Knowledge, Attitude, and Practice Regarding Digital Dental Technologies Among Dentists in Jiangsu Province
Abstract
1. Introduction
2. Materials and Methods
2.1. Study Design and Participants
2.2. Procedures
2.3. Statistical Analysis
3. Results
4. Discussion
5. Conclusions
Supplementary Materials
Author Contributions
Funding
Institutional Review Board Statement
Informed Consent Statement
Data Availability Statement
Conflicts of Interest
Appendix A
| Knowledge | N (%) | ||
|---|---|---|---|
| Comprehend | Not Comprehend | Uncertain | |
| K2. Are you aware of/Do you understand the digital technologies in dentistry in the following areas? | |||
| Diagnosis | 185 (87.26) | 11 (5.19) | 16 (7.55) |
| Endodontics | 156 (73.56) | 35 (16.51) | 21 (9.91) |
| Prosthodontics | 194 (91.51) | 10 (4.72) | 8 (3.77) |
| Oral Implantology | 197 (92.92) | 10 (4.72) | 5 (2.36) |
| Orthodontics | 177 (83.49) | 21 (9.91) | 14 (6.60) |
| Maxillofacial Surgery | 138 (65.09) | 50 (23.58) | 24 (11.32) |
| Periodontics | 95 (44.81) | 86 (40.57) | 31 (14.62) |
| K3. Are you aware of/Do you understand the following digital applications in dentistry? | |||
| Cone beam CT (CBCT) | 205 (96.70) | 3 (1.42) | 4 (1.89) |
| Intraoral scanning/models, digital impression scanning/facial scanning | 198 (93.40) | 9 (4.25) | 5 (2.36) |
| CAD/CAM | 177 (83.49) | 21 (9.91) | 14 (6.60) |
| 3D printing | 175 (82.55) | 24 (11.32) | 13 (6.13) |
| Virtual occlusal bracket | 95 (44.81) | 87 (41.04) | 30 (14.15) |
| Surgical guides | 175 (82.55) | 24 (11.32) | 13 (6.13) |
| Optical navigation | 86 (40.57) | 91 (42.92) | 35 (16.51) |
| Medical robotics | 94 (44.34) | 86 (40.57) | 32 (15.09) |
| K4. The results obtained using digital scanning are more accurate than traditional impressions. | 150 (70.75) | 8 (3.77) | 54 (25.47) |
| K5. Digitally designed and produced restorations give better outcomes than traditional methods. | 144 (67.92) | 6 (2.83) | 62 (29.25) |
| K6. Scanning and modeling using digital technologies allow for real-time modifications and feedback. | 190 (89.62) | 2 (0.94) | 20 (9.34) |
| K7. The data of digital technologies is easy to share/store/transfer. | 207 (97.64) | 0 | 5 (2.36) |
| Attitude | N (%) | ||||
|---|---|---|---|---|---|
| Strongly Agree | Agree | Neutral | Disagree | Strongly Disagree | |
