Three-Dimensional Numerical Study of the Effect of Protective Barrier on the Dispersion of the Contaminant in a Building
Abstract
1. Introduction
2. Physical Configuration and Governing Equations
- The fluid in the cavity is assumed to be Newtonian and incompressible.
- The flow is assumed to be laminar.
- Heat transfer by radiation is negligible.
- There is no heat or mass source and no chemical reaction
- Soret and Dufour effects are negligible
- The thermo-physical properties of the fluid are assumed to be constant and the Boussinesq approximation is adopted.
3. Resolution Method Based on the Vorticity-Potential Vector Formalism and Non-Dimensioning of Equations
4. Numerical Modeling, Discretization, Grid Sensitivity Study and Code Verification
4.1. Finite Volume Method
4.2. Meshing
- i: node index on the (x) axis
- j: node index on the (y) axis
- k: node index on the (z) axis
- Δx is the space step size on the (x) axis
- Δy is the space step size on the (y) axis
- Δz is the space step size on the (z) axis
- And Δt is the time step
4.3. Equations Discretization
- According to x-direction, :with
- According to y-direction, :with
- According to z-direction, :with
4.4. Algorithm Solving Steps
- Initialization;
- Solving the Energy equation;
- Solving the mass equation
- Solving the vorticity equation and calculating the boundary vorticity;
- Solving the velocity potential-vector equation.
4.5. Grid Dependency Study and Code Verification
5. Results and Discussion
