Emergence of Self-Organized Dynamical Domains in a Ring of Coupled Population Oscillators
Abstract
1. Introduction
2. Models

3. Results
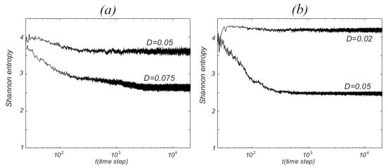
3.1. Coexisting Chaotic and Regular Dynamical Patterns in the Rings of Oscillators
3.2. Resonance as the Cause of Transformation of Chaos into Regular Dynamics
4. Concluding Remarks
Author Contributions
Funding
Institutional Review Board Statement
Informed Consent Statement
Data Availability Statement
Acknowledgments
Conflicts of Interest
References
- Turchin, P. Complex Population Dynamics. A Theoretical/Empirical Synthesis; University Princeton: Oxford, UK, 2003; 452p. [Google Scholar]
- Kot, M. Elements of Mathematical Ecology; Cambridge University: Cambridge, UK, 2001; 464p. [Google Scholar]
- Solé, R.V.; Bascompte, J. Self-Organization in Complex Ecosystems; Princeton University: Princeton, NJ, USA, 2006; 372p. [Google Scholar]
- Otto, S.P.; Day, T. A Biologist’s Guide to Mathematical Modeling in Ecology and Evolution; Princeton University: Princeton, NJ, USA, 2007; 732p. [Google Scholar]
- Medvinsky, A.B. Chaos and predictability in population dynamics. Nonlinear Dyn. Psychol. Life Sci. 2009, 13, 311–326. [Google Scholar]
- Medvinsky, A.B.; Adamovich, B.V.; Chakraborty, A.; Lukyanova, E.V.; Mikheyeva, T.M.; Nurieva, N.I.; Radchikova, N.P.; Rusakov, A.V.; Zhukova, T.V. Chaos far away from the edge of chaos: A recurrence quantification analysis of plankton time series. Ecol. Complex. 2015, 23, 61–67. [Google Scholar] [CrossRef]
- Medvinsky, A.B.; Adamovich, B.V.; Aliev, R.R.; Chakraborty, A.; Lukyanova, E.V.; Mikheyeva, T.M.; Nikitina, L.V.; Nurieva, N.I.; Rusakov, A.V.; Zhukova, T.V. Temperature as a factor affecting fluctuations and predictability of the abundance of lake bacterioplankton. Ecol. Complex. 2017, 32, 90–98. [Google Scholar] [CrossRef]
- May, R.M. Biological populations with non-overlapping generations: Stable points, stable cycles, and chaos. Science 1974, 13, 311–326. [Google Scholar]
- Gompertz, B. On the nature of the function expressive of the low of mortality, and on a new method of determining the value of life contingencies. Philos. Trans. R. Soc. 1825, 27, 513–585. [Google Scholar]
- Fox, W.W. An exponential surplus yield model for optimizing in exploited fish populations. Trans. Am. Fish. Soc. 1970, 99, 80–88. [Google Scholar] [CrossRef]
- Kulp, C.W.; Niskala, B.J. Characterization of time series data. In Handbook of Applications of Chaos Theory; Skiadas, C.H., Skiadas, C., Eds.; CRC: Boca Raton, FL, USA, 2016; pp. 211–230. [Google Scholar]
- Boccara, N. Modeling Complex Systems; Springer: New York, NY, USA, 2004; 410p. [Google Scholar]
- Galilei, G. Discorsi e Dimostrazioni Matematiche, Intorno à due Nuoue Scienze; Ludovico Elseviro: Leida, Spain, 1638; 225p. [Google Scholar]
- Seeger, R.J. Galileo Galilei. His Life and His Works; Pergamon: New York, NY, USA, 1966; 286p. [Google Scholar]
- Huygens, C. Horologium Oscillatorium; Apud F. Muguet: Parisiis, France, 1673; 161p. [Google Scholar]
- Pikovsky, A.; Rosenblum, M.; Kurths, J. Synchronization. In A Universal Concept in Nonlinear Sciences; Cambridge University: Cambridge, UK, 2001; 433p. [Google Scholar]
- Kuramoto, Y. Chemical Oscillations, Waves and Turbulence; Springer: Berlin, Germany, 1984; 164p. [Google Scholar]
- Butylkin, V.S.; Kaplan, A.E.; Khronopulo, Y.G.; Yakubovich, E.I. Resonant Nonlinear Interactions of Light with Matter; Springer: Berlin/Heidelberg, Germany, 1989; 342p. [Google Scholar]
