The Correlation between Complete Blood Count Parameters and Appendix Diameter for the Diagnosis of Acute Appendicitis
Abstract
1. Introduction
2. Material and Method
2.1. Study Place and Design
2.2. Exclusion Criteria
2.3. Statistical Methods
2.4. Ethics Committee Approval
3. Results
4. Discussion
5. Conclusions
Author Contributions
Funding
Conflicts of Interest
References
- Hansson, J.; Khorram-Manesh, A.; Alwindawe, A.; Lundholm, K. A model to select patients who may benefit from antibiotic therapy as the first line treatment of acute appendicitis at high probability. J. Gastrointest. Surg. 2014, 18, 961–967. [Google Scholar] [CrossRef] [PubMed]
- Andersson, R.E. The natural history and traditional management of appendicitis revisited: Spontaneous resolution and predominance of prehospital perforations imply that a correct diagnosis is more important than an early diagnosis. World J. Surg. 2007, 31, 86–92. [Google Scholar] [CrossRef]
- Varadhan, K.K.; Humes, D.J.; Neal, K.R.; Lobo, D.N. Antibiotic therapy versus appendectomy for acute appendicitis: A meta-analysis. World J. Surg. 2010, 34, 199–209. [Google Scholar] [CrossRef] [PubMed]
- Boshnak, N.; Boshnaq, M.; Elgohary, H. Evaluation of platelet indices and red cell distribution width as new biomarkers for the diagnosis of acute appendicitis. J. Investig. Surg. 2018, 31, 121–129. [Google Scholar] [CrossRef] [PubMed]
- Addiss, D.G.; Shaffer, N.; Fowler, B.S.; Tauxe, R.V. The epidemiology of appendicitis and appendectomy in the United States. Am. J. Epidemiol. 1990, 132, 910–925. [Google Scholar] [CrossRef]
- Pieper, R.; Kager, L. The incidence of acute appendicitis and appendectomy. An epidemiological study of 971 cases. Acta Chir. Scand. 1982, 148, 45–49. [Google Scholar]
- Styrud, J.; Eriksson, S.; Nilsson, I.; Ahlberg, G.; Haapaniemi, S.; Neovius, G.; Rex, L.; Badume, I.; Granström, L. Appendectomy versus antibiotic treatment in acute appendicitis. A prospective multicenter randomized controlled trial. World J. Surg. 2006, 30, 1033. [Google Scholar] [CrossRef]
- Shimizu, T.; Ishizuka, M.; Kubota, K. A lower neutrophil to lymphocyte ratio is closely associated with catarrhal appendicitis versus severe appendicitis. Surg. Today 2016, 46, 84–89. [Google Scholar] [CrossRef]
