Abstract
Supramolecular compounds are capable of encapsulating small molecules to form host–guest compounds, which can be combined with sound surface wave technology to achieve high-precision detection of specific gases. In this paper, we analyzed the adsorption ability of Cryptophane-A and Cryptophane-E, the caged supramolecular materials, at room temperature by numerical simulation using first principles. The geometrical optimization of Cryptophane-A, Cryptophane-E, and gas molecules was carried out by the Dmol3 module in Materials Studio. Through adsorption calculation of gas molecules, the change of density of states and the magnitude of adsorption energy of Cryptophane-A and E were compared and analyzed. The results show that Cryptophane-A and E are van der Waals adsorption for molecules in gas (except CO2 and C2H6). The adsorption energy of Cryptophane-A is lower than that of Cryptophane-E, but it is more selective and has preferential adsorption for methane. In this paper, we also tried to calculate the adsorption of Cryptophane-A and E on two methane molecules. The result showed that the former could adsorb two methane molecules, but the adsorption energy was lower than that of one methane molecule; the latter could not adsorb two methane molecules stably. The study shows that Cryptophane-A is more suitable as a sensitive material for CH4 detection, which provides support for the development of acoustic surface wave methane detection technology.
1. Introduction
Methane (CH4) is the second most abundant anthropogenic greenhouse gas after carbon dioxide (CO2) and has a significant impact on global climate [1]. Methane, with 21 times the global warming potential of carbon dioxide, significantly contributes to extreme weather events such as heatwaves, droughts, hurricanes, and rising sea levels [2]. At the same time, methane is also the main component of mine gas, and if the methane gas in the mine is not properly disposed of, it is easy to cause the spread of fire and even cause gas explosions [3], which can easily cause major economic losses and safety accidents. Therefore, the development of highly sensitive and selective methane gas sensors is of critical importance.
The current mainstream technologies include catalytic combustion sensors based on the oxidation reaction of methane on the catalyst surface. However, high temperature and usage of overvoltage higher than the rated voltage may permanently damage the sensor [4]. Infrared absorption sensors utilize the characteristic absorption peaks of methane in specific frequency bands with high accuracy, but they are bulky and not portable [2]. Metal-oxide-semiconductor (MOS) sensors are oxidized or reduced by a sensitive material by the gas to be measured, which is manifested as a change in resistance value. However, metal oxide sensors typically require a high operating temperature (400–500 °C) [5,6]. Metal oxide sensors can enable methane monitoring at room temperature through a photoactivation route [7]. Mass-type sensors (such as quartz crystal microbalance (QCM) and surface acoustic wave (SAW)) detect by the mass change caused by gas adsorption. They have the advantages of operating at room temperature, low power consumption, and integrability. The basic principle of methane sensors is to coat a chemically selective film on the SAW propagation path that has specific selectivity for the gas to be detected. The adsorption of the gas to be detected on the sensitive film directly causes disturbances in the SAW propagation characteristics (velocity/amplitude), and the characteristics of the gas to be detected are combined with the frequency signal output and the oscillator structure [8]. All these parameters can be used for monitoring applications in industrial environments, including structural health monitoring (SHM) for the control/predictive maintenance of parts/structures [9].
Methane is a stable non-polar molecule, which is difficult to be adsorbed by conventional materials [9]. Studies have found that cave fan is a caged supramolecular compound with a special encapsulation effect on methane molecules [10]. The core challenge is to develop sensitive materials with a high affinity for methane. Caged supramolecular materials are an important new class of materials with important roles in materials science, molecular electronics, sensors, and other fields. The inclusion of neutral small molecules such as methane and ethane by cryptophane has been intensively studied, and in particular, methane detection technology based on the inclusion of Cryptophane and methane molecules has attracted much attention because of its high selectivity [9,10,11,12,13,14,15,16]. Jianchun Yang et al. [16] studied a photonic crystal fiber (PCF) methane sensor based on modal interference, which is made by coating an ultraviolet, curable fluoro-siloxane nano-film incorporating Cryptophane-A onto the internal surface of PCF cladding air holes. French scientists A. Collet and J.-P. Dutasta demonstrated the ability of Cryptophane-A to encapsulate methane and form complexes by nuclear magnetic resonance spectroscopy (NMR) studies [16]. YANG et al. [17] studied a highly sensitive photonic crystal fiber long-period grating sensor for detecting methane. The sensor is based on polyacrylic acid carbon nanotubes/polyacrylamide hydrochloride nanofilm and absorbs Cryptophane-A-6me. When the CH4 volume fraction increases from 0 to 3.5%, the sensor exhibits a sensitivity of 107.8 nm and a detection limit as low as 0.0018. The important absorbing substance Cryptophane-A-6me plays a key role in the detection mechanism of the sensor. In recent years, with the in-depth study of Cryptophane molecules, a caged supramolecular compound, Cryptophane-A and -E, has been found to have a specific encapsulation effect on methane molecules, which is promising to be applied to the sensitive membrane of SAW gas sensors.
