Boamente: A Natural Language Processing-Based Digital Phenotyping Tool for Smart Monitoring of Suicidal Ideation
Abstract
:1. Introduction
1.1. Background
1.2. Related Work
1.3. Rationale for Study
- A BERT-based deep learning model for identifying the presence of suicidal ideation in non-clinical texts written in Brazilian Portuguese;
- A digital phenotyping tool proposed to allow mental health professionals to monitor suicidal ideation of patients and, as a consequence, prevent suicide.
2. Methodology
2.1. Overview
2.2. The Boamente System
2.3. Identifying Suicidal Ideation
2.3.1. Data Collection and Annotation
2.3.2. Data Preparation
- Text cleaning: removal of terms that are out of context, such as uniform resource locators (URLs), email addresses, symbols, and numbers;
- Stop words removal: removal of words that do not contribute to the analysis (for example, “as”, “e”, “os”, “de”, “para”, “com”, “sem”, “foi”);
- Tokenization: procedure responsible for separating texts into smaller units named tokens (that is, a sentence is divided into words);
- Stemming: reduces inflection in words to their basic form. For example, the words “gato” (male cat in PT-BR), “gata” (female cat in PT-BR), “gatos” (male cats in PT-BR), and “gatas” (female cats in PT-BR) would reduce to “cat” (the stem);
- Term Frequency–Inverse Document Frequency (TF-IDF): a statistical measure that evaluates how relevant a word is to a sentence in a collection of sentences, which is very useful for scoring words.
