Seasonality in Tourism: Do Senior Programs Mitigate It?
Abstract
:1. Introduction
2. Data
- (1)
- To improve the quality of life of the elderly through tourism activities, connecting them with other environments and providing access to cultural assets.
- (2)
- To favour the creation or maintenance of employment in the tourism sector, with particular attention given to the hotel sector, during low season, thereby helping to alleviate the seasonality of the sector.
- (3)
- To promote productive activity in various sectors of the economy.
3. Methodology
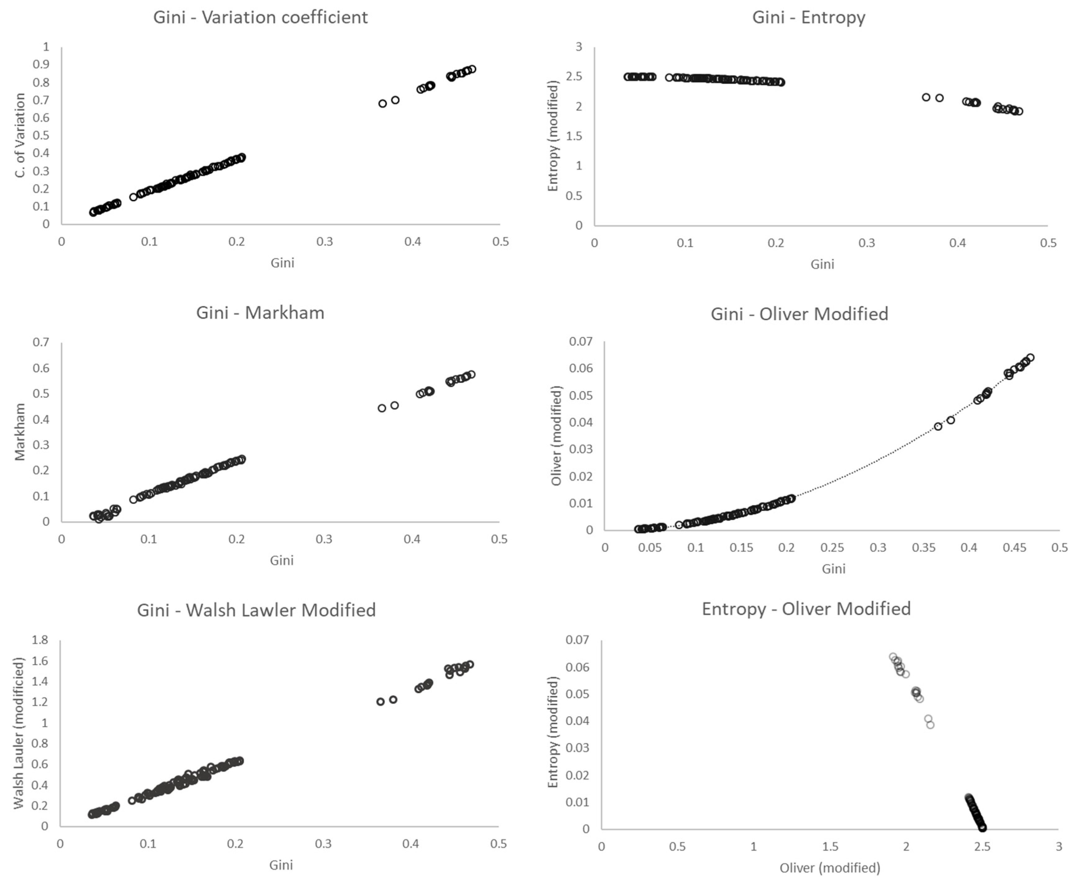
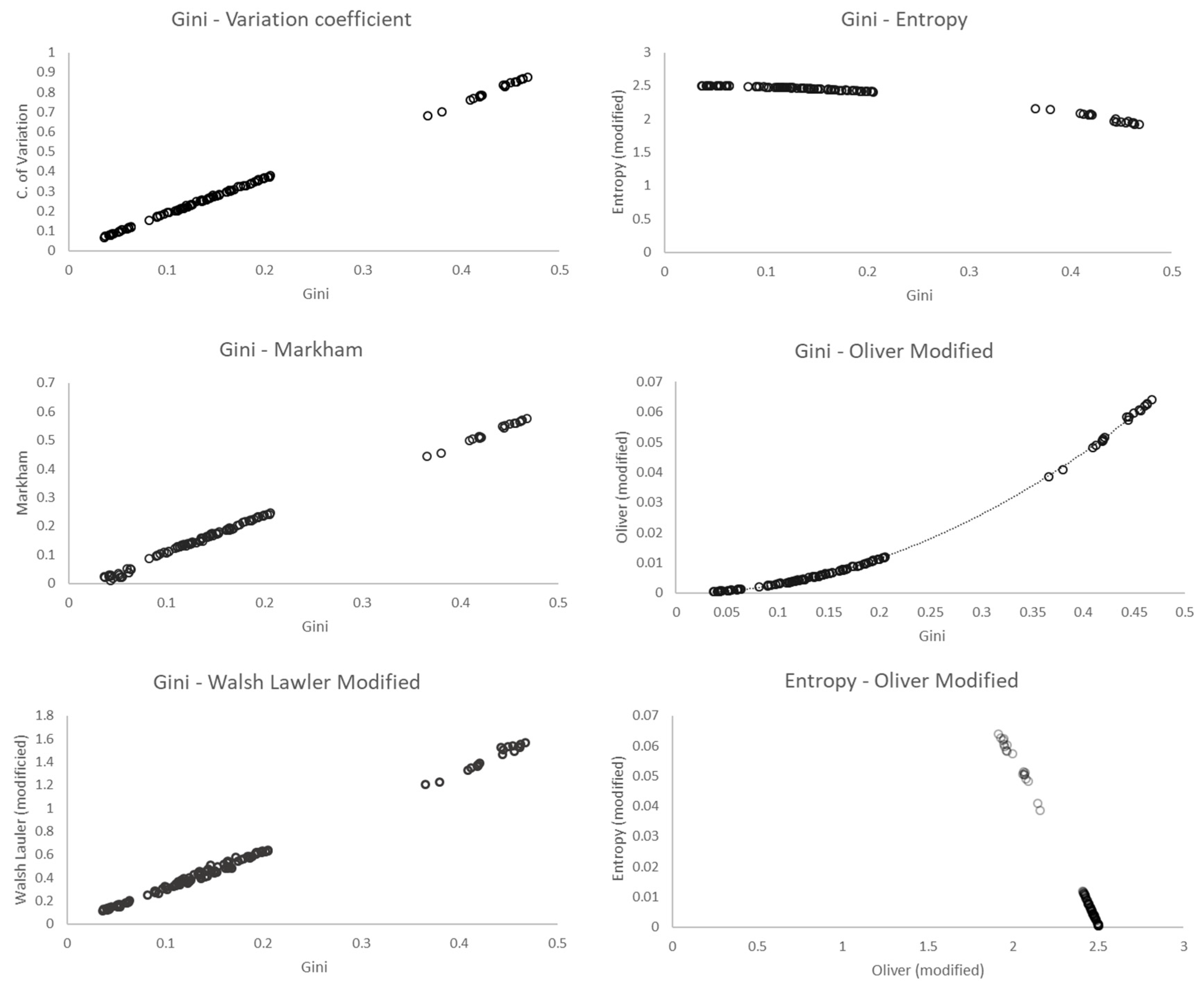
3.1. Notation and Seasonality Coefficients
- Variation coefficient (VC). This is a relative measure of variability that indicates the size of a standard deviation in relation to its mean. The expression of VC for the year j is:
- Gini coefficient (GC) [48]. Before calculating this, the values of the indicator of tourism activity needed to be ordered from lowest to highest value, within each year. Thus, the GC for year j is calculated using the following expression:
- Markham coefficient (MC) [49]. This is based on the so-called circular statistics, in which the values of each of the months are distributed over a circle positioned angularly according to the order they occupy and in a clockwise direction.
