Abstract
For the aggregation problem of attributes with a correlation relationship, it is often necessary to take the correlation factor into account in order to make the decision results more objective and reasonable. The Heronian mean is an aggregation operator which reflects the interaction between attributes. It is of great theoretical and practical significance to study and popularize the multiple attribute decision-making methods based on the Heronian mean operator. In this paper, we first give a new three-parameter generalized weighted Heronian mean (TPGWHM), which has a series of excellent properties such as idempotency, monotonicity and boundedness. At the same time, the relationship between the TPGWHM and the existing aggregation operators is given. Then, we propose the intuitionistic fuzzy three-parameter generalized weighted Heronian mean (IFTPGWHM) and give its idempotency, monotonicity, boundedness and limit properties. On this basis, a multiple attribute decision-making method based on the TPGWHM and a multiple attribute decision-making method based on the IFTPGWHM are given, and corresponding examples are given and analyzed.
1. Introduction
As an important part of modern decision science, multiple attribute decision-making is widely used in many fields, such as supply chain management, investment decision-making, project evaluation, logistics location and bidding. How to integrate decision information effectively is one of the core problems in the research of multiple attribute decision-making [1]. An effective and appropriate aggregation operator can make the information of the attribute values not be missing during the aggregation so as to reflect the decision-making effect correctly. Many aggregation operators have been given and extended to different application environments [2,3,4,5,6,7,8,9,10,11,12,13]. Dyckhoff and Pedrycz [14] proposed the generalized mean as connective operators for the fuzzy set theory which easily allow for modeling the degree of compensation in a natural manner, including the arithmetic and geometric means as well as the maximum and minimum operators as special cases. Due to the generalized mean, it can reflect the preference of decision makers and consider decision information from the overall perspective, and research on generalized means has attracted the attention of scholars. Intuitionistic fuzzy information aggregation is an interesting research direction of the intuitionistic fuzzy set theory. Many scholars have already focused on this area and achieved much. Xu [15] developed the intuitionistic fuzzy weighted averaging operator, intuitionistic fuzzy ordered weighted averaging operator and intuitionistic fuzzy hybrid aggregation operator. Liao and Xu [16] proposed a family of intuitionistic fuzzy hybrid weighted aggregation operators, such as the intuitionistic fuzzy hybrid weighted averaging operator, the intuitionistic fuzzy hybrid weighted geometric operator, the generalized intuitionistic fuzzy hybrid weighted averaging operator and the generalized intuitionistic fuzzy hybrid weighted geometric operator. Zeng [17] developed a new method for intuitionistic fuzzy decision-making problems with induced aggregation operators and distance measures. However, most of the aggregation operators we use assume that the attributes are independent of each other.
In practical multiple attribute decision-making problems, sometimes there is correlation between the attributes. Therefore, in the selection or construction of an aggregation operator, for the aggregation problem of attributes with a correlation relationship, it is often necessary to take this correlation factor into account in order to make the decision results more objective and reasonable. In fact, the Bonferroni mean, Heronian mean and their generalization in a fuzzy environment, intuitionistic fuzzy environment, hesitant fuzzy environment or linguistic environment are the main aggregation operators that can reflect the interaction between attributes. In recent years, there are many examples of research on the Bonferroni mean, Heronian mean and multiple attribute decision-making based on them. Motivated by the ideal of a generalized weighted Bonferroni mean and a generalized weighted geometric Bonferroni mean, Wei and Lin [18] developed the two-tuple linguistic generalized Bonferroni mean operator for aggregating the two-tuple linguistic information and two-tuple linguistic generalized geometric Bonferroni mean operator. Liu [19] defined the three-parameter Heronian mean operator and the three-parameter weighted Heronian mean operator and extended them to a linguistic environment. Jiang and He [20] developed a series of interval-valued dual hesitant fuzzy power Heronian aggregation operators. Yang and Li [21] extended the traditional generalized Heronian mean operators to a multiple-valued picture fuzzy linguistic enviroment and proposed the multiple-valued picture fuzzy linguistic generalized weighted geometric Heronian mean aggregating operator. Zhang, Zhang, Huang and Wang [22] used Heronian mean information aggregation technology to fuse picture fuzzy numbers and proposed new picture fuzzy aggregation operators. For more examples, please see [23,24,25,26,27].