- Wilms, I.M.; De Hoog, D.E.; de Visser, D.C.; Janzing, H.M. Appendectomy versus antibiotic treatment for acute appendicitis. Cochrane Database Syst. Rev. 2011, 11. [Google Scholar] [CrossRef]
- Flum, D.R.; Koepsell, T. The clinical and economic correlates of misdiagnosed appendicitis: Nationwide analysis. Arch. Surg. 2002, 137, 799–804. [Google Scholar] [CrossRef]
- Jones, K.; Peña, A.A.; Dunn, E.L.; Nadalo, L.; Mangram, A.J. Are negative appendectomies still acceptable? Am. J. Surg. 2004, 188, 748–754. [Google Scholar] [CrossRef] [PubMed]
- Pickhardt, P.J.; Lawrence, E.M.; Pooler, B.D.; Bruce, R.J. Diagnostic performance of multidetector computed tomography for suspected acute appendicitis. Ann. Intern. Med. 2011, 154, 789–796. [Google Scholar] [CrossRef] [PubMed]
- Rao, P.M.; Rhea, J.T.; Novelline, R.A.; Mostafavi, A.A.; McCabe, C.J. Effect of computed tomography of the appendix on treatment of patients and use of hospital resources. N. Engl. J. Med. 1998, 338, 141–146. [Google Scholar] [CrossRef] [PubMed]
- Puylaert, J. Mesenteric adenitis and acute terminal ileitis: US evaluation using graded compression. Radiology 1986, 161, 691–695. [Google Scholar] [CrossRef]
- Chabanova, E.; Balslev, I.; Achiam, M.; Nielsen, Y.W.; Adamsen, S.; Gocht-Jensen, P.; Brisling, S.K.; Logager, V.B.; Thomsen, H.S. Unenhanced MR Imaging in adults with clinically suspected acute appendicitis. Eur. J. Radiol. 2011, 79, 206–210. [Google Scholar] [CrossRef]
- Khan, A.; Riaz, M.; Kelly, M.E.; Khan, W.; Waldron, R.; Barry, K.; Khan, I.Z. Prospective validation of neutrophil-to-lymphocyte ratio as a diagnostic and management adjunct in acute appendicitis. Ir. J. Med. Sci. 2018, 187, 379–384. [Google Scholar] [CrossRef]
- Jung, S.K.; Rhee, D.Y.; Lee, W.J.; Woo, S.H.; Seol, S.H.; Kim, D.H.; Choi, S.P. Neutrophil-to-lymphocyte count ratio is associated with perforated appendicitis in elderly patients of emergency department. Aging Clin. Exp. Res. 2017, 29, 529–536. [Google Scholar] [CrossRef]
- Poudel, R.; Bhandari, T.R. Risk factors for complications in acute appendicitis among paediatric population. JNMA J. Nepal. Med. Assoc. 2017, 56, 145–148. [Google Scholar] [CrossRef]
- Shogilev, D.J.; Duus, N.; Odom, S.R.; Shapiro, N.I. Diagnosing appendicitis: Evidence-based review of the diagnostic approach in 2014. West. J. Emerg. Med. 2014, 15, 859. [Google Scholar] [CrossRef]
