Electrochemical Performance of Lithographically-Defined Micro-Electrodes for Integration and Device Applications
Abstract
1. Introduction
2. Experimental
2.1. Electrode Structures
2.2. Electromigration
2.3. Materials
2.4. Setup
3. Results and Discussion
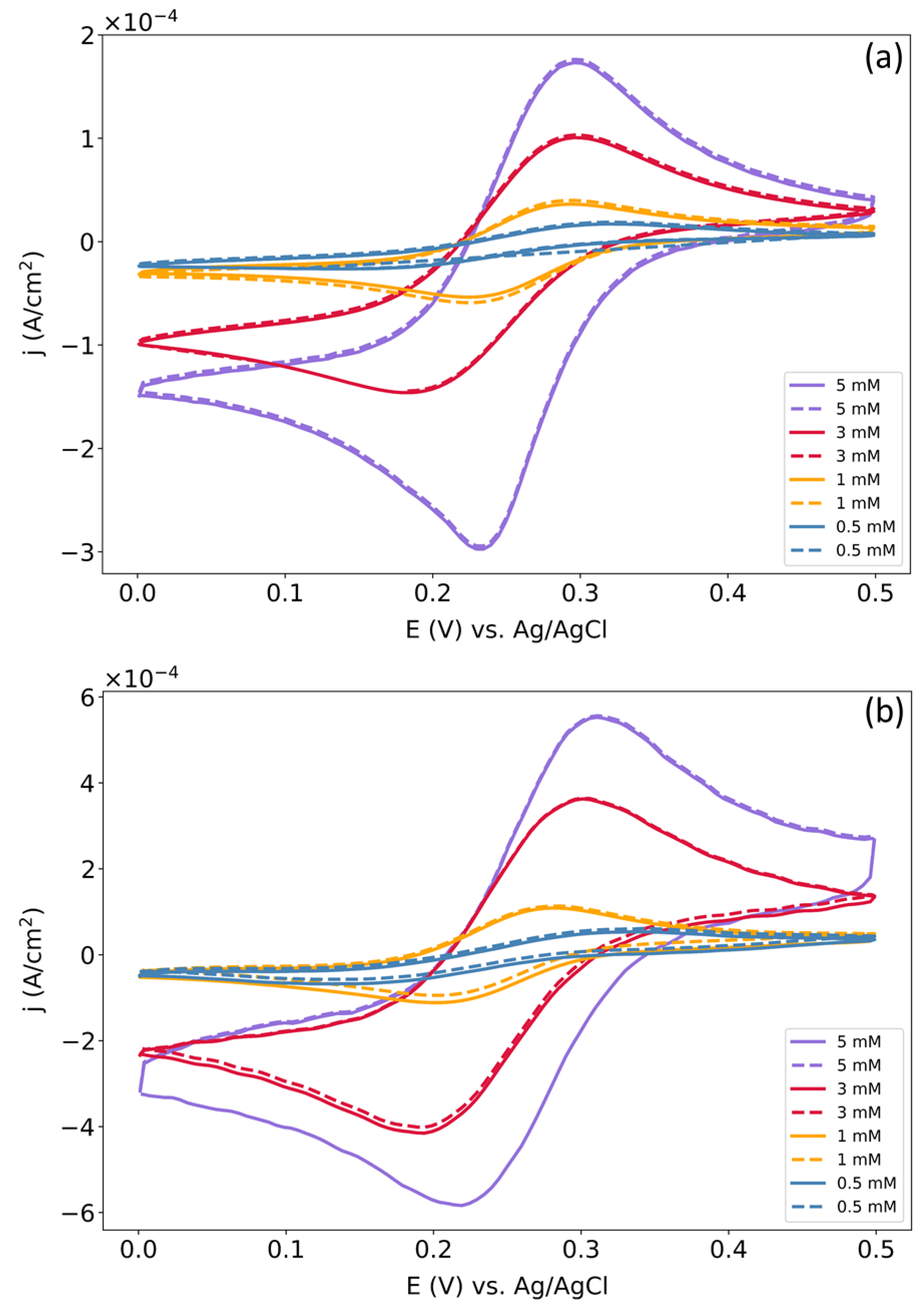
3.1. CV Measurements
3.2. Calibration Curves
3.3. Diffusion Coefficient
3.4. Theoretical
4. Conclusions
Author Contributions
Funding
Institutional Review Board Statement
Informed Consent Statement
Data Availability Statement
Conflicts of Interest
Appendix A
Appendix A.1. Setup

Appendix A.2. Butler–Volmer Equation
Appendix A.3. Concentration
References
- Bolotsky, A.; Butler, D.; Dong, C.; Gerace, K.; Glavin, N.R.; Muratore, C.; Robinson, J.A.; Ebrahimi, A. Two-dimensional materials in Biosensing and Healthcare: From in virto diagnostic to optogenetics and beyond. ACS Nano 2019, 13, 9781–9810. [Google Scholar] [CrossRef]
- Tencer, M.; Nie, H.-Y.; Berini, P. Electrochemical differentiation and TOF-SIMS characterization of thiol-coated gold features for (bio) chemical sensor applications. J. Electrochem. Soc. 2009, 156, J386. [Google Scholar] [CrossRef]
- Tencer, M.; Olivieri, A.; Tezel, B.; Nie, H.-Y.; Berini, P. Chip-scale electrochemical differentiation of SAM-coated gold features using a photo array. J. Electrochem. Soc. 2012, 159, J77. [Google Scholar] [CrossRef][Green Version]
- Fong, N.R.; Menotti, M.; Lisicka-Skrzek, E.; Northfield, H.; Olivieri, A.; Tait, R.N.; Liscidini, M.; Berini, P. Bloch long-range surface plasmon polaritons on metal strip waveguides on a multilayer substrate. ACS Photonics 2017, 4, 593–599. [Google Scholar] [CrossRef]
- Khodami, M.; Berini, P. Grating couplers for (Bloch) long-range surface plasmons on metal strip waveguides. J. Opt. Soc. Am. B 2019, 36, 1921–1930. [Google Scholar] [CrossRef]
- Hirbodvash, Z.; Khodami, M.; Fong, N.R.; Lisicka-Skrzek, E.; Olivieri, A.; Northfield, H.; Tait, R.N.; Berini, P. Grating couplers fabricated by e-beam litography for long-range surface plasmon waveguides embedded in a fluoropolymer. Appl. Opt. 2019, 58, 2294–3002. [Google Scholar] [CrossRef]
- Khodami, M.; Hirbodvash, Z.; Krupin, O.; Wong, W.R.; Lisicka-Skrzek, E.; Northfield, H.; Hahn, C.; Berini, P. Fabrication of Bloch long range surface plasmon waveguides integrating counter electrodes andmicrofludic chammels for multimodal biosensing. J. Microelectromech. Syst. 2021, 30, 686–695. [Google Scholar] [CrossRef]
- Berini, P. Long-range surface plasmon polaritons. Adv. Opt. Photonics 2009, 1, 484–588. [Google Scholar] [CrossRef]
- Miyazaki, C.; Shimizu, F.M.; Ferreira, M. Surface plasmon resonance (SPR) FOR sensors and biosensors. In Nanocharacterization Techniques; Elsevier: Norwich, CT, USA, 2017; pp. 183–200. [Google Scholar]
