Identification of Thrombosis-Related Genes in Patients with Advanced Gastric Cancer: Data from AGAMENON-SEOM Registry
Abstract
1. Introduction
2. Materials and Methods
2.1. Patients and Study Design
2.2. RNA Isolation
2.3. Expression Array
2.4. Sample Classification According to TCGA Subtypes
2.5. Statistical Analysis
3. Results
3.1. Patients
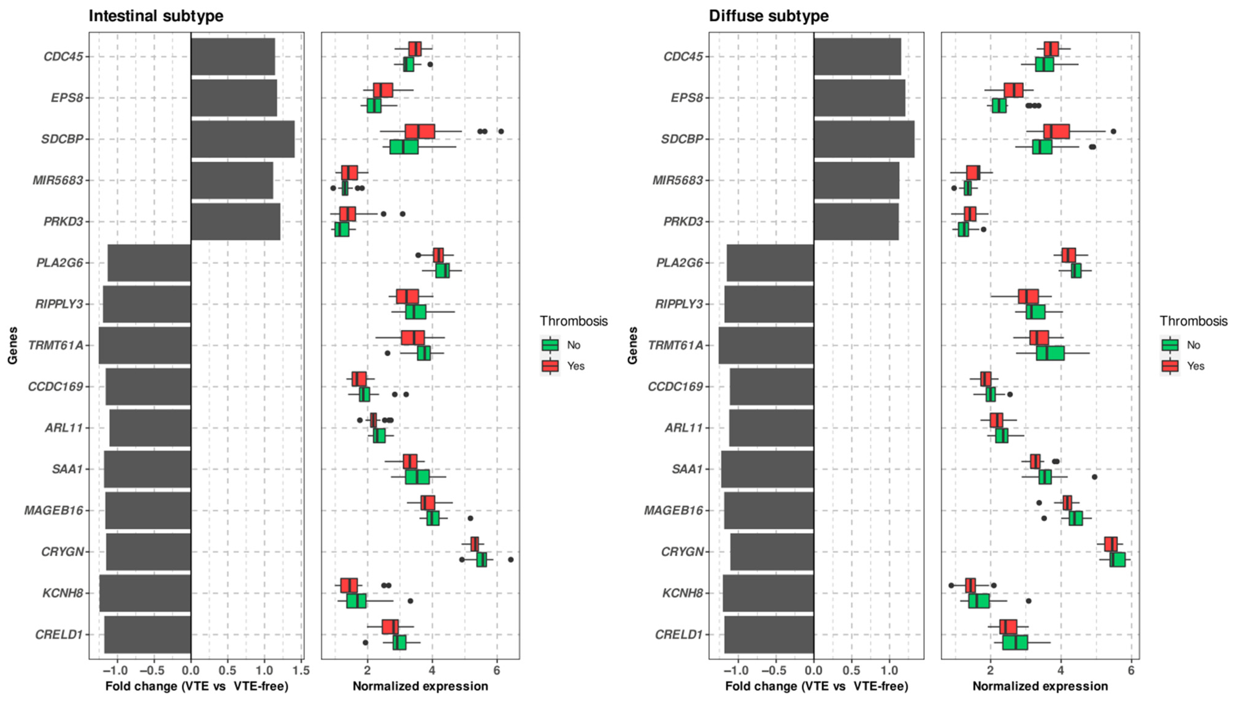
3.2. Screening Differential Gene Expression Stratified by Histopathological Subtype
3.3. Conditional Logistic Regression by Histopathology in the Overall Cohort
3.4. Classification of the Samples in the TCGA Categories and Differential Gene Expression Screening within Each Category
4. Discussion
Supplementary Materials
Author Contributions
Funding
Institutional Review Board Statement
Informed Consent Statement
Conflicts of Interest
References
- Smyth, E.C.; Nilsson, M.; Grabsch, H.I.; Van Grieken, N.C.T.; Lordick, F. Gastric cancer. Lancet 2020, 396, 635–648. [Google Scholar] [CrossRef]
- Repetto, O.; De Re, V. Coagulation and fibrinolysis in gastric cancer. Ann. N. Y. Acad. Sci. 2017, 1404, 27–48. [Google Scholar] [CrossRef]
- Carmona-Bayonas, A.; Gómez, D.; de Castro, E.M.; Pérez Segura, P.; Muñoz Langa, J.; Jimenez-Fonseca, P.; Sánchez Cánovas, M.; Ortega Moran, L.; García Escobar, I.; Rupérez Blanco, A.B.; et al. A snapshot of cancer-associated thromboembolic disease in 2018–2019: First data from the TESEO prospective registry. Eur. J. Intern. Med. 2020, 78, 41–49. [Google Scholar] [CrossRef] [PubMed]
- Marshall-Webb, M.; Bright, T.; Price, T.; Thompson, S.K.; Watson, D.I. Venous thromboembolism in patients with esophageal or gastric cancer undergoing neoadjuvant chemotherapy. Dis. Esophagus 2017, 30, 1–7. [Google Scholar] [CrossRef][Green Version]
- Larsen, A.C.; Dabrowski, T.; Frøkjær, J.B.; Fisker, R.V.; Iyer, V.V.; Møller, B.K.; Kristensen, S.R.; Thorlacius-Ussing, O. Prevalence of venous thromboembolism at diagnosis of upper gastrointestinal cancer. Br. J. Surg. 2014, 101, 246–253. [Google Scholar] [CrossRef] [PubMed]
- Lee, K.W.; Bang, S.M.; Kim, S.; Lee, H.J.; Shin, D.Y.; Koh, Y.; Lee, Y.G.; Cha, Y.; Kim, Y.J.; Kim, J.H.; et al. The incidence, risk factors and prognostic implications of venous thromboembolism in patients with gastric cancer. J. Thromb. Haemost. 2010, 8, 540–547. [Google Scholar] [CrossRef]
- Lyman, G.H.; Eckert, L.; Wang, Y.; Wang, H.; Cohen, A. Venous thromboembolism risk in patients with cancer receiving chemotherapy: A real-world analysis. Oncologist 2013, 18, 1321–1329. [Google Scholar] [CrossRef] [PubMed]
- Carmona-Bayonas, A.; Jimenez-Fonseca, P.; Garrido, M.; Custodio, A.; Hernandez, R.; Lacalle, A.; María Cano, J.; Aguado, G.; Martínez de Castro, E.; Alvarez Manceñido, F.; et al. Multistate Models: Accurate and Dynamic Methods to Improve Predictions of Thrombotic Risk in Patients with Cancer. Thromb. Haemost. 2019, 119, 1849–1859. [Google Scholar] [CrossRef]
- Tetzlaff, E.D.; Correa, A.M.; Komaki, R.; Swisher, S.G.; Maru, D.; Ross, W.A.; Ajani, J.A. Significance of thromboembolic phenomena occurring before and during chemoradiotherapy for localized carcinoma of the esophagus and gastroesophageal junction. Dis. Esophagus 2008, 21, 575–581. [Google Scholar] [CrossRef]
