Correlation and Change in Physical Activity and Physical Fitness across Four Years of College Students after One Year of COVID-19 Lockdown
Abstract
:1. Introduction
2. Materials and Methods
2.1. Study Design and Sample
2.2. Data Collection Procedures and Tools
2.3. Physical Fitness Measurement
2.4. Physical Activity Measurement
2.5. Statistics and Analysis
3. Results
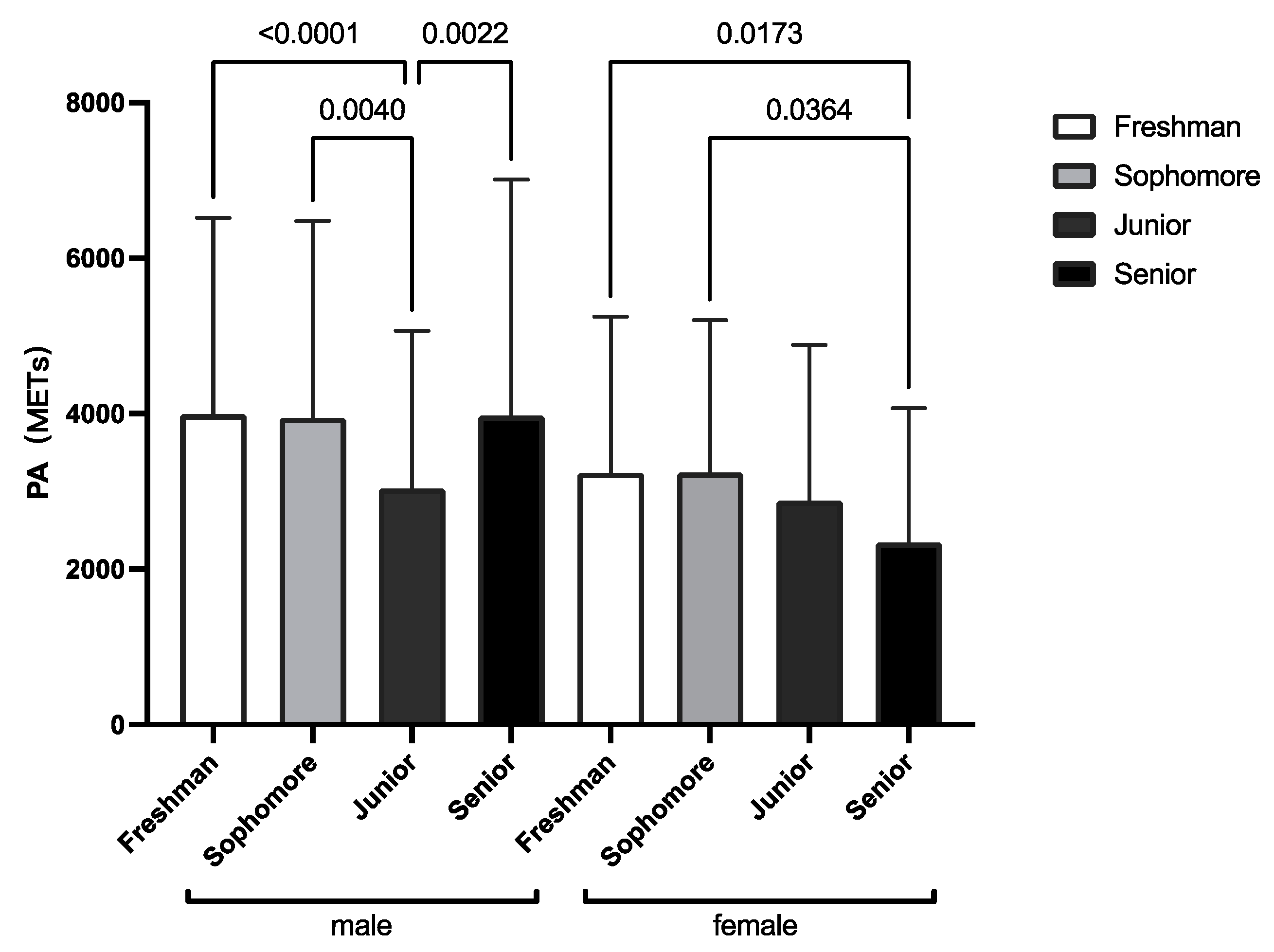
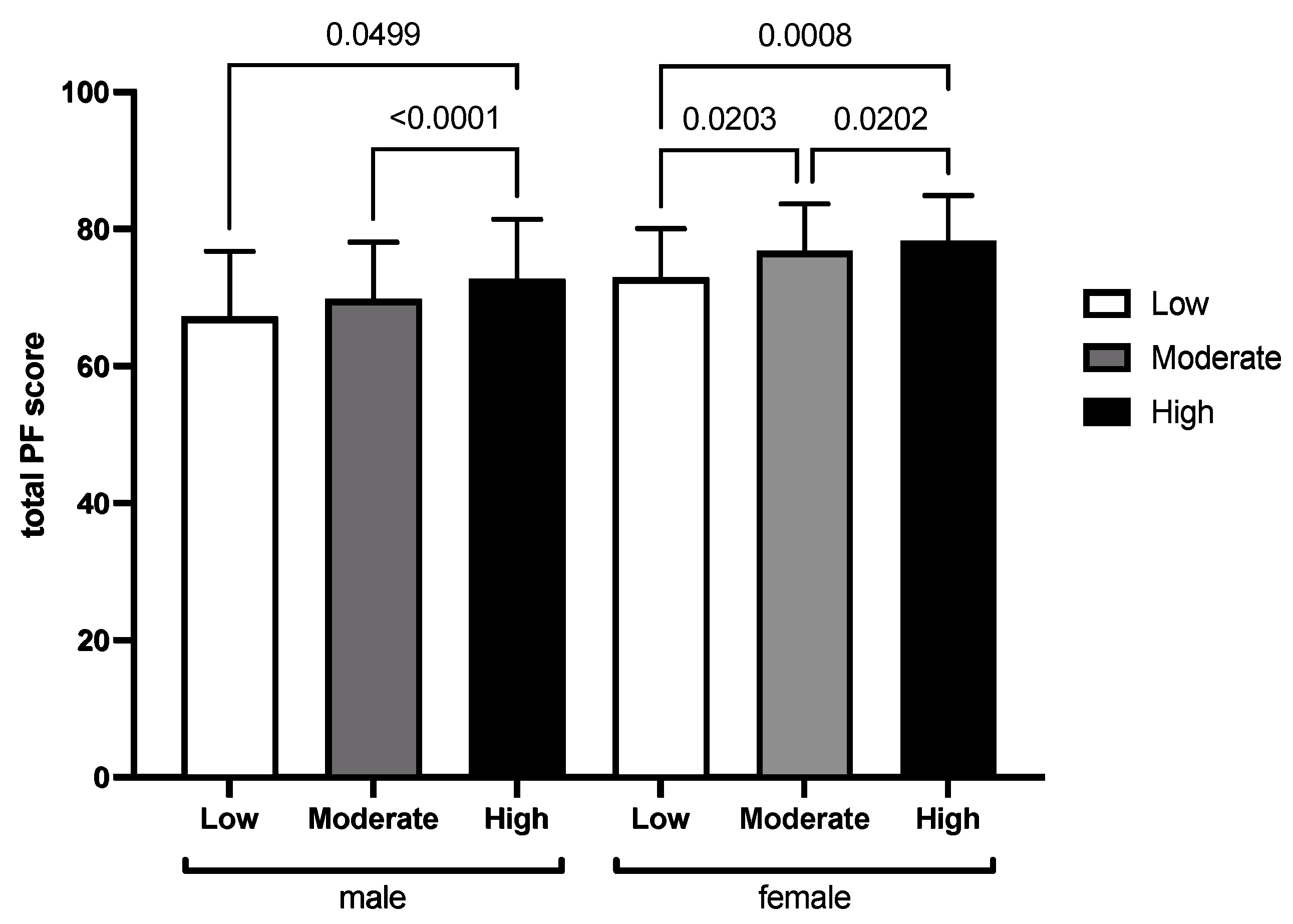
3.1. Physical Activity and Physical Fitness in Four Academic Years
3.2. Relationship between Physical Activity and Physical Fitness and Physical Fitness Components in Four Academic Years
4. Discussion
4.1. Physical Activity Level in the Four Academic Years
4.2. Physical Fitness in the Four Academic Years
4.3. Correlation between Physical Activity and Physical Fitness
4.4. Limitations and Implications
5. Conclusions
Author Contributions
Funding
Institutional Review Board Statement
Informed Consent Statement
Data Availability Statement
Acknowledgments
Conflicts of Interest
References
- Evans, R.A.; McAuley, H.; Harrison, E.M.; Shikotra, A.; Singapuri, A.; Sereno, M.; Elneima, O.; Docherty, A.B.; Lone, N.I.; Leavy, O.C.; et al. Physical, cognitive, and mental health impacts of COVID-19 after hospitalisation (PHOSP-COVID): A UK multicentre, prospective cohort study. Lancet Respir. Med. 2021, 9, 1275–1287. [Google Scholar] [CrossRef]
- Bentlage, E.; Ammar, A.; How, D.; Ahmed, M.; Trabelsi, K.; Chtourou, H.; Brach, M. Practical Recommendations for Maintaining Active Lifestyle during the COVID-19 Pandemic: A Systematic Literature Review. Int. J. Environ. Res. Public Health 2020, 17, 6265. [Google Scholar] [CrossRef] [PubMed]
- Oliveira, M.R.; Sudati, I.P.; Konzen, V.M.; de Campos, A.C.; Wibelinger, L.M.; Correa, C.; Miguel, F.M.; Silva, R.N.; Borghi-Silva, A. Covid-19 and the impact on the physical activity level of elderly people: A systematic review. Exp. Gerontol. 2022, 159, 111675. [Google Scholar] [CrossRef] [PubMed]
