Determination of Aircraft Cruise Altitude with Minimum Fuel Consumption and Time-to-Climb: An Approach with Terminal Residual Analysis
Abstract
1. Introduction
2. Methods
2.1. Optimal Control in Continuous-Time Domain
- An unknown number of constrained sub-arcs at the initial stage of formulation.
- Unidentified locations of the junction points where the transition from the constrained to the unconstrained (and vice versa) occur.
- Possible discontinuity of both the control variables and the adjoint variable at the junction points which is related to the dissatisfaction of boundary conditions.
2.2. Direct Transcription Method
2.3. Aircraft Model
2.4. Atmospheric Model
2.5. B-Spline Curve
- A curve can be generated in a complex solution even with a relatively small number of control points.
- Depiction of a smooth, continuous curve joining the point data set would provide additional information to the physical transition between the solution points.
- The data points from the fitted curve can be used for other aircraft path tracking problems for having a smooth transition along the curve.
2.6. Residual-Based Approach
3. Results
3.1. Minimum FC and TTC
3.2. Terminal Residual Analysis (TRA) and Modified TRA
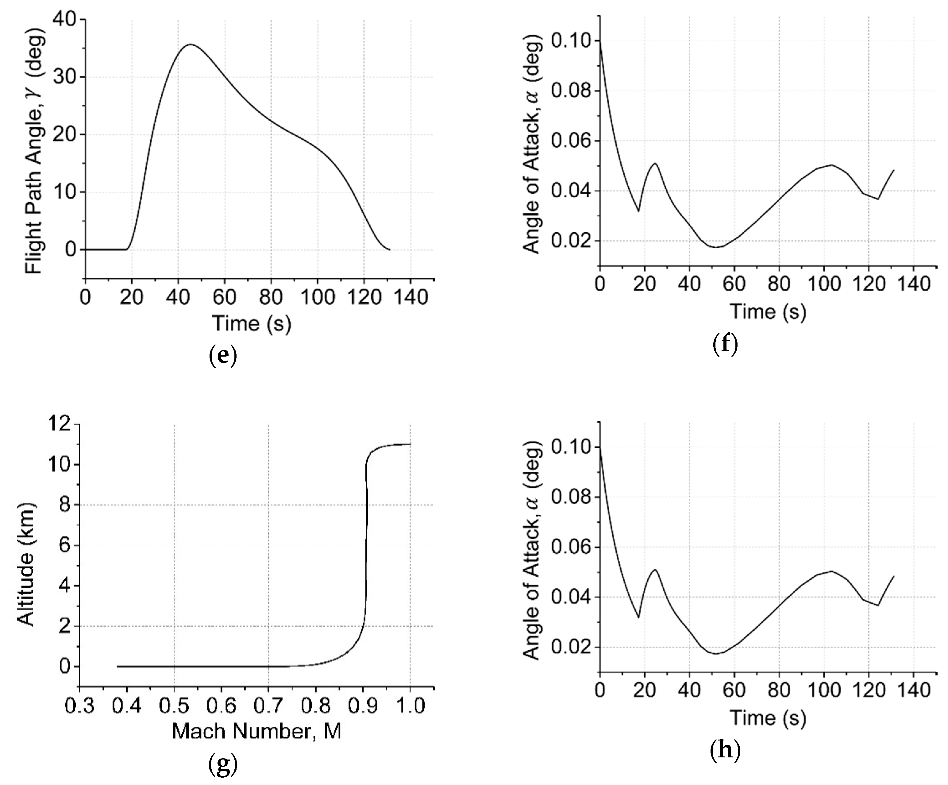
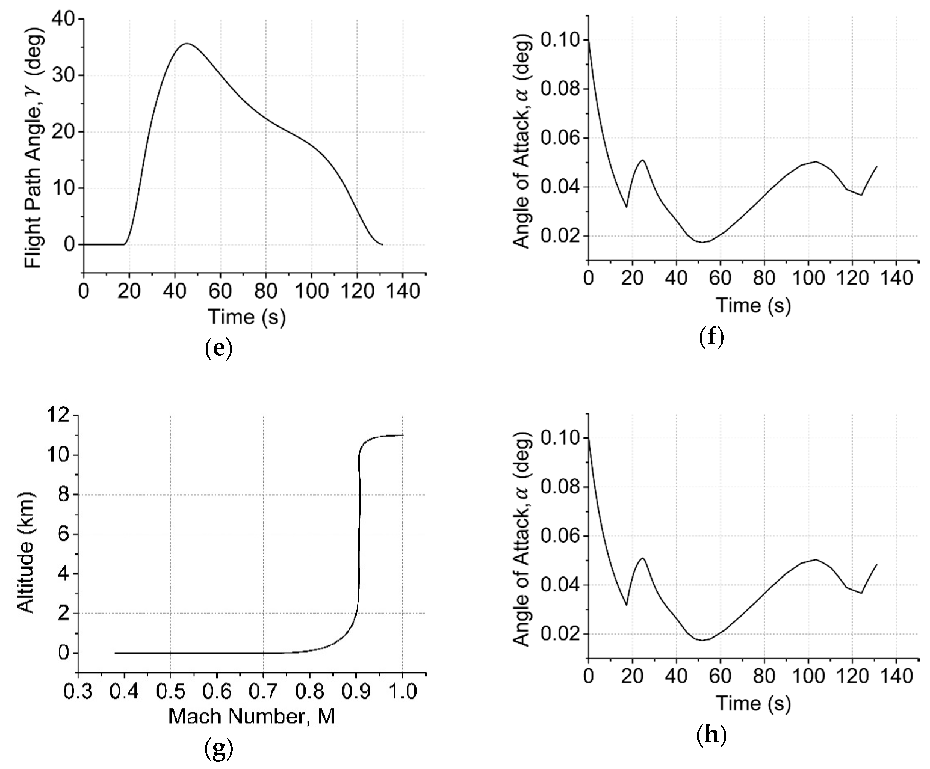
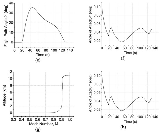
3.3. Optimized Climb Trajectory to Given Altitudes
3.4. Optimized Trajectory to MOCA