It has been shown that when methane molecules enter the cavity of the Cryptophane molecule, they can form a three-dimensional cavity consistent with the three-dimensional structure of the methane molecule through specific bonding, forming a “key-lock”-like one-to-one host–guest inclusion in the form of molecular imprinting, thus enabling accurate identification of methane gas. Khoshaman et al. [18] and Sun et al. [19] combined the cavity-fan-A and quartz crystal microbalance (QCM) technology to develop a new methane sensor for room temperature operation and achieved good results. However, this QCM-based gas sensor is easy to saturate [20], and the test results show that it is saturated when the methane volume fraction is greater than 0.2%, which makes it difficult to meet the practical requirements of underground gas detection and alarm. In order to make up for the adsorption effect of Cryptophane-E on methane and to select a more suitable material for SAW sensitive membrane among Cryptophane-A and -E, the scientific problem needs to be solved.
The core challenge is to develop sensitive materials with a high affinity for methane. In this article, the adsorption of Cryptophane-A and -E on methane is studied by using the first nature principle [21]. The molecular morphology changes during the synthesis of Cryptophane-A and -E are understood by analyzing the fabrication and reaction process. The reaction process was calculated by combining spin polarization and exchange-correlation flooding to analyze the morphological changes of Cryptophane-A and -E and gas molecules before and after the reaction and to investigate the reaction mechanism [22]. The adsorption of methane and other molecules in the gas was calculated by Cryptophane-A and -E, and the changes in the density of states of each substance before and after the reaction were analyzed, and the adsorption capacities of Cryptophane-A and -E for CH4, CO, CO2, C2H6, and H2O present in the gas were finally concluded and compared. The results showed that Cryptophane-A showed higher affinity for CH4, with preferential adsorption and higher selectivity; Cryptophane-E had the same adsorption capacity for CH4, H2O, and CO, which could not be distinguished effectively. The results of the study make up for the lack of research on CH4 adsorption effect of Cryptophane-E and innovatively apply the numerical simulation method to create ideal experimental conditions, deepen the theoretical study, and supplement and explain the physical processes and phenomena that cannot be observed experimentally. The comprehensive analysis shows that Cryptophane-A is more suitable for the detection of CH4 gas in gas than Cryptophane-E, so Cryptophane-A can be used as a sensitive membrane material for SAW methane sensors. At the same time, it provides a direction for the selection of gas-sensitive materials for SAW methane sensors in the future, provides an experimental basis and data support for future research in this direction, can reduce the experimental trial and error rate improve the experimental efficiency, and greatly improves the comprehensive performance of these sensors, which is of great significance for future research and development in this field and improves the practical application value of the sensors.
2. Theory and Methodology
2.1. Preparation of Carrier Materials
The Cryptophane series of compounds are cage-like compounds consisting of two bowl-shaped or shallow disc-shaped cycloveratrylene (CTV) structural units located at the top and bottom ends, which are then connected by three ester chains a (CH2) n- (n = 2~8). As shown in Figure 1, the CTV molecules are sequential in structure, allowing asymmetric peripheral substituents to attach to the top and bottom (R1 ≠ R2), and the caveman molecular structure is shown in Figure 2, CTG is Trinucleotide Repeat, CTC is carbon tetrachloride.
Figure 1.
Molecular structure of CTVs.
Figure 2.
Structural formula of the caveman molecule.
It is a new class of supramolecular subject compounds with adjustable cavities, easy conformational changes, and easy chemical modifications, which can recognize the guest molecule by forming encapsulation on the guest. Depending on the length of their ester chains (i.e., n varies from n = 2 to 8), cryptophanes are classified as Cryptophane-A (n = 2), Cryptophane-E (n = 3), Cryptophane-B, Cryptophane-D, etc., as shown in Figure 3. Thus, Cryptophane is a collective name for a series of compounds.
Figure 3.
(a) Cryptophane-A; (b) Cryptophane-E.
