Effect of an 11-Week Repeated Maximal Lumbar Movement with Controlled Breathing on Lumbar Sagittal Range of Motion in Elite Swimmers: A Randomized Clinical Trial
Abstract
1. Introduction
2. Materials and Methods
2.1. Study Design
2.2. Study Population
2.3. Procedures
2.4. Testing Protocol
2.5. Statistical Analyses
3. Results
4. Discussion
5. Conclusions
Author Contributions
Funding
Institutional Review Board Statement
Informed Consent Statement
Data Availability Statement
Acknowledgments
Conflicts of Interest
References
- Ha, T.H.; Saber-Sheikh, K.; Moore, A.P.; Jones, M.P. Measurement of Lumbar Spine Range of Movement and Coupled Motion Using Inertial Sensors—A Protocol Validity Study. Man. Ther. 2013, 18, 87–91. [Google Scholar] [CrossRef] [PubMed]
- Consmüller, T.; Rohlmann, A.; Weinland, D.; Druschel, C.; Duda, G.N.; Taylor, W.R. Comparative Evaluation of a Novel Measurement Tool to Assess Lumbar Spine Posture and Range of Motion. Eur. Spine J. 2012, 21, 2170–2180. [Google Scholar] [CrossRef] [PubMed]
- Edmondston, S.J.; Song, S.; Bricknell, R.V.; Davies, P.A.; Fersum, K.; Humphries, P.; Wickenden, D.; Singer, K.P. MRI Evaluation of Lumbar Spine Flexion and Extension in Asymptomatic Individuals. Man. Ther. 2000, 5, 158–164. [Google Scholar] [CrossRef] [PubMed]
- Apti, A.; Çolak, T.K.; Akçay, B. Normative values for cervical and lumbar range of motion in healthy young adults. J. Turk. Spinal Surg. 2023, 34, 113–117. [Google Scholar] [CrossRef]
- Errabity, A.; Calmels, P.; Suck Han, W.; Bonnaire, R.; Pannetier, R.; Convert, R.; Molimard, J. The Effect of Low Back Pain on Spine Kinematics: A Systematic Review and Meta-Analysis. Clin. Biomech. 2023, 108, 106070. [Google Scholar] [CrossRef]
- Leetun, D.T.; Ireland, M.L.; Willson, J.D.; Ballantyne, B.T.; Davis, I.M. Core Stability Measures as Risk Factors for Lower Extremity Injury in Athletes. Med. Sci. Sports Exerc. 2004, 36, 926–934. [Google Scholar] [CrossRef]
- Panjabi, M.M. The Stabilizing System of the Spine. Part I. Function, Dysfunction, Adaptation, and Enhancement. J. Spinal Disord. 1992, 5, 383–389, discussion 397. [Google Scholar] [CrossRef]
- Mok, N.W.; Hodges, P.W. Movement of the Lumbar Spine Is Critical for Maintenance of Postural Recovery Following Support Surface Perturbation. Exp. Brain Res. 2013, 231, 305–313. [Google Scholar] [CrossRef]