| A1. Digital technologies can improve the efficiency of dentists. | 131 (61.79) | 66 (31.13) | 13 (6.13) | 2 (0.94) | 0 |
| A2. Digital technologies can enhance the consultation experience of dental patients. | 130 (61.32) | 71 (33.49) | 10 (4.72) | 1 (0.47) | 0 |
| A3. The widespread use of digital technologies is a developing trend in dentistry. | 146 (68.87) | 62 (29.25) | 4 (1.89) | 0 | 0 |
| A4. Digital technologies should be introduced to patients before use. | 116 (54.72) | 84 (39.62) | 10 (4.72) | 1 (0.47) | 1 (0.47) |
| A5. Digital technologies play an irreplaceable role in the diagnosis and treatment of dentistry. | 69 (32.55) | 58 (27.36) | 58 (27.36) | 27 (12.74) | 0 |
| A6. The applications of digital technologies in dentistry still rely on professional dentists. | 123 (58.02) | 71 (33.49) | 13 (6.13) | 4 (1.89) | 1 (0.47) |
| A7. The applications of digital technologies should be included in the curriculum of dental students. | 122 (57.55) | 74 (34.91) | 16 (7.55) | 0 | 0 |
| A8. I am concerned that I may be replaced by digital technologies in the future. | 20 (9.43) | 25 (11.79) | 80 (37.74) | 74 (34.91) | 13 (6.13) |
| Practice | N (%) | ||||
|---|---|---|---|---|---|
| Always | Often | Sometimes | Occasionally | Never | |
| P1. The frequency I recommend patients to undergo digital imaging | 47 (22.17) | 90 (42.45) | 50 (23.58) | 22 (10.38) | 3 (1.42) |
| P2. The frequency I use digital technologies to assist in the treatment of dental diseases | 37 (17.45) | 93 (43.87) | 47 (22.17) | 27 (12.74) | 8 (3.77) |
| P3. The frequency I introduce the use of digital technologies to patients | 55 (25.94) | 88 (41.51) | 46 (21.70) | 20 (9.43) | 3 (1.42) |
| P4. The frequency I proactively learn about advances in the application of digital technologies | 36 (16.98) | 81 (38.21) | 72 (33.96) | 19 (8.96) | 4 (1.89) |
References
- Sanda, M.; Miyoshi, K.; Baba, K. Trueness and precision of digital implant impressions by intraoral scanners: A literature review. Int. J. Implant Dent. 2021, 7, 97. [Google Scholar] [CrossRef] [PubMed]
- van der Zande, M.M.; Gorter, R.C.; Wismeijer, D. Dental practitioners and a digital future: An initial exploration of barriers and incentives to adopting digital technologies. Br. Dent. J. 2013, 215, E21. [Google Scholar] [CrossRef] [PubMed]