2.2. Adsorption of Cryptophane
2.2.1. Adsorption Equation
The adsorption model of Cryptophane on gas can be expressed by the following equation:
where the variables are defined as follows:
N = (P × Vm)/(R × T × (1 + (P/P0)))
N—the number of gas molecules adsorbed per unit volume (mol/m3);
P—the pressure of the gas (Pa);
Vm—the molar volume of the gas (m3/mol);
R—the ideal gas constant (8.314 J/(mol·K) or 0.0821 L·atm/(mol·K));
T—the temperature (K);
P0—the saturation pressure of Cryptophane adsorption (Pa).
2.2.2. Adsorption Theorem
In the calculation process of molecular adsorption, the electron density is used to characterize the multi-electron system, whose energy can be expressed by the electron density generalization. The idea is to express the energy as a generalized function of single-particle density so that the complex multi-electron problem is reduced to a single-electron problem. It can be reduced to two Hohenberg–Kohn theorems [19,20].
Theorem 1.
The external potential can be determined by the density of electrons in the ground state plus an irrelevant function.
Theorem 2.
The energy generalization E [p] takes a very small value for some particle distribution ρ(r) and is equal to the energy of the ground state under the condition that the number of particles is constant.
This method provides a new way to calculate the electronic structure in chemistry and solid-state physics and is particularly suitable for fundamental studies related to nanomaterials, superconductors, metallic materials, compounds, cluster systems, etc. It is recognized as an important method to explain and predict chemical bonds, optical and electromagnetic properties, material defects, and mechanical properties, etc. Under the assumption of statics, this theory can in principle accurately predict the energies of atomic, molecular, and solid ground states and their electron spin densities, bond lengths, bond angles, etc. While this theory transforms the problem of multi-electron systems into a theoretical basis for the single-electron square stalk, it also gives a theoretical basis for how to use the single-electron effective potential calculation. During the molecular simulation, the methane molecule is considered as a single-point molecular model with a rigid structure, and the LJ potential energy parameter of the single-point sphere is used to describe the interaction between methane molecules, i.e., the following:
where rij denotes the position vector pointing from the center of mass of molecule i to the center of mass of molecule j: σCH4CH4 and εCH4CH4 are the size and energy parameters indicating the LJ potential energy between CH4 molecules. The LJ of methane is taken from the TraPPE force field developed by Martin and Siepmann [23], respectively: σCH4CH4 = 0.373, εCH4CH4/kB = 148.0 K.
3. Results and Discussion
3.1. Methane Adsorption by Cryptophane-A
3.1.1. Molecular Structure
The molecular structure of Cryptophane-A was first downloaded from the SciFinder website and then geometrically optimized. Since the molecular structure data are measured under certain conditions and may not be the lowest energy state, it is necessary to make it fully chirped to reach the lowest energy configuration. For this purpose, the Dmol3 module in Materials Studio is used for geometry optimization. The calculation parameters were set as follows: The calculations are performed using the GGA (generalized gradient approximation) method in DFT theory, with PBE as the exchange-correlation function, and all-electron for self-consistency calculations using the bi-numerical atomic basis group (DNP4.4) with polarization in a medium-precision grid. All calculations were spin-unrestricted, with a total energy convergence threshold of 1.0 × 10−5 Ha, an energy gradient threshold of 0.002 Ha/Å, and a maximum displacement of chemically 0.005 Å. In the calculation, the spin polarization is taken into account, and the polarized double-valued basis group is used, with all electrons considered as core electrons and the Perdew–Wang correction as the exchange-correlation generalized function. The convergence criterion of the optimization is that the energy of the system is below 2.0 × 10−5 Ha and the interatomic force is less than 0.004 Ha/Å. The results of the optimization are shown in Figure 4.
Figure 4.
Cryptophane-A geometry optimization results.
Coal mine gas contains a variety of components, including methane [24], carbon dioxide [25], carbon monoxide [26], water vapor [27], and ethane [28]. Before studying the adsorption of these molecules on Cryptophane-A and -E, the same geometry optimization is required, also using the Dmol3 module, with a similar setup as described previously. The optimization results are shown in Figure 5. The specific results are shown in Table 1.
Figure 5.
(a) CH4; (b) C2H6; (c) H2O; (d) CO2; (e) CO.
Table 1.
Relative error analysis table.
As shown in Table 1, the relative errors are all around a few percent, so the molecular structures are reasonable for adsorption calculations.
3.1.2. Adsorption Calculation
- 1.