- Siewert, J.R.; Böttcher, K.; Roder, J.D.; Busch, R.; Hermanek, P.; Meyer, H.J. Venous thromboembolism in patients receiving perioperative chemotherapy for esophagogastric cancer. Br. J. Surg. 1993, 80, 1015–1018. [Google Scholar] [CrossRef]
- Sørensen, H.T.; Mellemkjær, L.; Olsen, J.H.; Baron, J.A. Prognosis of cancers associated with venous thromboembolism. N. Engl. J. Med. 2000, 343, 1846–1850. [Google Scholar] [CrossRef] [PubMed]
- Yong, W.P.; Rha, S.Y.; Tan, I.B.; Choo, S.P.; Syn, N.; Koh, V.; Hui Tan, S.; So, J.; Shabbir, A.; Seng Tan, C.; et al. Microarray-based tumor molecular profiling to direct choice of cisplatin plus S-1 or oxaliplatin plus S-1 for advanced gastric cancer: A multicentre, prospective, proof-of-concept phase 2 trial. J. Clin. Oncol. 2017, 35 (Suppl. S4), 48. [Google Scholar] [CrossRef]
- Beehuat Tan, I.; Ivanova, T.; Hon Lim, K.; Wee Ong, C.; Deng, N.; Lee, J.; Huey Tan, S.; Wu, J.; Hui Lee, M.; Huey Ooi, C.; et al. Intrinsic subtypes of gastric cancer, based on gene expression pattern, predict survival and respond differently to chemotherapy. Gastroenterology 2011, 141, 476–485. [Google Scholar] [CrossRef]
- Jiménez Fonseca, P.; Carmona-Bayonas, A.; Hernández, R.; Custodio, A.; Maria Cano, J.; Lacalle, A.; Echavarria, A.; Macias, I.; Mangas, M.; Visa, L.; et al. Lauren subtypes of advanced gastric cancer influence survival and response to chemotherapy: Real-world data from the AGAMENON National Cancer Registry. Br. J. Cancer 2017, 117, 775–782. [Google Scholar] [CrossRef]
- Fan, Y.; Bai, B.; Liang, Y.; Ren, Y.; Liu, Y.; Zhou, F.; Lou, X.; Zi, J.; Hou, G.; Chen, F.; et al. Proteomic Profiling of Gastric Signet Ring Cell Carcinoma Tissues Reveals Characteristic Changes of the Complement Cascade Pathway. Mol. Cell Proteom. 2021, 20, 100068. [Google Scholar] [CrossRef] [PubMed]
- Markiewski, M.M.; Nilsson, B.; Nilsson Ekdahl, K.; Eirik Mollnes, T.; Lambris, J.D. Complement and coagulation: Strangers or partners in crime? Trends Immunol. 2007, 28, 184–192. [Google Scholar] [CrossRef]
- Cancer Genome Atlas Research Network. Comprehensive molecular characterization of gastric adenocarcinoma. Nature 2014, 513, 202–209. [Google Scholar] [CrossRef]
- Cotes Sanchís, A.; Gallego, J.; Hernandez, R.; Arrazubi, V.; Custodio, A.; Cano, J.M.; Aguado, G.; Macias, I.; Lopez, C.; López, F.; et al. Second-line treatment in advanced gastric cancer: Data from the Spanish AGAMENON registry. PLoS ONE 2020, 15, e0235848. [Google Scholar] [CrossRef]
- Carmona-Bayonas, A.; Jimenez-Fonseca, P.; Echavarria, I.; Sánchez Cánovas, M.; Aguado, G.; Gallego, J.; Custodio, A.; Hernández, R.; Viudez, A.; Cano, J.M.; et al. Surgery for metastases for esophageal-gastric cancer in the real world: Data from the AGAMENON national registry. Eur. J. Surg. Oncol. 2018, 44, 1191–1198. [Google Scholar] [CrossRef]
- Carmona-Bayonas, A.; Jiménez-Fonseca, P.; Sánchez Lorenzo, M.L.; Ramchandani, A.; Asensio Martínez, E.; Custodio, A.; Garrido, M.; Echavarría, I.; Cano, J.M.; Lorenzo Barreto, J.E.; et al. On the Effect of Triplet or Doublet Chemotherapy in Advanced Gastric Cancer: Results from a National Cancer Registry. J. Natl. Compr. Cancer Netw. 2016, 14, 1379–1388. [Google Scholar] [CrossRef] [PubMed]
