Next Issue
Volume 13, December-2
Previous Issue
Volume 13, November-2
 
 

Healthcare, Volume 13, Issue 23 (December-1 2025) – 187 articles

Cover Story (view full-size image): Cognitive impairment is very common in patients receiving hemodialysis, affecting multiple health parameters and quality of life. The aim of this systematic review was to investigate and evaluate the impact of intradialytic exercise on global cognition and specific cognitive domains in hemodialysis patients. The findings indicate that intradialytic exercise—particularly moderate- to high-intensity aerobic training for 30–45 minutes, three times weekly, for at least 12 weeks—is associated with improvements in global cognition, attention, and executive function. However, larger, longer, and more standardized studies are needed to guide clinical practice. View this paper
  • Issues are regarded as officially published after their release is announced to the table of contents alert mailing list.
  • You may sign up for e-mail alerts to receive table of contents of newly released issues.
  • PDF is the official format for papers published in both, html and pdf forms. To view the papers in pdf format, click on the "PDF Full-text" link, and use the free Adobe Reader to open them.
Order results
Result details
Section
Select all
Export citation of selected articles as:
27 pages, 1622 KB  
Article
Detecting Burnout Among Undergraduate Computing Students with Supervised Machine Learning
by Eldar Yeskuatov, Lee Kien Foo and Sook-Ling Chua
Healthcare 2025, 13(23), 3182; https://doi.org/10.3390/healthcare13233182 - 4 Dec 2025
Cited by 1 | Viewed by 1688
Abstract
Background: Academic burnout significantly impacts students’ cognitive and psychological well-being and may result in adverse behavioral changes. An effective and timely detection of burnout in the student population is crucial as it enables educational institutions to mobilize necessary support systems and implement intervention [...] Read more.
Background: Academic burnout significantly impacts students’ cognitive and psychological well-being and may result in adverse behavioral changes. An effective and timely detection of burnout in the student population is crucial as it enables educational institutions to mobilize necessary support systems and implement intervention strategies. However, current survey-based detection methods are susceptible to response biases and administrative overhead. This study investigated the feasibility of detecting academic burnout symptoms using machine learning trained exclusively on university records, eliminating reliance on psychological surveys. Methods: We developed models to detect three burnout dimensions—exhaustion, cynicism, and low professional efficacy. Five machine learning algorithms (i.e., logistic regression, support vector machine, naive Bayes, decision tree, and extreme gradient boosting) were trained using features engineered from administrative data. Results: Results demonstrated considerable variability across burnout dimensions. Models achieved the highest performance for exhaustion detection, with logistic regression obtaining an F1 score of 68.4%. Cynicism detection showed moderate performance, while professional efficacy detection has the lowest performance. Conclusions: Our findings showed that automated detection using passively collected university records is feasible for identifying signs of exhaustion and cynicism. The modest performance highlights the challenges of capturing psychological constructs through administrative data alone, providing a foundation for future research in unobtrusive student burnout detection. Full article
Show Figures

Figure 1

21 pages, 1118 KB  
Article
Individual Health Management (IHM) for Stress—A Randomised Controlled Trial (TALENT II Study)
by Dieter Melchart, Erich Wühr, Beatrice Bachmeier and Lara Isabel Jötten
Healthcare 2025, 13(23), 3181; https://doi.org/10.3390/healthcare13233181 - 4 Dec 2025
Viewed by 904
Abstract
Background/Objectives: Stress is a pervasive modern challenge that contributes to serious health problems and affects a significant proportion of the population. This study examines whether an Individual Health Management (IHM) programme incorporating elements of traditional Chinese medicine is effective in reducing stress. Methods: [...] Read more.
Background/Objectives: Stress is a pervasive modern challenge that contributes to serious health problems and affects a significant proportion of the population. This study examines whether an Individual Health Management (IHM) programme incorporating elements of traditional Chinese medicine is effective in reducing stress. Methods: Participants experiencing stress were enrolled in a monocentric randomised controlled trial. The intervention group received the IHM programme and was monitored for 12 months. After six months, a primary comparison was conducted with a waitlist control group, who then also received the intervention. Additional crossover analyses were employed. The main outcome measure was the change in subjective stress (as measured by the Perceived Stress Questionnaire, PSQ) from baseline after six months. Secondary outcomes included further parameters related to stress and mental load. Results: The intervention group achieved normal stress levels, with a 41% reduction, while the control group experienced a 9% reduction. The adjusted mean difference in PSQ scores between the two groups was −21.02 (95% CI: −27.34, −14.70), accounting for baseline values and gender. This is the ANCOVA result for the ITT population at the 6-month follow-up. Secondary outcomes also improved significantly. Conclusions: The IHM has multiple moderate to strong effects on mental health, resulting in clinically normal distress scores that can persist for up to one year. Full article
Show Figures

Figure 1

13 pages, 692 KB  
Review
What Evidence Exists on the Effectiveness of Psychotherapy for Trauma-Related Distress? A Scoping Review
by Emma Victoria Shiel, Zoe Connor, Megan Downes, Abigail Bailey-Shaw, Steve Hemingway, Clare Walters and Susanna Kola-Palmer
Healthcare 2025, 13(23), 3180; https://doi.org/10.3390/healthcare13233180 - 4 Dec 2025
Viewed by 4331
Abstract
Background/Objectives: Trauma-related distress poses significant mental health challenges, with psychotherapy serving as a primary intervention. The Walters Method is a promising new alternative that may help where traditional methods fall short (i.e., in complex or violent cases), but before it can be [...] Read more.
Background/Objectives: Trauma-related distress poses significant mental health challenges, with psychotherapy serving as a primary intervention. The Walters Method is a promising new alternative that may help where traditional methods fall short (i.e., in complex or violent cases), but before it can be implemented widely, the existing evidence on the effectiveness of other psychotherapies for trauma-related distress must be mapped to see how and where it relates to other techniques. The aim of this scoping review was to provide an overview of existing evidence on the effectiveness of psychotherapy for trauma-related distress. Methods: A scoping review was conducted to better understand the effectiveness of psychotherapies for trauma-related distress (including PTSD, acute stress disorder, or other serious mental health issues). Results: Thirty-three articles were analysed. Included articles included adults with PTSD, incarcerated women, childbirth trauma survivors, female survivors of sexual abuse, hospitalised COVID-19 patients, adults with serious mental illness, veterans and active soldiers, firefighters, and refugees. Eye Movement Desensitisation and Reprocessing and Cognitive Behavioural Therapy were the most studied and effective treatments. Prolonged Exposure and Narrative Exposure Therapy were less common but noteworthy. Other therapies, including psychodynamic approaches, are seldom studied but have proven effective when explored, highlighting knowledge gaps and potential missed opportunities. Success with these alternative approaches—especially in complex trauma cases like intimate partner violence or child loss where EMDR and CBT may be less effective—suggests they have potential, but further research is needed for validation. Conclusions: This review offers novel contributions to the field by emphasising innovative therapeutic perspectives that extend beyond traditional, more studied, evidence-based approaches such as CBT and EMDR, thereby expanding treatment options for diverse clinical presentations. Alternative therapies show promise, particularly for complex trauma cases like intimate partner violence or child loss where established approaches may be less effective; however, further research is needed to validate their efficacy across diverse populations. Selection of psychotherapy should be based on clients’ goals and comfort, and the cultural and contextual compatibility between the person and intervention. Future research should prioritise underexplored therapies to address current knowledge gaps and improve treatment accessibility for varied clinical needs. Full article
(This article belongs to the Section Mental Health and Psychosocial Well-being)
Show Figures