- Walsh–Lawler coefficient (WLC) [50]. This coefficient allows the variation in tourism activity to be quantified throughout each year j. Thus, this measure is based on the difference between the observed monthly tourism activity, , and the monthly average for the year, . This is expressed as:
- Oliver coefficient (OC) [51]. This coefficient attempts to measure the intensity of the concentration of a magnitude by means of the quotient given in (9). Thus, considering monthly values of each year j and defining the indicator is given by the following algebraic expression:
- Entropy coefficient of information or Shannon entropy (EC) [52]. This indicator tries to measure the order of the set of states of a system as a function of the probability of occurrence of each of them. When all the states have the same probability of occurrence, this is interpreted as the system presenting equidistribution, and this measure takes its maximum value (for the case of 12 states it is approximately 3.58). On the contrary, when one of the states has a probability of occurrence equal to 1, this is interpreted as a maximum concentration, and the measure takes its minimum value, 0. The algebraic expression of the EC of a system with n-states and with a probability of occurrence of each of them equal to is given by the expression . In the particular case of tourism activity and for monthly values of the corresponding indicators in year j, the following expression is given:
3.2. Econometric Model
4. Results
4.1. International Context
4.2. National Context: Demand
4.3. National Context: Supply
- Administration of supply: number of available places and contracted personnel.
- Adaptation of supply to demand: degree of occupancy of available places.
- Profitability: average hotel rate and income per available room.
4.4. Econometric Model
5. Conclusions
Author Contributions
Funding
Informed Consent Statement
Data Availability Statement
Conflicts of Interest
Appendix A
The Imserso Programme
- (1)
- To facilitate the access of pensioners of the Social Security System to treatments in spas provided for people of this group, who need it by medical prescription, in order that the thermal treatment can act in a preventive and curative way or as rehabilitation of chronic diseases and disabling diseases, thus helping to improve their quality of life and at a reduced price thanks to the co-financing of the Imserso.
- (2)
- To promote the economic development of the areas in which the spas are located, contributing to the creation and maintenance of employment, facilitating the improvement and modernisation of the infrastructures and facilities of these centres and allowing professionalisation and specialisation of the staff who provide their services in these establishments.
Appendix B
| Year | Germany | Austria | Spain | France | Holland | Italy | Portugal | UK | Sweden |
|---|---|---|---|---|---|---|---|---|---|
| 1999 | 0.13 | 0.12 | 0.16 | n.a. | 0.19 | 0.20 | 0.17 | 0.22 | 0.10 |
| 2000 | 0.13 | 0.12 | 0.16 | n.a. | 0.17 | 0.20 | 0.18 | 0.17 | 0.11 |
| 2001 | 0.13 | 0.11 | 0.17 | n.a. | 0.18 | 0.19 | 0.17 | 0.18 | 0.20 |
| 2002 | 0.13 | 0.11 | 0.16 | n.a. | 0.18 | 0.20 | 0.17 | 0.14 | 0.20 |
| 2003 | 0.15 | 0.12 | 0.18 | n.a. | 0.19 | 0.20 | 0.18 | 0.16 | 0.22 |
| 2004 | 0.12 | 0.11 | 0.17 | n.a. | 0.17 | 0.19 | 0.17 | 0.14 | 0.25 |
| 2005 | 0.12 | 0.10 | 0.17 | n.a. | 0.17 | 0.19 | 0.17 | 0.18 | 0.27 |
| 2006 | 0.12 | 0.10 | 0.16 | n.a. | 0.16 | 0.19 | 0.17 | 0.18 | 0.22 |
| 2007 | 0.12 | 0.10 | 0.15 | n.a. | 0.14 | 0.19 | 0.16 | 0.18 | 0.23 |
| 2008 | 0.12 | 0.10 | 0.15 | n.a. | 0.14 | 0.19 | 0.16 | 0.18 | 0.20 |
| 2009 | 0.13 | 0.10 | 0.17 | n.a. | 0.15 | 0.20 | 0.17 | 0.20 | 0.21 |
| 2010 | 0.13 | 0.10 | 0.17 | n.a. | 0.16 | 0.20 | 0.16 | 0.19 | 0.20 |
| 2011 | 0.13 | 0.10 | 0.18 | 0.17 | 0.14 | 0.20 | 0.18 | 0.18 | 0.20 |
| 2012 | 0.12 | 0.10 | 0.17 | 0.16 | 0.15 | 0.20 | 0.19 | 0.18 | 0.19 |
| 2013 | 0.13 | 0.10 | 0.18 | 0.17 | 0.17 | 0.20 | 0.20 | 0.19 | 0.20 |
| 2014 | 0.12 | 0.10 | 0.18 | 0.17 | 0.16 | 0.20 | 0.19 | 0.21 | 0.20 |
| 2015 | 0.13 | 0.11 | 0.17 | 0.18 | 0.16 | 0.21 | 0.18 | 0.18 | 0.19 |
| 2016 | 0.12 | 0.11 | 0.17 | 0.17 | 0.15 | 0.20 | 0.17 | 0.18 | 0.20 |
| 2017 | 0.12 | 0.11 | 0.17 | 0.17 | 0.13 | 0.20 | 0.17 | 0.19 | 0.18 |
| 2018 | 0.12 | 0.10 | 0.16 | 0.16 | 0.13 | 0.19 | 0.16 | 0.18 | 0.17 |
| 2019 | 0.12 | 0.11 | 0.17 | 0.18 | 0.13 | 0.19 | 0.16 | 0.20 | 0.19 |
| Year | Germany | Austria | Spain | France | Holland | Italy | Portugal | UK | Sweden |
|---|---|---|---|---|---|---|---|---|---|
| 1999 | 0.17 | 0.12 | 0.23 | n.a. | 0.17 | 0.25 | 0.21 | 0.20 | 0.27 |
| 2000 | 0.18 | 0.12 | 0.20 | n.a. | 0.17 | 0.27 | 0.21 | 0.20 | 0.26 |
| 2001 | 0.16 | 0.11 | 0.21 | n.a. | 0.16 | 0.27 | 0.20 | 0.19 | 0.36 |
| 2002 | 0.16 | 0.11 | 0.21 | n.a. | 0.17 | 0.26 | 0.21 | 0.21 | 0.37 |
| 2003 | 0.15 | 0.12 | 0.21 | n.a. | 0.17 | 0.25 | 0.21 | 0.16 | 0.37 |
| 2004 | 0.15 | 0.11 | 0.21 | n.a. | 0.15 | 0.24 | 0.21 | 0.17 | 0.41 |
