Simultaneous Detection and Quantification of Aflatoxin M1, Eight Microcystin Congeners and Nodularin in Dairy Milk by LC-MS/MS
Abstract
:1. Introduction
2. Materials and Methods
2.1. Reagents and Chemicals
2.2. Sample Preparation and SPE Clean-Up Phase
2.3. Matrix-Matched Calibration Curve
2.4. Operation of LC-MS/MS Instrument
2.5. Method Validation Procedure
3. Results
3.1. Optimisation of the LC-MS/MS Parameters
3.2. Optimisation of Sample Preparation
3.3. Method Validation
3.3.1. Specificity
3.3.2. Linearity
3.3.3. LOD and LOQ
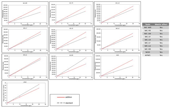
3.3.4. Matrix Effect
3.3.5. Apparent Recoveries
3.3.6. Reproducibility, Repeatability, and Uncertainty Measurement
4. Discussion
5. Conclusions
Author Contributions
Funding
Institutional Review Board Statement
Informed Consent Statement
Data Availability Statement
Acknowledgments
Conflicts of Interest
References
- Iqbal, S.Z.; Jinap, S.; Pirouz, A.A.; Ahmad Faizal, A.R. Aflatoxin M1 in Milk and Dairy Products, Occurrence and Recent Challenges: A Review. Trends Food Sci. Technol. 2015, 46, 110–119. [Google Scholar] [CrossRef]
- Marroquín-Cardona, A.G.; Johnson, N.M.; Phillips, T.D.; Hayes, A.W. Mycotoxins in a Changing Global Environment–A Review. Food Chem. Toxicol. 2014, 69, 220–230. [Google Scholar] [CrossRef]
- Food Balance Sheet. Available online: https://www.fao.org/faostat/en/#data/FBS%20 (accessed on 12 July 2023).
- Per Capita Consumption of Luid Milk Worldwide in 2022. Available online: https://www.statista.com/statistics/535806/consumption-of-fluid-milk-per-capita-worldwide-country/ (accessed on 12 July 2023).
- Creppy, E.E. Update of Survey, Regulation and Toxic Effects of Mycotoxins in Europe. Toxicol. Lett. 2002, 127, 19–28. [Google Scholar] [CrossRef] [PubMed]
- Stack, J.; Carlson, M. NF571 Aspergillus Flavus and Aflatoxins in Corn, Plant Diseases, C-18, Field Crops. Linc. Hist. Mater. Univ. Neb. 2003, 43, C-18. [Google Scholar]
- Ketney, O.; Santini, A.; Oancea, S. Recent Aflatoxin Survey Data in Milk and Milk Products: A Review. Int. J. Dairy Technol. 2017, 70, 320–331. [Google Scholar] [CrossRef]
- Some Traditional Herbal Medicines, Some Mycotoxins, Naphthalene and Styrene; International Agency for Research on Cancer; IARC Press: Lyon, France; World Health Organization: Geneva, Switzerland, 2002; ISBN 978-92-832-1589-9.
