Adaptation of the Taiwan Version of the Supportive and Palliative Care Indicators Tool (SPICT-TW) and Its Association with Six-Month Mortality: A Multi-Center Validation Study in Older People
Abstract
1. Introduction
2. Materials and Methods
2.1. Study Design and Procedure
2.2. Adaptation of the SPICT-TW
2.3. The Validity and Reliability of the SPICT-TW
2.4. Other Measurements
2.5. Participants
2.6. Statistical Analysis
3. Results
3.1. Background Information of Patients and Evaluators
3.2. The Reliability and Validity of the SPICT-TW
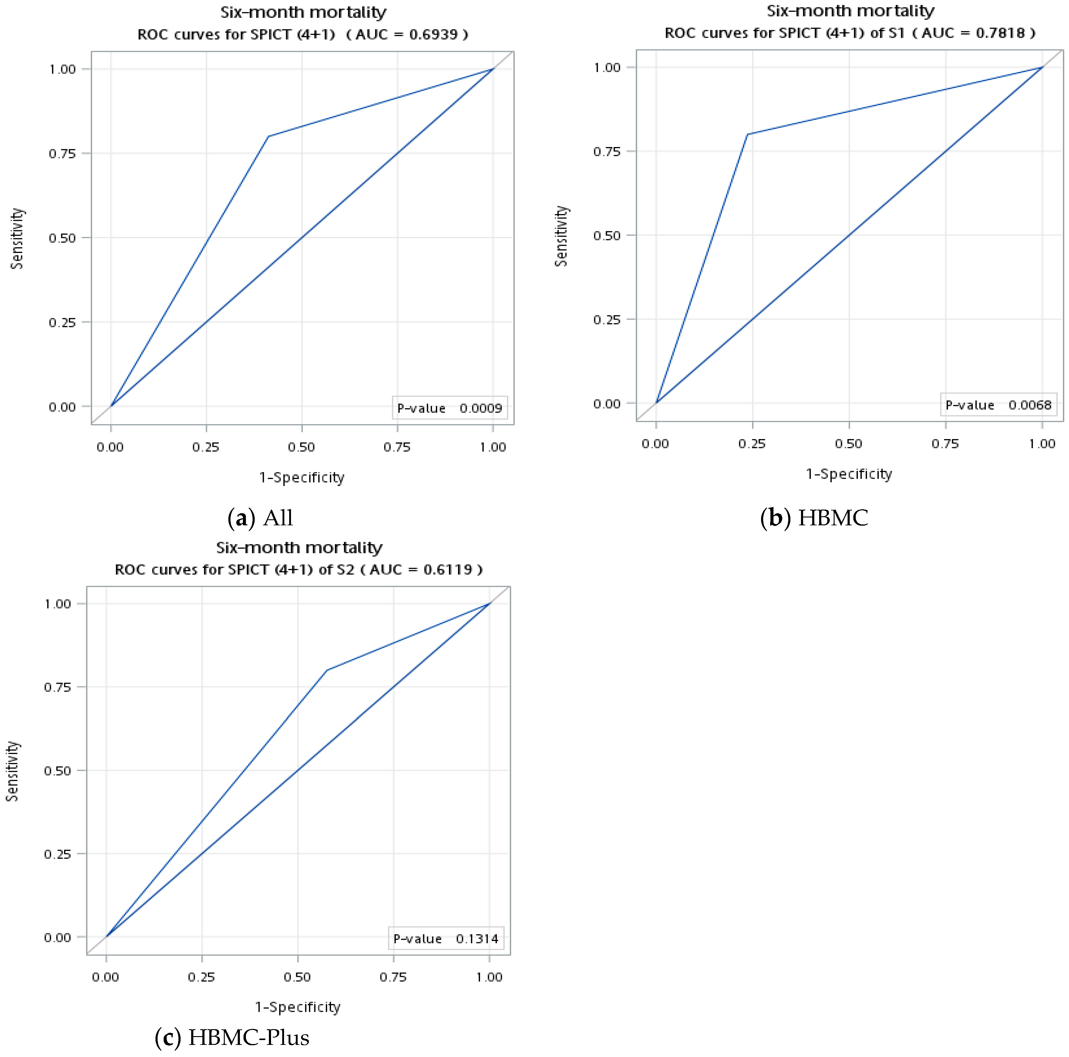
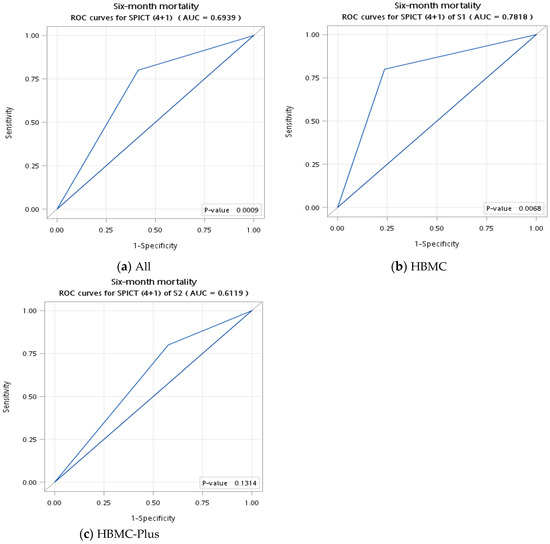
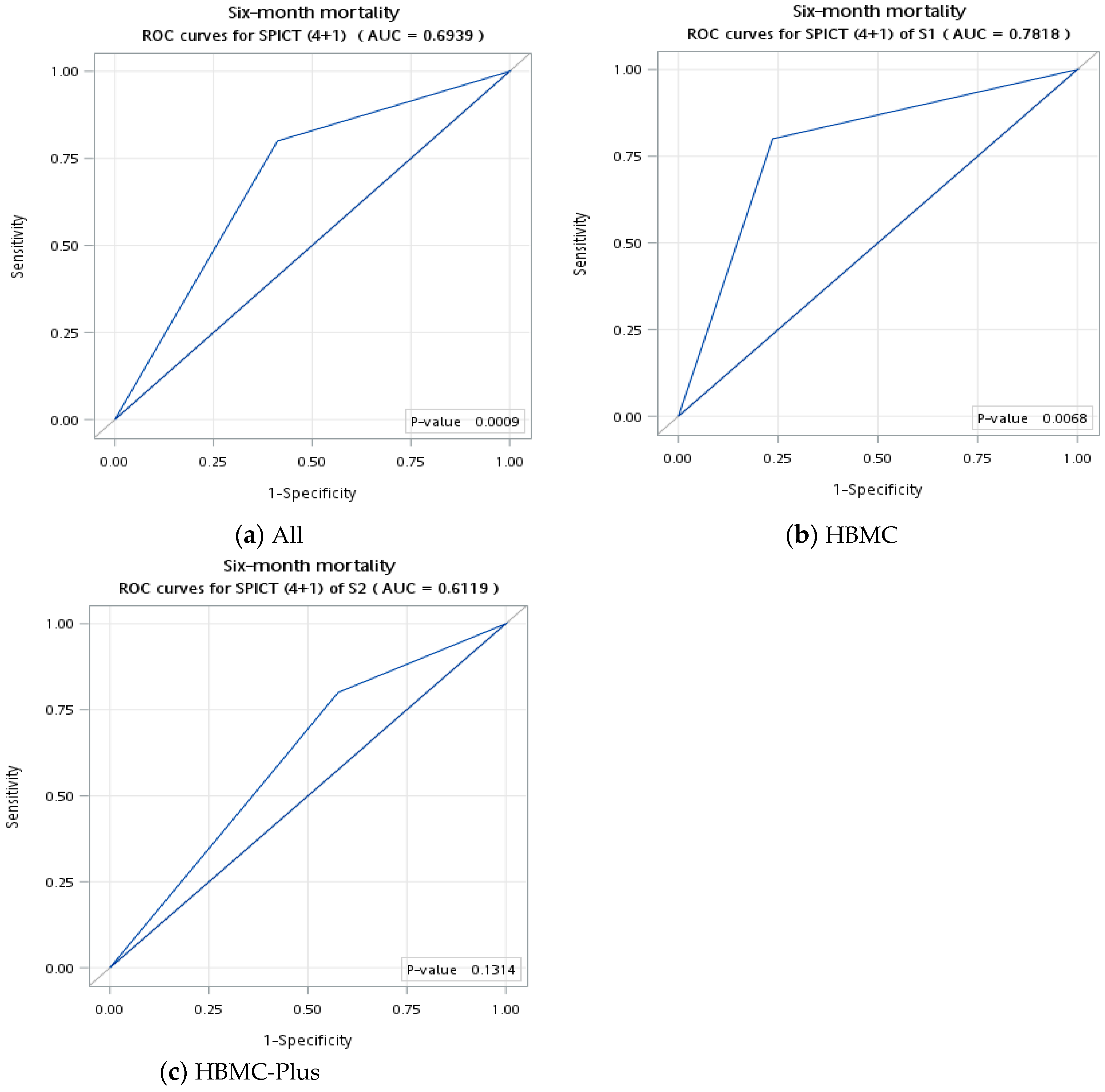
3.3. Association Between the SPICT-TW and Six-Month Mortality
4. Discussion
5. Conclusions
Author Contributions
Funding
Institutional Review Board Statement
Informed Consent Statement
Data Availability Statement
Conflicts of Interest
References
- Boyd, K.; Murray, S.A. Recognising and managing key transitions in end of life care. BMJ 2010, 341, c4863. [Google Scholar] [CrossRef]
- Fachado, A.A.; Martínez, N.S.; Roselló, M.M.; Rial, J.J.V.; Oliver, E.B.; García, R.G.; García, J.M.F. Spanish adaptation and validation of the supportive & palliative care indicators tool—SPICT-ESTM. Rev. Saude Publica 2018, 52, 3. [Google Scholar] [PubMed]
- Afshar, K.; Feichtner, A.; Boyd, K.; Murray, S.; Jünger, S.; Wiese, B.; Schneider, N.; Müller-Mundt, G. Systematic development and adjustment of the German version of the Supportive and Palliative Care Indicators Tool (SPICT-DE). BMC Palliat. Care 2018, 17, 27. [Google Scholar] [CrossRef]
- Casale, G.; Magnani, C.; Fanelli, R.; Surdo, L.; Goletti, M.; Boyd, K.; D’Angelo, D.; Mastroianni, C. Supportive and palliative care indicators tool (SPICT™): Content validity, feasibility and pre-test of the Italian version. BMC Palliat. Care 2020, 19, 79. [Google Scholar] [CrossRef] [PubMed]
