Environmental Pollution Monitoring via Capillary Zone Electrophoresis and UHPLC Simultaneous Quantification of Some Antipsychotic Drug Residues in Industrial Wastewater Effluents
Abstract
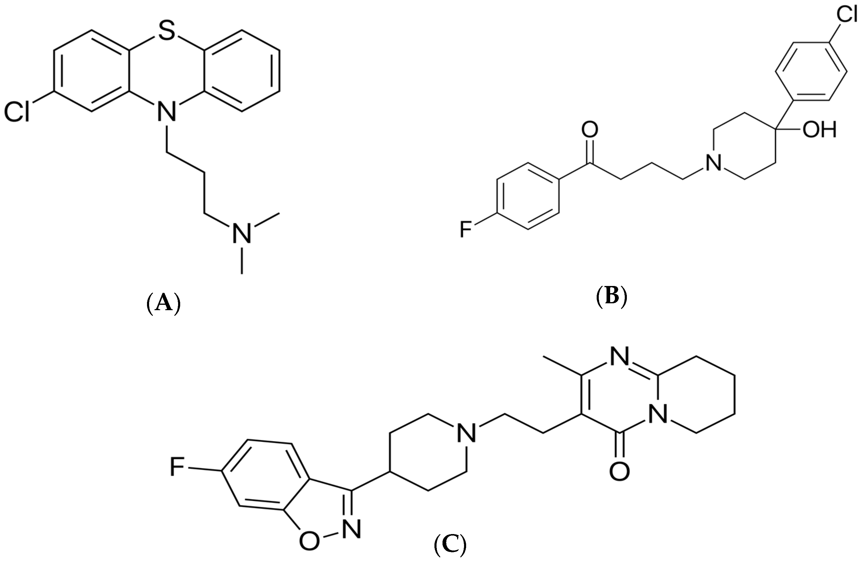
1. Introduction
2. Materials and Methods
2.1. Chemicals, Reagents, and Standard Solutions
2.2. Instrumentation
2.3. Wastewater Sample Collection
2.4. Method Development
2.4.1. CZE Method
2.4.2. UHPLC Method
2.5. Method Validation
2.5.1. Linearity
2.5.2. Accuracy
2.5.3. Precision
2.5.4. LOD and LOQ
2.5.5. Robustness
2.6. Method Applications
3. Results
3.1. Method Development
3.1.1. CZE Method
3.1.2. UHPLC Method
3.2. Method Validation
3.3. Method Application
4. Discussion
5. Conclusions
Supplementary Materials
Author Contributions
Funding
Institutional Review Board Statement
Informed Consent Statement
Data Availability Statement
Conflicts of Interest
References
- Sweetman, S.C. Martindale: The Complete Drug Reference, 36th ed.; The Pharmaceutical Press: London, UK, 2009. [Google Scholar]
- Lemke, T.L.; Williams, D.A. Foye’s Principles of Medicinal Chemistry; Lippincott Williams & Wilkins: Philadelphia, PA, USA, 2008. [Google Scholar]
- Trawiński, J.; Skibiński, R. Studies on photodegradation process of psychotropic drugs: A review. Environ. Sci. Pollut. Res. 2016, 24, 1152–1199. [Google Scholar] [CrossRef]
- Goff, D.C.; Falkai, P.; Fleischhacker, W.W.; Girgis, R.R.; Kahn, R.M.; Uchida, H.; Zhao, J.; Lieberman, J.A. The Long-Term Effects of Antipsychotic Medication on Clinical Course in Schizophrenia. Am. J. Psychiatry 2017, 174, 840–849. [Google Scholar] [CrossRef]
- Daniel, D.; Gutz, I.G.R. Spectroelectrochemical determination of chlorpromazine hydrochloride by flow-injection analysis. J. Pharm. Biomed. Anal. 2005, 37, 281–286. [Google Scholar] [CrossRef]
- Yasir, M. Development and Validation of UV Spectrophotometric Method for the Estimation of Haloperidol. Br. J. Pharm. Res. 2014, 4, 1407–1415. [Google Scholar] [CrossRef]
- Kulkarni, S.; Chhabra, G.; Shivani, M. Development and validation of UV spectrophotometric method for the determination of risperidone in bulk and tablets formulation. Int. J. Pharm. Chem. Res. 2010, 1, 1–5. [Google Scholar]
- Varak Neshin, M.; Sanavi Khoshnood, R.; Sanavi Khoshnoud, D. Surfactant assisted magnetic dispersive micro solid phase extraction-HPLC as a straightforward and green procedure for preconcentrating and determining Caffeine, Lidocaine, and Chlorpromazine in biological and water samples. Int. J. Environ. Anal. 2010, 103, 9661–9678. [Google Scholar] [CrossRef]
- Yamini, Y.; Faraji, M. Extraction and determination of trace amounts of chlorpromazine in biological fluids using magnetic solid phase extraction followed by HPLC. J. Pharm. Anal. 2014, 4, 279–285. [Google Scholar] [CrossRef] [PubMed]
- Ali, I.; Aboul-Enein, H.Y. Fast Determination of Haloperidol in Pharmaceutical Preparations Using HPLC with a Monolithic Silica Column. J. Liq. Chromatogr. Relat. 2005, 28, 3169–3179. [Google Scholar] [CrossRef]
