Maximum-Likelihood-Based Adaptive and Intelligent Computing for Nonlinear System Identification
Abstract
:1. Introduction
1.1. Background and Motivation
1.2. Objectives and Contribution
- A novel application of the evolutionary computing paradigm through maximum-likelihood-based adaptive, differential, evolution algorithm, ADEA, is explored for efficient optimization in nonlinear system identification.
- The ADEA is developed by introducing the concept of adaptiveness in the mutation and crossover operators of the standard DEA approach.
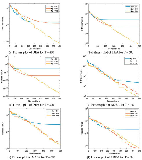
- The convergence, accuracy and robustness analyses of the ADEA are conducted for different types of nonlinearities and noise levels considered in two case studies of nonlinear systems.
- The reliability of the ADEA is tested in comparison with the standard counterpart of the DEA through executing multiple independent executions of both schemes.
- The ADEA is statistically more consistent than the DEA but less complex due to the extra operations involved in introducing the adaptiveness during the mutation and crossover.
1.3. Paper Outline
2. Mathematical Model of HOE Systems
3. Proposed Methodology
3.1. Differential Evolution Algorithm (DEA)
3.2. Adaptive Differential Evolution Algorithm (ADEA)
- Develop the target vector .
- Compute the optimal target vector .
- Using equations J() = ; = J();
- If t > T, then let t := t + 1 and go back to Step 2; otherwise, obtain the optimal target vector .
| Algorithm 1 Pseudo-code of the ADEA |
| Input: Collect data { (1), (2), …, (N)} and { (1), (2), …, (N)}. Given the population size Np, the mutation factor F and maximum generation T. Let the generation t = 1. Output:
|
4. Simulation and Performance Analyses
4.1. Case Study 1
4.2. Case Study 2
4.3. Statistical Study of DEA and ADEA
5. Conclusions
Author Contributions
Funding
Institutional Review Board Statement
Informed Consent Statement
Data Availability Statement
Acknowledgments
Conflicts of Interest
References
- Beck, J.V.; Arnold, K.J. Parameter Estimation in Engineering and Science; John Wiley & Sons: Hoboken, NJ, USA, 1977. [Google Scholar]
- Su, X.; Xia, F.; Liu, J.; Wu, L. Event-triggered fuzzy control of nonlinear systems with its application to inverted pendulum systems. Automatica 2018, 94, 236–248. [Google Scholar] [CrossRef]
- Yao, J.; Deng, W. Active disturbance rejection adaptive control of uncertain nonlinear systems: Theory and application. Nonlinear Dyn. 2017, 89, 1611–1624. [Google Scholar] [CrossRef]
- Niu, B.; Ahn, C.K.; Li, H.; Liu, M. Adaptive control for stochastic switched nonlower triangular nonlinear systems and its application to a one-link manipulator. IEEE Trans. Syst. Man Cybern. Syst. 2017, 48, 1701–1714. [Google Scholar] [CrossRef]