- Sripaew, S.; Fumaneeshoat, O.; Ingviya, T. Systematic adaptation of the Thai version of the supportive and palliative care indicators tool for low-income setting (SPICT-LIS). BMC Palliat. Care 2021, 20, 35. [Google Scholar] [CrossRef] [PubMed]
- Bergenholtz, H.; Weibull, A.; Raunkiær, M. Supportive and palliative care indicators tool (SPICT™) in a Danish healthcare context: Translation, cross-cultural adaptation, and content validation. BMC Palliat. Care 2022, 21, 41. [Google Scholar] [CrossRef] [PubMed]
- Highet, G.; Crawford, D.; Murray, S.A.; Boyd, K. Development and evaluation of the Supportive and Palliative Care Indicators Tool (SPICT): A mixed-methods study. BMJ Support. Palliat. Care 2014, 4, 285–290. [Google Scholar] [CrossRef]
- De Bock, R.; Van Den Noortgate, N.; Piers, R. Validation of the supportive and palliative care indicators tool in a geriatric population. J. Palliat. Med. 2018, 21, 220–224. [Google Scholar] [CrossRef]
- Mudge, A.M.; Douglas, C.; Sansome, X.; Tresillian, M.; Murray, S.; Finnigan, S.; Blaber, C.R. Risk of 12-month mortality among hospital inpatients using the surprise question and SPICT criteria: A prospective study. BMJ Support. Palliat. Care 2018, 8, 213–220. [Google Scholar] [CrossRef]
- Piers, R.; De Brauwer, I.; Baeyens, H.; Velghe, A.; Hens, L.; Deschepper, E.; Henrard, S.; De Pauw, M.; Van Den Noortgate, N.; De Saint-Hubert, M. Supportive and Palliative Care Indicators Tool prognostic value in older hospitalised patients: A prospective multicentre study. BMJ Support. Palliat. Care, 2021; epub ahead of print. [Google Scholar] [CrossRef]
