Abstract
We evaluate the short-run effect of a shock in the manufacturing sector in the North America Production Network. We use input–output data for Canada, Mexico, the USA, and the North America region. With this data we represent the economies as networks and apply a network diffusion model and execute computer simulations according to different escenarios. We then study the relation between the effects of the shock and the structure of the networks by computing structural properties of sectors. Results show the limited effects of a shock on the manufacturing sector, and thus shed light on the heterogeneous impacts of the trade agreement of the region. They provide useful information to design an industrial policy focused on the development of the production network. In particular, we focus on recommendations for the Mexican economy.
Keywords:
production network; network diffusion model of shocks; structural properties of networks; North America; United States–Mexico–Canada Agreement JEL Classification:
C63; C67; D57; F15
1. Introduction
Economic systems are highly interconnected through production networks in which countries interact trading the goods and services they produce. Trade agreements within regions are devised for improving the functioning of regional production networks, and thus provide advantages in favour of the countries that sign it. We study the structural properties of production networks and how this networks react to shocks. Then, we use our results to evaluate if a free trade agreement between countries would be beneficial for each country that participates in it. We use some ideas from the complexity approach and apply computational techniques to execute computer simulations of the spread of a shock according to different escenarios.
Complex systems are composed of interacting heterogeneous parts. From these interactions, structures and common behaviours emerge [1]. These behaviours and structures cannot be inferred from the individual behaviour of their parts. In addition, complex systems are dynamic and adaptive; they change their behavoiur in response to the environment and the effect of a change is only understood by considering the direct as well as the indirect effects. In an economic system with these characteristics, the aggregate behavior cannot be deduced from the behavior of a representative agent [2]. By considering the economy as a complex system, we are able to model the economy as a complex network and apply methods and techniques that capture these direct and indirect effects [3]. We are also able to explicitly incorporate the structure of interactions. Examples include network diffusion models and the computation of centrality measures.
We study the North America production networks. In North America, Canada, Mexico, and the USA are linked together through supply chains that have integrated production networks. It is in these networks that value is added to intermediate inputs within and across countries to produce final goods [4]. The North America Free Trade Agreement (NAFTA) encouraged more trade and more cross-border investment, leading to deeper integration of production networks and increased cross border exchange. This facilitated the development of regional supply chains, most prominently in the automobile sector [5]. In 2020, all three countries signed a new free trade agreement. According to the Mexican Secretary of Economics (Secretaria de Economia in Spanish), the priorities for Mexico in the renegotiation for the new United States–Mexico–Canada Free Trade Agreement (UMCFTA in English or T-MEC acronym in Spanish) were four: (1) Strengthen competitiveness of North America, (2) Move forward a regional trade that is inclusive and responsable, (3) Embrace and take opportunities from the Twentieth Century economy, and (4) Promote certainty in trade and investment in North America [6]. In particular, priority one focuses on the strengthening of Mexico’s competitiveness in the production and export of products. It promotes the participation of more national industries in global value chains and value chains within the region. Therefore, the study of how the production network reacts to a shock will shed light on how to strengthen competitiveness of the region, in particular on the production and trade of goods that, at the same time, will bring value added to the region.
We are interested in studying the effects of a shock on the manufacturing sector in the North America Production Network (Traditionally, in the economic analysis, researchers take as the manufacturing industry a set of industries that manufacture products from the sector Food, beverages and tobacco (index 2 in Table 1) to the sector manufacturing nec recycling (index 15 in Table 1). For our analysis, we focus on the sector manufacturing (index 15)). In particular, we investigate what the short-run effects of a sectoral shock originated within a country on the regional network are. The type of shock we devise is a shock that changes the flow of inputs that this sector uses and supplies to others (We will use industry and sector interchangeably in the manuscript). Our results and conclusion focus on the particular case of Mexico and its potential gains that it can obtain from the new T-MEC. It is well documented that in the past, the gains from the NAFTA were lower than expected for Mexico. One of the elements of this poor performance is related to a modification of the pattern of exports in favour of industrial products intensive in low-qualified employment and a maquila sector weakly linked to the rest of the economic system in terms of input supply. This supply of inputs consists of imported goods. In addition, the export activities generate low value added [7]. Additionally, medium and high technology exports have weakly driven Mexico’s economic growth because they are not well integrated with the rest of the economy and add low domestic value [8]. In support of this idea, Fujii and Cervantes-Martinez [9] show that the internal backward and forward linkages of exports in the Mexican economy are weak. Only a few sectors’ products are used as inputs for exports because the Mexican maquiladora industry incorporates import parts and components into the final goods that are exported. Therefore, the manufacturing sector does not play a key role in promoting economic growth. These authors in the literature showed that the manufacturing industry in the Mexican economy was not favoured by the policies that originated from the NAFTA.
Table 1.
Classification of sectors for the NAFTA region (WIOD).
In the context of North America and the New Free Trade Agreement, a shock could be viewed as a change in the rules of origin or imported content in products. In the case of Mexico, the production of products for exports has been privileged and, at the same time, has incorporated an important amount of imported intermediate products in production chains. This leads to low value added. A way to measure if a shock of this type will benefit all countries and the region involved in the FTA evenly is by observing how many other sectors are affected by the shock (the avalanche size triggered by the shock), which sectors and in which order (the waves), and the intensity of the effect (change in production after the avalanche took place). We consider that the larger the avalanche the better, because the effect of the shock is reaching a wider part of the economic system, so more industries could benefit from the change observed. However, this is not the only important result. It could be the case that a country does not have the largest avalanche, but the particular waves and those sectors that experienced the largest intensity are such that this country benefits greatly from the shock on manufacturing industry. This type of result implies that the manufacturing industry is not only better connected to the rest of the economy, but it is connected to strategic sectors. Consequently, there are connections that facilitate a better overall performance by taking advantage of linkages in the production network.
We present our results in the form of avalanche sizes—number of sectors affected by the shock, their waves—the ordered sequence of sectors that were affected, and the avalanche intensity measured as the magnitude of the effect in production for each sector after the avalanche took place. Results show that the pattern of sectors involved in the propagating waves of the shock on manufacturing are different between Mexico and the USA economy, as well as the intensity of the avalanches and the sectors most affected. Our results are relevant to design an effective and selective industrial policy that responds both to a sectoral and a systemic perspective.
Consequently, the main contribution of our paper is to show, using network analysis and computer simulations, the short run effect of a spreading shock in the manufacturing sector that triggers waves in a specific order and creates avalanches for each country and the region. This contrasts with the more traditional Input–Output analysis that assumes technological relationships between sectors constant, thus ruling out substitution between inputs originated by policies or innovations. It also excludes the analysis of the effects of a shock on these relations. Comparably, we consider the economy a complex system, and this opens the possibility of modeling the economy as a network and of applying models that explicitly allow introducing shocks or perturbations in the system to study how the economy reacts and adapts. Therefore, our analysis goes beyond Input–Output analysis and economic modeling and provides key insights about the structures of the economic systems. These structures are characterized by the identification of the distributions of their properties and the most central sectors in each economy. This gives information on the heterogeneity of the systems and their hierarchical organization. This information is valuable and relevant for the industrial policy and foreign trade design process.