- Jacobs, R.; Salmon, B.; Codari, M.; Hassan, B.; Bornstein, M.M. Cone beam computed tomography in implant dentistry: Recommendations for clinical use. BMC ORAL Health 2018, 18, 88. [Google Scholar] [CrossRef] [PubMed]
- Kihara, H.; Hatakeyama, W.; Komine, F.; Takafuji, K.; Takahashi, T.; Yokota, J.; Oriso, K.; Kondo, H. Accuracy and practicality of intraoral scanner in dentistry: A literature review. J. Prosthodont. Res. 2020, 64, 109–113. [Google Scholar] [CrossRef]
- Marques, S.; Ribeiro, P.; Falcao, C.; Lemos, B.F.; Rios-Carrasco, B.; Rios-Santos, J.V.; Herrero-Climent, M. Digital Impressions in Implant Dentistry: A Literature Review. Int. J. Environ. Res. Public Health 2021, 18, 1020. [Google Scholar] [CrossRef]
- Sulaiman, T.A. Materials in digital dentistry-A review. J. Esthet. Restor. Dent. 2020, 32, 171–181. [Google Scholar] [CrossRef]
- Tian, Y.; Chen, C.; Xu, X.; Wang, J.; Hou, X.; Li, K.; Lu, X.; Shi, H.; Lee, E.S.; Jiang, H.B. A Review of 3D Printing in Dentistry: Technologies, Affecting Factors, and Applications. Scanning 2021, 2021, 9950131. [Google Scholar] [CrossRef]
- Siqueira, R.; Galli, M.; Chen, Z.; Mendonca, G.; Meirelles, L.; Wang, H.L.; Chan, H.L. Intraoral scanning reduces procedure time and improves patient comfort in fixed prosthodontics and implant dentistry: A systematic review. Clin. Oral Investig. 2021, 25, 6517–6531. [Google Scholar] [CrossRef]
- Watanabe, H.; Fellows, C.; An, H. Digital Technologies for Restorative Dentistry. Dent. Clin N. Am. 2022, 66, 567–590. [Google Scholar] [CrossRef]
- Lin, H.H.; Lonic, D.; Lo, L.J. 3D printing in orthognathic surgery—A literature review. J. Formos. Med. Assoc. 2018, 117, 547–558. [Google Scholar] [CrossRef]
- Aristizabal, J.F.; Martinez-Smit, R.; Diaz, C.; Pereira Filho, V.A. Surgery-first approach with 3D customized passive self-ligating brackets and 3D surgical planning: Case report. Dent. Press J. Orthod. 2018, 23, 47–57. [Google Scholar] [CrossRef] [PubMed]
- Pinter, G.T.; Decker, R.; Szenasi, G.; Barabas, P.; Huszar, T. Dynamic Navigation for Dental Implant Placement. J. Vis. Exp. 2022, 187, e63400. [Google Scholar] [CrossRef]
- El Kholy, K.; Lazarin, R.; Janner, S.F.M.; Faerber, K.; Buser, R.; Buser, D. Influence of surgical guide support and implant site location on accuracy of static Computer-Assisted Implant Surgery. Clin. Oral Implants Res. 2019, 30, 1067–1075. [Google Scholar] [CrossRef] [PubMed]