- Van Egmond, H.P. Aflatoxin M1: Occurence, Toxicity, Regulation. In Mycotoxins in Dairy Products; Elsevier Applied Science: London, UK, 1989; pp. 11–55. [Google Scholar]
- Duarte, S.C.; Almeida, A.M.; Teixeira, A.S.; Pereira, A.L.; Falcão, A.C.; Pena, A.; Lino, C.M. Aflatoxin M1 in Marketed Milk in Portugal: Assessment of Human and Animal Exposure. Food Control 2013, 30, 411–417. [Google Scholar] [CrossRef]
- Williams, J.H.; Phillips, T.D.; Jolly, P.E.; Stiles, J.K.; Jolly, C.M.; Aggarwal, D. Human Aflatoxicosis in Developing Countries: A Review of Toxicology, Exposure, Potential Health Consequences, and Interventions. Am. J. Clin. Nutr. 2004, 80, 1106–1122. [Google Scholar] [CrossRef]
- European Commission. Commission Regulation 1881/2006 of 19 December 2006 Setting Maximum Levels for Certain Contaminants in Foodstuffs; European Commission: Brussels, Belgium, 2006. [Google Scholar]
- Svirčev, Z.; Lalić, D.; Bojadžija Savić, G.; Tokodi, N.; Drobac Backović, D.; Chen, L.; Meriluoto, J.; Codd, G.A. Global Geographical and Historical Overview of Cyanotoxin Distribution and Cyanobacterial Poisonings. Arch. Toxicol. 2019, 93, 2429–2481. [Google Scholar] [CrossRef]
- Bouaïcha, N.; Miles, C.; Beach, D.; Labidi, Z.; Djabri, A.; Benayache, N.; Nguyen-Quang, T. Structural Diversity, Characterization and Toxicology of Microcystins. Toxins 2019, 11, 714. [Google Scholar] [CrossRef]
- Chen, Y.-M.; Lee, T.-H.; Lee, S.-J.; Huang, H.-B.; Huang, R.; Chou, H.-N. Comparison of Protein Phosphatase Inhibition Activities and Mouse Toxicities of Microcystins. Toxicon 2006, 47, 742–746. [Google Scholar] [CrossRef]
- Niedermeyer, T.H.J.; Daily, A.; Swiatecka-Hagenbruch, M.; Moscow, J.A. Selectivity and Potency of Microcystin Congeners against OATP1B1 and OATP1B3 Expressing Cancer Cells. PLoS ONE 2014, 9, e91476. [Google Scholar] [CrossRef] [PubMed]
- Chorus, I.; Bartram, J. (Eds.) Toxic Cyanobacteria in Water: A Guide to Their Public Health Consequences, Monitoring, and Management; E & FN Spon: London, UK; New York, NY, USA, 1999; ISBN 978-0-419-23930-7. [Google Scholar]
- Codd, G.A.; Testai, E.; Funari, E.; Svirčev, Z. Cyanobacteria, Cyanotoxins, and Human Health. In Water Treatment for Purification from Cyanobacteria and Cyanotoxins; Hiskia, A.E., Triantis, T.M., Antoniou, M.G., Kaloudis, T., Dionysiou, D.D., Eds.; Wiley: Hoboken, NJ, USA, 2020; pp. 37–68. ISBN 978-1-118-92861-5. [Google Scholar]
- Wang, C.C.; Petty, E.E.; Smith, C.M. Rapid and Efficient Analysis of Microcystins, Nodularin, Cylindrospermopsin, and Anatoxin-a in Drinking Water by LC Tandem MS. J. AOAC Int. 2016, 99, 1565–1571. [Google Scholar] [CrossRef] [PubMed]
- Runnegar, M.T.C.; Gerdes, R.G.; Falconer, I.R. The uptake of the cyanobacterial hepatotoxin microcystin by isolated rat hepatocytes. Toxicon 1991, 29, 43–51. [Google Scholar] [CrossRef] [PubMed]
- Directive (UE) 2020/2184 du Parlement Européen et du Conseil du 16 Décembre 2020 Relative à la Qualité des eaux Destinées à la Consommation Humaine. J. Off. L’Union Eur. 2020, 435, 1–62.