In summation, the vast majority of operators aggregate information from a certain perspective. In the face of increasingly complex practical decision-making problems, decision makers sometimes need to examine decision objects from multiple perspectives, considering not only the interaction between attributes but also the overall information of decision objects, as well as the risk preference of decision makers. Moreover, most models only consider the correlation between two input parameters. However, in many practical decision scenarios, there may be multiple associations between the input variables. Therefore, in order to adapt to the new situation and aggregate decision-making information from multiple perspectives, an effective aggregation operator is needed which can meet the different needs of decision-makers at the same time. On this basis, a new three-parameter generalized weighted Heronian mean (TPGWHM) is given which has the advantages of both a generalized mean and a Heronian mean operator. It can extract the multi-association information between attributes and transform the parameters to meet the risk preference needs of decision makers. In practical application, intuitionistic fuzzy parameters can effectively represent the uncertainty of decision attributes. In this paper, the new aggregation operator is extended to the intuitionistic fuzzy environment, and the intuitionistic fuzzy three-parameter generalized weighted Heronian mean (IFTPGWHM) is given. On this basis, multiple attribute decision-making methods based on these operators are presented, and examples are given to illustrate the rationality and effectiveness of the methods. Therefore, the proposed methods are useful in real-life situations.
The rest of this paper is organized as follows. In Section 2, a new three-parameter generalized weighted Heronian mean is given, and its idempotency, monotonicity, boundedness and limit properties are studied. In Section 3, the intuitionistic fuzzy three-parameter generalized weighted Heronian mean is given, and its idempotency, monotonicity, permutation, boundedness and limit properties are studied. In Section 4, a multiple attribute decision-making method based on the new three-parameter generalized weighted Heronian mean (TPGWHM) is given, and an example is analyzed and compared with the existing multiple attribute decision-making methods. In Section 5, a multiple attribute decision-making method based on the intuitionistic fuzzy three-parameter generalized weighted Heronian mean (IFTPGWHM) is given, and an example is analyzed and compared with the existing multiple attribute decision-making methods. The conclusions are given in Section 6.
2. The New Three-Parameter Generalized Weighted Heronian Mean
Definition 1.
Let,,. Then, the Heronian mean aggregation operator is
Definition 2.
Let,,. Then, the geometric Heronian mean aggregation operator is
Definition 3.
[28] Let , , and . Then, the weighted geometric Heronian mean aggregation operator is
Next, we give a new three-parameter generalized weighted Heronian mean aggregation operator.
Definition 4.
Let,,be a set of nonnegative real numbers andandbe the weight of, where,. Then, the three-parameter generalized weighted Heronian mean (TPGWHM) operator is
where.
In order to give some properties of the new three-parameter generalized weighted Heronian mean, we first give the following two lemmas.
Lemma 1.
[29] Let , , . Then, the generalized mean aggregation operator is expressed as
This operator monotonically increases with respect to the parameter t and increases with respect to each independent variable.
Lemma 2.
[29] Let , , . Then, the generalized mean aggregation operator is
This operator has the following limit properties:
Theorem 1.
The TPGWHM operator has the following properties:
- (1)
- Idempotency. If, then such thatThat is to say, the TPGWHM operator is idempotent.
- (2)
- Monotonicity. When, if, then the following is true:
Proof.
Let , and thus
Therefore, we know that the function ,, is monotonically increasing with respect to each independent variable. As such, for any , the following is true:
□
- (3)
- Boundedness:
Proof.
Without losing generality, let and . Then, we can know from the proof of monotonicity of the operator that the operator is increasing with respect to each independent variable () such that
From the idempotency of the TPGWHM operator, we can see that
Therefore
That is to say
□
The relationship between the operator and the geometric Heronian mean is given as follows:
Theorem 2.
If we let and, then
In particular, if we have, then
Proof.
According to Lemma 2, we have
where .
Moreover, the following is true:
Then, we have
The proof is complete. □
Remark 1.
is the weighted geometric Heronian mean [28].
Theorem 3.
If we let,, then
Proof.
Without losing generality, if we set , then
Therefore
and then
Similarly, it can be proven that
The proof is complete. □
Theorem 4.
If we letand, then
Ifand, then
Proof.
According to Theorem 2, we have
Then
If and , then by a simple computation, we can obtain that Equation (26) holds. □
3. The New Intuitionistic Fuzzy Three-Parameter Generalized Weighted Heronian Mean
In this section, the intuitionistic fuzzy three-parameter generalized weighted Heronian mean (IFTPGWHM) operator is given, and the properties of this operator and the relationship between it and other aggregation operators are discussed.
3.1. The Related Concepts of the Intuitionistic Fuzzy Set
First, the concept of the Atanassov intuitionistic fuzzy set is given.
Definition 5.
[30,31] If we let be a given set, then
is called an intuitionistic fuzzy set, where and represent the membership degree and non-membership degree of element to the set , respectively, and satisfy
Definition 6.
[30,31]
For any intuitionistic fuzzy set if , then is called the degree of indeterminacy of element belonging to .