- Ahmad, P.; Alam, M.K.; Aldajani, A.; Alahmari, A.; Alanazi, A.; Stoddart, M.; Sghaireen, M.G. Dental Robotics: A Disruptive Technology. Sensors 2021, 21, 3308. [Google Scholar] [CrossRef]
- Schoenbaum, T.R. Dentistry in the digital age: An update. Dent. Today 2012, 31, 108–113. [Google Scholar]
- Zhou, X.; Xu, X.; Li, J.; Hu, D.; Hu, T.; Yin, W.; Fan, Y.; Zhang, X. Oral health in China: From vision to action. Int. J. Oral Sci. 2018, 10, 1. [Google Scholar] [CrossRef]
- Kharaba, Z.; Buabeid, M.A.; Ramadan, A.; Ghemrawi, R.; Al-Azayzih, A.; Al Meslamani, A.Z.; Alfoteih, Y. Knowledge, Attitudes, and Practices Concerning Breast Cancer and Self Examination Among Females in UAE. J. Community Health 2021, 46, 942–950. [Google Scholar] [CrossRef]
- Jiang, H.; Zhang, S.; Ding, Y.; Li, Y.; Zhang, T.; Liu, W.; Fan, Y.; Li, Y.; Zhang, R.; Ma, X. Development and validation of college students’ tuberculosis knowledge, attitudes and practices questionnaire (CS-TBKAPQ). BMC Public Health 2017, 17, 949. [Google Scholar] [CrossRef]
- Papaspyridakos, P.; Vazouras, K.; Chen, Y.W.; Kotina, E.; Natto, Z.; Kang, K.; Chochlidakis, K. Digital vs Conventional Implant Impressions: A Systematic Review and Meta-Analysis. J. Prosthodont. 2020, 29, 660–678. [Google Scholar] [CrossRef]
- Flores-Mir, C.; Palmer, N.G.; Northcott, H.C.; Khurshed, F.; Major, P.W. Perceptions and attitudes of Canadian dentists toward digital and electronic technologies. J. Can. Dent. Assoc. 2006, 72, 243. [Google Scholar]
- van der Zande, M.M.; Gorter, R.C.; Bruers, J.J.M.; Aartman, I.H.A.; Wismeijer, D. Dentists’ opinions on using digital technologies in dental practice. Community Dent. Oral Epidemiol. 2018, 46, 143–153. [Google Scholar] [CrossRef] [PubMed]
- Yan, W.; Gao, X.; Wang, W.; Zhou, Z.; Zou, C.; Lu, Z. Job satisfaction of graduates of rural oriented medical students training project in Jiangsu Province, China: A cross-sectional study. BMC Med. Educ. 2022, 22, 9. [Google Scholar] [CrossRef]
- Fang, H.; Lv, Y.; Chen, L.; Zhang, X.; Hu, Y. The Current Knowledge, Attitudes, and Practices of the Neglected Methodology of Web-Based Questionnaires Among Chinese Health Workers: Web-Based Questionnaire Study. J. Med. Internet Res. 2023, 25, e41591. [Google Scholar] [CrossRef]
