ||
| Yes | 82 | 64.1% |
| No | 45 | 35.9% |
| Total Patients | 128 | 100% |
| Mean Age = 59.9, Median 60.0 |
| Pathology | N | Percentage |
| Normal | 87 | 32.2% |
| Hyperplasia/Parakeratosis | 45 | 16.7% |
| Mild Dysplasia | 69 | 25.6% |
| Moderate Dysplasia | 22 | 8.1% |
| Severe Dysplasia/Carcinoma in situ | 13 | 4.8% |
| Carcinoma | 34 | 12.6% |
| Total Samples | 270 |
| Pathology | CD25 (N:247) | CD4 (N:263) | FoxP3 (N:248) | CD8 (N:247) | PD-L1 (N:256) | PD-1 (N:253) | CXCR4 ^ (N:209) | CXCL12 ^ (N:211) | |
|---|---|---|---|---|---|---|---|---|---|
| Normal | Mean # | 15.6 | 17.0 | 39.3 | 25.2 | 34.3 | 32.0 | 2.7 | 115.0 |
| SEM | 1.7 | 1.6 | 3.5 | 1.9 | 5.3 | 5.3 | 0.3 | 6.6 | |
| Parakeratosis | Mean | 31.4 | 32.0 | 54.4 | 37.0 | 36.4 | 25.5 | 2.3 | 112.8 |
| SEM | 6.7 | 5.1 | 6.8 | 4.0 | 7.7 | 6.0 | 0.4 | 10.2 | |
| Mild dysplasia | Mean | 28.5 | 31.0 | 43.0 | 26.0 | 39.0 | 38.6 | 3.2 | 127.7 |
| SEM | 3.8 | 2.7 | 4.0 | 2.1 | 4.6 | 4.5 | 0.3 | 6.9 | |
| Moderate dysplasia | Mean | 83.3 | 92.3 | 72.2 | 41.6 | 82.1 | 97.0 | 3.4 | 93.6 |
| SEM | 11.0 | 11.8 | 12.8 | 5.5 | 13.8 | 14.7 | 0.7 | 22.7 | |
| Severe dysplasia | Mean | 114.1 | 129.1 | 101.1 | 69.5 | 127.3 | 112.5 | 5.0 | 198.1 |
| SEM | 12.8 | 13.2 | 12.8 | 7.9 | 17.0 | 20.6 | 1.0 | 20.4 | |
| Carcinoma | Mean | 103.2 | 109.4 | 120.4 | 65.1 | 134.3 | 139.3 | 5.0 | 153.5 |
| SEM | 9.6 | 8.7 | 6.3 | 5.8 | 14.1 | 16.2 | 0.7 | 16.4 |
| Pathology | CD25 | CD4 | FoxP3 | CD8 | PD-L1 | PD-1 | CXCR4 ^ | CXCL12 ^ | |
|---|---|---|---|---|---|---|---|---|---|
| Pathology | 1.00 | ||||||||
| CD25 | 0.64 | 1.00 | |||||||
| CD4 | 0.70 | 0.96 | 1.00 | ||||||
| FoxP3 | 0.52 | 0.71 | 0.69 | 1.00 | |||||
| CD8 | 0.49 | 0.79 | 0.78 | 0.54 | 1.00 | ||||
| PD-L1 | 0.52 | 0.54 | 0.58 | 0.48 | 0.51 | 1.00 | |||
| PD-1 | 0.54 | 0.53 | 0.55 | 0.45 | 0.46 | 0.74 | 1.00 | ||
| CXCR4 ^ | 0.27 | 0.17 # | 0.23 | 0.14 | 0.22 | 0.35 | 0.19 # | 1.00 | |
| CXCL12^ | 0.20 | 0.14 # | 0.17 | 0.15 | 0.12 | 0.32 | 0.29 | 0.32 | 1.00 |
Publisher’s Note: MDPI stays neutral with regard to jurisdictional claims in published maps and institutional affiliations. |
© 2022 by the authors. Licensee MDPI, Basel, Switzerland. This article is an open access article distributed under the terms and conditions of the Creative Commons Attribution (CC BY) license (https://creativecommons.org/licenses/by/4.0/).
Share and Cite
Surendran, S.; Aboelkheir, U.; Tu, A.A.; Magner, W.J.; Sigurdson, S.L.; Merzianu, M.; Hicks, W.L., Jr.; Suresh, A.; Kirkwood, K.L.; Kuriakose, M.A. T-Cell Infiltration and Immune Checkpoint Expression Increase in Oral Cavity Premalignant and Malignant Disorders. Biomedicines 2022, 10, 1840. https://doi.org/10.3390/biomedicines10081840
Surendran S, Aboelkheir U, Tu AA, Magner WJ, Sigurdson SL, Merzianu M, Hicks WL Jr., Suresh A, Kirkwood KL, Kuriakose MA. T-Cell Infiltration and Immune Checkpoint Expression Increase in Oral Cavity Premalignant and Malignant Disorders. Biomedicines. 2022; 10(8):1840. https://doi.org/10.3390/biomedicines10081840
Chicago/Turabian StyleSurendran, Subin, Usama Aboelkheir, Andrew A. Tu, William J. Magner, S. Lynn Sigurdson, Mihai Merzianu, Wesley L. Hicks, Jr., Amritha Suresh, Keith L. Kirkwood, and Moni A. Kuriakose. 2022. "T-Cell Infiltration and Immune Checkpoint Expression Increase in Oral Cavity Premalignant and Malignant Disorders" Biomedicines 10, no. 8: 1840. https://doi.org/10.3390/biomedicines10081840
APA StyleSurendran, S., Aboelkheir, U., Tu, A. A., Magner, W. J., Sigurdson, S. L., Merzianu, M., Hicks, W. L., Jr., Suresh, A., Kirkwood, K. L., & Kuriakose, M. A. (2022). T-Cell Infiltration and Immune Checkpoint Expression Increase in Oral Cavity Premalignant and Malignant Disorders. Biomedicines, 10(8), 1840. https://doi.org/10.3390/biomedicines10081840