- Jones, T.; Van Breda, K.; Charles, B.; Dean, A.J.; McDermott, B.M.; Norris, R. Determination of risperidone and 9-Hydroxyrisperidone using HPLC, in plasma of children and adolescents with emotional and behavioural disorders. Biomed. Chromatogr. 2009, 23, 929–934. [Google Scholar] [CrossRef]
- Zhang, L.; Wu, P.; Zhang, Y.; Jin, Q.; Yang, D.; Wang, L.; Zhang, J. A GC/MS method for the simultaneous determination and quantification of chlorpromazine and diazepam in pork samples. Anal. Methods 2014, 6, 503–508. [Google Scholar] [CrossRef]
- Zhang, G.; Terry, A.V.; Bartlett, M.G. Sensitive liquid chromatography/tandem mass spectrometry method for the determination of the lipophilic antipsychotic drug chlorpromazine in rat plasma and brain tissue. J. Chromatogr. B 2007, 854, 68–76. [Google Scholar] [CrossRef]
- Hempenius, J.; Steenvoorden, R.J.J.M.; Lagerwerf, F.M.; Wieling, J.; Jonkman, J.H.G. ‘High throughput’ solid-phase extraction technology and turbo ionspray LC-MS-MS applied to the determination of haloperidol in human plasma. J. Pharm. Biomed. Anal. 1999, 20, 889–898. [Google Scholar] [CrossRef]
- Abounassif, M.A.; Hefnawy, M.M.; Hassanien, M.M.; Mostafa, G.A.E. Polyvinyl Chloride Membrane Sensors for Potentiometric Determination of Chlorpromazine in Some Pharmaceutical Formulations. Sens. Lett. 2012, 10, 966–973. [Google Scholar] [CrossRef]
- Frag, E.Y.Z.; Zayed, M.A.; Omar, M.M.; Elashery, S.E.A.; Mohamed, G.G. Potentiometric Determination of Chlorpromazine HCl Using Carbon Paste Electrode in Pure and Pharmaceutical Preparations. Int. J. Electrochem. Sci. 2012, 7, 650–662. [Google Scholar] [CrossRef]
- Purushothama, H.T.; Arthoba Nayaka, Y.; Manjunatha, P.; Yathisha, R.O.; Vinay, M.M.; Basavarajappa, K.V. Electrochemical determination of Chlorpromazine using l-Cysteine modified carbon paste electrode. Chem. Data Collect. 2019, 23, 100268. [Google Scholar] [CrossRef]
- Zhang, G.; Terry, A.V.; Bartlett, M.G. Simultaneous determination of five antipsychotic drugs in rat plasma by high performance liquid chromatography with ultraviolet detection. J. Chromatogr. B 2007, 856, 20–28. [Google Scholar] [CrossRef]
- Mercolini, L.; Grillo, M.; Bartoletti, C.; Boncompagni, G.; Raggi, M.A. Simultaneous analysis of classical neuroleptics, atypical antipsychotics and their metabolites in human plasma. Anal. Bioanal. Chem. 2007, 388, 235–243. [Google Scholar] [CrossRef]
- Reichert, J.F.; Souza, D.M.; Martins, A.F. Antipsychotic drugs in hospital wastewater and a preliminary risk assessment. Ecotoxicol. Environ. Saf. 2019, 170, 559–567. [Google Scholar] [CrossRef]
- Khelfi, A.; Azzouz, M.; Abtroun, R.; Reggabi, M.; Alamir, B. Determination of Chlorpromazine, Haloperidol, Levomepromazine, Olanzapine, Risperidone, and Sulpiride in Human Plasma by Liquid Chromatography/Tandem Mass Spectrometry (LC-MS/MS). Int. J. Anal. Chem. 2018, 2018, 5807218. [Google Scholar] [CrossRef]
- Miroshnichenko, I.I.; Baymeeva, N.V. Simultaneous Determination of Antipsychotic Drugs and Their Active Metabolites by LC–MS-MS and its Application to Therapeutic Drug Monitoring. J. Chromatogr. Sci. 2018, 56, 510–517. [Google Scholar] [CrossRef]