- Martin, J.; Trowbridge, E.; Salmon, G.; Plumb, J. The biological significance of platelet volume: Its relationship to bleeding time, platelet thromboxane B2 production and megakaryocyte nuclear DNA concentration. Thromb. Res. 1983, 32, 443–460. [Google Scholar] [CrossRef]
- Aktimur, R.; Cetinkunar, S.; Yildirim, K.; Ozdas, S.; Aktimur, S.H.; Gokakin, A.K. Mean platelet volume is a significant biomarker in the differential diagnosis of acute appendicitis. Inflamm. Cell Signal. 2015, 2, e930. [Google Scholar] [CrossRef]
- Saxena, D.; Tandon, M.; Gedam, B. Role of mean platelet volume (MPV) in diagnosis of acute appendicitis. Int. J. Biomed. Res. 2015, 6, 235–237. [Google Scholar] [CrossRef][Green Version]
- Fan, Z.; Pan, J.; Zhang, Y.; Wang, Z.; Zhu, M.; Yang, B.; Shi, L.; Jing, H. Mean platelet volume and platelet distribution width as markers in the diagnosis of acute gangrenous appendicitis. Dis. Markers 2015, 2015, 542013. [Google Scholar] [CrossRef] [PubMed]
- Dinç, T.; Şenol, K.; Yıldız, B.D.; Kayılıoğlu, S.I.; Sözen, İ.; Coşkun, F. Association between red cell distribution width and mea platelet volume with appendicitis: A myth or a fact? Bratisl. Lek. Listy 2015, 116, 499–501. [Google Scholar]
- Birnbaum, B.A.; Wilson, S.R. Appendicitis at the millennium. Radiology 2000, 215, 337–348. [Google Scholar] [CrossRef]
- Jeffrey, R., Jr.; Laing, F.C.; Townsend, R.R. Acute appendicitis: Sonographic criteria based on 250 cases. Radiology 1988, 167, 327–329. [Google Scholar] [CrossRef]
- Rao, P.M.; Rhea, J.T.; Novelline, R.A. Sensitivity and specificity of the individual CT signs of appendicitis: Experience with 200 helical appendiceal CT examinations. J. Comput. Assist. Tomogr. 1997, 21, 686–692. [Google Scholar] [CrossRef]
- Goodman, D.A.; Goodman, C.B.; Monk, J.S. Use of the neutrophil: Lymphocyte ratio in the diagnosis of appendicitis. Am. Surg. 1995, 61, 257–259. [Google Scholar]
- Posul, E.; Yilmaz, B.; Aktas, G.; Kurt, M. Does neutrophil-to-lymphocyte ratio predict active ulcerative colitis? Wien. Klin. Wochenschr. 2015, 127, 262–265. [Google Scholar] [CrossRef]