5.1. Flow Patterns in Reference Case
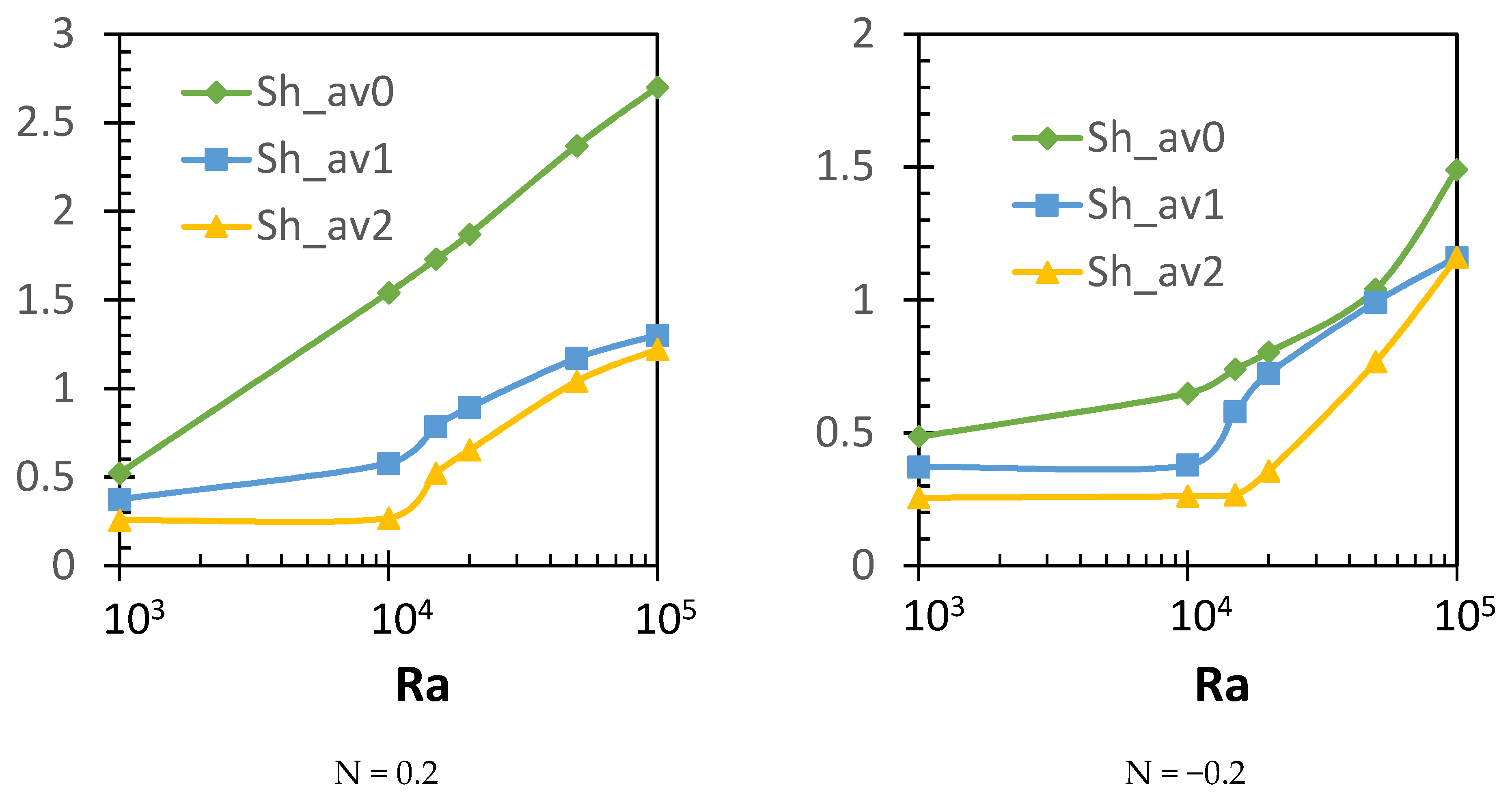
5.2. Effect of Rayleigh, Barrier Height and Boyancy Ratio on the Dispersion of the Contaminant
5.2.1. Effect of Rayleigh and Barrier Height for N = 0
5.2.2. Effect of Rayleigh and Barrier Height for N = −0.2
5.2.3. Effect of Rayleigh and Barrier Height for N = 0.2
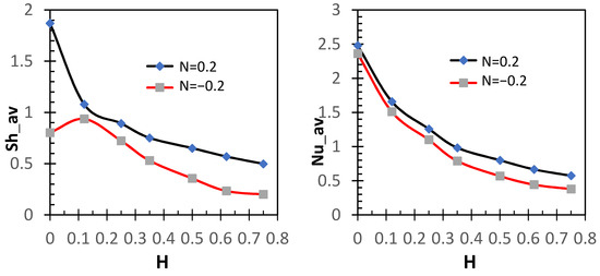
5.3. Efficiency of Protective Barrier and Heat-Mass Transfer Ratios
5.3.1. Barrier Efficiency
5.3.2. Heat and Mass Transfer Ratios
6. Conclusions
- In the absence of a barrier, the dispersion of the contaminant is mainly directed upwards at the corners of the building and to the left in the core of the building to the initially uncontaminated region, in the cases of N = 0 and N positive. Otherwise, when N is negative, the dispersal effect of the contaminant mainly occurs in a horizontal way at the bottom of the building.
- The effectiveness of the protective barrier is greater in the case of negative buoyancy ratios compared to positive values, for the same Rayleigh number and the same barrier height.
- The efficiency increases linearly with the height of the barrier.
- In the presence of the barrier, the Rayleigh number increase causes the heat and mass transfer rates to increase from Ra = 104 and higher.
- The placement of the barrier strongly diminishes the heat transfer rate for all values of N. However, noticeable decrease in the mass transfer rate is only observed for positive values of N.
