Exploring the Relationship Between Knowledge, Attitudes, Self-Efficacy, and Infection Control Practices Among Saudi Arabian Nurses: A Multi-Center Study
Abstract
1. Introduction
2. Methods
2.1. Research Design
2.1.1. Settings
2.1.2. Participants
2.1.3. Data Gathering Tools
2.2. Data Gathering Procedure
2.3. Ethical Considerations
2.4. Data Analysis
3. Results
4. Discussion
4.1. Implication of the Study
4.2. Study Limitation
5. Conclusions
Author Contributions
Funding
Institutional Review Board Statement
Informed Consent Statement
Data Availability Statement
Acknowledgments
Conflicts of Interest
References
- Lowe, H.; Woodd, S.; Lange, I.L.; Janjanin, S.; Barnet, J.; Graham, W. Challenges and opportunities for infection prevention and control in hospitals in conflict-affected settings: A qualitative study. Confl. Health 2021, 15, 94. [Google Scholar] [CrossRef]
- Gaid, E.; Assiri, A.M.; McNabb, S.J.N.; Banjar, W. Device-associated nosocomial infection in general hospitals, kingdom of saudi arabia, 2013–2016. J. Epidemiol. Glob. Health 2017, 7 (Suppl. S1), S35. [Google Scholar] [CrossRef] [PubMed]
- Kim, J.; Heo, S.; Yang, J.; Kim, M.; Park, S.; Cho, K.; Kang, J.; Yi, H.; An, M. The moderating effect of attitudes in the relationship between knowledge and self-efficacy in palliative care among nurses: A cross-sectional, correlational study. PLoS ONE 2023, 18, e0292135. [Google Scholar] [CrossRef] [PubMed]
- Rahiman, F.; Chikte, U.; Hughes, G. Nursing students’ knowledge, attitude and practices of infection prevention and control guidelines at a tertiary institution in the western cape: A cross sectional study. Nurse Educ. Today 2018, 69, 20–25. [Google Scholar] [CrossRef]
- Paul, E.; Asiri, I.A.A.; Al-Hakami, A.; Chandramoorthy, H.C.; Alshehri, S.; Beynon, C.M.; Alkahtani, A.M.; Asiri, A.H. Healthcare workers’ perspectives on healthcare-associated infections and infection control practices: A video-reflexive ethnography study in the asir region of saudi arabia. Antimicrob. Resist. Infect. Control. 2020, 9, 110. [Google Scholar] [CrossRef] [PubMed]
- Limbu, D.; Piryani, R.M.; Sunny, A.K. Healthcare workers’ knowledge, attitude and practices during the COVID-19 pandemic response in a tertiary care hospital of nepal. PLoS ONE 2020, 15, e0242126. [Google Scholar] [CrossRef]
- Bandura, A. Self-Efficacy: The Exercise of Control; W. H. Freeman: New York, NY, USA, 1997. [Google Scholar]
- Lee, M.; Kang, B.; You, M. Knowledge, attitudes, and practices (kap) toward COVID-19: A cross-sectional study in south korea. BMC Public Health 2021, 21, 295. [Google Scholar] [CrossRef]
- Alanazi, K.H.; Saleh, G.M.B.; Al-Eidi, S.; AlHarbi, M.A.; Hathout, H. Prevalence and risk factors of burnout among healthcare professionals during COVID-19 pandemic—Saudi arabia. Am. J. Public Health Res. 2020, 9, 18–27. [Google Scholar] [CrossRef]
- Alshammari, F.; Pasay-an, E.; Alboliteeh, M.; Alshammari, M.H.; Susanto, T.; Villareal, S.; Indonto, M.C.L.; Gonzales, F. A survey of hospital healthcare professionals’ perceptions toward patient safety culture in Saudi Arabia. Int. J. Afr. Nurs. Sci. 2019, 11, 100149. [Google Scholar] [CrossRef]
- Alnaeem, L.; Alanizi, S.; AlQarni, G.; Alwadani, J.; Bomouzah, F.; Ali, Z. Acceptance, knowledge, and attitude of parents toward the human papillomavirus vaccine in the eastern region of saudi arabia: A cross-sectional study. Cureus 2023, 15, e51293. [Google Scholar] [CrossRef]