- Adsorption of methane by Cryptophane-A
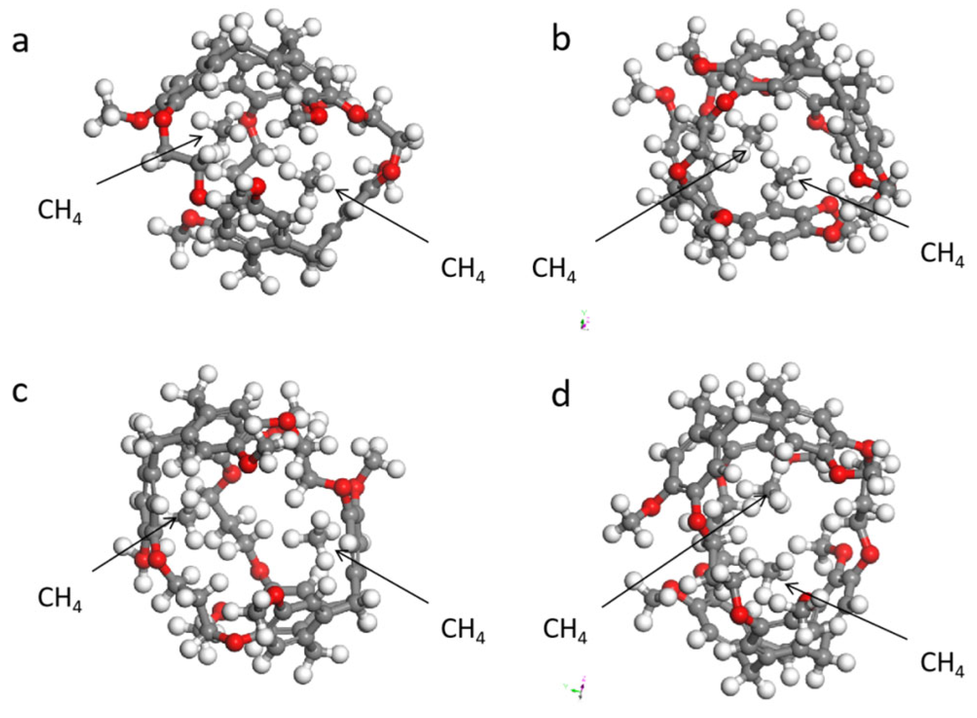
To study the methane adsorption inside Cryptophane-A, methane molecules (arrows in the figure) were first placed at any position inside Cryptophane-A, as shown in Figure 6a. Then it is geometrically optimized to find the best methane adsorption location. The optimization method and convergence criterion are described previously, and the optimization results are shown in Figure 6b.
Figure 6.
(a) Methane adsorption by Cryptophane-A; (b) Optimization results.
It can be seen that the methane molecule is located near the center of the cavity, and the distance between its carbon atoms and the main carbon atoms of Cryptophane-A is shown in Figure 6b. This distance is exactly the range of van der Waals forces, which is consistent with the findings of the literature [6,7].
- 2.
- Adsorption of Cryptophane-A on other molecules
The adsorption studies of Cryptophane-A on other molecules are similar to the above; as shown in Figure 7, most of these molecules are also located near the center of the cavity, indicating that all are van der Waals adsorption, i.e., physical adsorption, where there is no charge transfer between the adsorbent and the adsorbate, i.e., no chemical bond formation.
Figure 7.
Adsorption of Cryptophane-A on each gas within the gas.
3.1.3. Density of States
- 1.
- Figure 8 shows the total density of states of Cryptophane-A with a Fermi energy level of −0.162775.
Figure 8. Total density of states of Cryptophane-A.
It can be seen that the energy of the Cryptophane-A molecule of electrons is concentrated at a few dispersed energies and the electrons are highly localized.
- 2.
- This figure shows the density of states of methane.
As can be seen in Figure 9, the energy is concentrated only at discrete energies and the electron distribution is also localized, i.e., covalently bonded and non-conducting.
Figure 9.
Density of states of methane.
However, the distribution of the methane density of states shows that it overlaps with that of the Cryptophane electron density of states at energies such as around −10 Ha and 0 Ha, so there is a tendency for the two to hybridize or form bonds at that energy. This is the reason why the Cryptophane can adsorb methane.
- 3.
- Density of states after methane adsorption
Figure 10 shows the density of states of Cryptophane after adsorption of CH4. It can be seen that the distribution of density of states is very similar to that before the adsorption of Cryptophane. In fact, at 0 Ha, the density of states becomes somewhat larger, indicating that there is a slight bonding of electrons from Cryptophane with those from methane at that energy. This indicates that Cryptophane is able to adsorb methane.
Figure 10.
Density of states after methane adsorption by cryptophane.
3.1.4. Adsorption Energy
The measure of “solid” adsorption is expressed in terms of adsorption energy. The adsorption energy is calculated by the following equation:
This is the difference between the total energy after adsorption and the respective energy of the adsorbent and adsorbent mass before adsorption. The energy calculations were all performed after geometric optimization of the molecule or adsorption complex. The results are shown in Table 2.