- Pucci, V.; Raggi, M.A.; Kenndler, E. Quality Control of Pharmaceutical Formulations of Neuroleptic Drugs by Capillary Zone Electrophoresis. J. Liq. Chromatogr. Relat. 2000, 23, 25–34. [Google Scholar] [CrossRef]
- Gao, Z.T.; Zhong, W.W. Recent (2018–2020) development in capillary electrophoresis. Anal. Bioanal. Chem. 2022, 414, 115–130. [Google Scholar] [CrossRef] [PubMed]
- Wang, M.Y.; Gong, Q.; Liu, W.F.; Tan, S.W.; Xiao, J.; Chen, C.P. Applications of capillary electrophoresis in the fields of environmental, pharmaceutical, clinical, and food analysis (2019–2021). J. Sep. Sci. 2022, 45, 1918–1941. [Google Scholar] [CrossRef] [PubMed]
- D’Atri, V.; Fekete, S.; Clarke, A.; Veuthey, J.L.; Guillarme, D. Recent Advances in Chromatography for Pharmaceutical Analysis. Anal. Chem. 2019, 91, 210–239. [Google Scholar] [CrossRef] [PubMed]
- Fekete, S.; Schappler, J.; Veuthey, J.L.; Guillarme, D. Current and future trends in UHPLC. Trends Anal. Chem. 2014, 63, 2–13. [Google Scholar] [CrossRef]
- Logarinho, F.; Rosado, T.; Lourenço, C.; Barroso, M.; Araujo, A.R.; Gallardo, E. Determination of antipsychotic drugs in hospital and wastewater treatment plant samples by gas chromatography/tandem mass spectrometry. J. Chromatogr. B Analyt. Technol. Biomed. Life Sci. 2016, 1038, 127–135. [Google Scholar] [CrossRef]
- Massano, M.; Salomone, A.; Gerace, E.; Alladio, E.; Vincenti, M.; Minella, M. Wastewater surveillance of 105 pharmaceutical drugs and metabolites by means of ultra-high-performance liquid-chromatography-tandem high resolution mass spectrometry. J. Chromatogr. A 2023, 1693, 463896. [Google Scholar] [CrossRef]
- Teasdale, A.; Elder, D.; Nims, R.W. International Conference on Harmonisation of Technical Requirements for Registration of Pharmaceuticals for Human Use. In ICH Harmonized Tripartite Guideline, Validation of Analytical Procedures: Text and Methodology Q2 (B); PharmaLogica, Inc.: Charlotte, NC, USA, 2005. [Google Scholar]
- Convention USP. The United States Pharmacopeia; U.S. Pharmacopeia: Rockville, MD, USA, 2013. [Google Scholar]







| CZE Method | UHPLC Method | |||||
|---|---|---|---|---|---|---|
| RIS | CPZ | HAL | HAL | RIS | CPZ | |
| Resolution factor (Rs) | - | RRIS/CPZ = 4.60 | RRIS/HAL = 9.33 | - | RHAL/RIS = 7.00 | RRIS/CPZ = 14.20 |
| Number of theoretical plates (N) # | 323 | 408 | 349 | 201 | 861 | 849 |
| Accuracy (Mean * ± SD) | 99.85 ± 0.65 | 101.44 ± 0.79 | 102.14 ± 0.89 | 101.77 ± 0.91 | 102.01 ± 0.97 | 99.37 ± 0.66 |
| Precision: Intra-day Inter-day | 100.21 ± 0.76 102.43 ± 0.76 | 101.55 ± 1.16 98.79 ± 1,12 | 101.44 ± 0.56 102.43 ± 1.12 | 99.46 ± 0.92 101.73 ± 0.93 | 101.33 ± 0.84 99.83 ± 0.56 | 98.98 ± 0.85 101.69 ± 0.80 |
| Robustness: BGE pH variation Elution liquid composition | 98.99 ± 0.94 - | 101.22 ± 0.95 - | 100.13 ± 0.45 - | - 101.76 ± 0.60 | - 102.93 ± 0.96 | - 101.72 ± 0.55 |
| Linearity | ||||||
| Concentration range (µg/mL) | 0.5–50 | 0.5–50 | 0.5–50 | 0.5–50 | 0.5–50 | 0.5–50 |