- Chtourou, H.; Trabelsi, K.; H’Mida, C.; Boukhris, O.; Glenn, J.M.; Brach, M.; Bentlage, E.; Bott, N.; Shephard, R.J.; Ammar, A.; et al. Staying Physically Active During the Quarantine and Self-Isolation Period for Controlling and Mitigating the COVID-19 Pandemic: A Systematic Overview of the Literature. Front. Psychol. 2020, 11, 1708. [Google Scholar] [CrossRef] [PubMed]
- Xiao, H.; Zhang, Y.; Kong, D.; Li, S.; Yang, N. Social Capital and Sleep Quality in Individuals Who Self-Isolated for 14 Days During the Coronavirus Disease 2019 (COVID-19) Outbreak in January 2020 in China. Med. Sci. Monit. 2020, 26, e923921. [Google Scholar] [CrossRef] [PubMed]
- Filgueira, T.O.; Castoldi, A.; Santos, L.E.R.; de Amorim, G.J.; de Sousa Fernandes, M.S.; Anastácio, W.; Campos, E.Z.; Santos, T.M.; Souto, F.O. The Relevance of a Physical Active Lifestyle and Physical Fitness on Immune Defense: Mitigating Disease Burden, With Focus on COVID-19 Consequences. Front. Immunol. 2021, 12, 587146. [Google Scholar] [CrossRef] [PubMed]
- Zhou, T.; Zhai, X.; Wu, N.; Koriyama, S.; Wang, D.; Jin, Y.; Li, W.; Sawada, S.S.; Fan, X. Changes in Physical Fitness during COVID-19 Pandemic Lockdown among Adolescents: A Longitudinal Study. Healthcare 2022, 10, 351. [Google Scholar] [CrossRef]
- Stockwell, S.; Trott, M.; Tully, M.; Shin, J.; Barnett, Y.; Butler, L.; McDermott, D.; Schuch, F.; Smith, L. Changes in physical activity and sedentary behaviours from before to during the COVID-19 pandemic lockdown: A systematic review. BMJ Open Sport Exerc. Med. 2021, 7, e000960. [Google Scholar] [CrossRef]
- Pancani, L.; Marinucci, M.; Aureli, N.; Riva, P. Forced Social Isolation and Mental Health: A Study on 1,006 Italians Under COVID-19 Lockdown. Front. Psychol. 2021, 12, 663799. [Google Scholar] [CrossRef]