4. Discussion
4.1. Effectiveness of Terminal Residual Analysis (TRA) and Modified TRA
4.2. Difference in TRA and Modified TRA
4.3. Optimum Altitude MOCA with Minimum FC and TTC
4.4. Individual Trajectory and Variable Cost Index (CI)
4.5. Limitations
5. Conclusions
Author Contributions
Funding
Conflicts of Interest
Abbreviations
| FC | Fuel consumption |
| TT | Travel time |
| TTC | Time-to-climb |
| CI | Cost index |
| TOC | Total operating cost |
| OCP | Optimal control problem |
| NLP | Nonlinear programming |
| EOM | Equation of motion |
| SET | Specific excess thrust |
| TRA | Terminal residual analysis |
| AEL | Acceptable error level |
| MOCA | Multi-objective cruise altitude |
References
- IATA. Economic Performance of the Airline Industry: 2017 End-Year Report 2018. 2020. Available online: https://www.iata.org/en/iata-repository/publications/economic-reports/airline-industry-economic-performance-june-2020-report (accessed on 6 September 2020).
- Bureau of Transportation Statistics. First Quarter 2020 U.S. Airline Financial Data. 2020. Available online: https://www.bts.gov/newsroom/first-quarter-2020-us-airline-financial-data (accessed on 15 September 2020).
- Bureau of Transportation Statistics. U.S. Airlines Report Second Quarter 2020 Losses. 2020. Available online: https://www.bts.gov/newsroom/us-airlines-report-second-quarter-2020-losses (accessed on 15 September 2020).