| 2005 | 0.15 | 0.10 | 0.21 | n.a. | 0.13 | 0.25 | 0.20 | 0.16 | 0.40 |
| 2006 | 0.15 | 0.10 | 0.21 | n.a. | 0.15 | 0.25 | 0.21 | 0.17 | 0.37 |
| 2007 | 0.14 | 0.10 | 0.20 | n.a. | 0.12 | 0.25 | 0.21 | 0.15 | 0.40 |
| 2008 | 0.14 | 0.10 | 0.20 | n.a. | 0.12 | 0.25 | 0.20 | 0.16 | 0.34 |
| 2009 | 0.15 | 0.10 | 0.21 | n.a. | 0.14 | 0.26 | 0.21 | 0.16 | 0.34 |
| 2010 | 0.16 | 0.10 | 0.22 | n.a. | 0.14 | 0.27 | 0.22 | 0.19 | 0.35 |
| 2011 | 0.15 | 0.10 | 0.22 | 0.29 | 0.15 | 0.26 | 0.24 | 0.18 | 0.34 |
| 2012 | 0.14 | 0.10 | 0.23 | 0.28 | 0.14 | 0.27 | 0.23 | 0.16 | 0.33 |
| 2013 | 0.14 | 0.10 | 0.23 | 0.28 | 0.15 | 0.28 | 0.23 | 0.19 | 0.31 |
| 2014 | 0.14 | 0.10 | 0.22 | 0.28 | 0.15 | 0.28 | 0.23 | 0.18 | 0.32 |
| 2015 | 0.15 | 0.11 | 0.22 | 0.29 | 0.15 | 0.28 | 0.22 | 0.19 | 0.31 |
| 2016 | 0.13 | 0.11 | 0.22 | 0.27 | 0.13 | 0.28 | 0.21 | 0.16 | 0.32 |
| 2017 | 0.13 | 0.11 | 0.21 | 0.26 | 0.14 | 0.28 | 0.21 | 0.16 | 0.31 |
| 2018 | 0.13 | 0.10 | 0.20 | 0.25 | 0.13 | 0.27 | 0.19 | 0.15 | 0.29 |
| 2019 | 0.13 | 0.11 | 0.20 | 0.25 | 0.14 | 0.27 | 0.19 | 0.16 | 0.31 |
| Year | Spain | Andalusia | Balearic Islands | Canary Islands | Catalonia | Valencian Community | Murcia Region |
|---|---|---|---|---|---|---|---|
| 2001 | 0.11 | 0.11 | 0.20 | 0.13 | 0.12 | 0.14 | 0.10 |
| 2002 | 0.11 | 0.11 | 0.22 | 0.14 | 0.11 | 0.14 | 0.10 |
| 2003 | 0.13 | 0.12 | 0.26 | 0.17 | 0.14 | 0.15 | 0.09 |
| 2004 | 0.13 | 0.11 | 0.30 | 0.18 | 0.14 | 0.14 | 0.08 |
| 2005 | 0.13 | 0.11 | 0.31 | 0.17 | 0.15 | 0.13 | 0.09 |
| 2006 | 0.12 | 0.12 | 0.29 | 0.17 | 0.15 | 0.13 | 0.10 |
| 2007 | 0.12 | 0.13 | 0.31 | 0.17 | 0.14 | 0.14 | 0.09 |
| 2008 | 0.12 | 0.14 | 0.31 | 0.17 | 0.13 | 0.14 | 0.10 |
| 2009 | 0.13 | 0.15 | 0.31 | 0.17 | 0.15 | 0.15 | 0.12 |
| 2010 | 0.13 | 0.16 | 0.33 | 0.15 | 0.14 | 0.15 | 0.11 |
| 2011 | 0.14 | 0.15 | 0.32 | 0.16 | 0.15 | 0.17 | 0.12 |
| 2012 | 0.13 | 0.16 | 0.30 | 0.16 | 0.13 | 0.17 | 0.11 |
| 2013 | 0.14 | 0.17 | 0.30 | 0.16 | 0.14 | 0.17 | 0.13 |
| 2014 | 0.14 | 0.17 | 0.33 | 0.18 | 0.14 | 0.17 | 0.11 |
| 2015 | 0.14 | 0.15 | 0.33 | 0.18 | 0.16 | 0.17 | 0.11 |
| 2016 | 0.13 | 0.14 | 0.31 | 0.16 | 0.16 | 0.16 | 0.10 |
| 2017 | 0.13 | 0.13 | 0.31 | 0.17 | 0.16 | 0.15 | 0.10 |
| 2018 | 0.12 | 0.13 | 0.29 | 0.17 | 0.15 | 0.15 | 0.09 |
| 2019 | 0.13 | 0.15 | 0.33 | 0.18 | 0.15 | 0.15 | 0.10 |
| Year | Spain | Andalusia | Balearic Islands | Canary Islands | Catalonia | Valencian Community | Murcia Region |
|---|---|---|---|---|---|---|---|
| 2001 | 0.20 | 0.18 | 0.40 | 0.05 | 0.27 | 0.09 | 0.10 |
| 2002 | 0.20 | 0.18 | 0.42 | 0.08 | 0.26 | 0.10 | 0.14 |
| 2003 | 0.20 | 0.18 | 0.44 | 0.06 | 0.24 | 0.12 | 0.10 |
| 2004 | 0.20 | 0.17 | 0.45 | 0.07 | 0.23 | 0.10 | 0.09 |
| 2005 | 0.20 | 0.17 | 0.45 | 0.07 | 0.24 | 0.11 | 0.09 |
| 2006 | 0.20 | 0.18 | 0.44 | 0.04 | 0.24 | 0.10 | 0.07 |
| 2007 | 0.19 | 0.17 | 0.45 | 0.07 | 0.23 | 0.11 | 0.12 |
| 2008 | 0.20 | 0.18 | 0.45 | 0.06 | 0.23 | 0.14 | 0.13 |
| 2009 | 0.20 | 0.19 | 0.45 | 0.06 | 0.23 | 0.14 | 0.12 |
| 2010 | 0.21 | 0.20 | 0.47 | 0.07 | 0.23 | 0.15 | 0.12 |
| 2011 | 0.22 | 0.20 | 0.48 | 0.06 | 0.24 | 0.17 | 0.11 |
| 2012 | 0.22 | 0.20 | 0.49 | 0.05 | 0.24 | 0.17 | 0.13 |
| 2013 | 0.22 | 0.20 | 0.48 | 0.06 | 0.25 | 0.17 | 0.14 |
| 2014 | 0.22 | 0.20 | 0.49 | 0.05 | 0.24 | 0.16 | 0.15 |
| 2015 | 0.21 | 0.20 | 0.48 | 0.05 | 0.23 | 0.16 | 0.16 |
| 2016 | 0.21 | 0.19 | 0.48 | 0.04 | 0.22 | 0.15 | 0.14 |
| 2017 | 0.20 | 0.18 | 0.47 | 0.03 | 0.22 | 0.15 | 0.16 |
| 2018 | 0.19 | 0.17 | 0.47 | 0.03 | 0.20 | 0.13 | 0.14 |
| 2019 | 0.19 | 0.17 | 0.46 | 0.04 | 0.20 | 0.13 | 0.15 |
| Year | Spain | Andalusia | Balearic Islands | Canary Islands | Catalonia | Valencian Community | Murcia Region |
|---|---|---|---|---|---|---|---|
| 2001 | 0.12 | 0.05 | 0.34 | 0.00 | 0.21 | 0.07 | 0.07 |
| 2002 | 0.12 | 0.06 | 0.36 | 0.01 | 0.20 | 0.07 | 0.06 |
| 2003 | 0.12 | 0.06 | 0.38 | 0.01 | 0.21 | 0.07 | 0.05 |
| 2004 | 0.12 | 0.06 | 0.38 | 0.01 | 0.20 | 0.06 | 0.05 |
| 2005 | 0.11 | 0.06 | 0.38 | 0.01 | 0.19 | 0.05 | 0.06 |
| 2006 | 0.11 | 0.07 | 0.38 | 0.02 | 0.19 | 0.05 | 0.07 |
| 2007 | 0.11 | 0.06 | 0.39 | 0.01 | 0.18 | 0.05 | 0.06 |
| 2008 | 0.11 | 0.06 | 0.39 | 0.01 | 0.17 | 0.04 | 0.07 |
| 2009 | 0.11 | 0.07 | 0.41 | 0.01 | 0.17 | 0.05 | 0.07 |
| 2010 | 0.11 | 0.08 | 0.42 | 0.03 | 0.16 | 0.05 | 0.07 |
| 2011 | 0.11 | 0.08 | 0.42 | 0.01 | 0.16 | 0.06 | 0.07 |
| 2012 | 0.11 | 0.09 | 0.43 | 0.01 | 0.16 | 0.07 | 0.07 |
| 2013 | 0.12 | 0.11 | 0.44 | 0.01 | 0.16 | 0.07 | 0.08 |
| 2014 | 0.12 | 0.11 | 0.45 | 0.00 | 0.16 | 0.07 | 0.07 |
| 2015 | 0.12 | 0.11 | 0.45 | 0.01 | 0.16 | 0.07 | 0.07 |
| 2016 | 0.12 | 0.11 | 0.44 | 0.01 | 0.16 | 0.07 | 0.07 |
| 2017 | 0.12 | 0.11 | 0.44 | 0.01 | 0.16 | 0.07 | 0.08 |
| 2018 | 0.12 | 0.11 | 0.44 | 0.01 | 0.16 | 0.07 | 0.08 |
| 2019 | 0.12 | 0.11 | 0.44 | 0.01 | 0.16 | 0.07 | 0.08 |
| Gini Coefficient of Hired Personnel | |||||||
| Year | Spain | Andalusia | Balearic Islands | Canary Islands | Catalonia | Valencian Community | Murcia Region |