For convenience, Xu and Yager [32] called the combination the intuitionistic fuzzy number, abbreviated as where .
Obviously, =(1,0) and are the maximum and minimum intuitionistic fuzzy numbers, respectively. Every intuitionistic fuzzy number has its practical significance [33]. For example, if then and . This can be explained as follows: 10 people vote on the resolution, and the result is 6 in favor, 3 against and 1 abstention. In order to compare and rank intuitionistic fuzzy numbers, Chen and Tan [34] proposed the concept of the score function:
They called the score value of , and obviously . In order to further distinguish the case of equal scores, Hong and Choi [35] proposed the concept of the precise function:
They called the accuracy degree of intuitionistic fuzzy number . From these, we can get the comparison and ranking method of intuitionistic fuzzy number .
Definition 7.
[15,32] When letting and be intuitionistic fuzzy numbers, if the scores of and are and respectively, and the accuracy degree of and are and , respectively, then the following applies:
- (1)
- If,then ;
- (2)
- If , then the following applies:
- (1)
- If,then, which also indicates thatand;
- (2)
- If,then;
- (3)
- If,then.
Definition 8.
[33] Let and be intuitionistic fuzzy numbers. Then, the following algorithms apply:
- (1)
- ;
- (2)
- ;
- (3)
- (4)
- .
The algorithms listed above also have the following operation laws:
- (1)
- Commutative law. , ;
- (2)
- Distributive law. , ;
- (3)
- Associative law. , .
3.2. The Intuitionistic Fuzzy Three-Parameter Generalized Weighted Heronian Mean Operator
Definition 9.
Let,be a set of intuitionistic fuzzy numberssuch that the weightsatisfies, and let. If, then
is called the intuitionistic fuzzy three-parameter generalized weighted Heronian mean, denoted as .
Theorem 5.
Let,be a set of intuitionistic fuzzy numbers where the weightsatisfies. If, then the result aggregated by theoperator is still an intuitionistic fuzzy number, and
Proof.
According to the operation laws of intuitionistic fuzzy numbers, we have
Then
In addition
Since
and for any , , we have
The proof is complete. □
Next, some properties of the operator are given.
Property 1.
(Idempotency) If all () are equal, that is, , , then
In particular, if all () are the minimum intuitionistic fuzzy numbers, (i.e., ), then .
This is to say that after aggregation, they are also the minimum intuitionistic fuzzy numbers. If all () are the maximum intuitionistic fuzzy numbers, that is, , then
.
This is to say that they are also the maximum intuitionistic fuzzy numbers after aggregation.
Property 2.
(Monotonicity) If we let and () be two sets of intuitionistic fuzzy numbers where , , , then
Proof.
On the one hand, since , , and , we have
Then
Therefore, we have
On the other hand, since , and , then
Therefore, we have
Thus
According to Equations (45) and (48), we have
Let and , and use and to represent the scores of and , respectively, such that the inequality in Equation (49) is equivalent to . The following two cases are considered:
- (i)
- If , then we immediately get
- (ii)
- If , then
Since and , then
and
Therefore
Then
According to (i) and (ii), we have
which is to say that the monotonicity holds.
The proof is complete. □
Property 3.
(Permutation) If we let () be a set of intuitionistic fuzzy numbers and be any permutation of , then
Proof.
Since is any permutation of , then
and then .
The proof is complete. □
Property 4.
(Boundedness) Let () be a set of intuitionistic fuzzy numbers, and let
Then,.
Proof.
Since and , according to the idempotency and monotonicity of the operator, we have
Similarly, we can obtain
Therefore, the operator is bounded.
The proof is complete. □
Corollary 1.
Let() be a set of intuitionistic fuzzy numbers and the weight beto satisfy. If , then the result aggregated by theoperator is still an intuitionistic fuzzy number, and
In particular, when, then
Proof.
According to the operation laws of intuitionistic fuzzy numbers, we have
Then
Therefore
Since
In addition, for any , there is , and then
Similarly, the case of can be obtained. The proof is complete. □
Similarly, it can be proven that the operator and operator also satisfy idempotency, monotonicity, bounded ness and permutation.
4. Multiple Attribute Decision-Making Method Based on the New Three-Parameter Generalized Weighted Heronian Mean
In this part, the multiple attribute decision-making method based on the new three-parameter generalized weighted Heronian mean is given. Then, the new three-parameter generalized weighted Heronian mean multiple attribute decision-making method is analyzed by an example, which is compared with the existing multiple attribute decision-making methods. The effectiveness of the proposed method is illustrated, and the influence of parameters on the decision-making results is analyzed.
