Combined Rehabilitation Protocol in the Treatment of Osteoarthritis of the Knee: Comparative Study of Extremely Low-Frequency Magnetic Fields and Soft Elastic Knee Brace Effect
Abstract
1. Introduction
2. Materials and Methods
2.1. Study Design and Population
2.2. Inclusion and Exclusion Criteria
2.3. Outcome Measures
2.4. Magnetic Fields Protocol
2.5. Soft Knee Brace
2.6. Data Collection
2.7. Sample Size
2.8. Statistical Analysis
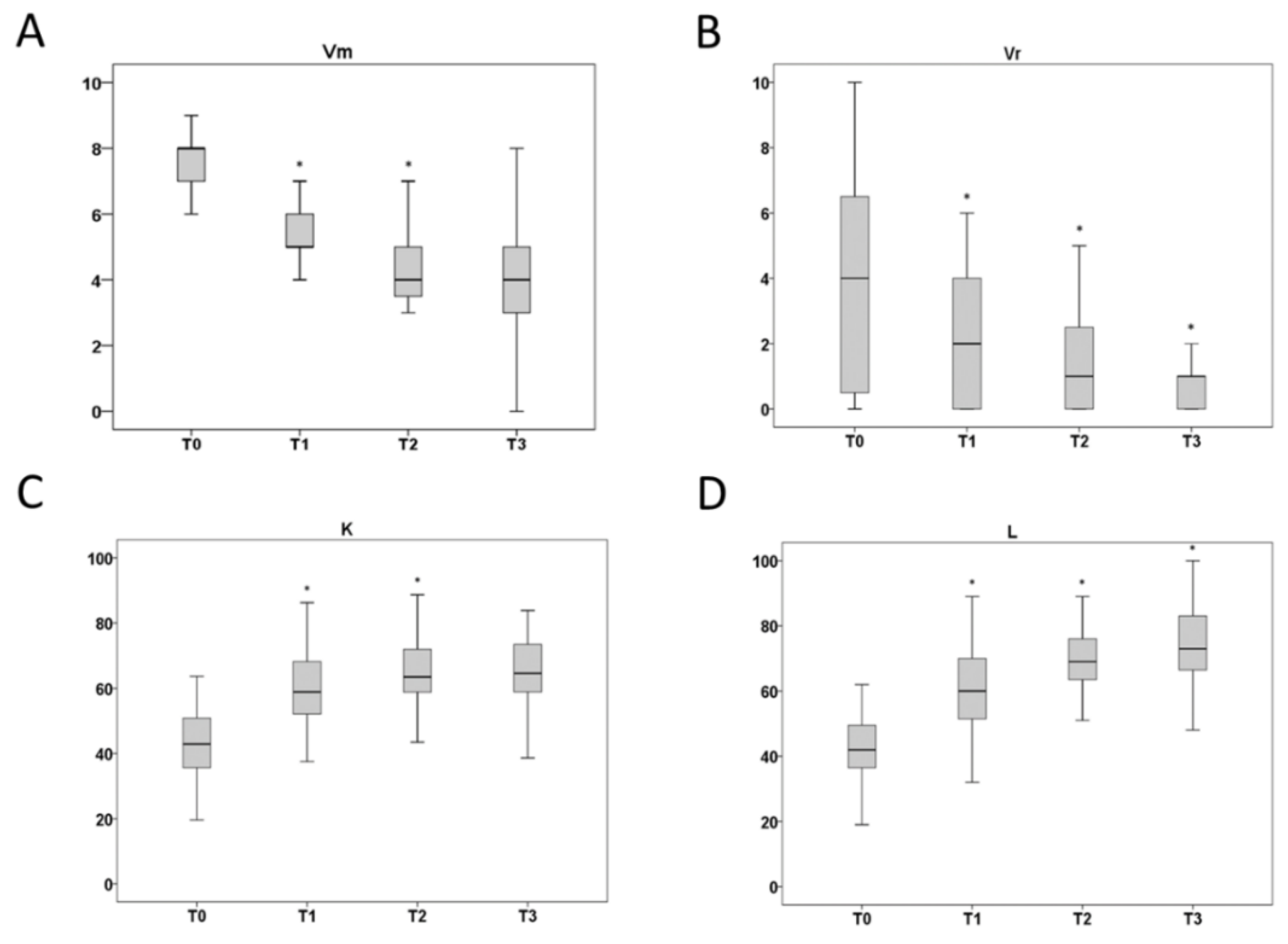
3. Results
4. Discussion
Strengths and Weaknesses of the Study
5. Conclusions
Author Contributions
Funding
Institutional Review Board Statement
Informed Consent Statement
Data Availability Statement
Conflicts of Interest
References
- Yang, X.; He, H.; Ye, W.; Perry, T.; He, C. Effects of Pulsed Electromagnetic Field Therapy on Pain, Stiffness, Physical Function, and Quality of Life in Patients with Osteoarthritis: A Systematic Review and Meta-Analysis of Randomized Placebo-Controlled Trials. Phys. Ther. 2020, 100, 1118–1131. [Google Scholar] [CrossRef]
- Markov, M.S. Magnetic Field Therapy: A Review. Electromagn. Biol. Med. 2007, 26, 1–23. [Google Scholar] [CrossRef]
- Paolucci, T.; Piccinini, G.; Iosa, M.; Piermattei, C.; de Angelis, S.; Grasso, M.R.; Zangrando, F.; Saraceni, V.M. Ft Efficacy of extremely low-frequency magnetic field in fibromyalgia pain: A pilot study. J. Rehabil. Res. Dev. 2016, 53, 1023–1034. [Google Scholar] [CrossRef] [PubMed]
- Paolucci, T.; Pezzi, L.; Centra, A.M.; Giannandrea, N.; Bellomo, R.G.; Saggini, R. Electromagnetic Field Therapy: A Rehabilitative Perspective in the Management of Musculoskeletal Pain—A Systematic Review. J. Pain Res. 2020, 13, 1385–1400. [Google Scholar] [CrossRef]
- Nelson, F.R.; Zvirbulis, R.; Pilla, A.A. Non-invasive electromagnetic field therapy produces rapid and substantial pain reduction in early knee osteoarthritis: A randomized double-blind pilot study. Rheumatol. Int. 2012, 33, 2169–2173. [Google Scholar] [CrossRef] [PubMed]
- Mahmoudian, A.; Lohmander, L.S.; Mobasheri, A.; Englund, M.; Luyten, F.P. Early-stage symptomatic osteoarthritis of the knee —time for action. Nat. Rev. Rheumatol. 2021, 17, 621–632. [Google Scholar] [CrossRef] [PubMed]
- Wallace, I.J.; Worthington, S.; Felson, D.T.; Jurmain, R.D.; Wren, K.T.; Maijanen, H.; Woods, R.J.; Lieberman, D.E. Knee osteoarthritis has doubled in prevalence since the mid-20th century. Proc. Natl. Acad. Sci. USA 2017, 114, 9332–9336. [Google Scholar] [CrossRef] [PubMed]