Table 2.
Adsorption energy of Cryptophane-A for each molecule.
As can be seen from the table, the lowest adsorption energy is −40.4364593 Ha after methane adsorption, which is the lowest energy among all adsorbents, indicating that Cryptophane preferentially adsorbs on methane. In addition, when water is adsorbed on Cryptophane, the adsorption energy is also less than zero, indicating that Cryptophane has a certain adsorption capacity for water molecules, but it is much lower than that of methane. In contrast, the remaining molecules, such as CO, CO2, and C2H6, do not adsorb on Cryptophane because the adsorption energy is greater than zero, indicating that this adsorption is unstable.
3.2. Methane Adsorption by Cryptophane-E
3.2.1. Molecular Structure
The molecular structure of Cryptophane-E was downloaded from the SciFinder website and then geometrically optimized. Figure 11 shows the optimized molecular structure.
Figure 11.
Cryptophane-E geometry optimization results.
3.2.2. Adsorption Calculation
- 1.
- Methane adsorption by Cryptophane-E
To study the adsorption of methane within Cryptophane-E, methane molecules were first placed at any position inside Cryptophane-E (as close as possible to the benzene ring), as shown in Figure 12a. Then it is geometrically optimized to find the best methane adsorption location. The optimization method and convergence criterion are described previously, and the optimization results are shown in Figure 12b.
Figure 12.
(a) Methane adsorption by Cryptophane-E; (b) Optimization results.
As can be seen, after optimization, the methane molecule is located largely in the upper middle of the cavity and is not in close proximity to a group such as the benzene ring, indicating that there is no chemical bonding between the methane molecule and Cryptophane-E. This can also be seen from the distance between the methane carbon atom and the main atom of Cryptophane-E, as in Figure 12b. This can also be seen from the spacing between the methane carbon atoms and the main atoms of Cryptophane-E, as shown in Figure 12b. This distance is much larger than the length of the chemical bonds between the atoms.
- 2.
- Methane adsorption by Cryptophane-E
The adsorption studies of Cryptophane-E on other molecules are similar to the above, and most of these molecules are also located near the center of the cavity, indicating that all are van der Waals adsorption, i.e., physical adsorption, with no charge transfer between the adsorbent and the adsorbate, i.e., no chemical bonds are formed.
3.2.3. Density of States
The adsorption studies of Cryptophane-A on other molecules are similar to the above; as shown in Figure 13, most of these molecules are also located near the center of the cavity, indicating that all are van der Waals adsorption, i.e., physical adsorption, where there is no charge transfer between the adsorbent and the adsorbate, i.e., no chemical bond formation.
Figure 13.
Adsorption of Cryptophane-E on each gas within the gas.
Figure 14 shows the total density of states of Cryptophane-E with a Fermi energy level of −0.170960 Ha, which is slightly lower than that of Cryptophane-A at −0.162775 Ha. As can be seen from the figure, the energy of the Cryptophane-E electrons is concentrated at several scattered energies (−19 Ha to −18 Ha and around −10 Ha); in addition, there is a certain distribution of energy around 0 Ha to −1 Ha, indicating that the atoms that make up the Cryptophane-E molecule share a certain degree of electrons and occupy the Fermi energy level with some activation.
Figure 14.
Total density of states of Cryptophane-E.
Figure 15 shows the total density of states of Cryptophane-E after methane adsorption. Compared with the total density of states before adsorption, the two are almost unchanged, again indicating that the binding between Cryptophane-E and methane is by van der Waals forces.
Figure 15.
Total density of states after methane adsorption by Cryptophane-E.
3.2.4. Adsorption Energy
The formula for measuring the adsorption energy is the same as the previous one, and the data are shown in Table 3.
Table 3.
Adsorption energy of Cryptophane-E for each molecule.
The adsorption energy of methane is −0.0324729 Ha, which is much lower than that of Cryptophane-A, probably due to the slightly larger cavity volume and larger interatomic distance. Unlike Cryptophane-A, Cryptophane-E can also adsorb carbon monoxide and water molecules, both of which have adsorption energies similar to those of methane, indicating that Cryptophane-E cannot effectively separate CH4, CO, and H2O if they are mixed in the gas. For CO2 and C2H6, the adsorption behavior of Cryptophane-E and Cryptophane-A is the same, i.e., neither adsorbs.
