Impacts of Complete Unemployment Rates Disaggregated by Reason and Duration on Suicide Mortality from 2009–2022 in Japan
Abstract
:1. Introduction
2. Materials and Methods
2.1. Data Sources
2.2. Statistical Analyses
2.3. Ethics
3. Results
3.1. Fluctuation of SDR from 2009–2022
3.2. Fluctuation of Male SMRP Disaggregated by Age from 2009–2022
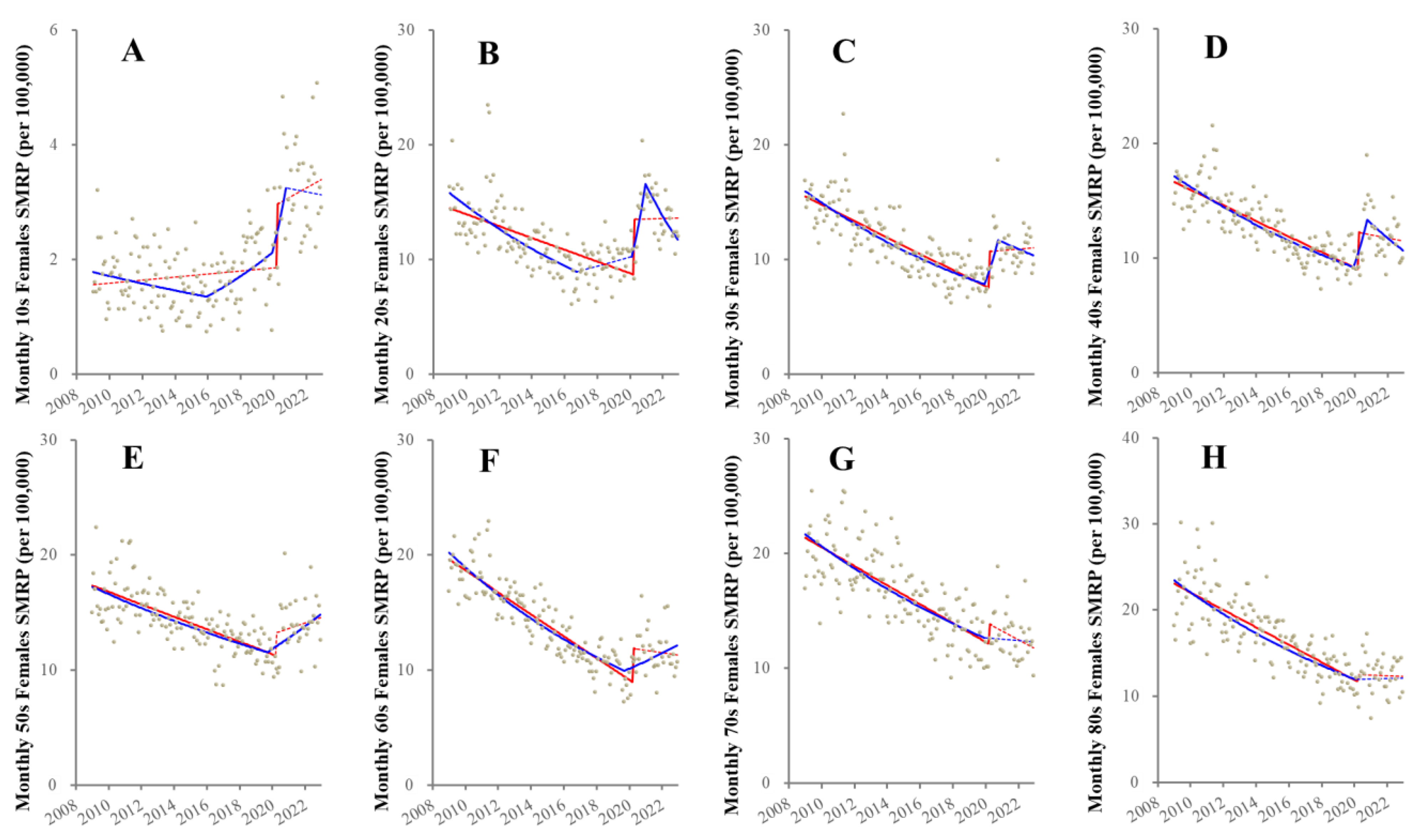
3.3. Fluctuation of Female SMRP Disaggregated by Age from 2009–2022
3.4. Fluctuation of CURs Disaggregated by Unemployment Duration and Reason for Seeking a Job from 2009–2022
3.5. Temporal Causalities from CUR Disaggregated by Unemployment Duration on SMRPs
3.6. Temporal Causalities from CURs Disaggregated by Reasons for Seeking Jobs on SMRPs
4. Discussion
5. Conclusions
Supplementary Materials
Author Contributions
Funding
Institutional Review Board Statement
Informed Consent Statement
Data Availability Statement
Conflicts of Interest
References
- Dhungel, B.; Sugai, M.K.; Gilmour, S. Trends in Suicide Mortality by Method from 1979 to 2016 in Japan. Int. J. Environ. Res. Public Health 2019, 16, 1794. [Google Scholar] [CrossRef] [PubMed]
- Dhungel, B.; Murakami, T.; Wada, K.; Ikeda, S.; Gilmour, S. Difference in Mortality Rates by Occupation in Japanese Male Workers Aged 25 to 64 Years from 1980 to 2015. Int. J. Environ. Res. Public Health 2022, 19, 1328. [Google Scholar] [CrossRef] [PubMed]
- Shiroyama, T.; Fukuyama, K.; Okada, M. Effects of Financial Expenditure of Prefectures/Municipalities on Regional Suicide Mortality in Japan. Int. J. Environ. Res. Public Health 2021, 18, 8639. [Google Scholar] [CrossRef] [PubMed]
- Kato, R.; Okada, M. Can Financial Support Reduce Suicide Mortality Rates? Int. J. Environ. Res. Public Health 2019, 16, 4797. [Google Scholar] [CrossRef]
- MHLW. Basic Data on Suicide in the Region. Available online: https://www.mhlw.go.jp/stf/seisakunitsuite/bunya/0000140901.html (accessed on 31 January 2023).