- Effendy, C.; Silva, J.F.D.S.; Padmawati, R.S. Identifying palliative care needs of patients with non-communicable diseases in Indonesia using the SPICT tool: A descriptive cross-sectional study. BMC Palliat. Care 2022, 21, 13. [Google Scholar] [CrossRef] [PubMed]
- Mitchell, G.K.; Senior, H.E.; Rhee, J.J.; Ware, R.S.; Young, S.; Teo, P.C.; Murray, S.; Boyd, K.; Clayton, J.M. Using intuition or a formal palliative care needs assessment screening process in general practice to predict death within 12 months: A randomised controlled trial. Palliat. Med. 2018, 32, 384–394. [Google Scholar] [CrossRef] [PubMed]
- van Wijmen, M.P.S.; Schweitzer, B.P.M.; Pasman, H.R.; Onwuteaka-Philipsen, B.D. Identifying patients who could benefit from palliative care by making use of the general practice information system: The Surprise Question versus the SPICT. Fam. Pract. 2020, 37, 641–647. [Google Scholar] [CrossRef] [PubMed]
- van Baal, K.; Wiese, B.; Müller-Mundt, G.; Stiel, S.; Schneider, N.; Afshar, K. Quality of end-of-life care in general practice—A pre–post comparison of a two-tiered intervention. BMC Prim. Care 2022, 23, 90. [Google Scholar] [CrossRef]
- Liyanage, T.; Mitchell, G.; Senior, H. Identifying palliative care needs in residential care. Aust. J. Prim. Health 2018, 24, 524–529. [Google Scholar] [CrossRef]
- Mondor, L.; Maxwell, C.J.; Hogan, D.B.; Bronskill, S.E.; Gruneir, A.; Lane, N.E.; Wodchis, W.P. Multimorbidity and healthcare utilization among home care clients with dementia in Ontario, Canada: A retrospective analysis of a population-based cohort. PLoS Med. 2017, 14, e1002249. [Google Scholar] [CrossRef]
- Harrison, K.L.; Leff, B.; Altan, A.; Dunning, S.; Patterson, C.R.; Ritchie, C.S. What’s happening at home: A claims-based approach to better understand home clinical care received by older adults. Med. Care 2020, 58, 360–367. [Google Scholar] [CrossRef]