3.3. Adsorption of Two Methane Molecules
Since the cavities of Cryptophane-A and Cryptophane-E have a certain volume, this paper tries to calculate the adsorption of two methane molecules based on the adsorption of one methane molecule. Figure 16a,c show the adsorption of two methane molecules in the cavities of Cryptophane-A and Cryptophane-E, respectively. These two configurations were optimized to obtain the final adsorption cases, as shown in Figure 16b,d.
Figure 16.
(a,c) Adsorption of two methane molecules in Cryptophane-A\E cavity; (b,d) Optimization results.
Table 4 shows the methane molecules keep a certain distance from each other, and the overall is more uniformly distributed from the cavity.
Table 4.
Adsorption energy of Cryptophane-A and -E on CH4 molecules.
When adsorption between Cryptophane-A and methane occurs, weak interactions account for a large proportion of the adsorption, i.e., electrostatic and dispersive forces, in addition to a slight valence-dependent bonding component. When the cavity is filled with two methane molecules, it has an effect on the electrostatic potential field and the dispersion force, thus reducing the adsorption energy. We have calculated the electrostatic and dispersive forces by the EDA-FF method: Firstly, the total wave function of the Cryptophane-A and CH4 + CH4 system was calculated, and then Cryptophane-A and (CH4 + CH4) were defined as two fragments, respectively, and the weak interaction force between the fragments was calculated using the following results in Table 5.
Table 5.
The weak interaction force between Cryptophane-A (Frag1) and CH4 + CH4 (Frag2) fragments.
It can be seen that the weak interaction between Cryptophane-A and two CH4 is much smaller than that between Cryptophane-A and a single CH4 molecule, so the adsorption energy is lower.
Using the same approach, we have analyzed the weak interaction between Cryptophane-E and the two CH4s with the following results (Table 6).
Table 6.
The weak interaction force between Cryptophane-E (Frag1) and CH4 + CH4 (Frag2) fragments.
The adsorption energy can be seen to be positive, indicating that this adsorption is unstable.
Furthermore, Cryptophane-A and Cryptophane-E have different adsorption energies for methane molecules, with the former being greater than the latter, or the former adsorbing methane more readily. In addition to Cryptophane-A being able to form weak covalent bonds with methane, there exist weak interaction forces between the two, namely electrostatic and dispersive forces, which contribute the most to adsorption.
We calculated the weak interaction force by Multifwn software [29]: firstly, the total wave functions of Cryptophane-A/Cryptophane-E and CH4 systems were calculated, and then the wave function files were inputted into Multifwn, and Cryptophane-A/Cryptophane-E and CH4 were defined as two fragments, and the weak interaction force between the fragments was calculated using the EDA-FF method (energy decomposition analysis based on force field), and the results are shown in Table 7 and Table 8.
Table 7.
The weak interaction force between Cryptophane-A (Frag1) and CH4 (Frag2) fragments.
Table 8.
The weak interaction force between Cryptophane-E (Frag1) and CH4 (Frag2) fragments.
It can be seen that the weak interaction between Cryptophane-E and CH4 is much smaller than that between Cryptophane-A and CH4, so the lower adsorption energy.
4. Conclusions
In this paper, the physical models of caged supramolecular materials, Cryptophane-A, Cryptophane-E, and coal mine gas (CH4, CO, CO2, H2O, and C2H6), were developed and geometrically optimized to find the optimal adsorption sites for methane molecules by combining exchange-correlation flooding calculations. The density changes and adsorption capacity of Cryptophane-A\E are compared, and the following conclusions were drawn:
- Cryptophane-A exhibits exclusive Van der Waals adsorption behavior for CH4, CO, and H2O, while showing no adsorption for CO2 or C2H6. The lowest adsorption energy for CH4 (followed by CO and CO2) indicates that Cryptophane-A has preferential selectivity for CH4 adsorption with the optimal binding site localized within the cavity.
- Negligible total density of states variation upon CH4 adsorption highlights Cryptophane-E’s inferior selectivity. In the comparison of adsorption energy, CH4 is similar to CO and H2O adsorption energy, i.e., it is not possible to effectively distinguish the three gases mixed in the gas.
- Both Cryptophane-A and Cryptophane-E show higher adsorption energy for single-CH4 than dual-CH4 systems. Cryptophane-A outperforms Cryptophane-E in overall adsorption capacity, while Cryptophane-E exhibits unstable adsorption for dual-CH4 configurations.