- Khiyami, A.; Nuhmani, S.; Joseph, R.; Abualait, T.S.; Muaidi, Q. Efficacy of Core Training in Swimming Performance and Neuromuscular Parameters of Young Swimmers: A Randomised Control Trial. J. Clin. Med. 2022, 11, 3198. [Google Scholar] [CrossRef]
- Ji, M.-Y.; Yoon, J.-H.; Song, K.-J.; Oh, J.-K. Effect of Dry-Land Core Training on Physical Fitness and Swimming Performance in Adolescent Elite Swimmers. Iran. J. Public Health 2021, 50, 540–549. [Google Scholar] [CrossRef]
- Karpiński, J.; Rejdych, W.; Brzozowska, D.; Gołaś, A.; Sadowski, W.; Swinarew, A.S.; Stachura, A.; Gupta, S.; Stanula, A. The Effects of a 6-Week Core Exercises on Swimming Performance of National Level Swimmers. PLoS ONE 2020, 15, e0227394. [Google Scholar] [CrossRef] [PubMed]
- Hibbs, A.E. Development and Evaluation of a Core Training Programme in Highly Trained Swimmers. Ph.D. Thesis, Teesside University, Middlesbrough, UK, 2011. [Google Scholar]
- Ruiz-Navarro, J.J.; Cuenca-Fernández, F.; Sanders, R.; Arellano, R. The Determinant Factors of Undulatory Underwater Swimming Performance: A Systematic Review. J. Sports Sci. 2022, 40, 1243–1254. [Google Scholar] [CrossRef] [PubMed]
- Matsuura, Y.; Matsunaga, N.; Iizuka, S.; Akuzawa, H.; Kaneoka, K. Muscle Synergy of the Underwater Undulatory Swimming in Elite Male Swimmers. Front. Sports Act. Living 2020, 2, 62. [Google Scholar] [CrossRef] [PubMed]
- Veiga, S.; Lorenzo, J.; Trinidad, A.; Pla, R.; Fallas-Campos, A.; de la Rubia, A. Kinematic Analysis of the Underwater Undulatory Swimming Cycle: A Systematic and Synthetic Review. Int. J. Environ. Res. Public Health 2022, 19, 12196. [Google Scholar] [CrossRef]
- Nakashima, M. Simulation Analysis of the Effect of Trunk Undulation on Swimming Performance in Underwater Dolphin Kick of Human. J. Biomech. Sci. Eng. 2009, 4, 94–104. [Google Scholar] [CrossRef]
- Born, D.-P.; Burkhardt, D.; Buck, M.; Schwab, L.; Romann, M. Key Performance Indicators and Reference Values for Turn Performance in Elite Youth, Junior and Adult Swimmers. Sports Biomech. 2024, 1–21. [Google Scholar] [CrossRef]
- Houel, N.; Elipot, M.; Andrée, F.; Hellard, H. Kinematics Analysis of Undulatory Underwater Swimming during a Grab Start of National Level Swimmers. In Proceedings of the XIth International Symposium for Biomechanics & Medicine in Swimming, Oslo, Norway, 16–19 June 2010; pp. 97–99. [Google Scholar]