For our investigation we use input–output data for Canada, Mexico, USA, and the North America region from the WIOD database available for the 35 industries and corresponding to the year 2013.
2. Materials and Methods
2.1. Data
We used 2011 individual input–output data for Canada, Mexico, and the United States, and information for the North America region from a regional input–output table, all published in 2013 by the World Input–Output Database (WIOD). This database classifies the economic systems into 35 sectors and gives information industry-by-industry in million US dollars ([10]; see Table 1).
Input–output tables are constructed based on the Input–Output Model. This model represents the economy as a system of linear equations that relate the production of each sector to the production of all others. Each equation in the system provides information on how each sector uses the inputs of other sectors and itself, to produce a final product and on an exogenous final demand of final consumers. This final demand is composed mainly by the final consumption of private households, government, capital formation, and net exports, (exports minus imports) [11,12]. In matrix notation, the Input–Output Model stipulates the following:
where X is the vector of production, Z is the intermediate demand matrix that provides information on the use of inputs to produce, 1 is a vector of ones called the sum-vector, and is the vector of final demand. Solving for X gives:
where I is the identity matrix, A is the input coefficients matrix defined as and gives information on inputs per output.
The data contained in the input–output tables inherits any error or bias from the recollection and process for constructing the tables using national accounts and the economic census in each country. It is also constrained by the assumptions made in the model which include the following: (1) group together firms that produce a similar product under the same technology in a sector, (2) firms produce under constant returns to scale, and (3) technology is fixed in time. In addition, the data used inherits any error or bias from the methodology used for the WIOD classification of sectors; for details see [10].
To analyze the impact of a sectoral shock, we represent the economies as networks and apply a network spreading model proposed in [13] and execute computer simulations wrote in Python 3 using the following libraries: scipy, numpy, networkx, matplotlib, and pandas. The code for the spreading model is accesible through the Open Science Framework project Spreading Models for I-O Networks (doi:10.17605/OSF.IO/CA6RT).
2.2. Model of the Spreading of a Shock
For the spreading of shocks, first we represent the economic systems as production networks. For each of these economies, we define a network as a set of nodes and a set of edges or connections between nodes , allowing for self-loops when . In these networks, industries or sectors are the nodes and the intermediate demands are the weighted directed links connecting them together. In the literature of Input-output networks we find that the adjacency matrix of the network is the direct input coefficient matrix or the intermediate demands matrix depending on the research question. For examples see [13,14,15,16,17,18]. We consider self-loops to represent that sectors use their own product as input. Intermediate demands are the flow of money that takes place by buying and selling inputs to produce; if sector i supplies inputs to j, this is registered as a payment from j to i.
Following, we apply a network diffusion model that simulates the spread of an exogenous shock on the network. We use a model in which a sectoral shock changes the input–output connections between sectors by changing the flows in the intermediate demands. It starts from the direct ones and spreads the shock across the production network through indirect ones. Finally, sectors adapt their production to the new input-output relations that changed their supply and demand for inputs. This corresponds to model 3 in [13]. The model we use treats the same incoming links and outgoing ones and is not distinguishing a different spreading mechanism according to the direction of the links. Nevertheless, the model does consider weighted links where the weight of the link from i to j does not have to be equal to the weight of the link from j to i.
According to the model, the shock spreads in steps, creating avalanches as a progressive and discrete process. A non-progressive process would imply that a sector can be hit repetitively number of times, as a person catches a disease, recovers, and is susceptible of contagion again instead of becoming immune. For examples of progressive and non-progressive diffusion models see: Garas et al. [19] for the application of a Susceptible-Infected-Recovered (SIR) diffusion model to study the spread of crisis in the global economic network, Toivanen [20] for a Susceptible-Infected-Recovered (SIR) diffusion model to study the spread of the financial crisis among European banks, and Kücük et al. [21] for the study of contagion of financial crisis applying a Susceptible-Infected-Susceptible (SIS) diffusion model). The rationality behind this type of spreading model applied in production networks is the following. A shock received by a sector changes its supply and demand for inputs, and consequently it triggers a chain of reactions that also changes the supply and demand of inputs of other sectors. Therefore this spreading model could simulate a change in the way sectors produce because they change the amount of inputs they use and which inputs they use. It could also simulate the effects of privileging the use of some imported intermediate products, used as inputs, due to low costs. Finally, it could represent other measures directed to favour export sectors and the implementation of new techniques that allow production with a different combination of inputs.
The model is applied as follows: First, a sector gets hit by a shock and the magnitude of the economic transactions that this sector conducts with its neighbours decreases by f; in our investigation this initial sector is manufacturing with index 15. This translates into changes in the i-th row and i-th column of the intermediate demands matrix, Z, which in turn changes the technical coefficients matrix , where are sectors. Second, production is updated . A sector that is hit by a shock has fewer inputs to produce after the shock and supplies less inputs to other sectors. Final demand remains fixed and exogenously given. At stage t of the diffusion process, the weights of the links between sectors, as well as the other variables such as production, are indexed by t. To compute technical coefficients and production, we follow an adapted version of the Input–Output model used in [13]. The flow of inputs decrease according to the following equations.
The intermediate demand for input buyers of sector i changes according to the following equation:
where and is the new magnitude of the supply. For sector i’s input, suppliers’ intermediate demand changes according to:
where is the new magnitude of the demand for inputs of i. This decrease in the flows of inputs further changes the technological coefficients, , as follows:
and
The new production vector is calculated using a dynamic version of the Input–Output model, as follows:
where is the new production vector, is the new technological coefficients matrix, is the new Leontief inverse, and is the final demand vector, which remained fixed. This mechanism can be viewed as a process where feedbacks arise and effects are reinforced. In this process each sectoral update is incorporating other sectors’ updates.
After production has been updated, sectors evaluate: if i received the original shock, for j in the neighborhood of i, the shock will propagate to j if:
where parameter c, for , represents a proportion of production that a sector is guaranteed to produce; the value of c is the same for every sector, but will differ according to i. After substituting the definitions of and in Equation (7) and rearranging, we obtain:
where the evaluation is made taking into account the new production value .
With this model, our focus is on the intermediate demands and the direct input coefficients assuming final demand fixed and exogenously given. In addition, we assume that a short-run effect of a shock that changes the technological relations between the manufacturing sector and the economy is not changing final demand yet. That change could be viewed as a third, and not included, step in the model after firms in sectors adapt production plans and change supply of final goods.