- Ritchie, C.S.; Leff, B. Population health and tailored medical care in the home: The roles of home-based primary care and home-based palliative care. J. Pain. Symptom. Manag. 2018, 55, 1041–1046. [Google Scholar] [CrossRef]
- Chang, H.T.; Lai, H.Y.; Hwang, I.H.; Ho, M.M.; Hwang, S.J. Home healthcare services in Taiwan: A nationwide study among the older population. BMC Health Serv. Res. 2010, 10, 274. [Google Scholar] [CrossRef]
- Landers, S.; Madigan, E.; Leff, B.; Rosati, R.J.; McCann, B.A.; Hornbake, R.; MacMillan, R.; Jones, K.; Bowles, K.; Dowding, D.; et al. The future of home health care: A strategic framework for optimizing value. Home Health Care Manag. Pract. 2016, 28, 262–278. [Google Scholar] [CrossRef]
- Shih, C.Y.; Chen, Y.M.; Huang, S.J. Survival and characteristics of older adults receiving home-based medical care: A nationwide analysis in Taiwan. J. Am. Geriatr. Soc. 2023, 71, 1526–1535. [Google Scholar] [CrossRef] [PubMed]
- Su, M.C.; Chen, Y.C.; Huang, M.S.; Lin, Y.H.; Lin, L.H.; Chang, H.T.; Chen, T.J. LACE score-based risk management tool for long-term home care patients: A proof-of-concept study in Taiwan. Int. J. Environ. Res. Public Health 2021, 18, 1135. [Google Scholar] [CrossRef] [PubMed]
- Liao, J.Y.; Chen, P.J.; Wu, Y.L.; Cheng, C.H.; Yu, S.J.; Huang, C.H.; Li, C.M.; Wang, Y.W.; Zhang, K.P.; Liu, I.T.; et al. HOme-based Longitudinal Investigation of the multidiSciplinary Team Integrated Care (HOLISTIC): Protocol of a prospective nationwide cohort study. BMC Geriatr. 2020, 20, 511. [Google Scholar] [CrossRef] [PubMed]
- World Health Organization. Process of Translation and Adaptation of Instruments. 2009. Available online: http://www.whoint/substance_abuse/research_tools/translation/en/ (accessed on 7 September 2024).
