Association between Diet and Adiposity in Adults: Influence of Sedentary Behavior Patterns
Abstract
1. Introduction
2. Materials and Methods
2.1. Study Design and Participants
2.2. Sample Size Calculation
2.3. Data Collection
2.4. Global and Central Adiposity
2.5. Dietary Habits
2.6. Sedentary Behavior
2.7. Covariates
2.8. Statistical Analysis
3. Results
3.1. Descriptive Characteristics
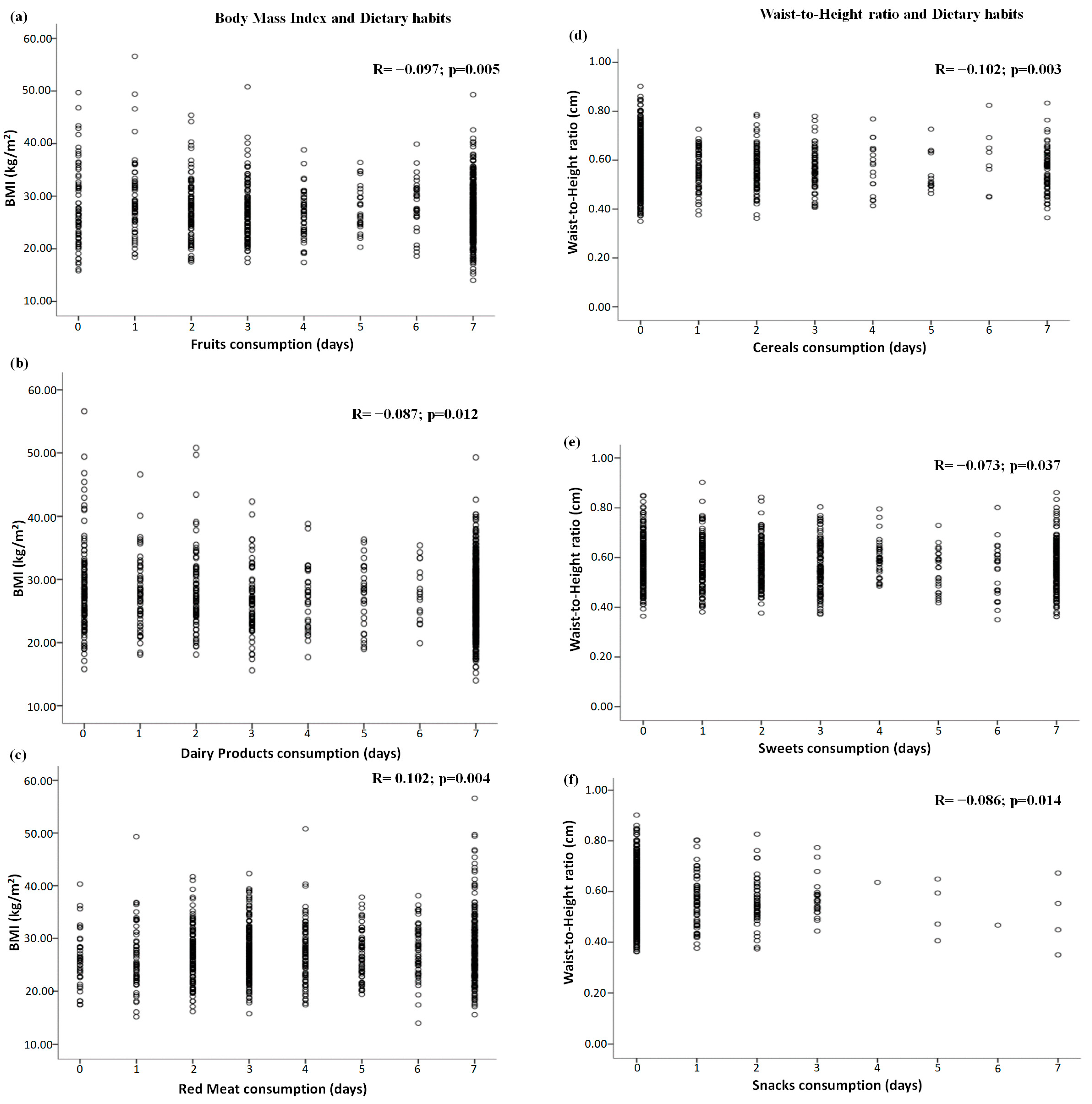
3.2. Correlations between Dietary Habits and Global and Central Adiposity
3.3. Correlations between Dietary Habits and Sedentary Behavior Domains
3.4. Associations between Dietary Habits and Global Adiposity
3.5. Associations between Dietary Habits and Central Adiposity
4. Discussion
5. Conclusions
Author Contributions
Funding
Institutional Review Board Statement
Informed Consent Statement
Data Availability Statement
Acknowledgments
Conflicts of Interest
References
- Blüher, M. Obesity: Global Epidemiology and Pathogenesis. Nat. Rev. Endocrinol. 2019, 15, 288–298. [Google Scholar] [CrossRef]
- Swinburn, B.A.; Sacks, G.; Hall, K.D.; McPherson, K.; Finegood, D.T.; Moodie, M.L.; Gortmaker, S.L. The Global Obesity Pandemic: Shaped by Global Drivers and Local Environments. Lancet 2011, 378, 804–814. [Google Scholar] [CrossRef] [PubMed]
- Ramón-Arbués, E.; Martínez-Abadía, B.; Gracia-Tabuenca, T.; Yuste-Gran, C.; Pellicer-García, B.; Juárez-Vela, R.; Guerrero-Portillo, S.; Sáez-Guinoa, M. Prevalence of overweight/obesity and its association with diabetes, hypertension, dyslipidemia and metabolic syndrome: A cross-sectional study of a sample of workers in Aragón, Spain. Nutr. Hosp. 2019, 36, 51–59. [Google Scholar] [CrossRef]
- Prospective Studies Collaboration Body-Mass Index and Cause-Specific Mortality in 900 000 Adults: Collaborative Analyses of 57 Prospective Studies. Lancet 2009, 373, 1083–1096. [CrossRef]
- Cornier, M.-A.; Després, J.-P.; Davis, N.; Grossniklaus, D.A.; Klein, S.; Lamarche, B.; Lopez-Jimenez, F.; Rao, G.; St-Onge, M.-P.; Towfighi, A.; et al. Assessing Adiposity. Circulation 2011, 124, 1996–2019. [Google Scholar] [CrossRef]
- Hill, J.O.; Wyatt, H.R.; Peters, J.C. Energy Balance and Obesity. Circulation 2012, 126, 126–132. [Google Scholar] [CrossRef]