- Lopez, F.; Pichereaux, C.; Burlet-Schiltz, O.; Pradayrol, L.; Monsarrat, B.; Esteve, J.P. Improved sensitivity of biomolecular interaction analysis mass spectrometry for the identification of interacting molecules. Proteomics 2003, 3, 402–412. [Google Scholar] [CrossRef]
- Zalewska, M.; Kochman, A.; Esteve, J.P.; Lopez, F.; Chaoui, K.; Susini, C.; Ozyhar, A.; Kochman, M. Juvenile hormone binding protein traffic-Interaction with ATP synthase and lipid transfer proteins. Biochim. Biophys. Acta Biomembr. 2009, 1788, 1695–1705. [Google Scholar] [CrossRef]
- Dausse, E.; Barré, A.; Aimé, A.; Gropp, A.; Rico, A.; Ainali, C.; Salgado, G.; Palau, W.; Daguerre, E.; Nikolski, M.; et al. Aptamer selection by direct microfluidic recovery and surface plasmon resonance evaluation. Biosens. Bioelectron. 2016, 80, 418–425. [Google Scholar] [CrossRef] [PubMed]
- Gordon II, J.G.; Ernst, S. Surface plasmons as a probe of the electrochemical interface. Surf. Sci. 1980, 101, 499–506. [Google Scholar] [CrossRef]
- Huang, X.; Wang, S.; Shan, X.; Chang, X.; Tao, N. Flow-through electrochemical surface plasmon resonance: Detection of intermediate reaction products. J. Electroanal. Chem. 2010, 649, 37–41. [Google Scholar] [CrossRef]
- Ribeiroa, J.A.; Sales, M.G.F.; Pereira, C.M. Electrochemistry-assisted surface plasmon resonance detection of miRNA-145 at femtomolar level. Sens. Actuators B 2020, 7, 128129. [Google Scholar] [CrossRef]
- Sannomia, T.; Dermutz, H.; Hafner, C.; Voros, J.; Dahilin, A.B. Electrochemistry on a localized surface plasmon resonance sensor. Langmuir 2010, 26, 7619–7626. [Google Scholar] [CrossRef]
- Steinhauser, B.; Vidal, C.; Barb, R.A.; Heitz, J.; Mardare, A.I.; Hasset, A.W.; Hrelescu, C.; Klar, T.A. Localized-plasmon voltammetry to detect PH dependent gold Oxidation. J. Phys. Chem. C 2018, 122, 4565–4571. [Google Scholar] [CrossRef]
- Guo, T. Fiber grating-assisted surface plasmon resonance for biochemical and electrochemical sensing. J. Lightw. Technol. 2017, 35, 3323–3333. [Google Scholar] [CrossRef]
- Yuan, Y.; Guo, T.; Qiu, X.; Tang, J.; Huang, Y.; Zhuang, L.; Zhou, S.; Li, Z.; Guan, B.; Zhang, X.; et al. Electrochemical surface plasmon resonance fiber-optic sensor: In situ detection of electroactive biofilms. Anal. Chem. 2016, 88, 7609–7616. [Google Scholar] [CrossRef]
- Yua, J.; Jia, P.; Wang, S.; Ebendorff-Heidepriem, H.; Abell, A.D. Electrochemical plasmonic optical fiber probe for real-time insight into coreactant electrochemiluminescence. Sens. Actuators B 2020, 321, 128469. [Google Scholar] [CrossRef]
- Abanulo, J.C.; Harris, R.D.; Sheridan, A.K.; Wilkinson, J.S.; Bartlett, P.N. Waveguide surface plasmon resonance studies of surface reactions on gold electrodes. Faraday Discuss. 2002, 121, 139–152. [Google Scholar] [CrossRef][Green Version]