- Jimenez-Fonseca, P.; Carmona-Bayonas, A.; Martínez de Castro, E.; Custodio, A.; Pericay Pijaume, C.; Hernandez, R.; Aguado, G.; Castro Unanua, N.; Cano, J.M.; López, F.; et al. External validity of docetaxel triplet trials in advanced gastric cancer: Are there patients who still benefit? Gastric Cancer 2021, 24, 445–456. [Google Scholar] [CrossRef] [PubMed]
- Carmona-Bayonas, A.; Jiménez-Fonseca, P.; Custodio, A.; Sánchez Cánovas, M.; Hernández, R.; Pericay, C.; Echavarria, I.; Lacalle, A.; Visa, L.; Rodríguez Palomo, A.; et al. Anthracycline-based triplets do not improve the efficacy of platinum-fluoropyrimidine doublets in first-line treatment of advanced gastric cancer: Real-world data from the AGAMENON National Cancer Registry. Gastric Cancer 2017, 14, 1379–1388. [Google Scholar] [CrossRef] [PubMed]
- Jiménez-Fonseca, P.; Carmona-Bayonas, A.; Sánchez Lorenzo, M.L.; Gallego Plazas, J.; Custodio, A.; Hernández, R.; Garrido, M.; García, T.; Echavarría, I.; Cano, J.M.; et al. Prognostic significance of performing universal HER2 testing in cases of advanced gastric cancer. Gastric Cancer 2017, 20, 465–474. [Google Scholar] [CrossRef] [PubMed]
- Custodio, A.; Carmona-Bayonas, A.; Fonseca, P.J.; Sánchez, M.L.; Viudez, A.; Hernández, R.; Cano, J.M.; Echavarria, I.; Pericay, C.; Mangas, M.; et al. Nomogram-based prediction of survival in patients with advanced oesophagogastric adenocarcinoma receiving first-line chemotherapy: A multicenter prospective study in the era of trastuzumab. Br. J. Cancer 2017, 116, 1526–1535. [Google Scholar] [CrossRef] [PubMed]
- Viúdez, A.; Carmona-Bayonas, A.; Gallego, J.; Lacalle, A.; Hernández, R.; Cano, J.M.; Macías, I.; Custodio, A.; Martínez de Castro, E.; Sánchez, A.; et al. Optimal duration of first-line chemotherapy for advanced gastric cancer: Data from the AGAMENON registry. Clin. Transl. Oncol. 2020, 22, 734–750. [Google Scholar] [CrossRef] [PubMed]
- Ernster, V.L. Nested case-control studies. Prev. Med. 1994, 23, 587–590. [Google Scholar] [CrossRef]
- Austin, P.C. A tutorial and case study in propensity score analysis: An application to estimating the effect of in-hospital smoking cessation counseling on mortality. Multivar. Behav. Res. 2011, 46, 119–151. [Google Scholar] [CrossRef]
- Austin, P.C. Balance diagnostics for comparing the distribution of baseline covariates between treatment groups in propensity-score matched samples. Stat. Med. 2009, 28, 3083–3107. [Google Scholar] [CrossRef] [PubMed]
- Mounir, M.; Lucchetta, M.; Silva, T.C.; Olsen, C.; Bontempi, G.; Chen, X.; Noushmehr, H.; Colaprico, A.; Papaleo, E. New functionalities in the TCGAbiolinks package for the study and integration of cancer data from GDC and GTEx. PLoS Comput. Biol. 2019, 15, e1006701. [Google Scholar] [CrossRef] [PubMed]
- Irizarry, R.A.; Hobbs, B.; Collin, F.; Beazer-Barclay, Y.D.; Antonellis, K.J.; Scherf, U.; Speed, T.P. Exploration, normalization, and summaries of high density oligonucleotide array probe level data. Biostatistics 2003, 4, 249–264. [Google Scholar] [CrossRef]
- Fabregat, A.; Sidiropoulos, K.; Garapati, P.; Gillespie, M.; Hausmann, K.; Haw, R.; Jassal, B.; Jupe, S.; Korninger, F.; McKay, S.; et al. The reactome pathway knowledgebase. Nucleic Acids Res. 2016, 44, D481–D487. [Google Scholar] [CrossRef] [PubMed]