Funding
Institutional Review Board Statement
Informed Consent Statement
Data Availability Statement
Conflicts of Interest
References
- Godish, T. Indoor Environmental Quality, 1st ed.; CRC Press: Boca Raton, FL, USA, 2000; pp. 230–250. [Google Scholar]
- Cogliano, V.J.; Grosse, Y.; Baan, R.A.; Straif, K.; Secretan, M.B.; El Ghissassi, F. Meeting Report: Summary of IARC Monographs on Formaldehyde, 2-Butoxyethanol, and 1-tert-Butoxy-2-Propanol. Enviro. Health Prespec. 2005, 113, 1205–1208. [Google Scholar] [CrossRef]
- Branco, P.T.B.S.; Alvim-Ferraz, M.C.M.; Martins, F.G.; Sousa, S.I.V. Children’s exposure to indoor air in urban Nurseries-Part II: Gaseous pollutants’ assessment. Environ. Res. 2015, 142, 662–670. [Google Scholar] [CrossRef] [PubMed]
- Little, J.C.; Hodgson, A.T.; Gadgil, A.J. Modeling emissions of volatile organic compounds from new carpets. Atmosph. Environ. 1994, 28, 227–234. [Google Scholar] [CrossRef]
- Yang, X.; Chen, Q.; Zhang, J.S.; Magee, R.; Zeng, J.; Shaw, C.Y. Numerical simulation of VOC emissions from dry materials. Build. Environ. 2001, 36, 1099–1107. [Google Scholar] [CrossRef]
- Guo, Z. Review of indoor emission source models. Part 1. Overview. Environ. Pollut. 2002, 120, 533–549. [Google Scholar] [CrossRef]
- Xu, Y.; Zhang, Y. An improved mass transfer-based model for analyzing VOC emissions from building materials. Atmosph. Environ. 2003, 37, 2497–2505. [Google Scholar] [CrossRef]
- Deng, B.; Kim, N. An analytical model for VOCs emission from dry building materials. Atmosph. Environ. 2004, 38, 1173–1180. [Google Scholar] [CrossRef]
- Wiglusz, R.; Sitko, E.; Nikel, G.; Jarnuszkiewicz, I.; Igielska, B. The effect of temperature on the emission of formaldehyde and volatile organic compounds (VOCs) from laminate flooring—Case study. Build. Environ. 2002, 37, 41–44. [Google Scholar] [CrossRef]
- Xiong, J.; Zhang, P.; Huang, S.; Zhang, Y. Comprehensive influence of environmental factors on the emission rate of formaldehyde and VOCs in building materials: Correlation development and exposure assessment. Environ. Res. 2016, 151, 734–741. [Google Scholar] [CrossRef] [PubMed]
- Deng, Q.H.; Zhou, J.; Mei, C.; Shen, Y.M. Fluid, heat and contaminant transport structures of laminar double-diffusive mixed convection in a two-dimensional ventilated enclosure. Int. J. Heat Mass Transf. 2004, 47, 5257–5269. [Google Scholar] [CrossRef]
- Yu-Shu, S.; Liu, D.; Wang, Y.; Zhao, F.; Li, Y. Forced flow structure and mixed convection in a ventilated porous enclosure with a local contaminant source. Int. J. Heat Mass Transf. 2019, 131, 973–983. [Google Scholar] [CrossRef]
- Zhao, F.Y.; Liu, D.; Tang, G.F. Natural convection in an enclosure with localized heating and salting from below. Int. J. Heat Mass Transf. 2008, 51, 2889–2904. [Google Scholar] [CrossRef]
- Arellano, J.S.; Gijón-Rivera, M.; Riesco-Ávila, J.M.; Elizalde-Blancas, F. Numerical study of the double diffusive convection phenomena in a closed cavity with internal CO2 point sources. Int. J. Heat Mass Transf. 2014, 71, 664–674. [Google Scholar] [CrossRef]
- Li, X.; Yan, Y.; Tu, Y.J. Effects of surface radiation on gaseous contaminants emission and dispersion in indoor environment—A numerical study. Int. J. Heat Mass Transf. 2019, 131, 854–862. [Google Scholar] [CrossRef]