- Souza, M.D.; Chaves, R.D.; Lopes, V.P.; Malina, R.M.; Garganta, R.; Seabra, A.; Maia, J. Motor coordination, activity, and fitness at 6 years of age relative to activity and fitness at 10 years of age. J. Phys. Act. Health 2014, 11, 1239–1247. [Google Scholar] [CrossRef]
- Deliens, T.; Deforche, B.; De Bourdeaudhuij, I.; Clarys, P. Determinants of physical activity and sedentary behaviour in university students: A qualitative study using focus group discussions. BMC Public Health 2015, 15, 201. [Google Scholar] [CrossRef] [PubMed]
- Sparling, P.B. College physical education: An unrecognized agent of change in combating inactivity-related diseases. Perspect. Biol. Med. 2003, 46, 579–587. [Google Scholar] [CrossRef] [PubMed]
- Malina, R.M. Tracking of physical activity and physical fitness across the lifespan. Res. Q. Exerc. Sport 1996, 67, 48–57. [Google Scholar] [CrossRef] [PubMed]
- Yon, A.L.; Reel, J.J.; Chen-Edinboro, L.P.; Pate, M.R.; Reich, J.C.; Hillhouse, L.A.; Kantor, R. Influences of the COVID-19 Pandemic on Intuitive Exercise and Physical Activity among College Students. Behav. Sci. 2022, 12, 72. [Google Scholar] [CrossRef]
- Emeljanovas, A.; Valentine, I.; Zaicenkoviene, K.; Misigoj-Durakovic, M.; Kreivyte, R.; Gómez-Ruano, M.Á. Associations between physical activity and health-related physical fitness in 17 years-old girls. Rev. Psicol. Deporte 2017, 26, 0157–0166. [Google Scholar]
- Hui, S.S.; Zhang, R.; Suzuki, K.; Naito, H.; Balasekaran, G.; Song, J.K.; Park, S.Y.; Liou, Y.M.; Lu, D.; Poh, B.K.; et al. Physical activity and health-related fitness in Asian adolescents: The Asia-fit study. J. Sports Sci. 2020, 38, 273–279. [Google Scholar] [CrossRef] [PubMed]
