Association between Vitamin D and Cognitive Deficiency in Alcohol Dependence
Abstract
1. Introduction
2. Materials and Methods
2.1. Subjects
2.2. Methods
2.3. Statistical Analysis
3. Results
3.1. Sample Characteristics
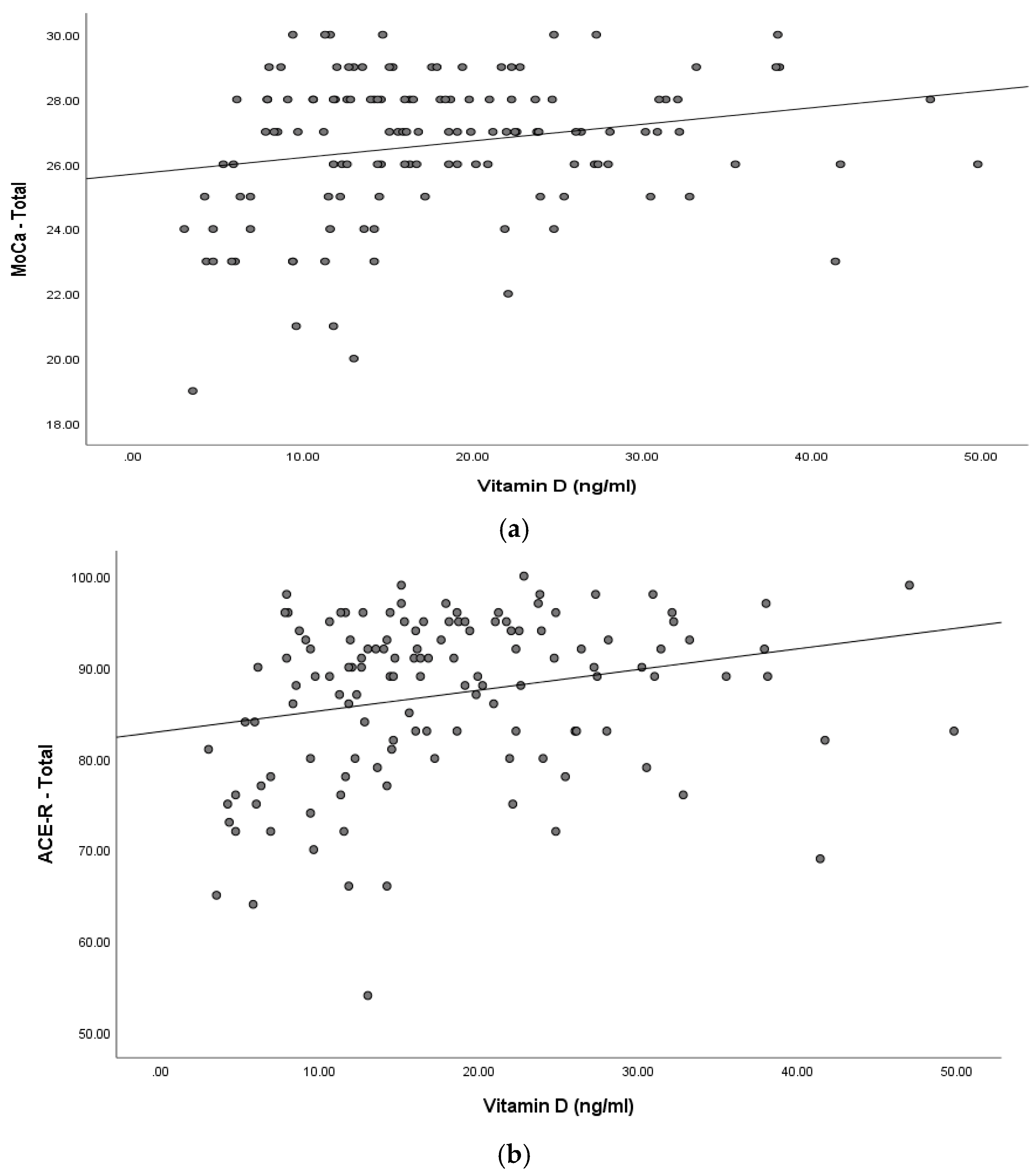
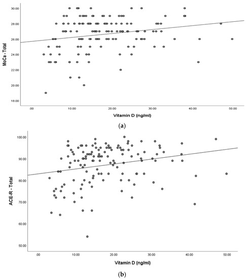
3.2. Association between Vitamin D Status and Cognition
3.3. Vitamin D and Predictor Variables
4. Discussion
5. Conclusions
Author Contributions
Funding
Institutional Review Board Statement
Informed Consent Statement
Data Availability Statement
Conflicts of Interest
References
- Ogunsakin, O.; Hottor, T.; Mehta, A.; Lichtveld, M.; McCaskill, M. Chronic Ethanol Exposure Effects on Vitamin D Levels among Subjects with Alcohol Use Disorder. Environ. Health Insights 2016, 10, 191–199. [Google Scholar] [CrossRef] [PubMed]
- Orio, L.; Anton, M.; Rodríguez-Rojo, I.C.; Correas, Á.; García-Bueno, B.; Corral, M.; De Fonseca, F.R.; García-Moreno, L.M.; Maestu, F.; Cadaveira, F. Young alcohol binge drinkers have elevated blood endotoxin, peripheral inflammation and low cortisol levels: Neuropsychological correlations in women. Addict. Biol. 2017, 23, 1130–1144. [Google Scholar] [CrossRef] [PubMed]
- Venkataraman, A.; Kalk, N.; Sewell, G.; Ritchie, C.W.; Lingford-Hughes, A. Erratum: Alcohol and Alzheimer’s Disease—Does Alcohol Dependence Contribute to Beta-Amyloid Deposition, Neuroinflammation and Neurodegeneration in Alzheimer’s Disease? Alcohol Alcohol. 2016, 52, 158. [Google Scholar] [CrossRef] [PubMed]
- Bae, H.; Kim, D.-J.; Han, C.; Ra, Y. Decreased serum level of NGF in alcohol-dependent patients with declined executive function. Neuropsychiatr. Dis. Treat. 2014, 10, 2153–2157. [Google Scholar] [CrossRef]
- Donoghue, K.; Rose, A.; Coulton, S.; Milward, J.; Reed, K.; Drummond, C.; Little, H. Double-blind, 12 month follow-up, placebo-controlled trial of mifepristone on cognition in alcoholics: The MIFCOG trial protocol. BMC Psychiatry 2016, 16, 40. [Google Scholar] [CrossRef]
- Lauretani, F.; Maggio, M.; Valenti, G.; Dall’Aglio, E.; Ceda, G.P. Vitamin D in older population: New roles for this ‘classic actor’? Aging Male 2010, 13, 215–232. [Google Scholar] [CrossRef]