- Ahn, C.; Noh, G. Testing extended parallel processing model in the korean COVID-19 context: Effect of moral intuitions as moderators. Front. Public Health 2021, 9, 756281. [Google Scholar] [CrossRef] [PubMed]
- Mutaru, A.; Balegha, A.; Kunsu, R.; Collins, G. Knowledge and determinants of infection prevention and control compliance among nurses in yendi municipality, ghana. PLoS ONE 2022, 17, e0270508. [Google Scholar] [CrossRef]
- Savul, S.; Lalani, F.; Ikram, A.; Khan, M.; Khan, M.; Ansari, J. Infection prevention and control situation in public hospitals of islamabad. J. Infect. Dev. Ctries. 2020, 14, 1040–1046. [Google Scholar] [CrossRef] [PubMed]
- Mishra, J.K. Understanding employee perception of fairness at workplace: An analytical study. Quantum J. Soc. Sci. Humanit. 2021, 2, 75–85. [Google Scholar] [CrossRef]
- Abalkhail, A.; Al Imam, M.H.; Elmosaad, Y.M.; Jaber, M.F.; Hosis, K.A.; Alhumaydhi, F.A.; Alslamah, T.; Alamer, A.; Mahmud, I. Knowledge, Attitude and Practice of Standard Infection Control Precautions among Health-Care Workers in a University Hospital in Qassim, Saudi Arabia: A Cross-Sectional Survey. Int. J. Environ. Res. Public Health 2021, 18, 11831. [Google Scholar] [CrossRef] [PubMed] [PubMed Central]
- Mohd-Nor, N.; Bit-Lian, Y. Knowledge, Attitude and Practices of Standard Precaution among Nurses in Middle East Hospital. SciMedicine J. 2019, 1, 189–198. [Google Scholar] [CrossRef]
- Luo, Y.; He, G.P.; Zhou, J.W.; Luo, Y. Factors impacting compliance with standard precautions in nursing, China. Int. J. Infect. Dis. 2010, 14, e1106–e1114. [Google Scholar] [CrossRef] [PubMed] [PubMed Central]
- Sarani, H.; Balouchi, A.; Masinaeinezhad, N.; Ebrahimitabas, E. Knowledge, Attitude and Practice of Nurses about Standard Precautions for Hospital-Acquired Infection in Teaching Hospitals Affiliated to Zabol University of Medical Sciences (2014). Glob. J. Health Sci. 2015, 8, 193–198. [Google Scholar] [CrossRef] [PubMed] [PubMed Central]
- Schwarzer, R.; Jerusalem, M. Generalized Self-Efficacy scale. In Measures in Health Psychology: A User’s Portfolio. Causal and Control Beliefs; Weinman, J., Wright, S., Johnston, M., Eds.; NFER-NELSON: Windsor, UK, 1995; pp. 35–37. [Google Scholar]
- White, I.R.; Royston, P.; Wood, A. Multiple imputation using chained equations: Issues and guidance for practice. Stat. Med. 2010, 30, 377–399. [Google Scholar] [CrossRef]
- Doğan, C.D. Applying bootstrap resampling to compute confidence intervals for various statistics with r. Eurasian J. Educ. Res. 2017, 17, 1–18. [Google Scholar] [CrossRef]
- Radhakrishnan, R.; Datchanamoorthy, M.; Narayanasamy, D.; Leela, K.V. Assessment on infection prevention and control knowledge among medical professionals in south indian population. J. Infect. Dev. Ctries. 2023, 17, 468–476. [Google Scholar] [CrossRef] [PubMed]
- Alrimali, A.; Alreshidi, N.M.; Alenizi, A.; Alrashidi, S.; Alshammari, W.; LLego, J. Behavioral determinants of hand hygiene compliance among nurses in intensive care units in hai’l, saudi arabia. Int. J. Adv. Appl. Sci. 2023, 10, 46–55. [Google Scholar] [CrossRef]
- Gaikwad, U.N.; Basak, S.; Kulkarni, P.; Sande, S.; Cahavan, S.; Mudey, G.; Tankhiwale, N.S.; Fule, R.P.; Gaikwad, N.R. Educational intervention to foster best infection control practices among nursing staff. Int. J. Infect. 2018, 5, e81531. [Google Scholar] [CrossRef]
- Aljohani, K. Nursing education in saudi arabia: History and development. Cureus 2020, 12, e7874. [Google Scholar] [CrossRef]