4.1. Multiple Attribute Decision-Making Methods Based on the New Three-Parameter Generalized Weighted Heronian Mean
Let the scheme set be , the attribute set be and the attribute weight vector be . Several decision makers are organized to decide the alternatives.
Step 1. The attribute value of scheme with respect to attribute is , which is given by the decision maker, and the decision attribute matrix is where .
Step 2. The decision matrix is normalized, and the normalized decision matrix is obtained. In order to eliminate the influence of different physical dimensions on the decision results, the decision matrix can be normalized according to the following formula:
Step 3. According to the new three-parameter generalized weighted Heronian mean, the comprehensive evaluation value of each scheme is calculated.
Step 4. The comprehensive evaluation values of each scheme are sorted, and the decision results are given.
4.2. Illustrative Example of MADM Based on the New Three-Parameter Generalized Weighted Heronian Mean
In order to illustrate the effectiveness of the decision-making method given in this paper, the example in [19] is used for illustration, and the decision results are compared with the well-established methods.
Example 1.
An investment bank will invest in four enterprisesin a city. The evaluation indexes are the output value, investment cost, sales volume, proportion of national incomeand environmental pollution degree. The investment bank inspected the above indicators of the four enterprises in the previous year (the pollution level was detected and quantified by relevant environmental protection departments), and the evaluation results are shown inTable 1. The investment cost and environmental pollution degree were of the cost type, and the others were of the benefit type. The attribute weight was. Try to determine the best investment enterprise.
Table 1.
Decision matrix.
Obviously, the output value, investment cost, sales volume, proportion of national income and environmental pollution degree are not independent but interactive. For example, the level of the output value will affect the investment cost and sales [19]. Therefore, the new three-parameter generalized weighted Heronian mean operator given in this paper was considered for information aggregation.
First, the decision attribute matrix is normalized to obtain the normalized matrix R. The investment cost and environmental pollution degree are the cost type, and the others are the benefit type. Using the normalization method in Section 4.1, the normalization matrix is obtained:
Then, take the different values of parameters and , use the TPGWHM to calculate the comprehensive evaluation value of each scheme, and rank the schemes according to the comprehensive attribute values. The ranking results and the best scheme are obtained. The results are shown in Table 2.
Table 2.
Scheme ranking the results for different and values.
For example, let , and then use the TPGWHM to calculate the comprehensive evaluation value. We can get
By ranking the comprehensive values of each scheme, we can obtain . Therefore, enterprise three is the best investment enterprise.
Next, we further analyze the influence of parameters and on the decision results.
It can be seen from Table 2 that when and took different values, the scheme ranking results were relatively stable, and the best scheme remained unchanged.
Fix the value of parameter , and set the value of to be from 0.001 to 1. The change of the comprehensive attribute value of each scheme is shown in Figure 1.
Figure 1.
.
As can be seen from Figure 1, when was fixed and increased, scheme three () was always the best scheme. With the increase of parameter , the difference between the comprehensive attribute values became larger.
Fix the value of parameter and set parameter to be from 0.001 to 1. The change of the comprehensive attribute value of each scheme is shown in Figure 2.
Figure 2.
.
As can be seen from Figure 2, when was fixed and increased, scheme three () was always the best scheme.
When and changed, the comprehensive attribute values of the four schemes changed as shown in Figure 3, Figure 4, Figure 5 and Figure 6.
Figure 3.
Comprehensive attribute values of obtained by the TPGWHM ().
Figure 4.
Comprehensive attribute values of obtained by the TPGWHM ().
Figure 5.
Comprehensive attribute values of obtained by the TPGWHM ().
Figure 6.
Comprehensive attribute values of obtained by the TPGWHM ().
In summation, we can see that with the change of and , the ranking scheme also changed, which indicates that the ranking scheme was affected by the subjectivity of the decision-maker’s parameter selection. Therefore, in the process of decision-making, experts can select the appropriate parameters according to their own risk preference. The results illustrate the flexibility and robustness of the proposed method. Therefore, the proposed method is effective and feasible, and it is sufficient to deal with practical MADM problems.
4.3. Comparative Analysis
In this part, the proposed method is compared with the existing multiple attribute decision-making methods. The method based on the OWA operator, the method introduced by Liu [19] based on the three-parameter weighted Heronian mean (TPWHM) operator, and the proposed method based on the TPGWHM operator were used to solve the above example, and the comparison of the results is shown in Table 3.
Table 3.
Comparison of the results.