- Callahan, L.F.; Cleveland, R.J.; Allen, K.D.; Golightly, Y. Racial/Ethnic, Socioeconomic, and Geographic Disparities in the Epidemiology of Knee and Hip Osteoarthritis. Rheum. Dis. Clin. N. Am. 2021, 47, 1–20. [Google Scholar] [CrossRef] [PubMed]
- Bagnato, G.L.; Miceli, G.; Marino, N.; Sciortino, D. Pulsed electromagnetic fields in knee osteoarthritis: A double blind, placebo-controlled, randomized clinical trial. Rheumatology 2016, 55, 755–762. [Google Scholar] [CrossRef]
- Özgüçlü, E.; Çetin, A.; Çetin, M.; Calp, E. Additional effect of pulsed electromagnetic field therapy on knee osteoarthritis treatment: A randomized, placebo-controlled study. Clin. Rheumatol. 2010, 29, 927–931. [Google Scholar] [CrossRef] [PubMed]
- Wuschech, H.; von Hehn, U.; Mikus, E.; Funk, R.H. Effects of PEMF on patients with osteoarthritis: Results of a prospective, placebo-controlled, double-blind study. Bioelectromagnetics 2015, 36, 576–585. [Google Scholar] [CrossRef] [PubMed]
- Goksen, N.; Calis, M.; Dogan, S.; Çalış, H.T.; Ozgocmen, S. Magnetic resonance therapy for knee osteoarthritis: A randomized, double blind placebo controlled trial. Eur. J. Phys. Rehabil. Med. 2016, 52, 431–439. [Google Scholar]
- Dündar, Ü.; Aşık, G.; Ulaşlı, A.M.; Sınıcı, Ş.; Yaman, F.; Solak, Ö.; Toktaş, H.; Eroğlu, S. Assessment of pulsed electromagnetic field therapy with Serum YKL-40 and ultrasonography in patients with knee osteoarthritis. Int. J. Rheum. Dis. 2016, 19, 287–293. [Google Scholar] [CrossRef]
- Ledingham, A.; Cohn, E.S.; Baker, K.R.; Keysor, J.J. Exercise adherence: Beliefs of adults with knee osteoarthritis over 2 years. Physiother. Theory Pract. 2020, 36, 1363–1378. [Google Scholar] [CrossRef]
- Dantas, L.O.; Salvini, T.D.F.; McAlindon, T.E. Knee osteoarthritis: Key treatments and implications for physical therapy. Braz. J. Phys. Ther. 2021, 25, 135–146. [Google Scholar] [CrossRef] [PubMed]
- Moller, F.; Ortíz-Muñoz, L.; Irarrázaval, S. Offloader knee braces for knee osteoarthritis. Medwave 2021, 21, e8114. [Google Scholar] [CrossRef] [PubMed]
- Duivenvoorden, T.; Brouwer, R.W.; van Raaij, T.M.; Verhagen, A.P.; Verhaar, J.A.; Bierma-Zeinstra, S.M. Braces and orthoses for treating osteoarthritis of the knee. Cochrane Database Syst. Rev. 2015, 3, CD004020. [Google Scholar] [CrossRef]
- Mine, K.; Nakayama, T.; Milanese, S.; Grimmer, K. The effectiveness of braces and orthoses for patients with knee osteoarthritis: A systematic review of Japanese-language randomised controlled trials. Prosthet. Orthot. Int. 2017, 41, 115–126. [Google Scholar] [CrossRef] [PubMed]