2.3.3. Training of ML/DL Algorithms
2.3.4. Validation Study
- True positive (TP): correct prediction of positive value;
- True negative (TN): correct prediction of negative value;
- False positive (FP): wrong prediction of negative value (a contradiction);
- False negative (FN): wrong prediction of positive value (a contradiction).
3. Results
3.1. Boamente Tool
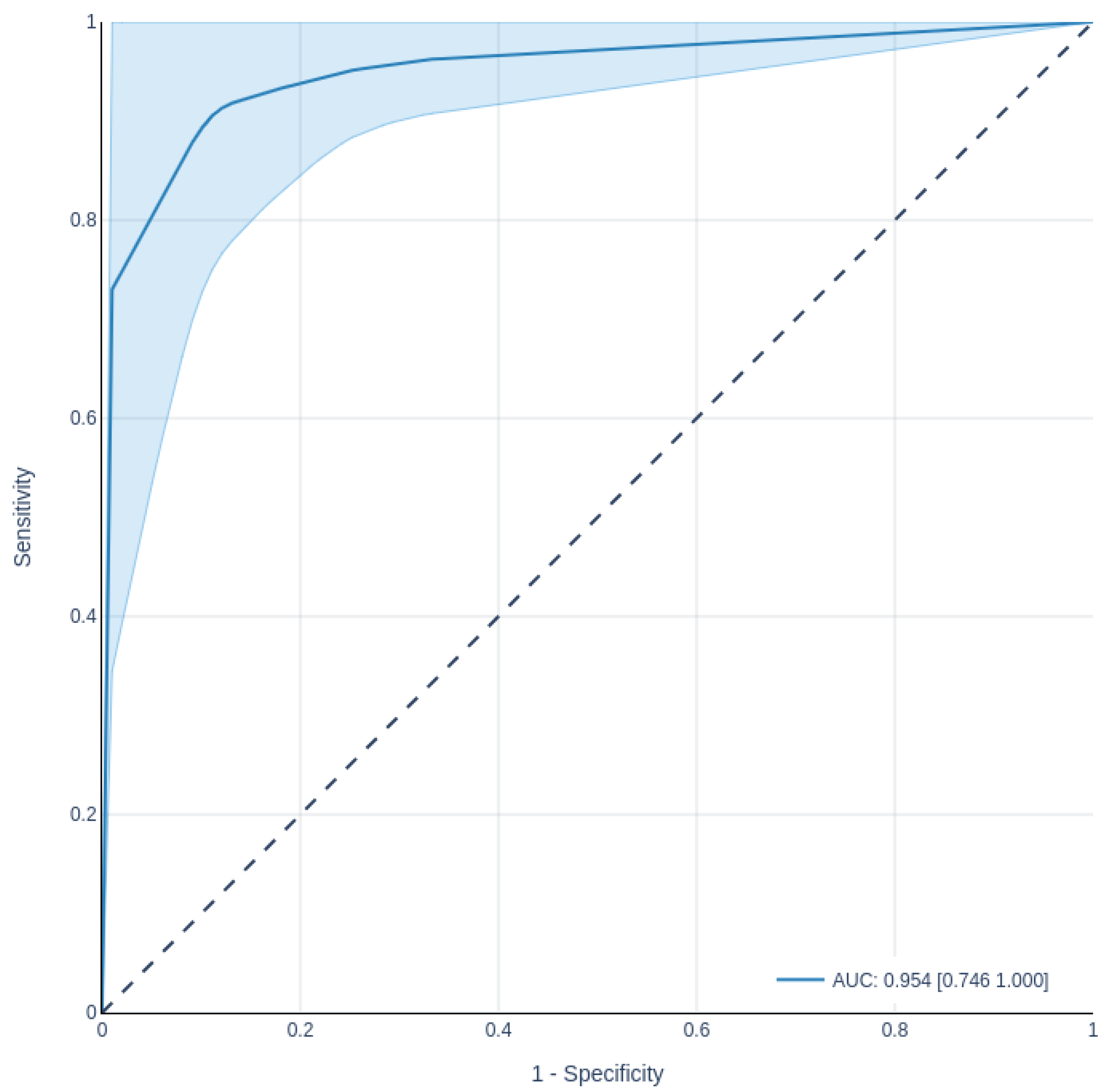
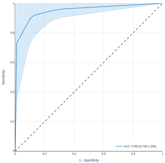
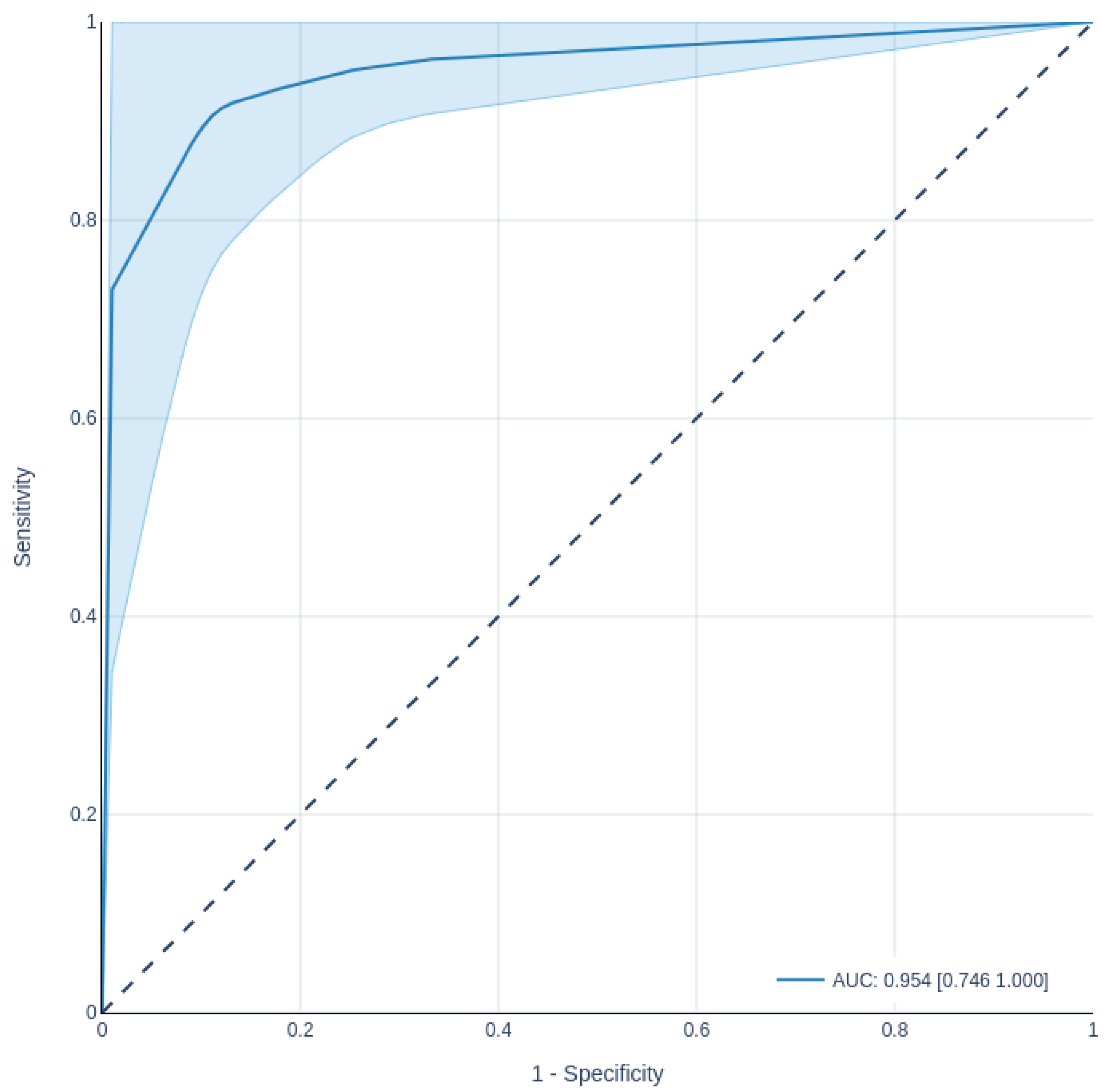
3.2. Model Performance
4. Discussion
4.1. Contributions and Applicability of the Boamente
4.2. Model Performance Analysis
4.3. Limitations and Future Work
5. Conclusions
Author Contributions
Funding
Institutional Review Board Statement
Informed Consent Statement
Data Availability Statement
Acknowledgments
Conflicts of Interest
Abbreviations
| ACL | Access Control List |
| AUC | Area Under Curve |
| BERT | Bidirectional Encoder Representations from Transformers |
| BrWaC | Brazilian Portuguese Web as Corpus |
| DL | Deep Learning |
| FN | False Negative |
| FP | False Positive |
| ICT | Information and Communication Technologies |
| IDE | Integrated Development Environment |
| ML | Machine Learning |
| NLP | Natural Language Processing |
| PT-BR | Brazilian Portuguese |
| ROC | Receiver Operation Characteristic |
| SSL | Secure Sockets Layer |
| SVC | C-Support Vector Classification |
| TF-IDF | Term Frequency–Inverse Document Frequency |
| TN | True Negative |
| TP | True Positive |
