A Novel-Structure LC Resonant Passive Wireless Sensor for NO2 Sensing
Abstract
1. Introduction
2. Experimental
2.1. Design and Optimization of Antennas
2.2. Synthesis and Characterization of ZnO NWs
2.3. LC Sensor Fabrication and Gas Sensing Measurement
3. Results and Discussion
3.1. Simulation Result
3.2. Novel Structure of the LC Sensor
3.3. Characterizations of ZnO NWs
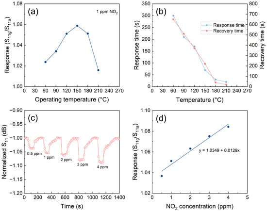
3.4. NO2 Sensing Properties of the LC Sensor
3.5. Gas Sensing Mechanism of the LC Sensor
4. Conclusions
Author Contributions
Funding
Institutional Review Board Statement
Informed Consent Statement
Data Availability Statement
Acknowledgments
Conflicts of Interest
References
- Samerjai, T.; Tamaekong, N.; Liewhiran, C.; Wisitsoraat, A.; Phanichphant, S. NO2 gas sensing of flame-made Pt-loaded WO3 thick films. J. Solid State Chem. 2014, 214, 47–52. [Google Scholar] [CrossRef]
- Zhao, S.; Shen, Y.; Maboudian, R.; Carraro, C.; Han, C.; Liu, W.; Wei, D. Facile synthesis of ZnO-SnO2 hetero-structured nanowires for high-performance NO2 sensing application. Sens. Actuators B Chem. 2021, 333, 129613. [Google Scholar] [CrossRef]
- Liu, W.; Xu, L.; Sheng, K.; Chen, C.; Zhou, X.; Dong, B.; Bai, X.; Zhang, S.; Lu, G.; Song, H. APTES-functionalized thin-walled porous WO3 nanotubes for highly selective sensing of NO2 in a polluted environment. J. Mater. Chem. A 2018, 6, 10976–10989. [Google Scholar] [CrossRef]
- Qin, Y.; Wang, F.; Shen, W.; Hu, M. Mesoporous three-dimensional network of crystalline WO3 nanowires for gas sensing application. J. Alloy. Compd. 2012, 540, 21–26. [Google Scholar] [CrossRef]
- Shen, Y.; Bi, H.; Li, T.; Zhong, X.; Chen, X.; Fan, A.; Wei, D. Low-temperature and highly enhanced NO2 sensing performance of Au-functionalized WO3 microspheres with a hierarchical nanostructure. Appl. Surf. Sci. 2018, 434, 922–931. [Google Scholar] [CrossRef]
- Ghosh, A.; Zhang, C.; Shi, S.; Zhang, H. High temperature CO2 sensing and its cross-sensitivity towards H2 and CO gas using calcium doped ZnO thin film coated langasite SAW sensor. Sens. Actuators B Chem. 2019, 301, 126958. [Google Scholar] [CrossRef]
- Luo, J.; Feng, X.; Kan, H.; Li, H.; Fu, C. One-Dimensional Bi2S3 Nanobelts-Based Surface Acoustic Wave Sensor for NO2 Detection at Room Temperature. IEEE Sens. J. 2021, 21, 1404–1408. [Google Scholar] [CrossRef]
- Wen, C.B.; Ju, Y.F.; Li, W.L.; Sun, W.Z.; Xu, X.; Shao, Y.; Li, Y.M.; Wen, L.M. Carbon Dioxide Gas Sensor Using SAW Device Based on ZnO Film. Appl. Mech. Mater. 2011, 135–136, 347–352. [Google Scholar] [CrossRef]
- Kamada, T.; Ueda, T.; Fukuura, S.; Yumura, T.; Hosokawa, S.; Tanaka, T.; Kan, D.; Shimakawa, Y. Ultralong Distance Hydrogen Spillover Enabled by Valence Changes in a Metal Oxide Surface. J. Am. Chem. Soc. 2023, 145, 1631–1637. [Google Scholar] [CrossRef] [PubMed]