- Almutairi, H.; Bahari, G. A multisite survey of managerial competence and organizational commitment among nurses working at public hospitals in saudi arabia. J. Nurs. Manag. 2021, 30, 179–186. [Google Scholar] [CrossRef]
- Khai-Lee, O.; Woan-Ching, C.; Bit-Lian, Y. Perception of job satisfaction among operation room nurses in a tertiary hospital, saudi arabia. Malays. J. Nurs. 2020, 12, 3–9. [Google Scholar] [CrossRef]
- Adegboye, M.B.; Aliyu, S.; Ahmed, B.; Olufemi, G.H. Knowledge, awareness and practice of infection control by health care workers in the intensive care units of a tertiary hospital in nigeria. Afr. Health Sci. 2018, 18, 72. [Google Scholar] [CrossRef]
- Romem, A.; Rozani, V. Gender-related differences in the scope of nursing practice: Evidence from a cross-sectional study in geriatric healthcare settings. BMC Nurs. 2024, 23, 852. [Google Scholar] [CrossRef]
- Almutairi, M.; Alnezary, F.; Alsuwaylim, R.; Alsulaymi, I.; Almohammed, O.; Thabit, A. Assessment of knowledge and practice of healthcare providers in saudi arabia regarding clostridioides difficile infection diagnosis and management: A cross-sectional questionnaire-based study. Infect. Drug Resist. 2024, 17, 583–594. [Google Scholar] [CrossRef]
- Braun, B.I.; Chitavi, S.O.; Suzuki, H.; Soyemi, C.A.; Puig-Asensio, M. Culture of Safety: Impact on Improvement in Infection Prevention Process and Outcomes. Curr. Infect. Dis. Rep. 2020, 22, 34. [Google Scholar] [CrossRef]
- Idrees, M.; Koniski, M.-L.; Taright, S.; Shahrour, N.; Polatli, M.; Ben Kheder, A.; Alzaabi, A.; Iraqi, G.; Khattab, A.; Javed, A.; et al. Management of chronic obstructive pulmonary disease in the middle east and north africa: Results of the breathe study. Respir. Med. 2012, 106, S33–S44. [Google Scholar] [CrossRef] [PubMed]
- Aljondi, R.; Alghamdi, S.S.; Abdelaziz, I.; Bushara, L.; Alghamdi, S.; Aljehani, A.; Zailae, A.; Alghamdi, J.S.; Feteih, I.; Mahmoud, M.Z.; et al. Knowledge of COVID-19 infection control among healthcare workers in radiology departments in saudi arabia. J. Radiat. Res. Appl. Sci. 2021, 14, 51–60. [Google Scholar] [CrossRef]
- Rabaan, A.A.; Alhani, H.M.; Bazzi, A.M.; Al-Ahmed, S.H. Questionnaire-based analysis of infection prevention and control in healthcare facilities in saudi arabia in regards to middle east respiratory syndrome. J. Infect. Public Health 2017, 10, 548–563. [Google Scholar] [CrossRef]
- Butt, T.; Koutlakis-Barron, I.; Al-Jumaah, S.; Althawadi, S.; Al-Mofada, S.M. Infection control and prevention practices implemented to reduce transmission risk of middle east respiratory syndrome-coronavirus in a tertiary care institution in saudi arabia. Am. J. Infect. Control 2016, 44, 605–611. [Google Scholar] [CrossRef] [PubMed]
- Alsahafi, A.J.; Cheng, A. Knowledge, attitudes and behaviours of healthcare workers in the kingdom of saudi arabia to mers coronavirus and other emerging infectious diseases. Int. J. Environ. Res. Public Health 2016, 13, 1214. [Google Scholar] [CrossRef]
- Alahmadi, Y.M.; Thagfan, S.S.A. A nationwide study on the knowledge, awareness, and practices towards COVID-19 in saudi arabia. Trop. J. Pharm. Res. 2021, 20, 161–167. [Google Scholar] [CrossRef]
- Alfahan, A.; Alhabib, S.; Abdulmajeed, I.; Rahman, S.U.; Bamuhair, S.S. In the era of corona virus: Health care professionals’ knowledge, attitudes, and practice of hand hygiene in saudi primary care centers: A cross-sectional study. J. Community Hosp. Intern. Med. Perspect. 2016, 6, 32151. [Google Scholar] [CrossRef] [PubMed]