- Cudejko, T.; van der Esch, M.; van der Leeden, M.; Roorda, L.D.; Pallari, J.; Bennell, K.L.; Lund, H.; Dekker, J. Effect of Soft Braces on Pain and Physical Function in Patients with Knee Osteoarthritis: Systematic Review with Meta-Analyses. Arch. Phys. Med. Rehabil. 2018, 99, 153–163. [Google Scholar] [CrossRef] [PubMed]
- Beaudreuil, J.; Bendaya, S.; Faucher, M.; Coudeyre, E.; Ribinik, P.; Revel, M.; Rannou, F. Clinical practice guidelines for rest orthosis, knee sleeves, and unloading knee braces in knee osteoarthritis. Jt. Bone Spine 2009, 76, 629–636. [Google Scholar] [CrossRef]
- Phillips, S.; Li, C.S.; Phillips, M.; Bischoff, M.; Ali, P.; Chahal, J.; Snider, M.; Bhandari, M. Treatment of osteoarthritis of the knee with bracing: A scoping review. Orthop. Rev. 2016, 8, 6256. [Google Scholar] [CrossRef]
- Von Elm, E.; Altman, D.G.; Egger, M.; Pocock, S.J.; Gøtzsche, P.C.; Vandenbroucke, J.P.; STROBE Initiative. The strengthening the reporting of observational studies in epidemiology (STROBE) statement: Guidelines for reporting observational studies. Int. J. Surg. 2007, 147, 573–577. [Google Scholar] [CrossRef]
- Chapman, C.R.; Casey, K.L.; Dubner, R.; Foley, K.M.; Gracely, R.H.; Reading, A.E. Pain measurement: An overview. Pain 1985, 22, 1–31. [Google Scholar] [CrossRef]
- Kohn, M.D.; Sassoon, A.A.; Fernando, N.D. Classifications in Brief: Kellgren-Lawrence Classification of Osteoarthritis. Clin. Orthop. Relat. Res. 2016, 474, 1886–1893. [Google Scholar] [CrossRef]
- Ramanayake, R.P.J.C.; Basnayake, B.T.K. Evaluation of red flags minimizes missing serious diseases in primary care. J. Fam. Med. Prim. Care 2018, 7, 315–318. [Google Scholar] [CrossRef] [PubMed]
- Roos, E.M.; Roos, H.P.; Lohmander, S.; Ekdahl, C.; Beynnon, B.D. Knee Injury and Osteoarthritis Outcome Score (KOOS)—Development of a Self-Administered Outcome Measure. J. Orthop. Sports Phys. Ther. 1998, 28, 88–96. [Google Scholar] [CrossRef] [PubMed]
- Monticone, M.; Ferrante, S.; Salvaderi, S.; Rocca, B.; Totti, V.; Foti, C.; Roi, G. Development of the Italian version of the knee injury and osteoarthritis outcome score for patients with knee injuries: Cross-cultural adaptation, dimensionality, reliability, and validity. Osteoarthr. Cartil. 2012, 20, 330–335. [Google Scholar] [CrossRef] [PubMed]