- Shrout, P.E.; Fleiss, J.L. Intraclass correlations: Uses in assessing rater reliability. Psychol. Bull. 1979, 86, 420–428. [Google Scholar] [CrossRef] [PubMed]
- Bonsignore, M.; Barkow, K.; Jessen, F.; Heun, R. Validity of the five-item WHO Well-Being Index (WHO-5) in an elderly population. Eur. Arch. Psychiatry Clin. Neurosci. 2001, 251 (Suppl. 2), 27–31. [Google Scholar]
- Rockwood, K.; Song, X.; MacKnight, C.; Bergman, H.; Hogan, D.B.; McDowell, I.; Mitnitski, A. A global clinical measure of fitness and frailty in elderly people. CMAJ 2005, 173, 489–495. [Google Scholar] [CrossRef]
- Fisher, R.A. Statistical Methods for Research Workers. In Breakthroughs in Statistics; Kotz, S., Johnson, N.L., Eds.; Springer Series in Statistics; Springer: New York, NY, USA, 1992. [Google Scholar]
- McHugh, M.L. Interrater reliability: The kappa statistic. Biochem. Med. 2012, 22, 276–282. [Google Scholar] [CrossRef]
- Hosmer, D.W.; Lemeshow, S.; Sturdivant, R.X. Applied Logistic Regression; John Wiley & Sons: Hoboken, NJ, USA, 2013. [Google Scholar]
- Bourmorck, D.; de Saint-Hubert, M.; Desmedt, M.; Piers, R.; Flament, J.; De Brauwer, I. SPICT as a predictive tool for risk of 1-year health degradation and death in older patients admitted to the emergency department: A bicentric cohort study in Belgium. BMC Palliat. Care 2023, 22, 79. [Google Scholar] [CrossRef]

| Total, n = 129 | Types in the Integrated HBMC Program | |||
|---|---|---|---|---|
| HBMC, n = 60 | HBMC-Plus, n = 69 | p-Value | ||
| Age, mean (SD) | 82.4 (12.0) | 81.7 (11.9) | 83.0 (12.2) | 0.516 |
| Sex (female), n (%) | 69 (53.5) | 33 (55.0) | 36 (52.2) | 0.748 |
| Comorbidity, n (%) | 0.259 | |||
| <5 | 43 (33.3) | 22 (36.7) | 21 (30.4) | |
| 5–6 | 49 (38.0) | 25 (41.7) | 24 (34.8) | |
| ≥7 | 37 (28.7) | 13 (21.7) | 24 (34.8) | |
| Hospitalization in past 30 days, n (%) | 13 (10.0) | 3 (5.0) | 10 (14.5) | 0.086 |
| WHO-5, n (%) | <0.001 | |||
| Good | 64 (49.6) | 40 (66.7) | 24 (34.8) | |
| Poor | 65 (50.4) | 20 (33.3) | 45 (65.2) | |
| Clinical Frailty Scale, n (%) | <0.001 | |||
| ≤5 | 22 (17.1) | 17 (28.3) | 5 (7.3) | |
| 6 | 34 (26.4) | 26 (43.3) | 8 (11.6) | |
| 7 | 48 (37.2) | 13 (21.7) | 35 (50.7) | |
| 8–9 | 25 (19.4) | 4 (6.7) | 21 (30.4) | |
| Six-month mortality, n (%) | 15 (12.3) | 5 (8.3) | 10 (14.5) | 0.276 |
| Total (n = 35) | |
|---|---|
| Age, mean (SD) a | 40.6 (10.0) |
| Years of work experience, median (IQR) b | 15 (4.6–24.5) |
| Professional of evaluator, n (%) | |
| Physician | 11 (31.4) |
| Nurse | 19 (54.3) |
| Others | 5 (14.3) |
| Type of affiliation, n (%) | |
| Hospital | 21 (60.0) |
| Clinic | 14 (40.0) |
| SPICT-TW | |||