- Sheba, M.; Comnick, C.; Elkerdani, T.; Ashida, S.; Zeng, E.; Marchini, L. Students’ perceptions and attitudes about digital dental technology is associated with their intention to use it. J. Dent. Educ. 2021, 85, 1427–1434. [Google Scholar] [CrossRef]
- Wang, L.; Abualfoul, M.; Oduor, H.; Acharya, P.; Cui, M.; Murray, A.; Dominguez, E.; Pagadala, M. A cross-sectional study of knowledge, attitude, and practice toward COVID-19 in solid organ transplant recipients at a transplant center in the United States. Front. Public Health 2022, 10, 880774. [Google Scholar] [CrossRef]
- Yamori, M.; Tamura, M.; Mikami, M.; Mori, T.; Noi, M.; Machida, Y.; Koshinuma, S.; Yamamoto, G. Differences in the Knowledge and Experience of Physicians and Dentists About Medication-Related Osteonecrosis of the Jaw in Osteoporotic Patients. Int. Dent. J. 2021, 71, 336–342. [Google Scholar] [CrossRef]
- Muhetaer, A.; Yang, H.; Liu, Y.; Huang, C. Three-dimensionally printed implant surgical guide-related experience, knowledge, attitude, and professional behaviors among 2028 dentists in China: A cross-sectional study. J. Prosthet. Dent. 2023, 129, 448.e1–448.e8. [Google Scholar] [CrossRef]
- Chinna, S.K.; Reddy, N.P.; Thapaswini, Y.; Muppidi, A.; Pattepu, S.V.; Sharma, P. Knowledge, Attitude, and Practice towards Digital Imaging and Cone Beam Computed Tomography among Dental Practitioners in North Karnataka, India. J. Pharm. Bioallied Sci. 2021, 13, S1047–S1049. [Google Scholar] [CrossRef]
- Suganna, M.; Kausher, H.; Rownaq Ali, A.B.M.; Abed, M.M.; Albishi, W.S.; Al Hajji, F.A.; Sultan, N.A. Knowledge on Applications of 3D Design and Printing in Dentistry Among Dental Practitioners in Saudi Arabia: A Questionnaire-Based Survey. Cureus 2022, 14, e28379. [Google Scholar] [CrossRef]
- Acharya, A.; Chodankar, R.N.; Patil, R.; Patil, A.G. Assessment of knowledge, awareness, and practices toward the use of 3D printing in dentistry among dental practitioners and dental technicians: A cross-sectional study. J. Oral Biol. Craniofac. Res. 2023, 13, 253–258. [Google Scholar] [CrossRef]