- Dai, R.; Cochran, J.E. Three-Dimensional Trajectory Optimization in Constrained Airspace. J. Aircr. 2009, 46, 627–634. [Google Scholar] [CrossRef]
- Vavrina, M.; Howell, K. Multiobjective Optimization of Low-Thrust Trajectories Using a Genetic Algorithm Hybrid. In Proceedings of the AAS/AIAA Space Flight Mechanics Meeting, Pittsburgh, PA, USA, 9–13 August 2009. [Google Scholar]
- Franco, A.; Rivas, D. Minimum-Cost Cruise at Constant Altitude of Commercial Aircraft Including Wind Effects. J. Guid. Control Dyn. 2011, 34, 1253–1260. [Google Scholar] [CrossRef]
- Lovegren, J.; Hansman, R.J. Estimation of Potential Aircraft Fuel Burn Reduction in Cruise via Speed and Altitude Optimization Strategies; MIT International Center for Air Transport (ICAT): Cambridge, MA, USA, 2011. [Google Scholar]
- Dancila, B.; Botez, R.; Labour, D. Altitude Optimization Algorithm for Cruise, Constant Speed and Level Flight Segments. In Proceedings of the AIAA Guidance, Navigation, and Control Conference, Minneapolis, MI, USA, 13–16 August 2012. [Google Scholar]
- Jensen, L.; Hansman, R.J.; Venuti, J.C.; Reynolds, T. Commercial airline altitude optimization strategies for reduced cruise fuel consumption. In Proceedings of the 14th AIAA Aviation Technology, Integration, and Operations Conference, Atlanta, GA, USA, 16–20 June 2014. [Google Scholar]
- Antonakis, A.; Nikolaidis, T.; Pilidis, P. Multi-Objective Climb Path Optimization for Aircraft/Engine Integration Using Particle Swarm Optimization. Appl. Sci. 2017, 7, 469. [Google Scholar] [CrossRef]
- Rutowski, E.S. Energy approach to the general aircraft performance problem. J. Aeronaut. Sci. 1954, 21, 187–195. [Google Scholar] [CrossRef]
- Bryson, A.E., Jr.; Desai, M.N.; Hoffman, W. Energy-state approximation in performance optimization of supersonicaircraft. J. Aircr. 1969, 6, 481–488. [Google Scholar]
- Ong, S.Y. A model comparison of a supersonic aircraft minimum time-to-climb problem. In Proceedings of the 25th AIAA Aerospace Sciences Meeting, Reno, NV, USA, 12–15 January 1986. [Google Scholar]
- Pierson, B.L.; Ong, S.Y. Minimum-Fuel Aircraft Transition Trajectories. Math. Comput. Model. 1989, 12, 925–934. [Google Scholar] [CrossRef]
- Morimoto, H.; Chuang, J. Minimum-fuel trajectory along entire flight profile for a hypersonic vehicle with constraint. In Proceedings of the Guidance, Navigation, and Control Conference and Exhibit, Boston, MA, USA, 10–12 August 1998. [Google Scholar]
- Benson, D. A Gauss Pseudospectral Transcription for Optimal Control; Massachusetts Institute of Technology: Cambridge, MA, USA, 2005. [Google Scholar]
- Von Stryk, O.; Bulirsch, R. Direct and Indirect Methods for Trajectory Optimization. Ann. Oper. Res. 1992, 37, 357–373. [Google Scholar] [CrossRef]
- Hargraves, C.R.; Paris, S.W. Direct Trajectory Optimization Using Nonlinear-Programming and Collocation. J. Guid. Control Dyn. 1987, 10, 338–342. [Google Scholar] [CrossRef]
- Bayen, A.M.; Mitchell, I.M.; Oishi, M.M.K.; Tomlin, C.J. Aircraft autolander safety analysis through optimal control-based reach set computation. J. Guid. Control Dyn. 2007, 30, 68–77. [Google Scholar] [CrossRef]
- Tsiotras, P.; Bakolas, E.; Zhao, Y. Initial guess generation for aircraft landing trajectory optimization. In Proceedings of the AIAA Guidance, Navigation, and Control Conference, Portland, OR, USA, 8–11 August 2011. [Google Scholar]
- Roach, K.; Robinson, J. A terminal area analysis of continuous ascent departure fuel use at Dallas/Fort Worth international airport. In Proceedings of the 10th AIAA Aviation Technology, Integration, and Operations (ATIO) Conference, Fort Worth, TX, USA, 13–15 September 2010. [Google Scholar]
- Zhang, M.; Huang, Q.; Liu, S.; Zhang, Y. Fuel Consumption Model of the Climbing Phase of Departure Aircraft Based on Flight Data Analysis. Sustainability 2019, 11, 4362. [Google Scholar] [CrossRef]
- Pargett, D.M.; Ardema, M.D. Flight path optimization at constant altitude. J. Guid. Control Dyn. 2007, 30, 1197–1201. [Google Scholar] [CrossRef]
- NOAA; NASA; USAF. US Standard Atmosphere, 1976; National Oceanic and Atmospheric Administration: Washington, DC, USA, 1976; Volume 76.