- Connaboy, C.; Coleman, S.; Moir, G.; Sanders, R. Measures of Reliability in the Kinematics of Maximal Undulatory Underwater Swimming. Med. Sci. Sports Exerc. 2010, 42, 762–770. [Google Scholar] [CrossRef]
- Gavilan, A.; Arellano, R.; Sanders, R. Underwater undulatory swimming: Study of frequency, amplitude and phase characteristics of the “body wave”. Revista Portuguesa de Ciencias do Desporto 2006, 6, 35–37. [Google Scholar]
- Marshall, P.W.M.; Desai, I.; Robbins, D.W. Core Stability Exercises in Individuals With and Without Chronic Nonspecific Low Back Pain. J. Strength Cond. Res. 2011, 25, 3404–3411. [Google Scholar] [CrossRef]
- Willardson, J.M. Core Stability Training: Applications to Sports Conditioning Programs. J. Strength Cond. Res. 2007, 21, 979–985. [Google Scholar] [CrossRef]
- Warneke, K.; Lohmann, L.H.; Wilke, J. Effects of Stretching or Strengthening Exercise on Spinal and Lumbopelvic Posture: A Systematic Review with Meta-Analysis. Sports Med. Open 2024, 10, 65. [Google Scholar] [CrossRef] [PubMed]
- Aman, J.E.; Elangovan, N.; Yeh, I.L.; Konczak, J. The Effectiveness of Proprioceptive Training for Improving Motor Function: A Systematic Review. Front. Hum. Neurosci. 2015, 8, 1075. [Google Scholar] [CrossRef] [PubMed]
- Winter, L.; Huang, Q.; Sertic, J.V.L.; Konczak, J. The Effectiveness of Proprioceptive Training for Improving Motor Performance and Motor Dysfunction: A Systematic Review. Front. Rehabil. Sci. 2022, 3, 830166. [Google Scholar] [CrossRef] [PubMed]
- Zhou, Z.; Morouço, P.G.; Dalamitros, A.A.; Chen, C.; Cui, W.; Wu, R.; Wang, J. Effects of Two Warm-up Protocols on Isokinetic Knee Strength, Jumping Ability and Sprint Swimming Performance in Competitive Swimmers. Sci. Rep. 2024, 14, 28415. [Google Scholar] [CrossRef]
- Papadimitriou, K.; Loupos, D.; Tsalis, G.; Manou, B. Effects of Proprioceptive Neuromuscular Facilitation (PNF) on Swimmers Leg Mobility and Performance. J. Phys. Educ. Sport 2017, 17, 663–668. [Google Scholar] [CrossRef]
- Emery, K.; De Serres, S.J.; McMillan, A.; Côté, J.N. The Effects of a Pilates Training Program on Arm-Trunk Posture and Movement. Clin. Biomech. 2010, 25, 124–130. [Google Scholar] [CrossRef]
- Desai, I.; Marshall, P.W.M. Acute Effect of Labile Surfaces during Core Stability Exercises in People with and without Low Back Pain. J. Electromyogr. Kinesiol. 2010, 20, 1155–1162. [Google Scholar] [CrossRef]
- Skundric, G.; Vukicevic, V.; Lukic, N. Effects of Core Stability Exercises, Lumbar Lordosis and Low-Back Pain: A Systematic Review. J. Anthropol. Sport Phys. Educ. 2021, 5, 17–23. [Google Scholar] [CrossRef]