2.3. Structural Properties of Networks
We relate the results of the spreading of a shock to the properties of the production networks. In particular, we will compute indegree, outdegree, instrength, oustrength, weighted incoming closeness, weighted outward closeness, authority scores, and hub scores; these measures are computed using the networkx library for Ptyhon 3 [22]. Instrength and outstrength are the column and row sum of the adjacency matrix of the network (we take the input coefficient matrix A). Closeness is a measure of the distance between a particular node and all other nodes based on their shortest paths; see [23] for a computation of this measure in input–output networks. Since the production (input–output) networks are directed, we have two measures one for the incoming links and another for the outward ones. These measures are computed as the reciprocal of the average shortest path distance to (from) a node over reachable nodes. Finally, authority and hub scores are a generalization of the eigenvector centrality for directed networks and are computed based on a mutually reinforcing relationship. As with the eigenvector centrality, the centrality of a node is proportional to the centrality of its neighbours, and theirs to their neighbours and so on.
3. Results
We executed computer simulations of the spreading of a shock on manufacturing. For such a purpose, we applied the network spreading model to the four production networks corresponding to the economies of North America and the NAFTA region. We present results for different escenarios in the form of the size of avalanches—number of sectors affected by the shock, the intensity of the avalanche—the magnitudes of the effects in each sector that is part of an avalanche, and the particular waves of the avalanches. Then we investigate if there is a relation between these results and the properties of the production networks.
3.1. Spreading of Shocks
We present results for each country and for the region. Results present the short-run effects of a sectoral shock on manufacturing according to different values for the two parameters of the model: c and f. Results give information on the size of the impact measured as sectors that are part of an avalanche and the waves of the propagation. Waves are the ordered sequence of sectors that were subsequently affected by the shock on manufacturing.
Table 2 shows results for different simulations using parameters’ values representing different scenarios. The different combinations of f and c range from a strong perturbation and a low capacity, to a weak perturbation and a high capacity. Results are for the spreading of a shock on the manufacturing sector in each of the four production networks. Results show that Canada is the most affected network, experiencing, in four of the six escenarios, the largest avalanche sizes. Mexico falls in second place, with smaller avalanche sizes in four of the six escenarios when compared to Canada. The USA and NAFTA networks come closely after, with slightly smaller and similar avalanche sizes.
Table 2.
Avalanche sizes and waves according to different values for parameters.
Despite the fact that the avalanche sizes experienced by Mexico and the USA are different, they are not too far away. This observation deserves more investigation. In the following lines, we study the particular waves of the avalanches to observe the sectors involved and then the avalanche intensity.
Another set of results shows the waves of the avalanches. These are the different sequences of sectors that are affected by the spreading shock originated in the manufacturing sector. The differences lie not only on which sectors appear, but also on the order in which they appear. These patterns are not the same across scenarios and networks. For example, in scenario I, sector number 3: Textiles and textile products, appears as an affected sector in all production networks; but in the case of Mexico it is 7th in the wave and 4th in the case of the USA. Some examples of sectors that appear in the wave of the USA under this scenario are: leather; water transport; wood; rubber and plastics; basic metals and fabricated metal; other non metallic minerals; machinery; and manufacturing. For Mexico, the sector Coke, refined petroleum, and nuclear fuel only appears in the wave of the scenario III that involves the strongest shock. For Mexico, in almost every case, we find that the shock on manufacturing affected industries such as leather and footwear, water transport, private household with employed persons, air transport, wood and wood products, and textiles and textile products.
There are also differences between the waves of Mexico and Canada. Not only are there more sectors in the Canadian waves, but the sectors that participate and the order in which they participate is also different. We found the most distinct cases in scenarios I and III that simulate the strongest shock. Examples include the sectors electricity, gas and water supply; post and telecommunications, hotels and restaurants, and inland transportation. In these examples, we find some similarities with the results reported for the USA. Remarkably, the sector agriculture, hunting, forestry, and fishing appears in the avalanches in escenario III in all networks except for Mexico. This sector, together with the sectors education and chemicals and chemical products, never appear in an avalanche for Mexico, but does appear in different avalanches experienced by the USA.
An important result is that in four escenarios, except numbers IV and VI, the manufacturing sector appears in waves for Mexico, but for the USA it only appears in escenarios number I, III, and V.
Visually, Figure 1 and Figure 2 show two examples of the effects of the shock on manufacturing after the avalanche took place through the networks according to escenarios I and IV. Color cream nodes are nodes with an effect equal to zero, which is equivalent to no change in production. Lighted-up nodes (not colored cream) are the nodes that have an effect different from zero. The color of the nodes, according to the color map to the right of each subgraph, shows the intensity of the avalanche. This intensity is the magnitude of the effect measured as the change in sectoral production after the avalanche took place. Graphically, these visualizations complement Table 2 and show the avalanche size and the magnitude of each effect.
Figure 1.
Avalanche size and intensity of a shock on manufacturing, ; . Spring layout of networks. For the name of the sector according to its index, see Table 1.
Figure 2.
Avalanche size and intensity of a shock on manufacturing, ; . Spring layout of networks. For the name of the sector according to its index, see Table 1.
Network visualizations highlight the fact that, at the end of the avalanche, the most affected sectors in terms of a change in production colored red and orange vary according to the escenarios and to the country. For example, in escenario I, the highest magnitudes of effects are observed for the following. For Canada: sectors Public administration and defense and compulsory social security; construction; sale, maintenance and repair of motor vehicles and motorcycles and retail of fuel; financial intermediation; renting and other business activities; other community social and personal services; retail trade; and wholesale trade. For Mexico: sectors Hotels and restaurants; food, beverages and tobacco; electricity, gas and water supply; financial intermediation; real estate activities; sale, maintenance and repair of motor vehicles and motorcycles and retail of fuel; and public administration and defense and compulsory social security. For USA: sectors health and social work; hotels and restaurants; public administration and defense and compulsory social security; renting and other business activities; hotels and restaurants; and agriculture, hunting, forestry, and fishing. For NAFTA: sectors public administration and defense and compulsory social activities; renting and other business activities; financial intermediation; real estate activities; and health and social work.
Comparably, in escenario IV, the most affected sectors were the following. For Canada, sectors: public administration and defense and compulsory social security; real estate activities; construction; financial intermediation; renting and other compulsory activities; other community social and personal services; wholesale; and retail trade. For Mexico, sectors: hotels and restaurants; food, beverages and tobacco; financial intermediation; electricity, gas and water supply; sale, maintenance of motor vehicles and motorcycles and retail sale of fuel; real estate activities; and public administration and defense and compulsory social security. For the USA, sectors: education; health and social work; renting and other business activities; public administration and defense and compulsory social security; agriculture, hunting, forestry, and fishing; and hotels and restaurants. Finally, for the NAFTA region, sectors: renting and other business activities; public administration and defense and compulsory social security; financial intermediation; real estate activities; health and social work; retail trade; wholesale trade; and construction.