- Kocher, M.S.; Steadman, R.J.; Briggs, K.K.; Sterett, W.I.; Hawkins, R.J. Reliability, Validity, and Responsiveness of the Lysholm Knee Scale for Various Chondral Disorders of the Knee. J. Bone Jt. Surg. 2004, 86, 1139–1145. [Google Scholar] [CrossRef]
- Cerciello, S.; Corona, K.; Morris, B.J.; Visonà, E.; Maccauro, G.; Maffulli, N.; Ronga, M. Cross-cultural adaptation and validation of the Italian versions of the Kujala, Larsen, Lysholm and Fulkerson scores in patients with patellofemoral disorders. J. Orthop. Traumatol. 2018, 19, 18. [Google Scholar] [CrossRef]
- Marino, K.; Lee, R.; Lee, P. Effect of Germanium-Embedded Knee Sleeve on Osteoarthritis of the Knee. Orthop. J. Sports Med. 2019, 7, 2325967119879124. [Google Scholar] [CrossRef]
- Yamamoto, L.G.; Nomura, J.T.; Sato, R.L.; Ahern, R.M.; Snow, J.L.; Kuwaye, T.T. Minimum clinically significant VAS differences for simultaneous (paired) interval serial pain assessments. Am. J. Emerg. Med. 2003, 21, 176–179. [Google Scholar] [CrossRef] [PubMed]
- Newberry, S.J.; FitzGerald, J.; SooHoo, N.F.; Booth, M.; Marks, J.; Motala, A.; Apaydin, E.; Chen, C.; Raaen, L.; Shanman, R.; et al. Treatment of Osteoarthritis of the Knee: An Update Review [Internet]; Agency for Healthcare Research and Quality (US): Rockville, MD, USA, 2017; Report No.: 17-EHC011-EF. [Google Scholar]
- Paolucci, T.; Agostini, F.; Bernetti, A.; Paoloni, M.; Mangone, M.; Santilli, V.; Pezzi, L.; Bellomo, R.G.; Saggini, R. Integration of focal vibration and intra-articular oxygen–ozone therapy in rehabilitation of painful knee osteoarthritis. J. Int. Med. Res. 2021, 49, 300060520986705. [Google Scholar] [CrossRef]
- Ongaro, A.; Pellati, A.; Masieri, F.F.; Caruso, A.; Setti, S.; Cadossi, R.; Biscione, R.; Massari, L.; Fini, M.; De Mattei, M. Chondroprotective effects of pulsed electromagnetic fields on human cartilage explants. Bioelectromagnetics 2011, 32, 543–551. [Google Scholar] [CrossRef]
- Veronesi, F.; Fini, M.; Giavaresi, G.; Ongaro, A.; De Mattei, M.; Pellati, A.; Setti, S.; Tschon, M. Experimentally induced cartilage degeneration treated by pulsed electromagnetic field stimulation; an in vitro study on bovine cartilage. BMC Musculoskelet. Disord. 2015, 16, 308. [Google Scholar] [CrossRef] [PubMed]
- De Mattei, M.; Caruso, A.; Pezzetti, F.; Pellati, A.; Stabellini, G.; Sollazzo, V.; Traina, G.C. Effects of Pulsed Electromagnetic Fields on Human Articular Chondrocyte Proliferation. Connect. Tissue Res. 2001, 42, 269–279. [Google Scholar] [CrossRef]