Figure 1

13 pages, 266 KB  
Article
End-of-Life Care Stress, Attitudes Toward End-of-Life Care, and End-of-Life Care Performance as Predictors of Job Satisfaction Among Nurses Working in Hospitals in South Korea
by Jooyoung Cheon
Healthcare 2025, 13(23), 3179; https://doi.org/10.3390/healthcare13233179 - 4 Dec 2025
Cited by 1 | Viewed by 1125
Abstract
Background/Objectives: This study explored end-of-life care stress, attitudes toward end-of-life care, and end-of-life care performance as predictors of job satisfaction among hospital nurses. Methods: A descriptive cross-sectional design was employed to assess job satisfaction among nurses with end-of-life care experience in [...] Read more.
Background/Objectives: This study explored end-of-life care stress, attitudes toward end-of-life care, and end-of-life care performance as predictors of job satisfaction among hospital nurses. Methods: A descriptive cross-sectional design was employed to assess job satisfaction among nurses with end-of-life care experience in tertiary and general hospitals in South Korea. A convenience sample of 215 nurses was recruited. Eligibility criteria included at least 3 months of experience as a direct care nurse and having provided care to terminally ill patients at least once. Data were collected through an online survey. The study variables included end-of-life care stress, attitudes toward end-of-life care, end-of-life care performance, and job satisfaction. Data were analyzed using descriptive statistics, ANOVA, Pearson correlation coefficients, and hierarchical regression analysis. Results: Attitudes toward end-of-life care (β = 0.277, p < 0.001) and end-of-life care performance (β = 0.339, p < 0.001) were significant predictors of job satisfaction, with being enrolled in a master’s nursing program (β = 0.228, p < 0.001) also contributing positively. End-of-life care stress showed no direct association with job satisfaction. The final model explained 29.4% of the variance in job satisfaction (adjusted R2 = 0.294). Conclusions: End-of-life care performance was the strongest predictor of job satisfaction, suggesting that nurses’ perceived competence enhances professional fulfillment. Positive attitudes toward end-of-life care further strengthen satisfaction. Continuous education and supportive organizational environments are essential to enhance nurses’ competence, attitudes toward end-of-life care, and quality of end-of-life care. Full article
15 pages, 816 KB  
Article
Investigating Asthma Disparities in Hispanic Communities Using Machine Learning Algorithms on the All of Us Researcher Workbench
by Lei Jin and Rajesh Melaram
Healthcare 2025, 13(23), 3178; https://doi.org/10.3390/healthcare13233178 - 4 Dec 2025
Viewed by 579
Abstract
Purpose: This study aims to examine factors associated with asthma prevalence among Hispanic participants in the United States, focusing on access barriers, socioeconomic indicators such as education and income, and BMI. Data from the All of Us Research Program were analyzed using [...] Read more.
Purpose: This study aims to examine factors associated with asthma prevalence among Hispanic participants in the United States, focusing on access barriers, socioeconomic indicators such as education and income, and BMI. Data from the All of Us Research Program were analyzed using both traditional statistical models and interpretable machine learning algorithms. Methods: We analyzed data from the All of Us Research Program, comparing individuals with and without asthma. Logistic regression models and interpretable machine learning algorithms, including MARS (Multivariate Adaptive Regression Splines) and CIT (Conditional Inference Trees), were used to identify factors associated with asthma prevalence and their interactions. Results: The logistic regression analysis identified several variables associated with higher odds of asthma, including older age, female sex, greater access barriers, higher BMI, lower income, and higher education levels. Hispanic participants with greater access barriers had 26.3% higher odds of asthma prevalence (aPOR = 1.263, 95% CI: 1.114–1.433) compared to those without such barriers, and each unit increase in BMI was associated with a 2.9% increase in the odds of having asthma (aPOR = 1.029, 95% CI: 1.023–1.035). The MARS algorithm captured nonlinear relationships and interactions, highlighting BMI, age, sex, access barriers, income, and education as key predictors associated with asthma prevalence. Among participants younger than 60.6 years, younger age was linked with higher asthma prevalence. An interaction between age (above 21.5) and male sex indicated that the odds of asthma slightly decreased with age among males. Additionally, low-income and high BMI together were associated with elevated asthma prevalence, suggesting compounding vulnerabilities. The CIT identified BMI as the most influential variable and further stratified asthma prevalence by age, sex, education, income, and access barriers. Higher asthma prevalence was consistently observed among older females with high BMI, lower income, and greater access barriers. Conclusions: Among Hispanic participants in the All of Us Research Program, lower income combined with higher BMI and greater access barriers were significantly associated with increased odds of asthma. Males had lower odds of asthma, while older individuals showed higher asthma prevalence. These findings highlight important associations rather than causal relationships and may inform public health efforts to address asthma disparities related to weight and healthcare accessibility among Hispanic populations. Full article
Show Figures

Figure 1

15 pages, 505 KB  
Article
Well-Being Leadership Training to Reduce Clinician Burnout in a Metropolitan Community Health System
by Tricia T. James, Alice C. Nayak, Anne M. Houff, Phani C. Kantamneni, Hsin-Fang Li, James M. Scanlan and Laura L. M. W. Chun
Healthcare 2025, 13(23), 3177; https://doi.org/10.3390/healthcare13233177 - 4 Dec 2025
Cited by 2 | Viewed by 1495
Abstract
Background: Healthcare burnout is pervasive, necessitating more efforts to reduce it. Objective: To evaluate the effectiveness of well-being leadership training in reducing healthcare burnout. Design: The Clinician Wellness Council (CWC) leadership training consisted of 15 months of educational and small group sessions (September [...] Read more.
Background: Healthcare burnout is pervasive, necessitating more efforts to reduce it. Objective: To evaluate the effectiveness of well-being leadership training in reducing healthcare burnout. Design: The Clinician Wellness Council (CWC) leadership training consisted of 15 months of educational and small group sessions (September 2023–November 2024) with pre–post-training burnout survey comparison. Setting: Primary and specialty departments across a Pacific Northwest community-based hospital system. Participants comprised 22 clinicians from primary and specialty departments. Participants identified an intervention group where they would focus their leadership efforts. Those groups contained 549 clinicians, and 5439 non-intervention clinicians were controls. Intervention: Well-being leadership training. Measures: The Maslach Burnout Inventory (MBI) and the turnover intent questions before and after training. Results: Of the 22 CWC participants, 15 (68%) completed the surveys before and after training. Burnout reduction was seen (47% to 13%; p = 0.0253), primarily driven by decreased emotional exhaustion (EE). Among 549 intervention group clinicians, 173 completed both surveys compared to 359 of 5439 clinicians in the control group. Intervention practitioners (N = 173) showed reductions in EE items (e.g., feeling burnout, working too hard, working with people is stressful) and turnover intent. Multivariable regression analyses showed that EE reductions were associated with co-workers’ intent to leave. Limitations: We obtained pre- and post-training MBI measures on a subset of the intervention group co-workers rather than a majority. Conclusions: Participation in a well-being leadership training program consisting of education, coaching, and community building reduced burnout, increased confidence to improve their workplace, and their leadership decreased co-worker EE and turnover intent. This training creates a blueprint for reducing burnout in clinician leaders and co-workers. Primary Funding Source: A PPMC foundation grant sponsored 10 local participants. Central division funding came from system and local funds. Participants received $1000/month training reimbursement. Full article
Show Figures

Figure 1

19 pages, 590 KB  
Article
Utilization Patterns and Implementation Barriers in Adoption of Teledentistry Within Romanian Dental Practice
by Andrei Andronic, George Maniu, Victoria Birlutiu and Maria Popa
Healthcare 2025, 13(23), 3176; https://doi.org/10.3390/healthcare13233176 - 4 Dec 2025
Cited by 1 | Viewed by 794
Abstract
Background: Teledentistry constitutes a key component of digital health, enabling remote oral healthcare delivery through information and communication technologies (ICT). The COVID-19 pandemic accelerated its global adoption; however, data regarding its implementation within Romanian dental practice remain limited. Understanding usage patterns, perceived benefits, [...] Read more.
Background: Teledentistry constitutes a key component of digital health, enabling remote oral healthcare delivery through information and communication technologies (ICT). The COVID-19 pandemic accelerated its global adoption; however, data regarding its implementation within Romanian dental practice remain limited. Understanding usage patterns, perceived benefits, and implementation barriers is essential for effective integration. Objectives: This study examined the adoption of teledentistry among dental practitioners in Sibiu County, Romania, identified its main applications, assessed professional perceptions, and explored barriers and their interrelations using association rule mining (ARM). Methods: A cross-sectional online survey was distributed in 2025 to all 630 registered dentists in Sibiu County. The questionnaire collected demographic data, usage patterns, perceived benefits, and barriers. A total of 197 valid responses were obtained (response rate: 31.2%). Descriptive statistics, Chi-square tests, and ARM were used to identify associations between usage contexts and recorded obstacles. Results: Overall, 44.6% of respondents reported using teledentistry tools, primarily for interdisciplinary consultations (29.4%), postoperative counseling (26.4%), and treatment monitoring (25.3%). The most frequently cited barriers were the inability to perform direct clinical examinations (71.5%), practitioner reluctance (37.1%), insufficient infrastructure (29.9%), and the lack of a clear legislative framework (27.4%). ARM revealed frequent co-occurrence patterns among these barriers. Practitioners with prior experience in teledentistry reported significantly higher perceived utility (58% vs. 22.1%) and greater interest in training (58% vs. 38.5%, p < 0.05). Conclusions: Teledentistry shows moderate but increasing adoption among Romanian dentists. Addressing current barriers, through legislative clarification, infrastructure development, targeted professional training, and public education, is essential for achieving sustainable integration into modern dental practice. Full article
Show Figures