3.2. Structural Properties of Production Networks
To study the structural properties of the North America production networks, we computed densities, degrees, weighted degrees or strengths, and centralities of sectors for the four networks. We present the distributions of these measures and their best fits for each economy in the Appendix A (see Figure A1, Figure A2, Figure A3, Figure A4, Figure A5, Figure A6, Figure A7 and Figure A8). In this section, we also present the top-ten ranked sector according to each measure. Following that, we investigate if the results of the avalanches are related to these structural properties.
All four networks are highly connected and present the following densities. Canada has a density of , Mexico , USA , and the NAFTA region . From the three countries, Canada is the most connected economic system, followed by the USA, and Mexico in third place.
Results of the spreading of the shock for Canada can be linked to the fact that it is the most connected network, as observed with the high density. Nevertheless, the pattern of the waves and the intensity of the avalanches are not necessarily linked to this aggregate property of the network. In this context, note that the USA network has the second highest density but the third place in terms of the avalanche sizes in four of the six escenarios. Mexico has the lowest density, but the second highest avalanche sizes in the most escenarios.
To relate the results of the diffusion simulations to the properties of the production networks, first we present and relate the distributions of the properties of the network. The distributions of degrees, strengths, in and out closeness, and authority and hub scores are all skewed distributions showing heterogeneous values for these measures. Indegree and out degree distributions show that most of the nodes in the networks have many direct connections. In contrast, the distributions for the other measures are skewed to the other side, showing that many nodes in the networks have a low centrality and just a few have a high one. The distributions and the top ranked sectors of these measures give important information about the structure of the networks hinting at a hierarchical organization. Figure A1, Figure A2, Figure A3, Figure A4, Figure A5, Figure A6, Figure A7 and Figure A8 show that Mexico and the USA present differences in the distributions for all the properties. These differences are observable as distinct best fits and estimated parameters. Consequently, Mexico presents a different organization of sectors compared to the USA and the NAFTA region, where these last two present similar distributions for all properties. Therefore, these results give evidence that the avalanche sizes, waves, and intensities are a result of the different organizations of sectors between Mexico and the USA. Moreover, the similarity between the USA and NAFTA are due to the fact that these two networks share similar organizations of sectors.
Next, we observe if the manufacturing sector is ranked among the top ten most central sectors according to the different measures. According to Table 3, the manufacturing sector is among the top ten sectors in outstrength and authority scores for Canada, in outstrength and weighted incoming closeness for Mexico, in outstrength, weighted incoming closeness and authority scores for the USA, and weighted incoming closeness and authority scores for the NAFTA region. Results give evidence that the fact that the manufacturing sector is one of the top ten most central sectors according to authority scores is the property that favours the spreading of the effects of the shock originated in the manufacturing sector. The authority score has been related in the literature to spreading properties. In input–output networks, sectors with high authority score have been found to be embedded in many different production chains so they can reach a wide range of the economic system [13].
Table 3.
Most central sectors according to different network measures.
4. Discussion
In the context of the new free-trade agreement between the countries in the North America region, we studied the short-run effect of a shock on the manufacturing sector in each of the three countries and the region. For such a task, we performed computer simulations concerning different escenarios. We measured two dimensions of the effect of the shock: the avalanche size and the waves in the avalanches, and the intensity of the avalanche (magnitude of the effects in the avalanches). The network diffusion model applied allowed us to consider network effects and to break with the linearity and fixed coefficients assumptions of the Input–Output model. This represents a novel tool to study the effects of shocks in the manufacturing sector that change input–output connections in an economic system assuming technological shocks. Then, we studied the relation between the effect of the shock on manufacturing and the properties of the networks such as their densities, degrees and centralities. Results show that to evaluate the effects of a shock on manufacturing is as important to consider the avalanche size, as the spreading waves and the intensity. Our results give evidence of the central position of the manufacturing sector in the some of the networks by being an authority enabling a wide spreading of a shock and, consequently, a higher effect in the economy.
The main results of the simulations of the spread of a shock on manufacturing show that effects are more widely spread in Canada and Mexico and slightly more narrowly spread in the USA and NAFTA networks. These results are linked to the connectivity of the networks measured by the densities. It is also related to the fact that the spreading of the shock depends on two parameters, the size of the shock and the capacity of a sector (as a fraction of its production). Therefore, results give evidence that sectors in the USA network may have a higher capacity to hold up and keep the spread of the shock to a smaller number of sectors. This could indicate that the size of some sectors in the USA economy make it more resilient. After noting this, we highlight that the avalanche sizes between Mexico and the USA are not too far away. The sizes are close in spite of the different sizes of the economies, their contributions to GDP and value added of the region, and in terms of the properties of their respective networks.
The results for Mexico give evidence of the limited effects of a shock on manufacturing in the rest of the economy, not necessarily in terms of the number of sectors that are part of an avalanche. Rather, on the particular sectors that are affected and the magnitud of these effects, which is arguably an equally or even more important result, avalanche waves experienced by Mexico are more related to industries such as leather and footwear, wood, textiles, pulp and paper, minerals, and private households with employed persons. These sectors are not high-technology intensive, nor high-qualified employed, nor involved in the production of intermediate products that have high linkages. In addition, these sectors have short production chains and, consequently, have low connectivity. Moreover, this set of industries required, on one side, an intensive use of labour force, the need to learn techniques and an operation manual. On the other side, these industries have a high propensity to import production plans, and have registered trademarks and marketing techniques that are supplied by foreign firms. Similarly, the sectors that experienced the highest effects are not industries with high linkages.
Results are related to the linkages of the manufacturing sector in each production network. The effects were more restricted in the production networks where the manufacturing sector is more poorly connected, or it is linked to sectors that are small and themselves poorly connected. Consequently, the linkages to the rest of the economic system are limited. This is the case for Mexico. The poor quality links of the manufacturing sector and its weak integration have been raised in the literature, which highlights the low capacity of exports to drive economic growth as outlined before. Therefore, a new FTA that considers the structure of the production networks and the effects of a spreading shock could design strategies more beneficial to all participants, in particular to the Mexican economy. Any development of the Mexican production network, i.e. an increase in the linkages of the manufacturing sector, would imply an increase in competitiveness for the Mexican economy.
Consequently, the North America production network reacts more like the USA economy than any other country and the furthest to the Canadian and the Mexican economy. This property is not only linked to aggregate macroeconomic variables such as participation in regional GDP or value added, or the density of the production networks. However, it is linked to the other properties of the complex networks that constitute the regional economy, such as the distributions of centralities and the particular hierarchical organization of sectors in each network. Based on the structure under study, any benefit that could result from a shock on manufacturing related to the FTA will be limited for Mexico and will be more beneficial for the USA. Therefore, to be able to take advantage of the FTA of the region and benefit, Mexico has to develop more input–output linkages in its production network and increase the capacity of other sectors to connect its manufacturing sector to the rest of the economic system. This will improve the performance of Mexico and will potentially increase the value added for Mexico. However, it will also benefit the whole region.