|---|---|---|---|
| All Indicators | General Health Indicators | Clinical Indicators | |
| KR-20 | |||
| All (n = 129) | 0.84 | 0.67 | 0.80 |
| Physician (n = 53) | 0.83 | 0.61 | 0.77 |
| Nurse (n = 55) | 0.86 | 0.66 | 0.82 |
| Others (n = 21) | 0.77 | 0.71 | 0.80 |
| ICC (95% CI) | 0.92 (0.89–0.95) | 0.91 (0.87–0.93) | 0.87 (0.82–0.91) |
| Number of Indicators | Sensitivity | Specificity | Youden Index | AUC (95% CI) | |
|---|---|---|---|---|---|
| General indicators | 1 | 0.93 | 0.07 | 0.003 | 0.73 (0.58–0.88) |
| 2 | 0.93 | 0.18 | 0.108 | p = 0.002 | |
| 3 | 0.87 | 0.36 | 0.227 | ||
| 4 | 0.80 | 0.56 | 0.361 | ||
| 5 | 0.53 | 0.83 | 0.358 | ||
| 6 | 0.20 | 0.97 | 0.165 | ||
| 7 | 0.07 | 0.99 | 0.058 | ||
| Clinical indicators | 1 | 0.87 | 0.25 | 0.113 | 0.61 (0.46–0.76) |
| 2 | 0.67 | 0.49 | 0.158 | p = 0.154 | |
| 3 | 0.20 | 0.90 | 0.095 | ||
| 4 | 0.13 | 0.98 | 0.115 | ||
| 5 | 0.13 | 0.99 | 0.124 | ||
| 6 | 0.07 | 1.00 | 0.067 |
| Variable | Univariate Model | Full Model I | Full Model II | ||||||
|---|---|---|---|---|---|---|---|---|---|
| OR | 95% CI | p | OR | 95% CI | p | OR | 95% CI | p | |
| SPICT (4 + 1) | |||||||||
| Negative | [Ref] | [Ref] | N/A | ||||||
| Positive | 5.70 | (1.53–21.3) | 0.010 | 8.30 | (1.17–58.82) | 0.034 | |||
| SPICT (2 + 1) | |||||||||
| Negative | [Ref] | N/A | [Ref] | ||||||
| Positive | 3.12 | (0.67–14.55) | 0.147 | 6.24 | (0.57–68.29) | 0.134 | |||
| Age | |||||||||
| <75 | [Ref] | [Ref] | [Ref] | ||||||
| 75–84 | 1.92 | (0.19–19.6) | 0.583 | 1.16 | (0.08–16.01) | 0.914 | 1.34 | (0.11–17.18) | 0.822 |
| ≥85 | 4.60 | (0.56–37.7) | 0.155 | 4.46 | (0.42–47.28) | 0.215 | 5.11 | (0.50–52.31) | 0.169 |
| Sex | |||||||||
| Male | [Ref] | [Ref] | [Ref] | ||||||
| Female | 0.99 | (0.34–2.92) | 0.990 | 0.34 | (0.08–1.54) | 0.162 | 0.31 | (0.07–1.44) | 0.134 |
| Comorbidity | |||||||||
| <5 | [Ref] | [Ref] | [Ref] | ||||||
| 5–6 | 0.55 | (0.14–2.09) | 0.378 | 0.38 | (0.07–2.08) | 0.263 | 0.33 | (0.06–1.70) | 0.184 |
| ≥7 | 0.96 | (0.27–3.46) | 0.955 | 1.19 | (0.21–6.74) | 0.848 | 0.95 | (0.18–5.17) | 0.954 |
| HBMC type | |||||||||
| HBMC | [Ref] | [Ref] | [Ref] | ||||||
| HBMC-Plus | 1.86 | (0.60–5.80) | 0.282 | 0.49 | (0.09–2.57) | 0.395 | 0.56 | (0.11–2.87) | 0.491 |
| Hospitalization in past 30 days | |||||||||
| No | [Ref] | [Ref] | [Ref] | ||||||
| Yes | 2.60 | (0.63–10.78) | 0.188 | 2.14 | (0.31–14.88) | 0.441 | 2.75 | (0.37–20.49) | 0.323 |
| WHO-5 Well-Being Index | |||||||||
| Good | [Ref] | [Ref] | [Ref] | ||||||
| Poor | 4.60 | (1.23–17.2) | 0.023 | 3.09 | (0.50–19.13) | 0.226 | 3.24 | (0.56–18.62) | 0.188 |
| Clinical Frailty Scale | |||||||||