Figure 1

27 pages, 74470 KB  
Article
Demographic Change and the Future of Austria’s Long-Term-Care Allowance: A Dynamic Microsimulation Study
by Ulrike Famira-Mühlberger, Thomas Horvath, Thomas Leoni, Martin Spielauer, Viktoria Szenkurök and Philipp Warum
Healthcare 2025, 13(23), 3175; https://doi.org/10.3390/healthcare13233175 - 4 Dec 2025
Viewed by 1697
Abstract
Background/Objectives: Europe’s demographic shift is putting increasing pressure on long-term care (LTC) systems and raising concerns about the sustainability of LTC financing. In this paper, we analyse Austria’s LTC system, particularly its universal long-term-care allowance (LTCA), and aim to project LTCA expenditure under [...] Read more.
Background/Objectives: Europe’s demographic shift is putting increasing pressure on long-term care (LTC) systems and raising concerns about the sustainability of LTC financing. In this paper, we analyse Austria’s LTC system, particularly its universal long-term-care allowance (LTCA), and aim to project LTCA expenditure under different future scenarios. Methods: We use a dynamic microsimulation model to project LTCA expenditure under four scenarios up to the year 2080. Combining LTCA statistics with pooled data from the Survey of Health, Ageing and Retirement in Europe (SHARE), we estimate care needs and prevalence rates across all seven care allowance levels. This enables us to project both public spending and individual lifetime costs, disaggregated by sex and education. Results: Although total LTCA expenditure is projected to rise due to population ageing, scenario comparisons show that compositional shifts—such as higher educational attainment, which is linked to lower care needs and gains in healthy life expectancy accompanying mortality improvements—can significantly mitigate cost growth. The projected total expenditure increases range from 29% in a scenario where increasing life expectancy—as assumed in official population projections—is neglected to 185% in a scenario accounting for rising life expectancy but no future health gains. The findings also highlight the impact of longevity and education on the distribution of individual lifetime costs. Conclusions: Beyond its policy implications for LTC planning, this study demonstrates the advantages of dynamic microsimulation in capturing individual-level heterogeneity, offering a significant improvement over traditional macrosimulation approaches. Full article
(This article belongs to the Special Issue Evaluation and Potential of Effective Decision-Making in Healthcare)
Show Figures

Figure 1

16 pages, 425 KB  
Article
Medical and Social Characteristics of Patients with Endometrial Hyperplasia in a Large City in Kazakhstan: A Retrospective Comparative Study
by Bayan Imashkyzy Imasheva, Maksut Adilkhanovich Kamaliev, Vyacheslav Notanovich Lokshin, Marina Viktorovna Kiseleva and Mariya Vladimirovna Laktionova
Healthcare 2025, 13(23), 3174; https://doi.org/10.3390/healthcare13233174 - 4 Dec 2025
Viewed by 735
Abstract
Background/Objectives: Endometrial hyperplasia (EH) is a pathology of the uterus, which is a pathological overgrowth of the endometrial glands associated with the risk of progression to endometrial cancer (EC). The purpose of this study was to conduct a retrospective comparative analysis of [...] Read more.
Background/Objectives: Endometrial hyperplasia (EH) is a pathology of the uterus, which is a pathological overgrowth of the endometrial glands associated with the risk of progression to endometrial cancer (EC). The purpose of this study was to conduct a retrospective comparative analysis of the medical and social characteristics of women with endometrial hyperplasia (EH) across two time periods (2016–2017 and 2023–2024) in Almaty, the largest city in Kazakhstan. Methods: A retrospective comparative analysis included 376 women (188 per period) with histologically confirmed EH treated in public and private healthcare facilities. Data were extracted from electronic medical systems (Damumed, Avicenna). Group differences were evaluated using the χ2 test, Fisher’s exact test, and Mann–Whitney U test. Odds ratios (OR) with 95% confidence intervals (CI) were calculated; significance was set at p < 0.05. Results: The proportion of postmenopausal women increased from 22.3% to 37.8% (OR: 2.11, 95% CI: 1.34–3.32, p < 0.001), and self-referrals to private clinics rose from 17.6% to 37.2% (OR: 2.79, 95% CI 1.73–4.49, p < 0.001). Women with higher education became more prevalent (from 26.1% to 43.6%, OR: 2.19, 95% CI: 1.42–3.39, p < 0.001), along with an increase in endocrine and metabolic disorders such as thyroid disease (from 4.8% to 12.2%, OR: 2.77, 95% CI: 1.25–6.16) and overweight status (from 51.6% to 65.4%, OR: 1.78, 95% CI: 1.17–2.69, p = 0.020). Asymptomatic cases were more frequently detected (from 18.6% to 28.2%, OR: 1.72, CI: 1.06–2.79, p = 0.028), and diagnostic approaches shifted from blind curettage (78.2% vs. 47.3%, OR: 0.25, CI: 0.16–0.39, p < 0.001) toward hysteroscopy with biopsy (from 21.3% to 53.7%, OR: 4.30, CI: 2.73–6.75, p < 0.001). Conclusions: Over seven years, the clinical and socio-demographic composition of women with EH in Almaty has changed toward older, more educated, and metabolically burdened populations, with broader access to minimally invasive diagnostic methods. The findings describe observable structural changes and risk group patterns, emphasizing the importance of prospective, registry-based, and molecularly oriented studies to refine clinical strategies for prevention and early detection. Full article
Show Figures

Figure 1

2 pages, 136 KB  
Correction
Correction: Krakowski et al. Cartilage Integrity: A Review of Mechanical and Frictional Properties and Repair Approaches in Osteoarthritis. Healthcare 2024, 12, 1648
by Przemysław Krakowski, Adrian Rejniak, Jakub Sobczyk and Robert Karpiński
Healthcare 2025, 13(23), 3173; https://doi.org/10.3390/healthcare13233173 - 4 Dec 2025
Viewed by 429
Abstract
Text Correction [...] Full article
10 pages, 364 KB  
Article
Success and Self-Doubt: Prevalence and Predictors of Imposter Phenomenon in a Cohort of Medical Students from Saudi Arabia
by Sarah Alammar, Hala A. Mahmoud, Salma A. Metwally, Maryam Abdulla, Tanya Almutairi, Hala Tamim, Homoud Batel Alabri, Noara Alhusseini and Muhammad Raihan Sajid
Healthcare 2025, 13(23), 3172; https://doi.org/10.3390/healthcare13233172 - 4 Dec 2025
Cited by 1 | Viewed by 1888
Abstract
Background/Objectives: Imposter Phenomenon (IP) describes internal doubt and fear of being exposed as fraud despite achievements. Coined by Clance and Imes, it is linked to societal pressures and attributing success to luck rather than ability. The main aim of this study was [...] Read more.
Background/Objectives: Imposter Phenomenon (IP) describes internal doubt and fear of being exposed as fraud despite achievements. Coined by Clance and Imes, it is linked to societal pressures and attributing success to luck rather than ability. The main aim of this study was to investigate the prevalence and factors associated with IP among Alfaisal University medical students. Methods: A cross-sectional study was conducted using a self-reported questionnaire to assess IP and perfectionism in 295 medical students (74.9% female). Descriptive statistics and regression analyses were used to analyze the data. Results: Nearly half (49.2%) of the participants reported frequent imposter characteristics, with a substantial portion (27.1%) experiencing intense characteristics. Females were more likely to experience IP compared to males. Neither GPA nor year of study were significant predictors of IP. However, perfectionism scores showed a strong positive association with IP. Conclusions: This study identified a high prevalence of IP among Alfaisal medical students. While gender differences were observed, academic performance and year of study were not significant predictors. Perfectionism emerged as an associated factor of IP. These findings suggest that interventions targeting perfectionism and promoting self-compassion may benefit medical students experiencing IP. Further research is needed to explore the underlying causes of IP and its impact on student well-being. Full article
(This article belongs to the Section Mental Health and Psychosocial Well-being)
Show Figures