- Sun, R.; Na, J.; Zhu, B. Robust approximation-free prescribed performance control for nonlinear systems and its application. Int. J. Syst. Sci. 2018, 49, 511–522. [Google Scholar] [CrossRef]
- Chakour, C.; Benyounes, A.; Boudiaf, M. Diagnosis of uncertain nonlinear systems using interval kernel principal components analysis: Application to a weather station. ISA Trans. 2018, 83, 126–141. [Google Scholar] [CrossRef]
- Benamor, A.; Messaoud, H. A new adaptive sliding mode control of nonlinear systems using Volterra series: Application to hydraulic system. Int. J. Model. Identif. Control 2018, 29, 44–52. [Google Scholar] [CrossRef]
- Da Silva, S.; Cogan, S.; Foltête, E. Nonlinear identification in structural dynamics based on Wiener series and Kautz filters. Mech. Syst. Signal Process. 2010, 24, 52–58. [Google Scholar] [CrossRef] [Green Version]
- Billings, S.A. Nonlinear System Identification: NARMAX Methods in the Time, Frequency, and Spatio-Temporal Domains; Wiley: West Sussex, UK, 2013. [Google Scholar]
- Ławryńczuk, M.; Tatjewski, P. Offset-free state-space nonlinear predictive control for Wiener systems. Inf. Sci. 2020, 511, 127–151. [Google Scholar] [CrossRef]
- Ławryńczuk, M. MPC Algorithms Using Input-Output Wiener Models. In Nonlinear Predictive Control Using Wiener Models; Springer: Cham, Switzerland, 2022; pp. 71–141. [Google Scholar]
- Ławryńczuk, M. MPC of State-Space Benchmark Wiener Processes. In Nonlinear Predictive Control Using Wiener Models; Springer: Cham, Switzerland, 2022; pp. 309–336. [Google Scholar]
- Boubaker, S. Identification of nonlinear Hammerstein system using mixed integer-real coded particle swarm optimization: Application to the electric daily peak-load forecasting. Nonlinear Dyn. 2017, 90, 797–814. [Google Scholar] [CrossRef]
- Cheng, C.M.; Peng, Z.K.; Zhang, W.M.; Meng, G. Volterra-series-based nonlinear system modeling and its engineering applications: A state-of-the-art review. Mech. Syst. Signal Process. 2017, 87, 340–364. [Google Scholar] [CrossRef]
- Sidorov, D.N.; Sidorov, N.A. Convex majorants method in the theory of nonlinear Volterra equations. Banach J. Math. Anal. 2012, 6, 1–10. [Google Scholar] [CrossRef]
- Noeiaghdam, S.; Sidorov, D.; Wazwaz, A.M.; Sidorov, N.; Sizikov, V. The Numerical Validation of the Adomian Decomposition Method for Solving Volterra Integral Equation with Discontinuous Kernels Using the CESTAC Method. Mathematics 2021, 9, 260. [Google Scholar] [CrossRef]