| 2002 | 0.12 | 0.07 | 0.36 | 0.01 | 0.20 | 0.12 | 0.08 |
| 2003 | 0.12 | 0.08 | 0.37 | 0.01 | 0.20 | 0.09 | 0.07 |
| 2004 | 0.13 | 0.09 | 0.39 | 0.01 | 0.20 | 0.10 | 0.06 |
| 2005 | 0.12 | 0.08 | 0.38 | 0.01 | 0.18 | 0.08 | 0.07 |
| 2006 | 0.12 | 0.11 | 0.38 | 0.02 | 0.17 | 0.07 | 0.08 |
| 2007 | 0.12 | 0.11 | 0.39 | 0.03 | 0.16 | 0.08 | 0.08 |
| 2008 | 0.11 | 0.10 | 0.39 | 0.01 | 0.16 | 0.07 | 0.09 |
| 2009 | 0.11 | 0.10 | 0.40 | 0.01 | 0.15 | 0.07 | 0.08 |
| 2010 | 0.11 | 0.11 | 0.42 | 0.01 | 0.15 | 0.08 | 0.08 |
| 2011 | 0.12 | 0.12 | 0.43 | 0.03 | 0.15 | 0.09 | 0.09 |
| 2012 | 0.12 | 0.13 | 0.44 | 0.01 | 0.15 | 0.10 | 0.08 |
| 2013 | 0.13 | 0.14 | 0.45 | 0.01 | 0.15 | 0.11 | 0.09 |
| 2014 | 0.13 | 0.15 | 0.46 | 0.02 | 0.15 | 0.11 | 0.11 |
| 2015 | 0.14 | 0.16 | 0.47 | 0.01 | 0.16 | 0.11 | 0.11 |
| 2016 | 0.14 | 0.15 | 0.47 | 0.02 | 0.15 | 0.11 | 0.10 |
| 2017 | 0.14 | 0.15 | 0.46 | 0.02 | 0.16 | 0.12 | 0.10 |
| 2018 | 0.14 | 0.16 | 0.46 | 0.01 | 0.16 | 0.11 | 0.10 |
| 2019 | 0.14 | 0.16 | 0.45 | 0.02 | 0.15 | 0.10 | 0.08 |
| Year | Spain | Andalusia | Balearic Islands | Canary Islands | Catalonia | Valencian Community | Murcia Region |
|---|---|---|---|---|---|---|---|
| 2001 | 0.12 | 0.14 | 0.14 | 0.04 | 0.15 | 0.08 | 0.11 |
| 2002 | 0.11 | 0.14 | 0.16 | 0.05 | 0.15 | 0.09 | 0.11 |
| 2003 | 0.12 | 0.14 | 0.15 | 0.05 | 0.14 | 0.10 | 0.10 |
| 2004 | 0.11 | 0.13 | 0.15 | 0.06 | 0.13 | 0.10 | 0.09 |
| 2005 | 0.12 | 0.13 | 0.15 | 0.06 | 0.14 | 0.10 | 0.10 |
| 2006 | 0.11 | 0.13 | 0.14 | 0.05 | 0.14 | 0.10 | 0.10 |
| 2007 | 0.11 | 0.14 | 0.15 | 0.05 | 0.14 | 0.11 | 0.09 |
| 2008 | 0.12 | 0.15 | 0.16 | 0.05 | 0.15 | 0.12 | 0.11 |
| 2009 | 0.12 | 0.16 | 0.17 | 0.05 | 0.16 | 0.13 | 0.12 |
| 2010 | 0.13 | 0.17 | 0.19 | 0.05 | 0.16 | 0.14 | 0.12 |
| 2011 | 0.13 | 0.16 | 0.21 | 0.06 | 0.17 | 0.15 | 0.13 |
| 2012 | 0.13 | 0.16 | 0.20 | 0.05 | 0.17 | 0.15 | 0.13 |
| 2013 | 0.13 | 0.16 | 0.20 | 0.05 | 0.17 | 0.15 | 0.14 |
| 2014 | 0.12 | 0.16 | 0.20 | 0.04 | 0.16 | 0.15 | 0.14 |
| 2015 | 0.12 | 0.14 | 0.19 | 0.04 | 0.15 | 0.14 | 0.13 |
| 2016 | 0.11 | 0.13 | 0.17 | 0.04 | 0.14 | 0.13 | 0.13 |
| 2017 | 0.11 | 0.13 | 0.18 | 0.03 | 0.14 | 013 | 0.11 |
| 2018 | 0.10 | 0.12 | 0.18 | 0.04 | 0.12 | 0.11 | 0.10 |
| 2019 | 0.10 | 0.12 | 0.19 | 0.03 | 0.12 | 0.11 | 0.10 |
| Year | Spain | Andalusia | Balearic Islands | Canary Islands | Catalonia | Valencian Community | Murcia Region |
|---|---|---|---|---|---|---|---|
| 2008 | 0.11 | 0.21 | 0.20 | 0.06 | 0.10 | 0.19 | 0.14 |
| 2009 | 0.11 | 0.23 | 0.18 | 0.07 | 0.11 | 0.21 | 0.13 |
| 2010 | 0.12 | 0.24 | 0.21 | 0.07 | 0.12 | 0.21 | 0.14 |
| 2011 | 0.13 | 0.24 | 0.26 | 0.07 | 0.14 | 0.22 | 0.15 |
| 2012 | 0.14 | 0.24 | 0.26 | 0.06 | 0.15 | 0.22 | 0.17 |
| 2013 | 0.14 | 0.24 | 0.26 | 0.07 | 0.16 | 0.23 | 0.18 |
| 2014 | 0.14 | 0.24 | 0.27 | 0.06 | 0.16 | 0.23 | 0.17 |
| 2015 | 0.14 | 0.23 | 0.27 | 0.06 | 0.15 | 0.23 | 0.17 |
| 2016 | 0.14 | 0.23 | 0.27 | 0.05 | 0.14 | 0.23 | 0.18 |
| 2017 | 0.14 | 0.22 | 0.26 | 0.04 | 0.16 | 0.23 | 0.15 |
| 2018 | 0.13 | 0.21 | 0.25 | 0.05 | 0.13 | 0.21 | 0.14 |
| 2019 | 0.13 | 0.21 | 0.26 | 0.04 | 0.13 | 0.21 | 0.16 |
| Gini Coefficient of the Average Hotel Rate | |||||||
| Year | Spain | Andalusia | Balearic Islands | Canary Islands | Catalonia | Valencian Community | Murcia Region |
| 2008 | 0.03 | 0.09 | 0.06 | 0.04 | 0.05 | 0.08 | 0.05 |
| 2009 | 0.03 | 0.10 | 0.07 | 0.04 | 0.06 | 0.09 | 0.06 |
| 2010 | 0.03 | 0.10 | 0.07 | 0.03 | 0.04 | 0.09 | 0.06 |
| 2011 | 0.03 | 0.11 | 0.08 | 0.03 | 0.03 | 0.10 | 0.06 |
| 2012 | 0.04 | 0.11 | 0.10 | 0.03 | 0.04 | 0.10 | 0.08 |
| 2013 | 0.04 | 0.10 | 0.10 | 0.03 | 0.04 | 0.10 | 0.09 |
| 2014 | 0.04 | 0.11 | 0.11 | 0.03 | 0.05 | 0.11 | 0.09 |
| 2015 | 0.05 | 0.11 | 0.13 | 0.03 | 0.04 | 0.11 | 0.08 |
| 2016 | 0.05 | 0.12 | 0.13 | 0.04 | 0.05 | 0.13 | 0.09 |
| 2017 | 0.05 | 0.12 | 0.12 | 0.04 | 0.05 | 0.12 | 0.08 |
| 2018 | 0.05 | 0.12 | 0.12 | 0.04 | 0.05 | 0.11 | 0.08 |
| 2019 | 0.05 | 0.12 | 0.13 | 0.03 | 0.05 | 0.11 | 0.08 |
References
- Lage, H.G.; Milone, P.C. Impactos socioeconómicos globais do turismo. In Turismo: Teoría y Práctica; Lage, H.G., Milone, P.C., Eds.; Atlas: Sào Paulo, Brazil, 2000; pp. 72–91. [Google Scholar]
- Butler, R.W. Seasonality in Tourism: Issues and Problems. In Tourism: The State of the Art; Seaton, A.V., Ed.; Wiley: Chichester, UK, 1994; pp. 332–339. [Google Scholar]
- Butler, R.W. Seasonality in Tourism: Issues and Implications. In Seasonality in Tourism; Baum, T., Lundtorp, S., Eds.; Pergarmon-Elservier: Oxford, UK, 2001; pp. 5–22. [Google Scholar]
- Butler, R.W.; Mao, B. Seasonality in Tourism: Problems and Measurement. In Quality Management in Urban Tourism; Murphy, P., Ed.; Wiley & Sons: Chichester, UK, 1997; pp. 9–23. [Google Scholar]
- López, J.M.; López, L.M. La concentración estacional en las regiones españolas desde una perspectiva de la oferta turística. Rev. Estud. Reg. 2006, 77, 77–104. [Google Scholar]