Figure 1

17 pages, 328 KB  
Perspective
Clinical Decision Support Systems and Artificial Intelligence in ADHD Assessment and Rehabilitation: Opportunities and Challenges for Technology-Assisted Care
by Margherita Dahò and Barbara Caci
Healthcare 2025, 13(23), 3171; https://doi.org/10.3390/healthcare13233171 - 4 Dec 2025
Viewed by 1855
Abstract
Background: Attention-Deficit/Hyperactivity Disorder (ADHD) is a prevalent neurodevelopmental condition affecting children, adolescents, and adults worldwide. Despite evidence-based treatments, long-term functional outcomes remain variable due to heterogeneity in symptoms, comorbidities, and environmental contexts. Digital technologies, including AI-augmented digital Clinical Decision Support Systems (CDSSs), [...] Read more.
Background: Attention-Deficit/Hyperactivity Disorder (ADHD) is a prevalent neurodevelopmental condition affecting children, adolescents, and adults worldwide. Despite evidence-based treatments, long-term functional outcomes remain variable due to heterogeneity in symptoms, comorbidities, and environmental contexts. Digital technologies, including AI-augmented digital Clinical Decision Support Systems (CDSSs), are increasingly proposed to support more precise and personalized ADHD care. This concept paper provides a theoretical discussion of the potential applications of CDSSs in ADHD rehabilitation and examines key considerations for system design, usability, and ethical implementation. Discussion: CDSSs and AI technologies offer conceptual promise for enhancing ADHD care by integrating patient-specific data to guide diagnosis, intervention planning, monitoring, and outcome prediction. Incorporating Human–Computer Interaction (HCI) principles is critical to ensure systems are intuitive, engaging, and supportive of adherence, particularly for children and adolescents with ADHD. Ethical, practical, and implementation challenges, including data privacy, equity, and variability in healthcare infrastructures, must be addressed. Thoughtful design and governance of AI-supported CDSSs may improve decision-making, optimize functional outcomes, and facilitate more individualized rehabilitation pathways. Conclusions: The paper concludes by emphasizing future research directions that may include translating conceptual frameworks into empirically testable models, developing guidelines for user-centered and ethically responsible technology deployment, and evaluating long-term impacts on clinical outcomes. By providing a theoretical foundation, this paper aims to guide the integration of AI-augmented CDSSs into technology-assisted ADHD rehabilitation while highlighting the importance of ethical, practical, and human-centered design considerations. Full article
19 pages, 1474 KB  
Review
Attachment and Emotional Eating: A Scoping Review Uncovering Relational Roots to Inform Preventive Healthcare
by Pamela Nader, Hilda E. Ghadieh, Nivine Abbas and Nayla Nahas
Healthcare 2025, 13(23), 3170; https://doi.org/10.3390/healthcare13233170 - 4 Dec 2025
Cited by 1 | Viewed by 1892
Abstract
Background/Objectives: Emotional eating can pose a significant threat to one’s health as it can be a predictor of eating disorders. It involves eating in response to emotional distress rather than physical hunger and is widely associated with insecure attachment patterns. However, it [...] Read more.
Background/Objectives: Emotional eating can pose a significant threat to one’s health as it can be a predictor of eating disorders. It involves eating in response to emotional distress rather than physical hunger and is widely associated with insecure attachment patterns. However, it remains unclear whether this relationship is consistent across cultures and in the general population. This review aimed to examine the relationship between different conceptualizations of attachment and emotional eating in non-clinical adolescent and adult populations. Methods: Nineteen eligible studies were identified through searches of five databases, including ProQuest, Scopus, Google Scholar, PubMed, and ProQuest Dissertations and Theses Global (PQDT), which covers peer-reviewed literature published between 1990 and 2025. Both quantitative and qualitative studies were included, spanning attachment styles, representations, and states. Results: The findings consistently revealed that general secure attachment styles are associated with lower levels of EE. In comparison, insecure–anxious and disorganized attachment styles are positively associated with higher EE levels. In contrast, avoidant attachment showed a weak or inconsistent association. Mediators such as difficulties with emotion regulation, perceived hunger, and body dissatisfaction were frequently identified, and stress emerged as a relevant moderator. Notably, attachment to specific figures (e.g., romantic partners versus caregivers) and cultural context were poorly addressed, which may influence the strength and consistency of the associations. The review also highlights conceptual gaps in the literature, including a limited focus on early attachment representations, context-specific attachment scripts, and the cultural validity of these concepts. Most studies were cross-sectional and conducted in Western contexts, which limited their causal interpretation and generalizability. Conclusions: These findings underscore the importance of attachment-based frameworks in understanding and preventing EE. They suggest the necessity to conduct further studies that are more nuanced, longitudinal, culturally diverse, and that consider sex and pubertal changes for a better understanding of the relationship between attachment and EE. This review contributes to prevention efforts and global health strategies by addressing the relational and emotional determinants of unhealthy eating behaviors in the general population. Full article
(This article belongs to the Section Mental Health and Psychosocial Well-being)
Show Figures

Figure 1

14 pages, 575 KB  
Article
How Do Spanish Hospitals Use Lean? Insights from a Multiple-Case Study
by Aneta Pawłowska-Hulbój, Bartosz Grucza, Michał Kozieł, Adam Kaniuk, Alicja Jakubowska, Wojciech Popiołek, Igor Pańkowski, Jaume Ribera, Jakub Batko, Mariusz Kowalewski and Wojciech Orzeł
Healthcare 2025, 13(23), 3169; https://doi.org/10.3390/healthcare13233169 - 4 Dec 2025
Viewed by 648
Abstract
Background/Objectives: The European Society for Emergency Medicine reports that emergency department visits have increased by nearly 30% over the past decade, yet resources have not kept pace with this growing demand. Lean Healthcare Management has emerged as a promising approach to optimizing [...] Read more.
Background/Objectives: The European Society for Emergency Medicine reports that emergency department visits have increased by nearly 30% over the past decade, yet resources have not kept pace with this growing demand. Lean Healthcare Management has emerged as a promising approach to optimizing emergency department operations. This study aims analyze the specific Lean Healthcare Management interventions implemented across three major Barcelona hospitals. Methods: Three Barcelona hospitals were analyzed. Revision of the Lean Healthcare Management tools, hospital staff observation and focus groups with nurses, physicians, and administrators were performed to evaluate impact of Lean Healthcare Management interventions. A cumulative SWOT analysis was performed as a synthesis of individual responses and focus groups for the three included hospitals separately. Results: The average adherence scores to implemented Lean Healthcare Management solutions were 87% at Vall d’Hebron, 85% at Sant Joan de Déu, and 89% at Hospital Clínic de Barcelona. Implementation of Lean Healthcare Management led to 20% fewer cancelations of scheduled surgical procedures, decreased patient hospitalization times for targeted pathways (from 8 h to 70 min) and significant increase in patient satisfaction. All centers shared a common foundation in Value Stream Mapping. Implemented Lean Healthcare Management solutions were personalized for each hospital. Conclusions: Lean Healthcare Management’s effectiveness is contingent on aligning the Lean approach with the hospital’s specific mission, constraints, and patient population. This contextual dependency explains the variation in the tools adopted and the outcomes prioritized across the three analyzed hospitals. Full article
Show Figures

Figure 1

16 pages, 696 KB  
Article
Sources and Level of Patient Knowledge Regarding Available Prenatal Diagnostic Methods and the Frequency of Their Use in the Polish Population
by Małgorzata Świątkowska-Freund, Magdalena Tworkiewicz, Adam Kosiński and Szymon Bednarek
Healthcare 2025, 13(23), 3168; https://doi.org/10.3390/healthcare13233168 - 4 Dec 2025
Cited by 1 | Viewed by 1047
Abstract
Introduction: The scope and accessibility of prenatal testing have significantly expanded in recent years, reaching a broader population of pregnant women. Advances in non-invasive diagnostic methods support informed decision-making and help reduce the need for invasive procedures. Objective: The objective was to evaluate [...] Read more.
Introduction: The scope and accessibility of prenatal testing have significantly expanded in recent years, reaching a broader population of pregnant women. Advances in non-invasive diagnostic methods support informed decision-making and help reduce the need for invasive procedures. Objective: The objective was to evaluate pregnant women’s knowledge regarding prenatal testing and assess the quality of information provided by healthcare professionals, including the frequency of screening and invasive procedures. Materials and Methods: A total of 310 obstetric patients from maternity wards in two hospitals in northern Poland completed a survey addressing prenatal tests, sources of information, and the quality of guidance received from medical staff. Results: Nearly 75% of respondents demonstrated adequate knowledge of the purpose, indications, and scope of prenatal testing. Physicians were identified as the primary source of information. Approximately 50% correctly indicated the recommended number of ultrasound examinations during pregnancy. No correlation was observed between knowledge of prenatal testing and a history of delivering a child with health complications. The combined first-trimester test was performed in 48.6% of cases, NIPT in 11.6%, and invasive testing in 1.8% of the study group. Conclusions: Public awareness of prenatal testing in Poland remains insufficient. With the introduction of partially reimbursed tests in 2024, we recommend strengthening educational efforts through social campaigns and targeted training for healthcare professionals. Full article
Show Figures