- Kesby, J.P.; Eyles, D.W.; Burne, T.H.J.; McGrath, J.J. The effects of vitamin D on brain development and adult brain function. Mol. Cell. Endocrinol. 2011, 347, 121–127. [Google Scholar] [CrossRef]
- Panwar, B.; Judd, S.E.; Howard, V.J.; Jenny, N.S.; Wadley, V.G.; Gutiérrez, O.M. Vitamin D, Fibroblast Growth Factor 23 and Incident Cognitive Impairment: Findings from the REGARDS Study. PLoS ONE 2016, 11, e0165671. [Google Scholar] [CrossRef]
- Kjærgaard, M.; Joakimsen, R.; Jorde, R. Low serum 25-hydroxyvitamin D levels are associated with depression in an adult Norwegian population. Psychiatry Res. 2011, 190, 221–225. [Google Scholar] [CrossRef]
- Lerner, P.P.; Sharony, L.; Miodownik, C. Association between mental disorders, cognitive disturbances and vitamin D serum level: Current state. Clin. Nutr. ESPEN 2018, 23, 89–102. [Google Scholar] [CrossRef]
- Anglin, R.E.; Samaan, Z.; Walter, S.D.; McDonald, S.D. Vitamin D deficiency and depression in adults: Systematic review and meta-analysis. Br. J. Psychiatry 2013, 202, 100–107. [Google Scholar] [CrossRef] [PubMed]
- Lee, K. Sex-specific relationships between alcohol consumption and vitamin D levels: The Korea National Health and Nutrition Examination Survey 2009. Nutr. Res. Pract. 2012, 6, 86–90. [Google Scholar] [CrossRef] [PubMed]
- Gorter, E.A.; Krijnen, P.; Schipper, I.B. Vitamin D deficiency in adult fracture patients: Prevalence and risk factors. Eur. J. Trauma Emerg. Surg. 2016, 42, 369–378. [Google Scholar] [CrossRef] [PubMed][Green Version]
- Annweiler, C.; Maby, E.; Meyerber, M.; Beauchet, O. Hypovitaminosis D and Executive Dysfunction in Older Adults with Memory Complaint: A Memory Clinic-Based Study. Dement. Geriatr. Cogn. Disord. 2014, 37, 286–293. [Google Scholar] [CrossRef] [PubMed]
- Nimitphong, H.; Holick, M.F. Vitamin D, neurocognitive functioning and immunocompetence. Curr. Opin. Clin. Nutr. Metab. Care 2011, 14, 7–14. [Google Scholar] [CrossRef]
- Etgen, T.; Sander, D.; Bickel, H.; Sander, K.; Förstl, H. Vitamin D Deficiency, Cognitive Impairment and Dementia: A Systematic Review and Meta-Analysis. Dement. Geriatr. Cogn. Disord. 2012, 33, 297–305. [Google Scholar] [CrossRef]