- Manning, R.E.; Powers, L.A. Peak and Off-Peak Use: Redistributing the Outdoor Recreation/Tourism Load. J. Travel Res. 1984, 23, 25–31. [Google Scholar] [CrossRef]
- Ashworth, J.; Thomas, B. Patterns of seasonality in employment in tourism in the UK. Appl. Econ. Lett. 1999, 6, 735–739. [Google Scholar] [CrossRef]
- Baum, T. Seasonality in Tourism: Understanding the Challenges. Tour. Econ. 1999, 5, 5–8. [Google Scholar] [CrossRef]
- Krakover, S. Partitioning seasonal employment in the hospitality industry. Tour. Manag. 2000, 21, 461–471. [Google Scholar] [CrossRef]
- Allcock, J. Seasonality. In Tourism Marketing and Management Handbook; Witt, S.F., Motuinho, L., Eds.; Prentice Hall: New York, NY, USA, 1994; pp. 86–92. [Google Scholar]
- Lundtorp, S. Measuring Tourism Seasonality. In Seasonality in Tourism; Baum, T., Lundtorp, S., Eds.; Pergamon: Oxford, UK, 2001; pp. 23–50. [Google Scholar]
- Baum, T.; Lundtorp, S. Seasonality in Tourism; Pergamon: Oxford, UK, 2001. [Google Scholar]
- Greenidge, K. Forecasting tourism demand. An STM Approach. Ann. Tour. Res. 2001, 28, 98–112. [Google Scholar] [CrossRef]
- Goh, C.; Law, R. Modeling and forecasting tourism demand for arrivals with stochastic nonstationary seasonality and intervention. Tour. Manag. 2002, 23, 499–510. [Google Scholar] [CrossRef]
- Gustafson, P. Tourism and seasonal retirement migration. Ann. Tour. Res. 2002, 29, 899–918. [Google Scholar] [CrossRef]
- Jolliffe, L.; Farnsworth, R. Seasonality issues. In Extreme Tourism: Lessons from the World’s Cold Water Islands; Baldacchino, G., Ed.; Elsevier: Oxford, UK, 2006; pp. 51–59. [Google Scholar]
- Fernández-Morales, A. Decomposing seasonal concentration. Ann. Tour. Res. 2003, 30, 942–956. [Google Scholar] [CrossRef]
- Nadal, J.R.; Font, A.R.; Rosselló, J. The economic determinants of seasonal patterns. Ann. Tour. Res. 2004, 31, 697–711. [Google Scholar] [CrossRef]
- Koenig-Lewis, N.; Bischoff, E.E. Seasonality research: The state of the art. J. Tour. Res. 2005, 7, 201–219. [Google Scholar] [CrossRef]
- Fernández-Morales, A.; Mayorga-Toledano, M.C. Seasonal concentration of the hotel demand in Costa del Sol: A decomposition by nationalities. Tour. Manag. 2008, 29, 940–949. [Google Scholar] [CrossRef]
- Duro, J.A. Seasonality of hotel demand in the main Spanish provinces: Measurements and decomposition exercises. Tour. Manag. 2016, 52, 52–63. [Google Scholar] [CrossRef] [Green Version]
- Martín, J.M.; Jiménez, J.; Molina, V. Impacts of seasonality on environmental sustainability in the tourism sector based on destination type: An application to Spain’s Andalusia region. Tour. Econ. 2014, 20, 123–142. [Google Scholar] [CrossRef]
- Kulendran, N. Modelling Quarterly Tourist Flows to Australia Using Cointegration Analysis. Tour. Econ. 1996, 2, 203–222. [Google Scholar] [CrossRef]
- Kim, J.H. Forecasting Monthly Tourist Departures from Australia. Tour. Econ. 1999, 5, 277–291. [Google Scholar] [CrossRef]
- Sørensen, N.K. Modelling the Seasonality of Hotel Nights in Denmark by County and Nationality. Tour. Econ. 1999, 5, 9–23. [Google Scholar] [CrossRef] [Green Version]
- Lim, C.; McAleer, M. Monthly seasonal variations: Asian tourism to Australia. Ann. Tour. Res. 2001, 28, 68–82. [Google Scholar] [CrossRef]
- Lasanta, T.; Laguna, M.; Vicente-Serrano, S. Do Tourism-Based Ski Resorts Contribute to the Homogeneous Development of the Mediterranean Mountains? A Case Study in the Central Spanish Pyrenees. Tour. Manag. 2007, 28, 1326–1339. [Google Scholar] [CrossRef]
- Yacoumis, J. Tackling seasonality: The case of Sri Lanka. Int. J. Tour. Manag. 1980, 1, 84–98. [Google Scholar] [CrossRef]
- Lundtorp, S.; Rassing, C.R.; Wanhill, S. The off-Season is ‘No Season’: The Case of the Danish Island of Bornholm. Tour. Econ. 1999, 5, 49–68. [Google Scholar] [CrossRef]
- Jang, S. Mitigating tourism seasonality. A Quantitative Approach. Ann. Tour. Res. 2004, 31, 819–836. [Google Scholar] [CrossRef]
- Parrilla, J.C.; Font, A.R.; Nadal, J.R. Accommodation determinants of seasonal patterns. Ann. Tour. Res. 2006, 34, 422–436. [Google Scholar] [CrossRef]
- Cuccia, T.; Rizzo, I. Tourism seasonality in cultural destinations: Empirical evidence from Sicily. Tour. Manag. 2011, 32, 589–595. [Google Scholar] [CrossRef]
- Lim, C. A Meta-Analytic Review of International Tourism Demand. J. Travel Res. 1999, 37, 273–284. [Google Scholar] [CrossRef]
- Duro, J.A.; Farré, F.X. Estacionalidad Turística en las Provincias Españolas: Medición y análisis. Cuad. Tur. 2015, 36, 157–174. [Google Scholar] [CrossRef] [Green Version]
- Lopes, H.D.S.; Remoaldo, P.; Ribeiro, V.; Martín-Vide, J. Effects of the COVID-19 Pandemic on Tourist Risk Perceptions—The Case Study of Porto. Sustainability 2021, 13, 6399. [Google Scholar] [CrossRef]
- Zhan, L.; Zeng, X.; Morrison, A.M.; Liang, H.; Coca-Stefaniak, J.A. A risk perception scale for travel to a crisis epicentre: Visiting Wuhan after COVID-19. Curr. Issues Tour. 2020, 1–18. [Google Scholar] [CrossRef]