- Downey, T. Analysis of a multifactor microarray study using Partek genomics solution. Methods Enzymol. 2006, 411, 256–270. [Google Scholar] [CrossRef] [PubMed]
- Carvalho, B.S.; Irizarry, R.A. A framework for oligonucleotide microarray preprocessing. Bioinformatics 2010, 26, 2363–2367. [Google Scholar] [CrossRef]
- Cheng, N.; Liang, Y.; Du, X.; Ye, R.D. Serum amyloid A promotes LPS clearance and suppresses LPS-induced inflammation and tissue injury. EMBO Rep. 2018, 19, e45517. [Google Scholar] [CrossRef] [PubMed]
- Amieva, M.; Peek, R.M., Jr. Pathobiology of Helicobacter pylori-Induced Gastric Cancer. Gastroenterology 2016, 150, 64–78. [Google Scholar] [CrossRef] [PubMed]
- Valladolid, C.; Martínez-Vargas, M.; Sekhar, N.; Lam, F.; Brown, C.; Palzkill, T.; Tischer, A.; Auton, M.; Vinod Vijayan, K.; Rumbaut, R.E.; et al. Modulating the rate of fibrin formation and clot structure attenuates microvascular thrombosis in systemic inflammation. Blood Adv. 2020, 4, 1340–1349. [Google Scholar] [CrossRef]
- Lee, J.Y.; Hall, J.A.; Kroehling, L.; Wu, L.; Najar, T.; Nguyen, H.H.; Lin, W.Y.; Yeung, S.T.; Moura Silva, H.; Li, D.; et al. Serum Amyloid A Proteins Induce Pathogenic Th17 Cells and Promote Inflammatory Disease. Cell 2020, 180, 79–91. [Google Scholar] [CrossRef]
- Zhang, J.; Zhang, Y.; Wang, J.; Zhang, S.; Zhao, Y.; Ren, H.; Chu, Y.; Feng, L.; Wnag, C. Protein kinase D3 promotes gastric cancer development through p65/6-phosphofructo-2-kinase/fructose-2, 6-biphosphatase 3 activation of glycolysis. Exp. Cell Res. 2019, 380, 188–197. [Google Scholar] [CrossRef]
- Maekawa, K.; Sugita, C.; Yamashita, A.; Moriguchi-Goto, S.; Furukoji, E.; Sakae, T.; Gi, T.; Hirai, T.; Asada, Y. Higher lactate and purine metabolite levels in erythrocyte-rich fresh venous thrombus: Potential markers for early deep vein thrombosis. Thromb. Res. 2019, 177, 136–144. [Google Scholar] [CrossRef]
- Giampietro, C.; Disanza, A.; Bravi, L.; Barrios-Rodiles, M.; Corada, M.; Frittoli, E.; Savorani, C.; Grazia Lampugnani, M.; Boggetti, B.; Niessen, C.; et al. The actin-binding protein EPS8 binds VE-cadherin and modulates YAP localization and signaling. J. Cell. Biol. 2015, 211, 1177–1192. [Google Scholar] [CrossRef] [PubMed]
- Reglero-Real, N.; Colom, B.; Bodkin, J.V.; Nourshargh, S. Endothelial Cell Junctional Adhesion Molecules: Role and Regulation of Expression in Inflammation. Arterioscler. Thromb. Vasc. Biol. 2016, 36, 2048–2057. [Google Scholar] [CrossRef]
- Al-Hussain, T.; Hussein, M.H.; Conca, W.; Al Mana, H.; Akhtar, M. Pathophysiology of ANCA-associated Vasculitis. Adv. Anat. Pathol. 2017, 24, 226–234. [Google Scholar] [CrossRef] [PubMed]
- Ten Cate, H.; Hackeng, T.M.; García de Frutos, P. Coagulation factor and protease pathways in thrombosis and cardiovascular disease. Thromb. Haemost. 2017, 117, 1265–1271. [Google Scholar] [CrossRef] [PubMed]
- Ünlü, B.; Van Es, N.; Arindrarto, W.; Kielbasa, S.M.; Mei, H.; Westerga, J.; Middeldorp, S.; Kuppen, P.J.K.; Otten, J.M.M.B.; Cannegieter, S.; et al. Genes associated with venous thromboembolism in colorectal cancer patients. J. Thromb. Haemost. 2018, 16, 293–302. [Google Scholar] [CrossRef] [PubMed]