- Herman, A.L.; Conway, A.C. Direct optimization using collocation based on high-order Gauss-Lobatto quadrature rules. J. Guid. Control Dyn. 1996, 19, 592–599. [Google Scholar] [CrossRef]
- Bryson, A.E.; Denham, W.F. A steepest-ascent method for solving optimum programming problems. J. Appl. Mech. 1962, 29, 247. [Google Scholar] [CrossRef]
- Gelfand, I.M.; Silverman, R.A. Calculus of Variations; Dover Publications: Mineola, NY, USA, 2000. [Google Scholar]
- Wan, F. Introduction to the Calculus of Variations and Its Applications; Routledge: London, UK, 2017. [Google Scholar]
- Leitmann, G. The Calculus of Variations and Optimal Control: An Introduction; Springer Science & Business Media: New York, NY, USA, 2013; Volume 24. [Google Scholar]
- Pontryagin, L.S. Mathematical Theory of Optimal Processes; Routledge: New York, NY, USA, 2018. [Google Scholar]
- Bryson, A.E. Applied Optimal Control: Optimization, Estimation and Control; CRC Press: Boca Raton, FL, USA, 1975. [Google Scholar]
- Thompson, G.L. Optimal Control Theory: Applications to Management Science and Economics; Springer: New York, NY, USA, 2006. [Google Scholar]
- Topputo, F.; Zhang, C. Survey of direct transcription for low-thrust space trajectory optimization with applications. In Abstract and Applied Analysis; Hindawi: London, UK, 2014. [Google Scholar]
- Nie, Y.; Faqir, O.; Kerrigan, E.C. ICLOCS2: Try this optimal control problem solver before you try the rest. In Proceedings of the 2018 UKACC 12th International Conference on Control (CONTROL), Sheffield, UK, 5–7 September 2018. [Google Scholar]
- Wachter, A.; Biegler, L.T. On the implementation of an interior-point filter line-search algorithm for large-scale nonlinear programming. Math. Program. 2006, 106, 25–57. [Google Scholar] [CrossRef]
- Barnes, W.; McCormick, W. Aerodynamics Aeronautics and Flight Mechanics; Wiley: New York, NY, USA, 1995. [Google Scholar]
- Daniel, D.; Livescu, D.; Ryu, J. Reaction analogy based forcing for incompressible scalar turbulence. Phys. Rev. Fluids 2018, 3, 094602. [Google Scholar] [CrossRef]
- Ryu, J.; Livescu, D. Turbulence structure behind the shock in canonical shock–vortical turbulence interaction. J. Fluid Mech. 2014, 756. [Google Scholar] [CrossRef]
- Ryu, J.; Lele, S.K.; Viswanathan, K. Study of supersonic wave components in high-speed turbulent jets using an LES database. J. Sound Vib. 2014, 333, 6900–6923. [Google Scholar] [CrossRef]
- Denham, W.F. Steepest-Ascent Solution of Optimal Programming Problems; Harvard University: Cambridge, MA, USA, 1963. [Google Scholar]
- Patterson, M.A.; Rao, A.V. GPOPS-II: A MATLAB software for solving multiple-phase optimal control problems using hp-adaptive Gaussian quadrature collocation methods and sparse nonlinear programming. ACM Trans. Math. Softw. (TOMS) 2014, 41, 1–37. [Google Scholar] [CrossRef]
- Prautzsch, H.; Boehm, W.; Paluszny, M. Bézier and B-Spline Techniques; Springer Science & Business Media: New York, NY, USA, 2002. [Google Scholar]
- Pareto, V. Manual of Political Economy: A Critical and Variorum Edition; OUP Oxford: New York, NY, USA, 2014. [Google Scholar]
- Deb, K. Multi-Objective Optimization Using Evolutionary Algorithms; John Wiley & Sons: Chichester, UK, 2001; Volume 16. [Google Scholar]
- Zadeh, L. Optimality and non-scalar-valued performance criteria. IEEE Trans. Autom. Control 1963, 8, 59–60. [Google Scholar] [CrossRef]
- Bureau of Transportation Statistics. 2016 Annual and 4th Quarter Airline Finalcial Data. Available online: https://www.bts.gov/newsroom/2016-annual-and-4th-quarter-airline-financial-data (accessed on 12 September 2020).
- Bureau of Transportation Statistics. 2017 Annual and 4th Quarter U.S. Airline Financial Data. Available online: https://www.bts.gov/newsroom/2017-annual-and-4th-quarter-us-airline-financial-data (accessed on 12 September 2020).
- Bureau of Transportation Statistics. 2018 Annual and 4th Quarter U.S. Airline Financial Data. Available online: https://www.bts.gov/newsroom/2018-annual-and-4th-quarter-us-airline-financial-data (accessed on 12 September 2020).
- Bureau of Transportation Statistics. 2019 Annual and 4th Quarter U.S. Airline Financial Data. Available online: https://www.bts.gov/newsroom/2019-annual-and-4th-quarter-us-airline-financial-data (accessed on 12 September 2020).