- Ahmed, M.F.; Taher shosha, N. Efficiency of the Program of Visual Training On Some Visual Skills and Visual Perceptual Skills and Their Relationship to Performance Level Synchronized Swimming Juniors. Procedia Soc. Behav. Sci. 2012, 32, 771–775. [Google Scholar] [CrossRef][Green Version]
- Nieto-Guisado, A.; Solana-Tramunt, M.; Marco-Ahulló, A.; Sevilla-Sánchez, M.; Cabrejas, C.; Campos-Rius, J.; Morales, J. The Mediating Role of Vision in the Relationship between Proprioception and Postural Control in Older Adults, as Compared to Teenagers and Younger and Middle-Aged Adults. Healthcare 2022, 10, 103. [Google Scholar] [CrossRef]
- Lepage, L.; Altman, D.G.; Schulz, K.F.; Moher, D.; Egger, M.; Davidoff, F.; Elbourne, D.; Gøtzsche, P.C.; Lang, T. The Revised CONSORT Statement for Reporting Randomized Trials: Explanation and Elaboration. Ann. Intern. Med. 2001, 134, 663–694. [Google Scholar]
- World Medical Association. Declaration of Helsinki Ethical Principles for Medical Research Involving Human Subjects. JAMA 2013, 310, 2191–2194. [Google Scholar] [CrossRef] [PubMed]
- Madson, T.J.; Youdas, J.W.; Suman, V.J. Reproducibility of Lumbar Spine Range of Motion Measurements Using the Back Range of Motion Device. J. Orthop. Sports Phys. Ther. 1999, 29, 470–477. [Google Scholar] [CrossRef] [PubMed]
- Cohen, J. Statistical Power Analysis for the Behavioral Sciences, 2nd ed.; Lawrence Erlbaum Associates: Hillsdale, NJ, USA, 1988. [Google Scholar]
- Behm, D.G.; Chaouachi, A. A Review of the Acute Effects of Static and Dynamic Stretching on Performance. Eur. J. Appl. Physiol. 2011, 111, 2633–2651. [Google Scholar] [CrossRef]
- Portas, C.M.; Rees, G.; Howseman, A.M.; Josephs, O.; Turner, R.; Frith, C.D. A Specific Role for the Thalamus in Mediating the Interaction of Attention and Arousal in Humans. J. Neurosci. 1998, 18, 8979–8989. [Google Scholar] [CrossRef]
- Johnson, E.O.; Babis, G.C.; Soultanis, K.C.; Soucacos, P.N. Functional Neuroanatomy of Proprioception. J. Surg. Orthop. Adv. 2008, 17, 159–164. [Google Scholar]
- Proske, U. What Is the Role of Muscle Receptors in Proprioception? Muscle Nerve 2005, 31, 780–787. [Google Scholar] [CrossRef]
- Short, S.E.; Tenute, A.; Feltz, D.L. Imagery Use in Sport: Mediational Effects for Efficacy. J. Sports Sci. 2005, 23, 951–960. [Google Scholar] [CrossRef]
