Sign in to use this feature.

Years

Between: -

Subjects

remove_circle_outline
remove_circle_outline
remove_circle_outline
remove_circle_outline
remove_circle_outline
remove_circle_outline
remove_circle_outline

Journals

Article Types

Countries / Regions

Search Results (198)

Search Parameters:
Keywords = acute appendicitis

Order results
Result details
Results per page
Select all
Export citation of selected articles as:
21 pages, 1442 KB  
Article
Open-Label Prospective Randomized Comparative Study of the Efficacy and Safety of Gentamicin in Comparison to Other Antibiotics in the Management of Acute Appendicitis in Surgically Treated Patients
by Nika Obolnar, Žan Čebron, Gregor Norčič, Darko Černe, Aleš Jerin, Urška Čegovnik Primožič, Gaj Vidmar, Tadeja Pintar Kaliterna and Bojana Beović
Antibiotics 2026, 15(4), 395; https://doi.org/10.3390/antibiotics15040395 - 13 Apr 2026
Viewed by 338
Abstract
Background: Antimicrobial resistance coupled with the lack of new antibiotics calls for the responsible use of antibiotics, including old antimicrobials. Aminoglycosides are effective against bacteria in acute appendicitis, a common intra-abdominal infection. Their use has been discouraged recently, but their place in therapy [...] Read more.
Background: Antimicrobial resistance coupled with the lack of new antibiotics calls for the responsible use of antibiotics, including old antimicrobials. Aminoglycosides are effective against bacteria in acute appendicitis, a common intra-abdominal infection. Their use has been discouraged recently, but their place in therapy is based on studies performed in the era of lower resistance rates, and with multiple dosing regimens. Methods: In a prospective randomized open-label study, we compared the efficacy and safety of gentamicin in one daily dose and metronidazole (GTM+MZ) to ertapenem (ETP) and to cefuroxime with metronidazole (CXM+MZ) in adult patients surgically treated for acute appendicitis. Efficacy was assessed via the duration of antibiotic treatment and hospital stay, c-reactive protein (CRP) dynamics, and post-operative complications. Nephrotoxicity was assessed with urine biomarkers. Statistical analysis comprised mixed-model analysis of variance (ANOVA) with the missing-data-imputation method and linear mixed model (LMM). Results: One hundred-and-sixty-six patients were included in this study. There were no significant differences among the three groups in the durations of treatment and lengths of stay (p = 0.093, p = 0.222). CRP level was the lowest (p = 0.003) in the ETP group. There were five complications during hospitalization, with two of them classified as infectious. Both occurred in the GTM+MZ group; however, the difference was not statistically significant (p = 0.330). No difference was found in complications in the month following the operation (p = 0.763). Biomarkers indicating kidney injury showed the same trend in all three groups. Conclusions: Our results suggest the use of once-daily dose of gentamicin following an appendectomy for acute appendicitis. Gentamicin may be used to decrease selective pressure of other antimicrobials. Full article
(This article belongs to the Special Issue Antimicrobial Stewardship in Surgical Infection)
Show Figures

Figure 1

25 pages, 4233 KB  
Article
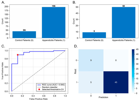
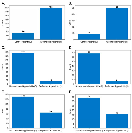
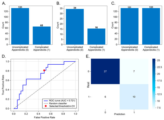
Usefulness of Laboratory-Based Machine Learning for Detection and Severity Classification of Acute Appendicitis in a Resource-Limited Healthcare Setting
by Margarita L. Martinez-Fierro, Jose G. Gonzalez-Rodarte, Sodel Vazquez-Reyes, Manuel Gonzalez-Plascencia, Idalia Garza-Veloz, Perla Velasco-Elizondo, Sidere M. Zorrilla-Alfaro, Jaime Y. Burciaga-Paez, Gonzalo Ibarra-Bañuelos, Luis A. Flores-Chaires and Alejandro Mauricio-Gonzalez
Diagnostics 2026, 16(7), 1090; https://doi.org/10.3390/diagnostics16071090 - 4 Apr 2026
Viewed by 494
Abstract
Background: Acute appendicitis is the most common abdominal surgical emergency, with diagnostic uncertainty greatest in resource-limited settings. Objectives: To develop and internally validate an interpretable, laboratory-driven machine learning approach to assist clinical decision-making in suspected appendicitis, including diagnosis, perforation detection, and [...] Read more.
Background: Acute appendicitis is the most common abdominal surgical emergency, with diagnostic uncertainty greatest in resource-limited settings. Objectives: To develop and internally validate an interpretable, laboratory-driven machine learning approach to assist clinical decision-making in suspected appendicitis, including diagnosis, perforation detection, and surgical severity stratification. Methods: A retrospective cohort of 246 patients with histopathologically confirmed appendicitis and 45 controls with similar abdominal pain was analyzed at a secondary-level hospital in Mexico. After cleaning and imputation, 41 laboratory variables were used to train three models: Random Forest for appendicitis detection and perforation identification, and Support Vector Machine for surgical severity stratification. Class imbalance was addressed with synthetic oversampling, and feature selection prioritized clinical interpretability. Results: Appendicitis detection achieved excellent discrimination (AUC = 0.94), correctly identifying 90% of cases, with 100% specificity. The perforation model reached 100% sensitivity (AUC = 0.875), prioritizing safe detection of high-risk cases, while severity stratification showed moderate performance (AUC = 0.721), correctly identifying 81% of complicated cases without imaging. Conclusions: Laboratory-based ML models accurately detected acute appendicitis and identified all perforated cases using routine data alone, while surgical severity stratification showed moderate discrimination in the absence of imaging. These findings demonstrate the feasibility of laboratory-driven decision support for early risk assessment in resource-limited emergency settings and support further external validation. Full article
(This article belongs to the Special Issue Innovative Advances in Diagnosis Through Artificial Intelligence)
Show Figures