- Lee, S.K.; Lee, S.C.; Park, J.W.; Kim, S.-J. The utility of the preoperative neutrophil-to-lymphocyte ratio in predicting severe cholecystitis: A retrospective cohort study. BMC Surg. 2014, 14, 100. [Google Scholar] [CrossRef]
- Li, M.X.; Liu, X.M.; Zhang, X.F.; Zhang, J.F.; Wang, W.L.; Zhu, Y.; Dong, J.; Cheng, J.W.; Liu, Z.W.; Ma, L.; et al. Prognostic role of neutrophil-to-lymphocyte ratio in colorectal cancer: A systematic review and meta-analysis. Int. J. Cancer 2014, 134, 2403–2413. [Google Scholar] [CrossRef] [PubMed]
- Galizia, G.; Lieto, E.; Zamboli, A.; De Vita, F.; Castellano, P.; Romano, C.; Auricchio, A.; Cardella, F.; De Stefano, L.; Orditura, M. Neutrophil to lymphocyte ratio is a strong predictor of tumor recurrence in early colon cancers: A propensity score-matched analysis. Surgery 2015, 158, 112–120. [Google Scholar] [CrossRef] [PubMed]
- Kollár, D.; McCartan, D.; Bourke, M.; Cross, K.; Dowdall, J. Predicting acute appendicitis? A comparison of the Alvarado score, the Appendicitis Inflammatory Response Score and clinical assessment. World J. Surg. 2015, 39, 104–109. [Google Scholar] [CrossRef] [PubMed]
- Scott, A.; Mason, S.; Arunakirinathan, M.; Reissis, Y.; Kinross, J.; Smith, J. Risk stratification by the Appendicitis Inflammatory Response score to guide decision-making in patients with suspected appendicitis. Br. J. Surg. 2015, 102, 563–572. [Google Scholar] [CrossRef]
- Birchley, D. Patients with clinical acute appendicitis should have pre-operative full blood count and C-reactive protein assays. Ann. R. Coll. Surg. Engl. 2006, 88, 27–32. [Google Scholar] [CrossRef][Green Version]



| CBC Parameters | WBC | PLT | L | N | MPV | PDW | RDW | CRP | NLR | LCR | PLT/L | |
|---|---|---|---|---|---|---|---|---|---|---|---|---|
| Diameter | r | 0.159 ** | −0.144 ** | 0.154 ** | 0.133 * | 0.195 ** | 0.114 * | |||||
| p | 0.004 | 0.270 | 0.008 | 0.005 | 0.321 | 0.094 | 0.015 | 0.267 | < 0.001 | 0.074 | 0.037 | |
| n | 334 | 334 | 334 | 334 | 334 | 334 | 334 | 257 | 334 | 257 | 334 |
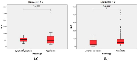
| Diameter | Pathology | Total | p Value | ||
|---|---|---|---|---|---|
| − | + | ||||
| Diameter | Normal (≤6 mm) | 10 | 14 | 24 | <0.001 * |
| 41.7% | 58.3% | 100% | |||
| High (>6 mm)) | 36 | 274 | 310 | ||
| 11.6% | 88.4% | 100% | |||
| Total | 46 | 288 | 334 | ||