- Sidorov, D.; Muftahov, I.; Tynda, A. Numerical solution of fractional Volterra integral equation with piecewise continuous kernel. In Journal of Physics: Conference Series; IOP Publishing: Bristol, UK, 2021; Volume 1847, p. 012011. [Google Scholar]
- Sidorov, D.; Muftahov, I.; Tomin, N.; Karamov, D.; Panasetsky, D.; Dreglea, A.; Liu, F.; Foley, A. A dynamic analysis of energy storage with renewable and diesel generation using Volterra equations. IEEE Trans. Ind. Inform. 2019, 16, 3451–3459. [Google Scholar] [CrossRef] [Green Version]
- Kibangou, A.Y.; Favier, G. Tensor analysis-based model structure determination and parameter estimation for block-oriented nonlinear systems. IEEE J. Sel. Top. Signal Process. 2010, 4, 514–525. [Google Scholar] [CrossRef]
- Cheng, C.M.; Dong, X.J.; Peng, Z.K.; Zhang, W.M.; Meng, G. Kautz basis expansion-based Hammerstein system identification through separable least squares method. Mech. Syst. Signal Process. 2019, 121, 929–941. [Google Scholar] [CrossRef]
- Holcomb, C.M.; de Callafon, R.A.; Bitmead, R.R. Closed-Loop Identification of Hammerstein Systems with Application to Gas Turbines. IFAC Proc. Vol. 2014, 47, 493–498. [Google Scholar] [CrossRef] [Green Version]
- AitMaatallah, O.; Achuthan, A.; Janoyan, K.; Marzocca, P. Recursive wind speed forecasting based on Hammerstein Auto-Regressive model. Appl. Energy 2015, 145, 191–197. [Google Scholar] [CrossRef]
- Liang, T.; Dinavahi, V. Real-Time System-on-Chip Emulation of Electro-Thermal Models for Power Electronic Devices Via Hammerstein Configuration. IEEE J. Emerg. Sel. Top. Power Electron. 2017, 6, 203–218. [Google Scholar] [CrossRef]
- Le, F.; Markovsky, I.; Freeman, C.T.; Rogers, E. Recursive identification of Hammerstein systems with application to electrically stimulated muscle. Control. Eng. Pract. 2012, 20, 86–396. [Google Scholar] [CrossRef] [Green Version]
- Ding, F.; Chen, H.; Xu, L.; Hayat, T. A hierarchical least squares identification algorithm for Hammerstein nonlinear systems using the key term separation. J. Frankl. Inst. 2018, 355, 3737–3752. [Google Scholar] [CrossRef]
- Castro-Garcia, R.; Agudelo, O.M.; Suykens, J.A. Impulse response constrained LS-SVM modelling for MIMO Hammerstein system identification. Int. J. Control. 2018, 92, 908–925. [Google Scholar] [CrossRef]
- Chaudhary, N.I.; Zubair, S.; Aslam, M.S.; Raja, M.A.Z.; Machado, J.T. Design of momentum fractional LMS for Hammerstein nonlinear system identification with application to electrically stimulated muscle model. Eur. Phys. J. Plus 2019, 134, 407. [Google Scholar] [CrossRef]
- Chaudhary, N.I.; Raja, M.A.Z.; He, Y.; Khan, Z.A.; Machado, J.T. Design of multi innovation fractional LMS algorithm for parameter estimation of input nonlinear control autoregressive systems. Appl. Math. Model. 2021, 93, 412–425. [Google Scholar] [CrossRef]
