Effect of Combined Exercise Program on Lower Extremity Alignment and Knee Pain in Patients with Genu Varum
Abstract
1. Introduction
2. Materials and Methods
2.1. Participants and Study Design
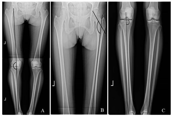
2.2. Radiographic Evaluation
2.3. SF-MPQ
2.4. Combined Exercise Program
2.5. Data Analysis
3. Results
4. Discussion
5. Limitation
6. Conclusions
Author Contributions
Funding
Institutional Review Board Statement
Informed Consent Statement
Data Availability Statement
Conflicts of Interest
References
- Salaffi, F.; Carotti, M.; Stancati, A.; Grassi, W. Health-related quality of life in older adults with symptomatic hip and knee osteoarthritis: A comparison with matched healthy controls. Aging Clin. Exp. Res. 2005, 17, 255–263. [Google Scholar] [CrossRef] [PubMed]
- Kendall, F.P.; McCreary, E.K.; Provance, P.G.; Rodgers, M.M.; Romani, W. Muscles: Testing and Function, with Posture and Pain, 4th ed.; Williams & Wilkins: Philadelphia, PA, USA, 2005; pp. 94–98. [Google Scholar]
- Howell, S.M.; Hull, M.L. Kinematic alignment in total knee arthroplasty. In Insall & Scott Surgery of the Knee, 5th ed.; Scott, W.N., Insall, J.N., Eds.; Elsevier/Churchill Livingstone: Philadelphia, PA, USA, 2012; pp. 1255–1268. [Google Scholar]
- Howell, S.M.; Howell, S.J.; Kuznik, K.T.; Cohen, J.; Hull, M.L. Does a kinematically aligned total knee arthroplasty restore func- tion without failure regardless of alignment category? Clin. Orthop. Relat. Res. 2013, 471, 1000–1007. [Google Scholar] [CrossRef] [PubMed]
- Lee, J.W.; Park, H.S. Effects of physical characteristics and residence style on alignment of lower extremity. J. Exerc. Rehabil. 2016, 12, 109–112. [Google Scholar] [PubMed]
- Frotscher, W.; Kahle, W.; Platzer, H.; Leonhar, D.T. Color Atlas of Human Anatomy: Locomotor System; Thieme: New York, NY, USA, 2008; Volume 1. [Google Scholar]
- Hamilton, N. Kinesiology: Scientific Basis of Human Motion Scientific Basis of Human Motion; McGraw-Hill: New York, NY, USA, 2008. [Google Scholar]
- Sajid, M.S.; Tai, N.R.M.; Goli, G.; Morris, R.W.; Baker, D.M.; Hamilton, G. Knee versus thigh length graduated compression stockings for prevention of deep venous thrombosis: A systematic review. Eur. J. Vasc. Endovasc. Surg. 2006, 32, 730–736. [Google Scholar] [CrossRef] [PubMed]
- Iorio, R.; Healy, W.L. Unicompartmental arthritis of the knee. J. Bone Jt. Surg. Am. 2003, 85-A, 1351–1364. [Google Scholar] [CrossRef]
- Guccione, A.A.; Felson, D.T.; Anderson, J.J.; Anthony, J.M.; Zhang, Y.; Wilson, P.W.F.; Kelly-Hayes, M.; Wolf, P.A.; Kreger, B.E.; Kannel, W.B. The effects of specific medical conditions on the functional limitations of elders in the Framingham study. Am. J. Public Health 1994, 84, 351–358. [Google Scholar] [CrossRef]
- Coggon, D.; Croft, P.; Kellingray, S.; Barrett, D.; McLaren, M.; Cooper, C. Occupational physical activities and osteoarthritis of the knee. Arthritis Rheum. 2000, 43, 1443–1449. [Google Scholar] [CrossRef]