Figure 1

19 pages, 833 KB  
Article
Routine Biomarkers in Paediatric Appendicitis Stratification: Which Add Diagnostic Value? A Retrospective Cohort Study
by Ciprian-Ioan Borca, Alexandru Alexandru, Madalin-Marius Margan, Cristiana-Smaranda Ivan, Alexandru Cristian Cindrea, Corneluta Fira-Mladinescu, Marius Negru, Delia Hutanu, Silviu-Valentin Vlad, Brigitha Vlaicu and Vlad-Laurentiu David
Children 2026, 13(4), 447; https://doi.org/10.3390/children13040447 - 25 Mar 2026
Viewed by 330
Abstract
Background: Preoperative differentiation between uncomplicated and complicated paediatric appendicitis remains challenging. This study aimed to evaluate the diagnostic performance of routine admission biomarkers and blood cell count-derived inflammatory indices for severity stratification and to determine whether fibrinogen provides additional predictive value beyond commonly [...] Read more.
Background: Preoperative differentiation between uncomplicated and complicated paediatric appendicitis remains challenging. This study aimed to evaluate the diagnostic performance of routine admission biomarkers and blood cell count-derived inflammatory indices for severity stratification and to determine whether fibrinogen provides additional predictive value beyond commonly used markers. Methods: We conducted a retrospective single-centre study (2018–2025) using electronically recorded clinical data. Patients with suspected appendicitis were identified through appendicitis-related ICD-10 codes and diagnostically validated. The final analytical cohort required complete admission laboratory data, including C-reactive protein (CRP), fibrinogen, and complete blood count parameters. Derived inflammatory indices included the neutrophil-to-lymphocyte ratio (NLR) and the systemic immune-inflammation index (SII). Diagnostic discrimination and multivariable prediction models were evaluated to assess the ability of these markers to distinguish complicated from uncomplicated appendicitis. Results: Of 1518 screened records, 1132 patients met inclusion criteria (620 complicated; 512 uncomplicated). Complicated appendicitis was associated with higher inflammatory markers and longer hospital stay (all p < 0.001). CRP demonstrated the strongest univariable discrimination (area under the curve [AUC] 0.785), while fibrinogen showed lower performance (AUC 0.744). A combined model including CRP, NLR, and SII achieved good discrimination (AUC 0.812), with minimal improvement after adding fibrinogen (AUC 0.813). In multivariable analysis, log-transformed CRP and SII remained independently associated with complicated appendicitis (both p < 0.001). A rule-out probability threshold of 0.303 achieved 90% sensitivity (negative predictive value 0.803), whereas a CRP cut-off ≥92.24 mg/L showed high specificity (0.943) and positive predictive value (0.900). Conclusions: Routine admission biomarkers and inflammatory indices derived from complete blood counts can support severity stratification in paediatric appendicitis. CRP and SII provide meaningful predictive information, whereas fibrinogen contributes little additional discriminatory value beyond CRP-based models. These findings suggest that a small set of routinely available laboratory markers may assist early risk stratification, although external validation is required before clinical implementation. Full article
(This article belongs to the Section Pediatric Surgery)
Show Figures