- Zhang, C.; Wang, L.-F.; Huang, J.-Q.; Huang, Q.-A. An LC-Type Passive Wireless Humidity Sensor System With Portable Telemetry Unit. J. Microelectromechanical Syst. 2015, 24, 575–581. [Google Scholar] [CrossRef]
- Jang, C.; Park, J.K.; Yun, G.H.; Choi, H.H.; Lee, H.J.; Yook, J.G. Radio-Frequency/Microwave Gas Sensors Using Conducting Polymer. Materials 2020, 13, 2859. [Google Scholar] [CrossRef] [PubMed]
- Wang, N.; Zhang, N.; Wang, T.; Liu, F.; Wang, X.; Yan, X.; Wang, C.; Liu, X.; Sun, P.; Lu, G. Microwave gas sensor for detection of ammonia at room-temperature. Sens. Actuators B Chem. 2022, 350, 130854. [Google Scholar] [CrossRef]
- Tan, Q.; Luo, T.; Wei, T.; Liu, J.; Lin, L.; Xiong, J. A Wireless Passive Pressure and Temperature Sensor via a Dual LC Resonant Circuit in Harsh Environments. J. Microelectromechanical Syst. 2017, 26, 351–356. [Google Scholar] [CrossRef]
- Huang, Q.-A.; Dong, L.; Wang, L.-F. LC Passive Wireless Sensors Toward a Wireless Sensing Platform: Status, Prospects, and Challenges. J. Microelectromechanical Syst. 2016, 25, 822–841. [Google Scholar] [CrossRef]
- Potyrailo, R.A.; Surman, C.; Nagraj, N.; Burns, A. Materials and Transducers Toward Selective Wireless Gas Sensing. Chem. Rev. 2011, 111, 7315–7354. [Google Scholar] [CrossRef]
- Azzarelli, J.M.; Mirica, K.A.; Ravnsbaek, J.B.; Swager, T.M. Wireless gas detection with a smartphone via rf communication. Proc. Natl. Acad. Sci. USA 2014, 111, 18162–18166. [Google Scholar] [CrossRef]
- Ma, M.; Khan, H.; Shan, W.; Wang, Y.; Ou, J.Z.; Liu, Z.; Kalantar-zadeh, K.; Li, Y. A novel wireless gas sensor based on LTCC technology. Sens. Actuators B Chem. 2017, 239, 711–717. [Google Scholar] [CrossRef]
- Ma, Z.; Chen, P.; Cheng, W.; Yan, K.; Pan, L.; Shi, Y.; Yu, G. Highly Sensitive, Printable Nanostructured Conductive Polymer Wireless Sensor for Food Spoilage Detection. Nano Lett. 2018, 18, 4570–4575. [Google Scholar] [CrossRef] [PubMed]
- Tang, N.; Zhou, C.; Xu, L.; Jiang, Y.; Qu, H.; Duan, X. A Fully Integrated Wireless Flexible Ammonia Sensor Fabricated by Soft Nano-Lithography. ACS Sens. 2019, 4, 726–732. [Google Scholar] [CrossRef]
- Zhang, L.; Yang, H.; Tan, Q.; Jing, L.; Zhang, W.; Xiong, J.; Chen, P.-Y. Wireless Detection of Biogenic Amines Using a Split-Ring Resonator with Silver Nanoparticles-Decorated Molybdenum Disulfide. Sens. Actuators B Chem. 2021, 343, 130155. [Google Scholar] [CrossRef]
- Li, W.; Liang, T.; Liu, W.; Jia, P.; Chen, Y.; Xiong, J.; Lei, C.; Hong, Y.; Li, Y. Wireless passive pressure sensor based on sapphire direct bonding for harsh environments. Sens. Actuators A-Phys. 2018, 280, 406–412. [Google Scholar] [CrossRef]
- Kim, S.-Y.; Kim, J.; Cheong, W.H.; Lee, I.J.; Lee, H.; Im, H.-G.; Kong, H.; Bae, B.-S.; Park, J.-U. Alcohol gas sensors capable of wireless detection using In2O3/Pt nanoparticles and Ag nanowires. Sens. Actuators B Chem. 2018, 259, 825–832. [Google Scholar] [CrossRef]