Figure 1

23 pages, 1898 KB  
Article
Innovating for Health: Measuring the Path of Global Innovation in Healthcare Systems
by Cristina Criveanu, Nicoleta Mihaela Doran, Veronica Gheorghiță and Oana Stăiculescu
Healthcare 2025, 13(23), 3167; https://doi.org/10.3390/healthcare13233167 - 3 Dec 2025
Viewed by 1189
Abstract
Background/Objectives: Innovation capacity has become a strategic pillar for strengthening healthcare systems in the European Union, yet its effects vary considerably across countries with different levels of institutional development and technological readiness. This study examines how national innovation capacity, measured through the Global [...] Read more.
Background/Objectives: Innovation capacity has become a strategic pillar for strengthening healthcare systems in the European Union, yet its effects vary considerably across countries with different levels of institutional development and technological readiness. This study examines how national innovation capacity, measured through the Global Innovation Index, influences health expenditure, healthy life expectancy, and childhood obesity across the EU-27. Methods: Using an unbalanced panel dataset for 2011–2024, we applied panel quantile regression to capture heterogeneous effects across the conditional distribution of health outcomes. Four dependent variables were analyzed: government expenditure on health, provider-level healthcare spending, healthy life expectancy at birth, and childhood obesity prevalence. GDP growth and population were included as controls. Diagnostic tests confirmed cross-sectional dependence and heteroskedasticity, supporting the choice of distributionally robust estimators. Results: Higher innovation capacity was positively and significantly associated with government health expenditure and provider-level spending across all quantiles (p < 0.001), with the strongest effects in lower-performing systems. For healthy life expectancy, innovation exhibited declining coefficients across quantiles, indicating diminishing marginal returns in more advanced systems. No stable association was observed for childhood obesity, which remained largely unaffected by national innovation capacity. Conclusions: Innovation contributes to structural improvements in health financing and population health, particularly in countries with lower baseline performance. In high-performing systems, its role shifts toward incremental efficiency gains. The absence of effects on childhood obesity highlights the dominance of socio-behavioral determinants. Findings are associative and call for future causal and sector-specific research. Full article
Show Figures

Figure 1

19 pages, 516 KB  
Systematic Review
Emotional Intelligence in Physical Education in Primary Education: A Systematic Review
by José Luis Murillo-Pulido, Flavia Estefanía Amar-Cantos, María Dolores Aguilar-Herrero, Ana Rodríguez-Cano and José Manuel Armada-Crespo
Healthcare 2025, 13(23), 3166; https://doi.org/10.3390/healthcare13233166 - 3 Dec 2025
Cited by 2 | Viewed by 1365
Abstract
Background/Objectives: Emotional intelligence can be understood as the ability to perceive, understand and manage one’s own emotions and those of others, promoting personal and social well-being. In the school context, Physical Education is an ideal setting for developing these skills. The aim [...] Read more.
Background/Objectives: Emotional intelligence can be understood as the ability to perceive, understand and manage one’s own emotions and those of others, promoting personal and social well-being. In the school context, Physical Education is an ideal setting for developing these skills. The aim of this systematic review was to identify and analyse programmes that integrate emotional intelligence into Physical Education in primary education. Methods: To this end, a systematic review was carried out, based on the PRISMA method, in the Web of Science, ERIC and PsycInfo databases, analysing scientific literature related to Physical Education and Emotional Intelligence. Likewise, the PICO strategy was used to develop the inclusion and exclusion criteria, resulting in the selection of 11 articles. Results: The results showed that well-planned pedagogical models and active methodologies enable the development of skills such as self-esteem, empathy, emotional self-regulation and motivation. Similarly, integrated approaches that purposefully combine movement and emotion produced more positive and lasting effects than traditional interventions focusing solely on physical aspects. Conclusions: The main conclusion is that pedagogical models in Physical Education can promote the development of emotional variables such as empathy, self-regulation, self-confidence, and motivation in primary school students. These findings highlight the need for further research in this area and for the promotion of structured educational programmes that intentionally incorporate emotional work into Physical Education from the early stages of schooling. Full article
Show Figures

Figure 1

15 pages, 366 KB  
Article
Spanish Adaptation of the Career Commitment Scale: Psychometric Evidence and Associations with Stress and Health Across the Lifespan
by Tatiane Cristine Fröelich, Carmen Moret-Tatay and Manoela Ziebell de Oliveira
Healthcare 2025, 13(23), 3165; https://doi.org/10.3390/healthcare13233165 - 3 Dec 2025
Viewed by 634
Abstract
Introduction/Objectives: In the context of Spain’s persistently high job insecurity and evolving labor market, understanding how individuals sustain career engagement is critical. This study aimed to adapt and validate the Career Commitment Scale (CCS) for use in the Spanish population and examine its [...] Read more.
Introduction/Objectives: In the context of Spain’s persistently high job insecurity and evolving labor market, understanding how individuals sustain career engagement is critical. This study aimed to adapt and validate the Career Commitment Scale (CCS) for use in the Spanish population and examine its relationship with career adaptability, mental health, and stress across different age groups. Methods: Using a sample of 418 participants, exploratory and confirmatory factor analyses confirmed the CCS’s original three-factor structure, career identity, planning, and resilience, with satisfactory fit indices and strong reliability. Criterion-related validity was supported through significant positive correlations with career adaptability and negative associations with depression, anxiety, and stress. Test–retest analysis over a three-month interval showed moderate-to-strong temporal stability. Result: CFA confirmed the factor structure. A moderation analysis revealed that stress moderated the relationship between age and career resilience: older individuals demonstrated higher resilience under low stress conditions, but this benefit diminished under high stress exposure. Conclusions: These findings highlight the relevance of career commitment as a multidimensional construct closely linked to mental well-being and adaptive functioning in uncertain labor markets. The validated CCS provides a reliable tool for research and practice, offering new insights into how career motivation interacts with age and psychological stress across the lifespan. This validation has meaningful implications for organizational practices, career counseling, and public policy, as career commitment can buffer against Spain’s chronic unemployment and job precarity—particularly for younger workers and those in non-standard employment. Full article
Show Figures

Figure 1

17 pages, 1846 KB  
Article
Research Trends and Core Themes in Operating Room Patient Safety: A Scope-Based Keyword Network Analysis (2020–2024)
by Ribyeol Woo, Jieun Shin and Nam-Yi Kim
Healthcare 2025, 13(23), 3164; https://doi.org/10.3390/healthcare13233164 - 3 Dec 2025
Viewed by 1336
Abstract
Background: Operating rooms are high-risk environments where ensuring patient safety is essential. Although research on patient safety has increased in recent years, comprehensive analyses of research trends and the core topics specific to operating room safety remain limited. This study aimed to analyze [...] Read more.
Background: Operating rooms are high-risk environments where ensuring patient safety is essential. Although research on patient safety has increased in recent years, comprehensive analyses of research trends and the core topics specific to operating room safety remain limited. This study aimed to analyze the core keywords and network structures in operating room patient safety, using a scope-based approach to provide suggestions for future research and practice. Methods: We conducted a scope-based keyword network analysis of studies on operating room patient safety published between 2020 and 2024. Data were collected from major academic databases, including CINAHL, MEDLINE, and PubMed. Keyword frequency and network centrality measures (degree, closeness, and betweenness) were used to identify major keywords and their interrelationships. Results: The analysis revealed ‘patient safety’, ‘operating room’, and ‘nurse’ as the most frequent and central keywords, highlighting their critical role in surgical safety research. Other highly connected terms—‘safety culture’, ‘infection control’, and ‘checklist’ emphasized systematic and organizational safety management. Emerging themes such as ‘leadership’, ‘teamwork’, ‘competency’, and ‘education’ reflected increasing attention to collaboration and professional capability, while ‘artificial intelligence’ and ‘telemedicine’ indicated growing interest in digital innovation. Conclusions: Research on patient safety in operating rooms demonstrates a multidimensional structure encompassing patients, healthcare professionals, systems, culture, and education. These findings underscore the need for integrated and multidisciplinary approaches to enhance safety in surgical environments and suggest directions for technology-driven and patient-centered safety models. Full article
Show Figures