Figure 1

16 pages, 1585 KB  
Article
Association of Sex, Age, and Inflammatory Cell Counts with Complicated Acute Appendicitis
by Said José Serrano Guzmán, Carlos Leyber Vargas Juárez, Marcos Hernández Gómez, José Roberto Luis Vásquez, Sergio Roberto Aguilar Ruiz, Juan Carlos Ramos Martínez, Joscelin Amaranta Macías Ríos, Edgar Gustavo Ramos Martínez, José Luis Cano Pérez, Jesús David Guzmán Ortiz, Martha Silvia Martínez Luna and Leticia Lorena Hernández González
Pathophysiology 2026, 33(1), 22; https://doi.org/10.3390/pathophysiology33010022 - 14 Mar 2026
Viewed by 504
Abstract
Background/Objectives: Sex and age influence inflammatory responses, but researchers have not fully characterized their combined association with complicated acute appendicitis (CAA). This study assessed the independent and interactive associations of sex, age, and inflammatory cell counts with CAA. Methods: We conducted a retrospective [...] Read more.
Background/Objectives: Sex and age influence inflammatory responses, but researchers have not fully characterized their combined association with complicated acute appendicitis (CAA). This study assessed the independent and interactive associations of sex, age, and inflammatory cell counts with CAA. Methods: We conducted a retrospective observational study of 708 patients with histopathologically confirmed uncomplicated appendicitis (UAA) or CAA. We analyzed demographic and clinical data, including preoperative complete blood counts, stratified by sex. We used multivariable logistic regression models with interaction terms to evaluate associations and possible effect modification by sex and age. We explored the direction and magnitude of these interactions by estimating marginal predicted probabilities. Results: The incidence of CAA was significantly higher in men than in women. In men with CAA, complete blood count analysis showed elevated neutrophil and monocyte counts and reduced lymphocyte counts. Male sex (odds ratio (OR) 2.197, 95% confidence interval (CI) 1.610–2.999), continuous age (1.017, 1.002–1.033), lymphocyte count (0.656, 0.526–0.820), monocyte count (1.551, 1.036–2.321), and platelet count (1.004, 1.001–1.006) were independently associated with CAA. Interaction analysis revealed significant interactions between neutrophils and both sex and age (p < 0.05), while lymphocyte counts showed significant interaction with age but not with sex. Conclusions: This study provides new insight into complex sex- and age-related immune cell patterns in CAA and may inform future diagnostic and management strategies by highlighting immune profile variability. Full article
(This article belongs to the Collection Feature Papers in Pathophysiology)
Show Figures

Graphical abstract

5 pages, 2052 KB  
Interesting Images
Unexpected Findings on Histology: Plant Seeds Inducing and Mimicking Gastrointestinal Diseases
by Fanni Hegedűs, Tamás Lantos and Anita Sejben
Diagnostics 2026, 16(6), 826; https://doi.org/10.3390/diagnostics16060826 - 10 Mar 2026
Viewed by 431
Abstract
Foreign material is an uncommon finding in routine gastrointestinal histopathology, but may occasionally contribute to disease pathogenesis or create diagnostic pitfalls. We report two illustrative cases highlighting the diverse clinical and histologic implications of ingested plant material. The first case involves a 10-year-old [...] Read more.
Foreign material is an uncommon finding in routine gastrointestinal histopathology, but may occasionally contribute to disease pathogenesis or create diagnostic pitfalls. We report two illustrative cases highlighting the diverse clinical and histologic implications of ingested plant material. The first case involves a 10-year-old boy who presented with clinical features consistent with acute appendicitis and underwent appendectomy. Although gross examination revealed a macroscopically unremarkable appendix, histological evaluation demonstrated mucosal ulceration associated with an impacted plant seed within the appendiceal lumen, supporting a diagnosis of obstructive acute appendicitis. The second case describes a 60-year-old woman undergoing a screening colonoscopy, during which a small sessile lesion in the transverse colon was resected. Histologic examination revealed no colonic mucosa; instead, the specimen consisted entirely of plant material, morphologically consistent with a tomato seed, representing an incidental finding mimicking a colonic polyp. These cases underscore that plant seeds, while rare, may act as obstructive agents in appendicitis or simulate true pathological lesions during endoscopic and histologic evaluation. Awareness of the characteristic microscopic features of plant material is essential to avoid misdiagnosis and to recognise their potential clinical and forensic relevance. Full article
(This article belongs to the Special Issue Advances in Gastrointestinal Pathology)
Show Figures

Figure 1

20 pages, 630 KB  
Systematic Review
Nutritional Status as a Risk Factor for Appendiceal Perforation in Pediatric Acute Appendicitis: Systematic Review
by Ciprian-Ioan Borca, Cristiana-Smaranda Ivan, Corneluta Fira-Mladinescu, Roxana Margan, Madalin-Marius Margan, Alexandru Cristian Cindrea, Claudia-Raluca Balasa-Virzob, Brigitha Vlaicu and Vlad-Laurentiu David
Children 2026, 13(3), 326; https://doi.org/10.3390/children13030326 - 26 Feb 2026
Cited by 1 | Viewed by 615
Abstract
Background: The association between nutritional status and perforation or complicated appendicitis in children remains uncertain. Objective: To review evidence on anthropometric and biochemical nutritional indicators in relation to perforation and complicated appendicitis in pediatric acute appendicitis. Methods: PubMed, Scopus, and Web of Science [...] Read more.
Background: The association between nutritional status and perforation or complicated appendicitis in children remains uncertain. Objective: To review evidence on anthropometric and biochemical nutritional indicators in relation to perforation and complicated appendicitis in pediatric acute appendicitis. Methods: PubMed, Scopus, and Web of Science were searched for peer-reviewed English-language studies published from 1 January 2010 to 1 January 2026, with supplementary citation searching and Google Scholar screening. Eligible studies included participants aged 0–18 years and reported BMI-based measures and/or biochemical nutritional markers (e.g., albumin, prealbumin, or derived inflammation–nutrition indices) stratified by perforation or complicated appendicitis. Risk of bias was assessed using ROBINS-E. Results: Fourteen observational studies were included. Associations between obesity and perforation or complicated appendicitis were inconsistent, and large registry-based analyses did not identify obesity as an independent predictor after adjustment. Underweight status was more consistently associated with complicated disease and adverse clinical course. Biochemical markers and inflammation–nutrition indices showed more consistent associations with perforated or complicated appendicitis than BMI categories, with several studies reporting moderate-to-high discrimination for severe disease. Conclusions: BMI-based classifications alone did not reliably predict perforation or complicated appendicitis. Albumin- and prealbumin-based indices were more consistently associated with disease severity, but the observational evidence does not establish causality and may reflect inflammatory severity at presentation. Prospective studies with standardized definitions and marker assessment are needed to evaluate incremental prognostic value beyond symptom duration and clinical severity scores. Full article
(This article belongs to the Section Pediatric Surgery)
Show Figures