From Table 3, we can see that the ranking result obtained by the method based on the OWA operator was different from that derived by the proposed method (). The main reason for this is that the OWA operator assumes that attributes are independent when integrating information, while the TPGWHM operator considers the interaction between attributes. Therefore, the decision results obtained by the proposed method were more realistic. The ranking result obtained by the proposed method () was consistent with that derived by method based on TPWHM () in [19], because both methods are based on the Heronian operator, which can reflect the interaction between attributes. The proposed method can not only reflect the interaction between attributes but also reflect the advantages of the generalized mean operator. According to the risk preference of different decision makers, different parameters can be selected. Therefore, the method presented in this paper has more extensive application.
5. Multiple Attribute Decision-Making Method Based on the New Intuitionistic Fuzzy Three-Parameter Generalized Weighted Heronian Mean
In this part, the multiple attribute decision-making method based on the new intuitionistic fuzzy three-parameter generalized weighted Heronian mean is given. Then, the method is analyzed by an example which is compared with the existing multiple attribute decision-making methods. The effectiveness of the proposed method is illustrated, and the influence of parameters on the decision-making results is analyzed.
5.1. Multiple Attribute Decision-Making Method Based on the Intuitionistic Fuzzy Three-Parameter Generalized Weighted Heronian Mean
Let the scheme set be , the attribute set be and the attribute weight vector be . The intuitionistic fuzzy set which is used to represent the feature information of the scheme is
where is the degree to which scheme satisfies attribute , is the degree to which scheme does not satisfy attribute and , .
For convenience, the characteristic of scheme with respect to attribute is represented by intuitionistic fuzzy number (i.e., and represent the degree to which scheme satisfies attribute and does not satisfy attribute , respectively). Therefore, we can use an intuitionistic fuzzy decision matrix to represent the characteristic information of all alternatives () with respect to all attributes (), where , satisfies .
Step 1. According to the data types in the scheme set, the decision matrix is normalized to by the following formula:
where is the complement of .
Step 2. The IFTPGWHM is used to aggregate the characteristic information () of with respect to all its attributes (), and the comprehensive attribute value () of scheme is obtained.
Step 3. According to the score function , the score of the comprehensive attribute value of each scheme is calculated, where .
Step 4. The schemes are sorted according to the scores (). If and are equal, we need to further calculate the accuracy degrees and of the comprehensive attribute values and (the accuracy degree is calculated by the accuracy function ) and then use the size of and to sort the schemes and so as to give the decision results.
5.2. Illustrative Example of MADM Based on the New Intuitionistic Fuzzy Three-Parameter Generalized Weighted Heronian Mean
In order to illustrate the effectiveness of the decision-making method given in this paper, the example in [28] is used for illustration, and the decision results are compared with the reference.
Example 2.
A management school in a Chinese university wants to introduce a teacher from four alternatives. A set of four factors is considered: morality , research capability, teaching skilland education background. The attribute weight is. The experts evaluated four alternativesin relation to the factors. The evaluation information forunder the factorswere represented by the IFNs as shown in Table 4.
Table 4.
The intuitionistic fuzzy decision matrix.
All the attribute values were of the benefit type; therefore, the decision attribute matrix did not need to be normalized. Then, by taking different values of parameters and , we could use the IFTPGWHM to calculate the comprehensive evaluation value of each scheme. Then, we calculated the score of the comprehensive attribute value and ranked the schemes according to the scores. The ranking results and the best scheme were obtained. The results are shown in Table 5.
Table 5.
Scheme ranking results for different values of and .
For example, let , and use the IFTPGWHM to calculate the comprehensive evaluation value. Then, by calculating the score of the comprehensive attribute value, we can obtain
By ranking the score of each scheme, we can obtain . Therefore, alternative two is the best.
Next, we further analyzed the influence of parameters and on the decision results.
It can be seen from Table 5 that when and took on different values, the scheme ranking results were relatively stable, and the best scheme remained unchanged.