- Tanaka, T.; Okamoto, S. Increase in suicide following an initial decline during the COVID-19 pandemic in Japan. Nat. Hum. Behav. 2021, 5, 229–238. [Google Scholar] [CrossRef]
- Tanaka, H.; Togawa, K.; Katanoda, K. Impact of the COVID-19 pandemic on mortality trends in Japan: A reversal in 2021? A descriptive analysis of national mortality data, 1995–2021. BMJ Open 2023, 13, e071785. [Google Scholar] [CrossRef]
- Spittal, M.J. COVID-19 and suicide: Evidence from Japan. Lancet Reg. Health West. Pac. 2022, 27, 100578. [Google Scholar] [CrossRef]
- Goto, R.; Okubo, Y.; Skokauskas, N. Reasons and trends in youth’s suicide rates during the COVID-19 pandemic. Lancet Reg. Health West. Pac. 2022, 27, 100567. [Google Scholar] [CrossRef]
- Koda, M.; Harada, N.; Eguchi, A.; Nomura, S.; Ishida, Y. Reasons for Suicide During the COVID-19 Pandemic in Japan. JAMA Netw Open 2022, 5, e2145870. [Google Scholar] [CrossRef]
- Yoshioka, E.; Hanley, S.J.B.; Sato, Y.; Saijo, Y. Impact of the COVID-19 pandemic on suicide rates in Japan through December 2021: An interrupted time series analysis. Lancet Reg. Health West. Pac. 2022, 24, 100480. [Google Scholar] [CrossRef]
- Matsumoto, R.; Motomura, E.; Fukuyama, K.; Shiroyama, T.; Okada, M. Determining What Changed Japanese Suicide Mortality in 2020 Using Governmental Database. J. Clin. Med. 2021, 10, 5199. [Google Scholar] [CrossRef] [PubMed]
- Matsumoto, R.; Kawano, Y.; Motomura, E.; Shiroyama, T.; Okada, M. Analyzing the Changing Relationship Between Personal Consumption and Suicide Mortality During COVID-19 Pandemic in Japan, using governmental and personal consumption transaction databases. Front. Public Health 2022, 10, 982341. [Google Scholar] [CrossRef] [PubMed]
- Okada, M. Is an increase in Japan’s suicides caused by COVID-19 alone? Asian J. Psychiatr. 2022, 78, 103320. [Google Scholar] [CrossRef]
- Okada, M.; Matsumoto, R.; Motomura, E.; Shiroyama, T.; Murata, M. Exploring characteristics of increased suicide during the COVID-19 pandemic in Japan using provisional governmental data. Lancet Reg. Health West. Pac. 2022, 24, 100481. [Google Scholar] [CrossRef] [PubMed]
- Matsumoto, R.; Motomura, E.; Okada, M. Fluctuation of suicide mortality and temporal causality from unemployment duration to suicide mortality in Japan during 2009–2022. Asian J. Psychiatr. 2023, 84, 103574. [Google Scholar] [CrossRef]
- Tandon, R. COVID-19 and suicide: Just the facts. Key learnings and guidance for action. Asian J. Psychiatr. 2021, 60, 102695. [Google Scholar] [CrossRef] [PubMed]
- Penninx, B.; Benros, M.E.; Klein, R.S.; Vinkers, C.H. How COVID-19 shaped mental health: From infection to pandemic effects. Nat. Med. 2022, 28, 2027–2037. [Google Scholar] [CrossRef]
- Turecki, G.; Brent, D.A.; Gunnell, D.; O’Connor, R.C.; Oquendo, M.A.; Pirkis, J.; Stanley, B.H. Suicide and suicide risk. Nat. Rev. Dis. Primers 2019, 5, 74. [Google Scholar] [CrossRef]
- Russell, R.; Metraux, D.; Tohen, M. Cultural influences on suicide in Japan. Psychiatry Clin. Neurosci. 2017, 71, 2–5. [Google Scholar] [CrossRef]
- Wanberg, C.R. The individual experience of unemployment. Annu. Rev. Psychol. 2012, 63, 369–396. [Google Scholar] [CrossRef]
- Gunnell, D.; Appleby, L.; Arensman, E.; Hawton, K.; John, A.; Kapur, N.; Khan, M.; O’Connor, R.C.; Pirkis, J.; Collaboration, C.-S.P.R. Suicide risk and prevention during the COVID-19 pandemic. Lancet Psychiatry 2020, 7, 468–471. [Google Scholar] [CrossRef] [PubMed]