5. Conclusions
In conclusion, our results highlight the relevance of studying together the avalanche size, the waves in the avalanche, and the intensity of the avalanche of a shock on manufacturing to evaluate the effects of the shock in the manufacturing sector in production networks. It is particularly important to analyze in detail the distinctive sectors that are part of an avalanche and the order in which they appear, as well as the most affected sectors in each avalanche.
Our results give evidence that low short-run effects of a shock on manufacturing in Mexico are due to the disarticulation of the manufacturing sector with the rest of the economy and its poorly central position in the production network of Mexico. However, this sector is also related to sectors that are not highly developed. Our results also raise questions regarding the potential impact of the new free trade agreement between Mexico, USA, and Canada centered on the manufacturing sector. This hints that, in order for the Mexican economy to benefit from a free trade agreement such as the one signed by the North America countries, it has to either strengthen the connections between the manufacturing sector and the rest of the economic system by constructing production chains or focusing on the production of other more primary goods and redirecting its role in the regional economy.
Open problems remain in our investigation. The limitations of our study include the quality and classification of the data. A more granular classification would allow us to study the effects of shocks in more specific sectors such as the automobile manufacturing. Future directions of the present analysis include a dynamic study where we can compare the structural properties of the networks and how the economies react to specific shocks before and after NAFTA (within first year of the new free trade agreement). Another future direction is proposing a mechanism to introduce a specific shock to final demand. In particular, exploring a model to introduce shocks to only one part of the final demand, such as net exports or private household consumption. Finally, we are also interested in exploring how to extend the present model to introduce a third step, in which final demand also adapts to the change in supply of final goods and, consequently, receives the effects of the technology shock.
Author Contributions
Conceptualization, M.G.A.-C.; methodology, M.G.A.-C.; formal analysis, M.G.A.-C. and M.P.A.; investigation, M.G.A.-C. and M.P.A.; data curation, M.G.A.-C.; writing—original draft preparation, M.G.A.-C.; writing—review and editing, M.G.A.-C. and M.P.A.; visualization, M.G.A.-C. All authors have read and agreed to the published version of the manuscript.
Funding
This research received no external funding.
Institutional Review Board Statement
Not applicable.
Informed Consent Statement
Not applicable.
Data Availability Statement
The database we use is publicly available at the WIOD web page. See the Open Science Framework project for the code wrote with Python.
Conflicts of Interest
The authors declare no conflict of interest.
Appendix A. Structural Properties of Networks
We present the distributions of the structural properties of the networks. Together with the distributions, we also present the best fits according to the Kolmogorov–Smirnov (KS) goodness of fit test. For this test, we first found the Maximum likelihood estimators for the probability distributions of a list of continuous random variables. We performed this with the scipy.stats library in Python 3. In particular, applying maximum likelihood estimation, we obtained estimators for shape, location, and scale parameters for the distributions. We fitted the data to the following distributions: Beta, Exponential, Exponential-Weibull, Exponential-Power law, Gilbrat, Logistic, Lognormal, Normal, Pareto, Power law, Weibull minimum, and Weibull maximum. Then, with the maximum likelihood estimators (MLEs), we performed the KS goodness of fit test to obtain the distribution that best described the data for each determination. We chose the best approximation as the distribution which had the smallest D-statistic among all distributions. The KS test for goodness of fit performs a test of the distribution of an observed random variable against a given distribution under the null hypothesis that the two distributions are identical. We report D-statistis and p-values of the KS tests, and MLEs for each distribution of measure-country.
Figure A1.
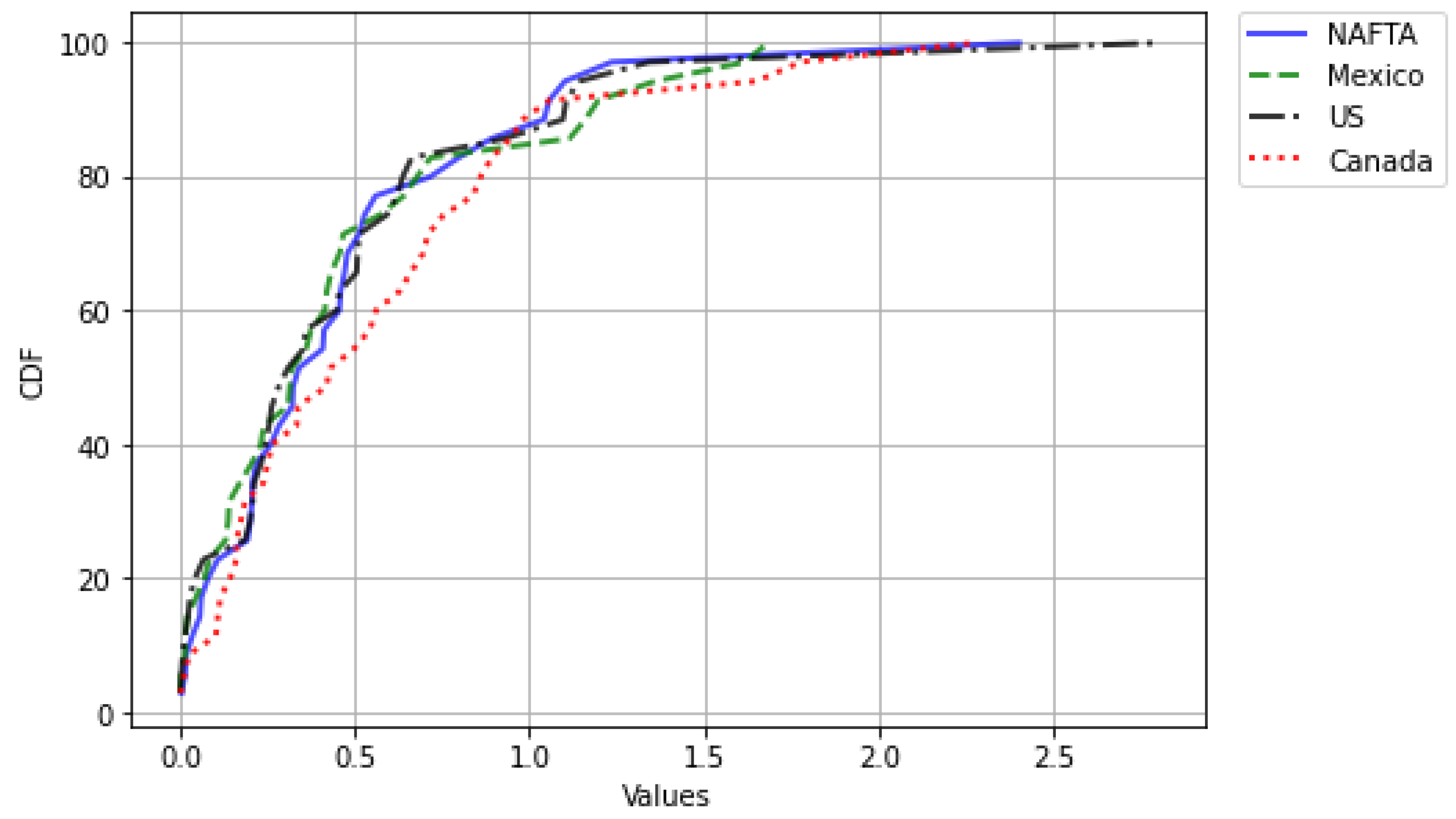
Cdf distribution for indegrees; Canada in red dots, Mexico in green dashed line, USA in black dashes with dots, and NAFTA region in blue solid line. Best fits according to the KS test are: Weibull min (MLEs: (532,509,029.6184939, −21,406,222.660531387, 21,406,223.682175353); KS test (0.41703139979534765, 4.99093074319009 × 10)) for Canada; Weibull min (MLEs: (143,008,240.45582065, −6,429,767.599267863, 6,429,768.555315886); KS test (0.2917346225232577, 0.0039188602252338)) for Mexico; Weibull max (MLEs: (0.9648129836666595, 1.0294117647058825, 0.07342983933747033); KS test (0.24603359704688882, 0.023710881815330986)) for the USA; and logistic (MLEs (1.0259136741832409, 0.030769879856107872); KS test (0.47160918533773366, 1.1521930959661066 × 10)) for NAFTA region.