- Milovanovic, D.R.; Janjic, V.; Zornic, N.; Dejanovic, S.D.; Janković, S.M. Risperidone-Associated Hypocalcemia. Am. J. Psychiatry 2010, 167, 1533–1534. [Google Scholar] [CrossRef]
- Nasreddine, Z.S.; Phillips, N.A.; Bédirian, V.; Charbonneau, S.; Whitehead, V.; Collin, I.; Cummings, J.L.; Chertkow, H. The Montreal Cognitive Assessment, MoCA: A brief screening tool for mild cognitive impairment. J. Am. Geriatr. Soc. 2005, 53, 695–699, Erratum in J. Am. Geriatr. Soc. 2019, 67, 1991. [Google Scholar] [CrossRef]
- Mioshi, E.; Dawson, K.; Mitchell, J.; Arnold, R.; Hodges, J.R. The Addenbrooke’s Cognitive Examination Revised (ACE-R): A brief cognitive test battery for dementia screening. Int. J. Geriatr. Psychiatry 2006, 21, 1078–1085. [Google Scholar] [CrossRef]
- Lips, P.; Cashman, K.D.; Lamberg-Allardt, C.; Bischoff-Ferrari, H.A.; Obermayer-Pietsch, B.; Bianchi, M.L.; Stepan, J.; El-Hajj Fuleihan, G.; Bouillon, R. Current vitamin D status in European and Middle East countries and strategies to prevent vitamin D deficiency: A position statement of the European Calcified Tissue Society. Eur. J. Endocrinol. 2019, 180, P23–P54. [Google Scholar] [CrossRef]
- Tardelli, V.S.; Lago, M.P.P.D.; da Silveira, D.X.; Fidalgo, T.M. Vitamin D and alcohol: A review of the current literature. Psychiatry Res. 2017, 248, 83–86. [Google Scholar] [CrossRef] [PubMed]
- Pelletier, S.; Alarcon, R.; Ewert, V.; Forest, M.; Nalpas, B.; Perney, P. Comparison of the MoCA and BEARNI tests for detection of cognitive impairment in in-patients with alcohol use disorders. Drug Alcohol Depend. 2018, 187, 249–253. [Google Scholar] [CrossRef]
- Ritz, L.; Coulbault, L.; Lannuzel, C.; Boudehent, C.; Segobin, S.; Eustache, F.; Vabret, F.; Pitel, A.L.; Beaunieux, H. Clinical and Biological Risk Factors for Neuropsychological Impairment in Alcohol Use Disorder. PLoS ONE 2016, 11, e0159616. [Google Scholar] [CrossRef]
- Schuster, R.; Koopmann, A.; Grosshans, M.; Reinhard, I.; Spanagel, R.; Kiefer, F. Association of plasma calcium concentrations with alcohol craving: New data on potential pathways. Eur. Neuropsychopharmacol. 2017, 27, 42–47. [Google Scholar] [CrossRef]