- Van Hassel, W.H.R.; Huybrechts, B.; Masquelier, J.; Wilmotte, A.; Andjelkovic, M. Development, Validation and Application of a Targeted LC-MS Method for Quantification of Microcystins and Nodularin: Towards a Better Characterization of Drinking Water. Water 2022, 14, 1195. [Google Scholar] [CrossRef]
- Testai, E.; Buratti, F.M.; Funari, E.; Manganelli, M.; Vichi, S.; Arnich, N.; Biré, R.; Fessard, V.; Sialehaamoa, A. Review and Analysis of Occurrence, Exposure and Toxicity of Cyanobacteria Toxins in Food. EFSA Support. Publ. 2016, 13, 998E. [Google Scholar] [CrossRef]
- Gu, S.; Jiang, M.; Zhang, B. Microcystin-LR in Primary Liver Cancers: An Overview. Toxins 2022, 14, 715. [Google Scholar] [CrossRef]
- Pan, C.; Zhang, L.; Meng, X.; Qin, H.; Xiang, Z.; Gong, W.; Luo, W.; Li, D.; Han, X. Chronic Exposure to Microcystin-LR Increases the Risk of Prostate Cancer and Induces Malignant Transformation of Human Prostate Epithelial Cells. Chemosphere 2021, 263, 128295. [Google Scholar] [CrossRef]
- IARC Monographs on the Evaluation of Risk to Humans. Agents Classified by the IARC Monographs; IARC: Lyon, France, 2012; pp. 1–134. [Google Scholar]
- Manubolu, M.; Lee, J.; Riedl, K.M.; Kua, Z.X.; Collart, L.P.; Ludsin, S.A. Optimization of Extraction Methods for Quantification of Microcystin-LR and Microcystin-RR in Fish, Vegetable, and Soil Matrices Using UPLC–MS/MS. Harmful Algae 2018, 76, 47–57. [Google Scholar] [CrossRef]
- Altaner, S.; Puddick, J.; Fessard, V.; Feurstein, D.; Zemskov, I.; Wittmann, V.; Dietrich, D.R. Simultaneous Detection of 14 Microcystin Congeners from Tissue Samples Using UPLC- ESI-MS/MS and Two Different Deuterated Synthetic Microcystins as Internal Standards. Toxins 2019, 11, 388. [Google Scholar] [CrossRef]
- Lattanzio, V.M.T.; Ciasca, B.; Powers, S.; Visconti, A. Improved Method for the Simultaneous Determination of Aflatoxins, Ochratoxin A and Fusarium Toxins in Cereals and Derived Products by Liquid Chromatography–Tandem Mass Spectrometry after Multi-Toxin Immunoaffinity Clean Up. J. Chromatogr. A 2014, 1354, 139–143. [Google Scholar] [CrossRef] [PubMed]
- Panara, A.; Katsa, M.; Kostakis, M.; Bizani, E.; Thomaidis, N.S. Monitoring of Aflatoxin M1 in Various Origins Greek Milk Samples Using Liquid Chromatography Tandem Mass Spectrometry. Separations 2022, 9, 58. [Google Scholar] [CrossRef]
- Patel, V.; Vincent, V. Quantification of Aflatoxin M1 in Milk Using the SCIEX QTRAP® 4500 LC-MS/MS System. DH Tech. Dev. Pte. Ltd.: Framingham, MA, USA, 2020. [Google Scholar]
- Van Hassel, W.H.R.; Ahn, A.-C.; Huybrechts, B.; Masquelier, J.; Wilmotte, A.; Andjelkovic, M. LC-MS/MS Validation and Quantification of Cyanotoxins in Algal Food Supplements from the Belgium Market and Their Molecular Origins. Toxins 2022, 14, 513. [Google Scholar] [CrossRef] [PubMed]
- Li, Y.-W.; Zhan, X.-J.; Xiang, L.; Deng, Z.-S.; Huang, B.-H.; Wen, H.-F.; Sun, T.-F.; Cai, Q.-Y.; Li, H.; Mo, C.-H. Analysis of Trace Microcystins in Vegetables Using Solid-Phase Extraction Followed by High Performance Liquid Chromatography Triple-Quadrupole Mass Spectrometry. J. Agric. Food Chem. 2014, 62, 11831–11839. [Google Scholar] [CrossRef]
