A Quadratic–Exponential Model of Variogram Based on Knowing the Maximal Variability: Application to a Rainfall Time Series
Abstract
1. Introduction
2. Methodology
2.1. Data Acquisition
2.2. Experimental Variograms
2.3. Curve Fitting
- (1)
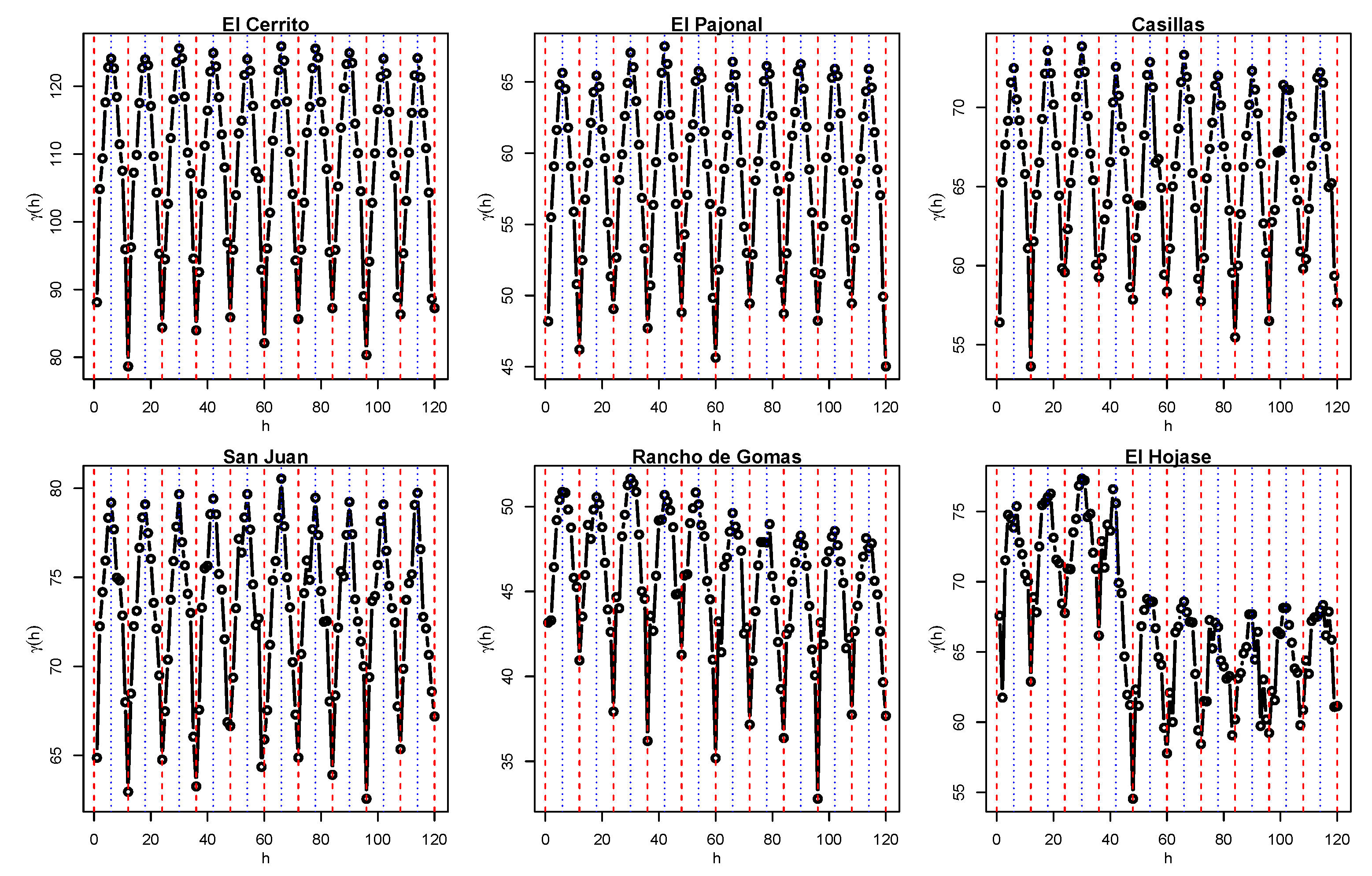
- Division of the variogram. An inspection of the experimental variograms indicates that a similar pattern is repeated every 12 neighbors or units of distance, as shown in Figure 3, so that the event seems to have an annual periodicity, which, in turn, agrees with natural or empirical knowledge. In this way, the variogram for the complete series is calculated by Equation (6) and then divided into several variograms with a length of 12 months.
- (2)
- Average of the resulting variograms. The set of variograms obtained from Step (1) have a similar structure. On average, the curve increases until it reaches a maximal value at the sixth neighbor ( months) and then decreases in a quasi-symmetrical way, as shown in Figure 3. Since the analysis of the maximum variability is the usual objective when studying variograms, and that the curve obtained might be considered as symmetric, we only focus on the first half of the variograms, i.e., from to months, where such values correspond to the position of the initial data () and the maximal variability (r), respectively, where months are the units for both cases. Then, the variograms of a station are averaged point by point to obtain a single curve that represents or characterizes such a station.