- Hanski, I. Metapopulation Ecology; Oxford University: New York, NY, USA, 1999; 324p. [Google Scholar]
- Freund, J.A.; Pöschel, T. (Eds.) Stochastic Processes in Physics, Chemistry, and Biology; Springer: Berlin/Heidelberg, Germany, 2000; 518p. [Google Scholar]
- Glass, L. Synchronization and rhythmic processes in physiology. Nature 2001, 410, 277–284. [Google Scholar] [CrossRef] [PubMed]
- Lawson, H.S.; Holló, G.; Horvath, R.; Kitahata, H.; Lagzi, I. Chemical resonance, beats, and frequency locking in forced chemical oscillatory systems. J. Phys. Chem. Lett. 2020, 11, 3014–3019. [Google Scholar] [CrossRef] [PubMed]
- Ott, E. Chaos in Dynamical Systems; Cambridge University: Cambridge, UK, 2002; 492p. [Google Scholar]
- Pisarchik, A.N.; Bashkirtseva, I.; Ryashko, L. Chaos can imply periodicity in coupled oscillators. Europhys. Lett. 2017, 117, 40005–40012. [Google Scholar] [CrossRef]
- Hastings, A. Complex interactions between dispersal and dynamics: Lessons from coupled logistic equations. Ecology 1993, 74, 1362–1372. [Google Scholar] [CrossRef]
- Vandermeer, J.; Kaufmann, A. Models of coupled population oscillators using 1-D maps. J. Math. Biol. 1998, 37, 178–202. [Google Scholar] [CrossRef][Green Version]
- Medvinsky, A.B.; Bobyrev, A.E.; Burmensky, V.A.; Kriksunov, E.A.; Nurieva, N.I.; Rusakov, A.V. Modeling aquatic communities: Trophic interactions and the body mass-and-age structure of fish populations give rise to long-period variations in fish population size. Russ. J. Numer. Anal. Math. Model. 2015, 30, 55–70. [Google Scholar] [CrossRef]
- Perretti, C.T.; Munch, S.B.; Sugihara, G. Model-free forecasting outperforms the correct mechanistic model for simulated and experimental data. Proc. Natl. Acad. Sci. USA 2013, 110, 5253–5257. [Google Scholar] [CrossRef] [PubMed]
- Viceconti, M. Multiscale modeling of human pathophysiology. In Biomechanics; Doblaré, M., Merodio, J., Eds.; Eolss Publishers: Singapore, 2015; pp. 413–435. [Google Scholar]
- Medvinsky, A.B.; Adamovich, B.V.; Rusakov, A.V.; Tikhonov, D.A.; Nurieva, N.I.; Tereshko, V.M. Population dynamics: Mathematical modeling and reality. Biophysics 2019, 64, 956–977. [Google Scholar] [CrossRef]









Publisher’s Note: MDPI stays neutral with regard to jurisdictional claims in published maps and institutional affiliations. |
© 2021 by the authors. Licensee MDPI, Basel, Switzerland. This article is an open access article distributed under the terms and conditions of the Creative Commons Attribution (CC BY) license (http://creativecommons.org/licenses/by/4.0/).
Share and Cite
Rusakov, A.V.; Tikhonov, D.A.; Nurieva, N.I.; Medvinsky, A.B. Emergence of Self-Organized Dynamical Domains in a Ring of Coupled Population Oscillators. Mathematics 2021, 9, 601. https://doi.org/10.3390/math9060601
Rusakov AV, Tikhonov DA, Nurieva NI, Medvinsky AB. Emergence of Self-Organized Dynamical Domains in a Ring of Coupled Population Oscillators. Mathematics. 2021; 9(6):601. https://doi.org/10.3390/math9060601
Chicago/Turabian StyleRusakov, Alexey V., Dmitry A. Tikhonov, Nailya I. Nurieva, and Alexander B. Medvinsky. 2021. "Emergence of Self-Organized Dynamical Domains in a Ring of Coupled Population Oscillators" Mathematics 9, no. 6: 601. https://doi.org/10.3390/math9060601
APA StyleRusakov, A. V., Tikhonov, D. A., Nurieva, N. I., & Medvinsky, A. B. (2021). Emergence of Self-Organized Dynamical Domains in a Ring of Coupled Population Oscillators. Mathematics, 9(6), 601. https://doi.org/10.3390/math9060601