- Floriano, D.R.; Rodrigues, L.S.; Dutra, C.M.; Toffano, S.E.M.; Pereira, F.M.V.; Chavaglia, S.R.R. Compliance with standard precautions by nursing professionals in high complexity care. Esc. Anna Nery 2019, 23, 1–6. [Google Scholar] [CrossRef][Green Version]
- Alharbi, A.M.; Bawazir, A.A.; Nondo, H. Compliance with standard precautions among nurses in buraidah health care settings. buraidah, saudi arabia. Am. J. Infect. Dis. 2023, 19, 45–55. [Google Scholar] [CrossRef]
- Iqbal, M.Z.; Shahzad, S.; Latif, S.M.U.; Mubarik, A.; Fatima, N.; Arshad, S.; Aamir, R.; Shoukat, M.A.; Ilyas, M.A.; Sher, F. Prescription pattern of antibiotics and infection control among outpatients presented at the different community pharmacies in lahore, pakistan. Med. Sci. 2024, 28, e29ms3327. [Google Scholar] [CrossRef]
- Haile, T.G.; Engeda, E.H.; Abdo, A.A. Compliance with standard precautions and associated factors among healthcare workers in gondar university comprehensive specialized hospital, northwest ethiopia. J. Environ. Public Health 2017, 2017, 2050635. [Google Scholar] [CrossRef] [PubMed]
- Moxley, D.P. Self-efficacy as a unifying construct in nursing-social work collaboration with vulnerable populations. Nurs. Inq. 2012, 20, 42–50. [Google Scholar] [CrossRef]
- McGaw, C.D.; Tennant, I.; Harding, H.E.; Cawich, S.O.; Crandon, I.W.; Walters, C. Healthcare workers’ attitudes to and compliance with infection control guidelines in the operating department at the university hospital of the west indies, jamaica. Int. J. Infect. Control. 2012, 8, 1–9. [Google Scholar] [CrossRef][Green Version]
- Kim, H.; Hwang, Y.H. Factors contributing to clinical nurse compliance with infection prevention and control practices: A cross-sectional study. Nurs. Amp; Health Sci. 2019, 22, 126–133. [Google Scholar] [CrossRef] [PubMed]
- Pereira, E.B.S.; Sousa, Á.F.L.d.; Cunha, C.M.; Craveiro, I.; Andrade, D.d. Self-efficacy of health professionals in hand hygiene practice: Is it possible to measure? Revista Brasileira De Enfermagem 2020, 73 (Suppl. 5), e20190873. [Google Scholar] [CrossRef]
- Russell, D.; Dowding, D.W.; McDonald, M.V.; Adams, V.; Rosati, R.J.; Larson, E.L.; Shang, J. Factors for compliance with infection control practices in home healthcare: Findings from a survey of nurses’ knowledge and attitudes toward infection control. Am. J. Infect. Control 2018, 46, 1211–1217. [Google Scholar] [CrossRef] [PubMed]
- Liu, X.; Tao, S.; Ji, H.; Chen, S.; Gu, Y.; Jin, X. Risk factors for peripherally inserted central catheter (picc)-associated infections in patients receiving chemotherapy and the preventive effect of a self-efficacy intervention program: A randomized controlled trial. Ann. Palliat. Med. 2021, 10, 9398–9405. [Google Scholar] [CrossRef] [PubMed]
- Mazza, C.; Monaro, M.; Muzi, L.; Colasanti, M.; Ricci, E.; Biondi, S.; Ferracuti, S.; Roma, P. How to improve compliance with protective health measures during the COVID-19 outbreak: Testing a moderated mediation model and machine learning algorithms. JMIR 2020, preprint. [Google Scholar] [CrossRef]
- Jiang, F.; Lin, Y.; Li, S.; Peng, Y.; Xiao-hong, H. A study of the nursing intervention based on self-efficacy theory for patients after mechanical heart valve replacement: A randomized controlled trial. Int. J. Gen. Med. 2022, 15, 6539–6547. [Google Scholar] [CrossRef]