| URL | Uniform Resource Locator |
| UUID | Universally Unique Identifier |
| WHO | World Health Organization |
References
- WHO. Preventing Suicide: A Global Imperative; WHO: Geneva, Switzerland, 2014. [Google Scholar]
- World Health Organization. Suicide Worldwide in 2019: Global Health Estimates. Available online: https://www.who.int/publications/i/item/9789240026643 (accessed on 14 January 2022).
- Menon, V.; Padhy, S.K.; Pattnaik, J.I. COVID-19 pandemic and suicidality: Durkheim revisited. Aust. N. Z. J. Psychiatry 2021, 55, 324. [Google Scholar] [CrossRef] [PubMed]
- Lin, C.Y.; Alimoradi, Z.; Ehsani, N.; Ohayon, M.M.; Chen, S.H.; Griffiths, M.D.; Pakpour, A.H. Suicidal Ideation during the COVID-19 Pandemic among A Large-Scale Iranian Sample: The Roles of Generalized Trust, Insomnia, and Fear of COVID-19. Healthcare 2022, 10, 93. [Google Scholar] [CrossRef] [PubMed]
- Conwell, Y.; Duberstein, P.R.; Caine, E.D. Risk factors for suicide in later life. Biol. Psychiatry 2002, 52, 193–204. [Google Scholar] [CrossRef]
- Beautrais, A.L. Risk Factors for Serious Suicide Attempts among Young People. In Suicide Prevention: The Global Context; Springer: Boston, MA, USA, 1998; pp. 167–181. [Google Scholar] [CrossRef]
- van Heeringen, K.; Mann, J.J. The neurobiology of suicide. Lancet Psychiatry 2014, 1, 63–72. [Google Scholar] [CrossRef]
- Harmer, B.; Lee, S.; Saadabadi, A. Suicidal ideation. Statpearls 2021. Available online: https://www.ncbi.nlm.nih.gov/books/NBK565877/ (accessed on 31 January 2022).