Figure 1

6 pages, 1052 KB  
Interesting Images
Beyond the Inflamed Appendix: Low-Grade Appendiceal Mucinous Neoplasm—Emphasis on Macroscopic Findings
by Berkenye Csonka, Ádám Ferenczi and Anita Sejben
Diagnostics 2026, 16(2), 315; https://doi.org/10.3390/diagnostics16020315 - 19 Jan 2026
Viewed by 572
Abstract
Low-grade appendiceal mucinous neoplasms (LAMNs) are uncommon epithelial tumors that frequently present with symptoms indistinguishable from acute appendicitis, yet may progress to pseudomyxoma peritonei with significant long-term morbidity. We report the case of a 51-year-old male who presented with periumbilical pain, nausea, and [...] Read more.
Low-grade appendiceal mucinous neoplasms (LAMNs) are uncommon epithelial tumors that frequently present with symptoms indistinguishable from acute appendicitis, yet may progress to pseudomyxoma peritonei with significant long-term morbidity. We report the case of a 51-year-old male who presented with periumbilical pain, nausea, and fever. Although clinical findings suggested acute appendicitis, abdominal ultrasound demonstrated cystic dilation of the appendix, raising suspicion for appendiceal mucocele. Appendectomy revealed a markedly cystic, pearly appendix with multifocal wall discontinuities and mucinous exudate, resulting in complete distortion of normal anatomy. Histological examination reflected LAMN with extra-appendiceal spread. Early postoperative reoperation due to free intra-abdominal fluid revealed pseudomyxoma peritonei. This case underscores the diagnostic challenge of LAMN, highlights the critical role of meticulous gross examination and complete embedding, and emphasizes that subtle macroscopic findings may herald clinically significant peritoneal dissemination. Full article
Show Figures

Figure 1

10 pages, 540 KB  
Review
Not All Patients Need a CT When the Appendix Is Not Seen on Ultrasound: A Scoping Review
by Ali Ramji, Justin J. Y. Kim, Gavin Low, Karim Samji and Mitchell P. Wilson
Diagnostics 2026, 16(2), 304; https://doi.org/10.3390/diagnostics16020304 - 17 Jan 2026
Viewed by 832
Abstract
Background/Objective: Recent North American guidelines suggest that CT is indicated for further evaluation where ultrasound (US) is negative, although the negative predictive value (NPV) of ultrasound in adult patients when the appendix is not seen remains unclear. To assess the negative predictive [...] Read more.
Background/Objective: Recent North American guidelines suggest that CT is indicated for further evaluation where ultrasound (US) is negative, although the negative predictive value (NPV) of ultrasound in adult patients when the appendix is not seen remains unclear. To assess the negative predictive value (NPV) of ultrasound in adult patients when the appendix is not seen. Methods: A scoping review of MEDLINE and EMBASE was performed from inception to 13 May 2025 using PRISMA-ScR guidelines to identify studies evaluating the outcome of adult patients where the appendix is not seen on ultrasound, with preference for studies where there were no secondary signs of acute appendicitis (right lower quadrant free fluid, abscess, ileus, echogenic fat or regional lymphadenopathy). Original studies with at least 10 patients were included in the review. The reference standard included a combination of clinical follow-up, CT and/or pathology. Data synthesis was provided as a qualitative review of the existing literature. Results: Six studies were included in the review. The number of included patients range from 12 to 179 with a mean age of 29–38 years. Few studies reported the patient BMI. NPVs ranged from 80 to 90% for all indeterminate ultrasounds and 83 to 95% for studies where secondary signs of appendicitis were excluded (90 to 95% when non-surgical reference standards were included). Two studies reported NPVs of 96–100% when the pre-test probability was low. Conclusions: The NPV of indeterminate ultrasound for adult patients with right lower quadrant pain and no secondary signs of appendicitis is likely ≥90%. When combined with a low clinical suspicion, the NPV is likely >95%. The appropriateness of a subsequent CT indication when the appendix is not visualized on ultrasound should be determined on an individualized basis. Full article
(This article belongs to the Special Issue Advances in Diagnosis of Digestive Diseases)
Show Figures