- Piraud, C.; Mwarania, E.; Wylangowski, G.; Wilkinson, J.; O’Dwyer, K.; Schiffrin, D.J. An optoelectrochemical thin-film chlorine sensor employing evanescent fields on planar optical waveguides. Anal. Chem. 1992, 64, 651–655. [Google Scholar] [CrossRef]
- Baba, A.; Taranekar, P.; Ponnapati, R.R.; Knoll, W.; Advincula, R.C. Electrochemical surface plasmon resonance and waveguide enhanced glucose biosensing with N-Alkylaminated polypyrrole/glucose oxidase multilayers. ACS Appl. Mater. Interfaces 2010, 2, 2347–2354. [Google Scholar] [CrossRef] [PubMed]
- Al-Zubeidi, A.; Hoener, B.S.; Collins, S.S.E.; Wang, W.; Kirchner, S.R.; Jebeli, S.A.H.; Joplin, A.; Chang, W.S.; Link, S.; Landes, C.F. Hot holes assist plasmonic nanoelectrode dissolution. Nano Lett. 2019, 19, 1301–1306. [Google Scholar] [CrossRef]
- Shin, H.H.; Koo, J.J.; Lee, K.S.; Kim, Z.H. Chemical reactions driven by plasmon induced hot carriers. Appl. Mater. Today 2019, 16, 112–119. [Google Scholar] [CrossRef]
- Jang, Y.H.; Jang, Y.J.; Kim, S.; Quan, L.N.; Chung, K.; Kim, D.H. Plasmonic solar cells: From rational design to mechanism overview. Chem. Rev. 2016, 116, 14982. [Google Scholar] [CrossRef] [PubMed]
- Atwater, H.A.; Polman, A. Photonic design principles for ultrahigh-efficiency photovoltaics. Nat. Mater. 2012, 11, 174–177. [Google Scholar]
- Power, A.C.; Morrin, A. Electroanalytical sensor technology. In Electrochemistry; Khalid, M.A.A., Ed.; InTech: Rijeka, Croatia, 2013; pp. 141–178. [Google Scholar]
- Grieshaber, D.; MacKenzie, R.; Vörös, J.; Reimhult, E. Electrochemical biosensors-sensor principles and architectures. Sensors 2008, 8, 1400–1458. [Google Scholar] [CrossRef]
- Young, D.; Christou, A. Failure mechanism models for electromigration. IEEE Trans. Reliab. 1994, 43, 186–192. [Google Scholar] [CrossRef]
- Tu, K.N. Recent advances on electromigration in very-large-scale-integration of interconnects. J. Appl. Phys. 2003, 94, 5451–5473. [Google Scholar] [CrossRef]
- Oates, A.S. Electromigration transport mechanisms in Al thin-film conductors. J. Appl. Phys. 1996, 79, 163–169. [Google Scholar] [CrossRef]
- Arslan, F.; Beska, U. An amperometric biosensor for glucose detection from glucose oxidase immobilized in polyaniline-polyvinylsulfonate- potassium ferricyanide film. Artif. Cells Nanomed. Biotechnol. 2014, 42, 284–288. [Google Scholar] [CrossRef]
- Lamas-Ardisana, P.J.; Martínez-Paredes, G.; Añorga, L.; Grande, H.J. Glucose biosensor based on disposable electrochemical paper-based transducers fully fabricated by screen printing. Biosens. Bioelectron. 2018, 109, 8–12. [Google Scholar] [CrossRef]
- Dickinson, E.J.; Petersen, J.L.; Rees, N.V.; Compton, R.G. How much supporting electrolyte is required to make a cyclic voltammetry experiment quantitavely ‘difffusional’? J. Phys. Chem. C 2009, 113, 11157–11171. [Google Scholar] [CrossRef]