- Sussman, T.A.; Abazeed, M.E.; McCrae, K.R.; Khorana, A.A. RNA expression and risk of venous thromboembolism in lung cancer. Res. Pract. Thromb. Haemost. 2019, 4, 117–123. [Google Scholar] [CrossRef]



| Before PSM 1 | After PSM 1 | |||||
|---|---|---|---|---|---|---|
| Characteristics | Thrombosis | No Thrombosis | D* 2 | Thrombosis | No Thrombosis | D* 2 | 
| (N = 211) | (N = 1918) | (N = 48) | (N = 49) | |||
| Median age (range), years | 64 (20–89) | 64 (22–85) | −0.08 | 62 (30–84) | 60 (38–82) | −0.05 | 
| Sex: males, N (%) | 146 (69.2) | 1363 (71.1) | 4.15 | 36 (75) | 34 (69.4) | −12.5 | 
| HER2+ 3, N (%) | 45 (21.3) | 338 (17.6) | −9.35 | 11 (22.9) | 10 (20.4) | −1.19 | 
| ECOG-PS 4 | ||||||
| 0, N (%) | 51 (24.2) | 418 (21.8) | −5.70 | 11 (22.9) | 11 (22.4) | −1.19 | 
| ≥1, N (%) | 160 (75.8) | 1500 (78.2) | 5.70 | 37 (77.0) | 38 (77.5) | 0.95 | 
| Number of metastatic sites: >2, N (%) | 74 (35.1) | 525 (27.4) | −16.8 | 20 (41.7) | 17 (34.7) | −14.4 | 
| Histological grade, | ||||||
| Poorly differentiated, N (%) | 93 (43.6) | 777 (40.5) | −6.28 | 25 (52.1) | 26 (53.1) | 2.00 | 
| Chemotherapy Regimen, | ||||||
| Anthracicline-based, N (%) | 48 (22.7) | 401 (20.9) | −4.36 | 11 (22.9) | 11 (22.4) | −1.19 | 
| Cisplatin-based, N (%) | 57 (27.0) | 379 (19.8) | −19.0 | 13 (27.1) | 12 (24.5) | −5.94 | 
| Docetaxel-based, N (%) | 21 (10.0) | 224 (11.7) | 5.46 | 7 (14.6) | 8 (16.3) | 4.07 | 
| Oxaliplatin-based, N (%) | 69 (32.7) | 756 (39.0) | 13.1 | 11 (22.9 | 11 (22.4) | −1.19 | 
| Use of trastuzumab | 42 (19.9) | 289 (15.1) | −12.6 | 11 (22.9) | 10 (20.4) | −6.07 | 
| Signet-ring cells | 76 (36.0) | 561 (29.2) | −14.5 | 20 (41.7) | 20 (40.8) | −1.82 | 
| Charlson index (≥2) | 283 (14.8) | 33 (15.6) | 2.22 | 7 (14.6) | 6 (12.2) | −7.04 | 
| Gene Name 1 | Gene Symbol | Fold Change (VTE 2 vs. Control) | p-Value (VTE 2 vs. Control) | Adjusted p-Value (VTE 2 vs. Control) | 
|---|---|---|---|---|
| Cysteine Rich with EGF Like Domains 1 | CRELD1 | −1.18471 | 0.048 | 0.049 | 
| Potassium Voltage-Gated Channel Subfamily H Member 8 | KCNH8 | −1.20454 | 0.029 | 0.048 | 
| Crystallin Gamma N | CRYGN | −1.10497 | 0.048 | 0.049 | 
| Melanoma-Associated Antigen B16 | MAGEB16 | −1.18731 | 0.006 | 0.048 | 
| Serum Amyloid A-1 Protein | SAA1 | −1.2262 | 0.011 | 0.048 | 
| ADP Ribosylation Factor Like GTPase 11 | ARL11 | −1.12071 | 0.042 | 0.048 | 
| Coiled-Coil Domain Containing 169 | CCDC169 | −1.11201 | 0.040 | 0.048 | 
| TRNA Methyltransferase 61A | TRMT61A | −1.26067 | 0.023 | 0.048 | 
| Ripply Transcriptional Repressor 3 | RIPPLY3 | −1.18346 | 0.038 | 0.048 | 
| Phospholipase A2 Group VI | PLA2G6 | −1.15315 | 0.017 | 0.048 | 
| Protein Kinase D3 | PRKD3 | 1.12272 | 0.031 | 0.048 | 
| MicroRNA 5683 | MIR5683 | 1.13071 | 0.015 | 0.048 | 
| Syndecan Binding Protein | SDCBP | 1.33127 | 0.034 | 0.048 | 
| Epidermal Growth Factor Receptor Pathway Substrate 8 | EPS8 | 1.20927 | 0.032 | 0.048 | 
| Cell Division Cycle 45 | CDC45 | 1.15432 | 0.042 | 0.048 | 
| Gene Name 1 | Gene Symbol | Fold Change (VTE 2 vs. Control) | p-Value (VTE 2 vs. Control) | Adjusted p-Value (VTE 2 vs. Control) | 
|---|---|---|---|---|
| Cysteine Rich with EGF Like Domains 1 | CRELD1 | −1.1796 | 0.028 | 0.041 | 