- Viganò, M.; Orfei, C.P.; Ragni, E.; Colombini, A.; de Girolamo, L. Pain and Functional Scores in Patients Affected by Knee OA after Treatment with Pulsed Electromagnetic and Magnetic Fields: A Meta-Analysis. Cartilage 2020, 13, 1749S–1760S. [Google Scholar] [CrossRef] [PubMed]
- Negm, A.; Lorbergs, A.; MacIntyre, N. Efficacy of low frequency pulsed subsensory threshold electrical stimulation vs placebo on pain and physical function in people with knee osteoarthritis: Systematic review with meta-analysis. Osteoarthr. Cartil. 2013, 21, 1281–1289. [Google Scholar] [CrossRef]
- Wu, Z.; Ding, X.; Lei, G.; Zeng, C.; Wei, J.; Li, J.; Li, H.; Yang, T.; Cui, Y.; Xiong, Y.; et al. Efficacy and safety of the pulsed electromagnetic field in osteoarthritis: A meta-analysis. BMJ Open 2018, 8, e022879. [Google Scholar] [CrossRef] [PubMed]
- Jacobson, J.I.; Gorman, R.; Yamanashi, W.S.; Saxena, B.B.; Clayton, L. Low-amplitude, extremely low frequency magnetic fields for the treatment of osteoarthritic knees: A double-blind clinical study. Altern. Ther. Heal. Med. 2001, 7, 54–64, 66–69. [Google Scholar]
- Battisti, E.; Piazza, E.; Rigato, M.; Nuti, R.; Bianciardi, L.; Scribano, A.; Giordano, N. Efficacy and safety of a musically modulated electromagnetic field (TAMMEF) in patients affected by knee osteoarthritis. Ann. Rheum. Dis. 2004, 22, 568–572. [Google Scholar]
- Thamsborg, G.; Florescu, A.; Oturai, P.; Fallentin, E.; Tritsaris, K.; Dissing, S. Treatment of knee osteoarthritis with pulsed electromagnetic fields: A randomized, double-blind, placebo-controlled study. Osteoarthr. Cartil. 2005, 13, 575–581. [Google Scholar] [CrossRef] [PubMed]
- Iannitti, T.; Palmieri, B.; Fistetto, G.; Esposito, A.; Rottigni, V. Pulsed electromagnetic field therapy for management of osteoarthritis-related pain, stiffness and physical function: Clinical experience in the elderly. Clin. Interv. Aging 2013, 8, 1289–1293. [Google Scholar] [CrossRef]
- Lee, P.Y.; Winfield, T.G.; Harris, S.R.; Storey, E.; Chandratreya, A. Unloading knee brace is a cost-effective method to bridge and delay surgery in unicompartmental knee arthritis. BMJ Open Sport Exerc. Med. 2017, 2, e000195. [Google Scholar] [CrossRef]
- National Clinical Guideline Centre (UK). Osteoarthritis: Care and Management in Adults. London: National Institute for Health and Care Excellence (UK). 2014. Available online: https://pubmed.ncbi.nlm.nih.gov/25340227/ (accessed on 20 January 2023).