- Xiong, W.; Ding, F. Iterative identification algorithms for input nonlinear output error autoregressive systems. Int. J. Control. Autom. Syst. 2016, 14, 140–147. [Google Scholar]
- Raja, M.A.Z.; Shah, A.A.; Mehmood, A.; Chaudhary, N.I.; Aslam, M.S. Bio-inspired computational heuristics for parameter estimation of nonlinear Hammerstein controlled autoregressive system. Neural Comput. Appl. 2018, 29, 1455–1474. [Google Scholar] [CrossRef]
- Mehmood, A.; Chaudhary, N.I.; Zameer, A.; Raja, M.A.Z. Novel computing paradigms for parameter estimation in Hammerstein controlled auto regressive auto regressive moving average systems. Appl. Soft Comput. 2019, 80, 263–284. [Google Scholar] [CrossRef]
- Mehmood, A.; Chaudhary, N.I.; Zameer, A.; Raja, M.A.Z. Backtracking search optimization heuristics for nonlinear Hammerstein controlled auto regressive auto regressive systems. ISA Trans. 2019, 91, 99–113. [Google Scholar] [CrossRef]
- Mohammadi Moghadam, H.; Mohammadzadeh, A.; Hadjiaghaie Vafaie, R.; Tavoosi, J.; Khooban, M.H. A type-2 fuzzy control for active/reactive power control and energy storage management. Trans. Inst. Meas. Control. 2021, 01423312211048038. [Google Scholar] [CrossRef]
- Tavoosi, J.; Mohammadzadeh, A.; Jermsittiparsert, K. A review on type-2 fuzzy neural networks for system identification. Soft Comput. 2021, 25, 7197–7212. [Google Scholar] [CrossRef]
- Tavoosi, J.; Suratgar, A.A.; Menhaj, M.B.; Mosavi, A.; Mohammadzadeh, A.; Ranjbar, E. Modeling Renewable Energy Systems by a Self-Evolving Nonlinear Consequent Part Recurrent Type-2 Fuzzy System for Power Prediction. Sustainability 2021, 13, 3301. [Google Scholar] [CrossRef]
- Tavoosi, J.; Shirkhani, M.; Abdali, A.; Mohammadzadeh, A.; Nazari, M.; Mobayen, S.; Bartoszewicz, A. A New General Type-2 Fuzzy Predictive Scheme for PID Tuning. Appl. Sci. 2021, 11, 10392. [Google Scholar] [CrossRef]
- Tavoosi, J.; Zhang, C.; Mohammadzadeh, A.; Mobayen, S.; Mosavi, A.H. Medical Image Interpolation Using Recurrent Type-2 Fuzzy Neural Network. Front. Neuroinformatics 2021, 15, 667375. [Google Scholar] [CrossRef]
- Mehmood, A.; Aslam, M.S.; Chaudhary, N.I.; Zameer, A.; Raja, M.A.Z. Parameter estimation for Hammerstein control autoregressive systems using differential evolution. Signal Image Video Process. 2018, 12, 1603–1610. [Google Scholar] [CrossRef]
- Cui, T.; Xu, L.; Ding, F.; Alsaedi, A.; Hayat, T. Maximum likelihood-based adaptive differential evolution identification algorithm for multivariable systems in the state-space form. Int. J. Adapt. Control. Signal Process. 2020, 34, 1658–1676. [Google Scholar] [CrossRef]