- Ahmad, S.; Hammar, U.; Kennedy, B.; Salihovic, S.; Ganna, A.; Lind, L.; Sundström, J.; Ärnlöv, J.; Berne, C.; Risérus, U.; et al. Effect of General Adiposity and Central Body Fat Distribution on the Circulating Metabolome: A Multicohort Nontargeted Metabolomics Observational and Mendelian Randomization Study. Diabetes 2022, 71, 329–339. [Google Scholar] [CrossRef] [PubMed]
- Yoo, E.G. Waist-to-Height Ratio as a Screening Tool for Obesity and Cardiometabolic Risk. Korean J. Pediatr. 2016, 59, 425. [Google Scholar] [CrossRef]
- Tebar, W.R.; Gil, F.C.S.; Delfino, L.D.; Souza, J.M.; Mota, J.; Christofaro, D.G.D. Relationship of Obesity with Lifestyle and Comorbidities in Public School Teachers—A Cross-Sectional Study. Obesities 2022, 2, 52–63. [Google Scholar] [CrossRef]
- Brown, A.; Siahpush, M. Risk Factors for Overweight and Obesity: Results from the 2001 National Health Survey. Public Health 2007, 121, 603–613. [Google Scholar] [CrossRef] [PubMed]
- Herrera-Espiñeira, C.; de Pascual y Medina, A.M.; López-Morales, M.; Díaz Jiménez, P.; Rodríguez Ruiz, A.; Expósito-Ruiz, M. Differences in Dietary Habits, Physical Exercise, and Quality of Life between Patients with Obesity and Overweight. Healthcare 2021, 9, 916. [Google Scholar] [CrossRef] [PubMed]
- Mistry, S.K.; Puthussery, S. Risk Factors of Overweight and Obesity in Childhood and Adolescence in South Asian Countries: A Systematic Review of the Evidence. Public Health 2015, 129, 200–209. [Google Scholar] [CrossRef] [PubMed]
- Moreira, P.L.; Corrente, J.E.; Villas Boas, P.J.F.; Ferreira, A.L.A. Dietary Patterns Are Associated with General and Central Obesity in Elderly Living in a Brazilian City. Rev. Assoc. Med. Bras. 2014, 60, 457–464. [Google Scholar] [CrossRef]
- Bhagavathula, A.S.; Vidyasagar, K.; Khubchandani, J. Organic Food Consumption and Risk of Obesity: A Systematic Review and Meta-Analysis. Healthcare 2022, 10, 231. [Google Scholar] [CrossRef]
- Paradis, A.-M.; Godin, G.; Pérusse, L.; Vohl, M.-C. Associations between Dietary Patterns and Obesity Phenotypes. Int. J. Obes. 2009, 33, 1419–1426. [Google Scholar] [CrossRef] [PubMed]
- Pou, S.A.; del Pilar Díaz, M.; De La Quintana, A.G.; Forte, C.A.; Aballay, L.R. Identification of Dietary Patterns in Urban Population of Argentina: Study on Diet-Obesity Relation in Population-Based Prevalence Study. Nutr. Res. Pract. 2016, 10, 616. [Google Scholar] [CrossRef]