- Banerjee, D.; Kosagisharaf, J.R.; Rao, T.S.J.P.r. The dual pandemic’of suicide and COVID-19: A biopsychosocial narrative of risks and prevention. Psychiatry Res. 2020, 295, 113577. [Google Scholar] [CrossRef] [PubMed]
- Reger, M.A.; Smolenski, D.J.; Skopp, N.A.; Metzger-Abamukang, M.J.; Kang, H.K.; Bullman, T.A.; Perdue, S.; Gahm, G.A. Risk of Suicide Among US Military Service Members Following Operation Enduring Freedom or Operation Iraqi Freedom Deployment and Separation From the US Military. JAMA Psychiatry 2015, 72, 561–569. [Google Scholar] [CrossRef]
- Kawohl, W.; Nordt, C. COVID-19, unemployment, and suicide. Lancet Psychiatry 2020, 7, 389–390. [Google Scholar] [CrossRef] [PubMed]
- Okada, M.; Matsumoto, R.; Shiroyama, T.; Motomura, E. Suicidal Mortality and Motives Among Middle-School, High-School and University Students. JAMA Netw. Open 2023, 6, e2328144. [Google Scholar] [CrossRef]
- Menon, V.; Cherian, A.V.; Vijayakumar, L. Rising incidence and changing demographics of suicide in India: Time to recalibrate prevention policies? Asian J. Psychiatr. 2021, 69, 102983. [Google Scholar] [CrossRef]
- Arya, V.; Page, A.; Spittal, M.J.; Dandona, R.; Vijayakumar, L.; Munasinghe, S.; John, A.; Gunnell, D.; Pirkis, J.; Armstrong, G. Suicide in India during the first year of the COVID-19 pandemic. J. Affect Disord. 2022, 307, 215–220. [Google Scholar] [CrossRef]
- Pirkis, J.; John, A.; Shin, S.; DelPozo-Banos, M.; Arya, V.; Analuisa-Aguilar, P.; Appleby, L.; Arensman, E.; Bantjes, J.; Baran, A.; et al. Suicide trends in the early months of the COVID-19 pandemic: An interrupted time-series analysis of preliminary data from 21 countries. Lancet Psychiatry 2021, 8, 579–588. [Google Scholar] [CrossRef]
- Farooq, S.; Tunmore, J.; Wajid Ali, M.; Ayub, M. Suicide, self-harm and suicidal ideation during COVID-19: A systematic review. Psychiatry Res. 2021, 306, 114228. [Google Scholar] [CrossRef]
- Yan, Y.; Hou, J.; Li, Q.; Yu, N.X. Suicide before and during the COVID-19 Pandemic: A Systematic Review with Meta-Analysis. Int. J. Environ. Res. Public Health 2023, 20, 3346. [Google Scholar] [CrossRef]
- Nordt, C.; Warnke, I.; Seifritz, E.; Kawohl, W. Modelling suicide and unemployment: A longitudinal analysis covering 63 countries, 2000–2011. Lancet Psychiatry 2015, 2, 239–245. [Google Scholar] [CrossRef] [PubMed]
- Kandula, S.; Martinez-Ales, G.; Rutherford, C.; Gimbrone, C.; Olfson, M.; Gould, M.S.; Keyes, K.M.; Shaman, J. County-level estimates of suicide mortality in the USA: A modelling study. Lancet Public Health 2023, 8, e184–e193. [Google Scholar] [CrossRef] [PubMed]
- Webb, R.T.; Kapur, N. Suicide, unemployment, and the effect of economic recession. Lancet Psychiatry 2015, 2, 196–197. [Google Scholar] [CrossRef] [PubMed]
- Dhungel, B.; Thapa, A.; Martinez-Rives, N.L.; Takagi, K.; Martin, P.; Wada, K.; Gilmour, S. Method-specific suicide trends from 1979 to 2016 among Japanese adolescents. J. Affect Disord. 2022, 310, 129–134. [Google Scholar] [CrossRef]
- Shiratori, Y.; Tachikawa, H.; Nemoto, K.; Endo, G.; Aiba, M.; Matsui, Y.; Asada, T. Network analysis for motives in suicide cases: A cross-sectional study. Psychiatry Clin. Neurosci. 2014, 68, 299–307. [Google Scholar] [CrossRef]
- SBMIAC. Surveys of Population, Population Change and the Number of Households based on the Basic Resident Registration. Available online: https://www.e-stat.go.jp/en/statistics/00200241 (accessed on 1 February 2022).
- MHLW. Labour Force Survey. Available online: https://www.e-stat.go.jp/en/statistics/00200531 (accessed on 1 May 2023).