- Cashman, K.D.; Dowling, K.G.; Škrabáková, Z.; Gonzalez-Gross, M.; Valtueña, J.; De Henauw, S.; Moreno, L.; Damsgaard, C.T.; Michaelsen, K.F.; Mølgaard, C.; et al. Vitamin D deficiency in Europe: Pandemic? Am. J. Clin. Nutr. 2016, 103, 1033–1044. [Google Scholar] [CrossRef] [PubMed]
- Neupane, S.P.; Lien, L.; Hilberg, T.; Bramness, J.G. Vitamin D deficiency in alcohol-use disorders and its relationship to comorbid major depression: A cross-sectional study of inpatients in Nepal. Drug Alcohol Depend. 2013, 133, 480–485. [Google Scholar] [CrossRef]
- Naude, C.E.; Carey, P.D.; Laubscher, R.; Fein, G.; Senekal, M. Vitamin D and Calcium Status in South African Adolescents with Alcohol Use Disorders. Nutrients 2012, 4, 1076–1094. [Google Scholar] [CrossRef]
- Cuomo, A.; Maina, G.; Bolognesi, S.; Rosso, G.; Crescenzi, B.B.; Zanobini, F.; Goracci, A.; Facchi, E.; Favaretto, E.; Baldini, I.; et al. Prevalence and Correlates of Vitamin D Deficiency in a Sample of 290 Inpatients with Mental Illness. Front. Psychiatry 2019, 10, 167. [Google Scholar] [CrossRef]
- Hu, C.-Q.; Bo, Q.-L.; Chu, L.-L.; Hu, Y.-D.; Fu, L.; Wang, G.-X.; Lu, Y.; Liu, X.-J.; Wang, H.; Xu, D.-X. Vitamin D Deficiency Aggravates Hepatic Oxidative Stress and Inflammation during Chronic Alcohol-Induced Liver Injury in Mice. Oxidative Med. Cell. Longev. 2020, 2020, 5715893. [Google Scholar] [CrossRef]
- Skaaby, T.; Husemoen, L.L.N.; Thuesen, B.H.; Pisinger, C.; Hannemann, A.; Jørgensen, T.; Linneberg, A. Longitudinal associations between lifestyle and vitamin D: A general population study with repeated vitamin D measurements. Endocrine 2016, 51, 342–350. [Google Scholar] [CrossRef]
- Petrenya, N.; Lamberg-Allardt, C.; Melhus, M.; Broderstad, A.R.; Brustad, M. Vitamin D status in a multi-ethnic population of northern Norway: The SAMINOR 2 Clinical Survey. Public Health Nutr. 2019, 23, 1186–1200. [Google Scholar] [CrossRef] [PubMed]
- Turner, R.T.; Aloia, R.C.; Segel, L.D.; Hannon, K.S.; Bell, N.H. Chronic Alcohol Treatment Results in Disturbed Vitamin D Metabolism and Skeletal Abnormalities in Rats. Alcohol. Clin. Exp. Res. 1988, 12, 159–162. [Google Scholar] [CrossRef] [PubMed]