- Newby, P.; Muller, D.; Hallfrisch, J.; Qiao, N.; Andres, R.; Tucker, K.L. Dietary Patterns and Changes in Body Mass Index and Waist Circumference in Adults. Am. J. Clin. Nutr. 2003, 77, 1417–1425. [Google Scholar] [CrossRef]
- Limon-Miro, A.T.; Valencia, M.E.; Lopez-Teros, V.; Alemán-Mateo, H.; Méndez-Estrada, R.O.; Pacheco-Moreno, B.I.; Astiazaran-Garcia, H. An Individualized Food-Based Nutrition Intervention Reduces Visceral and Total Body Fat While Preserving Skeletal Muscle Mass in Breast Cancer Patients under Antineoplastic Treatment. Clin. Nutr. 2021, 40, 4394–4403. [Google Scholar] [CrossRef]
- Burgoine, T.; Monsivais, P.; Sharp, S.J.; Forouhi, N.G.; Wareham, N.J. Independent and Combined Associations between Fast-Food Outlet Exposure and Genetic Risk for Obesity: A Population-Based, Cross-Sectional Study in the UK. BMC Med. 2021, 19, 49. [Google Scholar] [CrossRef]
- Anderson, B.; Rafferty, A.P.; Lyon-Callo, S.; Fussman, C.; Imes, G. Fast-Food Consumption and Obesity among Michigan Adults. Prev. Chronic Dis. 2011, 8, A71. [Google Scholar]
- Mohammadbeigi, A.; Asgarian, A.; Moshir, E.; Heidari, H.; Afrashteh, S.; Khazaei, S.; Ansari, H. Fast Food Consumption and Overweight/Obesity Prevalence in Students and Its Association with General and Abdominal Obesity. J. Prev. Med. Hyg. 2018, 59, E236–E240. [Google Scholar] [CrossRef] [PubMed]
- Qin, P.; Liu, D.; Wu, X.; Zeng, Y.; Sun, X.; Zhang, Y.; Li, Y.; Wu, Y.; Han, M.; Qie, R.; et al. Fried-Food Consumption and Risk of Overweight/Obesity, Type 2 Diabetes Mellitus, and Hypertension in Adults: A Meta-Analysis of Observational Studies. Crit. Rev. Food Sci. Nutr. 2022, 62, 6809–6820. [Google Scholar] [CrossRef] [PubMed]
- Jezewska-Zychowicz, M.; Gębski, J.; Guzek, D.; Świątkowska, M.; Stangierska, D.; Plichta, M.; Wasilewska, M. The Associations between Dietary Patterns and Sedentary Behaviors in Polish Adults (LifeStyle Study). Nutrients 2018, 10, 1004. [Google Scholar] [CrossRef] [PubMed]
- Tariq, M.N.M.; Stojanovska, L.; Al Dhaheri, A.S.; Cheikh Ismail, L.; Apostolopoulos, V.; Ali, H.I. Lifestyle Interventions for Prevention and Management of Diet-Linked Non-Communicable Diseases among Adults in Arab Countries. Healthcare 2022, 11, 45. [Google Scholar] [CrossRef] [PubMed]