- Cadel-Six, S.; Moyenga, D.; Magny, S.; Trotereau, S.; Edery, M.; Krys, S. Detection of Free and Covalently Bound Microcystins in Different Tissues (Liver, Intestines, Gills, and Muscles) of Rainbow Trout (Oncorhynchus Mykiss) by Liquid Chromatography–Tandem Mass Spectrometry: Method Characterization. Environ. Pollut. 2014, 185, 333–339. [Google Scholar] [CrossRef]
- Škrbić, B.; Antić, I.; Živančev, J. Presence of Aflatoxin M1 in White and Hard Cheese Samples from Serbia. Food Control 2015, 50, 111–117. [Google Scholar] [CrossRef]
- Flores-Flores, M.E.; González-Peñas, E. An LC–MS/MS Method for Multi-Mycotoxin Quantification in Cow Milk. Food Chem. 2017, 218, 378–385. [Google Scholar] [CrossRef]
- Vaz, A.; Cabral Silva, A.C.; Rodrigues, P.; Venâncio, A. Detection Methods for Aflatoxin M1 in Dairy Products. Microorganisms 2020, 8, 246. [Google Scholar] [CrossRef]
- De Girolamo, A.; Lippolis, V.; Pascale, M. Overview of Recent Liquid Chromatography Mass Spectrometry-Based Methods for Natural Toxins Detection in Food Products. Toxins 2022, 14, 328. [Google Scholar] [CrossRef]
- Massey, I.Y.; Wu, P.; Wei, J.; Luo, J.; Ding, P.; Wei, H.; Yang, F. A Mini-Review on Detection Methods of Microcystins. Toxins 2020, 12, 641. [Google Scholar] [CrossRef]
- Bouteiller, P.; Lance, E.; Guérin, T.; Biré, R. Analysis of Total-Forms of Cyanotoxins Microcystins in Biological Matrices: A Methodological Review. Toxins 2022, 14, 550. [Google Scholar] [CrossRef] [PubMed]
- Sundaravadivelu, D.; Sanan, T.T.; Venkatapathy, R.; Mash, H.; Tettenhorst, D.; DAnglada, L.; Frey, S.; Tatters, A.O.; Lazorchak, J. Determination of Cyanotoxins and Prymnesins in Water, Fish Tissue, and Other Matrices: A Review. Toxins 2022, 14, 213. [Google Scholar] [CrossRef] [PubMed]
- Nguyen, T.; Flint, S.; Palmer, J. Control of Aflatoxin M1 in Milk by Novel Methods: A Review. Food Chem. 2020, 311, 125984. [Google Scholar] [CrossRef] [PubMed]
- Haddad, S.P.; Bobbitt, J.M.; Taylor, R.B.; Lovin, L.M.; Conkle, J.L.; Chambliss, C.K.; Brooks, B.W. Determination of Microcystins, Nodularin, Anatoxin-a, Cylindrospermopsin, and Saxitoxin in Water and Fish Tissue Using Isotope Dilution Liquid Chromatography Tandem Mass Spectrometry. J. Chromatogr. A 2019, 1599, 66–74. [Google Scholar] [CrossRef]
- Steiner, D.; Malachová, A.; Sulyok, M.; Krska, R. Challenges and Future Directions in LC-MS-Based Multiclass Method Development for the Quantification of Food Contaminants. Anal. Bioanal. Chem. 2021, 413, 25–34. [Google Scholar] [CrossRef]
- Publications Office of the European Union. Commission Implementing Regulation (EU) 2021/808 of 22 March 2021 on the Performance of Analytical Methods for Residues of Pharmacologically Active Substances Used in Food-Producing Animals and on the Interpretation of Results as Well as on the Methods to Be Used for Sampling and Repealing Decisions 2002/657/EC and 98/179/EC; European Union: Brussels, Belgium, 2009; pp. 4535–4539. [Google Scholar]