- Smith, W.R. Product differentiation and market segmentation as alternative marketing strategies. J. Mark. 1956, 21, 3–8. [Google Scholar] [CrossRef]
- Baum, T.; Hagen, L. Responses to seasonality: The experiences of peripheral destinations. J. Tour. Res. 1999, 1, 299–312. [Google Scholar] [CrossRef]
- Sausen, K.; Tomczak, T.; Herrmann, A. Development of a taxonomy of strategic market segmentation: A framework for bridging the implementation gap between normative segmentation and business practice. J. Strat. Mark. 2005, 13, 151–173. [Google Scholar] [CrossRef]
- Brännäs, K.; Nordström, J. Tourist Accommodation Effects of Festivals. Tour. Econ. 2006, 12, 291–302. [Google Scholar] [CrossRef]
- Sastre, M.A.G.; Hormaeche, M.A.; Villar, M.T. Are Regional Political Decisions the Key Element in Reducing Seasonal Variation in Tourism? The Case of the Balearic Islands. Tour. Econ. 2015, 21, 1207–1219. [Google Scholar] [CrossRef]
- Connell, J.; Page, S.J.; Meyer, D. Visitor attractions and events: Responding to seasonality. Tour. Manag. 2015, 46, 283–298. [Google Scholar] [CrossRef] [Green Version]
- Wan, C.; Onuike, A. Illuminating Opportunities for Smart Tourism Innovation That Foster Sustainable Tourist Well-Being Using Q Methodology. Sustainability 2021, 13, 7929. [Google Scholar] [CrossRef]
- Roman, M.; Roman, M.; Prus, P.; Szczepanek, M. Tourism Competitiveness of Rural Areas: Evidence from a Region in Poland. Agriculture 2020, 10, 569. [Google Scholar] [CrossRef]
- Gelbman, A. Tourist Experience and Innovative Hospitality Management in Different Cities. Sustainability 2021, 13, 6578. [Google Scholar] [CrossRef]
- Wanhill, S.R.C. Tackling Seasonality: A Technical Note. Int. J. Tour. Manag. 1980, 1, 243–245. [Google Scholar] [CrossRef]
- Lau, P.-L.; Koo, T.T.; Dwyer, L. Metrics to measure the geographic characteristics of tourism markets: An integrated approach based on Gini index decomposition. Tour. Manag. 2017, 59, 171–181. [Google Scholar] [CrossRef]
- Gini, C.; Variabilità e Mutabilità. Studi Economico-Giuridici Pubblicati per cura della Facoltà di Giurisprudenza della R. Università Di Cagliari; Università degli Studi di Cagliari: Cagliari, Italy, 1912; Chapter 3; pp. 1–158. [Google Scholar]
- Markham, C.G. Seasonality of precipitation in the United States. Ann. Assoc. Am. Geogr. 1970, 60, 593–597. [Google Scholar] [CrossRef]
- Walsh, R.P.D.; Lawler, D.M. Rainfall seasonality: Description, spatial patterns and change through time. Weather 1981, 36, 201–208. [Google Scholar] [CrossRef]
- Oliver, J.E. Monthly precipitation distribution: A comparative index. Prof. Geogr. 1980, 32, 300–309. [Google Scholar] [CrossRef]
- Shannon, C.E. A Mathematical Theory of Communication. Bell Syst. Tech. J. 1948, 27, 379–423. [Google Scholar] [CrossRef] [Green Version]
- Barro, R.J.; Sala-i-Martin, X. Convergence. J. Political Econ. 1992, 100, 223–251. [Google Scholar] [CrossRef]





| Coefficient | Minimum Value | Maximum Value |
|---|---|---|
| Variation (VC) | 0 Equidistribution | = 3.31 |
| Gini (GC) | 0 Equidistribution | 1 maximum concentration |
| Markham (MC) | 0 Equidistribution | 1 maximum concentration |
| Oliver (OC) | 0.08 Equidistribution | 1 maximum concentration |
| Walsh–Lawler (WLC) | 0 Equidistribution | 1.83 maximum concentration |
| Entropy (EC) | 0 maximum concentration | 3.58 Equidistribution |
| Oliver modified (OCM) | 0 Equidistribution | 1 maximum concentration |
| Walsh–Lawler modified (WLCM) | 0 Equidistribution | 3.66 maximum concentration |
| Total Number of Travellers Staying in Hotel Establishments (Millions) | ||||||||||
| Year | EU * | Germany | Austria | Spain | France | Holland | Italy | Portugal | UK | Sweden |
| 2008 | 762.79 | 131.04 | 28.84 | 100.09 | n.a. | 29.17 | 94.51 | 14.34 | 89.53 | 22.46 |
| 2009 | 692.39 | 127.57 | 28.57 | 93.89 | n.a. | 29.08 | 95.50 | 13.87 | 88.46 | 22.80 |
| 2010 | 681.41 | 134.56 | 29.70 | 99.17 | n.a. | 30.01 | 98.48 | 14.44 | 88.00 | 23.43 |
| 2011 | 736.74 | 141.74 | 30.91 | 103.08 | 148.95 | 30.76 | 103.72 | 14.81 | 92.22 | 23.99 |
| 2012 | 751.25 | 147.30 | 32.33 | 100.41 | 149.08 | 31.15 | 103.73 | 14.65 | 103.67 | 23.87 |
| 2013 | 770.67 | 149.69 | 32.94 | 101.67 | 153.69 | 34.05 | 103.86 | 15.90 | 106.80 | 24.61 |
| 2014 | 798.96 | 155.19 | 33.65 | 107.47 | 152.96 | 36.12 | 106.55 | 17.99 | 102.58 | 25.85 |
| 2015 | 839.41 | 161.16 | 35.36 | 114.27 | 157.59 | 37.24 | 113.39 | 18.12 | 107.77 | 27.49 |
| 2016 | 876.74 | 165.62 | 37.09 | 123.54 | 157.33 | 38.88 | 116.94 | 21.92 | 101.62 | 29.10 |
| 2017 | 927.97 | 172.32 | 38.59 | 129.36 | 166.84 | 42.24 | 123.20 | 24.56 | 109.30 | 29.69 |
| 2018 | 962.13 | 179.24 | 40.09 | 130.81 | 171.48 | 43.91 | 127.11 | 25.87 | 111.44 | 30.84 |
| 2019 | 1006.00 | 185.12 | 41.32 | 134.71 | 180.72 | 45.92 | 131.38 | 27.90 | 117.29 | 31.90 |
| Structure in the EU of National Travellers Staying in Hotel Establishments (%) | ||||||||||
| Year | EU * | Germany | Austria | Spain | France | Holland | Italy | Portugal | UK | Sweden |
| 2008 | 100.00 | 24.41 | 2.24 | 12.96 | n.a. | 4.36 | 12.12 | 1.69 | 15.85 | 4.08 |