- Tremblay, M.S.; Aubert, S.; Barnes, J.D.; Saunders, T.J.; Carson, V.; Latimer-Cheung, A.E.; Chastin, S.F.M.; Altenburg, T.M.; Chinapaw, M.J.M. Sedentary Behavior Research Network (SBRN)—Terminology Consensus Project Process and Outcome. Int. J. Behav. Nutr. Phys. Act. 2017, 14, 75. [Google Scholar] [CrossRef]
- Ricci, C.; Freisling, H.; Leitzmann, M.F.; Taljaard-Krugell, C.; Jacobs, I.; Kruger, H.S.; Smuts, C.M.; Pieters, M. Diet and Sedentary Behaviour in Relation to Cancer Survival. A Report from the National Health and Nutrition Examination Survey Linked to the U.S. Mortality Registry. Clin. Nutr. 2020, 39, 3489–3496. [Google Scholar] [CrossRef]
- Lee, I.-M.; Shiroma, E.J.; Lobelo, F.; Puska, P.; Blair, S.N.; Katzmarzyk, P.T. Effect of Physical Inactivity on Major Non-Communicable Diseases Worldwide: An Analysis of Burden of Disease and Life Expectancy. Lancet 2012, 380, 219–229. [Google Scholar] [CrossRef]
- Chau, J.Y.; Grunseit, A.C.; Chey, T.; Stamatakis, E.; Brown, W.J.; Matthews, C.E.; Bauman, A.E.; van der Ploeg, H.P. Daily Sitting Time and All-Cause Mortality: A Meta-Analysis. PLoS ONE 2013, 8, e80000. [Google Scholar] [CrossRef]
- Delfino, L.D.; Tebar, W.R.; Gil, F.C.; De Souza, J.M.; Romanzini, M.; Fernandes, R.A.; Christofaro, D.G.D. Association of Sedentary Behaviour Patterns with Dietary and Lifestyle Habits among Public School Teachers: A Cross-Sectional Study. BMJ Open 2020, 10, e034322. [Google Scholar] [CrossRef]
- Fletcher, E.; Leech, R.; McNaughton, S.A.; Dunstan, D.W.; Lacy, K.E.; Salmon, J. Is the Relationship between Sedentary Behaviour and Cardiometabolic Health in Adolescents Independent of Dietary Intake? A Systematic Review. Obes. Rev. Off. J. Int. Assoc. Study Obes. 2015, 16, 795–805. [Google Scholar] [CrossRef]
- Scarabottolo, C.C.; Tebar, W.R.; Gobbo, L.A.; Ohara, D.; Ferreira, A.D.; da Silva Canhin, D.; Christofaro, D.G.D. Analysis of Different Domains of Physical Activity with Health-Related Quality of Life in Adults: 2-Year Cohort. Health Qual. Life Outcomes 2022, 20, 71. [Google Scholar] [CrossRef] [PubMed]
- ABEP—Brazilian Market Research Association. Brazilian Economic Classification Criteria. 2014. Available online: https://www.abep.org/criterio-brasil (accessed on 1 August 2019).