- Huang, L.C.; Zheng, N.; Zheng, B.Q.; Wen, F.; Cheng, J.B.; Han, R.W.; Xu, X.M.; Li, S.L.; Wang, J.Q. Simultaneous Determination of Aflatoxin M1, Ochratoxin A, Zearalenone and α-Zearalenol in Milk by UHPLC–MS/MS. Food Chem. 2014, 146, 242–249. [Google Scholar] [CrossRef]
- Turner, A.D.; Waack, J.; Lewis, A.; Edwards, C.; Lawton, L. Development and Single-Laboratory Validation of a UHPLC-MS/MS Method for Quantitation of Microcystins and Nodularin in Natural Water, Cyanobacteria, Shellfish and Algal Supplement Tablet Powders. J. Chromatogr. B 2018, 1074–1075, 111–123. [Google Scholar] [CrossRef]
- Agence nationale de sécurité sanitaire de l’alimentation, de l’environnement et du travail (Anses). Le Guide Nutrition Des Enfants et Ados Pour Tous Les Parents; Inpes: Paris, France, 2015. [Google Scholar]
- Orr, P.T.; Jones, G.J.; Hunter, R.A.; Berger, K.; De Paoli, D.A.; Orr, C.L.A. Ingestion of Toxic Microcystis Aeruginosa by Dairy Cattle and the Implications for Microcystin Contamination of Milk. Toxicon 2001, 39, 1847–1854. [Google Scholar] [CrossRef]
- Feitz, A.J.; Lukondeh, T.; Moffitt, M.C.; Burns, B.P.; Naidoo, D.; Della Vedova, J.; Gooden, J.M.; Neilan, B.A. Absence of Detectable Levels of the Cyanobacterial Toxin (Microcystin-LR) Carry-over into Milk. Toxicon 2002, 40, 1173–1180. [Google Scholar] [CrossRef]
- Kamal, R.M.; Mansour, M.A.; Elalfy, M.M.; Galala, W.R. Quantitative Detection of Aflatoxin M1, Ochratoxin and Zearalenone in Fresh Raw Milk o f Cow, Buffalo, Sheep and Goat by UPLC XEVO-TQ i n Dakahlia Governorate, Egypt. Open Access J. Vet. Sci. Res. 2019, 4, 1–8. [Google Scholar] [CrossRef]
- Bilandžić, N.; Varenina, I.; Solomun, B. Aflatoxin M1 in Raw Milk in Croatia. Food Control 2010, 21, 1279–1281. [Google Scholar] [CrossRef]
- Tsiplakou, E.; Anagnostopoulos, C.; Liapis, K.; Haroutounian, S.A.; Zervas, G. Determination of Mycotoxins in Feedstuffs and Ruminant׳s Milk Using an Easy and Simple LC–MS/MS Multiresidue Method. Talanta 2014, 130, 8–19. [Google Scholar] [CrossRef] [PubMed]
- Aguilera-Luiz, M.M.; Plaza-Bolaños, P.; Romero-González, R.; Martínez Vidal, J.L.; Frenich, A.G. Comparison of the Efficiency of Different Extraction Methods for the Simultaneous Determination of Mycotoxins and Pesticides in Milk Samples by Ultra High-Performance Liquid Chromatography-Tandem Mass Spectrometry. Anal. Bioanal. Chem. 2011, 399, 2863–2875. [Google Scholar] [CrossRef] [PubMed]
- Sorensen, L.; Elbak, T. Determination of Mycotoxins in Bovine Milk by Liquid Chromatography Tandem Mass Spectrometry. J. Chromatogr. B 2005, 820, 183–196. [Google Scholar] [CrossRef] [PubMed]
- Wang, X.; Li, P. Rapid Screening of Mycotoxins in Liquid Milk and Milk Powder by Automated Size-Exclusion SPE-UPLC–MS/MS and Quantification of Matrix Effects over the Whole Chromatographic Run. Food Chem. 2015, 173, 897–904. [Google Scholar] [CrossRef]
- Souza-Silva, É.A.; Jiang, R.; Rodríguez-Lafuente, A.; Gionfriddo, E.; Pawliszyn, J. A Critical Review of the State of the Art of Solid-Phase Microextraction of Complex Matrices I. Environmental Analysis. TrAC Trends Anal. Chem. 2015, 71, 224–235. [Google Scholar] [CrossRef]