This article goes through numerical simulations. Compared with the selectivity and adsorption stability of methane in Cryptophane-A and Cryptophane-E, the Dmol3 module is optimized to achieve high-precision detection of methane gas. Cryptophane-A’s superior CH4 selectivity and adsorption stability for CH4 molecules compared to Cryptophane-E means that Cryptophane-A is more suitable as a sensitive membrane material for SAW methane sensors. This work provides a foundational framework for advancing Cryptophane-based materials in gas detection, with future research prioritized on multi-CH4 (>2 molecules) adsorption dynamics to optimize sensor performance and scalability.
Author Contributions
Conceptualization, B.S.; methodology, D.X.; software, Q.Z.; writing—original draft preparation, X.L.; writing—review and editing, Y.G.; supervision, J.L. All authors have read and agreed to the published version of the manuscript.
Funding
This work was funded by the Basic Research Business Expenses Research Projects for Provincial Undergraduate Universities in Heilongjiang Province (grant number: 2024-KYYWF-1067, amount: 30,000 RMB).
Institutional Review Board Statement
Not applicable.
Informed Consent Statement
Not applicable.
Data Availability Statement
The data presented in this study are available from the corresponding author upon reasonable request.
Conflicts of Interest
The authors declare no conflicts of interest.
References
- Mashiyi, N.; Shikwambana, L.; Kganyago, M. Spatio-temporal dynamics of methane concentration and its association to climatic and vegetation parameters: A case study of the Northern Cape Province, South Africa. Geocarto Int. 2024, 39, 2306266. [Google Scholar] [CrossRef]
- Seo, S.; Kwon, S.B.; Park, Y. MOF (CuBDC)-Microcantilever IR Spectroscopy for Methane Sensing with high sensitivity and selectivity. Chemosensors 2025, 13, 8. [Google Scholar] [CrossRef]
- Liang, Y.T.; Chen, C.F.; Tian, F.C.; Wang, J.Y. Methane gas detection technology and its application in coal mines. Coal Sci. Technol. 2021, 49, 40–48. [Google Scholar]
- Bansal, P.; Rakhi, T. Recent Advances and Techniques in the Hazardous Gases Detection. Handb. Ecomater 2019, 2, 1293–1310. [Google Scholar]
- Li, J.M.; Jiao, M.Z.; Qian, C. Simulation and performance study of low-power magnetron sputtered ZnO methane sensor. Chin. J. Eng. 2023, 45, 987–994. [Google Scholar]
- Wu, Y.; Yuan, L.; Hua, Z.; Zhen, D.; Qiu, Z. Design and optimization of heating plate for metal oxide semiconductor gas sensor. Microsyst. Technol. 2019, 25, 3511–3519. [Google Scholar] [CrossRef]
- Sun, X.; Zhu, L.; Qin, C.; Cao, J.; Wang, Y. Room-temperature methane sensors based on ZnO with different exposed facets: A combined experimental and first-principle study. Surf. Interfaces 2023, 38, 102823. [Google Scholar] [CrossRef]
- Wang, W.; Mei, S.C.; Xue, Y.F.; Liang, Y.; Pan, Y.; Lei, G. Hydrogen sensor based on acoustic surface wave. Appl. Acoust. 2018, 37, 758–764. [Google Scholar]
- Hage-Ali, S.; Mengue, P.; Paulmier, B.; Maufay, J.; Youbi, U.; Floer, C.; Elmazria, O. SAW-RFID Sensors for Industrial Applications. In Proceedings of the 2023 IEEE 13th International Conference on RFID Technology and Applications, Aveiro, Portugal, 4–6 September 2023; pp. 185–188. [Google Scholar]
- Yang, J.; Zhou, L.; Che, X.; Huang, J.; Li, X.; Chen, W. Photonic crystal fiber methane sensor based on modal interference with an ultraviolet curable fluoro-siloxane nano-film incorporating cryptophane A. Sens. Actuators B Chem. 2016, 235, 717–722. [Google Scholar] [CrossRef]
- Liu, X.; Shen, B.; Jiang, L.; Yang, H.; Jin, C.; Zhou, T. Study on saw methane sensor based on cryptophane-a composite film. Micromachines 2023, 14, 266. [Google Scholar] [CrossRef]
- Yang, J.C. Research on Optical Fiber Methane Sensing Based on Cage Molecular Coordination Effect. Ph.D. Thesis, Chongqing University, Chongqing, China, 2010. [Google Scholar]