- Baecke, J.A.; Burema, J.; Frijters, J.E. A Short Questionnaire for the Measurement of Habitual Physical Activity in Epidemiological Studies. Am. J. Clin. Nutr. 1982, 36, 936–942. [Google Scholar] [CrossRef] [PubMed]
- Tebar, W.R.; Ritti-Dias, R.M.; Fernandes, R.A.; Damato, T.M.M.; de Barros, M.V.G.; Mota, J.; Andersen, L.B.; Christofaro, D.G.D. Validity and Reliability of the Baecke Questionnaire against Accelerometer-Measured Physical Activity in Community Dwelling Adults According to Educational Level. PLoS ONE 2022, 17, e0270265. [Google Scholar] [CrossRef]
- Barba, G.; Russo, P. Dairy Foods, Dietary Calcium and Obesity: A Short Review of the Evidence. Nutr. Metab. Cardiovasc. Dis. 2006, 16, 445–451. [Google Scholar] [CrossRef] [PubMed]
- Marques-Vidal, P.; Gonçalves, A.; Dias, C.M. Milk Intake Is Inversely Related to Obesity in Men and in Young Women: Data from the Portuguese Health Interview Survey 1998–1999. Int. J. Obes. 2006, 30, 88–93. [Google Scholar] [CrossRef] [PubMed]
- Jacobsen, R.; Lorenzen, J.K.; Toubro, S.; Krog-Mikkelsen, I.; Astrup, A. Effect of Short-Term High Dietary Calcium Intake on 24-h Energy Expenditure, Fat Oxidation, and Fecal Fat Excretion. Int. J. Obes. 2005, 29, 292–301. [Google Scholar] [CrossRef]
- Pereira, M.A.; Jacobs, D.R., Jr.; Van Horn, L.; Slattery, M.L.; Kartashov, A.I.; Ludwig, D.S. Dairy Consumption, Obesity, and the Insulin Resistance Syndrome in Young Adults. JAMA 2002, 287, 2081. [Google Scholar] [CrossRef]
- Ledoux, T.A.; Hingle, M.D.; Baranowski, T. Relationship of Fruit and Vegetable Intake with Adiposity: A Systematic Review. Obes. Rev. 2011, 12, e143–e150. [Google Scholar] [CrossRef]
- Drapeau, V.; Després, J.-P.; Bouchard, C.; Allard, L.; Fournier, G.; Leblanc, C.; Tremblay, A. Modifications in Food-Group Consumption Are Related to Long-Term Body-Weight Changes. Am. J. Clin. Nutr. 2004, 80, 29–37. [Google Scholar] [CrossRef]
- Shay, C.M.; Van Horn, L.; Stamler, J.; Dyer, A.R.; Brown, I.J.; Chan, Q.; Miura, K.; Zhao, L.; Okuda, N.; Daviglus, M.L.; et al. Food and Nutrient Intakes and Their Associations with Lower BMI in Middle-Aged US Adults: The International Study of Macro-/Micronutrients and Blood Pressure (INTERMAP). Am. J. Clin. Nutr. 2012, 96, 483–491. [Google Scholar] [CrossRef]
- Wang, T.; Heianza, Y.; Sun, D.; Zheng, Y.; Huang, T.; Ma, W.; Rimm, E.B.; Manson, J.E.; Hu, F.B.; Willett, W.C.; et al. Improving Fruit and Vegetable Intake Attenuates the Genetic Association with Long-Term Weight Gain. Am. J. Clin. Nutr. 2019, 110, 759–768. [Google Scholar] [CrossRef] [PubMed]
- Kaiser, K.A.; Brown, A.W.; Bohan Brown, M.M.; Shikany, J.M.; Mattes, R.D.; Allison, D.B. Increased Fruit and Vegetable Intake Has No Discernible Effect on Weight Loss: A Systematic Review and Meta-Analysis. Am. J. Clin. Nutr. 2014, 100, 567–576. [Google Scholar] [CrossRef]