- Mainero Rocca, L.; Gentili, A.; Pérez-Fernández, V.; Tomai, P. Veterinary Drugs Residues: A Review of the Latest Analytical Research on Sample Preparation and LC-MS Based Methods. Food Addit. Contam. Part Chem. Anal. Control Expo. Risk Assess 2017, 34, 766–784. [Google Scholar] [CrossRef]
- Parker, C.H.; Stutts, W.L.; DeGrasse, S.L. Development and Validation of a Liquid Chromatography-Tandem Mass Spectrometry Method for the Quantitation of Microcystins in Blue-Green Algal Dietary Supplements. J. Agric. Food Chem. 2015, 63, 10303–10312. [Google Scholar] [CrossRef]
- Hewelt-Belka, W.; Garwolińska, D.; Belka, M.; Bączek, T.; Namieśnik, J.; Kot-Wasik, A. A New Dilution-Enrichment Sample Preparation Strategy for Expanded Metabolome Monitoring of Human Breast Milk That Overcomes the Simultaneous Presence of Low- and High-Abundance Lipid Species. Food Chem. 2019, 288, 154–161. [Google Scholar] [CrossRef]
- Bakhytkyzy, I.; Hewelt-Belka, W.; Kot-Wasik, A. The Dispersive Micro-Solid Phase Extraction Method for MS-Based Lipidomics of Human Breast Milk. Microchem. J. 2020, 152, 104269. [Google Scholar] [CrossRef]
- Xie, L.; Park, H.-D. Determination of Microcystins in Fish Tissues Using HPLC with a Rapid and Efficient Solid Phase Extraction. Aquaculture 2007, 271, 530–536. [Google Scholar] [CrossRef]
- Ibelings, B.W.; Bruning, K.; De Jonge, J.; Wolfstein, K.; Pires, L.M.D.; Postma, J.; Burger, T. Distribution of Microcystins in a Lake Foodweb: No Evidence for Biomagnification. Microb. Ecol. 2005, 49, 487–500. [Google Scholar] [CrossRef] [PubMed]
- Karlsson, K.M.; Spoof, L.E.M.; Meriluoto, J.A.O. Quantitative LC-ESI-MS Analyses of Microcystins and Nodularin-R in Animal Tissue—Matrix Effects and Method Validation. Environ. Toxicol. 2005, 20, 381–389. [Google Scholar] [CrossRef] [PubMed]
- Iqbal, S.Z.; Asi, M.R.; Jinap, S. Variation of Aflatoxin M1 Contamination in Milk and Milk Products Collected during Winter and Summer Seasons. Food Control 2013, 34, 714–718. [Google Scholar] [CrossRef]
- Battacone, G.; Nudda, A.; Rassu, S.P.G.; Decandia, M.; Pulina, G. Excretion Pattern of Aflatoxin M1 in Milk of Goats Fed a Single Dose of Aflatoxin B1. J. Dairy Sci. 2012, 95, 2656–2661. [Google Scholar] [CrossRef]
- Mohamadi Sani, A.; Nikpooyan, H.; Moshiri, R. Aflatoxin M1 Contamination and Antibiotic Residue in Milk in Khorasan Province, Iran. Food Chem. Toxicol. 2010, 48, 2130–2132. [Google Scholar] [CrossRef]
- Fernandes, A.M.; Corrêa, B.; Rosim, R.E.; Kobashigawa, E.; Oliveira, C.A.F. Distribution and Stability of Aflatoxin M1 during Processing and Storage of Minas Frescal Cheese. Food Control 2012, 24, 104–108. [Google Scholar] [CrossRef]
- García Londoño, V.A.; Boasso, A.C.; De Paula, M.C.Z.; Garcia, L.P.; Scussel, V.M.; Resnik, S.; Pacín, A. Aflatoxin M1 Survey on Randomly Collected Milk Powder Commercialized in Argentina and Brazil. Food Control 2013, 34, 752–755. [Google Scholar] [CrossRef]




| Toxin | Precursor Ion (m/z) | Quantifier Ion (m/z) | Collision Energy (eV) | Cone Voltage (V) | Qualifier Ion (m/z) | Collision Energy (eV) | Cone Voltage (V) |
|---|---|---|---|---|---|---|---|