| Potassium Voltage-Gated Channel Subfamily H Member 8 | KCNH8 | −1.2452 | 0.024 | 0.041 | 
| Crystallin Gamma N | CRYGN | −1.1545 | 0.004 | 0.041 | 
| Melanoma-Associated Antigen B16 | MAGEB16 | −1.16573 | 0.022 | 0.041 | 
| Serum Amyloid A-1 Protein | SAA1 | −1.18331 | 0.029 | 0.041 | 
| ADP Ribosylation Factor Like GTPase 11 | ARL11 | −1.10932 | 0.031 | 0.041 | 
| Coiled-Coil Domain Containing 169 | CCDC169 | −1.16057 | 0.027 | 0.041 | 
| TRNA Methyltransferase 61A | TRMT61A | −1.25583 | 0.012 | 0.041 | 
| Ripply Transcriptional Repressor 3 | RIPPLY3 | −1.19727 | 0.044 | 0.044 | 
| Phospholipase A2 Group VI | PLA2G6 | −1.13422 | 0.032 | 0.041 | 
| Protein Kinase D3 | PRKD3 | 1.21549 | 0.023 | 0.041 | 
| MicroRNA 5683 | MIR5683 | 1.11792 | 0.044 | 0.044 | 
| Syndecan Binding Protein | SDCBP | 1.41051 | 0.039 | 0.044 | 
| Epidermal Growth Factor Receptor Pathway Substrate 8 | EPS8 | 1.17085 | 0.033 | 0.041 | 
| Cell Division Cycle 45 | CDC45 | 1.14306 | 0.015 | 0.041 | 
| 95% Confidence Interval 3 | ||||
|---|---|---|---|---|
| Gene Expression | p-Value 1 | Odd Ratio (VTE 4 vs. VTE-Free) 2 | Lower | Upper | 
| Expression of CRELD1 | 0.005 | 0.19 | 0.06 | 0.6 | 
| Expression of KCNH8 | 0.004 | 0.2 | 0.06 | 0.6 | 
| Expression of CRYGN | 0.002 | 0.04 | 0.01 | 0.3 | 
| Expression of MAGEB16 | 0.002 | 0.08 | 0.02 | 0.38 | 
| Expression of SAA1 | 0.002 | 0.13 | 0.03 | 0.47 | 
| Expression of ARL11 | 0.005 | 0.08 | 0.01 | 0.46 | 
| Expression of CCDC169 | 0.006 | 0.01 | 0.02 | 0.51 | 
| Expression of TRMT61A | 0.002 | 0.2 | 0.07 | 0.53 | 
| Expression of RIPPLY3 | 0.006 | 0.23 | 0.08 | 0.66 | 
| Expression of PLA2G6 | 0.003 | 0.09 | 0.02 | 0.43 | 
| Expression of PRKD3 | 0.004 | 9.11 | 1.98 | 41.8 | 
| Expression of MIR5683 | 0.004 | 14.25 | 2.4 | 84.89 | 
| Expression of SDCBP | 0.006 | 2.44 | 1.29 | 4.6 | 
| Expression of EPS8 | 0.004 | 5.15 | 1.69 | 15.73 | 
| Expression of CDC45 | 0.003 | 9.45 | 2.12 | 42.04 | 
| 5 ID | 6 T Avg (log2) | 7 N Avg (log2) | Fold Change | p-Value | Gene Symbol | Description | REACTOME Hemostasis | |
|---|---|---|---|---|---|---|---|---|
| GS 1 | TC2000007915.hg.1 | 11.85 | 8.96 | 7.41 | 0.046 | GNAS | GNAS complex locus | Platelet homeostasis | 
| TC1400010444.hg.1 | 10.64 | 8.46 | 4.53 | 0.046 | IGHA1 | Immunoglobulin heavy constant alpha 1 | Cell surface interactions at the vascular wall | |
| TC1400010798.hg.1 | 6.37 | 5.19 | 2.27 | 0.034 | IGHA2 | Immunoglobulin heavy constant alpha 2 (A2m marker) | Cell surface interactions at the vascular wall | |
| TSUnmapped00000647.hg.1 | 5.13 | 4.5 | 1.55 | 0.013 | IGKV1-17 | Immunoglobulin kappa variable 1-17 [Source:HGNC Symbol; Acc:HGNC:5733] | Cell surface interactions at the vascular wall | |
| TSUnmapped00000816.hg.1 | 5.32 | 4.44 | 1.84 | 0.001 | IGKV1-33 | Immunoglobulin kappa variable 1-33 [Source:HGNC Symbol; Acc:HGNC:5737] | Cell surface interactions at the vascular wall | |
| TSUnmapped00000665.hg.1 | 6.98 | 5.59 | 2.62 | 0.034 | IGKV3-20 | Immunoglobulin kappa variable 3-20 [Source:HGNC Symbol; Acc:HGNC:5817] | Cell surface interactions at the vascular wall | |
| TC2200009222.hg.1 | 9.73 | 7.75 | 3.94 | 0.020 | IGLC3 | Immunoglobulin lambda constant 3 (Kern-Oz+ marker) | Cell surface interactions at the vascular wall | |