- Okada, M.; Hasegawa, T.; Kato, R.; Shiroyama, T. Analysing regional unemployment rates, GDP per capita and financial support for regional suicide prevention programme on suicide mortality in Japan using governmental statistical data. BMJ Open 2020, 10, e037537. [Google Scholar] [CrossRef]
- Linden, A. A Comprehensive set of Postestimation Measures to Enrich Interrupted Time-series Analysis. Stata J. Promot. Commun. Stat. Stata 2017, 17, 73–88. [Google Scholar] [CrossRef]
- Linden, A. Conducting interrupted time-series analysis for single-and multiple-group comparisons. Stata J. 2015, 15, 480–500. [Google Scholar] [CrossRef]
- Bernal, J.L.; Cummins, S.; Gasparrini, A. Interrupted time series regression for the evaluation of public health interventions: A tutorial. Int. J. Epidemiol. 2017, 46, 348–355. [Google Scholar] [CrossRef]
- Ilic, M.; Ilic, I. Worldwide suicide mortality trends (2000–2019): A joinpoint regression analysis. World J. Psychiatry 2022, 12, 1044–1060. [Google Scholar] [CrossRef]
- Kim, H.J.; Fay, M.P.; Feuer, E.J.; Midthune, D.N. Permutation tests for joinpoint regression with applications to cancer rates. Stat. Med. 2000, 19, 335–351. [Google Scholar] [CrossRef]
- Seposo, X.T. COVID-19 threatens decade-long suicide initiatives in Japan. Asian J. Psychiatr. 2021, 60, 102660. [Google Scholar] [CrossRef] [PubMed]
- NCI. Joinpoint Regression Program ver4.9.1.0. Available online: https://surveillance.cancer.gov/joinpoint/ (accessed on 1 August 2022).
- Chang, S.S.; Stuckler, D.; Yip, P.; Gunnell, D. Impact of 2008 global economic crisis on suicide: Time trend study in 54 countries. BMJ 2013, 347, f5239. [Google Scholar] [CrossRef]
- Chen, Y.Y.; Yip, P.S.; Lee, C.; Fan, H.F.; Fu, K.W. Economic fluctuations and suicide: A comparison of Taiwan and Hong Kong. Soc. Sci. Med. 2010, 71, 2083–2090. [Google Scholar] [CrossRef]
- Mattei, G.; Pistoresi, B. Unemployment and suicide in Italy: Evidence of a long-run association mitigated by public unemployment spending. Eur. J. Health Econ. 2019, 20, 569–577. [Google Scholar] [CrossRef] [PubMed]
- Stevens, A.H.; Miller, D.L.; Page, M.E.; Filipski, M. The Best of Times, the Worst of Times: Understanding Pro-cyclical Mortality. Am. Econ. J. Econ. Policy 2015, 7, 279–311. [Google Scholar] [CrossRef] [PubMed]
- Hatemi-J, A. Multivariate tests for autocorrelation in the stable and unstable VAR models. Econ. Model. 2004, 21, 661–683. [Google Scholar] [CrossRef]
- Kawano, Y.; Matsumoto, R.; Motomura, E.; Shiroyama, T.; Okada, M. Bidirectional Causality between Spreading COVID-19 and Individual Mobilisation with Consumption Motives across Prefectural Borders in Japan. Int. J. Environ. Res. Public Health 2022, 19, 9070. [Google Scholar] [CrossRef]
- van Ballegooijen, W.; Littlewood, D.L.; Nielsen, E.; Kapur, N.; Gooding, P. The temporal relationships between defeat, entrapment and suicidal ideation: Ecological momentary assessment study. BJPsych Open 2022, 8, e105. [Google Scholar] [CrossRef]
- Holmes, E.A.; O’Connor, R.C.; Perry, V.H.; Tracey, I.; Wessely, S.; Arseneault, L.; Ballard, C.; Christensen, H.; Cohen Silver, R.; Everall, I.; et al. Multidisciplinary research priorities for the COVID-19 pandemic: A call for action for mental health science. Lancet Psychiatry 2020, 7, 547–560. [Google Scholar] [CrossRef]
- Ando, M.; Furuichi, M. The association of COVID-19 employment shocks with suicide and safety net use: An early-stage investigation. PLoS ONE 2022, 17, e0264829. [Google Scholar] [CrossRef] [PubMed]
- Chen, Y.Y.; Wu, K.C.; Yousuf, S.; Yip, P.S. Suicide in Asia: Opportunities and challenges. Epidemiol. Rev. 2012, 34, 129–144. [Google Scholar] [CrossRef] [PubMed]
- Wada, K.; Gilmour, S. Inequality in mortality by occupation related to economic crisis from 1980 to 2010 among working-age Japanese males. Sci. Rep. 2016, 6, 22255. [Google Scholar] [CrossRef] [PubMed]
- Jeon, S.Y.; Reither, E.N.; Masters, R.K. A population-based analysis of increasing rates of suicide mortality in Japan and South Korea, 1985-2010. BMC Public Health 2016, 16, 356. [Google Scholar] [CrossRef] [PubMed]
- Ministry of Health, L.a.W. White Paper on the Labour Economy 2022. Available online: https://www.mhlw.go.jp/english/wp/l-economy/index.html (accessed on 1 May 2023).