- Mytton, O.T.; Nnoaham, K.; Eyles, H.; Scarborough, P.; Ni Mhurchu, C. Systematic Review and Meta-Analysis of the Effect of Increased Vegetable and Fruit Consumption on Body Weight and Energy Intake. BMC Public Health 2014, 14, 886. [Google Scholar] [CrossRef] [PubMed]
- Rouhani, M.H.; Salehi-Abargouei, A.; Surkan, P.J.; Azadbakht, L. Is There a Relationship between Red or Processed Meat Intake and Obesity? A Systematic Review and Meta-Analysis of Observational Studies. Obes. Rev. 2014, 15, 740–748. [Google Scholar] [CrossRef]
- Wang, Y.; Beydoun, M.A. Meat Consumption Is Associated with Obesity and Central Obesity among US Adults. Int. J. Obes. 2009, 33, 621–628. [Google Scholar] [CrossRef]
- Tebar, W.R.; Christofaro, D.G.D.; Diniz, T.A.; Lofrano-Prado, M.C.; Botero, J.P.; de Correia, M.A.; Cucato, G.G.; Ritti-Dias, R.M.; Prado, W.L. Increased Screen Time Is Associated With Alcohol Desire and Sweetened Foods Consumption During the COVID-19 Pandemic. Front. Nutr. 2021, 8, 630586. [Google Scholar] [CrossRef] [PubMed]
- Christofaro, D.G.; Werneck, A.O.; Tebar, W.R.; Lofrano-Prado, M.C.; Botero, J.P.; Cucato, G.G.; Malik, N.; Correia, M.A.; Ritti-Dias, R.M.; Prado, W.L. Physical Activity Is Associated With Improved Eating Habits During the COVID-19 Pandemic. Front. Psychol. 2021, 12, 664568. [Google Scholar] [CrossRef]
- Nurwanti, E.; Uddin, M.; Chang, J.-S.; Hadi, H.; Syed-Abdul, S.; Su, E.; Nursetyo, A.; Masud, J.; Bai, C.-H. Roles of Sedentary Behaviors and Unhealthy Foods in Increasing the Obesity Risk in Adult Men and Women: A Cross-Sectional National Study. Nutrients 2018, 10, 704. [Google Scholar] [CrossRef]
- Guallar-Castillón, P.; Rodríguez-Artalejo, F.; Lopez-Garcia, E.; León-Muñoz, L.M.; Amiano, P.; Ardanaz, E.; Arriola, L.; Barricarte, A.; Buckland, G.; Chirlaque, M.D.; et al. Consumption of fried foods and risk of coronary heart disease: Spanish cohort of the European Prospective Investigation into Cancer and Nutrition study. BMJ 2012, 344, e363. [Google Scholar] [CrossRef]
- Bowman, S.A. Television-Viewing Characteristics of Adults: Correlations to Eating Practices and Overweight and Health Status. Prev. Chronic Dis. 2006, 3, 11–38. [Google Scholar]
- Vizcaino, M.; Buman, M.; DesRoches, T.; Wharton, C. From TVs to Tablets: The Relation between Device-Specific Screen Time and Health-Related Behaviors and Characteristics. BMC Public Health 2020, 20, 1295. [Google Scholar] [CrossRef] [PubMed]
- Christofaro, D.G.D.; De Andrade, S.M.; Mesas, A.E.; Fernandes, R.A.; Farias Júnior, J.C. Higher Screen Time Is Associated with Overweight, Poor Dietary Habits and Physical Inactivity in Brazilian Adolescents, mainly among Girls. Eur. J. Sport Sci. 2016, 16, 498–506. [Google Scholar] [CrossRef] [PubMed]
- Delfino, L.D.; Tebar, W.R.; Silva, D.A.S.; Gil, F.C.S.; Mota, J.; Christofaro, D.G.D. Food Advertisements on Television and Eating Habits in Adolescents: A School-Based Study. Rev. Saude Publica 2020, 54, 55. [Google Scholar] [CrossRef] [PubMed]