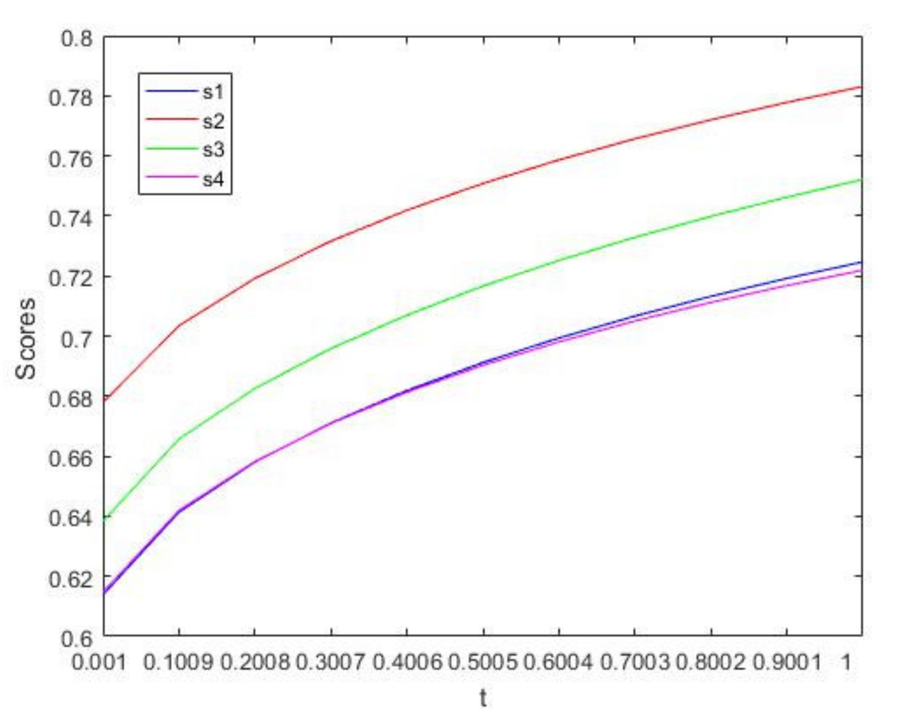
Next, fix the value of parameter and let the value of be from 0.001 to 1. The change of scores of each scheme is shown in Figure 7.
Figure 7.
.
As can be seen from Figure 7, when was fixed and increased, alternative two () was always the best scheme. With the increase of parameter , the score values increased.
Next, fix the value of parameter and let the value of be from 1 to 11. The change of scores of each scheme is shown in Figure 8.
Figure 8.
.
As can be seen from Figure 8, when was fixed and increasesd, alternative two () was always the best scheme. When , with the increase of parameter , the score values increased.
It can be seen from Figure 7 and Figure 8 that with the increase of parameters and , the score values became larger, but the best scheme remained unchanged. This shows the flexibility and robustness of the proposed method. In actual decision-making, the parameters can be selected according to the risk preference of the decision maker. The decision maker who takes a gloomy view could select smaller parameters, and the optimistic decision maker could select larger parameters.
When and change, the score values of the four schemes change as shown in Figure 9, Figure 10, Figure 11, and Figure 12.
Figure 9.
Scores of obtained by the IFTPGWHM ().
Figure 10.
Scores of obtained by the IFTPGWHM ().
Figure 11.
Scores of obtained by the IFTPGWHM ().
Figure 12.
Scores of obtained by the IFTPGWHM ().
In summation, we can see that with the change of and , the ranking scheme also changed, which indicates that the ranking scheme was affected by the subjectivity of the decision maker’s parameter selection. Therefore, in the process of decision-making, experts can select the appropriate parameters according to their own risk preference. The results illustrate the flexibility and robustness of the proposed method. Therefore, the proposed method is effective and feasible, and it is sufficient to deal with practical MADM problems.
5.3. Comparative Analysis
In this part, the proposed method is compared with the existing multiple attribute decision-making methods. The method based on intuitionistic fuzzy weighed geometric IFWG operator, the method introduced by Yu [28] based on the intuitionistic fuzzy geometric weighed Heronian mean (IFGWHM) operator and the proposed method based on the IFTPGWHM operator are used to solve the above example, and the comparison of the results is shown in Table 6.
Table 6.
Comparison of the results.
From Table 6, we can see that the ranking results obtained by the method based on the IFWG operator were different from those derived by the proposed method (). The main reason for this is that the IFWG operator assumes that attributes are independent when integrating information, while the IFTPGWHM operator considers the interaction between attributes. Therefore, the decision results obtained by the proposed method were more realistic. The ranking results obtained by the proposed method () were different from those derived by the method based on the IFGWHM () in [28]. Although both of them are based on the Heronian mean, the method proposed in this paper considers the multiple associations between attributes and has the characteristics of the generalized mean operator. According to the risk preference of different decision makers, different parameters can be selected. Therefore, the method presented in this paper has more extensive application.
6. Conclusions
This paper further extends the Heronian mean. In this paper, a new three-parameter generalized weighted Heronian mean is given. The new three-parameter generalized weighted Heronian mean is extended to the intuitionistic fuzzy environment, and the intuitionistic fuzzy three-parameter generalized weighted Heronian mean is given. On this basis, a multiple attribute decision-making method based on the new three-parameter generalized weighted Heronian mean and a multiple attribute decision-making method based on the intuitionistic fuzzy three-parameter generalized weighted Heronian mean are given, and several examples are analyzed. In the future, we will further study the generalization of the proposed operators and make a profound study of their flexibility and robustness.