- Lee, P.Y.F.; Brock, J.; Mansoor, S.; Whiting, B. Knee Braces and Anti-Inflammatory Sleeves in Osteoarthritis, Innovation for the 21st Century? J. Arthritis 2018, 7, e117. [Google Scholar] [CrossRef]
- Moayedi, M.; Davis, K.D. Theories of pain: From specificity to gate control. J. Neurophysiol. 2013, 109, 5–12. [Google Scholar] [CrossRef]
- Mendell, L.M. Constructing and deconstructing the gate theory of pain. Pain 2014, 155, 210–216. [Google Scholar] [CrossRef]
- Yokoyama, M.; Iijima, H.; Kubota, K.; Kanemura, N. Exploring the modification factors of exercise therapy on biomechanical load in patients with knee osteoarthritis: A systematic review and meta-analysis. Clin. Rheumatol. 2023, 1–16. [Google Scholar] [CrossRef] [PubMed]
- Moyer, R.; Birmingham, T.; Bryant, D.; Giffin, J.; Marriott, K.; Leitch, K. Biomechanical effects of valgus knee bracing: A systematic review and meta-analysis. Osteoarthr. Cartil. 2015, 23, 178–188. [Google Scholar] [CrossRef] [PubMed]
- Thoumie, P.; Marty, M.; Avouac, B.; Pallez, A.; Vaumousse, A.; Pipet, L.P.T.; Monroche, A.; Graveleau, N.; Bonnin, A.; Ben Amor, C.; et al. Effect of unloading brace treatment on pain and function in patients with symptomatic knee osteoarthritis: The ROTOR randomized clinical trial. Sci. Rep. 2018, 8, 10519. [Google Scholar] [CrossRef]
- Lehnertová, M.; Siudová, L.; Janura, M.; Svoboda, Z.; Gallo, J.; Kamínek, P. Vliv odlehčující ortézy na dynamické parametry stojné fáze chůze u pacientů s gonartrózou [Effect of Unloading Knee Brace on Dynamic Parameters of the Stance Phase of Gait in Patients with Knee Osteoarthritis]. Acta. Chir. Orthop. Traumatol. Cech. 2018, 85, 204–208. Available online: https://pubmed.ncbi.nlm.nih.gov/30257780 (accessed on 20 April 2023).