- Zhao, D.; Banks, S.A.; Mitchell, K.H.; D’Lima, D.D.; Colwell, C.W.; Fregly, B.J. Correlation between the knee adduction torque and medial contact force for a variety of gait patterns. J. Orthop. Res. 2007, 25, 789–797. [Google Scholar] [CrossRef]
- Bailunas, A.; Hurwitz, D.; Ryals, A.; Karrar, A.; Case, J.; Block, J.; Andriacchi, T. Increased knee joint loads during walking are present in subjects with knee osteoarthritis. Osteoarthr. Cartil. 2002, 10, 573–579. [Google Scholar] [CrossRef]
- Bennel, K.L.; Kyriakides, M.; Metcalf, B.; Egerton, T.; Wrigley, T.V.; Hodges, P.W.; Hunt, M.A.; Roos, E.M.; Forbes, A.; Ageberg, E.; et al. Neuromuscular versus quadriceps strengthening exercise in patients with medial knee osteoarthritis and varus malalignment: A randomized controlled trial. Arthritis Rheum. 2014, 66, 950–959. [Google Scholar] [CrossRef]
- Bonanni, R.; Cariati, I.; Tancredi, V.; Lundusi, R.; Gasbarra, E.; Tarantino, U. Chronic pain in musculoskeletal diseases: Do you know your enemy? J. Clin. Med. 2022, 11, 2609. [Google Scholar] [CrossRef] [PubMed]
- Lim, B.W.; Hinman, R.S.; Wrigley, T.V.; Sharma, L.; Bennell, K.L. Does knee malalignment mediate the effects of quadriceps strengthening on knee adduction moment, pain, and function in medial knee osteoarthritis? A randomized controlled trial. Arthritis Rheum. 2008, 59, 943–951. [Google Scholar] [CrossRef] [PubMed]
- Foad, S.; Mohammad, B.; Hooman, M.; Lars, L.A.; Phil, P. Comprehensive corrective exercise program improves alignment, muscle activation and movement pattern of men with upper crossed syndrome: Randomized controlled trial. Sci. Rep. 2020, 10, 20688. [Google Scholar]
- Kohn, M.D.; Sassoon, B.A.; Adam, A.; Fernando, N.D. Classifications in Brief: Kellgren-Lawrence Classification of Osteoarthritis. Clin. Orthop. Relat. Res. 2016, 474, 1886–1893. [Google Scholar] [CrossRef] [PubMed]
- Kang, S.H.; Kim, T.Y.; Lee, Y.J. Possible effects of applying rehabilitation program upon bowlegged undergraduates COG (Center of Gravity) oscillation and its correction. J. Sport Leis. Stud. 2009, 35, 1061–1072. [Google Scholar]
- Tang, W.M.; Zhu, Y.H.; Chiu, K.Y. Axial alignment of the lower extremity in Chinese adults. J. Bone Joint Surg. Am. 2000, 82, 1603–1608. [Google Scholar] [CrossRef]
- Bellemans, J.; Colyn, W.; Vandenneucker, H.; Victor, J. The Chitranjan Ranawat award: Is neutral mechanical alignment normal for all patients? The concept of constitutional varus. Clin. Orthop. Relat. Res. 2012, 470, 45–53. [Google Scholar] [CrossRef]
- Shetty, G.M.; Mullaji, A.; Bhayde, S.; Nha, K.W.; Oh, H.K. Factors contributing to inherent varus alignment of lower limb in normal Asian adults: Role of tibial plateau inclination. Knee 2014, 21, 544–548. [Google Scholar] [CrossRef]
- Melzack, R. The short-form Mcgill pain questionnaire. Pain 1987, 30, 191–197. [Google Scholar] [CrossRef]
- Gearhart, R.F.; Goss, F.L.; Lagally, K.M.; Jakicic, J.M.; Gallagher, J.; Robertson, R.J. Standardized scaling procedures for rating perceived exertion during resistance exercise. J. Strength Cond. Res. 2001, 15, 320–325. [Google Scholar]