- Mizuguchi, N.; Nakata, H.; Uchida, Y.; Kanosue, K. Motor Imagery and Sport Performance. J. Phys. Fit. Sports Med. 2012, 1, 103–111. [Google Scholar] [CrossRef]
- Hiemstra, L.A.; Lo, I.K.; Fowler, P.J. Effect of Fatigue on Knee Proprioception: Implications for Dynamic Stabilization. J. Orthop. Sports Phys. Ther. 2001, 31, 598–605. [Google Scholar] [CrossRef]
- Myers, J.B.; Guskiewicz, K.M.; Schneider, R.A.; Prentice, W.E. Proprioception and Neuromuscular Control of the Shoulder after Muscle Fatigue. J. Athl. Train. 1999, 34, 362–367. [Google Scholar] [PubMed]
- Brown, J.P.; Bowyer, G.W. Effects of Fatigue on Ankle Stability and Proprioception in University Sportspeople. Br. J. Sports Med. 2002, 36, 310. [Google Scholar] [CrossRef]
- Gear, W.S. Effect of Different Levels of Localized Muscle Fatigue on Knee Position Sense. J. Sports Sci. Med. 2011, 10, 725–730. [Google Scholar]
- Cabrejas, C.; Solana-Tramunt, M.; Morales, J.; Campos-Rius, J.; Ortegón, A.; Nieto-Guisado, A.; Carballeira, E. The Effect of Eight-Week Functional Core Training on Core Stability in Young Rhythmic Gymnasts: A Randomized Clinical Trial. Int. J. Environ. Res. Public Health 2022, 19, 3509. [Google Scholar] [CrossRef]
- Kurt, S.; İbiş, S.; Burak Aktuğ, Z.; Altundağ, E. The Effect of Core Training on Swimmers’ Functional Movement Screen Scores and Sport Performances. JTRM Kinesiol. Sports Media 2023, 2, 1–6. [Google Scholar]
- Lederman, E. The Myth of Core Stability. J. Bodyw. Mov. Ther. 2010, 14, 84–98. [Google Scholar] [CrossRef]
- Grooms, D.R.; Grindstaff, T.L.; Croy, T.; Hart, J.M.; Saliba, S.A. Clinimetric Analysis of Pressure Biofeedback and Transversus Abdominis Function in Individuals with Stabilization Classification Low Back Pain. J. Orthop. Sports Phys. Ther. 2013, 43, 184–193. [Google Scholar] [CrossRef]
- Hodges, P.; Kaigle Holm, A.; Holm, S.; Ekström, L.; Cresswell, A.; Hansson, T.; Thorstensson, A. Intervertebral Stiffness of the Spine Is Increased by Evoked Contraction of Transversus Abdominis and the Diaphragm: In Vivo Porcine Studies. Spine 2003, 28, 2594–2601. [Google Scholar] [CrossRef]
- Bradley, H.; Esformes, J. Breathing Pattern Disorders and Functional Movement. Int. J. Sports Phys. Ther. 2014, 9, 28–39. [Google Scholar]
- Talasz, H.; Kremser, C.; Talasz, H.J.; Kofler, M.; Rudisch, A. Breathing, (S)Training and the Pelvic Floor—A Basic Concept. Healthcare 2022, 10, 1035. [Google Scholar] [CrossRef]