Figure 1

15 pages, 2489 KB  
Article
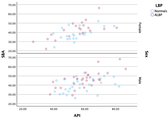
Sensitivity and Specificity of Elliptical Modeling and Sagittal Lumbar Alignment Variables in Normal vs. Acute Low Back Pain Patients: Does Pelvic Morphology Explain Group Lordotic Differences?
by Paul A. Oakley, Ibrahim M. Moustafa, Joseph W. Betz, Jason O. Jaeger and Deed E. Harrison
Healthcare 2025, 13(23), 3163; https://doi.org/10.3390/healthcare13233163 - 3 Dec 2025
Viewed by 1269
Abstract
Background/Objectives: The lumbar lordosis (LL) is influenced by pelvic morphology, the unique dimensional characteristics of the pelvis. We investigated the sensitivity and specificity of lumbar sagittal radiographic alignment variables to discriminate between normal controls and acute low back pain (ALBP) patients. Methods: A [...] Read more.
Background/Objectives: The lumbar lordosis (LL) is influenced by pelvic morphology, the unique dimensional characteristics of the pelvis. We investigated the sensitivity and specificity of lumbar sagittal radiographic alignment variables to discriminate between normal controls and acute low back pain (ALBP) patients. Methods: A total of 50 normal controls (29 men; mean age of 27.7 ± 8.5 years) with no history of low back pain and 50 ALBP patients (29 men; 28.1 ± 8 years of age) were compared. Radiographic variables included three measures of LL, a b/a elliptical modeling ratio, sacral base angle (SBA), S1 posterior tangent to vertical (PTS1), two measures of pelvic morphology, as well as three relationships between morphology and LL. Descriptive statistics, linear correlations, and receiver operating characteristic (ROC) curves were calculated. Results: The SBA and Cobb T12-S1 LL were significantly greater in the ALBP group. The SBA showed a reasonable ability to discriminate between the normal and ALBP groups with ROC curve analysis (AUC = 0.67, optimal cut-off value = 41.2°, sensitivity = 0.70, and specificity = 0.62). Pelvic morphology was similar between sex and pain groups. Conclusions: Our sample of ALBP patients had similar pelvic morphology as compared to normal control participants; however, they also demonstrated an increased T12-S1 lordosis and sacral base angle, shown as a hyperlordosis. Full article
Show Figures

Figure 1

19 pages, 1142 KB  
Article
Cognitive Reserve as a Protective Factor for Visuospatial Ability in Healthy Aging
by Marika Mauti, Elena Allegretti and Raffaella I. Rumiati
Healthcare 2025, 13(23), 3162; https://doi.org/10.3390/healthcare13233162 - 3 Dec 2025
Viewed by 938
Abstract
Background: Cognitive Reserve (CR) is a theoretical construct developed to explain individual differences in resilience to age-related cognitive decline. Empirical evidence supports its positive role across multiple cognitive domains. However, behavioral research has primarily focused on areas either vulnerable to aging, such [...] Read more.
Background: Cognitive Reserve (CR) is a theoretical construct developed to explain individual differences in resilience to age-related cognitive decline. Empirical evidence supports its positive role across multiple cognitive domains. However, behavioral research has primarily focused on areas either vulnerable to aging, such as memory, or relatively preserved, such as language. In contrast, the relationship between CR and task-specific performance in domains like visuospatial processing—a domain critical for everyday functioning—remains underexplored. This study investigates whether CR, as measured by the Cognitive Reserve Index Questionnaire (CRIq), predicts performance in mental rotation tasks in healthy older adults. Methods: Participants (age 55–85) completed two tasks: (1) a hand laterality task, requiring judgments about whether a rotated hand image (palm or back view) was left or right; and (2) a letter-congruency task, in which participants determined whether simultaneously presented rotated letters were identical or mirror-reversed. Results: Generalized and linear mixed-effects models revealed a protective effect of cognitive reserve, with higher CRIq scores significantly predicting greater accuracy in both tasks. Efficiency benefits (i.e., shorter reaction times) were evident mainly in the easiest conditions, suggesting that CR supports processing resources more effectively under moderate rather than maximal task demands. This pattern indicates that cognitive reserve does not uniformly enhance performance but instead modulates the allocation of cognitive resources in a context-dependent manner. Conclusions: To our knowledge, this is the first study to demonstrate a modulatory role of CR on visuospatial abilities in healthy older adults. These findings open new avenues for investigating how CR may differentially affect performance across a broader spectrum of cognitive functions, including attention, executive control, and spatial processing. A better understanding of these mechanisms could inform targeted cognitive interventions to strengthen resilience and promote successful aging. Full article
Show Figures

Figure 1

13 pages, 1519 KB  
Article
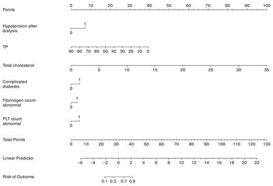
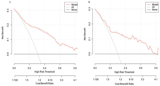
Establishment and Evaluation of Nomogram Model for Predicting the Risk of Arteriovenous Fistula Dysfunction in Patients Undergoing MHD
by Dan Jiang, Ling Sun, Minghui Wang, Yahui Han, Youfen Liao, Ling Wang and Xia Fu
Healthcare 2025, 13(23), 3161; https://doi.org/10.3390/healthcare13233161 - 3 Dec 2025
Viewed by 659
Abstract
Background/Objectives: We aimed to construct a nomogram model for predicting arteriovenous fistula dysfunction risk and to conduct internal validation. Methods: The clinical data of 335 patients from the 8th Affiliated Hospital of Sun Yat-Sen University, collected from January 2019 to January 2024, were [...] Read more.
Background/Objectives: We aimed to construct a nomogram model for predicting arteriovenous fistula dysfunction risk and to conduct internal validation. Methods: The clinical data of 335 patients from the 8th Affiliated Hospital of Sun Yat-Sen University, collected from January 2019 to January 2024, were retrospectively analyzed. Among these patients, 103 were assigned to the arteriovenous fistula (AVF) dysfunction group, while 232 were in the non-dysfunction group. In this study, we first identified risk factors for AVF dysfunction using univariate and logistic regression analyses, and then constructed a prediction model by resampling the data. The model’s performance was evaluated using the C-index, ROC curve, calibration plot, and decision curve analysis, confirming its strong predictive ability and clinical value. Results: The results indicated that post-dialysis hypotension, abnormal fibrinogen levels, platelet abnormalities, total cholesterol levels, and diabetes mellitus emerged as independent risk factors for AVF dysfunction in MHD patients; however, total protein levels were a protective factor for AVF dysfunction. The model’s performance was assessed using the receiver operating characteristic (ROC) curve, the Hosmer–Lemeshow test, and the calibration curve. The ROC curve results demonstrated that the area under the curve (AUC) for the training set was 0.852 (0.799–0.904), while that for the validation set was 0.810 (0.715–0.906), indicating good calibration. The decision curve analysis revealed that the predictive nomogram was clinically useful when the threshold for intervention was set between a 15% and 78% probability of dysfunction. Conclusions: The nomogram prediction model constructed in this study can be used to predict the risk of autogenous arteriovenous fistula dysfunction in hemodialysis patients. Full article
Show Figures