- Malik, V.S.; Pan, A.; Willett, W.C.; Hu, F.B. Sugar-Sweetened Beverages and Weight Gain in Children and Adults: A Systematic Review and Meta-Analysis. Am. J. Clin. Nutr. 2013, 98, 1084–1102. [Google Scholar] [CrossRef]
- Antunes, A.B.; Cunha, D.B.; Baltar, V.T.; Steluti, J.; Pereira, R.A.; Yokoo, E.M.; Sichieri, R.; Marchioni, D.M. Dietary patterns of Brazilian adults in 2008–2009 and 2017–2018. Rev. Saude Publica 2021, 55 (Suppl. S1), 8s. [Google Scholar] [CrossRef]
- Trost, S.G.; McIver, K.L.; Pate, R.R. Conducting accelerometer-based activity assessments in field-based research. Med. Sci. Sports Exerc. 2005, 3711, S531. [Google Scholar] [CrossRef]



| Parameters | Mean ± std |
|---|---|
| Age, years | 56.53 ± 18.32 |
| Sex (male/female) | 324/519 |
| Body Mass Index, kg/m2 | 27.3 ± 5.8 |
| Waist-to-Height Ratio, cm | 0.6 ± 0.1 |
| Sitting Time, hours/day | 3.8 ± 3.0 |
| Screen time, hours/day | 8.5 ± 3.7 |
| Habitual Physical Activity (Baecke score) | 11.7 ± 2.8 |
| Socioeconomic Level, score | 30.12 ± 9.7 |
| Fruits, days/week | 4.6 ± 2.6 |
| Vegetables, days/week | 5.1 ± 2.4 |
| Cereals, days/week | 1.4 ± 2.2 |
| Dairy Products, days/week | 4.6 ± 2.8 |
| Grains, days/week | 6.7 ± 1.0 |
| Red Meat, days/week | 4.0 ± 2.2 |
| Sweets, days/week | 2.8 ± 2.5 |
| Fried Foods, days/week | 2.0 ± 2.1 |
| Soft Drinks, days/week | 1.7 ± 2.1 |
| Snacks, days/week | 0.3 ± 0.9 |
| Body Mass Index (Global Adiposity) | ||||
|---|---|---|---|---|
| Consumption Measured in Days | Model 1 β (95% CI) | Model 2 β (95% CI) | Model 3 β (95% CI) | Model 4 β (95% CI) |
| Fruits | −0.22 (−0.37; −0.06) | −0.26 (−0.43; −0.01) | −0.28 (−0.46; −0.11) | −0.26 (−0.43; −0.10) |
| Vegetables | −0.15 (−0.31; 0.02) | −0.14 (−0.31; 0.03) | −0.14 (−0.31; 0.04) | −0.14 (−0.31; 0.03) |
| Cereals | −0.17 (−0.35; 0.05) | −0.15 (−0.33; 0.04) | −0.17 (−0.36; 0.02) | −0.15 (−0.33; 0.04) |
| Dairy Products | −0.18 (−0.32; −0.04) | −0.20 (−0.35; −0.06) | −0.24 (−0.39; −0.09) | −0.20 (−0.35; −0.06) |
| Grains | 0.07 (−0.33; 0.46) | 0.07 (−0.33; 0.46) | −0.04 (−0.45; 0.38) | 0.07 (−0.33; 0.46) |
| Red Meat | 0.27 (0.09; 0.45) | 0.27 (0.09; 0.45) | 0.28 (0.01; 0.47) | 0.27 (0.09; 0.45) |
| Sweets | −0.13 (−0.29; 0.02) | −0.15 (−0.31; 0.01) | −0.17 (−0.33; −0.01) | −0.16 (−0.31; −0.01) |
| Fried Foods | 0.15 (−0.04; 0.34) | 0.21 (0.01; 0.41) | 0.17 (−0.04; 0.38) | 0.21 (0.01; 0.41) |
| Soft Drinks | −0.02 (−0.20; 0.17) | −0.02 (−0.21; 0.17) | 0.01 (−0.20; 0.20) | −0.02 (−0.21; 0.18) |
| Snacks | −0.38 (−0.84; 0.07) | −0.33 (−0.79; 0.13) | −0.45 (−0.93; 0.03) | −0.34 (−0.81; 0.13) |
| Waist-to-Height Ratio (Central Adiposity) | ||||
|---|---|---|---|---|
| Consumption Measured in Days | Model 1 β (95% CI) | Model 2 β (95% CI) | Model 3 β (95% CI) | Model 4 β (95% CI) |
| Fruits | 0.001 (−0.002; 0.003) | −0.003 (−0.006; −0.001) | −0.004 (−0.006; −0.001) | −0.004 (−0.006; −0.001) |
| Vegetables | −0.002 (−0.004; 0.001) | −0.002 (−0.005; 0.000) | −0.002 (−0.005; 0.000) | −0.003 (−0.005; −0.001) |