- Zbieta Szczygiel, E.; Edrzej Blaut, J.; Zielonka-Pycka, K.; Tomaszewski, K.; Golec, J.; Czechowska, D.; Maslo, A.; Golec, E. The Impact of Deep Muscle Training on the Quality of Posture and Breathing. J. Mot. Behav. 2018, 50, 219–227. [Google Scholar] [CrossRef] [PubMed]
- Okada, T.; Huxel, K.C.; Nesser, T.W. Relationship between Core Stability, Functional Movement, and Performance. J. Strength Cond. Res. 2011, 25, 252–261. [Google Scholar] [CrossRef] [PubMed]
- Hibbs, A.E.; Thompson, K.G.; French, D.; Wrigley, A.; Spears, I. Optimizing Performance by Improving Core Stability and Core Strength. Sports Med. 2008, 38, 995–1008. [Google Scholar] [CrossRef]
- Pearcy, M.; Portek, I.; Shepherd, J. Three-Dimensional X-Ray Analysis of Normal Movement in the Lumbar Spine. Spine 1984, 9, 294–297. [Google Scholar] [CrossRef]
- Perriman, D.M.; Scarvell, J.M.; Hughes, A.R.; Ashman, B.; Lueck, C.J.; Smith, P.N. Validation of the Flexible Electrogoniometer for Measuring Thoracic Kyphosis. Spine 2010, 35, E633–E640. [Google Scholar] [CrossRef]
- Luomajoki, H.; Kool, J.; de Bruin, E.D.; Airaksinen, O. Reliability of Movement Control Tests in the Lumbar Spine. BMC Musculoskelet. Disord. 2007, 8, 90. [Google Scholar] [CrossRef]
- May, S.; Littlewood, C.; Bishop, A. Reliability of Procedures Used in the Physical Examination of Non-Specific Low Back Pain: A Systematic Review. Aust. J. Physiother. 2006, 52, 91–102. [Google Scholar] [CrossRef]




|
| Age (yr), mean (SD) | |
| Males | 20.2 (4.2) |
| Females | 20.7 (3.3) |
| Gender, n female (%) | 23 (40.3%) |
| Body mass Kg, mean (SD) | 69.7 (10.3) |
| Height, cm, mean (SD) | 177.8 (7.5) |
| Professional swimming experience (years) mean (SD) | 8.7 (4.4) |
| Level, n (%) | |
| Olympic | 33 (57.8%) |
| International | 13 (22.8%) |
| National | 11 (19.2%) |
| Main swimming style n (%) | |
| Freestyle | 18 (31.5%) |
| Breaststroke | 14 (24.5%) |
| Butterfly | 9 (15.7%) |
| Backstroke | 8 (14.0%) |
| Individual medley | 8 (14.0%) |
| Main competition distance n (%) | |
| 50–100 | 20 (35.1%) |
| 200–400 | 31 (54.4%) |
| 800–1500 | 6 (10.5%) |
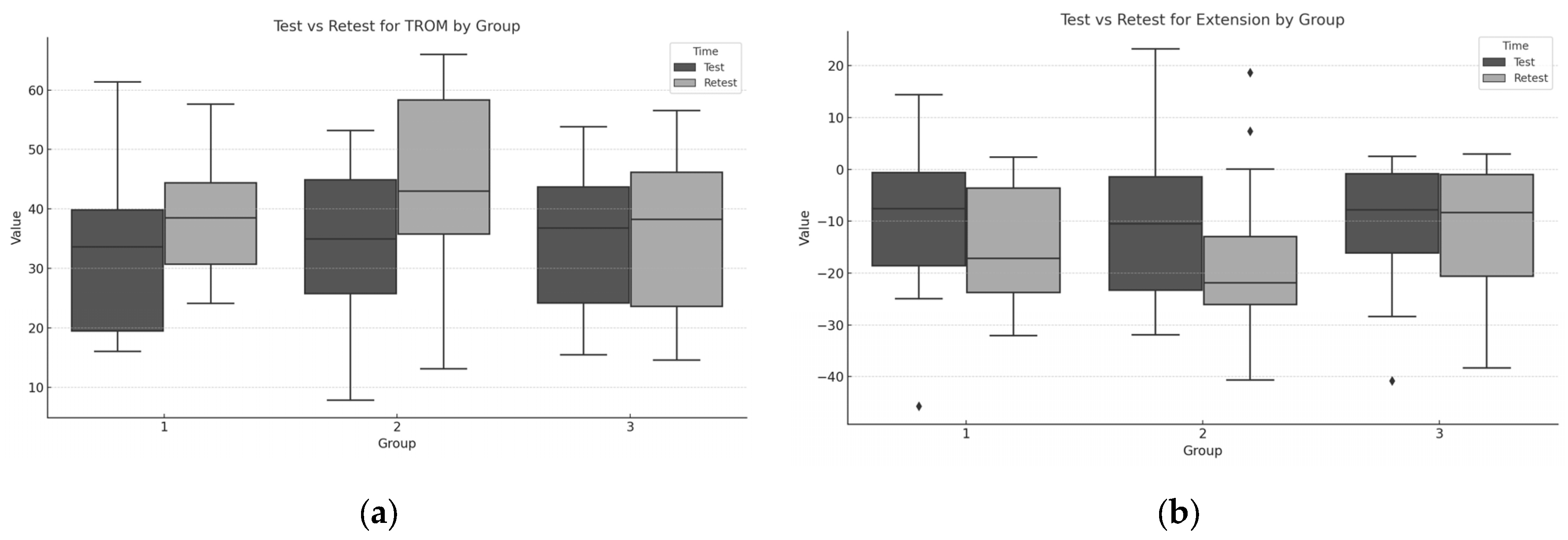
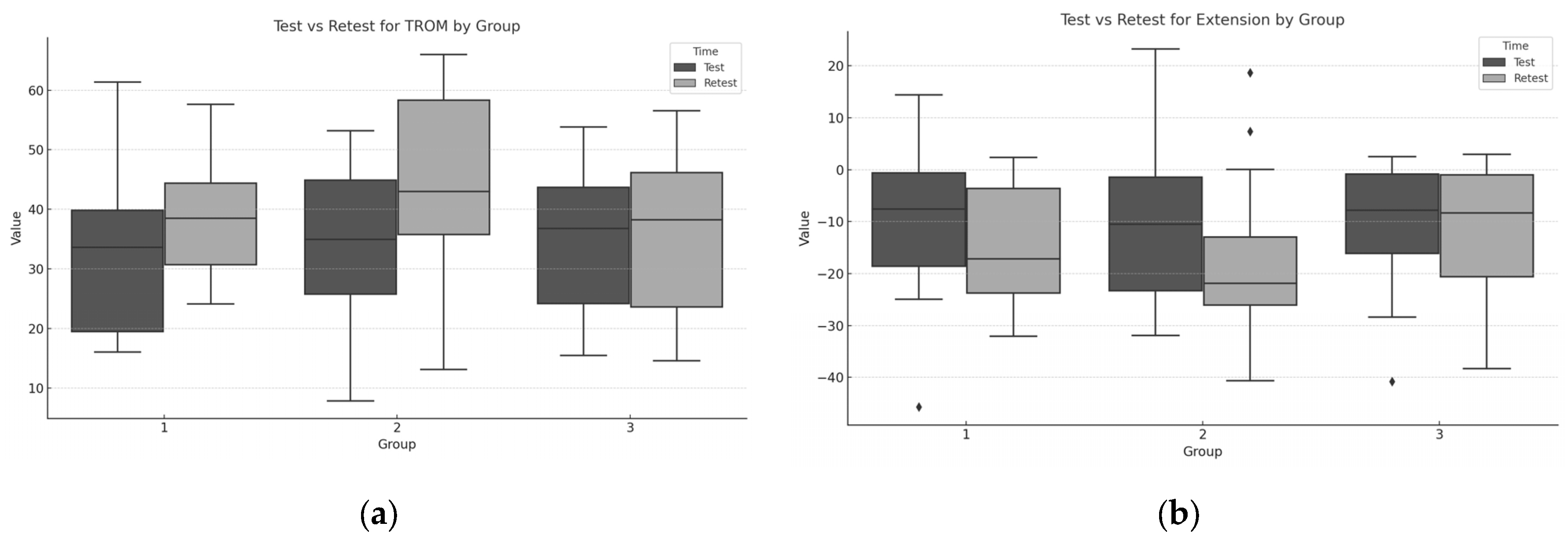
| Group | Flex Test | Flex Retest | d(CI) | Ext Test | Ext Retest | d(CI) | TROM Test | TROM Retest | d(CI) |
|---|---|---|---|---|---|---|---|---|---|
| EG1 | 22.8 | 23.5 | −0.10 | −9.6 | −14.5 | 0.47 | 32.4 | 38.0 | 0.52 |