Figure 1

14 pages, 1819 KB  
Article
A Hybrid Model with Quantum Feature Map Based on CNN and Vision Transformer for Clinical Support in Diagnosis of Acute Appendicitis
by Zeki Ogut, Mucahit Karaduman, Pinar Gundogan Bozdag, Mehmet Karakose and Muhammed Yildirim
Biomedicines 2026, 14(1), 183; https://doi.org/10.3390/biomedicines14010183 - 14 Jan 2026
Cited by 1 | Viewed by 587
Abstract
Background/Objectives: Rapid and accurate diagnosis of acute appendicitis is crucial for patient health and management, and the diagnostic process can be prolonged due to varying clinical symptoms and limitations of diagnostic tools. This study aims to shorten the timeframe for these vital [...] Read more.
Background/Objectives: Rapid and accurate diagnosis of acute appendicitis is crucial for patient health and management, and the diagnostic process can be prolonged due to varying clinical symptoms and limitations of diagnostic tools. This study aims to shorten the timeframe for these vital processes and increase accuracy by developing a quantum-inspired hybrid model to identify appendicitis types. Methods: The developed model initially selects the two most performing architectures using four convolutional neural networks (CNNs) and two Transformers (ViTs). Feature extraction is then performed from these architectures. Phase-based trigonometric embedding, low-order interactions, and norm-preserving principles are used to generate a Quantum Feature Map (QFM) from these extracted features. The generated feature map is then passed to the Multiple Head Attention (MHA) layer after undergoing Hadamard fusion. At the end of this stage, classification is performed using a multilayer perceptron (MLP) with a ReLU activation function, which allows for the identification of acute appendicitis types. The developed quantum-inspired hybrid model is also compared with six different CNN and ViT architectures recognized in the literature. Results: The proposed quantum-inspired hybrid model outperformed the other models used in the study for acute appendicitis detection. The accuracy achieved in the proposed model was 97.96%. Conclusions: While the performance metrics obtained from the quantum-inspired model will form the basis of deep learning architectures for quantum technologies in the future, it is thought that if 6G technology is used in medical remote interventions, it will form the basis for real-time medical interventions by taking advantage of quantum speed. Full article
(This article belongs to the Section Biomedical Engineering and Materials)
Show Figures

Figure 1

15 pages, 660 KB  
Article
Characterization of Th2 Serum Immune Response in Acute Appendicitis
by Nuno Carvalho, Jani-Sofia Almeida, Elisabete Carolino, Francisco Lopes, Susana Henriques, João Vaz, Hélder Coelho, Paulo Rodrigues dos Santos, Manuel Santos Rosa, Luís Moita, Carlos Luz and Paulo Matos da Costa
Int. J. Mol. Sci. 2026, 27(2), 733; https://doi.org/10.3390/ijms27020733 - 11 Jan 2026
Viewed by 627
Abstract
Acute Appendicitis (AA) is the commonest abdominal digestive surgical emergency, but its etiology is not clarified. Based on histologic observations, an allergic cause has been proposed. In a type I hypersensitivity allergic reaction, there is a Th2 immune response characterized by Th2 cells, [...] Read more.
Acute Appendicitis (AA) is the commonest abdominal digestive surgical emergency, but its etiology is not clarified. Based on histologic observations, an allergic cause has been proposed. In a type I hypersensitivity allergic reaction, there is a Th2 immune response characterized by Th2 cells, eosinophils, basophils, IgE, IL-4, IL-5, and IL-13 serum elevation. Recent studies showed a local appendicular endoluminal and parietal Th2 immune response in acute phlegmonous appendicitis. We performed a prospective single-center study where we evaluated the Th2 blood immune response in 38 patients with acute phlegmonous appendicitis, 27 patients with acute gangrenous appendicitis, and 18 patients with the clinical picture of AA, who underwent appendectomy but had negative histology for AA (negative appendectomy group). Higher levels of basophils were found in phlegmonous appendicitis (p = 0.03), and higher levels of eosinophils were found in the control group (p = 0.003). Effector memory CD4 T cells re-expressing CD45RA were higher in gangrenous (p = 0.020) and central memory CD4 T cells in phlegmonous appendicitis (p = 0.004). The number of Th2 circulating cells was higher in gangrenous appendicitis (p = 0.037), while Th1 circulating cells were higher in phlegmonous appendicitis (p = 0.028). IL-4 blood concentrations were elevated in acute gangrenous appendicitis (p = 0.029). No significant differences were found in the levels of IgE, IL-5, or IL-13 in any of the groups. Thus, a Th2 response was not detected in patients’ serum with phlegmonous appendicitis. Serum levels of IgE, IL-5, and IL-13 were not different among patients with acute phlegmonous appendicitis, acute gangrenous appendicitis, and the negative appendectomy group. These findings are in contrast to our previous work in which we evaluated the Th2 response at the local level, at the appendicular luminal aspect and appendicular wall, in phlegmonous appendicitis and control groups, and we unequivocally showed a Th2 response in phlegmonous appendicitis. Thus, in patients with phlegmonous appendicitis, the local Th2 response is not reflected in the serum levels of immune cells and cytokines. Full article
(This article belongs to the Section Molecular Biology)
Show Figures