- Small, M.; Bailey-Davis, L.; Morgan, N.; Maggs, J. Changes in Eating and Physical Activity Behaviors Across Seven Semesters of College:Living On or Off Campus Matters. Health Educ. Behav. 2013, 40, 435–441. [Google Scholar] [CrossRef]
- Ode, J.J.; Mudd, L.M.; Danbert, S.; Pivarnik, J.M. Semester Changes in Physical Activity and Fitness in College Students: 2399 Board #7 June 4 8:00 AM–9:30 AM. Med. Sci. Sport Exerc. 2010, 42, 612–613. [Google Scholar] [CrossRef]
- Hagströmer, M.; Oja, P.; Sjöström, M. Physical activity and inactivity in an adult population assessed by accelerometry. Med. Sci. Sports Exerc. 2007, 39, 1502–1508. [Google Scholar] [CrossRef]
- Pribis, P.; Burtnack, C.A.; McKenzie, S.O.; Thayer, J. Trends in body fat, body mass index and physical fitness among male and female college students. Nutrients 2010, 2, 1075–1085. [Google Scholar] [CrossRef]
- Stephens, M.B.; Cochran, C.; Hall, J.M.; Olsen, C. Physical fitness during medical school: A 4-year study at the Uniformed Services University. Fam. Med.-Kans. City 2012, 44, 694. [Google Scholar]
- Driskell, J.A.; Kim, Y.N.; Goebel, K.J. Few differences found in the typical eating and physical activity habits of lower-level and upper-level university students. J. Am. Diet Assoc. 2005, 105, 798–801. [Google Scholar] [CrossRef] [PubMed]
- Chen, X.; Cui, J.; Zhang, Y.; Peng, W. The association between BMI and health-related physical fitness among Chinese college students: A cross-sectional study. BMC Public Health 2020, 20, 444. [Google Scholar] [CrossRef] [PubMed]
- Racette, S.B.; Deusinger, S.S.; Strube, M.J.; Highstein, G.R.; Deusinger, R.H. Weight Changes, Exercise, and Dietary Patterns During Freshman and Sophomore Years of College. J. Am. Coll. Health 2005, 53, 245–251. [Google Scholar] [CrossRef]
- RAOSOFT. Sample Size Calculator. 2022. Available online: http://www.raosoft.com/samplesize.html (accessed on 13 August 2022).