| 2009 | 100.00 | 24.51 | 2.38 | 12.96 | n.a. | 4.52 | 12.88 | 1.77 | 16.42 | 4.25 |
| 2010 | 100.00 | 25.36 | 2.47 | 13.13 | n.a. | 4.50 | 12.86 | 1.81 | 15.88 | 4.35 |
| 2011 | 100.00 | 24.56 | 2.32 | 11.97 | 23.20 | 4.20 | 12.18 | 1.64 | 15.34 | 4.11 |
| 2012 | 100.00 | 25.03 | 2.38 | 11.19 | 22.82 | 4.18 | 11.77 | 1.53 | 17.81 | 4.05 |
| 2013 | 100.00 | 25.04 | 2.36 | 10.99 | 22.81 | 4.50 | 11.35 | 1.59 | 17.45 | 4.15 |
| 2014 | 100.00 | 25.13 | 2.34 | 11.33 | 21.96 | 4.55 | 11.29 | 1.70 | 15.79 | 4.19 |
| 2015 | 100.00 | 24.80 | 2.32 | 11.56 | 21.74 | 4.40 | 11.46 | 1.60 | 15.73 | 4.20 |
| 2016 | 100.00 | 24.56 | 2.34 | 11.73 | 21.19 | 4.35 | 11.35 | 1.81 | 14.40 | 4.25 |
| 2017 | 100.00 | 24.41 | 2.29 | 11.60 | 21.32 | 4.40 | 11.33 | 1.85 | 14.68 | 4.13 |
| 2018 | 100.00 | 24.66 | 2.30 | 11.41 | 20.88 | 4.41 | 11.31 | 1.90 | 14.59 | 4.13 |
| 2019 | 100.00 | 24.44 | 2.24 | 11.25 | 21.34 | 4.33 | 11.13 | 1.96 | 14.79 | 4.11 |
| Structure in the EU of Foreign Travellers Staying in Hotel Establishments (%) | ||||||||||
| Year | EU * | Germany | Austria | Spain | France | Holland | Italy | Portugal | UK | Sweden |
| 2008 | 100.00 | 7.58 | 5.82 | 13.34 | n.a. | 3.11 | 12.75 | 2.13 | 6.27 | 1.44 |
| 2009 | 100.00 | 8.93 | 6.86 | 14.50 | n.a. | 3.70 | 15.22 | 2.37 | 7.09 | 1.80 |
| 2011 | 100.00 | 10.29 | 7.34 | 17.38 | 15.21 | 4.14 | 17.27 | 2.64 | 7.77 | 1.82 |
| 2012 | 100.00 | 10.68 | 7.47 | 16.94 | 14.94 | 4.10 | 17.17 | 2.64 | 7.21 | 1.74 |
| 2013 | 100.00 | 10.54 | 7.30 | 16.68 | 15.41 | 4.28 | 16.84 | 2.81 | 8.17 | 1.69 |
| 2014 | 100.00 | 10.53 | 7.12 | 16.76 | 14.75 | 4.48 | 16.53 | 3.12 | 8.24 | 1.75 |
| 2015 | 100.00 | 10.56 | 7.14 | 16.78 | 14.20 | 4.50 | 16.68 | 3.02 | 8.37 | 1.85 |
| 2016 | 100.00 | 10.22 | 7.12 | 17.70 | 12.98 | 4.57 | 16.38 | 3.56 | 7.29 | 1.89 |
| 2017 | 100.00 | 9.95 | 6.91 | 17.40 | 13.05 | 4.78 | 16.14 | 3.81 | 7.50 | 1.83 |
| 2018 | 100.00 | 9.88 | 6.88 | 16.77 | 13.38 | 4.79 | 15.98 | 3.83 | 7.22 | 1.86 |
| 2019 | 100.00 | 9.62 | 6.82 | 16.50 | 13.06 | 4.91 | 15.86 | 3.95 | 7.10 | 1.81 |
| Year | Germany | Austria | Spain | France | Holland | Italy | Portugal | UK | Sweden |
|---|---|---|---|---|---|---|---|---|---|
| 2001 | 0.13 | 0.11 | 0.18 | n.a. | 0.17 | 0.22 | 0.22 | 0.18 | 0.23 |
| 2002 | 0.13 | 0.11 | 0.18 | n.a. | 0.17 | 0.22 | 0.22 | 0.15 | 0.24 |
| 2003 | 0.15 | 0.12 | 0.19 | n.a. | 0.18 | 0.22 | 0.22 | 0.16 | 0.25 |
| 2004 | 0.13 | 0.11 | 0.18 | n.a. | 0.16 | 0.21 | 0.21 | 0.14 | 0.29 |
| 2005 | 0.13 | 0.10 | 0.18 | n.a. | 0.15 | 0.21 | 0.21 | 0.17 | 0.29 |
| 2006 | 0.13 | 0.10 | 0.18 | n.a. | 0.15 | 0.21 | 0.21 | 0.17 | 0.25 |
| 2007 | 0.12 | 0.10 | 0.17 | n.a. | 0.13 | 0.21 | 0.21 | 0.17 | 0.27 |
| 2008 | 0.12 | 0.10 | 0.17 | n.a. | 0.14 | 0.21 | 0.21 | 0.18 | 0.23 |
| 2009 | 0.13 | 0.10 | 0.18 | n.a. | 0.14 | 0.22 | 0.22 | 0.19 | 0.24 |
| 2010 | 0.14 | 0.10 | 0.19 | n.a. | 0.15 | 0.22 | 0.22 | 0.19 | 0.23 |
| 2011 | 0.13 | 0.10 | 0.20 | 0.20 | 0.14 | 0.23 | 0.23 | 0.18 | 0.23 |
| 2012 | 0.13 | 0.10 | 0.19 | 0.19 | 0.14 | 0.23 | 0.23 | 0.17 | 0.22 |
| 2013 | 0.13 | 0.10 | 0.20 | 0.20 | 0.16 | 0.23 | 0.23 | 0.19 | 0.22 |
| 2014 | 0.13 | 0.10 | 0.20 | 0.20 | 0.15 | 0.24 | 0.24 | 0.20 | 0.22 |
| 2015 | 0.13 | 0.11 | 0.19 | 0.21 | 0.15 | 0.24 | 0.24 | 0.18 | 0.22 |
| 2016 | 0.12 | 0.11 | 0.19 | 0.20 | 0.14 | 0.23 | 0.23 | 0.17 | 0.23 |
| 2017 | 0.12 | 0.11 | 0.19 | 0.19 | 0.13 | 0.23 | 0.23 | 0.18 | 0.21 |
| 2018 | 0.12 | 0.10 | 0.18 | 0.19 | 0.13 | 0.22 | 0.22 | 0.17 | 0.19 |
| 2019 | 0.12 | 0.11 | 0.18 | 0.20 | 0.13 | 0.22 | 0.22 | 0.18 | 0.22 |
| Year | VC | EC | GC | MC | OC | WLC |
|---|---|---|---|---|---|---|
| VC | 1.00 | −0.97 | 1.00 | 0.99 | 0.97 | 0.99 |
| EC | −0.97 | 1.00 | −0.97 | −0.96 | −0.99 | −0.97 |
| GC | 1.00 | −0.97 | 1.00 | 0.99 | 0.97 | 0.99 |
| MC | 0.99 | −0.96 | 0.99 | 1.00 | 0.97 | 0.99 |
| OC | 0.97 | −0.99 | 0.98 | 0.97 | 1.00 | 0.98 |
| WLC | 0.99 | −0.98 | 0.99 | 0.99 | 0.98 | 1.00 |
| Year | Spain | Andalusia | Balearic Islands | Canary Islands | Catalonia | Valencian Community | Murcia Region |
|---|---|---|---|---|---|---|---|
| 2001 | 0.15 | 0.13 | 0.37 | 0.04 | 0.19 | 0.12 | 0.10 |
| 2002 | 0.15 | 0.13 | 0.38 | 0.05 | 0.19 | 0.12 | 0.10 |
| 2003 | 0.16 | 0.13 | 0.41 | 0.05 | 0.19 | 0.14 | 0.09 |
| 2004 | 0.15 | 0.12 | 0.42 | 0.06 | 0.18 | 0.12 | 0.08 |
| 2005 | 0.16 | 0.12 | 0.42 | 0.06 | 0.19 | 0.12 | 0.09 |
| 2006 | 0.15 | 0.14 | 0.41 | 0.06 | 0.19 | 0.12 | 0.09 |
| 2007 | 0.15 | 0.14 | 0.42 | 0.06 | 0.19 | 0.13 | 0.09 |
| 2008 | 015 | 0.15 | 0.42 | 0.04 | 0.19 | 0.14 | 0.10 |
| 2009 | 0.16 | 0.16 | 0.42 | 0.05 | 0.19 | 0.14 | 0.12 |
| 2010 | 0.16 | 0.16 | 0.44 | 0.06 | 0.19 | 0.15 | 0.11 |
| 2011 | 0.17 | 0.16 | 0.46 | 0.05 | 0.21 | 0.16 | 0.12 |
| 2012 | 0.17 | 0.16 | 0.46 | 0.04 | 0.19 | 0.17 | 0.11 |
| 2013 | 0.18 | 0.17 | 0.46 | 0.05 | 0.19 | 0.17 | 0.13 |
| 2014 | 0.18 | 0.17 | 0.47 | 0.05 | 0.19 | 0.16 | 0.11 |
| 2015 | 0.17 | 0.16 | 0.46 | 0.04 | 0.19 | 0.16 | 0.12 |