- Phillips, J.A.; Nugent, C.N. Suicide and the Great Recession of 2007–2009: The role of economic factors in the 50 U.S. states. Soc. Sci. Med. 2014, 116, 22–31. [Google Scholar] [CrossRef]
- OECD. OECD Data. Available online: https://data.oecd.org/ (accessed on 4 February 2023).
- MHLW. Basic Survey on Wage Structure. Available online: https://www.e-stat.go.jp/en/statistics/00450091 (accessed on 4 December 2022).
- Simionescu, M.; Cifuentes-Faura, J. Can unemployment forecasts based on Google Trends help government design better policies? An investigation based on Spain and Portugal. J. Policy Model. 2022, 44, 1–21. [Google Scholar] [CrossRef]
- Simionescu, M.; Cifuentes-Faura, J. Forecasting National and Regional Youth Unemployment in Spain Using Google Trends. Soc. Indic Res. 2022, 164, 1187–1216. [Google Scholar] [CrossRef]
- Sawyer, S.M.; Azzopardi, P.S.; Wickremarathne, D.; Patton, G.C. The age of adolescence. Lancet Child. Adolesc. Health 2018, 2, 223–228. [Google Scholar] [CrossRef]
- WHO. Mental Health of Adolescents. Available online: https://www.who.int/news-room/fact-sheets/detail/adolescent-mental-health (accessed on 1 April 2023).
- Kelly, E.V.; Newton, N.C.; Stapinski, L.A.; Slade, T.; Barrett, E.L.; Conrod, P.J.; Teesson, M. Suicidality, internalizing problems and externalizing problems among adolescent bullies, victims and bully-victims. Prev. Med. 2015, 73, 100–105. [Google Scholar] [CrossRef]
- Blake, M.J.; Allen, N.B. Prevention of internalizing disorders and suicide via adolescent sleep interventions. Curr. Opin Psychol. 2020, 34, 37–42. [Google Scholar] [CrossRef]
- Piqueras, J.A.; Soto-Sanz, V.; Rodriguez-Marin, J.; Garcia-Oliva, C. What is the Role of Internalizing and Externalizing Symptoms in Adolescent Suicide Behaviors? Int. J. Environ. Res. Public Health 2019, 16, 2511. [Google Scholar] [CrossRef] [PubMed]
- Gould, M.S.; Greenberg, T.; Velting, D.M.; Shaffer, D. Youth suicide risk and preventive interventions: A review of the past 10 years. J. Am. Acad. Child Adolesc. Psychiatry 2003, 42, 386–405. [Google Scholar] [CrossRef] [PubMed]
- MHLW. Patient Survey. Available online: https://www.e-stat.go.jp/en/statistics/00450022 (accessed on 31 January 2023).
- Offce, C. Outline of Measures for Society with Decreasing Birthrate. Available online: https://www8.cao.go.jp/shoushi/shoushika/law/taikou2.html (accessed on 1 June 2021).
- Sheng, L.; Yang, B.; Story, M.; Wu, W.; Xi, X.; Zhou, Y.; Wen, Y.; Wang, H.; Liu, Q. Emotional and Behavioral Changes and Related Factors of Firstborn School-Aged Compared to Same Age Only Children. Front. Public Health 2022, 10, 822761. [Google Scholar] [CrossRef] [PubMed]
- Nakamoto, M.; Nakagawa, T.; Murata, M.; Okada, M. Impacts of Dual-Income Household Rate on Suicide Mortalities in Japan. Int. J. Environ. Res. Public Health 2021, 18, 5670. [Google Scholar] [CrossRef]
- Office, C. The White Paper on Gender Equality 2023. Available online: https://www.gender.go.jp/about_danjo/whitepaper/r05/gaiyou/pdf/r05_gaiyou_en.pdf (accessed on 1 August 2023).