- Shanghai Bureau of Statistics, 2020 Shanghai Statistical Yearbook, Shanghai: China Statistics Press. 2020. Available online: https://tjj.sh.gov.cn/tjnj/20210303/2abf188275224739bd5bce9bf128aca8.html (accessed on 1 November 2020).
- Ministry of Education of the People’s Republic of China. Ministry of Education on the issuance of the National Physical Fitness Standards for Students, 2014 Revision. Available online: https://zb.swufe.edu.cn/__local/3/87/96/2A684F6BDCBAA9F5E81D3400770_9BE7D81F_18D804.pdf (accessed on 18 July 2014).
- Craig, C.L.; Marshall, A.L.; Sjöström, M.; Bauman, A.E.; Booth, M.L.; Ainsworth, B.E.; Pratt, M.; Ekelund, U.; Yngve, A.; Sallis, J.F.; et al. International physical activity questionnaire: 12-country reliability and validity. Med. Sci. Sports Exerc. 2003, 35, 1381–1395. [Google Scholar] [CrossRef]
- Committee, I.R. Guidelines for Data Processing and Analysis of the International Physical Activity Questionnaire (IPAQ)-Short and Long Forms. 2005. Available online: https://www.semanticscholar.org/paper/Guidelines-for-data-processing-analysis-of-the-and-Sjostrom-Ainsworth/efb9575f5c957b73c640f00950982e618e31a7be (accessed on 1 November 2005).
- Butler, S.M.; Black, D.R.; Blue, C.L.; Gretebeck, R.J. Change in diet, physical activity, and body weight in female college freshman. Am. J. Health Behav. 2004, 28, 24–32. [Google Scholar] [CrossRef]
- Kwan, M.Y.; Cairney, J.; Faulkner, G.E.; Pullenayegum, E.E. Physical Activity and Other Health-Risk Behaviors During the Transition Into Early Adulthood A Longitudinal Cohort Study. Am. J. Prev. Med. 2012, 42, 14–20. [Google Scholar] [CrossRef]
- Kaur, H.; Singh, T.; Arya, Y.K.; Mittal, S. Physical Fitness and Exercise During the COVID-19 Pandemic: A Qualitative Enquiry. Front. Psychol. 2020, 11, 590172. [Google Scholar] [CrossRef]
- Rasberry, C.N.; Lee, S.M.; Robin, L.; Laris, B.A.; Russell, L.A.; Coyle, K.K.; Nihiser, A.J. The association between school-based physical activity, including physical education, and academic performance: A systematic review of the literature. Prev. Med. 2011, 52, S10–S20. [Google Scholar] [CrossRef]
- Shaffer, K.; Bopp, M.; Papalia, Z.; Sims, D.; Bopp, C.M. The Relationship of Living Environment with Behavioral and Fitness Outcomes by Sex: An Exploratory Study in College-aged Students. Int. J. Exerc. Sci. 2017, 10, 330–339. [Google Scholar]
- Wang, J. The association between physical fitness and physical activity among Chinese college students. J. Am. Coll. Health 2019, 67, 602–609. [Google Scholar] [CrossRef] [PubMed]
- Huang, Y.; Deng, X.F.; Deng, M.Y. An Analysis on the Change of the Physical Fitness of College Students In Four Year’s Campus Life. J. Beijing Sport Univ. 2010, 33, 99–101. [Google Scholar]
- Circular of the Ministry of Education on Printing and Distributing the Basic Standards for Physical Education in Institutions of Higher Learning. Available online: http://www.moe.gov.cn/srcsite/A17/moe_938/s3273/201406/t20140612_171180.html (accessed on 12 June 2014).