- (3)
- Fitting a model. A more detailed inspection of each averaged variogram suggests a curve that is concave downward in its entirety until it reaches a final sill, as shown in Figure 3. As mentioned in Section 1, this shape has the characteristics of the spherical and exponential models. We implemented such models and one more that we constructed to fit the variograms. The proposed model is described in the following subsection. This was the only step carried out by using the R statistics program [35]. All the previous steps (the processing of the data) were executed by using Microsoft Excel.
2.4. A Quadratic–Exponential Model
- (1)
- (2)
- (1)
- The number of parameters to fit (c and k) does not increase. This contrasts with the common models, in which an extra-parameter must be fitted ().
- (2)
- The number of parameters to know a priori is reduced since is not required. This also allows one to reduce the complexity of the model and the execution of the fitting.
3. Results
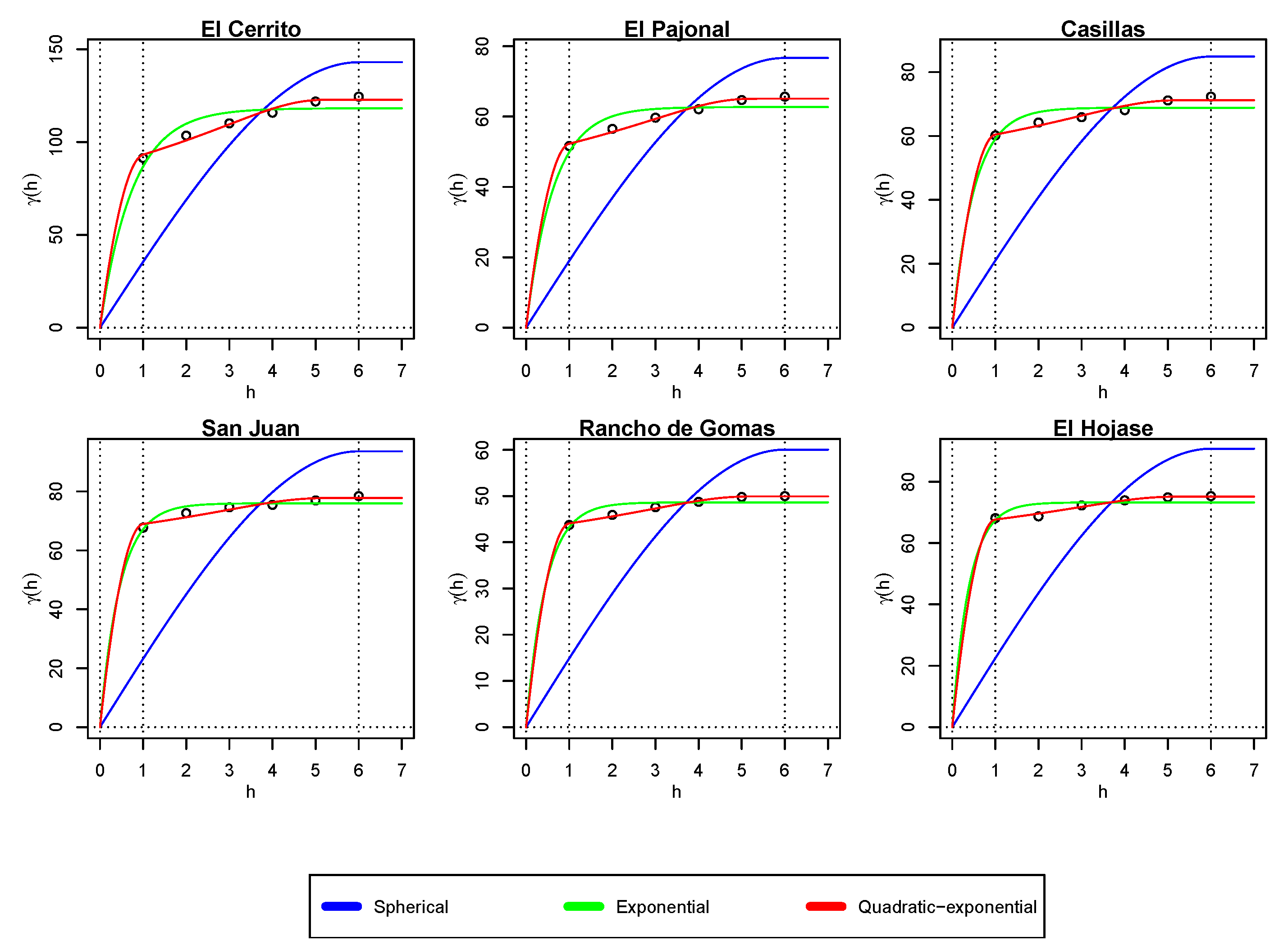
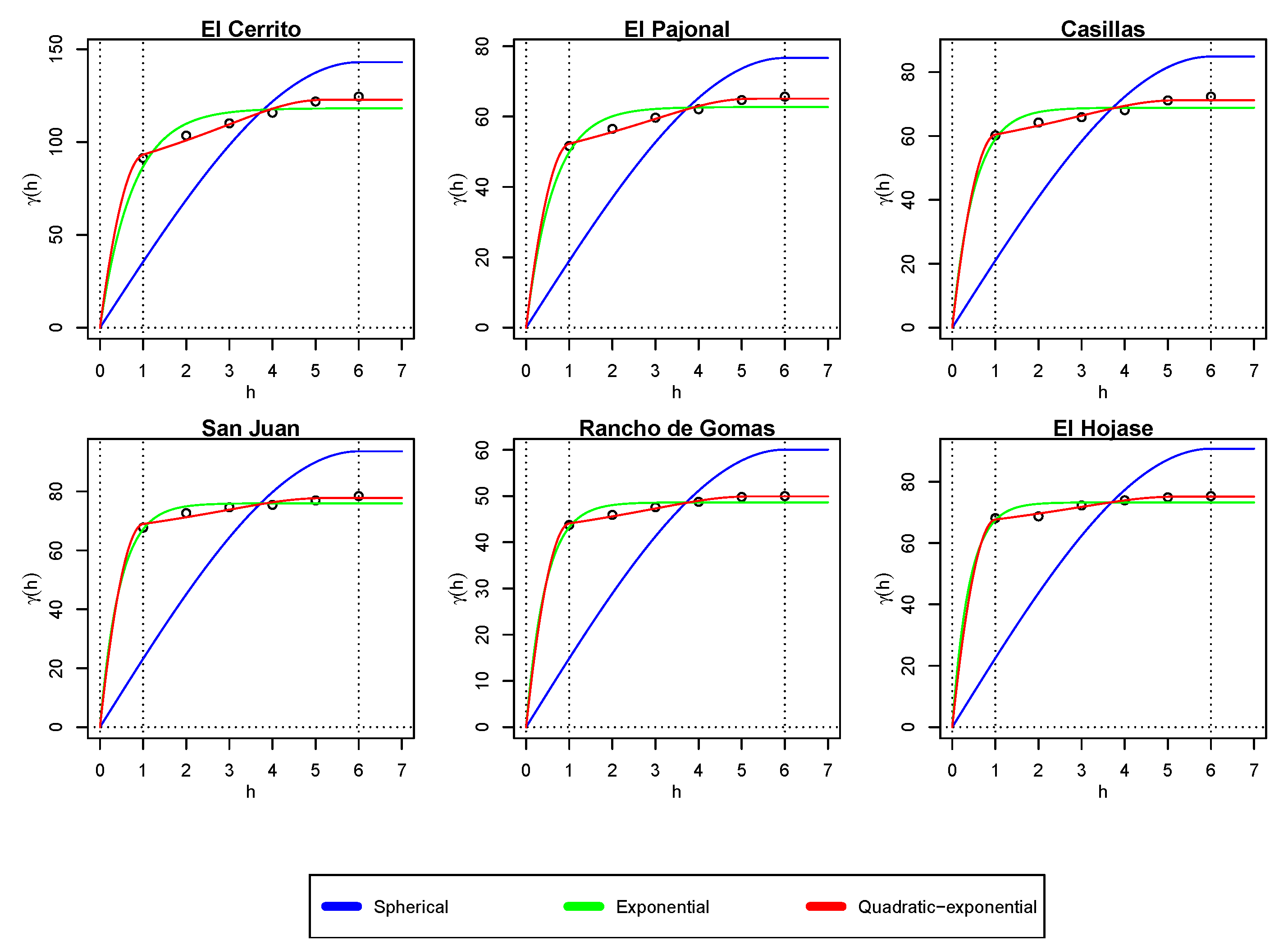
3.1. Fitting without the Nugget Effect
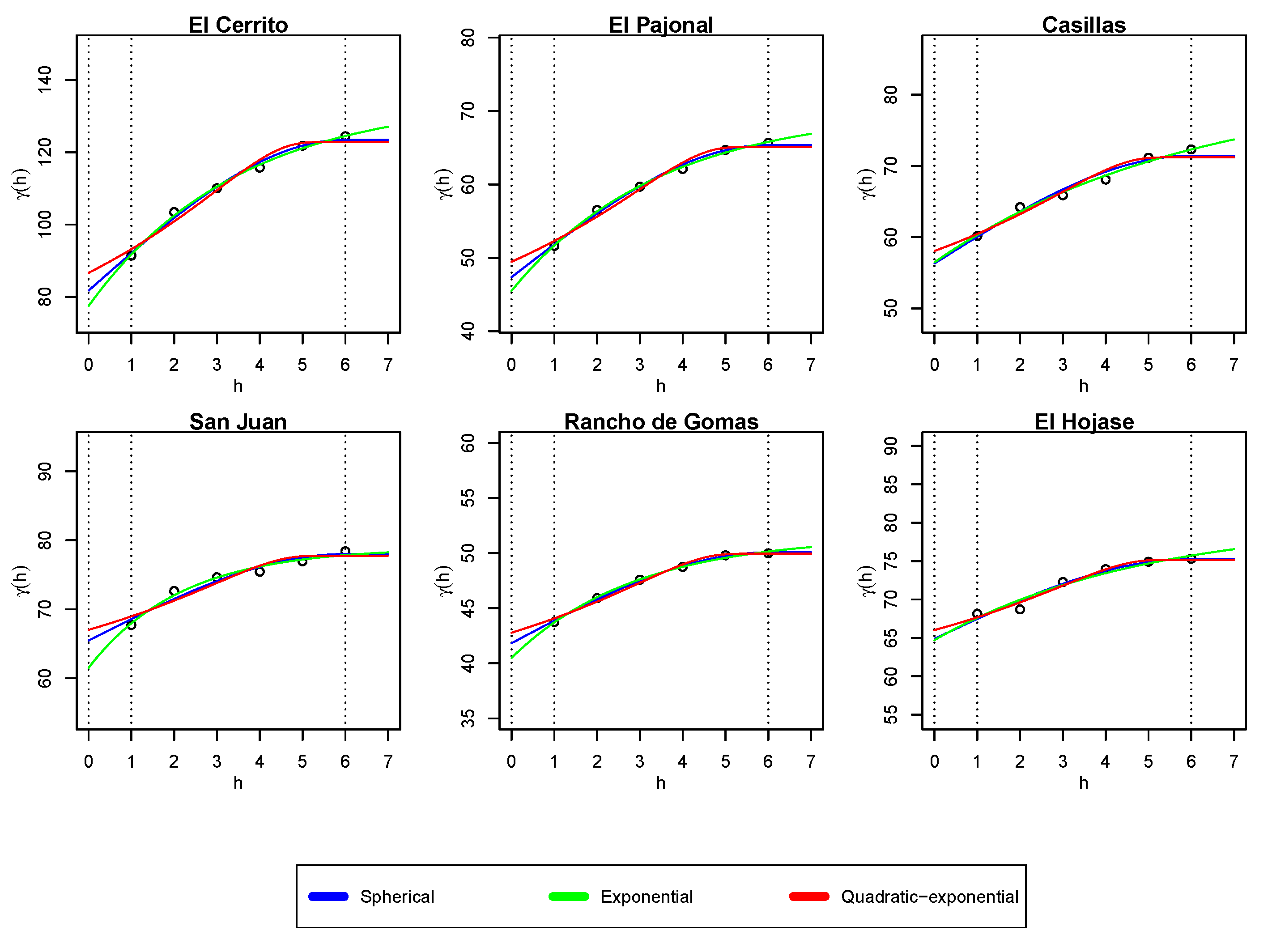
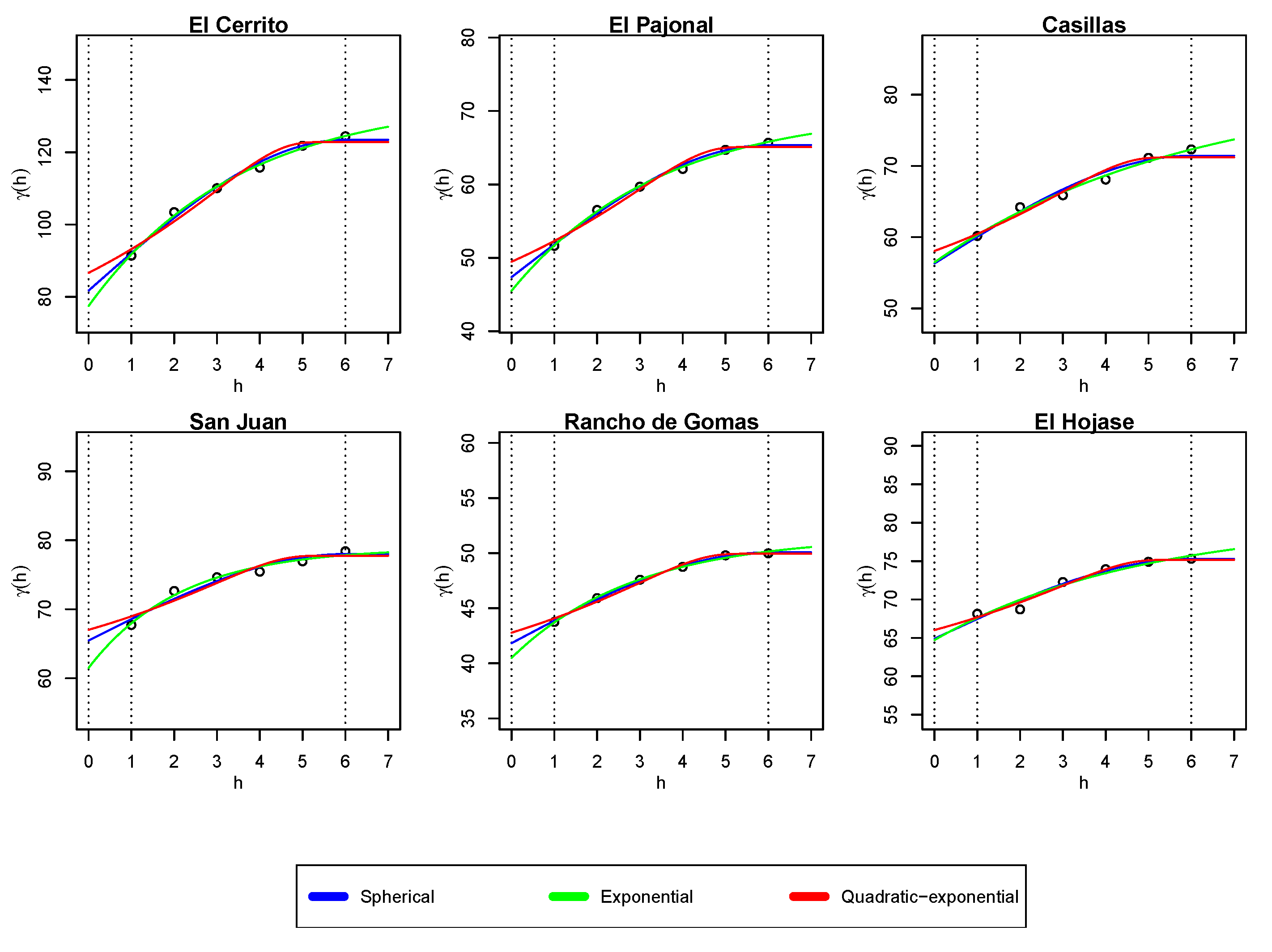
3.2. Fitting with the Nugget Effect
4. Discussion
4.1. Case Study
4.2. Numerical Analysis
5. Conclusions
- Modeling spatial or temporal variation of data by an appropriate variogram is crucial for kriging interpretation, especially for small samples such as in our case study.