| MC-WR | 1068.4 | 135.3 | 70 | 100 | 213.1 | 60 | 100 |
| MC-YR | 1045.5 | 135.3 | 80 | 60 | 212.9 | 60 | 60 |
| MC-LW | 1025.4 | 134.9 | 60 | 60 | 213.1 | 50 | 60 |
| MC-LY | 1002.4 | 135.3 | 60 | 50 | 213.0 | 50 | 50 |
| MC-LR | 995.4 | 135.0 | 70 | 80 | 213.1 | 60 | 80 |
| MC-LF | 986.3 | 135.0 | 60 | 70 | 213.1 | 60 | 70 |
| MC-LA | 910.3 | 135.1 | 60 | 50 | 107.1 | 80 | 50 |
| MC-RR | 519.8 | 134.8 | 30 | 50 | 107.2 | 60 | 50 |
| NOD | 825.25 | 134.9 | 50 | 80 | 102.7 | 90 | 80 |
| AFM1 | 329.0 | 273.0 | 22 | 22 | 259.0 | 22 | 22 |
| 13C17 AFM1 | 346.0 | 288.1 | 22 | 46 | 242.1 | 38 | 46 |
| Extraction Solvent | Recovery (%) | |||||||||
|---|---|---|---|---|---|---|---|---|---|---|
| MC-WR | MC-YR | MC-LW | MC-LY | MC-LR | MC-LF | MC-LA | MC-RR | NOD | AFM1 | |
| Acetonitrile | 49.5 | 69.3 | 88.0 | 84.0 | 68.0 | 89.3 | 85.0 | 56.7 | 50.7 | 43.7 |
| MeOH80% | 107.0 | 111.3 | 103.0 | 100.0 | 109.0 | 113.3 | 90.3 | 113.3 | 99.0 | 87.7 |
| Cartridge | Recovery (%) | |||||||||
|---|---|---|---|---|---|---|---|---|---|---|
| MC-WR | MC-YR | MC-LW | MC-LY | MC-LR | MC-LF | MC-LA | MC-RR | NOD | AFM1 | |
| HLB | 40.7 | 65.3 | 81.0 | 75.0 | 65.3 | 79.0 | 73.3 | 50.7 | 57.3 | 74.7 |
| HybridSPE | 0.0 | 0.0 | 0.0 | 0.0 | 0.0 | 0.0 | 0.0 | 0.0 | 0.0 | 88.3 |
| Bond Elut | 49.3 | 69.3 | 88.0 | 84.0 | 68.0 | 89.3 | 85.0 | 50.7 | 56.7 | 43.7 |
| Spike | Recovery (%) | |||||||||
|---|---|---|---|---|---|---|---|---|---|---|
| MC-WR | MC-YR | MC-LW | MC-LY | MC-LR | MC-LF | MC-LA | MC-RR | NOD | AFM1 | |
| Before SPE | 0.0 | 0.0 | 0.0 | 0.0 | 0.0 | 0.0 | 0.0 | 0.0 | 0.0 | 102.0 |
| After SPE | 67.0 | 114.0 | 103.0 | 104.0 | 115.0 | 103.0 | 110.0 | 109.0 | 113.0 | 93.0 |
| Toxin | Spiked Concentration (µg/L) | Recovery (%) | Repeatability (%) | Reproducibility (%) | Measurement Uncertainty (%) | Average S/N LOD | Average S/N LOQ | R2 |
|---|---|---|---|---|---|---|---|---|
| MC-WR | 1 | 87.00 | 10.88 | 16.47 | 32.94 | 15.63 | 43.50 | 0.98 |
| 5 | 71.00 | 6.52 | 9.47 | 18.94 | ||||
| 10 | 107.00 | 12.56 | 13.24 | 26.48 | ||||
| Average | 88.33 | 9.99 | 13.06 | 26.12 | ||||
| MC-YR | 1 | 104.00 | 9.03 | 14.86 | 29.71 | 13.38 | 36.35 | 0.99 |
| 5 | 94.00 | 6.27 | 7.13 | 14.26 | ||||
| 10 | 101.00 | 9.82 | 10.05 | 20.11 | ||||
| Average | 99.67 | 8.37 | 10.68 | 21.36 | ||||
| MC-LW | 1 | 90.00 | 9.07 | 17.81 | 29.63 | 29.79 | 78.85 | 0.99 |
| 5 | 75.00 | 3.06 | 6.07 | 12.13 | ||||
| 10 | 91.00 | 13.54 | 14.54 | 29.08 | ||||
| Average | 85.33 | 8.56 | 12.81 | 27.90 | ||||
| MC-LY | 1 | 91.00 | 10.35 | 18.54 | 37.07 | 19.34 | 56.56 | 0.99 |
| 5 | 83.00 | 2.90 | 8.08 | 16.17 | ||||
| 10 | 88.00 | 13.71 | 14.44 | 28.88 | ||||
| Average | 87.33 | 8.99 | 13.69 | 27.37 | ||||
| MC-LR | 1 | 106.00 | 8.36 | 21.42 | 42.84 | 56.69 | 165.47 | 0.99 |
| 5 | 91.00 | 5.93 | 5.93 | 11.86 | ||||
| 10 | 104.00 | 8.89 | 9.10 | 18.20 | ||||
| Average | 100.33 | 7.73 | 12.15 | 24.30 | ||||
| MC-LF | 1 | 88.00 | 9.30 | 20.91 | 41.83 | 23.58 | 73.48 | 0.99 |
| 5 | 75.00 | 4.35 | 8.76 | 17.51 | ||||
| 10 | 92.00 | 14.51 | 16.05 | 32.09 | ||||