- Braciszewski, J.M. Digital Technology for Suicide Prevention. Adv. Psychiatry Behav. Health 2021, 1, 53–65. [Google Scholar] [CrossRef]
- Larsen, M.E.; Nicholas, J.; Christensen, H. A systematic assessment of smartphone tools for suicide prevention. PLoS ONE 2016, 11, e0152285. [Google Scholar] [CrossRef]
- Teles, A.; Rodrigues, I.; Viana, D.; Silva, F.; Coutinho, L.; Endler, M.; Rabêlo, R. Mobile Mental Health: A Review of Applications for Depression Assistance. In Proceedings of the 2019 IEEE 32nd International Symposium on Computer-Based Medical Systems (CBMS), Cordoba, Spain, 5–7 June 2019; pp. 708–713. [Google Scholar] [CrossRef]
- Liang, Y.; Xiaolong, Z.; Zeng, D.D. A Survey on Big Data-Driven Digital Phenotyping of Mental Health. Inf. Fusion 2019, 52, 290–307. [Google Scholar] [CrossRef]
- Mendes, J.P.M.; Moura, I.R.; Van de Ven, P.; Viana, D.; Silva, F.J.S.; Coutinho, L.R.; Teixeira, S.; Rodrigues, J.J.P.C.; Teles, A.S. Sensing Apps and Public Data Sets for Digital Phenotyping of Mental Health: Systematic Review. J. Med. Internet Res. 2022, 24, e28735. [Google Scholar] [CrossRef]
- Torous, J.; Kiang, M.V.; Lorme, J.; Onnela, J.P. New Tools for New Research in Psychiatry: A Scalable and Customizable Platform to Empower Data Driven Smartphone Research. Jmir Ment. Health 2016, 3, e16. [Google Scholar] [CrossRef]
- Rickwood, D.J.; Deane, F.P.; Wilson, C.J. When and how do young people seek professional help for mental health problems? Med. J. Aust. 2007, 187, S35–S39. [Google Scholar] [CrossRef]
- Tadesse, M.M.; Lin, H.; Xu, B.; Yang, L. Detection of Depression-Related Posts in Reddit Social Media Forum. IEEE Access 2019, 7, 44883–44893. [Google Scholar] [CrossRef]
- Calvo, R.; Milne, D.; Hussain, S.; Christensen, H. Natural language processing in mental health applications using non-clinical texts. Nat. Lang. Eng. 2017, 1–37. [Google Scholar] [CrossRef] [Green Version]
- Wongkoblap, A.; Vadillo, M.A.; Curcin, V. Researching Mental Health Disorders in the Era of Social Media: Systematic Review. J. Med. Internet Res. 2017, 19, e228. [Google Scholar] [CrossRef] [PubMed] [Green Version]
- Ji, S.; Zhang, T.; Ansari, L.; Fu, J.; Tiwari, P.; Cambria, E. MentalBERT: Publicly Available Pretrained Language Models for Mental Healthcare. arXiv 2021, arXiv:2110.15621. [Google Scholar]
- Elbattah, M.; Arnaud, É.; Gignon, M.; Dequen, G. The Role of Text Analytics in Healthcare: A Review of Recent Developments and Applications. In Proceedings of the 14th International Joint Conference on Biomedical Engineering Systems and Technologies, Online, 11–13 February 2021; pp. 825–832. [Google Scholar] [CrossRef]
- O’Connor, R.C.; Kirtley, O.J. The integrated motivational - volitional model of suicidal behaviour. Philos. Trans. R. Soc. Biol. Sci. 2018, 373, 20170268. [Google Scholar] [CrossRef] [Green Version]
- Ji, S.; Pan, S.; Li, X.; Cambria, E.; Long, G.; Huang, Z. Suicidal Ideation Detection: A Review of Machine Learning Methods and Applications. IEEE Trans. Comput. Soc. Syst. 2021, 8, 214–226. [Google Scholar] [CrossRef]
- Bernert, R.A.; Hilberg, A.M.; Melia, R.; Kim, J.P.; Shah, N.H.; Abnousi, F. Artificial Intelligence and Suicide Prevention: A Systematic Review of Machine Learning Investigations. Int. J. Environ. Res. Public Health 2020, 17, 5929. [Google Scholar] [CrossRef]
- Castillo-Sánchez, G.; Marques, G.; Dorronzoro, E.; Rivera-Romero, O.; Franco-Martín, M.; De la Torre-Díez, I. Suicide Risk Assessment Using Machine Learning and Social Networks: A Scoping Review. J. Med. Syst. 2020, 44, 1–15. [Google Scholar] [CrossRef]
- de la Torre, I.; Castillo, G.; Arambarri, J.; López-Coronado, M.; Franco, M.A. Mobile Apps for Suicide Prevention: Review of Virtual Stores and Literature. JMIR Mhealth Uhealth 2017, 5, e8036. [Google Scholar] [CrossRef] [Green Version]
- Martinengo, L.; Van Galen, L.; Lum, E.; Kowalski, M.; Subramaniam, M.; Car, J. Suicide prevention and depression apps’ suicide risk assessment and management: A systematic assessment of adherence to clinical guidelines. BMC Med. 2019, 17, 1–12. [Google Scholar] [CrossRef] [Green Version]