| Male | R2 | F | β | T | p | Female | R2 | F | β | T | p | ||
|---|---|---|---|---|---|---|---|---|---|---|---|---|---|
| 10s | −0.089 | 0.78 | 0.589 | 10s | 0.304 | 3.82 | 0.005 | ** | |||||
| 3-month | 0.03 | 0.07 | 0.18 | 0.858 | 3-month | 5.01 | 0.51 | 2.24 | 0.031 | * | |||
| 6-month | 0.29 | −0.27 | −0.54 | 0.593 | 6-month | 3.41 | −2.10 | −3.80 | 0.073 | ||||
| 12-month | 0.30 | −0.36 | −0.55 | 0.585 | 12-month | 2.72 | 0.59 | 1.65 | 0.108 | ||||
| 24-month | 0.14 | 0.46 | 0.38 | 0.708 | 24-month | 2.16 | 1.07 | 1.47 | 0.150 | ||||
| 36-month | 0.36 | −0.38 | −0.60 | 0.555 | 36-month | 2.71 | −1.51 | −1.65 | 0.108 | ||||
| 20s | 0.744 | 34.32 | 0.000 | ** | 20s | 0.563 | 34.22 | 0.000 | ** | ||||
| 3-month | 0.31 | 1.63 | 0.56 | 0.579 | 3-month | 6.01 | 3.32 | 2.45 | 0.019 | * | |||
| 6-month | 0.02 | −0.44 | −0.12 | 0.902 | 6-month | 3.46 | −3.83 | −1.86 | 0.071 | ||||
| 12-month | 15.92 | 10.59 | 3.99 | 0.000 | ** | 12-month | 1.91 | 0.84 | 1.38 | 0.176 | |||
| 24-month | 0.01 | 0.41 | 0.09 | 0.927 | 24-month | 3.25 | 7.19 | 1.80 | 0.080 | ||||
| 36-month | 4.01 | 4.26 | 2.00 | 0.053 | 36-month | 0.65 | −2.23 | −0.80 | 0.427 | ||||
| 30s | 0.773 | 28.79 | 0.000 | ** | 30s | 0.785 | 23.48 | 0.000 | ** | ||||
| 3-month | 0.20 | −1.24 | −0.44 | 0.660 | 3-month | 4.38 | 1.66 | 2.09 | 0.043 | * | |||
| 6-month | 0.16 | 1.11 | 0.39 | 0.696 | 6-month | 1.29 | −2.56 | −1.14 | 0.263 | ||||
| 12-month | 13.08 | 10.62 | 3.62 | 0.001 | ** | 12-month | 9.01 | 3.35 | 3.00 | 0.005 | ** | ||
| 24-month | 0.11 | 2.10 | 0.33 | 0.746 | 24-month | 3.53 | 6.30 | 1.88 | 0.068 | ||||
| 36-month | 0.17 | −1.16 | −0.42 | 0.681 | 36-month | 2.08 | 3.02 | 1.44 | 0.157 | ||||
| 40s | 0.873 | 69.95 | 0.000 | ** | 40s | 0.814 | 62.11 | 0.000 | ** | ||||
| 3-month | 0.50 | 2.88 | 0.71 | 0.485 | 3-month | 9.31 | 1.81 | 3.05 | 0.004 | ** | |||
| 6-month | 0.48 | 2.79 | 0.70 | 0.491 | 6-month | 0.79 | −1.44 | −0.89 | 0.379 | ||||
| 12-month | 15.77 | 16.19 | 3.97 | 0.000 | ** | 12-month | 2.59 | 1.78 | 1.61 | 0.116 | |||
| 24-month | 0.01 | 1.07 | 0.12 | 0.907 | 24-month | 3.72 | 4.92 | 1.93 | 0.062 | ||||
| 36-month | 0.01 | 0.22 | 0.07 | 0.942 | 36-month | 3.03 | 4.50 | 1.74 | 0.090 | ||||
| 50s | 0.839 | 53.53 | 0.000 | ** | 50s | 0.702 | 41.89 | 0.000 | ** | ||||
| 3-month | 0.50 | −3.44 | −0.71 | 0.484 | 3-month | 0.67 | 0.53 | 0.82 | 0.419 | ||||
| 6-month | 1.85 | 6.74 | 1.36 | 0.182 | 6-month | 0.00 | −0.06 | −0.04 | 0.970 | ||||
| 12-month | 10.14 | 17.84 | 3.18 | 0.003 | ** | 12-month | 7.47 | 2.10 | 2.73 | 0.010 | * | ||
| 24-month | 0.08 | 3.75 | 0.28 | 0.784 | 24-month | 3.17 | 4.26 | 1.78 | 0.083 | ||||
| 36-month | 0.13 | −1.75 | −0.37 | 0.716 | 36-month | 2.65 | 6.16 | 1.63 | 0.112 | ||||
| 60s | 0.892 | 117.29 | 0.000 | ** | 60s | 0.894 | 38.55 | 0.000 | ** | ||||
| 3-month | 0.19 | 1.97 | 0.44 | 0.664 | 3-month | 3.47 | 2.23 | 1.86 | 0.071 | ||||
| 6-month | 0.02 | −0.57 | −0.13 | 0.895 | 6-month | 0.27 | −1.17 | −0.51 | 0.610 | ||||
| 12-month | 16.85 | 15.42 | 4.11 | 0.000 | ** | 12-month | 2.62 | 3.16 | 1.62 | 0.114 | |||
| 24-month | 0.06 | 2.49 | 0.25 | 0.803 | 24-month | 4.84 | 6.95 | 2.20 | 0.034 | * | |||
| 36-month | 0.07 | −0.73 | −0.26 | 0.797 | 36-month | 1.34 | 4.32 | 1.16 | 0.254 | ||||
| 70s | 0.740 | 34.85 | 0.000 | ** | 70s | 0.735 | 23.55 | 0.000 | ** | ||||
| 3-month | 19.07 | 16.16 | 4.37 | 0.000 | ** | 3-month | 9.47 | 5.19 | 3.08 | 0.004 | ** | ||