- Gao, Q.; Luan, D.; Wang, X.; Xin, S.; Liu, Y.; Li, J. Effect of sun exposure on cognitive function among elderly individuals in Northeast China. Clin. Interv. Aging 2018, 13, 2075–2082. [Google Scholar] [CrossRef] [PubMed]
- Groves, N.J.; McGrath, J.J.; Burne, T.H. Vitamin D as a Neurosteroid Affecting the Developing and Adult Brain. Annu. Rev. Nutr. 2014, 34, 117–141. [Google Scholar] [CrossRef]
- Garcion, E.; Wion-Barbot, N.; Montero-Menei, C.N.; Berger, F.; Wion, D. New clues about vitamin D functions in the nervous system. Trends Endocrinol. Metab. 2002, 13, 100–105. [Google Scholar] [CrossRef]
- Anastasiou, C.A.; Yannakoulia, M.; Scarmeas, N. Vitamin D and Cognition: An Update of the Current Evidence. J. Alzheimer’s Dis. 2014, 42, S71–S80. [Google Scholar] [CrossRef]
- Miller, J.W.; Harvey, D.J.; Beckett, L.A.; Green, R.; Farias, S.T.; Reed, B.R.; Olichney, J.M.; Mungas, D.M.; DeCarli, C. Vitamin D Status and Rates of Cognitive Decline in a Multiethnic Cohort of Older Adults. JAMA Neurol. 2015, 72, 1295–1303. [Google Scholar] [CrossRef]
- Hayes, V.; Demirkol, A.; Ridley, N.; Withall, A.; Draper, B. Alcohol-related cognitive impairment: Current trends and future perspectives. Neurodegener. Dis. Manag. 2016, 6, 509–523. [Google Scholar] [CrossRef]
- Ridley, N.; Batchelor, J.; Draper, B.; Demirkol, A.; Lintzeris, N.; Withall, A. Cognitive screening in substance users: Diagnostic accuracies of the Mini-Mental State Examination, Addenbrooke’s Cognitive Examination–Revised, and Montreal Cognitive Assessment. J. Clin. Exp. Neuropsychol. 2018, 40, 107–122. [Google Scholar] [CrossRef]
- Copersino, M.L.; Fals-Stewart, W.; Fitzmaurice, G.; Schretlen, D.J.; Sokoloff, J.; Weiss, R.D. Rapid cognitive screening of patients with substance use disorders. Exp. Clin. Psychopharmacol. 2009, 17, 337–344. [Google Scholar] [CrossRef]
- Gilchrist, G.; Morrison, D.S. Prevalence of alcohol related brain damage among homeless hostel dwellers in Glasgow. Eur. J. Public Health 2005, 15, 587–588. [Google Scholar] [CrossRef] [PubMed]
- Excellence NIFC. Alcohol-Use Disorders: Diagnosis, Assessment and Management of Harmful Drinking and Alcohol Dependence. NICE. Available online: www.nice.org.uk/guidance/qs11 (accessed on 22 April 2020).