- Benounis, M.; Jaffrezic-Renault, N.; Dutasta, J.P.; Cherif, K.; Abdelghani, A. Study of a new evanescent wave optical fibre sensor for methane detection based on cryptophane molecules. Sens. Actuators B Chem. 2005, 107, 32–39. [Google Scholar] [CrossRef]
- Wu, S.; Zhang, Y.; Li, Z.; Shuang, S.; Dong, C.; Choi, M.M. Mode−filtered light methane gas sensor based on cryptophane. Anal. Chim. Acta 2009, 633, 238–243. [Google Scholar] [CrossRef] [PubMed]
- Yang, J.; Xu, L.; Chen, W. An optical fiber methane gas sensing film sensor based on core diameter mismatch. Chin. Opt. Lett. 2010, 8, 482–484. [Google Scholar] [CrossRef]
- Garel, L.; Dutasta, J.P.; Collet, A. Complexation of Methane and Chlorofluorocarbons by Cryptophane–A in Organic Solution. Angew. Chem. Int. Ed. 1993, 32, 1169–1171. [Google Scholar] [CrossRef]
- Yang, J.C.; Xin, C.; Rui, S. High-sensitivity photonic crystal fiber long-period grating methane sensor with cryptophane-A-6Me ab sorbed on a PAA-CNTs/PAH nanofilm. Opt. Express 2017, 25, 20258–20267. [Google Scholar] [CrossRef]
- Khoshaman, A.H.; Li, P.C.; Merbouh, N.; Bahreyni, B. Highly sensitive supra-molecular thin films for gravimetric detection of methane. Sens. Actuators B Chem. 2012, 161, 954–960. [Google Scholar] [CrossRef]
- Sun, P.; Jiang, Y.D.; Xie, G.Z.; Du, X.S.; Hu, J. A room temperature supramolecular-based quartz crystal microbalance (QCM) methane gas sensor. Sens. Actuators B Chem. 2009, 141, 104–108. [Google Scholar] [CrossRef]
- Rehman, A.; Hamilton, A.; Chung, A.; Baker, G.A.; Wang, Z.; Zeng, X. Differential solute gas response in ionic-liquid-based QCM arrays: Elucidating design factors responsible for discriminative explosive gas sensing. Anal. Chem. 2011, 83, 7823–7833. [Google Scholar] [CrossRef]
- Koch, W.; Holthausen, M.C. A Chemist’s Guide to Density Functional Theory; John Wiley & Sons: Hoboken, NJ, USA, 2001. [Google Scholar]
- Nagy, Á. Density functional. Theory and application to atoms and molecules. Phys. Rep. 1998, 298, 1–79. [Google Scholar] [CrossRef]
- Martin, M.G.; Siepmann, J.I. Transferable potentials for phase equilibria. 1. United-atom description of n-alkanes. J. Phys. Chem. B 1998, 102, 2569–2577. [Google Scholar] [CrossRef]
- Liu, W.; Xu, X.; Han, J. Methane emission reduction trend model and key technologies of coal mines under the goal of carbon neutrality. J. China Coal Soc. 2022, 47, 470–479. [Google Scholar]
- Huo, Z.; Xue, W.; Shu, L. Discussion on the outburst mechanism of rock and CO2 in coal mines in China. Coal Sci. Technol. 2021, 49, 155–161. [Google Scholar]
- Zheng, X.; Chu, X.; Liang, H. Cu-MOF attached with pyrene-cored probes as a highly sensitive indicator for carbon monoxide in coal mine gas: Synthesis and performance. Microchem. J. 2024, 199, 109983. [Google Scholar] [CrossRef]
- He, X.; Zhang, X.; Li, F.; Zhang, C. Comprehensive utilization system and technical innovation of coal mine water resources. Coal Sci. Technol. 2018, 46, 4–11. [Google Scholar]
- Ye, W.; Meng, Y.; Zhou, B.; Yu, H.; He, X.; Wu, F.; Zheng, Z.; Zheng, C. Development of a high-precision mid-infrared atmospheric C2H6 sensing system. Acta Opt. Sin. 2018, 38, 328020. [Google Scholar]
- Lu, T.; Liu, Z.; Chen, Q. Comment on “18 and 12–Member carbon rings (cyclo [n] carbons)–A density functional study”. Mater. Sci. Eng. B 2021, 273, 115425. [Google Scholar] [CrossRef]
Disclaimer/Publisher’s Note: The statements, opinions and data contained in all publications are solely those of the individual author(s) and contributor(s) and not of MDPI and/or the editor(s). MDPI and/or the editor(s) disclaim responsibility for any injury to people or property resulting from any ideas, methods, instructions or products referred to in the content. |
© 2025 by the authors. Licensee MDPI, Basel, Switzerland. This article is an open access article distributed under the terms and conditions of the Creative Commons Attribution (CC BY) license (https://creativecommons.org/licenses/by/4.0/).