- Pouliquen, M.; Pigeon, E.; Gehan, O. Identification scheme for Hammerstein output error models with bounded noise. IEEE Trans. Autom. Control. 2015, 61, 550–555. [Google Scholar] [CrossRef]
- Stron, R.; Price, K. Differential evolution—A simple and efficient adaptive scheme for global optimization over continuous space. J. Glob. Optim. 1997, 11, 341–359. [Google Scholar] [CrossRef]
- Deng, W.; Liu, H.; Xu, J.; Zhao, H.; Song, Y. An improved quantum-inspired differential evolution algorithm for deep belief network. IEEE Trans. Instrum. Meas. 2020, 69, 7319–7327. [Google Scholar] [CrossRef]
- Peng, L.; Liu, S.; Liu, R.; Wang, L. Effective long short-term memory with differential evolution algorithm for electricity price prediction Energy 2018, 162, 1301–1314. Energy 2017, 162, 1301–1314. [Google Scholar] [CrossRef]
- Biswas, P.P.; Suganthan, P.N.; Wu, G.; Amaratunga, G.A.J. Parameter estimation of solar cells using datasheet information with the application of an adaptive differential evolution algorithm. Renew. Energy 2019, 132, 425–438. [Google Scholar] [CrossRef]
- Wang, L.; Hu, H.; Ai, X.-Y.; Liu, H. Effective electricity energy consumption forecasting using echo state network improved by differential evolution algorithm. Energy 2018, 153, 801–815. [Google Scholar] [CrossRef]
- Li, S.; Gu, Q.; Gong, W.; Ning, B. An enhanced adaptive differential evolution algorithm for parameter extraction of photovoltaic models. Energy Convers. Manag. 2020, 205, 112443. [Google Scholar] [CrossRef]
- Peng, Y.; He, S.; Sun, K. Parameter identification for discrete memristive chaotic map using adaptive differential evolution algorithm. Nonlinear Dyn. 2021, 1–13. [Google Scholar] [CrossRef]
- Ramli, M.A.M.; Bouchekara, H.R.E.H.; Alghamdi, A.S. Optimal sizing of PV/wind/diesel hybrid microgrid system using multi-objective self-adaptive differential evolution algorithm. Renew. Energy 2018, 121, 400–411. [Google Scholar] [CrossRef]
- Mohamed, A.W.; Suganthan, P.N. Real-parameter unconstrained optimization based on enhanced fitness-adaptive differential evolution algorithm with novel mutation. Soft Comput. 2018, 22, 3215–3235. [Google Scholar] [CrossRef]
- Sakr, W.S.; L-Sehiemy, R.A.E.; Azmy, A.M. Adaptive differential evolution algorithm for efficient reactive power management. Appl. Soft Comput. 2017, 53, 336–351. [Google Scholar] [CrossRef]
- Wang, S.; Li, Y.; Yang, H.; Liu, H. Self-adaptive differential evolution algorithm with improved mutation strategy. Soft Comput. 2018, 22, 3433–3447. [Google Scholar] [CrossRef]
- Wang, S.; Li, Y.; Yang, H. Self-adaptive differential evolution algorithm with improved mutation mode. Appl. Intell. 2017, 47, 644–658. [Google Scholar] [CrossRef]