- Pasay-an, E.; Mostoles, R.; Villareal, S.; Saguban, R. Impact of Health Literacy on Self-Efficacy Management and Quality of Life among Patients Leaving Against Medical Advice. Bahrain Med. Bull. 2023, 45, 1412. [Google Scholar]
- Paulson, K.; Saeed, M.; Mills, J.; Cuvelier, G.D.E.; Kumar, R.; Raymond, C.; Robinson, T.; Szwajcer, D.; Wall, D.; Seftel, M.D. Publication bias is present in blood and marrow transplantation: An analysis of abstracts at an international meeting. Blood 2011, 118, 6698–6701. [Google Scholar] [CrossRef] [PubMed][Green Version]

| Demographics | Frequency | Percent | |
|---|---|---|---|
| Gender | Female | 233 | 76.4 |
| Male | 72 | 23.6 | |
| Did you receive training on standard precaution or infection control? | No | 15 | 4.9 |
| Yes | 290 | 95.1 | |
| Highest Degree | Bachelor | 161 | 52.8 |
| Diploma | 85 | 27.9 | |
| Masters | 46 | 15.1 | |
| Doctorate degree | 13 | 4.3 | |
| Years of working Experience | 1 year to 5 years | 183 | 60.0 |
| 6 to 10 years | 81 | 26.6 | |
| 11 to 15 years | 23 | 7.5 | |
| 16 years and above | 18 | 5.9 | |
| Variables | Mean | SD | Interpretation |
|---|---|---|---|
| Knowledge | 19.00 | 2.17 | Moderate |
| Attitudes | 55.86 | 10.22 | Moderate |
| Compliance | 72.44 | 11.47 | Intermediate |
| Self-efficacy | 29.99 | 11.40 | Moderate |
| Gender | Mean | t-Test | p-Value | Remarks | |
| Total Knowledge Score | Female | 18.9957 | −0.1096 | 0.9128 | Not Significant |
| Male | 19.0278 | ||||
| Total Attitude Score | Female | 53.6481 | −6.0527 | 0.0000 | Significant |
| Male | 63.0139 | ||||
| Total Compliance | Female | 72.3906 | −0.1334 | 0.8939 | Not Significant |
| Male | 72.5972 | ||||
| Total General Self Efficacy | Female | 30.2918 | 0.8306 | 0.4068 | Not Significant |
| Male | 29.0139 | ||||
| Trainings Attended | Mean | t-Test | p-Value | Remarks | |
| Total Knowledge Score | Yes | 19.2276 | 2.9016 | 0.0115 | Significant |
| No | 14.6667 | ||||
| Total Attitude Score | Yes | 55.9345 | 0.5665 | 0.5715 | Not Significant |
| No | 54.4000 | ||||
| Total Compliance | Yes | 72.9310 | 2.3836 | 0.0311 | Significant |
| No | 62.9333 | ||||
| Total General Self Efficacy | Yes | 30.5828 | 7.6679 | 0.0000 | Significant |
| No | 18.5333 | ||||
| Highest Degree | Mean | F-Test | p-Value | Remarks | |
| Total Knowledge Score | Bachelor | 19.130 | 1.9403 | 0.1231 | Not Significant |
| Diploma | 18.541 | ||||
| Masters | 19.283 | ||||
| Doctorate degree | 19.462 | ||||
| Total | 19.003 | ||||
| Total Attitude Score | Bachelor | 55.149 | 1.2027 | 0.3090 | Not Significant |
| Diploma | 57.224 | ||||
| Masters | 55.022 | ||||
| Doctorate degree | 58.692 | ||||
| Total Compliance | Bachelor | 73.820 | 7.7768 | 0.0001 | Significant |
| Diploma | 68.129 | ||||
| Masters | 76.630 | ||||
| Doctorate degree | 68.692 | ||||
| Total General Self Efficacy | Bachelor | 30.745 | 11.4182 | 0.0000 | Significant |
| Diploma | 24.906 | ||||
| Masters | 36.000 | ||||
| Doctorate degree | 32.615 | ||||
| Years of Experience | Mean | F-Test | p-Value | Remarks | |
| Total Knowledge Score | 1 year to 5 years | 18.9617 | 1.4785 | 0.2204 | Not Significant |
| 6 to 10 years | 19.3827 | ||||
| 11 to 15 years | 18.8261 | ||||
| 16 years and above | 17.9444 | ||||
| Total Attitude Score | 1 year to 5 years | 56.6885 | 1.3460 | 0.2596 | Not Significant |
| 6 to 10 years | 55.0123 | ||||
| 11 to 15 years | 52.6957 | ||||
| 16 years and above | 55.2778 | ||||
| Total Compliance | 1 year to 5 years | 73.6995 | 3.1277 | 0.0261 | Significant |
| 6 to 10 years | 71.9630 | ||||