- Kwon, S.Y.; Jung, J.H.; Yang, J.H. Effects of elastic band exercise for 8 weeks on interval of knee joint poot pressure and pain for adult women with genu varum according to surface. Korean J. Sport Sci. 2013, 22, 1109–1119. [Google Scholar]
- Yu, B.K.; Kim, E.H. The effects of the correction exercise program combined with stretching and elastic band exercise on femoral intercondylar distance, Q-angle, plantar pressure in undergraduate with genu varum. J. KAIS 2015, 16, 2064–2072. [Google Scholar] [CrossRef]
- Park, S.H.; Lee, J.W.; Kim, J.H.; Tak, K.S.; Lee, B.H.; Suh, I.S. Effectiveness of hip external rotator strengthening exercise in Korean postural bowleg women. Aesthetic Plast. Surg. 2017, 41, 887–892. [Google Scholar] [CrossRef] [PubMed]
- Cho, J.H.; Choi, J.Y.; Lee, S.S. Accuracy of tibial component alignment by extramedullary system using simple radiographic references in total knee. Medicina 2022, 58, 1212. [Google Scholar] [CrossRef] [PubMed]
- Chaturong, P.; Rapeepat, N.; Keerati, C. Medial proximal tibial angle after medial opening wedge HTO: A retrospective diagnostic test study. Indian J. Orthoop. 2012, 46, 525–530. [Google Scholar]
- Bennell, K.L.; Egerton, T.; Wrigley, T.V. Comparison of neuromuscular and quadriceps strengthening exercise in the treatment of varus malaligned knees with medial knee osteoarthritis: A andomized controlled trial protocol. BMC Musculoskelet Disord. 2011, 12, 276. [Google Scholar] [CrossRef] [PubMed]
- Pelland, L.; Brosseau, L.; Wells, G.; MacLeay, L.; Lambert, J.; Lamothe, C. Efficacy of strengthening exercises for osteoarthritis (part I): A meta-analysis. Phys. Ther. Rev. 2004, 9, 77–108. [Google Scholar] [CrossRef]
- Skou, S.T.; Wrigley, T.V.; Metcalf, B.R.; Hinman, R.S.; Bennell, K.M. Association of Knee Confidence With Pain, Knee Instability, Muscle Strength, and Dynamic Varus–Valgus Joint Motion in Knee Osteoarthritis. Arthritis Care Res. 2014, 66, 695–701. [Google Scholar] [CrossRef]
- Fernandes, L.; Hagen, K.B.; Bijlsma, J.W.; Andreassen, O.; Christensen, P.; Conaghan, P.G. EULAR recommendationsfor the non-pharmacological core management of hip and knee osteoarthritis. Ann. Rheum. Dis. 2013, 72, 1125–1135. [Google Scholar] [CrossRef]



| Variables | Exercise Group (=24) | Control Group (=23) | p-Value |
|---|---|---|---|
| Age (years) | 53.15 ± 2.59 | 53.04 ± 2.82 | 0.68 |
| Height (cm) | 161.92 ± 3.55 | 163.21 ± 4.26 | 0.15 |
| Weight (kg) | 53.53 ± 5.09 | 56.57 ± 7.24 | 0.29 |
| BMI (kg/m2) | 20.25 ± 1.92 | 21.29 ± 2.21 | 0.96 |
| SF-MPQ | 18.75 ± 1.64 | 18.13 ± 1.98 | 0.59 |
| Division | Workout Types | Intensity | Time | Set |
|---|---|---|---|---|
| Warm-up |
| RPE 11–13 | 5 min | |
| 60 min combined exercise for 12 weeks: 3 days/week |
| RPE 11–13 | 10 min | Each exercise 3 set/1 set 10 R (10 s stop) |
| RPE 14–16 | 15 min | Each exercise 3 set/1 set 15–20 R | |
| 15 min | Each exercise 3 set/1 set 20–30 R | ||
| 10 min | 1 set/100 R | ||
| Cool-down |
| RPE 11–13 | 5 min |
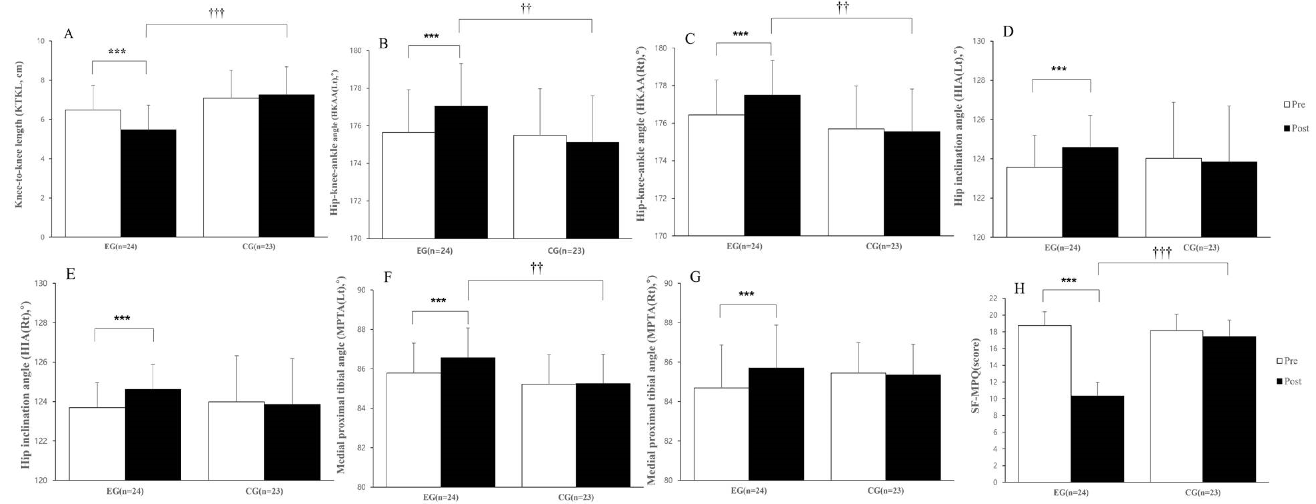
| Variables | Groups | Pre-Intervention | Post-Intervention | F-Value | p-Value | η2 | |
|---|---|---|---|---|---|---|---|