- Pellegrino, R.; Paolucci, T.; Brindisino, F.; Mondardini, P.; Di Iorio, A.; Moretti, A.; Iolascon, G. Effectiveness of High-Intensity Laser Therapy Plus Ultrasound-Guided Peritendinous Hyaluronic Acid Compared to Therapeutic Exercise for Patients with Lateral Elbow Tendinopathy. J. Clin. Med. 2022, 11, 5492. [Google Scholar] [CrossRef] [PubMed]




| Variable | Group 1 (n = 18) | Group 2 (n = 17) | p-Value |
|---|---|---|---|
| Gender M/F | 5/13 | 3/14 | 0.249 a |
| Age (years) | 61.28 ± 7.89 | 63.76 ± 9.23 | 0.397 b |
| BMI | 29.16 ± 4.00 | 26.45 ± 4.22 | 0.060 b |
| Time of diagnosis (years) | 2.86 ± 2.45 | 3.65 ± 4.02 | 0.482 b |
| KLc | 2.83 ± 0.71 | 2.47 ± 0.62 | 0.118 b |
| T0 | T1 | T2 | T3 | |||||||
|---|---|---|---|---|---|---|---|---|---|---|
| Group 1 | Group 2 | Group 1 | Group 2 | Group 1 | Group 2 | Group 1 | Group 2 | P-Tot | ||
| Vm | Mean SD | 7.71 1.21 | 7.78 1.21 | 5.12 1.27 | 5.72 1.32 | 3.65 1.83 | 4.89 1.71 | 3.59 1.91 | 4.44 1.34 | 0.208 |
| Vr | Mean SD | 4.15 2.96 | 3.63 3.01 | 1.65 2.06 | 1.67 2.14 | 1.41 1.58 | 1.17 1.58 | 1.71 0.69 | 1.39 # 1.61 | 0.011 * |
| K | Mean SD | 44.82 10.17 | 42.19 11.37 | 63.45 11.68 | 55.89 10.01 | 69.02 12.63 | 58.33 # 11.73 | 70.12 12.15 | 59.42 12.12 | 0.076 |
| L | Mean SD | 43.76 13.92 | 40.72 11.17 | 65.47 13.29 | 56.72 14.64 | 73.00 12.65 | 65.89 14.50 | 77.88 11.69 | 68.28 15.29 | 0.492 |
Disclaimer/Publisher’s Note: The statements, opinions and data contained in all publications are solely those of the individual author(s) and contributor(s) and not of MDPI and/or the editor(s). MDPI and/or the editor(s) disclaim responsibility for any injury to people or property resulting from any ideas, methods, instructions or products referred to in the content. |
© 2023 by the authors. Licensee MDPI, Basel, Switzerland. This article is an open access article distributed under the terms and conditions of the Creative Commons Attribution (CC BY) license (https://creativecommons.org/licenses/by/4.0/).
Share and Cite
Paolucci, T.; Porto, D.; Pellegrino, R.; Sina, O.; Fero, A.; D’Astolfo, S.; Franceschelli, S.; Patruno, A.; Fusco, A.; Pesce, M. Combined Rehabilitation Protocol in the Treatment of Osteoarthritis of the Knee: Comparative Study of Extremely Low-Frequency Magnetic Fields and Soft Elastic Knee Brace Effect. Healthcare 2023, 11, 1221. https://doi.org/10.3390/healthcare11091221
Paolucci T, Porto D, Pellegrino R, Sina O, Fero A, D’Astolfo S, Franceschelli S, Patruno A, Fusco A, Pesce M. Combined Rehabilitation Protocol in the Treatment of Osteoarthritis of the Knee: Comparative Study of Extremely Low-Frequency Magnetic Fields and Soft Elastic Knee Brace Effect. Healthcare. 2023; 11(9):1221. https://doi.org/10.3390/healthcare11091221
Chicago/Turabian StylePaolucci, Teresa, Daniele Porto, Raffaello Pellegrino, Ornela Sina, Andi Fero, Sara D’Astolfo, Sara Franceschelli, Antonia Patruno, Augusto Fusco, and Mirko Pesce. 2023. "Combined Rehabilitation Protocol in the Treatment of Osteoarthritis of the Knee: Comparative Study of Extremely Low-Frequency Magnetic Fields and Soft Elastic Knee Brace Effect" Healthcare 11, no. 9: 1221. https://doi.org/10.3390/healthcare11091221
APA StylePaolucci, T., Porto, D., Pellegrino, R., Sina, O., Fero, A., D’Astolfo, S., Franceschelli, S., Patruno, A., Fusco, A., & Pesce, M. (2023). Combined Rehabilitation Protocol in the Treatment of Osteoarthritis of the Knee: Comparative Study of Extremely Low-Frequency Magnetic Fields and Soft Elastic Knee Brace Effect. Healthcare, 11(9), 1221. https://doi.org/10.3390/healthcare11091221