- Zhang, D.; Yang, Z.; Li, P.; Pang, M.; Xue, Q. Flexible self-powered high-performance ammonia sensor based on Au-decorated MoSe2 nanoflowers driven by single layer MoS2-flake piezoelectric nanogenerator. Nano Energy 2019, 65, 103974. [Google Scholar] [CrossRef]
- Zhao, S.; Shen, Y.; Zhou, P.; Hao, F.; Xu, X.; Gao, S.; Wei, D.; Ao, Y.; Shen, Y. Enhanced NO2 sensing performance of ZnO nanowires functionalized with ultra-fine In2O3 nanoparticles. Sens. Actuators B Chem. 2020, 308, 127729. [Google Scholar] [CrossRef]
- Zhao, S.; Shen, Y.; Yan, X.; Zhou, P.; Yin, Y.; Lu, R.; Han, C.; Cui, B.; Wei, D. Complex-surfactant-assisted hydrothermal synthesis of one-dimensional ZnO nanorods for high-performance ethanol gas sensor. Sens. Actuators B Chem. 2019, 286, 501–511. [Google Scholar] [CrossRef]
- Fiddes, L.K.; Yan, N. RFID tags for wireless electrochemical detection of volatile chemicals. Sens. Actuators B Chem. 2013, 186, 817–823. [Google Scholar] [CrossRef]
- Hasan, N.; Noordin, N.H.; Karim, M.S.A.; Rejab, M.R.M.; Ma, Q.J. Dielectric properties of epoxy–barium titanate composite for 5 GHz microstrip antenna design. SN Appl. Sci. 2019, 2, 62. [Google Scholar] [CrossRef]
- Mao, S.; Cui, S.; Lu, G.; Yu, K.; Wen, Z.; Chen, J. Tuning gas-sensing properties of reduced graphene oxide using tin oxide nanocrystals. J. Mater. Chem. 2012, 22, 11009–11013. [Google Scholar] [CrossRef]
- Wilson, W.C.; Atkinson, G.M. Passive Wireless Sensor Applications for NASA’s Extreme Aeronautical Environments. IEEE Sens. J. 2014, 14, 3745–3753. [Google Scholar] [CrossRef]
- Zhang, L.; Tan, Q.; Kou, H.; Wu, D.; Zhang, W.; Xiong, J. Highly Sensitive NH3 Wireless Sensor Based on Ag-RGO Composite Operated at Room-temperature. Sci. Rep. 2019, 9, 9942. [Google Scholar] [CrossRef]
- Klingshirn, C. ZnO: Material, physics and applications. Chemphyschem 2007, 8, 782–803. [Google Scholar] [CrossRef]
- Liu, B.; Zeng, H.C. Hydrothermal synthesis of ZnO nanorods in the diameter regime of 50 nm. J. Am. Chem. Soc. 2003, 125, 4430. [Google Scholar] [CrossRef]
- Shimpi, N.G.; Jain, S.; Karmakar, N.; Shah, A.; Kothari, D.C.; Mishra, S. Synthesis of ZnO nanopencils using wet chemical method and its investigation as LPG sensor. Appl. Surf. Sci. 2016, 390, 17–24. [Google Scholar] [CrossRef]
- Choi, K.-I.; Hwang, S.-J.; Dai, Z.; Chan Kang, Y.; Lee, J.-H. Rh-catalyzed WO3 with anomalous humidity dependence of gas sensing characteristics. RSC Adv. 2014, 4, 53130–53136. [Google Scholar] [CrossRef]
- Li, W.; Ma, S.; Li, Y.; Yang, G.; Mao, Y.; Luo, J.; Gengzang, D.; Xu, X.; Yan, S. Enhanced ethanol sensing performance of hollow ZnO–SnO2 core–shell nanofibers. Sens. Actuators B Chem. 2015, 211, 392–402. [Google Scholar] [CrossRef]