- Drake, G. Long-Term Impact of Lifelong Fitness: Examining Longitudinal Exercise Behavior in College Students. Ph.D. Thesis, George Fox University, Newberg, OR, USA, 2018. [Google Scholar]
- Liu, W.; Hull, E.E.; Kovacs, I. Improving College Students’ Health-Related Fitness Through Physical Activity Classes: 1029 Board #290 May 30 3: 30 PM–5: 00 PM. Med. Sci. Sports Exerc. 2018, 50, 245. [Google Scholar] [CrossRef]
- Alba, C.; Francesca, R.; Noemí, L.; Pere, T.; Guillem, P.; Pilar, M.; Rosalia, D.; Adrià, B.; Louis, B.; Erickson, K.I.; et al. Sex Matters in the Association between Physical Activity and Fitness with Cognition. Med. Sci. Sports Exerc. 2021, 53, 1252–1259. [Google Scholar]
- Suri, M.; Sharma, R.; Saini, N. Effect of physical education and physical activity on anthropometric measurements and flexibility among college going girls. Eur. J. Phys. Educ. Sport Sci. 2018, 4, 62–72. [Google Scholar] [CrossRef]
- Leppänen, M.H.; Nyström, C.D.; Henriksson, P.; Pomeroy, J.; Ruiz, J.R.; Ortega, F.B.; Cadenas-Sánchez, C.; Löf, M. Physical activity intensity, sedentary behavior, body composition and physical fitness in 4-year-old children: Results from the ministop trial. Int. J. Obes. 2016, 40, 1126–1133. [Google Scholar] [CrossRef] [PubMed]
- Osipov, A.Y.; Potop, V.; Nagovitsyn, R.S.; Zemba, E.A.; Knyazev, A.P.; Orlova, I.I.; Ratmanskaya, T.I.; Iermakov, S.S. Indicators of physical activity and fitness of male students at Russian universities. Phys. Educ. Stud. 2020, 24, 40–46. [Google Scholar] [CrossRef]
- Ruiz, J.R.; Rizzo, N.S.; Hurtig-Wennlöf, A.; Ortega, F.B.; Àrnberg, J.W.; Sjöström, M. Relations of total physical activity and intensity to fitness and fatness in children: The European Youth Heart Study. Am. J. Clin. Nutr. 2006, 84, 299–303. [Google Scholar] [CrossRef]
- Janssen, I.; Leblanc, A.G. Systematic review of the health benefits of physical activity and fitness in school-aged children and youth. Int. J. Behav. Nutr. Phys. Act. 2010, 7, 40. [Google Scholar] [CrossRef]
- Guo, F.; Tian, Y.; Zhong, F.; Wu, C.; Cui, Y.; Huang, C. Intensity of physical activity and depressive symptoms in college students: Fitness improvement tactics in youth (fityou) project. Psychol. Res. Behav. Manag. 2020, 13, 787. [Google Scholar] [CrossRef]
- Wassenaar, T.; Wheatley, C.; Beale, N.; Nichols, T.; Salvan, P.; Meaney, A.; Atherton, K.; Diaz-Ordaz, K.; Dawes, H.; Johansen-Berg, H. The effect of a one-year vigorous physical activity intervention on fitness, cognitive performance and mental health in young adolescents: The Fit to Study cluster randomised controlled trial. Int. J. Behav. Nutr. Phys. Act. 2021, 18, 47. [Google Scholar] [CrossRef] [PubMed]
- Mears, R.; Jago, R. Effectiveness of after-school interventions at increasing moderate-to-vigorous physical activity levels in 5-to 18-year olds: A systematic review and meta-analysis. Br. J. Sports Med. 2016, 50, 1315–1324. [Google Scholar] [CrossRef] [PubMed]
- Esslinger, K.A.; Grimes, A.R.; Pyle, E. Effects of requiring physical fitness in a lecture-based college course: Students’ attitudes toward physical activity. Phys. Educ. 2016, 73, 161. [Google Scholar] [CrossRef]