- Fu, C.M.; Jiang, C.; Chen, G.S.; Liu, Q.M. An adaptive differential evolution algorithm with an aging leader and challengers mechanism. Appl. Soft Comput. 2017, 57, 60–73. [Google Scholar] [CrossRef]
- Mohamed, A.W. Solving large-scale global optimization problems using enhanced adaptive differential evolution algorithm. Complex Intell. Syst. 2017, 3, 205–231. [Google Scholar] [CrossRef] [Green Version]
- Ding, F.; Shi, Y.; Chen, T. Auxiliary model-based least-squares identification methods for Hammerstein output-error systems. Syst. Control. Lett. 2007, 56, 373–380. [Google Scholar] [CrossRef]
- Bakhtadze, N.; Yadykin, I.; Maximov, E.; Maximova, N.; Chereshko, A.; Vershinin, Y. Forecasting the Risks of Stability Loss for Nonlinear Supply Energy Systems. IFAC-Pap. 2021, 54, 478–483. [Google Scholar] [CrossRef]
- Klimchenko, V.; Torgashov, A.; Shardt, Y.A.; Yang, F. Multi-Output Soft Sensor with a Multivariate Filter That Predicts Errors Applied to an Industrial Reactive Distillation Process. Mathematics 2021, 9, 1947. [Google Scholar] [CrossRef]
- Bakhtadze, N.; Yadikin, I. Discrete Predictive Models for Stability Analysis of Power Supply Systems. Mathematics 2020, 8, 1943. [Google Scholar] [CrossRef]
- Bakhtadze, N.; Karsaev, O.; Sabitov, R.; Smirnova, G.; Eponeshnikov, A.; Sabitov, S. Identification models in flexible delivery systems for groupage cargoes. Procedia Comput. Sci. 2020, 176, 225–232. [Google Scholar] [CrossRef]
- Ramos-Pérez, J.M.; Miranda, G.; Segredo, E.; León, C.; Rodríguez-León, C. Application of Multi-Objective Evolutionary Algorithms for Planning Healthy and Balanced School Lunches. Mathematics 2021, 9, 80. [Google Scholar] [CrossRef]
- Mohammadzadeh, A.; Kumbasar, T. A new fractional-order general type-2 fuzzy predictive control system and its application for glucose level regulation. Appl. Soft Comput. 2020, 91, 106241. [Google Scholar] [CrossRef]
- Mosavi, A.; Qasem, S.N.; Shokri, M.; Band, S.S.; Mohammadzadeh, A. Fractional-order fuzzy control approach for photovoltaic/battery systems under unknown dynamics, variable irradiation and temperature. Electronics 2020, 9, 1455. [Google Scholar] [CrossRef]
- Vafaie, R.H.; Mohammadzadeh, A.; Piran, M. A new type-3 fuzzy predictive controller for MEMS gyroscopes. Nonlinear Dyn. 2021, 106, 381–403. [Google Scholar] [CrossRef]
- Qasem, S.N.; Ahmadian, A.; Mohammadzadeh, A.; Rathinasamy, S.; Pahlevanzadeh, B. A type-3 logic fuzzy system: Optimized by a correntropy based Kalman filter with adaptive fuzzy kernel size. Inf. Sci. 2021, 572, 424–443. [Google Scholar] [CrossRef]


