- Shiffman, S.; Stone, A.A.; Hufford, M.R. Ecological Momentary Assessment. Annu. Rev. Clin. Psychol. 2008, 4, 1–32. [Google Scholar] [CrossRef] [PubMed]
- Heron, K.E.; Smyth, J.M. Ecological momentary interventions: Incorporating mobile technology into psychosocial and health behaviour treatments. Br. J. Health Psychol. 2010, 15, 1–39. [Google Scholar] [CrossRef] [PubMed]
- Morgiève, M.; Genty, C.; Azé, J.; Dubois, J.; Leboyer, M.; Vaiva, G.; Berrouiguet, S.; Courtet, P. A Digital Companion, the Emma App, for Ecological Momentary Assessment and Prevention of Suicide: Quantitative Case Series Study. JMIR Mhealth Uhealth 2020, 8, e15741. [Google Scholar] [CrossRef] [PubMed]
- Rodante, D.E.; Kaplan, M.I.; Fedi, R.O.; Gagliesi, P.; Pascali, A.; Quintero, P.S.J.; Compte, E.J.; Perez, A.I.; Weinstein, M.; Chiapella, L.C.; et al. CALMA, a Mobile Health Application, as an Accessory to Therapy for Reduction of Suicidal and Non-Suicidal Self-Injured Behaviors: A Pilot Cluster Randomized Controlled Trial. Arch. Suicide Res. 2020, 1–18. [Google Scholar] [CrossRef] [PubMed]
- Haines-Delmont, A.; Chahal, G.; Bruen, A.J.; Wall, A.; Khan, C.T.; Sadashiv, R.; Fearnley, D. Testing Suicide Risk Prediction Algorithms Using Phone Measurements With Patients in Acute Mental Health Settings: Feasibility Study. JMIR Mhealth Uhealth 2020, 8, e15901. [Google Scholar] [CrossRef]
- Bruen, A.J.; Wall, A.; Haines-Delmont, A.; Perkins, E. Exploring Suicidal Ideation Using an Innovative Mobile App-Strength Within Me: The Usability and Acceptability of Setting up a Trial Involving Mobile Technology and Mental Health Service Users. JMIR Mental Health 2020, 7, e18407. [Google Scholar] [CrossRef]
- Sels, L.; Homan, S.; Ries, A.; Santhanam, P.; Scheerer, H.; Colla, M.; Vetter, S.; Seifritz, E.; Galatzer-Levy, I.; Kowatsch, T.; et al. SIMON: A Digital Protocol to Monitor and Predict Suicidal Ideation. Front. Psychiatry 2021, 12, 890. [Google Scholar] [CrossRef]
- Burnap, P.; Colombo, G.; Amery, R.; Hodorog, A.; Scourfield, J. Multi-class machine classification of suicide-related communication on Twitter. Online Soc. Netw. Media 2017, 2, 32–44. [Google Scholar] [CrossRef]
- Monroe, S.; Slavich, G. Psychological Stressors: Overview. In Stress: Concepts, Cognition, Emotion, and Behavior; Fink, G., Ed.; Academic Press: San Diego, CA, USA, 2016; pp. 109–115. [Google Scholar] [CrossRef]
- Du, J.; Zhang, Y.; Luo, J.; Jia, Y.; Wei, Q.; Tao, C.; Xu, H. Extracting psychiatric stressors for suicide from social media using deep learning. Bmc Med. Informatics Decis. Mak. 2018, 18, 43. [Google Scholar] [CrossRef] [Green Version]
- Ophir, Y.; Tikochinski, R.; Asterhan, C.S.; Sisso, I.; Reichart, R. Deep neural networks detect suicide risk from textual facebook posts. Sci. Rep. 2020, 10, 1–10. [Google Scholar] [CrossRef]
- de Carvalho, V.F.; Giacon, B.; Nascimento, C.; Nogueira, B.M. Machine Learning for Suicidal Ideation Identification on Twitter for the Portuguese Language. In Brazilian Conference on Intelligent Systems; Springer: Berlin/Heidelberg, Germany, 2020; pp. 536–550. [Google Scholar] [CrossRef]
- Devlin, J.; Chang, M.; Lee, K.; Toutanova, K. BERT: Pre-training of Deep Bidirectional Transformers for Language Understanding. In Annual Conference of the North American Chapter of the Association for Computational Linguistics (NAACL-HLT); Burstein, J., Doran, C., Solorio, T., Eds.; Association for Computational Linguistics: Stroudsburg, PA, USA, 2019; pp. 4171–4186. [Google Scholar] [CrossRef]
- Slattery, P.; Saeri, A.; Bragge, P. Research co-design in health: A rapid overview of reviews. Health Res. Policy Syst. 2020, 18, 1–13. [Google Scholar] [CrossRef] [PubMed] [Green Version]
- Google LLC. Gboard, o Teclado do Google. Available online: https://play.google.com/store/apps/details?id=com.google.android.inputmethod.latin (accessed on 18 January 2022).