- Shimamoto, H.; Suwa, M.; Mizuno, K. Relationships between Depression, Daily Physical Activity, Physical Fitness, and Daytime Sleepiness among Japanese University Students. Int. J. Environ. Res. Public Health 2021, 18, 8036. [Google Scholar] [CrossRef]
- Ren, H.; Yang, Q.; Zhang, X. Relationship between college students’ physical activity and unhealthy psychological conditions. Aggress. Violent Behav. 2021, 101640. [Google Scholar] [CrossRef]
- Maselli, M.; Ward, P.B.; Gobbi, E.; Carraro, A. Promoting physical activity among university students: A systematic review of controlled trials. Am. J. Health Promot. 2018, 32, 1602–1612. [Google Scholar] [CrossRef]
- Murphy, C.; Takahashi, S.; Bovaird, J.; Koehler, K. Relation of aerobic fitness, eating behavior and physical activity to body composition in college-age women: A path analysis. J. Am. Coll. Health 2021, 69, 30–37. [Google Scholar] [CrossRef]
- Rostron, Z.; Green, R.; Kingsley, M.; Zacharias, A. Associations between measures of physical activity and muscle size and strength: A systematic review. Arch. Rehabil. Res. Clin. Transl. 2021, 3, 100124. [Google Scholar] [CrossRef]
- Porter, R.W.; Adams, M.A.; Hutton, W.C. Physical activity and the strength of the lumbar spine. Spine 1989, 14, 201–203. [Google Scholar] [CrossRef]
- Keating, X.D.; Guan, J.; Piñero, J.C.; Bridges, D.M. A meta-analysis of college students’ physical activity behaviors. J. Am. Coll. Health 2005, 54, 116–126. [Google Scholar] [CrossRef]







| Components | Score Weight(%) |
|---|---|
| Height (cm) | 15 |
| Weight (kg) | |
| Vital capacity (mL) | 15 |
| 50m-sprint (s) | 20 |
| Sit-and-reach (cm) | 10 |
| Standing long jump (m) | 10 |
| Pull-up (male) (r) | 10 |
| Sit-up (female) (r/min) | |
| 1000m-run (male) (s) | 20 |
| 800m-run (female) (s) | |
| Total score | 100 |
| Level (MET-Minutes/Week) | Physical Activity | Calculation Formulas |
|---|---|---|
| Low intensity | Walking | 3.3 × walking minutes × walking days |
| Moderate intensity | Lifting light objects, cycling at normal speed or playing tennis in pairs, etc. | 4.0 × moderate-intensity activity minutes × moderate days |
| High intensity | Lift heavy objects, use equipment for digging, high-intensity aerobic exercise or fast cycling, etc. | 8.0 × high-intensity activity minutes × vigorous-intensity days |
| PA Levels | Category Criteria |
|---|---|
| High intensity | High-intensity PA > 3 days and total PA ≥ 1500 MET-min/week OR Any combination of walking, moderate-intensity ≥ 7 days or total high-intensity PA ≥ 3000 MET-min/week |
| Moderate intensity | High-intensity PA of at least 20 min per day ≥3 days OR Moderate-intensity PA and/or walking of at least 30 min per day ≥5 days OR Any combination of Low-, moderate-intensity PA ≥ 5 days or high-intensity PA ≥ 600 MET-min/week |
| Low intensity | No activity was reported OR Some activities were reported, but they do not yet meet the above criteria for moderate- and high-groups level |
| Freshman | Sophomore | Junior | Senior | |||||
|---|---|---|---|---|---|---|---|---|
| Male (309) | Female (213) | Male (156) | Female (144) | Male (217) | Female (195) | Male (158) | Female (114) | |
| Age | 18.19 ± 0.73 | 18.21 ± 0.72 | 19.20 ± 0.86 | 19.13 ± 0.58 | 20.22 ± 0.82 | 20.20 ± 0.74 | 21.21 ± 0.80 | 21.12 ± 0.67 |