| Sr. No. | Type of Parameter | DEA | ADEA |
|---|---|---|---|
| 1 | Number of variables | 8 | 8 |
| 2 | Mutation factor | 0.25 | Adaptive |
| 3 | Crossover probability | 0.8 | Adaptive |
| 4 | Lower bound | −2 | −2 |
| 5 | Upper bound | 2 | 2 |
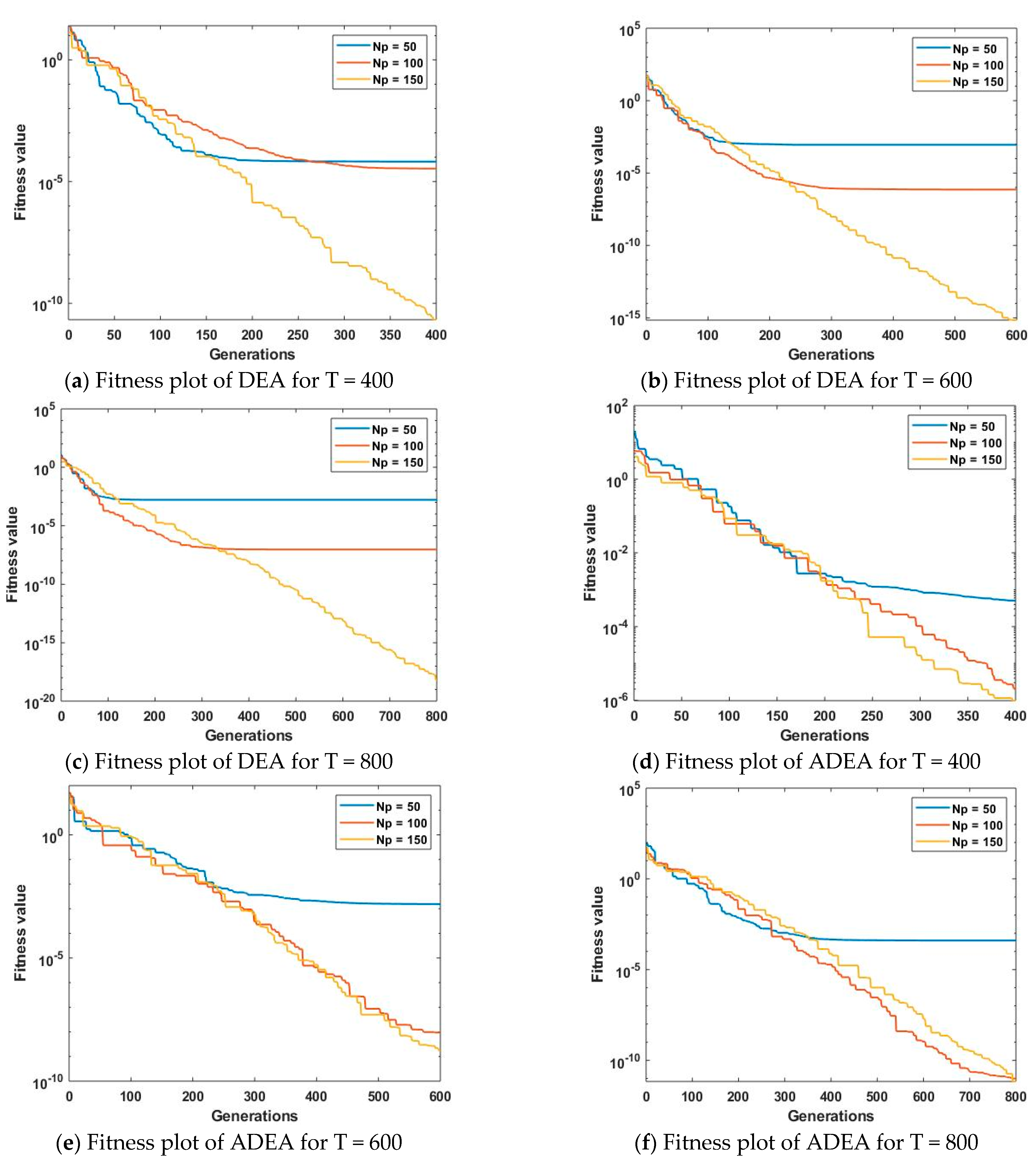
| Generations (T) | Population Size (Np) | DEA Fitness | ADEA Fitness |
|---|---|---|---|
| 400 | 50 | 1.32 × 10−4 | 2.33 × 10−6 |
| 100 | 2.89 × 10−6 | 7.86 × 10−9 | |
| 150 | 3.41 × 10−10 | 6.63 × 10−9 | |
| 600 | 50 | 1.09 × 10−4 | 3.44 × 10−7 |
| 100 | 2.44 × 10−7 | 4.21 × 10−11 | |
| 150 | 4.53 × 10−9 | 3.33 × 10−12 | |
| 800 | 50 | 5.16 × 10−5 | 6.54 × 10−9 |
| 100 | 1.01 × 10−6 | 3.24 × 10−14 | |
| 150 | 2.26 × 10−9 | 7.08 × 10−15 |
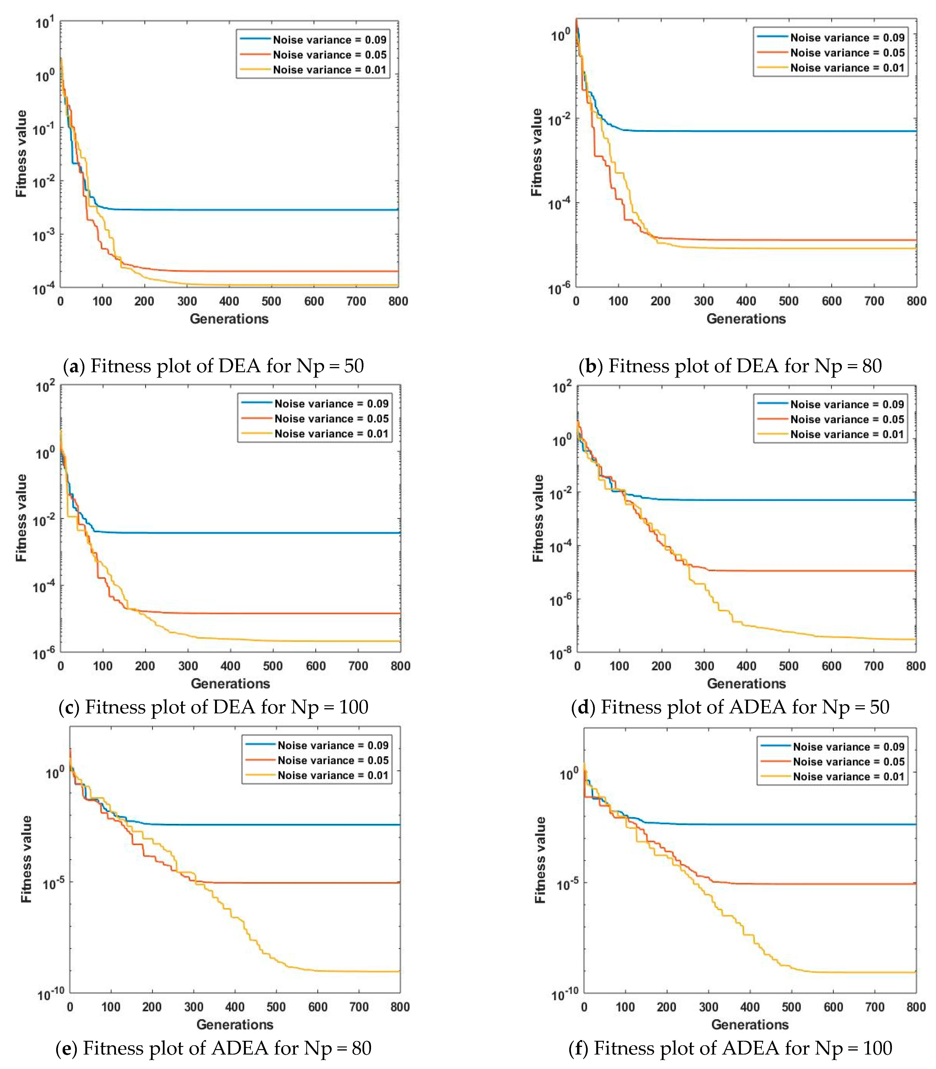
| Noise Variance | Population Size (Np) | DEA Fitness | ADEA Fitness |
|---|---|---|---|
| 0.09 | 50 | 2.84 × 10−3 | 5.02 × 10−3 |
| 80 | 4.94 × 10−3 | 3.73 × 10−3 | |
| 100 | 3.71 × 10−3 | 4.21 × 10−3 | |
| 0.05 | 50 | 2.01 × 10−4 | 1.13 × 10−5 |
| 80 | 1.30 × 10−5 | 9.05 × 10−6 | |
| 100 | 1.44 × 10−5 | 8.68 × 10−6 | |
| 0.01 | 50 | 1.11 × 10−4 | 3.03 × 10−8 |
| 80 | 8.22 × 10−6 | 9.18 × 10−10 | |
| 100 | 2.12 × 10−6 | 8.69 × 10−10 |
| Generations (T) | Population Size (Np) | DEA Fitness | ADEA Fitness |
|---|---|---|---|
| 400 | 50 | 7.14 × 10−5 | 1.77 × 10−4 |
| 100 | 9.44 × 10−6 | 1.37 × 10−5 | |
| 150 | 8.89 × 10−7 | 1.41 × 10−4 | |
| 600 | 50 | 2.08 × 10−5 | 1.18 × 10−4 |
| 100 | 3.82 × 10−7 | 3.40 × 10−8 | |
| 150 | 8.54 × 10−8 | 8.18 × 10−9 | |
| 800 | 50 | 1.10 × 10−5 | 1.21 × 10−7 |
| 100 | 5.17 × 10−7 | 4.63 × 10−8 | |
| 150 | 6.26 × 10−11 | 3.24 × 10−9 |
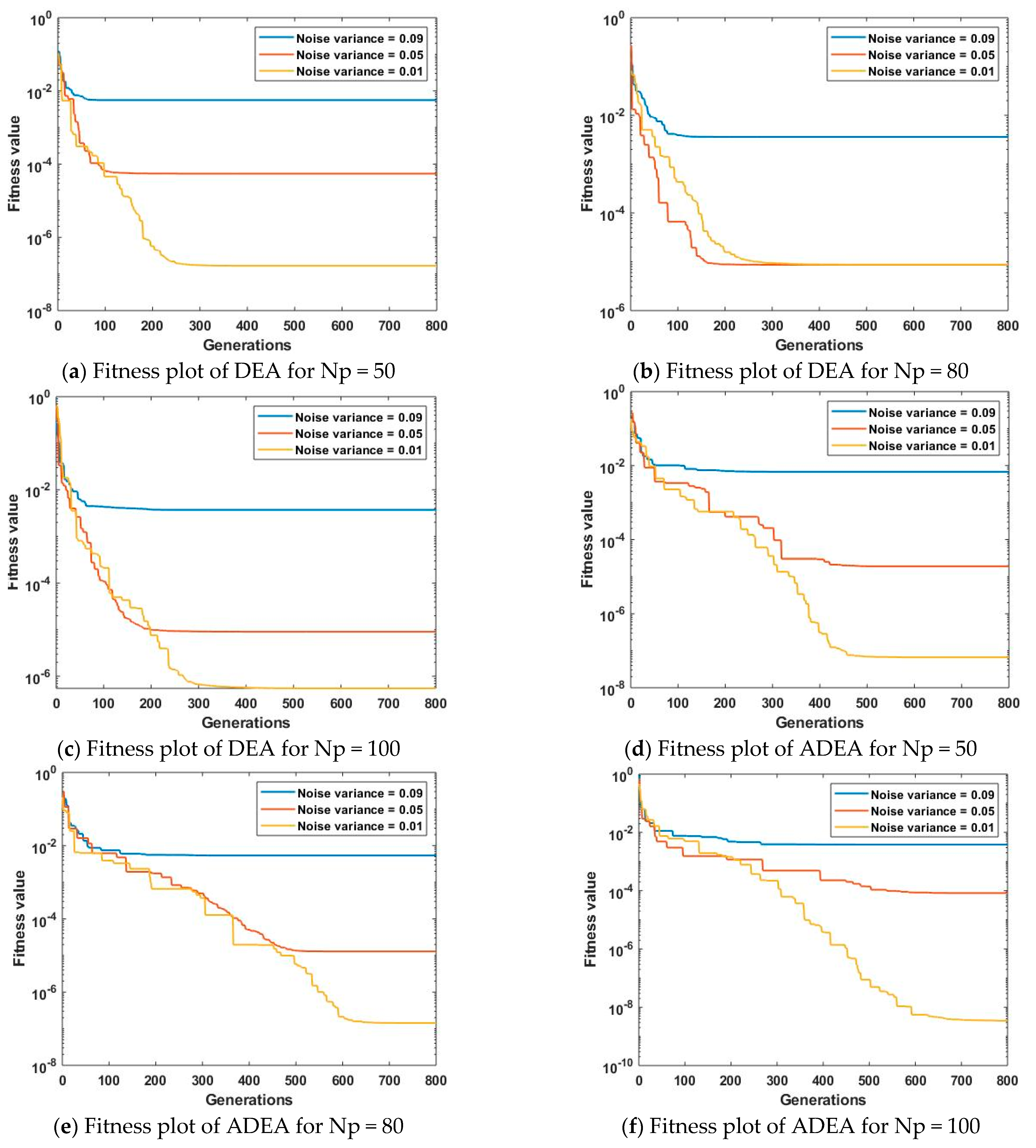
| Noise Variance | Population Size (Np) | DEA Fitness | ADEA Fitness |
|---|---|---|---|
| 0.09 | 50 | 5.60 × 10−3 | 6.79 × 10−3 |
| 80 | 3.60 × 10−3 | 5.37 × 10−3 | |
| 100 | 3.70 × 10−3 | 3.82 × 10−3 | |
| 0.05 | 50 | 5.50 × 10−5 | 1.91 × 10−5 |
| 80 | 8.68 × 10−6 | 1.29 × 10−5 | |
| 100 | 9.04 × 10−6 | 8.27 × 10−5 | |
| 0.01 | 50 | 1.67 × 10−7 | 6.63 × 10−7 |
| 80 | 8.74 × 10−6 | 1.43 × 10−8 | |
| 100 | 5.49 × 10−7 | 3.46 × 10−9 |
| Generations (T) | Population Size (Np) | DEA Fitness | ADEA Fitness |
|---|---|---|---|
| 400 | 50 | 6.60 × 10−5 | 5.04 × 10−4 |
| 100 | 3.39 × 10−5 | 2.06 × 10−6 | |
| 150 | 2.12 × 10−11 | 9.71 × 10−7 | |
| 600 | 50 | 8.87 × 10−4 | 1.54 × 10−3 |
| 100 | 7.26 × 10−7 | 9.41 × 10−9 | |
| 150 | 7.01 × 10−16 | 1.69 × 10−9 | |
| 800 | 50 | 1.65 × 10−4 | 4.00 × 10−4 |
| 100 | 9.14 × 10−8 | 9.87 × 10−12 | |
| 150 | 6.32 × 10−19 | 6.84 × 10−12 |
| Generations (T) | Population Size (Np) | DEA Fitness | ADEA Fitness |
|---|---|---|---|