- We constructed a piecewise model of variogram, which is helpful in analyzing time series with few data, the monthly-accumulated value of a significant rainfall dataset. The model consists of a variation of the exponential model but introduces the maximal variability directly in the formula and adds a quadratic behavior near to the origin to obtain a continuous model from the origin.
- Compared with the spherical and exponential models, the “quadratic–exponential model” is the most robust, in the sense of fitting better without the nugget effect and providing good results without a significant difference between the other models when considering such an effect. In addition, it provided good results for time series with different Hurst numbers for our case study: rainfall in the RH-24 Mexico Region.
- Moreover, parameters to be fitted with that model are the sill c and the amplitude of the exponential term k, despite the nugget, regardless of whether or not the nugget is considered. So, the number of parameters does not increase with the nugget effect.
- In this way, our model results suggest that it could be a powerful tool when analyzing rainfall or other time/spatial series. Furthermore, the procedure we introduced in our methodology completes the steps for analyzing rainfall time series, from constructing the experimental variogram to fit a suitable model for the data.
- Additionally, a numerical analysis was performed to prove the robustness of the quadratic–exponential model. After a comparison against our control models, we can conclude that, for purposes with similar factors considered in this study, the quadratic–exponential model is sufficiently robust for any application where control models are utilized, and provides better results than those models for specific cases with high values of .
Author Contributions
Funding
Institutional Review Board Statement
Informed Consent Statement
Data Availability Statement
Acknowledgments
Conflicts of Interest
Appendix A
| Symbol | Name | Units |
|---|---|---|
| h | Lag distance | Months |
| Variogram | mm | |
| c | Sill | mm |
| r | Maximal variability | Months |
| nugget variance, nugget effect | mm | |
| a | distance parameter | Months |
| time series | mm | |
| Variance | mm | |
| Expected value | mm | |
| number of differences with a lag of value h | Dimensionless | |
| H | Maximum of | Dimensionless |
| Quadratic–exponential model coefficient | mm/month | |
| Quadratic–exponential model coefficient | mm/month | |
| k | Quadratic–exponential model coefficient | Dimensionless |
| The initial time distance | Months | |
| Coefficient of determination | Dimensionless | |
| root mean square error | mm |
Appendix B




References
- Cerón, W.L.; Andreoli, R.V.; Kayano, M.T.; Canchala, T.; Carvajal-Escobar, Y.; Souza, R.A.F. Comparison of spatial interpolation methods for annual and seasonal rainfall in two hotspots of biodiversity in South America. An. Acad. Bras. Ciências [Online] 2021, 91. [Google Scholar] [CrossRef]
- Gutiérrez-López, A.; Ramirez, A.; Lebel, A.I.; Santillán, T.; Carlos, O.F. El variograma y el correlograma, dos estimadores de la variabilidad de mediciones hidrológicas. Rev. Fac. Ing. Univ. Antioq. 2011, 59, 193–202. [Google Scholar]
- Ly, S.; Charles, C.; Degré, A. Geostatistical interpolation of daily rainfall at catchment scale: The use of several variogram models in the Ourthe and Ambleve catchments, Belgium. Hydrol. Earth Syst. Sci. 2011, 15, 2259–2274. [Google Scholar] [CrossRef]
- Muhamad Ali, M.Z.; Othman, F. Selection of variogram model for spatial rainfall mapping using analytical hierarchy procedure (AHP). Sci. Iran. 2017, 24, 28–39. [Google Scholar] [CrossRef][Green Version]
- Deutsch, C.V. Geostatistics. In Encyclopedia of Physical Science and Technology, 3rd ed.; Meyers, R.A., Ed.; Academic Press: New York, NY, USA, 2003; pp. 697–707. [Google Scholar] [CrossRef]
- Díaz, M. Geoestadística Aplicada. 2002. Available online: http://www.esmg-mx.org/media/courses/geoestadistica/GeoEstadistica.pdf (accessed on 1 September 2021).