| 2016 | 0.17 | 0.15 | 0.45 | 0.04 | 0.19 | 0.15 | 0.11 |
| 2017 | 0.16 | 0.15 | 0.45 | 0.04 | 0.19 | 0.15 | 0.11 |
| 2018 | 0.16 | 0.14 | 0.44 | 0.04 | 0.18 | 0.14 | 0.10 |
| 2019 | 0.16 | 0.14 | 0.45 | 0.04 | 0.18 | 0.14 | 0.11 |
| Region | ω | β-Convergence | R2 |
|---|---|---|---|
| Andalusia | −0.25 | −0.13 | 0.08 |
| Balearic Islands | −0.19 *** | −0.25 *** | 0.38 |
| Canary Islands | −1.01 | −0.33 | 0.14 |
| Catalonia | −0.74 ** | −0.45 ** | 0.17 |
| Valencian Community | −0.29 | −0.16 | 0.11 |
| Murcia Region | −0.61 | −0.27 | 0.13 |
| Variables | VC | EC | GC | MC | OC | WLC |
|---|---|---|---|---|---|---|
| VC | 1.00 | −0.97 | 1.00 | 1.00 | 0.97 | 1.00 |
| EC | −0.97 | 1.00 | −0.96 | −0.97 | −0.99 | −0.97 |
| GC | 1.00 | −0.96 | 1.00 | 1.00 | 0.97 | 0.99 |
| MC | 1.00 | −0.97 | 1.00 | 1.00 | 0.97 | 0.99 |
| OC | 0.97 | −0.99 | 0.97 | 0.97 | 1.00 | 0.98 |
| WLC | 1.00 | −0.97 | 0.99 | 0.99 | 0.98 | 1.00 |
| Year | Spain | Andalusia | Balearic Islands | Canary Islands | Catalonia | Valencian Community | Murcia Region |
|---|---|---|---|---|---|---|---|
| 2001 | 0.04 | 0.02 | 0.25 | 0.00 | 0.09 | 0.04 | 0.00 |
| 2002 | 0.06 | 0.03 | 0.36 | 0.01 | 0.10 | 0.04 | 0.04 |
| 2003 | 0.06 | 0.04 | 0.38 | 0.01 | 0.11 | 0.06 | 0.03 |
| 2004 | 0.06 | 0.04 | 0.38 | 0.01 | 0.11 | 0.05 | 0.03 |
| 2005 | 0.06 | 0.04 | 0.38 | 0.01 | 0.10 | 0.05 | 0.04 |
| 2006 | 0.06 | 0.04 | 0.38 | 0.01 | 0.10 | 0.05 | 0.05 |
| 2007 | 0.06 | 0.04 | 0.39 | 0.01 | 0.10 | 0.05 | 0.07 |
| 2008 | 0.06 | 0.04 | 0.38 | 0.01 | 0.09 | 0.04 | 0.04 |
| 2009 | 0.06 | 0.05 | 0.38 | 0.01 | 0.09 | 0.04 | 0.04 |
| 2010 | 0.06 | 0.05 | 0.40 | 0.03 | 0.09 | 0.04 | 0.04 |
| 2011 | 0.07 | 0.05 | 0.42 | 0.01 | 0.09 | 0.06 | 0.05 |
| 2012 | 0.07 | 0.05 | 0.42 | 0.01 | 0.09 | 0.06 | 0.05 |
| 2013 | 0.07 | 0.05 | 0.41 | 0.01 | 0.08 | 0.06 | 0.05 |
| 2014 | 0.07 | 0.05 | 0.42 | 0.01 | 0.09 | 0.06 | 0.05 |
| 2015 | 0.08 | 0.06 | 0.42 | 0.01 | 0.09 | 0.06 | 0.06 |
| 2016 | 0.07 | 0.06 | 0.42 | 0.01 | 0.09 | 0.06 | 0.05 |
| 2017 | 0.07 | 0.06 | 0.41 | 0.01 | 0.09 | 0.06 | 0.05 |
| 2018 | 0.07 | 0.06 | 0.40 | 0.01 | 0.08 | 0.06 | 0.05 |
| 2019 | 0.07 | 0.06 | 0.40 | 0.01 | 0.09 | 0.06 | 0.05 |
| Region | Ω | β-Convergence | R2 |
|---|---|---|---|
| Andalusia | −0.32 | −0.07 | 0.07 |
| Balearic Islands | −0.15 *** | −0.18 *** | 0.45 |
| Canary Islands | −5.17 *** | −1.09 *** | 0.58 |
| Catalonia | −0.19 | −0.10 | 0.13 |
| Valencian Community | −0.59 | −0.21 | 0.12 |
| Murcia Region | −0.88 | −0.33 | 0.14 |
| Variables of the Econometric Model | (a) | (b) | (c) | (d) | (e) | (f) |
|---|---|---|---|---|---|---|
| 0.70 *** | 0.87 *** | 0.67 *** | 0.23 *** | 0.79 *** | 0.62 *** | |
| −0.07 *** | −0.00 | −0.07 *** | 0.06 | −0.00 | −0.07 ** | |
| 0.01 | 0.00 | 0.01 | −0.11 ** | 0.00 | 0.01 | |
| 0.10 *** | −0.00 | 0.11 *** | 0.12 | 0.01 | 0.09 *** | |
| 0.02 | 0.00 | 0.01 | 0.09 | −0.00 | 0.03 | |
| Dummies time | Yes | Yes | Yes | Yes | Yes | Yes |
| DTURd | Yes | Yes | Yes | Yes | Yes | Yes |
| R-squared | 0.99 | 0.99 | 0.99 | 0.98 | 0.99 | 0.99 |
| Adjusted R-sq | 0.99 | 0.99 | 0.99 | 0.98 | 0.99 | 0.99 |
| AIC | −2.50 | −8.53 | −2.33 | −0.99 | −6.50 | −2.15 |
| Observations | 114 | 114 | 114 | 114 | 114 | 114 |
| Variables of the Econometric Model | (a) | (b) | (c) | (d) | (e) | (f) |
|---|---|---|---|---|---|---|
| 0.41 *** | 0.46 *** | 0.41 *** | 0.44 *** | 0.47 *** | 0.41 *** | |
| 0.36 | −0.01 | −0.41 | −0.68 | 0.03 | −0.45 | |
| −0.22 | 0.01 | −0.19 | 0.11 | −0.03 | −0.17 | |
| −0.21 | −0.01 | 0.21 | 0.40 | 0.05 | 0.22 | |
| 0.21 | −0.02 | 0.22 | 0.17 | −0.07 | 0.21 | |
| Dummies time | Yes | Yes | Yes | Yes | Yes | Yes |
| DTURd | Yes | Yes | Yes | Yes | Yes | Yes |
| R-squared | 0.23 | 0.41 | 0.23 | 0.25 | 0.42 | 0.23 |
| Adjusted R-sq | 0.14 | 0.34 | 0.15 | 0.17 | 0.35 | 0.15 |
| AIC | 3.22 | −3.68 | 3.23 | 3.19 | −1.38 | 3.30 |
| Observations | 114 | 114 | 114 | 114 | 114 | 114 |
Publisher’s Note: MDPI stays neutral with regard to jurisdictional claims in published maps and institutional affiliations. |
© 2021 by the authors. Licensee MDPI, Basel, Switzerland. This article is an open access article distributed under the terms and conditions of the Creative Commons Attribution (CC BY) license (https://creativecommons.org/licenses/by/4.0/).
Share and Cite
Rico, P.; Cabrer-Borrás, B.; Morillas-Jurado, F. Seasonality in Tourism: Do Senior Programs Mitigate It? Mathematics 2021, 9, 2003. https://doi.org/10.3390/math9162003
Rico P, Cabrer-Borrás B, Morillas-Jurado F. Seasonality in Tourism: Do Senior Programs Mitigate It? Mathematics. 2021; 9(16):2003. https://doi.org/10.3390/math9162003
Chicago/Turabian StyleRico, Paz, Bernardí Cabrer-Borrás, and Francisco Morillas-Jurado. 2021. "Seasonality in Tourism: Do Senior Programs Mitigate It?" Mathematics 9, no. 16: 2003. https://doi.org/10.3390/math9162003
APA StyleRico, P., Cabrer-Borrás, B., & Morillas-Jurado, F. (2021). Seasonality in Tourism: Do Senior Programs Mitigate It? Mathematics, 9(16), 2003. https://doi.org/10.3390/math9162003