- Abolhasani, M.; Abbasbandy, S.; Allahviranloo, T. A New Variational Iteration Method for a Class of Fractional Convection-Diffusion Equations in Large Domains. Mathematics 2017, 5, 26. [Google Scholar] [CrossRef]
- Geiser, J.; Martínez, E.; Hueso, J.L. Serial and Parallel Iterative Splitting Methods: Algorithms and Applications to Fractional Convection-Diffusion Equations. Mathematics 2020, 8, 1950. [Google Scholar] [CrossRef]
- Mallinson, G.D.; Davis, G.D.V. Three-dimensional natural convection in a box: A numerical study. J. Fluid Mech. 1977, 83, 1–31. [Google Scholar] [CrossRef]
- Wakashima, S.; Saitoh, T.S. Benchmark solutions for natural convection in a cubic cavity using the high-order time–space method. Int. J. Heat Mass Transf. 2004, 47, 853–864. [Google Scholar] [CrossRef]
- Eymard, R.; Gallouet, T.; Herbin, R. Finite Volume Methods, Handbook of Numerical Analysis; Elsevier BV: Amsterdam, The Netherlands, 2000; Volume 7, pp. 713–1020. [Google Scholar]
- Patankar, S.V. Numerical Heat Transfer and Fluid Flow, 2nd ed.; Mc Graw Hill: New York, NY, USA, 1980; pp. 25–39. [Google Scholar]
- Bejan, A. Convection Heat Transfer, 4th ed.; John Wiley: New York, NY, USA, 2013; pp. 30–289. [Google Scholar]
- Sezai, I.; Mohamad, A.A. Double diffusive convection in a cubic enclosure with opposing temperature and concentration gradients. Phys. Fluids 2000, 12, 2210–2223. [Google Scholar] [CrossRef]
- Rahmati, A.R.; Tahery, A.A. Numerical study of nanofluid natural convection in a square cavity with a hot obstacle using lattice Boltzmann method. Alexandria Eng. J. 2018, 57, 1271–1286. [Google Scholar] [CrossRef]





















| Pr | ||
| Pr | ||
| Pr | ||
| T | 1 | 0 |
| C | 0 |
| Grid Size | Percentage Increase | Incremental Increase | |
|---|---|---|---|
| 413 | 2.8199911 | - | - |
| 513 | 2.9932441 | 6.143743 | - |
| 613 | 3.0344111 | 7.60357 | 1.459827 |
| 713 | 3.0385622 | 7.750773 | 0.147203 |
| W/L | Nusselt Average, Rahmati et al. Works | Nusselt Average, Present Works | Error % |
|---|---|---|---|
| 0.2 | 13 | 12.883 | 0.9 |
| 0.3 | 13.5 | 13.316 | 1.36 |
| 0.4 | 14 | 13.732 | 1.91 |
| 0.5 | 14.25 | 13.974 | 1.93 |
| 0.6 | 13.8 | 13.675 | 0.91 |
Publisher’s Note: MDPI stays neutral with regard to jurisdictional claims in published maps and institutional affiliations. |
© 2021 by the author. Licensee MDPI, Basel, Switzerland. This article is an open access article distributed under the terms and conditions of the Creative Commons Attribution (CC BY) license (https://creativecommons.org/licenses/by/4.0/).
Share and Cite
Maatki, C. Three-Dimensional Numerical Study of the Effect of Protective Barrier on the Dispersion of the Contaminant in a Building. Mathematics 2021, 9, 1125. https://doi.org/10.3390/math9101125
Maatki C. Three-Dimensional Numerical Study of the Effect of Protective Barrier on the Dispersion of the Contaminant in a Building. Mathematics. 2021; 9(10):1125. https://doi.org/10.3390/math9101125
Chicago/Turabian StyleMaatki, Chemseddine. 2021. "Three-Dimensional Numerical Study of the Effect of Protective Barrier on the Dispersion of the Contaminant in a Building" Mathematics 9, no. 10: 1125. https://doi.org/10.3390/math9101125
APA StyleMaatki, C. (2021). Three-Dimensional Numerical Study of the Effect of Protective Barrier on the Dispersion of the Contaminant in a Building. Mathematics, 9(10), 1125. https://doi.org/10.3390/math9101125