- Pettersen, J.A. Vitamin D and executive functioning: Are higher levels better? J. Clin. Exp. Neuropsychol. 2016, 38, 467–477. [Google Scholar] [CrossRef] [PubMed]
- Belzeaux, R.; Annweiler, C.; Bertrand, J.A.; Beauchet, O.; Pichet, S.; Jollant, F.; Turecki, G.; Richard-Devantoy, S. Association between hypovitaminosis D and cognitive inhibition impairment during major depression episode. J. Affect. Disord. 2018, 225, 302–305. [Google Scholar] [CrossRef] [PubMed]
- Brouwer-Brolsma, E.M.; De Groot, L.C. Vitamin D and cognition in older adults: An update of recent findings. Curr. Opin. Clin. Nutr. Metab. Care 2015, 18, 11–16. [Google Scholar] [CrossRef]
- Wilson, V.K.; Houston, D.K.; Kilpatrick, L.; Lovato, J.; Yaffe, K.; Cauley, J.A.; Harris, T.B.; Simonsick, E.M.; Ayonayon, H.N.; Kritchevsky, S.B.; et al. Relationship between 25-hydroxyvitamin D and cognitive function in older adults: The Health, Aging and Body Composition Study. J. Am. Geriatr. Soc. 2014, 62, 636–641. [Google Scholar] [CrossRef]
- Perna, L.; Mons, U.; Kliegel, M.; Brenner, H. Serum 25-Hydroxyvitamin D and Cognitive Decline: A Longitudinal Study among Non-Demented Older Adults. Dement. Geriatr. Cogn. Disord. 2014, 38, 254–263. [Google Scholar] [CrossRef]
- Grung, B.; Sandvik, A.M.; Hjelle, K.; Dahl, L.; Frøyland, L.; Nygård, I.; Hansen, A.L. Linking vitamin D status, executive functioning and self-perceived mental health in adolescents through multivariate analysis: A randomized double-blind placebo control trial. Scand. J. Psychol. 2017, 58, 123–130. [Google Scholar] [CrossRef]
- Schneider, A.L.; Lutsey, P.L.; Alonso, A.; Gottesman, R.F.; Sharrett, A.R.; Carson, K.A.; Gross, M.; Post, W.S.; Knopman, D.S.; Mosley, T.H.; et al. Vitamin D and cognitive function and dementia risk in a biracial cohort: The ARIC Brain MRI Study. Eur. J. Neurol. 2014, 21, 1211-e70. [Google Scholar] [CrossRef]
- McGrath, J.; Scragg, R.; Chant, D.; Eyles, D.; Burne, T.; Obradovic, D. No Association between Serum 25-Hydroxyvitamin D3 Level and Performance on Psychometric Tests in NHANES III. Neuroepidemiology 2007, 29, 49–54. [Google Scholar] [CrossRef]
- Barchetta, I.; Angelico, F.; Del Ben, M.; Baroni, M.G.; Pozzilli, P.; Morini, S.; Cavallo, M.G. Strong association between non alcoholic fatty liver disease (NAFLD) and low 25(OH) vitamin D levels in an adult population with normal serum liver enzymes. BMC Med. 2011, 9, 85. [Google Scholar] [CrossRef]
- Wu, J.; Meng, Q.-H. Current understanding of the metabolism of micronutrients in chronic alcoholic liver disease. World J. Gastroenterol. 2020, 26, 4567–4578. [Google Scholar] [CrossRef] [PubMed]
- He, X.; Xu, C.; Lu, Z.-H.; Fang, X.-Z.; Tan, J.; Song, Y. Low serum 25-hydroxyvitamin D levels are associated with liver injury markers in the US adult population. Public Health Nutr. 2020, 23, 2915–2922. [Google Scholar] [CrossRef] [PubMed]