| TC2200006821.hg.1 | 6.27 | 5.59 | 1.6 | 0.036 | IGLC6 | Immunoglobulin lambda constant 6 (Kern + Oz− marker, gene/pseudogene) | Cell surface interactions at the vascular wall | |
| TC2200009219.hg.1 | 7.62 | 6.09 | 2.89 | 0.040 | IGLC1; IGLC2; IGLV3-1 | Immunoglobulin lambda constant 1; immunoglobulin lambda constant 2; immunoglobulin lambda variable 3-1 | Cell surface interactions at the vascular wall | |
| TC2200009214.hg.1 | 4.74 | 4.07 | 1.59 | 0.019 | IGLV2-18 | Immunoglobulin lambda variable 2-18 | Cell surface interactions at the vascular wall | |
| TC0400010961.hg.1 | 8.16 | 6.01 | 4.44 | 0.038 | JCHAIN | Joining chain of multimeric IgA and IgM | Cell surface interactions at the vascular wall | |
| TC1100012303.hg.1 | 3.86 | 4.5 | −1.56 | 0.031 | PPP2R1B | Protein phosphatase 2, regulatory subunit A, beta | Platelet homeostasis | |
| CIN 2 | TC0X00008578.hg.1 | 4.56 | 3.87 | 1.61 | 0.038 | F9 | Coagulation factor IX | Clotting cascade | 
| TC0600007231.hg.1 | 5.77 | 5.15 | 1.53 | 0.006 | LRRC16A | Leucine rich repeat containing 16A | Factors involved in megakaryocyte development and platelet production | |
| MSI 3 | TC0700012731.hg.1 | 3.55 | 2.95 | 1.51 | 0.003 | DGKI | Diacylglycerol kinase, iota | Platelet activation, signaling and aggregation | 
| TC1100009918.hg.1 | 5.63 | 6.43 | −1.74 | 0.013 | HBD | Hemoglobin, delta | Factors involved in megakaryocyte development and platelet production | |
| TC2200006766.hg.1 | 5.28 | 4.37 | 1.88 | 0.009 | IGLV10-54 | Immunoglobulin lambda variable 10-54 | Cell surface interactions at the vascular wall | |
| TC1400010444.hg.1 | 10.49 | 7.82 | 6.35 | 0.038 | IGHA1 | Immunoglobulin heavy constant alpha 1 | Cell surface interactions at the vascular Wall | |
| TC0600010241.hg.1 | 7.84 | 8.59 | −1.68 | 0.020 | KIF25 | Kinesin family member 25 | Factors involved in megakaryocyte development and platelet production | |
| TC0900010485.hg.1 | 6.28 | 3.3 | 7.88 | 0.002 | GNAQ | Guanine nucleotide binding protein (G protein), q polypeptide | Signal amplification; Thrombin signalling through proteinase activated receptors | |
| TC1200008107.hg.1 | 5.12 | 4.11 | 2.01 | 0.046 | RAP1B | RAP1B, member of RAS oncogene family | Platelet aggregation (Plug formation) | |
| EBV 4 | TC1900008161.hg.1 | 4.65 | 5.38 | −1.66 | 0.008 | CEACAM3 | Carcinoembryonic antigen-related cell adhesion molecule 3 | Cell surface interactions at the vascular wall | 
| TC1100011190.hg.1 | 6.28 | 7.03 | −1.68 | 0.029 | EHD1 | EH domain containing 1 | Factors involved in megakaryocyte development and platelet production | |
| TC0100015701.hg.1 | 3.79 | 4.4 | −1.53 | 0.001 | HIST2H3A; HIST2H3C | Histone cluster 2, H3a; histone cluster 2, H3c | Factors involved in megakaryocyte development and platelet production | |
| TC0200008393.hg.1 | 5.45 | 6.19 | −1.66 | 0.026 | IGKV3D-20 | Immunoglobulin kappa variable 3D-20 | Cell surface interactions at the vascular Wall | |
| TC2200009214.hg.1 | 4.16 | 4.82 | −1.58 | 0.013 | IGLV2-18 | Immunoglobulin lambda variable 2-18 | Cell surface interactions at the vascular Wall | |
| TC0300007223.hg.1 | 3.33 | 4.3 | −1.96 | 0.0002 | KIF15 | Kinesin family member 15 | Factors involved in megakaryocyte development and platelet production | |