- Siddiqui, F.; Nistala, K.R.Y.; Quek, C.W.N.; Leong, V.S.Y.; Tan, A.Y.S.; Tan, C.Y.E.; Hilal, S. Knowledge, Attitudes, and Perceptions Toward Dementia Among Middle-Aged Singapore Residents. J. Alzheimers Dis. 2022, 86, 231–244. [Google Scholar] [CrossRef] [PubMed]
- Svenson, B.; Stahlnacke, K.; Karlsson, R.; Falt, A. Dentists’ use of digital radiographic techniques: Part I—intraoral X-ray: A questionnaire study of Swedish dentists. Acta Odontol. Scand. 2018, 76, 111–118. [Google Scholar] [CrossRef]
- Alhamed, F.J.; Neiva, G.F.; Bak, S.-Y.; Karl, E.; Inglehart, M.R. Pre-doctoral dental students’ computer-aided design/computer-aided manufacturing-related education, knowledge, attitudes and behavior: A national survey. J. Dent. Educ. 2023, 87, 562–571. [Google Scholar] [CrossRef]
- Alfallaj, H.A.; Afrashtehfar, K.I.; Asiri, A.K.; Almasoud, F.S.; Alnaqa, G.H.; Al-Angari, N.S. The Status of Digital Dental Technology Implementation in the Saudi Dental Schools’ Curriculum: A National Cross-Sectional Survey for Healthcare Digitization. Int. J. Environ. Res. Public Health 2022, 20, 321. [Google Scholar] [CrossRef]
- Zitzmann, N.U.; Kovaltschuk, I.; Lenherr, P.; Dedem, P.; Joda, T. Dental Students’ Perceptions of Digital and Conventional Impression Techniques: A Randomized Controlled Trial. J. Dent. Educ. 2017, 81, 1227–1232. [Google Scholar] [CrossRef]
- Jacox, L.A.; Mihas, P.; Cho, C.; Lin, F.C.; Ko, C.C. Understanding technology adoption by orthodontists: A qualitative study. Am. J. Orthod. Dentofac. Orthop. 2019, 155, 432–442. [Google Scholar] [CrossRef]



| Variables | N (%) | Knowledge | Attitude | Practice | |||
|---|---|---|---|---|---|---|---|
| Mean ± SD | p | Mean ± SD | p | Mean ± SD | p | ||
| Total | 212 | 14.33 ± 3.59 | 26.17 ± 3.40 | 10.73 ± 3.11 | |||
| Gender | 0.002 | 0.610 | 0.005 | ||||
| Male | 108 (50.94) | 15.06 ± 3.17 | 26.29 ± 3.19 | 11.31 ± 2.82 | |||
| Female | 104 (49.06) | 13.57 ± 3.86 | 26.05 ± 3.61 | 10.12 ± 3.29 | |||
| Age, years | 0.052 | 0.617 | 0.010 | ||||
| <40 | 116 (54.72) | 13.79 ± 3.74 | 26.00 ± 3.46 | 10.21 ± 3.26 # | |||
| 41–50 | 78 (36.79) | 14.91 ± 3.35 | 26.31 ± 3.50 | 11.14 ± 2.92 | |||
| >50 | 18 (8.49) | 15.28 ± 3.25 | 26.67 ± 2.52 | 12.28 ± 2.16 | |||
| Professional title | <0.001 | 0.009 | 0.007 | ||||
| None | 3 (1.42) | 10.33 ± 1.53 | 29.67 ± 2.52 | 12.67 ± 2.89 | |||
| Junior | 39 (18.40) | 12.64 ± 4.00 † | 24.74 ± 4.02 † | 9.44 ± 3.26 † | |||