Figure 1

12 pages, 632 KB  
Article
CLR (CRP to Lymphocytes) Score for Differentiating Simple and Complicated Appendicitis in Pediatric Patients
by Adir Alper, Ariel Galor, Mathias Lerner, Omer Levy and Osnat Zmora
J. Clin. Med. 2026, 15(1), 393; https://doi.org/10.3390/jcm15010393 - 5 Jan 2026
Cited by 2 | Viewed by 1001
Abstract
Background: Acute appendicitis, a frequent pediatric surgical emergency, requires distinguishing simple from complicated cases for treatment decisions. Current tools, such as clinical scores and ultrasound, are sometimes ineffective. This study evaluates the biomarkers: neutrophils to lymphocytes ratio (NLR), monocytes to lymphocytes ratio [...] Read more.
Background: Acute appendicitis, a frequent pediatric surgical emergency, requires distinguishing simple from complicated cases for treatment decisions. Current tools, such as clinical scores and ultrasound, are sometimes ineffective. This study evaluates the biomarkers: neutrophils to lymphocytes ratio (NLR), monocytes to lymphocytes ratio (MLR), platelet-to-lymphocyte ratio (PLR), neutrophils to monocytes ratio (NMR), neutrophils to platelet ratio (NPR), pan-immune-inflammation value (PIV) ratio, and C-Reactive Protein (CRP) to lymphocytes ratio (CLR) for differentiation between simple and complicated appendicitis. Methods: A retrospective study of 878 pediatric patients (<18 years) who underwent appendectomy (2018–2024) at a tertiary medical center, with appendicitis classified as simple (SA, n = 696) or complicated (CA, n = 182) using intraoperative findings. Biomarkers were calculated from preoperative blood counts and CRP. Diagnostic accuracy was assessed using Mann–Whitney U tests, ROC curves, and logarithmic regression. Results: Patients with CA had higher neutrophils counts (13.61 ± 4.92 vs. 11.39 ± 4.29 K/μL), monocytes counts (1.23 ± 1.41 vs. 0.95 ± 0.48 K/μL), platelet counts (294.31 ± 72.73 vs. 270.15 ± 72.08 K/μL), CRP levels (88.55 ± 97.75 vs. 27.15 ± 44.74 mg/L), and elevated biomarker ratios as compared to those with SA: NLR (≥10.15, OR = 2.45), MLR (≥0.645, OR = 2.78), PLR (≥224.38, OR = 2.502), NMR (≥6.38, OR = 2.34), NPR (≥0.0405, OR = 1.876), PIV (≥2433.85, OR = 3.348), and CLR (≥11.77, OR = 5.935), all at p < 0.01. CLR demonstrated the highest accuracy (AUC = 0.772, sensitivity 78%, specificity 62.6%), outperforming established biomarkers, followed by PIV (AUC = 0.679). NPR was the least effective marker (AUC = 0.569). Conclusions: CLR, a promising biomarker, can aid in distinguishing complicated from simple appendicitis in children, and may offer accessible tools for resource-limited settings. Full article
(This article belongs to the Section Clinical Laboratory Medicine)
Show Figures