- Naderpoor, N.; Mousa, A.; De Courten, M.; Scragg, R.; De Courten, B. The relationship between 25-hydroxyvitamin D concentration and liver enzymes in overweight or obese adults: Cross-sectional and interventional outcomes. J. Steroid Biochem. Mol. Biol. 2018, 177, 193–199. [Google Scholar] [CrossRef] [PubMed]
- Deo, S.S.; Vedak, T.K.; Ganwir, V.; Shah, A.B.; Pinto, C.; Lele, V.R.; Subramanyam, A.; Shah, H. Vitamin D as a marker of cognitive decline in elderly Indian population. Ann. Indian Acad. Neurol. 2015, 18, 314–319. [Google Scholar] [CrossRef]
- Jamall, O.A.; Feeney, C.; Zaw-Linn, J.; Malik, A.; Niemi, M.E.; Jiménez, C.T.; Ham, T.E.; Jilka, S.R.; Jenkins, P.O.; Scott, G.; et al. Prevalence and correlates of vitamin D deficiency in adults after traumatic brain injury. Clin. Endocrinol. 2016, 85, 636–644. [Google Scholar] [CrossRef]



| Profile | Number (%) of Respondents | Total | p | ||
|---|---|---|---|---|---|
| Alc+CD | Alc | Control | (N = 132) | ||
| Gender | p = 0.909 | ||||
| Male | 26 (78.8) | 26 (78.8) | 54 (81.8) | 106 (80.3) | |
| Female | 7 (21.2) | 7 (21.2) | 12 (18.2) | 26 (19.7) | |
| Mean age ± SD | 53.64 ± 3.9 | 50.73 ± 7.7 | 50.47 ± 4.8 | 51.33 ± 5.6 | p = 0.023 |
| Marital status | p = 0.014 | ||||
| Married | 13 (9.8) | 16 (12.1) | 44 (33.3) | 73 (55.3) | |
| Divorced | 5 (3.8) | 10 (7.6) | 4 (3.0) | 19 (14.4) | |
| Single | 13 (9.8) | 6 (4.5) | 16 (12.1) | 35 (26.5) | |
| Widow/widower | 2 (1.5) | 1 (0.8) | 2 (1.5) | 5 (3.8) | |
| Education | p = 0.000 | ||||
| Elementary | 14 (10.6) | 6 (4.5) | 1 (0.8) | 21 (15.9) | |
| Secondary | 17 (12.9) | 24 (18.2) | 59 (44.7) | 100 (75.8) | |
| Higher | 2 (1.5) | 3 (2.3) | 6 (4.5) | 11 (8.3) | |
| Employment | p = 0.000 | ||||
| Unemployed | 12 (36.4) | 20 (60.6) | 5 (7.6) | 37 (28.0) | |
| Employed | 12 (36.4) | 9 (27.3) | 59 (89.4) | 80 (60.6) | |
| Retired | 9 (27.3) | 4 (12.1) | 2 (3.0) | 15 (11.4) | |
| Material status | p = 0.000 | ||||
| Below average | 12 (36.4) | 8 (24.2) | 1 (1.5) | 21 (15.9) | |
| Average | 20 (60.6) | 23 (69.7) | 54 (81.8) | 97 (73.5) | |
| Above average | 1 (3.0) | 2 (6.1) | 11 (16.7) | 14 (10.6) | |
| Place of residence | p = 0.058 | ||||
| Rural | 12 (9.1) | 8 (6.1) | 10 (7.6) | 30 (22.7) | |
| Urban | 21 (15.9) | 25 (18.9) | 56 (42.4) | 102 (77.3) | |
| Laboratory Parameters with Reference Range | Alc + CD | Alc | Control | F | p |
|---|---|---|---|---|---|
| Mean ± SD | Mean ± SD | Mean ± SD | |||
| Blood sedimentation (0–12 mm/h) | 9.2 ± 6.1 | 8.8 ± 9.5 | 7.7 ± 3.6 | 1.999 | 0.642 |
| Red Blood Count (3.86–5.08 × 10¹²/L) | 4.4 ± 0.5 | 4.7 ± 0.5 | 5.3 ± 0.4 | 27.148 | 0.000 |
| White Cell Count (3.40–9.70 × 109/L) | 7.1 ± 1.4 | 7.6 ± 1.6 | 8.2 ± 1.9 | 10.709 | 0.016 |
| Hemoglobin (119–157 g/L) | 142.4 ± 12.2 | 146.3 ± 9.5 | 152.7 ± 9.1 | 9.958 | 0.000 |
| Hematocrit (0.36–0.47 L/L) | 0.4 ± 0.04 | 0.4 ± 0.03 | 0.4 ± 0.04 | 8.797 | 0.000 |