- FastAPI. FastAPI Framework, High Performance, Easy to Learn, Fast to Code, Ready for Production. Available online: https://fastapi.tiangolo.com/ (accessed on 18 January 2022).
- O’Dea, B.; Wan, S.; Batterham, P.J.; Calear, A.L.; Paris, C.; Christensen, H. Detecting suicidality on Twitter. Internet Interv. 2015, 2, 183–188. [Google Scholar] [CrossRef] [Green Version]
- Laravel. The PHP Framework for Web Artisans. Available online: https://laravel.com/ (accessed on 18 January 2022).
- Birjali, M.; Kasri, M.; Beni-Hssane, A. A comprehensive survey on sentiment analysis: Approaches, challenges and trends. Knowl.-Based Syst. 2021, 226, 107134. [Google Scholar] [CrossRef]
- Twitter Inc. Developer Agreement and Policy—Twitter Developers. Available online: https://developer.twitter.com/en/developer-terms/agreement-and-policy (accessed on 14 January 2022).
- Haddi, E.; Liu, X.; Shi, Y. The Role of Text Pre-processing in Sentiment Analysis. Procedia Comput. Sci. 2013, 17, 26–32. [Google Scholar] [CrossRef] [Green Version]
- Chawla, N.V.; Bowyer, K.W.; Hall, L.O.; Kegelmeyer, W.P. SMOTE: Synthetic Minority over-Sampling Technique. J. Artif. Intell. Res. 2002, 16, 321–357. [Google Scholar] [CrossRef]
- Google LLC. Colaboratory. Available online: https://research.google.com/colaboratory/ (accessed on 18 January 2022).
- Kaggle Team. Kaggle. Available online: https://www.kaggle.com/ (accessed on 31 January 2022).
- Pedregosa, F.; Varoquaux, G.; Gramfort, A.; Michel, V.; Thirion, B.; Grisel, O.; Blondel, M.; Prettenhofer, P.; Weiss, R.; Dubourg, V.; et al. Scikit-learn: Machine Learning in Python. J. Mach. Learn. Res. 2011, 12, 2825–2830. Available online: https://dl.acm.org/doi/10.5555/1953048.2078195 (accessed on 30 January 2022).
- Wolf, T.; Debut, L.; Sanh, V.; Chaumond, J.; Delangue, C.; Moi, A.; Cistac, P.; Rault, T.; Louf, R.; Funtowicz, M.; et al. HuggingFace’s Transformers: State-of-the-Art Natural Language Processing. In Proceedings of the 2020 Conference on Empirical Methods in Natural Language Processing: System Demonstrations, Online, 16–20 November 2020; pp. 38–45. [Google Scholar] [CrossRef]
- Devlin, J.; Chang, M.; Lee, K.; Toutanova, K. BERT Multilingual Base Model (Cased). Available online: https://huggingface.co/bert-base-multilingual-cased (accessed on 18 January 2022).
- Souza, F.; Nogueira, R.; Lotufo, R. BERTimbau: Pretrained BERT models for Brazilian Portuguese. In Brazilian Conference on Intelligent Systems; Springer: Berlin/Heidelberg, Germany, 2020; pp. 403–417. [Google Scholar] [CrossRef]
- Fábio Souza and Rodrigo Nogueira and Roberto Lotufo. BERTimbau Base. Available online: https://huggingface.co/neuralmind/bert-base-portuguese-cased (accessed on 18 January 2022).
- Fábio Souza and Rodrigo Nogueira and Roberto Lotufo. BERTimbauLarge. Available online: https://huggingface.co/neuralmind/bert-large-portuguese-cased (accessed on 18 January 2022).
- Wagner Filho, J.A.; Wilkens, R.; Idiart, M.; Villavicencio, A. The brWaC Corpus: A New Open Resource for Brazilian Portuguese. In Proceedings of the Eleventh International Conference on Language Resources and Evaluation (LREC 2018), Miyazaki, Japan, 7–12 May 2018. [Google Scholar]
- Neurocognition and Natural Language Processing Research Lab. BrWaC. Available online: https://www.inf.ufrgs.br/pln/wiki/index.php?title=BrWaC (accessed on 18 January 2022).