Figure A1.
Cdf distribution for indegrees; Canada in red dots, Mexico in green dashed line, USA in black dashes with dots, and NAFTA region in blue solid line. Best fits according to the KS test are: Weibull min (MLEs: (532,509,029.6184939, −21,406,222.660531387, 21,406,223.682175353); KS test (0.41703139979534765, 4.99093074319009 × 10)) for Canada; Weibull min (MLEs: (143,008,240.45582065, −6,429,767.599267863, 6,429,768.555315886); KS test (0.2917346225232577, 0.0039188602252338)) for Mexico; Weibull max (MLEs: (0.9648129836666595, 1.0294117647058825, 0.07342983933747033); KS test (0.24603359704688882, 0.023710881815330986)) for the USA; and logistic (MLEs (1.0259136741832409, 0.030769879856107872); KS test (0.47160918533773366, 1.1521930959661066 × 10)) for NAFTA region.

Figure A2.
Cdf distribution for outdegrees; Canada in red dots, Mexico in green dashed line, USA in black dash with dots, and NAFTA region in blue solid line. Best fits according to the KS test are: Lognormal (MLEs (0.0008122251967266434, −54.18879847683519, 55.174074449903074); KS test (0.3715965457181528, 7.600565645699124 × 10)) for Canada; Beta (MLEs (53.930068262335226, 0.7410116738896662, −7.064668116355627, 8.09407988106151); KS test (0.35690991914321024, 0.00016981982902369928)) for Mexico; Weibull min (MLEs (517,260,483.464272, −26,784,901.69622788, 26,784,902.68475869); KS test (0.39861675967424337, 1.5722633610152097 × 10)) for the USA; and logistic (MLEs (0.9995678591886425, 0.003362715880167728); KS test (0.44636893845044046, 7.06026123752343 × 10)) for NAFTA region.
Figure A2.
Cdf distribution for outdegrees; Canada in red dots, Mexico in green dashed line, USA in black dash with dots, and NAFTA region in blue solid line. Best fits according to the KS test are: Lognormal (MLEs (0.0008122251967266434, −54.18879847683519, 55.174074449903074); KS test (0.3715965457181528, 7.600565645699124 × 10)) for Canada; Beta (MLEs (53.930068262335226, 0.7410116738896662, −7.064668116355627, 8.09407988106151); KS test (0.35690991914321024, 0.00016981982902369928)) for Mexico; Weibull min (MLEs (517,260,483.464272, −26,784,901.69622788, 26,784,902.68475869); KS test (0.39861675967424337, 1.5722633610152097 × 10)) for the USA; and logistic (MLEs (0.9995678591886425, 0.003362715880167728); KS test (0.44636893845044046, 7.06026123752343 × 10)) for NAFTA region.

Figure A3.
Cdf distribution for instrengths; Canada in red dots, Mexico in green dashed line, USA in black dash with dots, and NAFTA region in blue solid line. Best fits according to the KS test are: Lognormal (MLEs (0.33436906495314944, −0.3549532846132404, 0.8693696328464835); KS test (0.07364415585618522, 0.9840301815410568)) for Canada; Exponential Weibull (MLEs (16.956587610155303, 0.6958919893497593, −0.14648613121123816, 0.0989601591472577); KS test (0.0836012149622246, 0.9502417589170291)) for Mexico; Beta (MLEs (7.942945508477947, 4.80641252389351, −0.38568280511790687, 1.383006764788598); KS test (0.10400376115885102, 0.8061118763082317)) for the USA; and Beta (MLEs (5.137081981234503, 2.324081171817097, −0.25107067055646437, 1.0487092559311804); KS test (0.1012728905049547, 0.8302105788708294)) for NAFTA region.
Figure A3.
Cdf distribution for instrengths; Canada in red dots, Mexico in green dashed line, USA in black dash with dots, and NAFTA region in blue solid line. Best fits according to the KS test are: Lognormal (MLEs (0.33436906495314944, −0.3549532846132404, 0.8693696328464835); KS test (0.07364415585618522, 0.9840301815410568)) for Canada; Exponential Weibull (MLEs (16.956587610155303, 0.6958919893497593, −0.14648613121123816, 0.0989601591472577); KS test (0.0836012149622246, 0.9502417589170291)) for Mexico; Beta (MLEs (7.942945508477947, 4.80641252389351, −0.38568280511790687, 1.383006764788598); KS test (0.10400376115885102, 0.8061118763082317)) for the USA; and Beta (MLEs (5.137081981234503, 2.324081171817097, −0.25107067055646437, 1.0487092559311804); KS test (0.1012728905049547, 0.8302105788708294)) for NAFTA region.

Figure A4.