Figure 1

15 pages, 792 KB  
Article
The Role of Emerging Immune-Inflammatory Indexes in the Preoperative Differentiation of Complicated and Uncomplicated Acute Appendicitis: A Single-Center Retrospective Analysis
by Botond-István Kiss, Daniela-Tatiana Sala, Renáta Moriczi, Szabolcs-Attila Gábor, Árpád Török, Tivadar Bara, Mircea-Gabriel Mureșan, Valentin Daniealopol, Szilárd-Leó Kiss and Radu-Mircea Neagoe
Diagnostics 2026, 16(1), 21; https://doi.org/10.3390/diagnostics16010021 - 20 Dec 2025
Viewed by 829
Abstract
Background/Objectives: Acute appendicitis (AA) is among the most common surgical emergencies. Differentiating between complicated (CAA) and uncomplicated (UAA) forms is essential for selecting the appropriate management—operative or non-operative—and for optimizing patient prioritization and outcomes. This study aimed to evaluate the diagnostic performance [...] Read more.
Background/Objectives: Acute appendicitis (AA) is among the most common surgical emergencies. Differentiating between complicated (CAA) and uncomplicated (UAA) forms is essential for selecting the appropriate management—operative or non-operative—and for optimizing patient prioritization and outcomes. This study aimed to evaluate the diagnostic performance of emerging inflammatory indices in distinguishing these forms of AA. Methods: A total of 514 adult patients with surgically confirmed AA were retrospectively analyzed. Six immune-inflammatory indices—neutrophil-to-lymphocyte ratio (NLR), platelet-to-lymphocyte ratio (PLR), monocyte-to-lymphocyte ratio (MLR), systemic immune-inflammation index (SII), systemic inflammation response index (SIRI), and pan-immune-inflammation value (PIV)—were calculated and compared with intraoperative and histopathological findings. Postoperative outcomes, including length of hospital stay (LOS) and hospitalization costs, were also evaluated. Results: All six indices were significantly higher in intraoperatively identified complicated cases (p < 0.0001). In histopathological analysis, five indices (NLR, MLR, SII, SIRI, and PIV) remained significantly elevated in patients with wall necrosis or perforation (p = 0.000–0.019), while PLR did not reach statistical significance. The indices showed fair diagnostic accuracy (AUC = 0.664–0.719, p < 0.0001). NLR and MLR were independent risk factors for CAA (p = 0.006 and p = 0.016), and MLR was also independently associated with complicated histopathological findings (p = 0.036). PIV independently predicted both increased LOS and higher hospitalization costs (p = 0.001 for each). Conclusions: These easily calculable inflammatory markers can serve as useful adjuncts for preoperative stratification of AA, supporting timely decision-making and contributing to more cost-effective emergency surgical care. Full article
(This article belongs to the Special Issue New Insights into Emergency Medicine)
Show Figures

Figure 1

16 pages, 1430 KB  
Systematic Review
Diagnostic Accuracy of Non-Contrast CT for Acute Appendicitis in the Emergency Department: A Systematic Review and Meta-Analysis
by Se Kwang Oh
Medicina 2025, 61(12), 2163; https://doi.org/10.3390/medicina61122163 - 4 Dec 2025
Viewed by 2008
Abstract
Background and Objectives: Contrast-enhanced computed tomography (CT) is widely regarded as the gold standard for diagnosing acute appendicitis. However, the use of contrast agents may be contraindicated in patients with renal impairment or a history of allergic reactions. Non-contrast CT (NCCT) offers a [...] Read more.
Background and Objectives: Contrast-enhanced computed tomography (CT) is widely regarded as the gold standard for diagnosing acute appendicitis. However, the use of contrast agents may be contraindicated in patients with renal impairment or a history of allergic reactions. Non-contrast CT (NCCT) offers a potential alternative, but its diagnostic performance has been variably reported across studies. This systematic review and meta-analysis aimed to evaluate the pooled diagnostic accuracy of NCCT in detecting acute appendicitis. Materials and Methods: A comprehensive literature search was conducted across PubMed, Ovid MEDLINE, EMBASE, Cochrane Library, and Google Scholar from inception to June 2025. Studies assessing the diagnostic accuracy of NCCT for acute appendicitis were included. Pooled sensitivity, specificity, and area under the hierarchical summary receiver operating characteristic (HSROC) curve were estimated using a bivariate random-effects model. Study quality was assessed with the QUADAS-2 tool, and publication bias was evaluated using Deeks’ funnel plot asymmetry test. Results: Eleven studies comprising 1996 patients met the inclusion criteria. The pooled sensitivity and specificity of NCCT were 0.93 (95% confidence interval; CI, 0.91–0.95) and 0.97 (95% CI, 0.95–0.97), respectively. The area under the HSROC curve was 0.89 (95% CI, 0.83–0.96), indicating moderate diagnostic performance. Heterogeneity was moderate for sensitivity (I2 = 48.2%) and substantial for specificity (I2 = 77.6%), likely due to differences in study populations and CT acquisition protocols. No significant publication bias was detected (Deeks’ test, p = 0.079). Conclusions: NCCT demonstrates moderate diagnostic accuracy for detecting acute appendicitis and offers a practical alternative for patients who cannot receive contrast media. Its safety and rapid applicability make NCCT a useful imaging option in emergency settings, especially when contrast use is limited. Full article
(This article belongs to the Special Issue Diagnostic Imaging: Recent Advancements and Future Developments)
Show Figures