| Intermediate | 81 (38.21) | 13.98 ± 3.54 † | 26.27 ± 3.31 | 10.56 ± 3.26 | |||
| Senior | 89 (41.98) | 15.53 ± 3.05 | 26.58 ± 3.01 | 11.38 ± 2.73 | |||
| Ethnicity | 0.426 | 0.167 | 0.860 | ||||
| Han | 208 (98.11) | 14.30 ± 3.60 | 26.13 ± 3.39 | 10.72 ± 3.09 | |||
| Minority | 4 (1.89) | 15.75 ± 3.20 | 28.50 ± 3.70 | 11.00 ± 4.55 | |||
| Education | <0.001 | 0.070 | 0.003 | ||||
| Bachelor’s degree and below | 105 (49.53) | 13.45 ± 3.91 | 25.74 ± 3.61 | 10.09 ± 3.28 | |||
| Master’s degree and above | 107 (50.47) | 15.20 ± 3.04 | 26.59 ± 3.14 | 11.36 ± 2.81 | |||
| Subdiscipline | 0.152 | 0.507 | 0.301 | ||||
| General Dentistry | 122 (57.55) | 14.08 ± 3.58 | 26.07 ± 3.22 | 10.61 ± 3.11 | |||
| Endodontics | 8 (3.77) | 14.25 ± 3.37 | 24.38 ± 4.72 | 10.00 ± 2.73 | |||
| Prosthodontics | 27 (12.74) | 15.19 ± 3.76 | 26.81 ± 3.26 | 10.37 ± 3.28 | |||
| Maxillofacial Surgery | 17 (8.02) | 15.24 ± 3.46 | 26.65 ± 2.87 | 11.53 ± 2.53 | |||
| Orthodontics | 16 (7.55) | 15.06 ± 2.67 | 26.75 ± 2.82 | 11.37 ± 3.24 | |||
| Oral Implantology | 14 (6.60) | 14.64 ± 3.88 | 26.36 ± 4.88 | 12.00 ± 3.28 | |||
| Other | 8 (3.77) | 11.38 ± 4.03 | 24.88 ± 4.22 | 9.13 ± 3.18 | |||
| Grade of working institution | 0.001 | 0.477 | 0.452 | ||||
| Public primary hospital | 6 (2.83) | 15.83 ± 4.54 ∗ | 26.00 ± 2.76 | 10.50 ± 3.39 | |||
| Public secondary hospital | 25 (11.79) | 12.44 ± 3.98 ∍ | 25.96 ± 3.28 | 10.04 ± 2.44 | |||
| Public tertiary hospital | 98 (46.23) | 14.94 ± 3.36 ∗ | 26.41 ± 3.09 | 10.74 ± 2.98 | |||
| Private hospital | 36 (16.98) | 14.69 ± 3.15 ∗ | 25.58 ± 4.12 | 11.00 ± 3.02 | |||
| Dental clinic | 43 (20.28) | 14.02 ± 3.52 | 26.00 ± 3.55 | 11.12 ± 3.43 | |||
| Other | 4 (1.89) | 9.00 ± 2.45 | 29.00 ± 3.46 | 8.25 ± 6.45 | |||
| Type of working institution | 0.300 | 0.609 | 0.175 | ||||
| General hospital | 97 (45.75) | 14.29 ± 3.43 | 26.12 ± 3.21 | 10.34 ± 3.00 | |||
| Specialist hospital | 61 (28.77) | 14.87 ± 3.88 | 26.33 ± 3.37 | 11.03 ± 2.85 | |||
| Community health service center | 2 (0.94) | 10.00 | 23.00 ± 1.41 | 7.00 | |||
| Outpatient department | 37 (17.45) | 13.95 ± 3.62 | 25.92 ± 3.77 | 11.27 ± 3.56 | |||
| Other | 15 (7.08) | 13.93 ± 3.35 | 26.87 ± 4.02 | 11.13 ± 3.54 | |||
| Work experience, years | 0.011 | 0.344 | 0.005 | ||||