| (8.6) | (5.6) | (−0.48) | (14.2) | (10.5) | (−0.15) | (12.9) | (9.4) | (−0.85) | |
| EG2 | 24.1 | 26.4 | −0.47 | −10.2 | −18.3 * | 0.83 | 34.4 | 44.7 * | −1.12 |
| (6.4) | (6.1) | (−0.78) | (14.2) | (15.1) | (−0.05) | (12.0) | (14.0) | (−1.11) | |
| CG | 23.5 | 24.0 | −0.38 | −11.2 | −11.9 | 0.16 | 34.7 | 35.9 | −0.31 |
| (7.8) | (7.6) | (−0.52) | (11.9) | (12.4) | (−0.45) | (11.9) | (12.5) | (−0.64) |
Disclaimer/Publisher’s Note: The statements, opinions and data contained in all publications are solely those of the individual author(s) and contributor(s) and not of MDPI and/or the editor(s). MDPI and/or the editor(s) disclaim responsibility for any injury to people or property resulting from any ideas, methods, instructions or products referred to in the content. |
© 2025 by the authors. Licensee MDPI, Basel, Switzerland. This article is an open access article distributed under the terms and conditions of the Creative Commons Attribution (CC BY) license (https://creativecommons.org/licenses/by/4.0/).
Share and Cite
Solana-Tramunt, M.; Bofill-Ródenas, A.; Cabedo, J.; Badiola-Zabala, A.; Guerra-Balic, M. Effect of an 11-Week Repeated Maximal Lumbar Movement with Controlled Breathing on Lumbar Sagittal Range of Motion in Elite Swimmers: A Randomized Clinical Trial. Healthcare 2025, 13, 457. https://doi.org/10.3390/healthcare13050457
Solana-Tramunt M, Bofill-Ródenas A, Cabedo J, Badiola-Zabala A, Guerra-Balic M. Effect of an 11-Week Repeated Maximal Lumbar Movement with Controlled Breathing on Lumbar Sagittal Range of Motion in Elite Swimmers: A Randomized Clinical Trial. Healthcare. 2025; 13(5):457. https://doi.org/10.3390/healthcare13050457
Chicago/Turabian StyleSolana-Tramunt, Mónica, Ana Bofill-Ródenas, Josep Cabedo, Alesander Badiola-Zabala, and Myriam Guerra-Balic. 2025. "Effect of an 11-Week Repeated Maximal Lumbar Movement with Controlled Breathing on Lumbar Sagittal Range of Motion in Elite Swimmers: A Randomized Clinical Trial" Healthcare 13, no. 5: 457. https://doi.org/10.3390/healthcare13050457
APA StyleSolana-Tramunt, M., Bofill-Ródenas, A., Cabedo, J., Badiola-Zabala, A., & Guerra-Balic, M. (2025). Effect of an 11-Week Repeated Maximal Lumbar Movement with Controlled Breathing on Lumbar Sagittal Range of Motion in Elite Swimmers: A Randomized Clinical Trial. Healthcare, 13(5), 457. https://doi.org/10.3390/healthcare13050457