| TC1100010418.hg.1 | 3.34 | 3.95 | −1.53 | 0.001 | KIF18A | Kinesin family member 18A | Factors involved in megakaryocyte development and platelet production | |
| TC0500008777.hg.1 | 4.39 | 5.08 | −1.61 | 0.025 | KIF20A | Kinesin family member 20A | Factors involved in megakaryocyte development and platelet production | |
| TC1600007425.hg.1 | 3.23 | 3.9 | −1.59 | 0.001 | KIF22 | Kinesin family member 22 | Factors involved in megakaryocyte development and platelet production | |
| TC1500007699.hg.1 | 4.36 | 5.03 | −1.59 | 0.038 | KIF23 | Kinesin family member 23 | Factors involved in megakaryocyte development and platelet production | |
| TC0900010582.hg.1 | 3.63 | 4.33 | −1.62 | 0.010 | KIF27 | Kinesin family member 27 | Factors involved in megakaryocyte development and platelet production | |
| TC1000008961.hg.1 | 5.91 | 6.62 | −1.64 | 0.010 | NHLRC2 | NHL repeat containing 2 | Platelet activation, signaling and aggregation | |
| TC0200006440.hg.1 | 4.67 | 6.37 | −3.24 | 0.004 | ACP1 | Acid phosphatase 1, soluble | Factors involved in development and platelet production | 
| Publisher’s Note: MDPI stays neutral with regard to jurisdictional claims in published maps and institutional affiliations. | 
© 2022 by the authors. Licensee MDPI, Basel, Switzerland. This article is an open access article distributed under the terms and conditions of the Creative Commons Attribution (CC BY) license (https://creativecommons.org/licenses/by/4.0/).
Share and Cite
Zaragoza-Huesca, D.; Garrido-Rodríguez, P.; Jiménez-Fonseca, P.; Martínez de Castro, E.; Sánchez-Cánovas, M.; Visa, L.; Custodio, A.; Fernández-Montes, A.; Peñas-Martínez, J.; Morales del Burgo, P.; et al. Identification of Thrombosis-Related Genes in Patients with Advanced Gastric Cancer: Data from AGAMENON-SEOM Registry. Biomedicines 2022, 10, 148. https://doi.org/10.3390/biomedicines10010148
Zaragoza-Huesca D, Garrido-Rodríguez P, Jiménez-Fonseca P, Martínez de Castro E, Sánchez-Cánovas M, Visa L, Custodio A, Fernández-Montes A, Peñas-Martínez J, Morales del Burgo P, et al. Identification of Thrombosis-Related Genes in Patients with Advanced Gastric Cancer: Data from AGAMENON-SEOM Registry. Biomedicines. 2022; 10(1):148. https://doi.org/10.3390/biomedicines10010148
Chicago/Turabian StyleZaragoza-Huesca, David, Pedro Garrido-Rodríguez, Paula Jiménez-Fonseca, Eva Martínez de Castro, Manuel Sánchez-Cánovas, Laura Visa, Ana Custodio, Ana Fernández-Montes, Julia Peñas-Martínez, Patricia Morales del Burgo, and et al. 2022. "Identification of Thrombosis-Related Genes in Patients with Advanced Gastric Cancer: Data from AGAMENON-SEOM Registry" Biomedicines 10, no. 1: 148. https://doi.org/10.3390/biomedicines10010148
APA StyleZaragoza-Huesca, D., Garrido-Rodríguez, P., Jiménez-Fonseca, P., Martínez de Castro, E., Sánchez-Cánovas, M., Visa, L., Custodio, A., Fernández-Montes, A., Peñas-Martínez, J., Morales del Burgo, P., Gallego, J., Luengo-Gil, G., Vicente, V., Martínez-Martínez, I., & Carmona-Bayonas, A. (2022). Identification of Thrombosis-Related Genes in Patients with Advanced Gastric Cancer: Data from AGAMENON-SEOM Registry. Biomedicines, 10(1), 148. https://doi.org/10.3390/biomedicines10010148
 
         
                                                


 
       