- Samui, P.; Bui, D.T. Handbook of Probabilistic Models; Elsevier: Amsterdam, The Netherlands, 2020. [Google Scholar] [CrossRef]
- Webster, R.; Oliver, M. How large a sample is needed to estimate the regional variogram adequately? In Geostatistics Tróia ’92. Quantitative Geology and Geostatistics; Springer: Dordrecht, The Netherlands, 1993; pp. 155–166. [Google Scholar] [CrossRef]
- Kalauzi, A.; Čukić, M.; Millán, H.; Bonafoni, S.; Biondi, R. Comparison of fractal dimension oscillations and trends of rainfall data from Pastaza Province, Ecuador and Veneto, Italy. Atmos. Res. 2009, 93, 673–679. [Google Scholar] [CrossRef]
- I. Negrón Juárez, R.; T. Liu, W. FFT analysis on NDVI annual cycle and climatic regionality in Northeast Brazil. Int. J. Climatol. 2001, 21, 1803–1820. [Google Scholar] [CrossRef]
- Jeannée, N.; Nedellec, V.; Bouallala, S.; Deraisme, J.; Desqueyroux, H. Geostatistical assessment of long term human exposure to air pollution. In Geostatistics for Environmental Applications; Springer: Berlin/Heidelberg, Germany, 2005; pp. 161–172. [Google Scholar]
- Marwanza, I.; Azizi, M.A.; Nas, C.; Anugrahadi, A.; Dahani, W.; Subandrio, S.; Salim, D.K.; Prima, A. The determination of information point distribution and classfication of confidence level estimation of geotechnic solid rock kriging estimation parameter based on variogram analysis. AIP Conf. Proc. 2020, 2267, 020040. [Google Scholar] [CrossRef]
- Oliver, M.A.; Webster, R. Basic Steps in Geostatistics: The Variogram and Kriging; SpringerBriefs in Agriculture, Springer: Berlin/Heidelberg, Germany, 2015. [Google Scholar]
- Myers, D.E.; Begovich, C.L.; Butz, T.R.; Kane, V.E. Variogram models for regional groundwater geochemical data. J. Int. Assoc. Math. Geol. 1982, 14, 629–644. [Google Scholar] [CrossRef]
- Menezes, R.; Garcia-Soidán, P.; Febrero-Bande, M. A comparison of approaches for valid variogram achievement. Comput. Stat. 2005, 20, 623–642. [Google Scholar] [CrossRef]
- Mahdi, E.; Abuzaid, A.H.; Atta, A.M. Empirical variogram for achieving the best valid variogram. Commun. Stat. Appl. Methods 2000, 27, 547–568. [Google Scholar] [CrossRef]
- Cressie, N. Fitting variogram models by weighted least squares. J. Int. Assoc. Math. Geol. 1985, 17, 563–586. [Google Scholar] [CrossRef]
- Adhikari, K.; Smith, D.R.; Collins, H.; Haney, R.L.; Wolfe, J.E. Corn response to selected soil health indicators in a Texas drought. Ecol. Indic. 2021, 125, 107482. [Google Scholar] [CrossRef]
- Ali, G.; Sajjad, M.; Kanwal, S.; Xiao, T.; Khalid, S.; Shoaib, F.; Gul, H.N. Spatial–temporal characterization of rainfall in Pakistan during the past half-century (1961–2020). Sci. Rep. 2021, 11, 1–15. [Google Scholar] [CrossRef]
- Somayasa, W.; Sutiari, D.K.; Sutisna, W. Optimal prediction in isotropic spatial process under spherical type variogram model with application to corn plant data. J. Phys. Conf. Ser. 2021, 1940, 012003. [Google Scholar] [CrossRef]
- Chilès, J.; Delfiner, P. Geostatistics: Modeling Spatial Uncertainty; Wiley Series in Probability and Statistics; Wiley: Hoboken, NJ, USA, 2012. [Google Scholar]
- Armstrong, M. Basic Linear Geostatistics; Springer: Berlin/Heidelberg, Germany, 1988. [Google Scholar] [CrossRef]
- Camana, F.; Deutsch, C. Geostatistics Lessons. 2021. Available online: http://geostatisticslessons.com/lessons/nuggeteffect (accessed on 1 September 2021).