| Height/cm | 173.39 ± 5.88 | 161.91 ± 5.68 | 173.69 ± 6.32 | 162.44 ± 5.67 | 173.70 ± 6.91 | 161.81 ± 6.26 | 174.47 ± 6.50 | 162.74 ± 5.12 |
| Weight/kg | 66.55 ± 11.14 | 54.51 ± 7.33 | 67.25 ± 12.31 | 53.75 ± 7.15 | 67.88 ± 11.93 | 55.02 ± 8.25 | 69.14 ± 12.33 | 55.73 ± 8.28 |
| BMI | 22.13 ± 3.46 | 20.80 ± 2.64 | 22.25 ± 3.61 | 20.35 ± 2.43 | 22.45 ± 3.29 | 21.00 ± 2.81 | 22.70 ± 3.82 | 21.01 ± 2.78 |
| Vital Capacity/mL | 4391.9 ± 638.2 | 3128.1 ± 456.7 | 4434.4 ± 694.4 | 3027.7 ± 458.1 | 4513.0 ± 689.5 | 3108.6 ± 492.9 | 4494.2 ± 789.4 | 3129.9 ± 508.7 |
| 1000 m (800 m) run/s | 231.9 ± 25.6 | 223.2 ± 25.6 | 245.5 ± 31.3 | 227.7 ± 20.8 | 261.6 ± 35.2 | 246.7 ± 39.6 | 276.1 ± 37.6 | 256.4 ± 42.4 |
| 50 m run/s | 7.16 ± 0.57 | 8.82 ± 0.59 | 7.37 ± 0.59 | 8.79 ± 0.55 | 7.53 ± 1.07 | 9.19 ± 1.01 | 7.63 ± 0.58 | 9.38 ± 0.66 |
| Standing Long Jump/cm | 236.34 ± 21.89 | 180.70 ± 15.81 | 231.64 ± 22.61 | 183.89 ± 16.31 | 226.13 ± 18.64 | 173.12 ± 16.41 | 219.47 ± 17.75 | 168.13 ± 17.23 |
| Pull-up (Sit-up) | 4.91 ± 4.17 | 30.75 ± 6.27 | 5.26 ± 4.57 | 32.61 ± 6.37 | 5.03 ± 4.17 | 30.23 ± 6.46 | 3.96 ± 3.89 | 29.28 ± 6.42 |
| Sit and Reach/cm | 14.26 ± 7.12 | 19.05 ± 7.08 | 13.92 ± 7.25 | 19.08 ± 5.89 | 13.97 ± 6.69 | 18.10 ± 6.25 | 13.24 ± 6.49 | 18.78 ± 5.80 |
| PF total Score | 74.84 ± 8.08 | 80.01 ± 5.74 | 72.57 ± 8.94 | 80.09 ± 5.32 | 69.11 ± 7.55 | 75.05 ± 6.63 | 66.06 ± 7.54 | 72.55 ± 6.98 |
| PA (METs) | 3992.68 | 3036.81 | 3975.97 | 3944.78 | 3236.23 | 2890.76 | 2341.77 | 3241.50 |
| PA (%) | ||||||||
| Low | 0.6 | 2.8 | 0.6 | 1.4 | 2.8 | 4.1 | 3.2 | 6.1 |
| Moderate | 40.8 | 51.6 | 43.0 | 54.2 | 56.2 | 56.9 | 43.0 | 67.5 |
| High | 58.6 | 45.6 | 56.4 | 44.4 | 41.0 | 39.0 | 53.8 | 26.4 |
Publisher’s Note: MDPI stays neutral with regard to jurisdictional claims in published maps and institutional affiliations. |
© 2022 by the authors. Licensee MDPI, Basel, Switzerland. This article is an open access article distributed under the terms and conditions of the Creative Commons Attribution (CC BY) license (https://creativecommons.org/licenses/by/4.0/).
Share and Cite
Yu, H.; An, S.; Tao, Y.; Austin, L. Correlation and Change in Physical Activity and Physical Fitness across Four Years of College Students after One Year of COVID-19 Lockdown. Healthcare 2022, 10, 1691. https://doi.org/10.3390/healthcare10091691
Yu H, An S, Tao Y, Austin L. Correlation and Change in Physical Activity and Physical Fitness across Four Years of College Students after One Year of COVID-19 Lockdown. Healthcare. 2022; 10(9):1691. https://doi.org/10.3390/healthcare10091691
Chicago/Turabian StyleYu, Hongyan, Shicheng An, Yiming Tao, and Larry Austin. 2022. "Correlation and Change in Physical Activity and Physical Fitness across Four Years of College Students after One Year of COVID-19 Lockdown" Healthcare 10, no. 9: 1691. https://doi.org/10.3390/healthcare10091691
APA StyleYu, H., An, S., Tao, Y., & Austin, L. (2022). Correlation and Change in Physical Activity and Physical Fitness across Four Years of College Students after One Year of COVID-19 Lockdown. Healthcare, 10(9), 1691. https://doi.org/10.3390/healthcare10091691