| Slope | 0.1793 | 0.1199 | 0.0801 | 1380.10 | 1790.20 | 1590.10 |
| Intercept | −0.0148 | −0.0128 | −0.0091 | 68.47 | −47.68 | −115.44 |
| Correlation coefficient (r) | 0.9998 | 0.9997 | 0.9998 | 0.9999 | 0.9999 | 0.9999 |
| LOQ | 0.5 | 0.5 | 0.5 | 0.5 | 0.5 | 0.5 |
| LOD | 0.17 | 0.17 | 0.17 | 0.17 | 0.17 | 0.17 |
| Sample | RIS (Rec.% * ± S.D.) | CPZ (Rec.% * ± S.D.) | HAL (Rec.% * ± S.D.) |
|---|---|---|---|
| Sample 1 | 101.44 ± 1.01 | 99.96 ± 0. | 100.54 ± 0.88 |
| Sample 2 | 100.89 ± 0.67 | 101.11 ± 0.69 | 102.09 ± 0.60 |
| Sample 3 | 99.54 ± 0.65 | 101.34 ± 0.79 | 101.90 ± 0.76 |
| Sample | RIS (Rec.% * ± S.D.) | CPZ (Rec.% * ± S.D.) | HAL (Rec.% * ± S.D.) |
|---|---|---|---|
| Sample 1 | 100.76 ± 1.02 | 101.54 ± 0.89 | 99.56 ± 0.57 |
| Sample 2 | 102.11 ± 0.99 | 100.23 ± 0.78 | 101.25 ± 0.96 |
| Sample 3 | 99.78 ± 0.93 | 102.11 ± 0.76 | 102.03 ± 1.08 |
Disclaimer/Publisher’s Note: The statements, opinions and data contained in all publications are solely those of the individual author(s) and contributor(s) and not of MDPI and/or the editor(s). MDPI and/or the editor(s) disclaim responsibility for any injury to people or property resulting from any ideas, methods, instructions or products referred to in the content. |
© 2024 by the authors. Licensee MDPI, Basel, Switzerland. This article is an open access article distributed under the terms and conditions of the Creative Commons Attribution (CC BY) license (https://creativecommons.org/licenses/by/4.0/).
Share and Cite
Alabbas, A.B.; Slimani, R.; El Ouahabi, I.; Zarrouk, A.; Lazar, S.; Azzallou, R.; Shalaby, N.F.; Abdel-Gawad, S.A. Environmental Pollution Monitoring via Capillary Zone Electrophoresis and UHPLC Simultaneous Quantification of Some Antipsychotic Drug Residues in Industrial Wastewater Effluents. Chemosensors 2024, 12, 123. https://doi.org/10.3390/chemosensors12070123
Alabbas AB, Slimani R, El Ouahabi I, Zarrouk A, Lazar S, Azzallou R, Shalaby NF, Abdel-Gawad SA. Environmental Pollution Monitoring via Capillary Zone Electrophoresis and UHPLC Simultaneous Quantification of Some Antipsychotic Drug Residues in Industrial Wastewater Effluents. Chemosensors. 2024; 12(7):123. https://doi.org/10.3390/chemosensors12070123
Chicago/Turabian StyleAlabbas, Alhumaidi B., Rachid Slimani, Imane El Ouahabi, Abdelkader Zarrouk, Said Lazar, Rachid Azzallou, Noha F. Shalaby, and Sherif A. Abdel-Gawad. 2024. "Environmental Pollution Monitoring via Capillary Zone Electrophoresis and UHPLC Simultaneous Quantification of Some Antipsychotic Drug Residues in Industrial Wastewater Effluents" Chemosensors 12, no. 7: 123. https://doi.org/10.3390/chemosensors12070123
APA StyleAlabbas, A. B., Slimani, R., El Ouahabi, I., Zarrouk, A., Lazar, S., Azzallou, R., Shalaby, N. F., & Abdel-Gawad, S. A. (2024). Environmental Pollution Monitoring via Capillary Zone Electrophoresis and UHPLC Simultaneous Quantification of Some Antipsychotic Drug Residues in Industrial Wastewater Effluents. Chemosensors, 12(7), 123. https://doi.org/10.3390/chemosensors12070123