- Roberson, B. Fuel Conservation Strategies: Cost index explained. AERO 2007, 2, 26–28. [Google Scholar]
- Jensen, L.; Hansman, R.J.; Venuti, J.; Reynolds, T. Commercial airline speed optimization strategies for reduced cruise fuel consumption. In Proceedings of the 2013 Aviation Technology, Integration, and Operations Conference, Los Angeles, CA, USA, 12–14 August 2013. [Google Scholar]
- Liden, S. Optimum cruise profiles in the presence of winds. In Proceedings of the IEEE/AIAA 11th Digital Avionics Systems Conference, Seattle, WA, USA, 5–8 October 1992. [Google Scholar]










| Accuracy Criteria | ||||
|---|---|---|---|---|
| 1 | 0.5 | 1 | 1 | |
| 1 | 0.5 | 1 | 1 | |
| Maximum absolute local error | ||||
| Maximum local constraint violation | ||||
| Thrust, T N) | ||||||||||
|---|---|---|---|---|---|---|---|---|---|---|
| Mach No., | Altitude, z m) | |||||||||
| 0 | 5 | 10 | 15 | 20 | 25 | 30 | 40 | 50 | 70 | |
| 0 | 24.2 | 24 | 20.3 | 17.3 | 14.5 | 12.2 | 10.2 | 5.7 | 3.4 | 0.1 |
| 0.2 | 28 | 24.6 | 21.1 | 18.1 | 15.2 | 12.8 | 10.7 | 6.5 | 3.9 | 0.2 |
| 0.4 | 28.3 | 25.2 | 21.9 | 18.7 | 15.9 | 13.4 | 11.2 | 7.3 | 4.4 | 0.4 |
| 0.6 | 30.8 | 27.2 | 23.8 | 20.5 | 17.3 | 14.7 | 12.3 | 8.1 | 4.9 | 0.8 |
| 0.8 | 34.5 | 30.3 | 26.6 | 23.2 | 19.8 | 16.8 | 14.1 | 9.4 | 5.6 | 1.1 |
| 1.0 | 37.9 | 34.3 | 30.4 | 26.8 | 23.3 | 19.8 | 16.8 | 11.2 | 6.8 | 1.4 |
| 1.2 | 36.1 | 38 | 34.9 | 31.3 | 27.3 | 23.6 | 20.1 | 13.4 | 8.3 | 1.7 |
| 1.4 | 36.1 | 36.6 | 38.5 | 36.1 | 31.6 | 28.1 | 24.2 | 16.2 | 10 | 2.2 |
| 1.6 | 36.1 | 35.2 | 42.1 | 38.7 | 35.7 | 32 | 28.1 | 19.3 | 11.9 | 2.9 |
| 1.8 | 36.1 | 33.8 | 45.7 | 41.3 | 39.8 | 34.6 | 31.1 | 21.7 | 13.3 | 3.1 |
| Aerodynamic Parameters | Mach No., | ||||||||
|---|---|---|---|---|---|---|---|---|---|
| 0 | 0.4 | 0.8 | 0.9 | 1.0 | 1.2 | 1.4 | 1.6 | 1.8 | |
| 3.44 | 3.44 | 3.44 | 3.58 | 4.44 | 3.44 | 3.01 | 2.86 | 2.44 | |
| 0.013 | 0.013 | 0.013 | 0.014 | 0.031 | 0.041 | 0.039 | 0.036 | 0.035 | |
| 0.54 | 0.54 | 0.54 | 0.75 | 0.79 | 0.78 | 0.89 | 0.93 | 0.93 | |
| Thrust, T N) | ||||||||||||
|---|---|---|---|---|---|---|---|---|---|---|---|---|
| Mach No., | Altitude, z m) | |||||||||||
| 0 | 5 | 15 | 25 | 35 | 45 | 55 | 65 | 75 | 85 | 95 | 105 | |
| 0 | 23.3 | 20.6 | 15.4 | 9.9 | 5.8 | 2.9 | 1.3 | 0.7 | 0.3 | 0.1 | 0.1 | 0.1 |
| 0.4 | 22.8 | 19.8 | 14.4 | 9.9 | 6.2 | 3.4 | 1.7 | 1.0 | 0.5 | 0.3 | 0.1 | 0.1 |
| 0.8 | 24.5 | 22.0 | 16.5 | 12.0 | 7.9 | 4.9 | 2.8 | 1.6 | 0.9 | 0.5 | 0.3 | 0.2 |
| 1.2 | 29.4 | 27.3 | 21.0 | 15.8 | 11.4 | 7.2 | 3.8 | 2.7 | 1.6 | 0.9 | 0.6 | 0.4 |
| 1.6 | 29.7 | 29.0 | 27.5 | 21.8 | 14.7 | 10.5 | 6.5 | 3.8 | 2.3 | 1.4 | 0.8 | 0.5 |