Figure 1

11 pages, 2048 KB  
Case Report
Delayed Diagnosis of Acute Appendicitis in the Third Trimester of Pregnancy: Diagnostic Pitfalls, Multisurgical Management, and a Prolonged Postoperative Course—A Multidisciplinary Case Report
by Gabija Didžiokaitė, Aida Kuznecovaitė, Audrius Šileikis and Virginija Paliulytė
Diagnostics 2025, 15(20), 2593; https://doi.org/10.3390/diagnostics15202593 - 14 Oct 2025
Viewed by 2915
Abstract
Background/Objectives: Acute appendicitis is the most common non-obstetric surgical emergency during pregnancy. Diagnosing appendicitis in the third trimester remains especially challenging due to physiological changes that obscure clinical presentation and limit the utility of imaging modalities. These challenges can lead to diagnostic delays, [...] Read more.
Background/Objectives: Acute appendicitis is the most common non-obstetric surgical emergency during pregnancy. Diagnosing appendicitis in the third trimester remains especially challenging due to physiological changes that obscure clinical presentation and limit the utility of imaging modalities. These challenges can lead to diagnostic delays, increasing the risk of severe complications for both mother and fetus. Case presentation: We present a complex case of a 36-year-old pregnant woman at 29 + 4 weeks of gestation who developed acute appendicitis with an atypical clinical course. Her initial symptoms were nonspecific and misattributed to gastrointestinal discomfort related to pregnancy. Her condition progressively worsened, leading to an emergency laparoscopic appendectomy. Intraoperative findings confirmed a perforated, necrotic appendix. Postoperatively, she experienced multiple complications, including ileus, wound dehiscence, and complete eventration of the abdominal wall. These required two additional laparotomies and the application of vacuum-assisted closure (VAC) therapy for effective wound management. Despite the severity of maternal complications and the risk of preterm delivery, a multidisciplinary team provided coordinated care. The patient was delivered vaginally at 34 + 4 weeks using vacuum assistance. The neonate, who developed sepsis, was treated in the neonatal intensive care unit and discharged after 24 days. Both mother and child ultimately recovered. Conclusions: This case highlights the diagnostic complexity of appendicitis in late pregnancy and the potential for severe postoperative complications. Prompt surgical intervention, high clinical suspicion, and a multidisciplinary approach are crucial. Moreover, this report adds to the limited literature on the use of VAC therapy for abdominal eventration in pregnancy, demonstrating its feasibility and safety in selected cases. Full article
Show Figures

Figure 1

18 pages, 741 KB  
Article
Practical Benefits of Single- vs. Three-Port Laparoscopic Appendectomy for Pain Relief and Long-Term Cosmesis in Pediatric Patients: A Prospective Comparative Study
by Tae Ah Kim, Won Me Kang and Soo Min Ahn
J. Clin. Med. 2025, 14(19), 7077; https://doi.org/10.3390/jcm14197077 - 7 Oct 2025
Viewed by 1150
Abstract
Background/Objectives: Comparative studies examining postoperative pain and cosmetic outcomes following single-port laparoscopic appendectomy (SLA) and three-port laparoscopic appendectomy (TLA) in pediatric patients with appendicitis have produced inconsistent results. We aimed to determine whether SLA offers practical benefits over TLA in terms of [...] Read more.
Background/Objectives: Comparative studies examining postoperative pain and cosmetic outcomes following single-port laparoscopic appendectomy (SLA) and three-port laparoscopic appendectomy (TLA) in pediatric patients with appendicitis have produced inconsistent results. We aimed to determine whether SLA offers practical benefits over TLA in terms of recovery-phase pain relief and long-term cosmetic satisfaction in pediatric patients. Methods: This prospective comparative study included children aged 15 years or younger who underwent laparoscopic appendectomy for uncomplicated acute appendicitis. The degree of pain reduction was compared between the SLA and TLA groups on postoperative days (PODs) 1, 2, and 7, both at rest and during coughing and ambulation, using the Visual Analog Scale for Pain (VASP). Global cosmetic satisfaction was assessed at 1 month and 3 years postoperatively using the Visual Analog Scale for Cosmesis (VASC). Scar perception was evaluated with the Patient and Parental Scar Assessment Scale (PSAS). The primary outcome was the degree of pain reduction during ambulation on POD7. The secondary outcome was global cosmetic satisfaction at 3 years. Propensity score matching (PSM) was used as a sensitivity analysis to control for baseline differences. Continuous variables were assessed for normality using the Shapiro–Wilk test. Results: Baseline characteristics were similar among 238 patients (127 SLA and 111 TLA). SLA resulted in significantly greater pain reduction during ambulation on POD7 (deltaVASP7_walk: −6.22 ± 2.60 vs. −5.06 ± 3.23, p < 0.01, mean difference = −1.16, Cohen’s d = 0.39). However, this difference did not reach the minimal clinically important difference (MCID) threshold of 1.3. PSM analysis with 82 matched pairs confirmed the results, with even larger effect sizes. At 3 years, the SLA group reported significantly higher cosmetic satisfaction (VASC: median 10 [9–10] vs. 8 [6–9], p < 0.001, r = 0.44), surpassing the MCID of 1.5. The TLA group scored worse in scar perception regarding color, stiffness, thickness, and irregularity. Mediation analysis indicated that 66% of the overall effect on cosmetic satisfaction was mediated by scar perception. Conclusions: Although SLA offers statistically significant yet clinically marginal benefits in early postoperative pain reduction, it provides substantial benefits in long-term cosmetic satisfaction compared with TLA in pediatric patients. Full article
(This article belongs to the Section General Surgery)
Show Figures

Graphical abstract

Back to TopTop