| 6-month | 2.22 | −5.56 | −1.49 | 0.145 | 6-month | 0.25 | 1.03 | −0.50 | 0.619 | ||||
| 12-month | 0.45 | 3.55 | 0.67 | 0.508 | 12-month | 0.51 | −1.62 | −0.72 | 0.478 | ||||
| 24-month | 0.18 | 2.84 | 0.42 | 0.678 | 24-month | 2.34 | 8.01 | 1.53 | 0.135 | ||||
| 36-month | 6.29 | 8.42 | 2.51 | 0.017 | * | 36-month | 5.15 | 14.83 | 2.27 | 0.029 | * | ||
| 80s | 0.682 | 32.10 | 0.000 | ** | 80s | 0.825 | 51.38 | 0.000 | ** | ||||
| 3-month | 53.48 | 24.49 | 7.31 | 0.000 | ** | 3-month | 19.72 | 6.29 | 4.44 | 0.000 | ** | ||
| 6-month | 0.00 | 0.38 | 0.06 | 0.954 | 6-month | 2.91 | 6.24 | 1.71 | 0.096 | ||||
| 12-month | 1.03 | −4.04 | −1.01 | 0.317 | 12-month | 0.93 | −3.27 | −0.96 | 0.342 | ||||
| 24-month | 0.65 | −5.56 | −0.80 | 0.426 | 24-month | 1.85 | 7.33 | 1.36 | 0.182 | ||||
| 36-month | 15.73 | 15.82 | 3.97 | 0.000 | ** | 36-month | 7.50 | 12.33 | 2.74 | 0.009 | ** |
| Male | R2 | F | β | T | p | Female | R2 | F | β | T | p | ||
|---|---|---|---|---|---|---|---|---|---|---|---|---|---|
| 10s | 0.119 | 4.25 | 0.001 | ** | 10s | 0.400 | 17.92 | 0.000 | ** | ||||
| termination | 0.48 | 1.12 | 0.69 | 0.489 | termination | 1.38 | −2.60 | −1.18 | 0.242 | ||||
| dismissal | 0.14 | 0.12 | 0.38 | 0.707 | dismissal | 7.73 | 1.21 | 2.78 | 0.006 | ** | |||
| voluntarily | 4.05 | −1.77 | −2.01 | 0.046 | * | voluntarily | 5.50 | −2.16 | −2.34 | 0.020 | * | ||
| graduated | 0.15 | 0.76 | 0.39 | 0.699 | graduated | 0.68 | 1.62 | 0.82 | 0.412 | ||||
| earning | 0.04 | −0.27 | −0.20 | 0.843 | earning | 0.22 | −0.62 | −0.47 | 0.638 | ||||
| 20s | 0.577 | 43.73 | 0.000 | ** | 20s | 0.502 | 20.23 | 0.000 | ** | ||||
| termination | 1.13 | −7.60 | −1.07 | 0.289 | termination | 0.00 | −0.38 | −0.06 | 0.956 | ||||
| dismissal | 11.95 | 6.10 | 3.46 | 0.001 | ** | dismissal | 4.26 | 3.03 | 2.06 | 0.041 | * | ||
| voluntarily | 0.11 | −1.04 | −0.33 | 0.740 | voluntarily | 11.13 | −6.92 | −3.34 | 0.001 | ** | |||
| graduated | 4.39 | 15.84 | 2.09 | 0.038 | * | graduated | 1.92 | 9.16 | 1.39 | 0.168 | |||
| earning | 0.31 | −2.76 | −0.56 | 0.577 | earning | 0.12 | 1.43 | 0.35 | 0.727 | ||||
| 30s | 0.644 | 45.27 | 0.000 | ** | 30s | 0.583 | 37.86 | 0.000 | ** | ||||
| termination | 0.21 | −4.09 | −0.45 | 0.651 | termination | 1.22 | −5.96 | −1.11 | 0.270 | ||||
| dismissal | 15.24 | 7.86 | 3.90 | 0.000 | ** | dismissal | 16.47 | 4.58 | 4.06 | 0.000 | ** | ||
| voluntarily | 0.58 | 2.38 | 0.76 | 0.449 | voluntarily | 0.17 | −0.83 | −0.42 | 0.678 | ||||
| graduated | 0.01 | −1.03 | −0.11 | 0.911 | graduated | 3.42 | 13.06 | 1.85 | 0.066 | ||||
| earning | 1.10 | −5.82 | −1.05 | 0.297 | earning | 1.01 | −3.33 | −1.00 | 0.318 | ||||
| 40s | 0.825 | 86.89 | 0.000 | ** | 40s | 0.625 | 45.10 | 0.000 | ** | ||||
| termination | 1.63 | −15.64 | −1.28 | 0.203 | termination | 0.65 | −4.12 | −0.81 | 0.421 | ||||
| dismissal | 24.42 | 13.59 | 4.94 | 0.000 | ** | dismissal | 8.10 | 3.37 | 2.85 | 0.005 | ** | ||
| voluntarily | 1.99 | 5.48 | 1.41 | 0.161 | voluntarily | 0.44 | −1.14 | −0.67 | 0.506 | ||||
| graduated | 0.05 | −2.38 | −0.22 | 0.826 | graduated | 3.68 | 11.64 | 1.92 | 0.057 | ||||
| earning | 0.22 | −3.08 | −0.46 | 0.643 | earning | 0.00 | −0.17 | −0.06 | 0.955 | ||||
| 50s | 0.847 | 112.93 | 0.000 | ** | 50s | 0.376 | 16.59 | 0.000 | ** | ||||
| termination | 0.00 | 0.10 | 0.01 | 0.993 | termination | 0.04 | −1.56 | −0.19 | 0.849 | ||||
| dismissal | 6.20 | 6.98 | 2.49 | 0.014 | * | dismissal | 1.40 | 1.87 | 1.18 | 0.238 | |||