| 2.0 | 29.9 | 29.4 | 28.4 | 26.6 | 21.2 | 14.0 | 8.7 | 5.1 | 3.3 | 1.9 | 1.0 | 0.5 |
| 2.4 | 29.9 | 29.2 | 28.4 | 27.1 | 25.6 | 17.2 | 10.7 | 6.5 | 4.1 | 2.3 | 1.2 | 0.5 |
| 2.8 | 29.8 | 29.1 | 28.2 | 26.8 | 25.6 | 20.0 | 12.2 | 7.6 | 4.7 | 2.8 | 1.4 | 0.5 |
| 3.2 | 29.7 | 28.9 | 27.5 | 26.1 | 24.9 | 20.3 | 13.0 | 8.0 | 4.9 | 2.8 | 1.4 | 0.5 |
| Aerodynamic Parameters | Mach No., | ||||||||
|---|---|---|---|---|---|---|---|---|---|
| 0 | 0.4 | 0.8 | 0.9 | 1.0 | 1.2 | 1.4 | 1.6 | 1.8 | |
| 3.44 | 3.44 | 3.44 | 3.58 | 4.44 | 3.44 | 3.01 | 2.86 | 2.44 | |
| 0.013 | 0.013 | 0.013 | 0.014 | 0.031 | 0.041 | 0.039 | 0.036 | 0.035 | |
| 0.54 | 0.54 | 0.54 | 0.75 | 0.79 | 0.78 | 0.89 | 0.93 | 0.93 | |
| Atmospheric Level | Altitude Range (km) | |||||
|---|---|---|---|---|---|---|
| Troposphere | 0–11 | 0 | 0 | 101325 | 288.15 | −6.5 |
| Tropopause (Stratosphere I) | 20–32 | 1 | 11 | 22,632.06 | 216.65 | 0.0 |
| Stratosphere II | 20–32 | 2 | 20 | 5474.89 | 216.65 | +1.0 |
| Stratosphere III | 32–47 | 3 | 32 | 868.02 | 228.65 | +2.8 |
| Stratopause (Mesosphere I) | 47–51 | 4 | 47 | 110.91 | 270.65 | 0 |
| Mesosphere II | 51–71 | 5 | 51 | 66.94 | 270.65 | −2.8 |
| Mesosphere III | 71–84.9 | 6 | 71 | 3.96 | 214.65 | −2.0 |
| ― | ― | 7 | 84.852 | 0.37 | 186.87 | ― |
Publisher’s Note: MDPI stays neutral with regard to jurisdictional claims in published maps and institutional affiliations. |
© 2021 by the authors. Licensee MDPI, Basel, Switzerland. This article is an open access article distributed under the terms and conditions of the Creative Commons Attribution (CC BY) license (http://creativecommons.org/licenses/by/4.0/).
Share and Cite
Kang, T.; Ryu, J. Determination of Aircraft Cruise Altitude with Minimum Fuel Consumption and Time-to-Climb: An Approach with Terminal Residual Analysis. Mathematics 2021, 9, 147. https://doi.org/10.3390/math9020147
Kang T, Ryu J. Determination of Aircraft Cruise Altitude with Minimum Fuel Consumption and Time-to-Climb: An Approach with Terminal Residual Analysis. Mathematics. 2021; 9(2):147. https://doi.org/10.3390/math9020147
Chicago/Turabian StyleKang, Taehak, and Jaiyoung Ryu. 2021. "Determination of Aircraft Cruise Altitude with Minimum Fuel Consumption and Time-to-Climb: An Approach with Terminal Residual Analysis" Mathematics 9, no. 2: 147. https://doi.org/10.3390/math9020147
APA StyleKang, T., & Ryu, J. (2021). Determination of Aircraft Cruise Altitude with Minimum Fuel Consumption and Time-to-Climb: An Approach with Terminal Residual Analysis. Mathematics, 9(2), 147. https://doi.org/10.3390/math9020147