| KTKL (cm) | EG | 6.48 ± 1.26 | 5.47 ± 1.21 | G T GxT | 9.872 17.192 34.554 | 0.003 ** 0.000 *** 0.000 *** | 0.180 0.276 0.434 |
| CG | 7.08 ± 1.43 | 7.25 ± 1.44 | |||||
| HKAA(Lt) (degree) | EG | 175.64 ± 2.27 | 177.04 ± 2.11 | G T GxT | 2.462 11.635 34.542 | 0.124 0.001 ** 0.000 *** | 0.052 0.205 0.434 |
| CG | 175.48 ± 2.49 | 175.11 ± 2.41 | |||||
| HKAA(Rt) (degree) | EG | 176.44 ± 1.86 | 177.49 ± 2.01 | G T GxT | 4.831 15.775 29.524 | 0.033 * 0.000 *** 0.000 *** | 0.097 0.260 0.396 |
| CG | 175.70 ± 2.28 | 175.54 ± 2.30 | |||||
| HIA(Lt) (degree) | EG | 123.56 ± 1.64 | 124.58 ± 1.37 | G T GxT | 0.042 17.908 37.089 | 0.838 0.000 *** 0.000 *** | 0.001 0.285 0.452 |
| CG | 124.02 ± 2.86 | 123.84 ± 2.82 | |||||
| HIA(Rt) (degree) | EG | 123.69 ± 1.27 | 124.62 ± 1.10 | G T GxT | 0.191 12.368 23.058 | 0.664 0.001 ** 0.000 *** | 0.004 0.216 0.339 |
| CG | 123.99 ± 2.33 | 123.85 ± 2.51 | |||||
| MPTA(Lt) (degree) | EG | 85.79 ± 1.51 | 86.56 ± 1.18 | G T GxT | 21.039 5.993 27.076 | 0.000 *** 0.018 * 0.000 *** | 0.319 0.118 0.376 |
| CG | 85.22 ± 1.49 | 85.25 ± 1.70 | |||||
| MPTA(Rt) (degree) | EG | 84.69 ± 2.18 | 85.70 ± 1.98 | G T GxT | 0.001 5.224 52.953 | 0.980 0.027 * 0.000 *** | 0.000 0.104 0.541 |
| CG | 85.44 ± 1.55 | 85.35 ± 1.42 | |||||
| SF-MPQ (score) | EG | 18.75 ± 1.64 | 10.33 ± 2.47 | G T GxT | 29.160 95.671 68.686 | 0.000 *** 0.000 *** 0.000 *** | 0.393 0.680 0.604 |
| CG | 18.13 ± 1.98 | 17.43 ± 3.81 |
Disclaimer/Publisher’s Note: The statements, opinions and data contained in all publications are solely those of the individual author(s) and contributor(s) and not of MDPI and/or the editor(s). MDPI and/or the editor(s) disclaim responsibility for any injury to people or property resulting from any ideas, methods, instructions or products referred to in the content. |
© 2022 by the authors. Licensee MDPI, Basel, Switzerland. This article is an open access article distributed under the terms and conditions of the Creative Commons Attribution (CC BY) license (https://creativecommons.org/licenses/by/4.0/).
Share and Cite
Moon, H.-H.; Seo, Y.-G.; Kim, W.-M.; Yu, J.-H.; Lee, H.-L.; Park, Y.-J. Effect of Combined Exercise Program on Lower Extremity Alignment and Knee Pain in Patients with Genu Varum. Healthcare 2023, 11, 122. https://doi.org/10.3390/healthcare11010122
Moon H-H, Seo Y-G, Kim W-M, Yu J-H, Lee H-L, Park Y-J. Effect of Combined Exercise Program on Lower Extremity Alignment and Knee Pain in Patients with Genu Varum. Healthcare. 2023; 11(1):122. https://doi.org/10.3390/healthcare11010122
Chicago/Turabian StyleMoon, Hyung-Hoon, Yong-Gon Seo, Won-Moon Kim, Jae-Ho Yu, Hae-Lim Lee, and Yun-Jin Park. 2023. "Effect of Combined Exercise Program on Lower Extremity Alignment and Knee Pain in Patients with Genu Varum" Healthcare 11, no. 1: 122. https://doi.org/10.3390/healthcare11010122
APA StyleMoon, H.-H., Seo, Y.-G., Kim, W.-M., Yu, J.-H., Lee, H.-L., & Park, Y.-J. (2023). Effect of Combined Exercise Program on Lower Extremity Alignment and Knee Pain in Patients with Genu Varum. Healthcare, 11(1), 122. https://doi.org/10.3390/healthcare11010122