Author Contributions
Conceptualization, X.H.; methodology, X.H. and Y.-R.Z.; software, X.H.; formal analysis, X.H.; writing—original draft preparation, X.H.; writing—review and editing, X.H.; supervision, S.Y.; project administration, S.Y.; funding acquisition, Y.-R.Z. All authors have read and agreed to the published version of the manuscript.
Funding
This research was funded by the Fundamental Research Funds for the Central University, grant number MS117.
Institutional Review Board Statement
Not applicable.
Informed Consent Statement
Not applicable.
Data Availability Statement
Not applicable.
Conflicts of Interest
The authors declare no conflict of interest.
References
- Xu, Z. Uncertain Multiple Attribute Decision Making: Methods and Applications; Tsinghua University Press: Beijing, China, 2004. [Google Scholar]
- Wang, B.; Luo, C.-L.; Li, S.-H.; Chu, Y.-M. Sharp one parameter geometric and quadratic means bounds for the Sancdor-Yang means. Rev. R. Acad. Cienc. Exactas Fis. Nat. Ser. A Mat. RACSAM 2020, 114, 1–10. [Google Scholar]
- Xu, H.-Z.; Chu, Y.-M.; Qian, W.-M. Sharp bounds for the Sandor-Yang means in terms of arithmetic and contra-harmonic means. J. Inequal. Appl. 2018, 2018, 1–13. [Google Scholar] [CrossRef]
- Chu, H.-H.; Zhao, T.-H.; Chu, Y.-M. Sharp bounds for the Toader mean of order 3 in terms of arithmetic, quadratic and contraharmonic means. Math. Slovaca 2020, 70, 1097–1112. [Google Scholar] [CrossRef]
- Yang, Z.-H.; Tian, J.-F.; Wang, M.-K. A positive answer to Bhatia-Li conjecture on the monotonicity for a new mean in its parameter. Rev. R. Acad. Cienc. Exactas Fis. Nat. Ser. A Mat. 2020, 114, 126. [Google Scholar] [CrossRef]
- Yang, Z.-H.; Tian, J.-F. Sharp bounds for the Toader mean in terms of arithmetic and geometric means. Rev. R. Acad. Cienc. Exactas Fis. Nat. Ser. A Mat. 2021, 115, 99. [Google Scholar] [CrossRef]
- Yang, Z.H.; Qian, W.M.; Chu, Y.M.; Zhang, W. On approximating the arithmetic-geometric mean and complete elliptic integral of the first kind. J. Math. Anal. Appl. 2018, 462, 1714–1726. [Google Scholar] [CrossRef]
- Yang, Z.H.; Tian, J. Optimal inequalities involving power-exponential mean, arithmetic mean and geometric mean. J. Math. Inequal. 2017, 11, 1169–1183. [Google Scholar] [CrossRef]
- Ali, Z.; Mahmood, T.; Yang, M.-S. TOPSIS method based on complex spherical fuzzy sets with Bonferroni mean operators. Mathematics 2020, 8, 1739. [Google Scholar] [CrossRef]
- Domínguez, S.; Carnero, M.C. Fuzzy multicriteria modeling of decision making in the renewal of healthcare technologies. Mathematics 2020, 8, 944. [Google Scholar] [CrossRef]
- Xing, Y.P.; Zhang, R.T.; Wang, J.; Zhu, X.M. Some new Pythagorean fuzzy Choquet–Frank aggregation operators for multi-attribute decision making. Int. J. Fuzzy Syst. 2018, 33, 2189–2215. [Google Scholar] [CrossRef]
- Wang, J.; Zhang, R.T.; Zhu, X.M.; Xing, Y.P.; Buchmeister, B. Some hesitant fuzzy linguistic Muirhead means with their application to multiattribute group decision-making. Complexity 2018, 2018, 5087851. [Google Scholar] [CrossRef]
- Zhang, R.T.; Wang, J.; Zhu, X.M.; Xia, M.M.; Yu, M. Some generalized Pythagorean fuzzy Bonferroni mean aggregation operators with their application to multiattribute group decision-making. Complexity 2017, 2017, 5937376. [Google Scholar] [CrossRef]
- Dyckhoff, H.; Pedrycz, W. Generalized means as model of compensative connectives. Fuzzy Sets Syst. 1984, 14, 143–154. [Google Scholar] [CrossRef]
- Xu, Z. Intuitionistic fuzzy aggregation operators. IEEE Trans. Fuzzy Syst. 2007, 15, 1179–1187. [Google Scholar]
- Liao, H.; Xu, Z. Intuitionistic fuzzy hybrid weighted aggregation operators. Int. J. Intell. Syst. 2014, 29, 971–993. [Google Scholar] [CrossRef]