Figure 1

14 pages, 780 KB  
Article
Development and Rasch Validation of the Parental Topical Corticosteroid Phobia Scale (PTCPS) in Pediatric Eczema Care
by Ahmad Assiri
Healthcare 2025, 13(23), 3160; https://doi.org/10.3390/healthcare13233160 - 3 Dec 2025
Viewed by 613
Abstract
Background and Objectives: Parental fears and misconceptions about topical corticosteroids (TCS), known as TCS phobia, can hinder adherence and lead to poor eczema control in children. Despite its clinical relevance, few instruments capture this phenomenon using modern psychometric principles. This study aimed [...] Read more.
Background and Objectives: Parental fears and misconceptions about topical corticosteroids (TCS), known as TCS phobia, can hinder adherence and lead to poor eczema control in children. Despite its clinical relevance, few instruments capture this phenomenon using modern psychometric principles. This study aimed to develop and validate the Parental Topical Corticosteroid Phobia Scale (PTCPS), a brief tool grounded in Rasch measurement theory. Methods: A cross-sectional survey was conducted among 678 parents of children with eczema in Saudi Arabia. The five-item PTCPS was designed to reflect cognitive, emotional, and behavioral components of corticosteroid phobia. Rasch analysis using WINSTEPS assessed item fit, person and item separation and reliability, unidimensionality, and category functioning. Exploratory factor analysis (EFA) and principal component analysis (PCA) of residuals further evaluated structural validity. Results: All five items fit the Rasch model well (infit/outfit MnSq: 0.8–1.2), with strong item reliability (0.96) and clear item separation (4.67), indicating a well-defined item hierarchy. Person reliability was lower (0.40), suggesting limited precision in distinguishing between respondent levels. The scale showed functioning dichotomous response categories with no disordered thresholds. The eigenvalue of the first residual contrast (1.78) supported unidimensionality. Exploratory factor analysis confirmed a single-factor solution accounting for 53.0% of total variance, with substantial factor loadings (0.68–0.76) across all items, supporting structural coherence of the scale. Conclusions: The PTCPS is a psychometrically robust, unidimensional instrument for assessing TCS phobia in parents. Future research should validate its use across cultures, explore longitudinal stability, and assess its predictive value for treatment adherence. Full article
Show Figures

Figure 1

27 pages, 2073 KB  
Article
Telemedicine and AI-Powered Chatbots: Potential and Challenges for Home Care Provided by Family Caregivers
by Kevin-Justin Schwedler, Thomas Ostermann, Jan P. Ehlers and Gregor Hohenberg
Healthcare 2025, 13(23), 3159; https://doi.org/10.3390/healthcare13233159 - 3 Dec 2025
Viewed by 1129
Abstract
Background/Objectives: The digitization of care opens up new opportunities to support family caregivers, who play a key role in home care. While telemedicine applications have already shown initial relief effects, AI-supported chatbots are increasingly coming into focus as an innovative form of [...] Read more.
Background/Objectives: The digitization of care opens up new opportunities to support family caregivers, who play a key role in home care. While telemedicine applications have already shown initial relief effects, AI-supported chatbots are increasingly coming into focus as an innovative form of digital support. The aim of this study was to build on an earlier study on the integration of telemedicine into home care and to conduct a complementary study on AI-based chatbots to analyze their acceptance, perceived benefits, and potential barriers from the perspective of family caregivers. Methods: The study comprises two consecutive online surveys with a total of n = 62 family caregivers. The first study assessed the use and acceptance of telemedicine systems; the second complementary survey examined attitudes toward AI-supported chatbots. Both questionnaires were developed based on a systematic literature review and in accordance with the Technology Acceptance Model (TAM). The dimensions of user-friendliness, data protection, communication support, emotional relief, and training needs were among those recorded. The data were evaluated using descriptive statistics, including comparative analyses between the two studies. Results: The results show that family caregivers generally have a positive attitude toward digital health solutions, but at the same time identify specific barriers. While technical barriers and privacy concerns dominated the telemedicine study, the AI results place greater emphasis on psychosocial factors. It also became clear that participants assumed that chatbots would be more acceptable if they were designed to be empathetic and dialogue-oriented. A comparison of the two data sets shows that the perceived benefits of digital systems are shifting from functional support to interactive, emotional support. Conclusions: The results suggest that AI-powered chatbots could offer significant added value to family caregivers by combining information sharing, emotional support, and self-reflection. In doing so, they expand the focus of traditional telemedicine to include a communicative and psychosocial dimension. Future research should examine the actual user experience and effectiveness of such systems in longitudinal and qualitative designs. Despite limitations in terms of sample representativeness and hypothetical usage estimates, the study makes an important contribution to the further development of digital care concepts and the ethically responsible integration of AI into home care. Full article
Show Figures

Figure 1

9 pages, 588 KB  
Article
The HIT-6 Questionnaire Corresponds to the PedMIDAS for Assessment of Pediatric Headaches
by Jacob Genizi, Raneen Mansour, Malak Burbara, Shoshana Gal, Keren Nathan, Lisa Kaly and Liat Yaniv
Healthcare 2025, 13(23), 3158; https://doi.org/10.3390/healthcare13233158 - 3 Dec 2025
Cited by 2 | Viewed by 1053
Abstract
Objective: The aim of our study was to compare two questionnaires regarding their ability to globally assess the impact of headaches on daily functioning in children as a primary endpoint and, secondarily, to evaluate their correlation to frequency and headache strength. Background: Headache [...] Read more.
Objective: The aim of our study was to compare two questionnaires regarding their ability to globally assess the impact of headaches on daily functioning in children as a primary endpoint and, secondarily, to evaluate their correlation to frequency and headache strength. Background: Headache is a common complaint in children and adolescents, leading to functional impairment. The impact of primary headaches, such as migraine and tension-type headaches, varies according to pain severity and frequency. Although the PedMIDAS questionnaire is a validated tool for assessing headache-related impact in children, it can be difficult for children to complete. The HIT-6 questionnaire is user-friendly but has been validated exclusively for use in adults. Methods: Our method involved a prospective cohort study in children aged 6–18 years who visited the headache clinic at Bnai Zion Medical Center due to primary headaches. All children filled in both the PedMIDAS and HIT-6. Data on headache diagnosis, frequency and intensity along with demographic data were obtained. Results: Of the 100 children participating, 96 completed both questionnaires. The final sample was 66% (63) female, and the average age was 14 years (±3.3). Migraine was reported by 62% (60), followed by tension-type headaches (18%) and mixed headache (15%). A weak positive spearman correlation was observed between PedMIDAS and HIT-6 scores to age (respectively, ρ 0.3 with p value < 0.005, and ρ 0.2 with p value < 0.05), a weak positive spearman correlation as well between the HIT-6 score and both disease duration and headache intensity (respectively, ρ 0.221 with p value < 0.05 and ρ 0.250 with p value < 0.05). PedMIDAS score was weakly positively correlated to headache frequency (ρ 0.27 with p value < 0.05). A moderately positive spearman correlation was found between the PedMIDAS and HIT scores with ρ 0.6 and p value < 0.005. Linear regression analysis revealed a stronger correlation with headache frequency for the HIT-6 than for the PedMIDAS, when adjusted to gender and headache type. Conclusions: The HIT-6 questionnaire correlates with the PedMIDAS questionnaire and can serve as a good alternative for easily evaluating headache burden in children. Full article
Show Figures

Figure 1

29 pages, 2720 KB  
Systematic Review
Exploring Factors Affecting the Adoption of IoT in Healthcare: A Systematic Literature Review
by Ruba Alnajim and Ali Alkhalifah
Healthcare 2025, 13(23), 3157; https://doi.org/10.3390/healthcare13233157 - 3 Dec 2025
Viewed by 1346
Abstract
Background: The integration of the Internet of Things (IoT) into healthcare promises significant advancements in patient care and operational efficiency, while simultaneously posing substantial cybersecurity threats to sensitive personal data. Methods: This paper employs a systematic literature review (SLR) to investigate the factors [...] Read more.
Background: The integration of the Internet of Things (IoT) into healthcare promises significant advancements in patient care and operational efficiency, while simultaneously posing substantial cybersecurity threats to sensitive personal data. Methods: This paper employs a systematic literature review (SLR) to investigate the factors influencing IoT adoption in healthcare, clarify research trends, and examine the impact of cybersecurity. Eligibility criteria were established, focusing on peer-reviewed studies published between 2015 and 2025 across five reputable databases, ultimately identifying 79 relevant articles. Results: Analysis revealed active research in countries such as India, Saudi Arabia, the USA, China, Malaysia, and Pakistan, with notable publication peaks in 2019 and 2022. Most studies (60.8%) employed quantitative methods, reflecting a preference for statistical analysis, while personal IoT health devices—particularly wearables and smart home technologies—were prominent, referenced in 27.8% of the literature. The technology acceptance model (TAM) and its variants emerged as dominant frameworks, underscoring a focus on user acceptance. A total of 139 indicators influencing IoT adoption were categorized into individual, technological, security, environmental, and ‘other’ factors. Despite the rigorous search process, some relevant studies may have been overlooked, indicating a limitation in the review. Conclusions: Addressing these gaps is vital for enhancing security measures in IoT applications, contributing to data protection and ensuring continuity of care in an increasingly interconnected healthcare ecosystem. This synthesis of current research underscores the necessity for ongoing exploration of IoT’s implications for both patient care and cybersecurity in healthcare settings. Full article
Show Figures