| 13.8% | 86.2% | 100% | |||
| CBC Parameters | Pathology Groups | N | Mean | SD | Median | Min | Max | p Values |
|---|---|---|---|---|---|---|---|---|
| WBC | LH | 46 | 10.25 | 3.11 | 10.33 | 3.47 | 16.49 | <0.001 ** |
| A | 288 | 13.19 | 6.01 | 12.79 | 3 | 88.4 | ||
| PLT | LH | 46 | 229.0 | 58.0 | 221.5 | 110 | 358 | 0.569 |
| A | 288 | 235.3 | 61.9 | 227.5 | 80 | 485 | ||
| Lymphocyte | LH | 46 | 2.28 | 3.15 | 1.81 | 0.7 | 22.71 | 0.899 |
| A | 288 | 2.02 | 1.87 | 1.78 | 0.4 | 21.97 | ||
| Neutrophil | LH | 46 | 7.24 | 3.28 | 6.86 | 1.79 | 14.39 | <0.001 ** |
| A | 288 | 10.55 | 6.77 | 9.98 | 1.59 | 78.37 | ||
| MPV | LH | 46 | 8.53 | 1.58 | 8.16 | 6.14 | 12.6 | 0.011 * |
| A | 288 | 9.15 | 1.72 | 9.33 | 3.39 | 20.1 | ||
| PDW | LH | 46 | 16.81 | 3.70 | 17.61 | 9.1 | 21.65 | 0.038 * |
| A | 288 | 15.26 | 4.21 | 15.6 | 1.1 | 23 | ||
| RDW | LH | 46 | 13.68 | 1.98 | 13.30 | 11.03 | 20.04 | 0.059 |
| A | 288 | 13.16 | 2.01 | 12.6 | 10.12 | 27.2 | ||
| CRP | LH | 32 | 50.58 | 68.24 | 15.05 | 0.4 | 266 | 0.933 |
| A | 225 | 46.11 | 63.23 | 19.3 | 0.23 | 331 | ||
| NLR | LH | 46 | 4.85 | 3.57 | 4.01 | 0.4 | 14.84 | 0.003 ** |
| A | 288 | 7.22 | 6.13 | 5.21 | 0.76 | 43.04 | ||
| LCR | LH | 32 | 0.42 | 0.86 | 0.10 | 0 | 4.25 | 0.960 |
| A | 225 | 0.47 | 1.38 | 0.09 | 0 | 12.3 | ||
| PLT/L | LH | 46 | 139.0 | 63.3 | 131 | 9.48 | 362.8 | 0.649 |
| A | 288 | 156.3 | 101.3 | 131.1 | 7.42 | 900 | ||
| DIAMETER | LH | 46 | 7.89 | 2.16 | 7.5 | 4 | 13 | <0.001 ** |
| A | 288 | 9.53 | 2.63 | 9 | 4 | 20 |
| CBC parameters | Pathology Groups | N | Mean | SD | Median | Min | Max | p Values |
|---|---|---|---|---|---|---|---|---|
| WBC | LH | 36 | 10.01 | 3.16 | 8.85 | 3.47 | 16.49 | <0.001 ** |
| A | 274 | 13.27 | 6.07 | 12.79 | 3 | 88.4 | ||
| PLT | LH | 36 | 231.7 | 60.3 | 221.5 | 110 | 358 | 0.772 |
| A | 274 | 235.1 | 62.1 | 227.5 | 80 | 485 | ||
| Lymphocyte | LH | 36 | 2.43 | 3.55 | 1.81 | 0.70 | 22.71 | 0.801 |
| A | 274 | 2.04 | 1.92 | 1.78 | 0.40 | 21.97 | ||
| Neutrophil | LH | 36 | 6.91 | 3.39 | 6.03 | 1.79 | 14.39 | <0.001 ** |
| A | 274 | 10.63 | 6.86 | 10 | 1.59 | 78.37 | ||
| MPV | LH | 36 | 8.77 | 1.63 | 8.83 | 6.14 | 12.6 | 0.170 |
| A | 274 | 9.15 | 1.73 | 9.33 | 3.39 | 20.1 | ||
| PDW | LH | 36 | 16.71 | 3.95 | 17.56 | 9.1 | 21.65 | 0.048 * |