| Platelet Count (158–424 × 109/L) | 213.6 ± 58.7 | 238.3 ± 67.09 | 255.7 ± 47.16 | 6.852 | 0.001 |
| Urea (2.5–6.7 mmol/L) | 4.4 ± 1.6 | 4.5 ± 1.6 | 5.2 ± 1.4 | 4.897 | 0.100 |
| Creatinine (44–88 μmol/L) | 69.8 ± 10.8 | 71.9 ± 11.9 | 88.0 ± 12.2 | 38.912 | 0.000 |
| Glucose (3.9–5.9 mmol/L) | 5.1 ± 0.6 | 4.9 ± 0.7 | 4.7 ± 0.6 | 6.604 | 0.148 |
| Aspartate aminotransferase (0–35 U/L) | 31.2 ± 11.6 | 29.0 ± 9.3 | 17.9 ± 5.3 | 46.715 | 0.000 |
| Alanine aminotransferase (0–45 U/L) | 34.6 ± 15.3 | 31.9 ± 11.4 | 19.9 ± 9.0 | 32.472 | 0.000 |
| Gamma glutamyltransferase (2–55 U/L) | 52.4 ± 23.6 | 42.4 ± 24.4 | 22.3 ± 9.3 | 39.836 | 0.000 |
| Potassium (3.5–5.1 mmol/L) | 4.6 ± 0.5 | 4.6 ± 0.3 | 4.3 ± 0.4 | 7.608 | 0.042 |
| Calcium (2.02–2.55 mmol/L) | 2.3 ± 0.1 | 2.3 ± 0.1 | 2.3 ± 0.1 | 1.102 | 0.235 |
| Magnesium (0.65–1.05 mmol/L) | 0.8 ± 0.1 | 0.8 ± 0.1 | 0.9 ± 0.1 | 35.600 | 0.000 |
| Sodium (136–146 mmol/L) | 140.5 ± 2.5 | 140.3 ± 2.0 | 140.4 ± 2.6 | 0.343 | 0.953 |
| Chloride (98–107 mmol/L) | 100.9 ± 3.9 | 100.6 ± 2.9 | 99.9 ± 2.7 | 1.815 | 0.426 |
| Phosphorus (0.84–1.45 mmol/L) | 1.09 ± 0.1 | 1.1 ± 0.2 | 1.1 ± 0.2 | 0.073 | 0.951 |
| 25-OH Vitamin D | MoCa—Total | ACE-R—Total | |
|---|---|---|---|
| Alc + CD | ƍ | 0.268 | 0.201 |
| p | 0.131 | 0.263 | |
| N | 33 | 33 | |
| Alc | ƍ | −0.092 | −0.050 |
| p | 0.61 | 0.782 | |
| N | 33 | 33 | |
| Control | ƍ | −0.144 | 0.015 |
| p | 0.247 | 0.903 | |
| N | 66 | 66 | |
Publisher’s Note: MDPI stays neutral with regard to jurisdictional claims in published maps and institutional affiliations. |
© 2022 by the authors. Licensee MDPI, Basel, Switzerland. This article is an open access article distributed under the terms and conditions of the Creative Commons Attribution (CC BY) license (https://creativecommons.org/licenses/by/4.0/).
Share and Cite
Banjac Baljak, V.; Mihajlovic, G.; Zivlak-Radulovic, N.; Nezic, L.; Miskovic, M.; Banjac, V. Association between Vitamin D and Cognitive Deficiency in Alcohol Dependence. Healthcare 2022, 10, 1772. https://doi.org/10.3390/healthcare10091772
Banjac Baljak V, Mihajlovic G, Zivlak-Radulovic N, Nezic L, Miskovic M, Banjac V. Association between Vitamin D and Cognitive Deficiency in Alcohol Dependence. Healthcare. 2022; 10(9):1772. https://doi.org/10.3390/healthcare10091772
Chicago/Turabian StyleBanjac Baljak, Visnja, Goran Mihajlovic, Nera Zivlak-Radulovic, Lana Nezic, Mirjana Miskovic, and Vesna Banjac. 2022. "Association between Vitamin D and Cognitive Deficiency in Alcohol Dependence" Healthcare 10, no. 9: 1772. https://doi.org/10.3390/healthcare10091772
APA StyleBanjac Baljak, V., Mihajlovic, G., Zivlak-Radulovic, N., Nezic, L., Miskovic, M., & Banjac, V. (2022). Association between Vitamin D and Cognitive Deficiency in Alcohol Dependence. Healthcare, 10(9), 1772. https://doi.org/10.3390/healthcare10091772