Figure 1

15 pages, 294 KB  
Article
When Survival Meets Fear: A Quantitative Study on Generalized Anxiety, Depression and Quality of Life in Cancer Survivors from Portugal
by Andreia Carrança, Ana Torres and Paula Carvalho
Healthcare 2025, 13(23), 3156; https://doi.org/10.3390/healthcare13233156 - 3 Dec 2025
Viewed by 877
Abstract
Background/Objectives: Due to ongoing medical and scientific progress, the number of cancer survivors is steadily increasing worldwide. However, this population remains particularly vulnerable to experiencing psychopathological symptoms and Fear of Disease Progression, which is often associated with lower Quality of Life scores. [...] Read more.
Background/Objectives: Due to ongoing medical and scientific progress, the number of cancer survivors is steadily increasing worldwide. However, this population remains particularly vulnerable to experiencing psychopathological symptoms and Fear of Disease Progression, which is often associated with lower Quality of Life scores. The present study aims to evaluate these variables among cancer survivors of the Portuguese Beira Interior Region, providing insight into this understudied population. Methods: A cross-sectional study was conducted with a convenience sample of 55 cancer survivors from the Beira Interior Region (69.1% female; M = 62.27 years), assessed through a sociodemographic and clinical questionnaire, alongside the PHQ-9, GAD-7, FoP-Q-SF, and QLQ-C30 instruments. Results: Overall, 60.9% of participants exhibited depressive symptoms, 43.6% reported generalized anxiety, and 54.5% showed normative levels of Fear of Disease Progression. Significant differences in Fear of Disease Progression were observed between sexes and educational levels. Positive correlations emerged between Fear of Disease Progression and both generalized anxiety (rs = 0.66) and depressive symptoms (rs = 0.43), while all three variables were negatively associated with Quality of Life. Although individual predictors did not reach statistical significance, the combined model, including Fear of Disease Progression, depressive symptoms, and anxiety, explained 21% of the variance in Quality of Life. Conclusions: These findings underscore the importance of assessing and monitoring Fear of Disease Progression among cancer survivors to support the development of early and tailored interventions, given Fear of Disease Progression’s predictive role in generalized anxiety, depressive symptoms, and reduced Quality of Life in this population. Full article
(This article belongs to the Special Issue Multidisciplinary Approaches in Cancer Healthcare)
16 pages, 672 KB  
Review
Assisted Reproduction Therapy in Patients with Multiple Sclerosis: Narrative Review and Practical Recommendations
by Lenka Mekiňová, Iva Šrotová, Petra Hanáková, Pavlína Danhofer, Robert Hudeček and Michal Ješeta
Healthcare 2025, 13(23), 3155; https://doi.org/10.3390/healthcare13233155 - 3 Dec 2025
Viewed by 1131
Abstract
Objective: The objective of this study is to present contemporary findings regarding the relationship between the application of assisted reproduction methods and their impact on the incidence of multiple sclerosis. Design: This study adopts a narrative review design. Text: Assisted [...] Read more.
Objective: The objective of this study is to present contemporary findings regarding the relationship between the application of assisted reproduction methods and their impact on the incidence of multiple sclerosis. Design: This study adopts a narrative review design. Text: Assisted reproductive technology (ART) is increasingly used to treat human infertility. Due to the massive use of these techniques, it is increasingly important to record not only the course of fertilization and embryonic and fetal development of the individual but also the overall health status of the children born and their mothers. The incidence of autoimmune diseases continues to rise for reasons that remain unclear. One of the factors considered in connection with autoimmune disorders is ART. Opinions on the safety and reliability of ART methods are not consistent. Recently, extensive studies focusing on this issue have been presented and have not found a connection between infertility treatment with assisted reproductive techniques and the development of multiple sclerosis (MS). Conclusions: Current evidence suggests that, in adherence to the principles of evidence-based medicine and modern approaches to multiple sclerosis therapy, assisted reproduction in women with this disease is effective and does not pose a serious health risk. Therefore, it is necessary to always individualize therapy with regard to future pregnancy. Interdisciplinary cooperation on the timing of IVF therapy and minimizing the risk of MS exacerbation is also important. Full article
(This article belongs to the Section Clinical Care)
Show Figures

Figure 1

8 pages, 420 KB  
Case Report
Novel Application of Transcutaneous Electrical Stimulation for Ophthalmoplegia in Miller Fisher Syndrome: A Case Report
by Ying-Chi Huang and Fred Yi-Shueh Chen
Healthcare 2025, 13(23), 3154; https://doi.org/10.3390/healthcare13233154 - 3 Dec 2025
Viewed by 907
Abstract
We report the case of a 62-year-old woman with Miller Fisher syndrome (MFS) whose severe bilateral ophthalmoplegia showed no improvement after four weeks of standard care consisting of intravenous immunoglobulin and physiotherapy. High-frequency transcutaneous electrical nerve stimulation (TENS) was applied over the bilateral [...] Read more.
We report the case of a 62-year-old woman with Miller Fisher syndrome (MFS) whose severe bilateral ophthalmoplegia showed no improvement after four weeks of standard care consisting of intravenous immunoglobulin and physiotherapy. High-frequency transcutaneous electrical nerve stimulation (TENS) was applied over the bilateral sternocleidomastoid muscles and immediately followed by eye-movement exercises. Within three days, ocular motility began to improve, and after one month, only minimal left-eye abduction lag remained. Such neuromodulation of TENS might act on central and peripheral tiers of the oculomotor system and may have been temporally associated with faster recovery than expected in the natural course of the disease compared to the median three-month interval. This dramatic, time-associated improvement highlights the novelty of cervical TENS as a potential accelerator for recovery in MFS-related ophthalmoplegia. To the best of our knowledge, research involving the use of TENS in MFS-related ophthalmoplegia is limited, and our case demonstrates the feasibility and safety of TENS for faster recovery. Full article
(This article belongs to the Special Issue Cutting-Edge Approaches in Neurological Disease Treatment)
Show Figures

Figure 1

9 pages, 320 KB  
Article
Association of Early and Severe Early Childhood Caries with Oral Health-Related Quality of Life: A Cross-Sectional Survey
by Samaa K. Redwan, Najlaa M. Alamoudi, Osama M. Felemban, Amani A. Al Tuwirqi and Rana A. Alamoudi
Healthcare 2025, 13(23), 3153; https://doi.org/10.3390/healthcare13233153 - 3 Dec 2025
Viewed by 1008
Abstract
Background/Objectives: Early childhood caries (ECC) and severe early childhood caries (S-ECC) are oral health problems that affect many preschool children worldwide. ECC and S-ECC negatively impact the quality of life of preschool children, including functional, psychological, and social well-being, as well as [...] Read more.
Background/Objectives: Early childhood caries (ECC) and severe early childhood caries (S-ECC) are oral health problems that affect many preschool children worldwide. ECC and S-ECC negatively impact the quality of life of preschool children, including functional, psychological, and social well-being, as well as their families. There is no updated data regarding the prevalence of ECC and S-ECC in Jeddah, Saudi Arabia. Additionally, no study has been conducted on oral health-related quality of life (OHRQoL) with regard to ECC and S-ECC among preschool children in Jeddah. Thus, this investigation aimed to determine the prevalence of ECC and S-ECC in children 3 to 5 years old in Jeddah and its relation to OHRQoL. Methods: A cross-sectional survey was carried out on 322 children randomly selected from different preschools in Jeddah. The early childhood oral health impact scale (ECOHIS) questionnaires were distributed and completed by the parents followed by clinical examination. The dmft and dmfs index scores were determined by WHO diagnostic criteria. Results: A total of 322 preschool children were included in the final sample. The results indicated a caries prevalence rate of 74.2% with ECC and S-ECC prevalence rates of 34.2% and 40.1%, respectively. The mean ± SD dmft and dmfs scores were 4.6 ± 0.4 and 10.8 ± 0.9, respectively. The mean ± SD total score of the early childhood oral health impact scale (ECOHIS) was 6.1 ± 7.3. S-ECC was significantly associated with higher ECOHIS scores (p < 0.001) after controlling for age. Conclusions: ECC and S-ECC are highly prevalent in Jeddah, Saudi Arabia, and negatively impact OHRQoL. Full article
(This article belongs to the Special Issue Oral and Maxillofacial Health Care: Third Edition)
Show Figures

Figure 1

Previous Issue
Back to TopTop