Cdf distribution for outstrengths; Canada in red dots, Mexico in green dashed line, USA in black dash with dots, and NAFTA region in blue solid line. Best fits according to the KS test are: Exponential (MLEs (0.0012016655737103219, 0.5644149568206326); KS test (0.07899769997794809, 0.9689062495543723)) for Canada; Beta (MLEs (0.6199246273658496, 2.0918699728221553, −4.5610051972807207 × 10, 1.9260136354791952); KS test (0.09009253918928817, 0.9146057064512851)) for Mexico; Exponential (MLEs (0.0010883656631567047, 0.47468014242113016); KS test (0.11727471011931466, 0.6781473192056897)) for USA; and Lognormal (MLEs (0.8674778382445147, −0.06319233870574761, 0.37746485996258805); KS test (0.09896400700005378, 0.8496678852124842) ) for NAFTA region.
Figure A4.
Cdf distribution for outstrengths; Canada in red dots, Mexico in green dashed line, USA in black dash with dots, and NAFTA region in blue solid line. Best fits according to the KS test are: Exponential (MLEs (0.0012016655737103219, 0.5644149568206326); KS test (0.07899769997794809, 0.9689062495543723)) for Canada; Beta (MLEs (0.6199246273658496, 2.0918699728221553, −4.5610051972807207 × 10, 1.9260136354791952); KS test (0.09009253918928817, 0.9146057064512851)) for Mexico; Exponential (MLEs (0.0010883656631567047, 0.47468014242113016); KS test (0.11727471011931466, 0.6781473192056897)) for USA; and Lognormal (MLEs (0.8674778382445147, −0.06319233870574761, 0.37746485996258805); KS test (0.09896400700005378, 0.8496678852124842) ) for NAFTA region.

Figure A5.
Cdf distribution for authority scores; Canada in red dots, Mexico in green dashed line, USA in black dash with dots, and NAFTA region in blue solid line. Best fits according to the KS test are: Exponential Weibull (MLEs (0.8188857103696323, 0.9439171773889155, 4.6870919429435456 × 10, 0.0318804210500878); KS test (0.09080895732207724, 0.9100192830082517)) for Canada; Pareto (MLEs (2.4793207486949522, −0.027601462473274857, 0.02760145327377437); KS test (0.12048293584255204, 0.6459672682639537)) for Mexico; Pareto (MLEs (6.632706996907444, −0.16084413901645123, 0.16090916100584773); KS test (0.11756066917636149, 0.6752834285640381)) for USA; and Exponential (MLEs (0.00021624182323099782, 0.02835518674819758); KS test (0.0942297047291133, 0.8864482115460055)) for NAFTA region.
Figure A5.
Cdf distribution for authority scores; Canada in red dots, Mexico in green dashed line, USA in black dash with dots, and NAFTA region in blue solid line. Best fits according to the KS test are: Exponential Weibull (MLEs (0.8188857103696323, 0.9439171773889155, 4.6870919429435456 × 10, 0.0318804210500878); KS test (0.09080895732207724, 0.9100192830082517)) for Canada; Pareto (MLEs (2.4793207486949522, −0.027601462473274857, 0.02760145327377437); KS test (0.12048293584255204, 0.6459672682639537)) for Mexico; Pareto (MLEs (6.632706996907444, −0.16084413901645123, 0.16090916100584773); KS test (0.11756066917636149, 0.6752834285640381)) for USA; and Exponential (MLEs (0.00021624182323099782, 0.02835518674819758); KS test (0.0942297047291133, 0.8864482115460055)) for NAFTA region.

Figure A6.
Cdf distribution for hub scores; Canada in red dots, Mexico in green dashed line, USA in black dash with dots, and NAFTA region in blue solid line. Best fits according to the KS test are: Beta (MLEs (2.661646634205429, 4943884392232.027, −0.0026200438066208117, 58355800256.66754); KS test (0.11299973083089776, 0.7206709430572955)) for Canada; Lognormal (MLEs (1.2211766826854928, −5.867604392447013 × 10, 0.01129885704286723); KS test (0.1369528205016589, 0.48552694401618923)) for Mexico; Logistic (MLEs (0.02853467396327428, 0.006336062282809733); KS test (0.08404219708024863, 0.9481663828428268)) for the USA; and Logistic (MLEs (0.028467140197753905, 0.005669332365832827); KS test (0.09533605775454856, 0.8782621260100211)) for NAFTA region.
Figure A6.
Cdf distribution for hub scores; Canada in red dots, Mexico in green dashed line, USA in black dash with dots, and NAFTA region in blue solid line. Best fits according to the KS test are: Beta (MLEs (2.661646634205429, 4943884392232.027, −0.0026200438066208117, 58355800256.66754); KS test (0.11299973083089776, 0.7206709430572955)) for Canada; Lognormal (MLEs (1.2211766826854928, −5.867604392447013 × 10, 0.01129885704286723); KS test (0.1369528205016589, 0.48552694401618923)) for Mexico; Logistic (MLEs (0.02853467396327428, 0.006336062282809733); KS test (0.08404219708024863, 0.9481663828428268)) for the USA; and Logistic (MLEs (0.028467140197753905, 0.005669332365832827); KS test (0.09533605775454856, 0.8782621260100211)) for NAFTA region.

Figure A7.
Cdf distribution for In closeness; Canada in red dots, Mexico in green dashed line, USA in black dash with dots, and NAFTA region in blue solid line. Best fits according to the KS test are: Logistic (MLEs: (404.1257427202553, 37.029765342587496); KS test (0.1631061695624224, 0.27805486854648376)) for Canada; Logistic (MLEs: (737.8357174420671, 62.878029791043254); KS test (0.18264187112833252, 0.17074580287696395)) for Mexico; Logistic (MLEs: (1004.6960148570852, 118.57656896824115); KS test (0.18448039436905495, 0.1626051578319352)) for the USA; and Logistic (MLEs: (646.7695380000905, 49.42037489866376); KS test (0.2884527422149622, 0.004508029175548156)) for NAFTA region.
Figure A7.
Cdf distribution for In closeness; Canada in red dots, Mexico in green dashed line, USA in black dash with dots, and NAFTA region in blue solid line. Best fits according to the KS test are: Logistic (MLEs: (404.1257427202553, 37.029765342587496); KS test (0.1631061695624224, 0.27805486854648376)) for Canada; Logistic (MLEs: (737.8357174420671, 62.878029791043254); KS test (0.18264187112833252, 0.17074580287696395)) for Mexico; Logistic (MLEs: (1004.6960148570852, 118.57656896824115); KS test (0.18448039436905495, 0.1626051578319352)) for the USA; and Logistic (MLEs: (646.7695380000905, 49.42037489866376); KS test (0.2884527422149622, 0.004508029175548156)) for NAFTA region.

Figure A8.