| 400 | 50 | 1.46 × 10−3 | 2.51 × 10−5 |
| 100 | 3.18 × 10−5 | 4.79 × 10−7 | |
| 150 | 1.04 × 10−5 | 1.90 × 10−7 | |
| 600 | 50 | 2.34 × 10−4 | 3.30 × 10−5 |
| 100 | 3.88 × 10−6 | 3.67 × 10−7 | |
| 150 | 4.66 × 10−10 | 4.37 × 10−9 | |
| 800 | 50 | 5.55 × 10−4 | 5.84 × 10−10 |
| 100 | 2.31 × 10−7 | 5.03 × 10−10 | |
| 150 | 7.68 × 10−12 | 3.78 × 10−12 |
| Noise Level | Population Size (Np) | DEA Fitness | ADEA Fitness |
|---|---|---|---|
| 0.09 | 50 | 0.013 | 4.23 × 10−3 |
| 80 | 0.008 | 2.91 × 10−3 | |
| 100 | 0.001 | 1.98 × 10−3 | |
| 0.05 | 50 | 4.89 × 10−5 | 1.05 × 10−5 |
| 80 | 8.97 × 10−4 | 7.46 × 10−6 | |
| 100 | 3.57 × 10−5 | 5.01 × 10−6 | |
| 0.01 | 50 | 1.54 × 10−6 | 8.66 × 10−8 |
| 80 | 1.03 × 10−6 | 8.66 × 10−10 | |
| 100 | 3.40 × 10−6 | 5.02 × 10−10 |
| Noise Variance | Population Size (Np) | DEA Fitness | ADEA Fitness |
|---|---|---|---|
| 0.09 | 50 | 1.36 × 10−3 | 4.60 × 10−3 |
| 80 | 3.90 × 10−3 | 3.29 × 10−3 | |
| 100 | 2.70 × 10−3 | 1.59 × 10−3 | |
| 0.05 | 50 | 5.28 × 10−5 | 1.14 × 10−5 |
| 80 | 8.80 × 10−6 | 2.63 × 10−5 | |
| 100 | 4.61 × 10−6 | 3.97 × 10−6 | |
| 0.01 | 50 | 2.58 × 10−5 | 1.54 × 10−7 |
| 80 | 1.09 × 10−9 | 4.39 × 10−6 | |
| 100 | 4.20 × 10−7 | 1.39 × 10−7 |
Publisher’s Note: MDPI stays neutral with regard to jurisdictional claims in published maps and institutional affiliations. |
© 2021 by the authors. Licensee MDPI, Basel, Switzerland. This article is an open access article distributed under the terms and conditions of the Creative Commons Attribution (CC BY) license (https://creativecommons.org/licenses/by/4.0/).
Share and Cite
Tariq, H.B.; Chaudhary, N.I.; Khan, Z.A.; Raja, M.A.Z.; Cheema, K.M.; Milyani, A.H. Maximum-Likelihood-Based Adaptive and Intelligent Computing for Nonlinear System Identification. Mathematics 2021, 9, 3199. https://doi.org/10.3390/math9243199
Tariq HB, Chaudhary NI, Khan ZA, Raja MAZ, Cheema KM, Milyani AH. Maximum-Likelihood-Based Adaptive and Intelligent Computing for Nonlinear System Identification. Mathematics. 2021; 9(24):3199. https://doi.org/10.3390/math9243199
Chicago/Turabian StyleTariq, Hasnat Bin, Naveed Ishtiaq Chaudhary, Zeshan Aslam Khan, Muhammad Asif Zahoor Raja, Khalid Mehmood Cheema, and Ahmad H. Milyani. 2021. "Maximum-Likelihood-Based Adaptive and Intelligent Computing for Nonlinear System Identification" Mathematics 9, no. 24: 3199. https://doi.org/10.3390/math9243199
APA StyleTariq, H. B., Chaudhary, N. I., Khan, Z. A., Raja, M. A. Z., Cheema, K. M., & Milyani, A. H. (2021). Maximum-Likelihood-Based Adaptive and Intelligent Computing for Nonlinear System Identification. Mathematics, 9(24), 3199. https://doi.org/10.3390/math9243199