| voluntarily | 0.40 | 2.82 | 0.63 | 0.528 | voluntarily | 0.14 | −0.96 | −0.37 | 0.711 | ||||
| graduated | 0.08 | −3.43 | −0.29 | 0.774 | graduated | 2.63 | 10.54 | 1.62 | 0.107 | ||||
| earning | 0.08 | −15.00 | −0.28 | 0.777 | earning | 0.47 | 2.77 | 0.68 | 0.496 | ||||
| 60s | 0.851 | 106.69 | 0.000 | ** | 60s | 0.778 | 81.35 | 0.000 | ** | ||||
| termination | 0.29 | −6.38 | −0.54 | 0.588 | termination | 0.01 | −0.36 | −0.08 | 0.938 | ||||
| dismissal | 10.23 | 9.40 | 3.20 | 0.002 | ** | dismissal | 12.34 | 3.99 | 3.51 | 0.001 | ** | ||
| voluntarily | 2.81 | 6.99 | 1.68 | 0.095 | voluntarily | 0.19 | 0.69 | 0.43 | 0.665 | ||||
| graduated | 0.27 | −6.08 | −0.52 | 0.607 | graduated | 2.45 | 8.31 | 1.57 | 0.119 | ||||
| earning | 0.28 | −3.61 | −0.53 | 0.597 | earning | 0.09 | −0.88 | −0.30 | 0.768 | ||||
| 70s | 0.678 | 54.87 | 0.000 | ** | 70s | 0.628 | 48.14 | 0.000 | ** | ||||
| termination | 1.32 | −11.13 | −1.15 | 0.252 | termination | 0.00 | 0.12 | 0.02 | 0.985 | ||||
| dismissal | 4.74 | 5.44 | 2.18 | 0.031 | * | dismissal | 1.65 | 5.29 | 2.27 | 0.024 | * | ||
| voluntarily | 3.52 | 13.10 | 1.88 | 0.062 | voluntarily | 5.16 | 2.02 | 1.28 | 0.201 | ||||
| graduated | 0.23 | 5.38 | 0.48 | 0.632 | graduated | 1.68 | 8.89 | 1.30 | 0.197 | ||||
| earning | 1.33 | −8.65 | −1.15 | 0.251 | earning | 0.20 | −2.37 | −0.44 | 0.658 | ||||
| 80s | 0.554 | 38.59 | 0.000 | ** | 80s | 0.695 | 52.09 | 0.000 | ** | ||||
| termination | 0.00 | 0.44 | 0.03 | 0.980 | termination | 0.42 | −4.26 | −0.65 | 0.517 | ||||
| dismissal | 1.43 | 4.61 | 1.20 | 0.234 | dismissal | 2.62 | 2.69 | 1.62 | 0.108 | ||||
| voluntarily | 1.44 | 7.97 | 1.20 | 0.232 | voluntarily | 2.74 | 4.30 | 1.66 | 0.100 | ||||
| graduated | 0.01 | 1.88 | 0.12 | 0.907 | graduated | 0.27 | 4.26 | 0.52 | 0.602 | ||||
| earning | 1.08 | −10.60 | −1.04 | 0.300 | earning | 0.50 | 3.63 | 0.71 | 0.481 |
Disclaimer/Publisher’s Note: The statements, opinions and data contained in all publications are solely those of the individual author(s) and contributor(s) and not of MDPI and/or the editor(s). MDPI and/or the editor(s) disclaim responsibility for any injury to people or property resulting from any ideas, methods, instructions or products referred to in the content. |
© 2023 by the authors. Licensee MDPI, Basel, Switzerland. This article is an open access article distributed under the terms and conditions of the Creative Commons Attribution (CC BY) license (https://creativecommons.org/licenses/by/4.0/).
Share and Cite
Matsumoto, R.; Motomura, E.; Okada, M. Impacts of Complete Unemployment Rates Disaggregated by Reason and Duration on Suicide Mortality from 2009–2022 in Japan. Healthcare 2023, 11, 2806. https://doi.org/10.3390/healthcare11202806
Matsumoto R, Motomura E, Okada M. Impacts of Complete Unemployment Rates Disaggregated by Reason and Duration on Suicide Mortality from 2009–2022 in Japan. Healthcare. 2023; 11(20):2806. https://doi.org/10.3390/healthcare11202806
Chicago/Turabian StyleMatsumoto, Ryusuke, Eishi Motomura, and Motohiro Okada. 2023. "Impacts of Complete Unemployment Rates Disaggregated by Reason and Duration on Suicide Mortality from 2009–2022 in Japan" Healthcare 11, no. 20: 2806. https://doi.org/10.3390/healthcare11202806
APA StyleMatsumoto, R., Motomura, E., & Okada, M. (2023). Impacts of Complete Unemployment Rates Disaggregated by Reason and Duration on Suicide Mortality from 2009–2022 in Japan. Healthcare, 11(20), 2806. https://doi.org/10.3390/healthcare11202806