Cdf distribution for Out closeness; Canada in red dots, Mexico in green dashed line, USA in black dash with dots, and NAFTA region in blue solid line. Best fits according to the KS test are: Exponential Weibull (MLEs: (46.62139195281432, 0.35061394729041345, −102.28704124586305, 12.013153449263886); KS test (0.0958931908170999, 0.8740414808184926)) for Canada; Power law (MLEs: (1.3680947863539386, −187.83543272474253, 2652.195889013574); KS test (0.08555469050806241, 0.9406629116291517)) for Mexico; Lognormal (MLEs: (1.4171588056801723, 153.63557944569095, 1440.64118883956); KS test (0.09190137052427855, 0.9027876210759723)) for the USA; and Lognormal (MLEs: (0.9559078840675359, −230.89391043980913, 1238.9583671891114); KS test (0.11092016511663338, 0.7410397927117578)) for NAFTA region.
Figure A8.
Cdf distribution for Out closeness; Canada in red dots, Mexico in green dashed line, USA in black dash with dots, and NAFTA region in blue solid line. Best fits according to the KS test are: Exponential Weibull (MLEs: (46.62139195281432, 0.35061394729041345, −102.28704124586305, 12.013153449263886); KS test (0.0958931908170999, 0.8740414808184926)) for Canada; Power law (MLEs: (1.3680947863539386, −187.83543272474253, 2652.195889013574); KS test (0.08555469050806241, 0.9406629116291517)) for Mexico; Lognormal (MLEs: (1.4171588056801723, 153.63557944569095, 1440.64118883956); KS test (0.09190137052427855, 0.9027876210759723)) for the USA; and Lognormal (MLEs: (0.9559078840675359, −230.89391043980913, 1238.9583671891114); KS test (0.11092016511663338, 0.7410397927117578)) for NAFTA region.

References
- Miller, J.; Page, S. Complex Adaptive Systems: An Introduction to Computational Models of Social Life; Princeton University Press: Princeton, NJ, USA, 2007. [Google Scholar]
- Kirman, A. Complex Economics: Individual and Collective Rationality; Routledge: London, UK, 2010. [Google Scholar]
- Alatriste-Contreras, M.G.; Brida, J.G.; Anyul, M.P. Alatriste-Contreras and Martin Puchet and Gabriel Brida. Structural change and economic dynamics: Rethinking from the complexity approach. J. Dyn. Games 2019, 6, 87–106. [Google Scholar] [CrossRef]
- Koopman, R.; Powers, W.; Wang, Z.; Wei, S.-J. Give credit where credit is due: Tracing value added in global production chains. Natl. Bur. Econ. Res. 2010, 30, 16426. [Google Scholar]
- Lester, S.; Manak, I.; Ikenson, D. Renegotiating NAFTA in the Era of Trump: Keeping the Trade Liberalization in and the Protectionism out. CATO Work. 2017, 8, 46. [Google Scholar]
- de Economía, S. Prioridades de México en las Negociaciones para la Modernización del Tratado de Libre Comercio de América del Norte. Secr. Economía México 2017, 8, 32. [Google Scholar]
- Fujii, G.; Candaudap, E.; Gaona, C. Exportaciones, industria maquiladora y crecimiento económico en México a partir de la década de los noventa. Investig. Econ. 2005, 64, 125–156. [Google Scholar]
- Ascárraga-Sejas, W. Exports as an Engine of Economic Growth and the Position of Emerging Countries in the Global Value Chains: A Comparative Analysis between China and México. IIOC 2012, 3, 15–50. [Google Scholar]
- Fujii, G.; Cervantes-Martinez, R. The weak linkages between processing exports and the internal economy. The Mexican case. Econ. Syst. Res. 2017, 29, 528–540. [Google Scholar] [CrossRef]
- Dietzenbacher, E.; Los, B.; Stehrer, R.; Timmer, M.; de Vries, G. The Construction of World Input-Output Tables in the WIOD Project. Econ. Syst. Res. 2012, 25, 71–98. [Google Scholar] [CrossRef]
- Leontief, W. Quantitative input and output relations in the economic systems of the United States. Rev. Econ. Stat. 1936, 18, 105–125. [Google Scholar] [CrossRef]
- Leontief, W. Structural Matrices of National Economies. Econometrica 1949, 17, 273–282. [Google Scholar] [CrossRef]
- Alatriste-Contreras, M.G.; Fagiolo, G. Propagation of economic shocks in input-output networks: A cross-country analysis. Phys. Rev. E 2014, 90, 062812. [Google Scholar] [CrossRef] [PubMed]
- Blöchl, F.; Theis, F.; Vega-Redondo, F.; Fisher, E. Vertex centralities in input output networks reveal the structure of modern economies. Phys. Rev. E 2011, 83, 046127. [Google Scholar] [CrossRef] [PubMed]
- McNerney, J.; Fath, B.D.; Silverberg, G. Network structure of inter-industry flows. Phys. A 2012, 392, 6427–6441. [Google Scholar] [CrossRef]
- Alatriste-Contreras, M.G. The relationship between the key sectors in the European Union Economy and the intra-European Union trade. J. Econ. Struct. 2015, 4, 14. [Google Scholar] [CrossRef]
- Soyyiğit, S.; Asu Çirpici, Y. An Input-Output Network Structure Analysis Of Selected Countries. Yildiz Soc. Sci. Rev. 2017, 3, 65–88. [Google Scholar]
- Tsekeris, T. Network Analysis of Intersectoral Relationships and Key Sectors in the Greek Economy. J. Econ. Interact. Coord. 2017, 12, 413–435. [Google Scholar] [CrossRef]
- Garas, A.; Argyrakis, P.; Rozenblat, C.; Tomassini, M.; Havlin, S. Worldwide Spreading of Economic Crisis. New J. Phys. 2010, 12, 1–12. [Google Scholar] [CrossRef]
- Toivanen, M. Contagion in the Interbank Network: An Epidemiological Approach. Bank Finl. Res. 2013, 3, 19. [Google Scholar] [CrossRef]
- Kücük, Y.; Özata, E.; Yildirim, S.; Yildirim, Z. On Dynamics of the Contagion of Financial Crisis. Glob. Chang. Democr. 2012, 3, 1425–1434. [Google Scholar]
- Hagberg, A.A.; Schult, D.A.; Swart, P.J. Exploring network structure, dynamics, and function using NetworkX. In Proceedings of the 7th Python in Science Conference (SciPy2008), Pasadena, CA, USA, 11 August 2008; Varoquaux, G., Vaught, T., Millma, J., Eds.; pp. 11–15. [Google Scholar]
- Xu, M.; Liang, S. Input-output networks offer new insights of economic structure. Phys. A 2019, 527, 121178. [Google Scholar] [CrossRef]
Publisher’s Note: MDPI stays neutral with regard to jurisdictional claims in published maps and institutional affiliations. |
© 2021 by the authors. Licensee MDPI, Basel, Switzerland. This article is an open access article distributed under the terms and conditions of the Creative Commons Attribution (CC BY) license (https://creativecommons.org/licenses/by/4.0/).