| <5 | 28 (13.21) | 12.89 ± 3.42 ∧ | 25.54 ± 3.79 | 10.04 ± 2.67 | |||
| 5–10 | 34 (16.04) | 13.47 ± 4.15 | 25.74 ± 3.47 | 9.41 ± 3.61 ∧ | |||
| >10 | 150 (70.75) | 14.79 ± 3.40 | 26.39 ± 3.31 | 11.15 ± 2.98 | |||
| Knowledge | Attitude | Practice | |
|---|---|---|---|
| Knowledge | 1 | ||
| Attitude | 0.300 (p < 0.001) | 1 | |
| Practice | 0.450 (p < 0.001) | 0.414 (p < 0.001) | 1 |
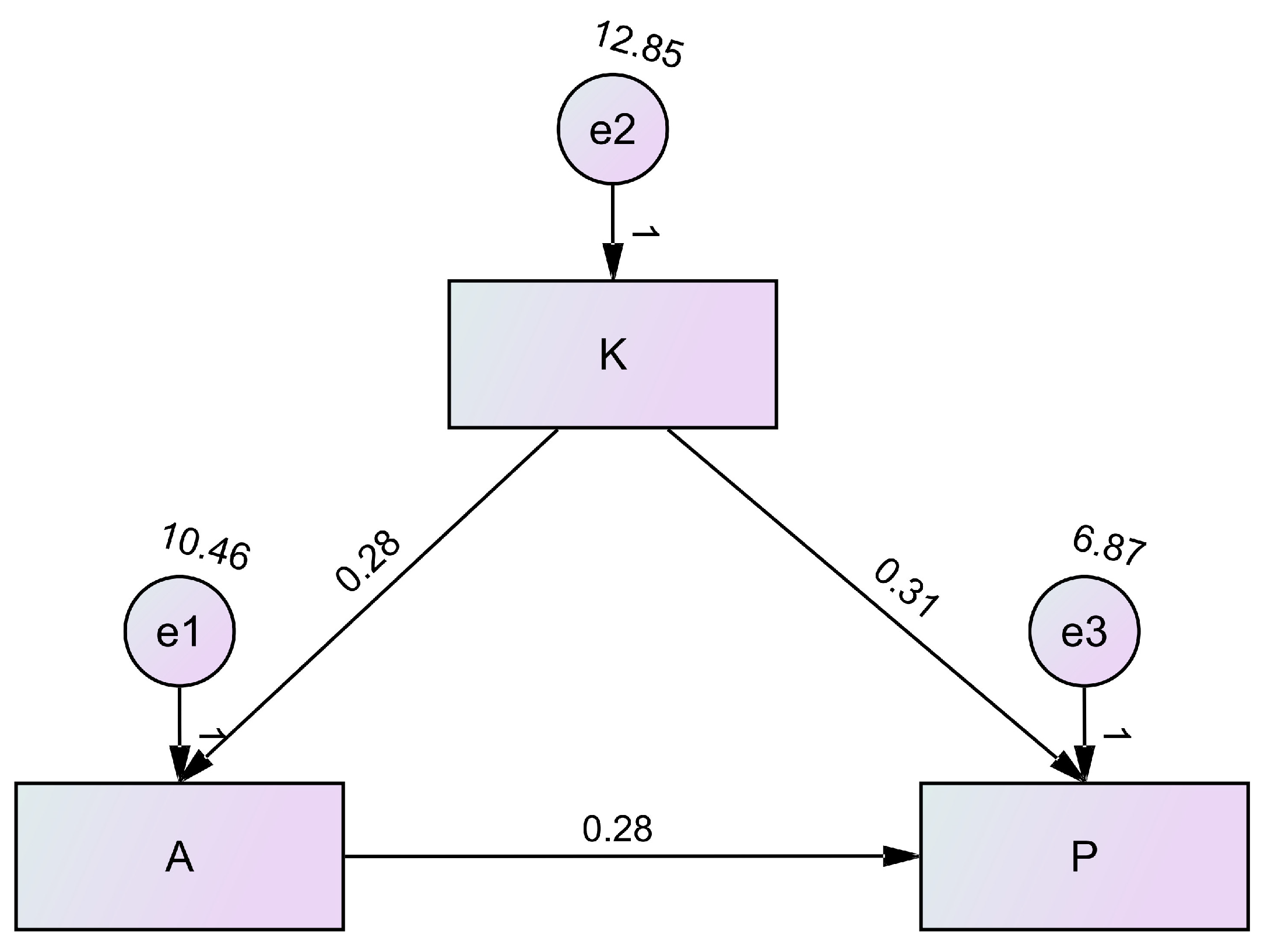
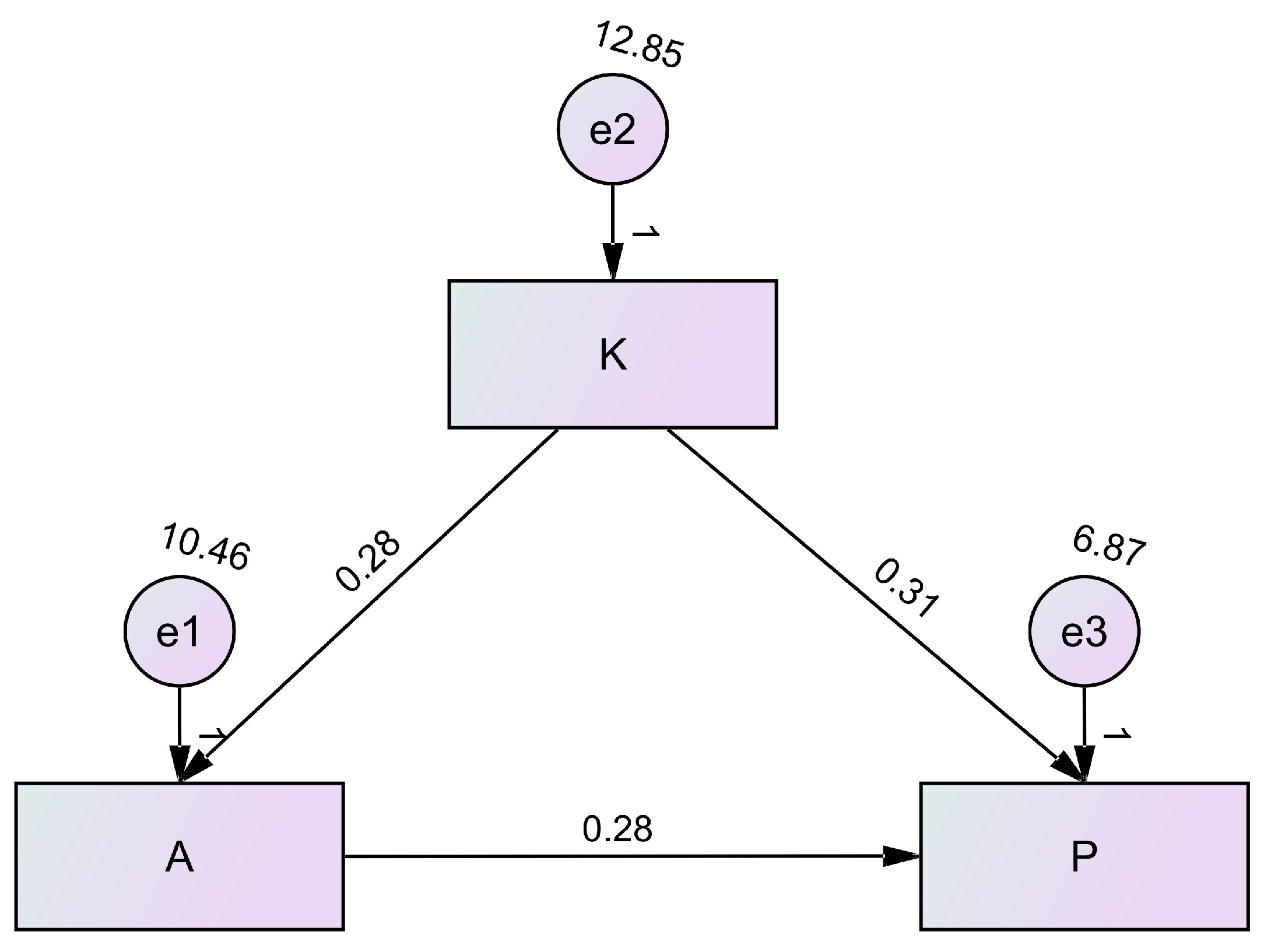
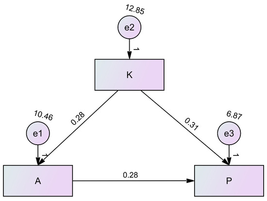
| Pathway | Estimate | p | ||
|---|---|---|---|---|
| H1: Attitude | <--- | Knowledge | 0.283 | <0.001 |
| H2: Practice | <--- | Knowledge | 0.310 | <0.001 |
| H3: Practice | <--- | Attitude | 0.280 | <0.001 |
Disclaimer/Publisher’s Note: The statements, opinions and data contained in all publications are solely those of the individual author(s) and contributor(s) and not of MDPI and/or the editor(s). MDPI and/or the editor(s) disclaim responsibility for any injury to people or property resulting from any ideas, methods, instructions or products referred to in the content. |
© 2025 by the authors. Licensee MDPI, Basel, Switzerland. This article is an open access article distributed under the terms and conditions of the Creative Commons Attribution (CC BY) license (https://creativecommons.org/licenses/by/4.0/).
Share and Cite
Zhu, F.; Yu, H.; Wang, Z.; Lu, X.; Meng, X.; Nie, R. Knowledge, Attitude, and Practice Regarding Digital Dental Technologies Among Dentists in Jiangsu Province. Healthcare 2025, 13, 234. https://doi.org/10.3390/healthcare13030234
Zhu F, Yu H, Wang Z, Lu X, Meng X, Nie R. Knowledge, Attitude, and Practice Regarding Digital Dental Technologies Among Dentists in Jiangsu Province. Healthcare. 2025; 13(3):234. https://doi.org/10.3390/healthcare13030234
Chicago/Turabian StyleZhu, Feng, Hong Yu, Zitao Wang, Xiaoxin Lu, Xiangfeng Meng, and Rongrong Nie. 2025. "Knowledge, Attitude, and Practice Regarding Digital Dental Technologies Among Dentists in Jiangsu Province" Healthcare 13, no. 3: 234. https://doi.org/10.3390/healthcare13030234
APA StyleZhu, F., Yu, H., Wang, Z., Lu, X., Meng, X., & Nie, R. (2025). Knowledge, Attitude, and Practice Regarding Digital Dental Technologies Among Dentists in Jiangsu Province. Healthcare, 13(3), 234. https://doi.org/10.3390/healthcare13030234