- Garrigues, S.; Allard, D.; Baret, F.; Weiss, M. Quantifying spatial heterogeneity at the landscape scale using variogram models. Remote Sens. Environ. 2006, 103, 81–96. [Google Scholar] [CrossRef]
- Sanchez-Castillo, L.; Kubota, T.; Cantú-Silva, I.; Moriyama, T. A probability method of rainfall warning for sediment-related disaster in developing countries: A case study in Sierra Madre Oriental, Mexico. Nat. Hazards 2016, 85, 1893–1906. [Google Scholar] [CrossRef]
- Motalvo-Arrieta, J.; Chávez-Cabello, G.; Velasco-Tapia, F.; de León I., N. Causes and effects of landslides in Monterrey Metropolitan Area, NE Mexico. In Landslides: Causes, Types; Nova Science Publishers: New York, NY, USA, 2010; pp. 73–104. [Google Scholar]
- Salinas-Jasso, J.A.; Velasco-Tapia, F.; Navarro de León, I.; Salinas-Jasso, R.A.; Alva-Niño, E. Estimation of rainfall thresholds for shallow landslides in the Sierra Madre Oriental, northeastern Mexico. J. Mt. Sci. 2020, 17, 1565–1580. [Google Scholar] [CrossRef]
- Salinas-Jasso, J.; Salinas-Jasso, R.; Montalvo-Arrieta, J.; Alva-Niño, E. Inventario de movimientos en masa en el sector sur de la Saliente de Monterrey. Caso de estudio: Cañón Santa Rosa, Nuevo León, noreste de México. Rev. Mex. Cienc. Geol. 2017, 34, 182–198. [Google Scholar] [CrossRef]
- Villarreal-Macés, S.G.; Díaz-Viera, M.A. Geostatistical estimation of the spatial distribution of mean monthly and mean annual rainfall in Nuevo León, Mexico (1930–2014). Tecnol. Cienc. Del Agua 2018, 9, 106–130. [Google Scholar] [CrossRef]
- Caloiero, T.; Filice, E.; Coscarelli, R.; Pellicone, G. A Homogeneous Dataset for Rainfall Trend Analysis in the Calabria Region (Southern Italy). Water 2020, 12, 2541. [Google Scholar] [CrossRef]
- Ahmed, K.; Shahid, S.; Ismail, T.; Nawaz, N.; Wang, X.J.; Ahmed, K.; Shahid, S.; Ismail, T.; Nawaz, N.; Wang, X.J. Absolute homogeneity assessment of precipitation time series in an arid region of Pakistan. Atmósfera 2018, 31, 301–316. [Google Scholar] [CrossRef]
- Ros, F.C.; Tosaka, H.; Sidek, L.M.; Basri, H. Homogeneity and trends in long-term rainfall data, Kelantan River Basin, Malaysia. Int. J. River Basin Manag. 2016, 14, 151–163. [Google Scholar] [CrossRef]
- Agha, O.M.A.M.; Çağatay Bağçacı, S.; Şarlak, N. Homogeneity Analysis of Precipitation Series in North Iraq. IOSR J. Appl. Geol. Geophys. 2017, 05, 57–63. [Google Scholar] [CrossRef]
- Benavides-Bravo, F.G.; Almaguer, F.J.; Soto-Villalobos, R.; Tercero-Gómez, V.; Morales-Castillo, J. Clustering of Rainfall Stations in RH-24 Mexico Region Using the Hurst Exponent in Semivariograms. Math. Probl. Eng. 2015, 2015, 1–7. [Google Scholar] [CrossRef]
- R Core Team. R: A Language and Environment for Statistical Computing; R Foundation for Statistical Computing: Vienna, Austria, 2020. [Google Scholar]
- Webster, R.; Stewart, B.A. Quantitative Spatial Analysis of Soil in the Field. In Advances in Soil Science; Springer: Dordrecht, The Netherlands, 1985; pp. 1–70. [Google Scholar] [CrossRef]
- Myers, D.E.; Journel, A. Variograms with zonal anisotropies and noninvertible kriging systems. Math. Geol. 1990, 22, 779–785. [Google Scholar] [CrossRef]
- Wang, J.; Fu, B.; Qiu, Y.; Chen, L.; Wang, Z. Geostatistical analysis of soil moisture variability on Da Nangou catchment of the loess plateau, China. Environ. Geol. 2001, 41, 113–120. [Google Scholar] [CrossRef]
- Barrett, J.P. The Coefficient of Determination—Some Limitations. Am. Stat. 1974, 28, 19–20. [Google Scholar] [CrossRef]
- Saunders, L.J.; Russell, R.A.; Crabb, D.P. The Coefficient of Determination: What Determines a Useful R2 Statistic? Investig. Ophthalmol. Vis. Sci. 2012, 53, 6830–6832. [Google Scholar] [CrossRef]
- Monthly Summaries of Temperatures and Rain. Available online: https://smn.conagua.gob.mx/es/climatologia/temperaturas-y-lluvias/resumenes-mensuales-de-temperaturas-y-lluvias (accessed on 17 September 2021).