- Zhao, S.K.; Shen, Y.B.; Zhou, P.F.; Zhong, X.X.; Han, C.; Zhao, Q.; Wei, D.Z. Design of Au@WO3 core-shell structured nanospheres for ppb-level NO2 sensing. Sens. Actuators B-Chem. 2019, 282, 917–926. [Google Scholar] [CrossRef]
- Barreca, D.; Bekermann, D.; Comini, E.; Devi, A.; Fischer, R.A.; Gasparotto, A.; Maccato, C.; Sberveglieri, G.; Tondello, E. 1D ZnO nano-assemblies by Plasma-CVD as chemical sensors for flammable and toxic gases. Sens. Actuators B Chem. 2010, 149, 1–7. [Google Scholar] [CrossRef]
- Chang, S.C. Oxygen chemisorption on tin oxide: Correlation between electrical conductivity and EPR measurements. J. Vac. Sci. Technol. 1980, 17, 366–369. [Google Scholar] [CrossRef]
- Mizokawa, Y.; Nakamura, S. ESR study of adsorbed oxygen on tin dioxide. Oyo Buturi 1977, 46, 580–584. [Google Scholar]
- Belysheva, T.V.; Bogovtseva, L.P.; Kazachkov, E.A.; Serebryakova, N.V. Gas-Sensing Properties of Doped In2O3 Films as Sensors for NO2 in Air. J. Anal. Chem. 2003, 58, 583–587. [Google Scholar] [CrossRef]
- Ferro, R.; Rodríguez, J.A.; Bertrand, P. Peculiarities of nitrogen dioxide detection with sprayed undoped and indium-doped zinc oxide thin films. Thin Solid Film. 2008, 516, 2225–2230. [Google Scholar] [CrossRef]
















| lc | dc | ds | Ni | do | di | Nc |
|---|---|---|---|---|---|---|
| 10.5 mm | 1.5 mm | 0.5 mm | 4.75 | 20.5 mm | 12.5 mm | 5 |
Disclaimer/Publisher’s Note: The statements, opinions and data contained in all publications are solely those of the individual author(s) and contributor(s) and not of MDPI and/or the editor(s). MDPI and/or the editor(s) disclaim responsibility for any injury to people or property resulting from any ideas, methods, instructions or products referred to in the content. |
© 2023 by the authors. Licensee MDPI, Basel, Switzerland. This article is an open access article distributed under the terms and conditions of the Creative Commons Attribution (CC BY) license (https://creativecommons.org/licenses/by/4.0/).
Share and Cite
Liu, Z.; Shen, Y.; Zhao, S.; Bai, J.; Ma, R.; Gao, S.; Liu, W.; Zhao, Q. A Novel-Structure LC Resonant Passive Wireless Sensor for NO2 Sensing. Chemosensors 2023, 11, 359. https://doi.org/10.3390/chemosensors11070359
Liu Z, Shen Y, Zhao S, Bai J, Ma R, Gao S, Liu W, Zhao Q. A Novel-Structure LC Resonant Passive Wireless Sensor for NO2 Sensing. Chemosensors. 2023; 11(7):359. https://doi.org/10.3390/chemosensors11070359
Chicago/Turabian StyleLiu, Zhiyang, Yanbai Shen, Sikai Zhao, Jinzhou Bai, Ruixue Ma, Shuling Gao, Wengang Liu, and Qiang Zhao. 2023. "A Novel-Structure LC Resonant Passive Wireless Sensor for NO2 Sensing" Chemosensors 11, no. 7: 359. https://doi.org/10.3390/chemosensors11070359
APA StyleLiu, Z., Shen, Y., Zhao, S., Bai, J., Ma, R., Gao, S., Liu, W., & Zhao, Q. (2023). A Novel-Structure LC Resonant Passive Wireless Sensor for NO2 Sensing. Chemosensors, 11(7), 359. https://doi.org/10.3390/chemosensors11070359