| 1–5 | [Ref] | [Ref] | [Ref] | ||||||
| 6 | 2.03 | (0.20–20.89) | 0.551 | 0.63 | (0.04–11.07) | 0.754 | 0.82 | (0.05–13.44) | 0.888 |
| 7 | 0.91 | (0.08–10.64) | 0.942 | 0.09 | (0.01–2.85) | 0.170 | 0.12 | (0.01–3.74) | 0.229 |
| 8–9 | 11.8 | (1.35–103.04) | 0.026 | 2.14 | (0.09–49.52) | 0.636 | 2.70 | (0.12–60.56) | 0.531 |
Disclaimer/Publisher’s Note: The statements, opinions and data contained in all publications are solely those of the individual author(s) and contributor(s) and not of MDPI and/or the editor(s). MDPI and/or the editor(s) disclaim responsibility for any injury to people or property resulting from any ideas, methods, instructions or products referred to in the content. |
© 2024 by the authors. Licensee MDPI, Basel, Switzerland. This article is an open access article distributed under the terms and conditions of the Creative Commons Attribution (CC BY) license (https://creativecommons.org/licenses/by/4.0/).
Share and Cite
Liao, J.-Y.; Chang, H.-T.; Peng, J.-K.; Murray, S.A.; Wu, C.-Y.; Chang, H.-C.; Li, C.-M.; Cheng, S.-Y.; Tseng, W.-Z.; Hsiung, C.A.; et al. Adaptation of the Taiwan Version of the Supportive and Palliative Care Indicators Tool (SPICT-TW) and Its Association with Six-Month Mortality: A Multi-Center Validation Study in Older People. Healthcare 2024, 12, 2185. https://doi.org/10.3390/healthcare12212185
Liao J-Y, Chang H-T, Peng J-K, Murray SA, Wu C-Y, Chang H-C, Li C-M, Cheng S-Y, Tseng W-Z, Hsiung CA, et al. Adaptation of the Taiwan Version of the Supportive and Palliative Care Indicators Tool (SPICT-TW) and Its Association with Six-Month Mortality: A Multi-Center Validation Study in Older People. Healthcare. 2024; 12(21):2185. https://doi.org/10.3390/healthcare12212185
Chicago/Turabian StyleLiao, Jung-Yu, Hsiao-Ting Chang, Jen-Kuei Peng, Scott A. Murray, Chien-Yi Wu, Hsien-Cheng Chang, Chia-Ming Li, Shao-Yi Cheng, Wei-Zhe Tseng, Chao Agnes Hsiung, and et al. 2024. "Adaptation of the Taiwan Version of the Supportive and Palliative Care Indicators Tool (SPICT-TW) and Its Association with Six-Month Mortality: A Multi-Center Validation Study in Older People" Healthcare 12, no. 21: 2185. https://doi.org/10.3390/healthcare12212185
APA StyleLiao, J.-Y., Chang, H.-T., Peng, J.-K., Murray, S. A., Wu, C.-Y., Chang, H.-C., Li, C.-M., Cheng, S.-Y., Tseng, W.-Z., Hsiung, C. A., Chiou, H.-Y., Yu, S.-J., Boyd, K., & Chen, P.-J. (2024). Adaptation of the Taiwan Version of the Supportive and Palliative Care Indicators Tool (SPICT-TW) and Its Association with Six-Month Mortality: A Multi-Center Validation Study in Older People. Healthcare, 12(21), 2185. https://doi.org/10.3390/healthcare12212185