| A | 274 | 15.15 | 4.17 | 15.4 | 1.1 | 23 | ||
| RDW | LH | 36 | 13.27 | 1.67 | 12.95 | 11.03 | 17.1 | 0.548 |
| A | 274 | 13.19 | 2.01 | 12.7 | 10.12 | 27.2 | ||
| CRP | LH | 26 | 44.64 | 72.3 | 11.85 | 0.4 | 266 | 0.391 |
| A | 216 | 45.81 | 63.7 | 18.85 | 0.23 | 331 | ||
| NLR | LH | 46 | 13.68 | 1.98 | 13.3 | 11.03 | 20.04 | 0.001 ** |
| A | 288 | 13.16 | 2.01 | 12.6 | 10.12 | 27.2 | ||
| LCR | LH | 26 | 0.489 | 0.94 | 0.17 | 0 | 4.25 | 0.407 |
| A | 216 | 0.486 | 1.41 | 0.09 | 0 | 12.3 | ||
| PLT/L | LH | 36 | 139.7 | 67.5 | 129.4 | 9.48 | 362.86 | 0.684 |
| A | 274 | 155.9 | 100.6 | 130.6 | 7.42 | 900 |
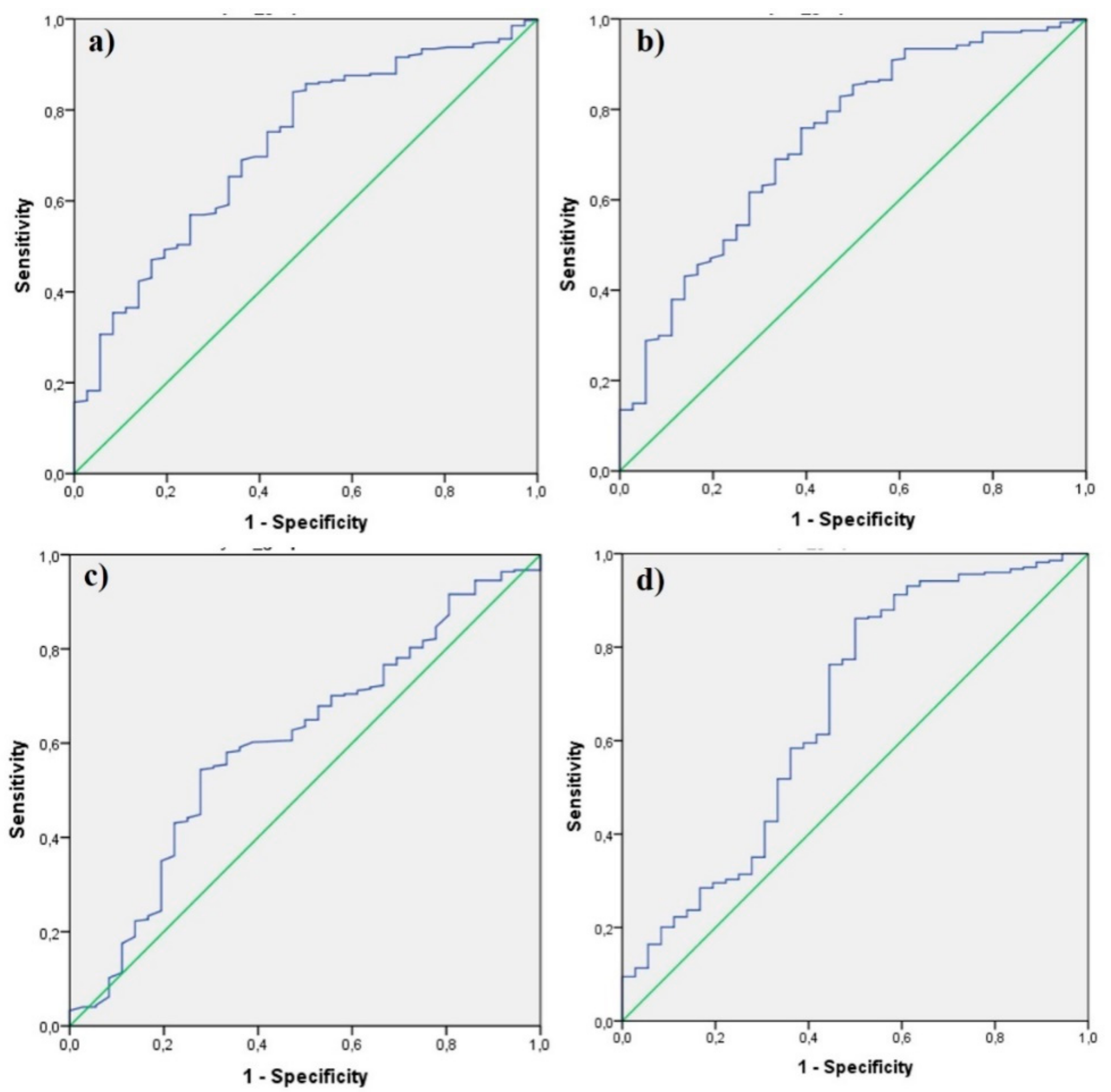
| CBC Parameters | Cut Off | AUC (95% CI) | P | Sensitivity | Specificity | PPV | NPV | L + |
|---|---|---|---|---|---|---|---|---|
| WBC | 9.065 | 0.720 (0.635–0.805) | <0.001 | 83.9% | 52.8% | 93.1% | 30.1% | 1.78 |
| N | 7.485 | 0.734 (0.645–0.823) | <0.001 | 75.9% | 61.1% | 93.7% | 25% | 1.95 |
| PDW | 15.75 | 0.602 (0.503–0.700) | 0.048 | 54.4% | 72.2% | 93.7% | 17.2% | 1.96 |
| NLR | 2.605 | 0.663 (0.555–0.770) | 0.001 | 86.1% | 50% | 92.9% | 32.1% | 1.72 |
© 2020 by the authors. Licensee MDPI, Basel, Switzerland. This article is an open access article distributed under the terms and conditions of the Creative Commons Attribution (CC BY) license (http://creativecommons.org/licenses/by/4.0/).
Share and Cite
Daldal, E.; Dagmura, H. The Correlation between Complete Blood Count Parameters and Appendix Diameter for the Diagnosis of Acute Appendicitis. Healthcare 2020, 8, 39. https://doi.org/10.3390/healthcare8010039
Daldal E, Dagmura H. The Correlation between Complete Blood Count Parameters and Appendix Diameter for the Diagnosis of Acute Appendicitis. Healthcare. 2020; 8(1):39. https://doi.org/10.3390/healthcare8010039
Chicago/Turabian StyleDaldal, Emin, and Hasan Dagmura. 2020. "The Correlation between Complete Blood Count Parameters and Appendix Diameter for the Diagnosis of Acute Appendicitis" Healthcare 8, no. 1: 39. https://doi.org/10.3390/healthcare8010039
APA StyleDaldal, E., & Dagmura, H. (2020). The Correlation between Complete Blood Count Parameters and Appendix Diameter for the Diagnosis of Acute Appendicitis. Healthcare, 8(1), 39. https://doi.org/10.3390/healthcare8010039