- Abadi, M.; Barham, P.; Chen, J.; Chen, Z.; Davis, A.; Dean, J.; Devin, M.; Ghemawat, S.; Irving, G.; Isard, M.; et al. TensorFlow: A System for Large-Scale Machine Learning. In Proceedings of the 12th USENIX Symposium on Operating Systems Design and Implementation (OSDI 16), Savannah, GA, USA, 2–4 November 2016; pp. 265–283. [Google Scholar] [CrossRef]
- Paszke, A.; Gross, S.; Massa, F.; Lerer, A.; Bradbury, J.; Chanan, G.; Killeen, T.; Lin, Z.; Gimelshein, N.; Antiga, L.; et al. PyTorch: An Imperative Style, High-Performance Deep Learning Library. In Advances in Neural Information Processing Systems; Wallach, H., Larochelle, H., Beygelzimer, A., d’Alché-Buc, F., Fox, E., Garnett, R., Eds.; Curran Associates, Inc.: Red Hook, NY, USA, 2019; Volume 32. [Google Scholar]
- Ojala, M.; Garriga, G.C. Permutation Tests for Studying Classifier Performance. In Proceedings of the 2009 Ninth IEEE International Conference on Data Mining, Miami Beach, FL, USA, 6–9 December 2009; pp. 908–913. [Google Scholar]
- learn developers, S. Cross-Validation: Evaluating Estimator Performance. Available online: https://scikit-learn.org/stable/modules/cross_validation.html (accessed on 18 January 2022).
- Sokolova, M.; Lapalme, G. A systematic analysis of performance measures for classification tasks. Inf. Process. Manag. 2009, 45, 427–437. [Google Scholar] [CrossRef]
- Kingma, D.P.; Ba, J. Adam: A Method for Stochastic Optimization. arXiv 2017, arXiv:1412.6980. [Google Scholar]
- Eng, J. Receiver Operating Characteristic Analysis: A Primer. Acad. Radiol. 2005, 12, 909–916. [Google Scholar] [CrossRef]
- Brown, C.D.; Davis, H.T. Receiver operating characteristics curves and related decision measures: A tutorial. Chemom. Intell. Lab. Syst. 2006, 80, 24–38. [Google Scholar] [CrossRef]
- Heckler, W.F.; de Carvalho, J.V.; Barbosa, J.L.V. Machine learning for suicidal ideation identification: A systematic literature review. Comput. Hum. Behav. 2022, 128, 107095. [Google Scholar] [CrossRef]
- Mujtaba, G.; Shuib, L.; Idris, N.; Hoo, W.L.; Raj, R.G.; Khowaja, K.; Shaikh, K.; Nweke, H.F. Clinical text classification research trends: Systematic literature review and open issues. Expert Syst. Appl. 2019, 116, 494–520. [Google Scholar] [CrossRef]
- Roy, A.; Nikolitch, K.; McGinn, R.; Jinah, S.; Klement, W.; Kaminsky, Z. A machine learning approach predicts future risk to suicidal ideation from social media data. NPJ Digit. Med. 2020, 3, 78. [Google Scholar] [CrossRef] [PubMed]
- Joo, J.; Hwang, S.; Gallo, J.J. Death Ideation and Suicidal Ideation in a Community Sample Who Do Not Meet Criteria for Major Depression. Crisis 2016, 37, 161–165. [Google Scholar] [CrossRef] [Green Version]
- Pourmand, A.; Roberson, J.; Caggiula, A.; Monsalve, N.; Rahimi, M.; Torres-Llenza, V. Social Media and Suicide: A Review of Technology-Based Epidemiology and Risk Assessment. Telemed. e-Health 2019, 25, 880–888. [Google Scholar] [CrossRef]
- Maher, N.A.; Senders, J.T.; Hulsbergen, A.F.; Lamba, N.; Parker, M.; Onnela, J.P.; Bredenoord, A.L.; Smith, T.R.; Broekman, M.L. Passive data collection and use in healthcare: A systematic review of ethical issues. Int. J. Med. Informatics 2019, 129, 242–247. [Google Scholar] [CrossRef]
- Adadi, A.; Berrada, M. Peeking Inside the Black-Box: A Survey on Explainable Artificial Intelligence (XAI). IEEE Access 2018, 6, 52138–52160. [Google Scholar] [CrossRef]












| Portuguese Language (PT-BR) | English Language |
|---|---|
| suicida | suicidal |
| suicídio | suicide |
| me matar | kill myself |
| meu bilhete suicida | my suicide note |
| minha carta suicida | my suicide letter |
| acabar com a minha vida | end my life |