| 11 to 15 years | 67.6522 | ||||
| 16 years and above | 67.8889 | ||||
| Total General Self Efficacy | 1 year to 5 years | 30.3279 | 1.6349 | 0.1813 | Not Significant |
| 6 to 10 years | 30.9877 | ||||
| 11 to 15 years | 27.3478 | ||||
| 16 years and above | 25.4444 |
| Variable | Knowledge | Attitude | Compliance | Self-Efficacy | |
| 1. Knowledge | Pearson’s r | - | |||
| p-value | - | ||||
| 2. Attitude | Pearson’s r | 0.256 ** | - | ||
| p-value | < 0.001 | - | |||
| 3. Compliance | Pearson’s r | 0.376 ** | 0.249 ** | - | |
| p-value | < 0.001 | < 0.001 | - | ||
| 4. Self-efficacy | Pearson’s r | 0.391 ** | 0.311 ** | 0.385 ** | - |
| p-value | < 0.001 | < 0.001 | < 0.001 | - |
| 95% Confidence Interval | ||||||||
| Estimate | Std. Error | z-Value | p | Lower | Upper | |||
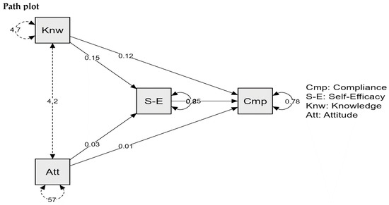
| Self-efficacy | → | Compliance | 0.254 | 0.057 | 4.491 | < 0.001 | 0.143 | 0.365 |
| Knowledge | → | Compliance | 0.115 | 0.026 | 4.476 | < 0.001 | 0.065 | 0.165 |
| Attitude | → | Compliance | 0.014 | 0.007 | 1.958 | 0.050 | –1.482 × 10−5 | 0.028 |
| Knowledge | → | Self-efficacy | 0.154 | 0.024 | 6.278 | < 0.001 | 0.106 | 0.201 |
| Attitude | → | Self-efficacy | 0.030 | 0.007 | 4.269 | < 0.001 | 0.016 | 0.044 |
Disclaimer/Publisher’s Note: The statements, opinions and data contained in all publications are solely those of the individual author(s) and contributor(s) and not of MDPI and/or the editor(s). MDPI and/or the editor(s) disclaim responsibility for any injury to people or property resulting from any ideas, methods, instructions or products referred to in the content. |
© 2025 by the authors. Licensee MDPI, Basel, Switzerland. This article is an open access article distributed under the terms and conditions of the Creative Commons Attribution (CC BY) license (https://creativecommons.org/licenses/by/4.0/).
Share and Cite
Alsulami, A.; Sacgaca, L.; Pangket, P.; Pasay-an, E.; Al Amoudi, F.A.; Alreshidi, M.S.; Alrashedi, N.; Mostoles, R., Jr.; Buta, J.; Areola, B., Jr.; et al. Exploring the Relationship Between Knowledge, Attitudes, Self-Efficacy, and Infection Control Practices Among Saudi Arabian Nurses: A Multi-Center Study. Healthcare 2025, 13, 238. https://doi.org/10.3390/healthcare13030238
Alsulami A, Sacgaca L, Pangket P, Pasay-an E, Al Amoudi FA, Alreshidi MS, Alrashedi N, Mostoles R Jr., Buta J, Areola B Jr., et al. Exploring the Relationship Between Knowledge, Attitudes, Self-Efficacy, and Infection Control Practices Among Saudi Arabian Nurses: A Multi-Center Study. Healthcare. 2025; 13(3):238. https://doi.org/10.3390/healthcare13030238
Chicago/Turabian StyleAlsulami, Amal, Lailani Sacgaca, Petelyne Pangket, Eddieson Pasay-an, Fatmah Ahmed Al Amoudi, Maha Sanat Alreshidi, Nojoud Alrashedi, Romeo Mostoles, Jr., Joyce Buta, Benito Areola, Jr., and et al. 2025. "Exploring the Relationship Between Knowledge, Attitudes, Self-Efficacy, and Infection Control Practices Among Saudi Arabian Nurses: A Multi-Center Study" Healthcare 13, no. 3: 238. https://doi.org/10.3390/healthcare13030238
APA StyleAlsulami, A., Sacgaca, L., Pangket, P., Pasay-an, E., Al Amoudi, F. A., Alreshidi, M. S., Alrashedi, N., Mostoles, R., Jr., Buta, J., Areola, B., Jr., Dominguez, A. J., & Gonzales, A. (2025). Exploring the Relationship Between Knowledge, Attitudes, Self-Efficacy, and Infection Control Practices Among Saudi Arabian Nurses: A Multi-Center Study. Healthcare, 13(3), 238. https://doi.org/10.3390/healthcare13030238