- Yun, C.; Hwang, S. Analysis of the charging current in cyclic voltammetry and supercapacitor’s galvanostatic charging profile based on a constant-phase element. ACS Omega 2021, 6, 367–373. [Google Scholar] [CrossRef] [PubMed]
- Konopka, S.J.; McDuffie, B. Diffusion coefficients of ferri- and ferrocyanide ions in aqueous media, using twin-electrode thin layer electrochemistry. Anal. Chem. 1970, 42, 1741–1746. [Google Scholar] [CrossRef]
- Wang, J.; Zhang, Z. Analytical Chemistry; Trans. Tech. Publ.: Zurich, Switzerland, 1994; pp. 3–66. [Google Scholar]
- Compton, R.G.; Banks, C.E. Understanding Voltammetry; World Scientific: Singapore, 2018. [Google Scholar]
- Bard, A.J.; Faulkner, L.R. Electrochemical Methods: Fundamentals and Applications; Wiley: New York, NY, USA, 1983; Volume 20, pp. 91–92. [Google Scholar]
- Zheng, Q.; Wei, G.W. Piosson-boltzmann-nernst-planck model. J. Chem. Phys. 2011, 134, 194101. [Google Scholar] [CrossRef]
- Guidelli, R.; Compton, R.G.; Feliu, J.M.; Gileadi, E.; Lipkowski, J.; Schmickler, W.; Trasatti, S. Definition of the transfer coefficient in electrochemistry (IUPAC Recommendations 2014). Pure Appl. Chem. 2014, 86, 259–262. [Google Scholar] [CrossRef]






Publisher’s Note: MDPI stays neutral with regard to jurisdictional claims in published maps and institutional affiliations. |
© 2021 by the authors. Licensee MDPI, Basel, Switzerland. This article is an open access article distributed under the terms and conditions of the Creative Commons Attribution (CC BY) license (https://creativecommons.org/licenses/by/4.0/).
Share and Cite
Hirbodvash, Z.; Houache, M.S.E.; Krupin, O.; Khodami, M.; Northfield, H.; Olivieri, A.; Baranova, E.A.; Berini, P. Electrochemical Performance of Lithographically-Defined Micro-Electrodes for Integration and Device Applications. Chemosensors 2021, 9, 277. https://doi.org/10.3390/chemosensors9100277
Hirbodvash Z, Houache MSE, Krupin O, Khodami M, Northfield H, Olivieri A, Baranova EA, Berini P. Electrochemical Performance of Lithographically-Defined Micro-Electrodes for Integration and Device Applications. Chemosensors. 2021; 9(10):277. https://doi.org/10.3390/chemosensors9100277
Chicago/Turabian StyleHirbodvash, Zohreh, Mohamed S. E. Houache, Oleksiy Krupin, Maryam Khodami, Howard Northfield, Anthony Olivieri, Elena A. Baranova, and Pierre Berini. 2021. "Electrochemical Performance of Lithographically-Defined Micro-Electrodes for Integration and Device Applications" Chemosensors 9, no. 10: 277. https://doi.org/10.3390/chemosensors9100277
APA StyleHirbodvash, Z., Houache, M. S. E., Krupin, O., Khodami, M., Northfield, H., Olivieri, A., Baranova, E. A., & Berini, P. (2021). Electrochemical Performance of Lithographically-Defined Micro-Electrodes for Integration and Device Applications. Chemosensors, 9(10), 277. https://doi.org/10.3390/chemosensors9100277