| nunca acordar | never wake up |
| não consigo continuar | can’t go on |
| não vale a pena viver | not worth living |
| pronto para pular | ready to jump |
| dormir pra sempre | sleep forever |
| quero morrer | want to die |
| estar morto | be dead |
| melhor sem mim | better off without me |
| melhor morto | better of dead |
| plano de suicídio | suicide plan |
| pacto de suicídio | suicide pact |
| cansado de viver | tired of living |
| não quero estar aqui | don’t want to be here |
| morrer sozinho | die alone |
| ir dormir pra sempre | go to sleep forever |
| Class | Tweet (PT-BR) | Tweet (English) |
|---|---|---|
| Negative | meu sonho é dormir pra sempre mas quem dorme pra sempre eh quem morre mas eu não quero morrer só quero dormir pra sempre msm. | my dream is to sleep forever, but the one who sleeps forever is the one who dies, but I don’t want to die, I just want to sleep much. |
| Positive | daí você mistura um monte de remédios esperando sei lá dormir pra sempre e acorda já no dia seguinte só com uma dor no estômago absurda acordada triste com dor no estômago mais azarada que eu. | then you mix a bunch of meds hoping, I don’t know, to sleep forever and wake up the next day only with an absurd stomachache, I’m awake sad, and my stomach hurts, more unlucky than me. |
| Actual Values | ||||
|---|---|---|---|---|
| Positive | Negative | Total | ||
| Predicted Values | Positive | True Positive | False Positive | |
| Negative | False Negative | True Negative | ||
| Total | ||||
| Algorithms/Metrics | Accuracy | Precision | Recall | F-Score |
|---|---|---|---|---|
| SVC | 0.902 | 0.825 | 0.840 | 0.832 |
| Extra trees classifier | 0.935 | 0.897 | 0.877 | 0.876 |
| Random forest classifier | 0.931 | 0.871 | 0.895 | 0.883 |
| Gradient boosting classifier | 0.866 | 0.723 | 0.870 | 0.789 |
| MLP classifier | 0.873 | 0.745 | 0.855 | 0.796 |
Publisher’s Note: MDPI stays neutral with regard to jurisdictional claims in published maps and institutional affiliations. |
© 2022 by the authors. Licensee MDPI, Basel, Switzerland. This article is an open access article distributed under the terms and conditions of the Creative Commons Attribution (CC BY) license (https://creativecommons.org/licenses/by/4.0/).
Share and Cite
Diniz, E.J.S.; Fontenele, J.E.; de Oliveira, A.C.; Bastos, V.H.; Teixeira, S.; Rabêlo, R.L.; Calçada, D.B.; dos Santos, R.M.; de Oliveira, A.K.; Teles, A.S. Boamente: A Natural Language Processing-Based Digital Phenotyping Tool for Smart Monitoring of Suicidal Ideation. Healthcare 2022, 10, 698. https://doi.org/10.3390/healthcare10040698
Diniz EJS, Fontenele JE, de Oliveira AC, Bastos VH, Teixeira S, Rabêlo RL, Calçada DB, dos Santos RM, de Oliveira AK, Teles AS. Boamente: A Natural Language Processing-Based Digital Phenotyping Tool for Smart Monitoring of Suicidal Ideation. Healthcare. 2022; 10(4):698. https://doi.org/10.3390/healthcare10040698
Chicago/Turabian StyleDiniz, Evandro J. S., José E. Fontenele, Adonias C. de Oliveira, Victor H. Bastos, Silmar Teixeira, Ricardo L. Rabêlo, Dario B. Calçada, Renato M. dos Santos, Ana K. de Oliveira, and Ariel S. Teles. 2022. "Boamente: A Natural Language Processing-Based Digital Phenotyping Tool for Smart Monitoring of Suicidal Ideation" Healthcare 10, no. 4: 698. https://doi.org/10.3390/healthcare10040698
APA StyleDiniz, E. J. S., Fontenele, J. E., de Oliveira, A. C., Bastos, V. H., Teixeira, S., Rabêlo, R. L., Calçada, D. B., dos Santos, R. M., de Oliveira, A. K., & Teles, A. S. (2022). Boamente: A Natural Language Processing-Based Digital Phenotyping Tool for Smart Monitoring of Suicidal Ideation. Healthcare, 10(4), 698. https://doi.org/10.3390/healthcare10040698