| Average | 85.00 | 9.33 | 15.24 | 30.48 | ||||
| MC-LA | 1 | 82.00 | 7.02 | 8.44 | 16.88 | 33.38 | 73.77 | 0.99 |
| 5 | 82.00 | 3.72 | 8.44 | 16.88 | ||||
| 10 | 84.00 | 14.50 | 16.54 | 33.08 | ||||
| Average | 82.67 | 8.41 | 11.14 | 22.28 | ||||
| MC-RR | 1 | 102.00 | 6.52 | 16.30 | 32.61 | 100.93 | 351.29 | 0.99 |
| 5 | 88.00 | 3.99 | 11.80 | 23.60 | ||||
| 10 | 91.00 | 7.19 | 7.19 | 14.38 | ||||
| Average | 93.67 | 5.90 | 11.76 | 23.53 | ||||
| NOD | 1 | 110.00 | 7.42 | 19.87 | 39.74 | 145.25 | 493.49 | 0.99 |
| 5 | 101.00 | 7.04 | 10.48 | 20.96 | ||||
| 10 | 95.00 | 7.48 | 7.48 | 14.97 | ||||
| Average | 102.00 | 7.31 | 12.61 | 25.22 | ||||
| AFM1 | 0.05 | 118.00 | 14.65 | 15.03 | 30.06 | 4.38 | 12.53 | 0.99 |
| 1 | 84.00 | 5.58 | 13.48 | 26.97 | ||||
| 10 | 93.00 | 10.55 | 14.72 | 29.44 | ||||
| Average | 98.33 | 10.26 | 14.41 | 28.82 |
| Toxin | MC-WR | MC-YR | MC-LW | MC-LY | MC-LR | MC-LF | MC-LA | MC-RR | NOD | AFM1 |
|---|---|---|---|---|---|---|---|---|---|---|
| t(b) DAY 1 | 7.26 | 23.19 | 2.39 | 2.07 | 22.48 | 15.68 | 2.01 | 37.11 | 34.03 | 2.23 |
| t(b) DAY 2 | 16.34 | 30.76 | 18.32 | 15.36 | 20.86 | 14.87 | 8.47 | 24.62 | 54.8 | 1.2 |
| t(b) DAY 3 | 4.21 | 25.92 | 5.30 | 18.33 | 28.73 | 8.86 | 47.35 | 12.27 | 110.6 | 9.58 |
| Average | 9.27 | 26.62 | 8.67 | 11.92 | 24.02 | 13.14 | 19.28 | 24.67 | 66.48 | 4.34 |
Disclaimer/Publisher’s Note: The statements, opinions and data contained in all publications are solely those of the individual author(s) and contributor(s) and not of MDPI and/or the editor(s). MDPI and/or the editor(s) disclaim responsibility for any injury to people or property resulting from any ideas, methods, instructions or products referred to in the content. |
© 2023 by the authors. Licensee MDPI, Basel, Switzerland. This article is an open access article distributed under the terms and conditions of the Creative Commons Attribution (CC BY) license (https://creativecommons.org/licenses/by/4.0/).
Share and Cite
Van Camp, C.; Van Hassel, W.H.R.; Abdallah, M.F.; Masquelier, J. Simultaneous Detection and Quantification of Aflatoxin M1, Eight Microcystin Congeners and Nodularin in Dairy Milk by LC-MS/MS. Chemosensors 2023, 11, 511. https://doi.org/10.3390/chemosensors11100511
Van Camp C, Van Hassel WHR, Abdallah MF, Masquelier J. Simultaneous Detection and Quantification of Aflatoxin M1, Eight Microcystin Congeners and Nodularin in Dairy Milk by LC-MS/MS. Chemosensors. 2023; 11(10):511. https://doi.org/10.3390/chemosensors11100511
Chicago/Turabian StyleVan Camp, Camille, Wannes Hugo R. Van Hassel, Mohamed F. Abdallah, and Julien Masquelier. 2023. "Simultaneous Detection and Quantification of Aflatoxin M1, Eight Microcystin Congeners and Nodularin in Dairy Milk by LC-MS/MS" Chemosensors 11, no. 10: 511. https://doi.org/10.3390/chemosensors11100511
APA StyleVan Camp, C., Van Hassel, W. H. R., Abdallah, M. F., & Masquelier, J. (2023). Simultaneous Detection and Quantification of Aflatoxin M1, Eight Microcystin Congeners and Nodularin in Dairy Milk by LC-MS/MS. Chemosensors, 11(10), 511. https://doi.org/10.3390/chemosensors11100511