| Cereals | −0.004 (−0.007; −0.001) | −0.004 (−0.006; −0.001) | −0.004 (−0.007; −0.001) | −0.004 (−0.007; −0.001) |
| Dairy Products | −0.001 (−0.003; 0.001) | −0.003 (−0.005; −0.001) | −0.003 (−0.006; −0.001) | −0.003 (−0.005; −0.001) |
| Grains | 0.006 (−0.001; 0.012) | 0.004 (−0.002; 0.010) | 0.001 (−0.005; 0.007) | 0.004 (−0.002; 0.009) |
| Red Meat | 0.002 (−0.001; 0.004) | 0.003 (0.001; 0.006) | 0.003 (0.001; 0.006) | 0.003 (0.001; 0.006) |
| Sweets | −0.003 (−0.005; −0.001) | −0.002 (−0.004; 0.001) | −0.002 (−0.005; 0.001) | −0.002 (−0.004; 0.000) |
| Fried Foods | −0.001 (−0.004; 0.002) | 0.004 (0.001; 0.007) | 0.003 (0.001; 0.006) | 0.004 (0.001; 0.007) |
| Soft Drinks | −0.002 (−0.005; 0.001) | 0.000 (−0.002; 0.003) | 0.001 (−0.002; 0.004) | 0.000 (−0.002; 0.003) |
| Snacks | −0.009 (−0.015; −0.002) | −0.001 (−0.008; 0.005) | −0.003 (−0.010; 0.003) | −0.001 (−0.008; 0.005) |
Disclaimer/Publisher’s Note: The statements, opinions and data contained in all publications are solely those of the individual author(s) and contributor(s) and not of MDPI and/or the editor(s). MDPI and/or the editor(s) disclaim responsibility for any injury to people or property resulting from any ideas, methods, instructions or products referred to in the content. |
© 2023 by the authors. Licensee MDPI, Basel, Switzerland. This article is an open access article distributed under the terms and conditions of the Creative Commons Attribution (CC BY) license (https://creativecommons.org/licenses/by/4.0/).
Share and Cite
Beretta, V.S.; Tebar, W.R.; Scarabottolo, C.C.; Delfino, L.D.; Saraiva, B.T.C.; Santos, A.B.; Antunes, E.P.; Leoci, I.C.; Ferrari, G.; Christofaro, D.G.D. Association between Diet and Adiposity in Adults: Influence of Sedentary Behavior Patterns. Healthcare 2023, 11, 1157. https://doi.org/10.3390/healthcare11081157
Beretta VS, Tebar WR, Scarabottolo CC, Delfino LD, Saraiva BTC, Santos AB, Antunes EP, Leoci IC, Ferrari G, Christofaro DGD. Association between Diet and Adiposity in Adults: Influence of Sedentary Behavior Patterns. Healthcare. 2023; 11(8):1157. https://doi.org/10.3390/healthcare11081157
Chicago/Turabian StyleBeretta, Victor Spiandor, William Rodrigues Tebar, Catarina Covolo Scarabottolo, Leandro Dragueta Delfino, Bruna Thamyres Ciccotti Saraiva, Amanda Barbosa Santos, Ewerton Pegorelli Antunes, Isabella Cristina Leoci, Gerson Ferrari, and Diego Giulliano Destro Christofaro. 2023. "Association between Diet and Adiposity in Adults: Influence of Sedentary Behavior Patterns" Healthcare 11, no. 8: 1157. https://doi.org/10.3390/healthcare11081157
APA StyleBeretta, V. S., Tebar, W. R., Scarabottolo, C. C., Delfino, L. D., Saraiva, B. T. C., Santos, A. B., Antunes, E. P., Leoci, I. C., Ferrari, G., & Christofaro, D. G. D. (2023). Association between Diet and Adiposity in Adults: Influence of Sedentary Behavior Patterns. Healthcare, 11(8), 1157. https://doi.org/10.3390/healthcare11081157