- Carrasco, P. Nugget effect, artificial or natural? The J. South. Afr. Inst. Min. Metall. 2010, 10, 299–305. [Google Scholar]









| Parameter | Lower Bound | Upper Bound |
|---|---|---|
| c | 0.5 | 2 |
| 0 | ||
| a | 0.01 | r |
| k | 0.01 | 1 |
| Weather Station | Parameters | Coefficient of Determination | Error | ||
|---|---|---|---|---|---|
| Models | c | a | k | ||
| El Cerrito | |||||
| Spherical | 142.97 | - | - | −5.678 | 29.13 |
| Exponential | 118.16 | 0.75 | - | 0.798 | 5.07 |
| Quadratic–exponential | 122.82 | - | 0.295 | 0.976 | 1.73 |
| El Pajonal | |||||
| Spherical | 76.67 | - | - | −11.103 | 16.87 |
| Exponential | 62.72 | 0.63 | - | 0.752 | 2.42 |
| Quadratic–exponential | 65.09 | - | 0.240 | 0.982 | 0.65 |
| Casillas | |||||
| Spherical | 84.87 | - | - | −22.650 | 20.07 |
| Exponential | 68.85 | 0.51 | - | 0.636 | 2.49 |
| Quadratic–exponential | 71.20 | - | 0.185 | 0.958 | 0.84 |
| San Juan | |||||
| Spherical | 93.63 | - | - | −44.648 | 23.33 |
| Exponential | 75.97 | 0.46 | - | 0.801 | 1.54 |
| Quadratic–exponential | 77.77 | - | 0.138 | 0.917 | 1.00 |
| Rancho de Gomas | |||||
| Spherical | 60.05 | - | - | −44.246 | 14.90 |
| Exponential | 48.64 | 0.45 | - | 0.698 | 1.22 |
| Quadratic–exponential | 49.94 | - | 0.143 | 0.988 | 0.24 |
| El Hojase | |||||
| Spherical | 90.77 | - | - | −64.823 | 16.88 |
| Exponential | 73.26 | 0.39 | - | 0.477 | 2.42 |
| Quadratic–exponential | 75.16 | - | 0.122 | 0.973 | 0.65 |
| Weather Station | Parameters | Coefficient of Determination | Error | |||
|---|---|---|---|---|---|---|
| Models | c | a | k | |||
| El Cerrito | ||||||
| Spherical | 41.76 | 81.70 | - | - | 0.992 | 1.03 |
| Exponential | 57.33 | 77.43 | 3.49 | - | 0.997 | 0.63 |
| Quadratic–exponential | 122.82 | - | - | 0.295 | 0.976 | 1.73 |
| El Pajonal | ||||||
| Spherical | 18.00 | 47.35 | - | - | 0.995 | 0.35 |
| Exponential | 24.66 | 45.50 | 3.47 | - | 0.998 | 0.22 |
| Quadratic–exponential | 65.09 | - | - | 0.240 | 0.982 | 0.65 |
| Casillas | ||||||
| Spherical | 15.12 | 56.31 | - | - | 0.969 | 0.73 |
| Exponential | 25.06 | 56.47 | - | 0.988 | 0.45 | |
| Quadratic–exponential | 71.20 | - | - | 0.185 | 0.958 | 0.85 |
| San Juan | ||||||
| Spherical | 12.55 | 65.46 | - | - | 0.954 | 0.75 |
| Exponential | 17.44 | 61.50 | 2.16 | - | 0.981 | 0.48 |
| Quadratic–exponential | 77.77 | - | - | 0.138 | 0.917 | 1.00 |
| Rancho de Gomas | ||||||
| Spherical | 8.24 | 41.83 | - | - | 0.998 | 0.10 |
| Exponential | 11.05 | 40.49 | 2.90 | - | 0.997 | 0.12 |
| Quadratic–exponential | 49.94 | - | - | 0.143 | 0.988 | 0.24 |
| El Hojase | ||||||
| Spherical | 10.39 | 64.89 | - | - | 0.960 | 0.57 |
| Exponential | 15.46 | 64.72 | 4.83 | - | 0.949 | 0.64 |
| Quadratic–exponential | 75.16 | - | - | 0.122 | 0.973 | 0.47 |
Publisher’s Note: MDPI stays neutral with regard to jurisdictional claims in published maps and institutional affiliations. |
© 2021 by the authors. Licensee MDPI, Basel, Switzerland. This article is an open access article distributed under the terms and conditions of the Creative Commons Attribution (CC BY) license (https://creativecommons.org/licenses/by/4.0/).
Share and Cite
Benavides-Bravo, F.G.; Soto-Villalobos, R.; Cantú-González, J.R.; Aguirre-López, M.A.; Benavides-Ríos, Á.G. A Quadratic–Exponential Model of Variogram Based on Knowing the Maximal Variability: Application to a Rainfall Time Series. Mathematics 2021, 9, 2466. https://doi.org/10.3390/math9192466
Benavides-Bravo FG, Soto-Villalobos R, Cantú-González JR, Aguirre-López MA, Benavides-Ríos ÁG. A Quadratic–Exponential Model of Variogram Based on Knowing the Maximal Variability: Application to a Rainfall Time Series. Mathematics. 2021; 9(19):2466. https://doi.org/10.3390/math9192466
Chicago/Turabian StyleBenavides-Bravo, Francisco Gerardo, Roberto Soto-Villalobos, José Roberto Cantú-González, Mario A. Aguirre-López, and Ángela Gabriela Benavides-Ríos. 2021. "A Quadratic–Exponential Model of Variogram Based on Knowing the Maximal Variability: Application to a Rainfall Time Series" Mathematics 9, no. 19: 2466. https://doi.org/10.3390/math9192466
APA StyleBenavides-Bravo, F. G., Soto-Villalobos, R., Cantú-González, J. R., Aguirre-López, M. A., & Benavides-Ríos, Á. G. (2021). A Quadratic–Exponential Model of Variogram Based on Knowing the Maximal Variability: Application to a Rainfall Time Series. Mathematics, 9(19), 2466. https://doi.org/10.3390/math9192466