- Zeng, S.; Merigó, J.M.; Palacios-Marqués, D.; Jin, H.; Gu, F. Intuitionistic fuzzy induced ordered weighted averaging distance operator and its application to decision making. J. Intell. Fuzzy Syst. 2017, 32, 11–22. [Google Scholar] [CrossRef]
- Wei, G.; Lin, R.; Wang, H. Some generalized Bonferroni mean operators with 2-tuple linguistic information and their application to multiple attribute decision making. Int. J. Sci. 2015, 2, 129–139. [Google Scholar]
- Liu, W.-F. (Linguistic) Heronian mean operators and applications in decision making. Chin. J. Manag. Sci. 2017, 25, 174–183. [Google Scholar]
- Jiang, S.; He, W.; Qin, F.; Cheng, Q. Multiple attribute group decision-making based on power Heronian aggregation operators under interval-valued dual hesitant fuzzy environment. Math. Probl. Eng. 2020. [Google Scholar] [CrossRef]
- Yang, L.; Li, B. Multiple-valued picture fuzzy linguistic set based on generalized Heronian mean operators and their Applications in multiple attribute decision making. IEEE Access 2020, 8, 5906–5927. [Google Scholar] [CrossRef]
- Zhang, H.R.; Zhang, R.T.; Huang, H.Q.; Wang, J. Some picture fuzzy Dombi Heronian mean operators with their application to multi-attribute decision-making. Symmetry 2018, 10, 593. [Google Scholar] [CrossRef]
- Tian, J.-F.; Zhang, Z.; Ha, M.-H. An additive-consistency- and consensus-based approach for uncertain group decision making with linguistic preference relations. IEEE Trans. Fuzzy Syst. 2019, 27, 873–887. [Google Scholar] [CrossRef]
- Tian, J.-F.; Ha, M.-H.; Xing, H.-J. Properties of the power-mean and their applications. AIMS Math. 2020, 5, 7285–7300. [Google Scholar] [CrossRef]
- Liu, X.; Zhu, J.; Liu, G.; Hao, J. A multiple attribute decision making method based on uncertain linguistic Heronian mean. Math. Probl. Eng. 2013, 2013, 597671. [Google Scholar] [CrossRef]
- Ju, D.; Ju, Y.; Wang, A. Multi-attribute group decision making based on power generalized Heronian mean operator under hesitant fuzzy linguistic environment. Soft Comput. 2019, 23, 3823–3842. [Google Scholar] [CrossRef]
- Liang, D.; Darko, A.P.; Xu, Z.; Wang, M. Aggregation of dual hesitant fuzzy heterogenous related information with extended Bonferroni mean and its application to MULTIMOORA. Comput. Ind. Eng. 2019, 135, 156–176. [Google Scholar] [CrossRef]
- Yu, D. Intuitionistic fuzzy geometric Heronian mean aggregation operators. Appl. Soft Comput. 2013, 13, 1235–1246. [Google Scholar] [CrossRef]
- Bullen, P.S. Handbook of Means and Their Inequalities; Springer: New York, NY, USA, 1988. [Google Scholar]
- Atanassov, K.T. Intuitionistic fuzzy sets. Fuzzy Sets Syst. 1986, 20, 87–96. [Google Scholar] [CrossRef]
- Atanassov, K.T. Intuitionistic Fuzzy Sets: Theory and Applications; Springer: Berlin, Germany, 1999. [Google Scholar]
- Xu, Z.; Yager, R.R. Some geometric aggregation operators based on intuitionistic fuzzy sets. Int. J. Gen. Syst. 2006, 35, 417–433. [Google Scholar] [CrossRef]
- Xu, Z. Intuitionistic Fuzzy Information Aggregation: Theory and Applications; Science Press: Beijing, China, 2008. [Google Scholar]
- Chen, S.M.; Tan, J.M. Handling multicriteria fuzzy decision-making problems based on vague set theory. Fuzzy Sets Syst. 1994, 67, 163–172. [Google Scholar] [CrossRef]
- Hong, D.H.; Choi, C.H. Multicriteria fuzzy decision-making problems based on vague set theory. Fuzzy Sets Syst. 2000, 114, 103–113. [Google Scholar] [CrossRef]
Publisher’s Note: MDPI stays neutral with regard to jurisdictional claims in published maps and institutional affiliations. |
© 2021 by the authors. Licensee MDPI, Basel, Switzerland. This article is an open access article distributed under the terms and conditions of the Creative Commons Attribution (CC BY) license (https://creativecommons.org/licenses/by/4.0/).











