Mathematical Analysis of Maxwell Fluid Flow through a Porous Plate Channel Induced by a Constantly Accelerating or Oscillating Wall
Abstract
1. Introduction
2. Presentation of the Problem
3. Solution
3.1. Flow Due to a Constantly Accelerating Plate
3.2. Flow Due to Sine Oscillations of the Lower Plate
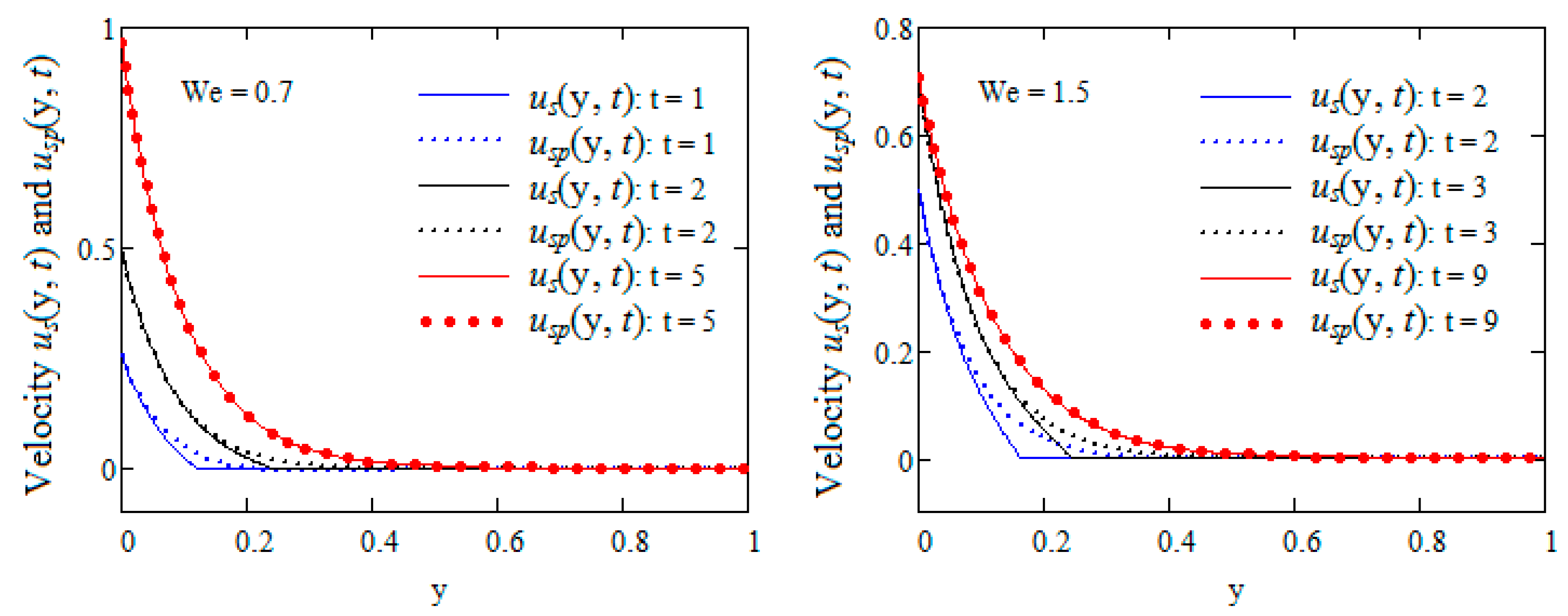
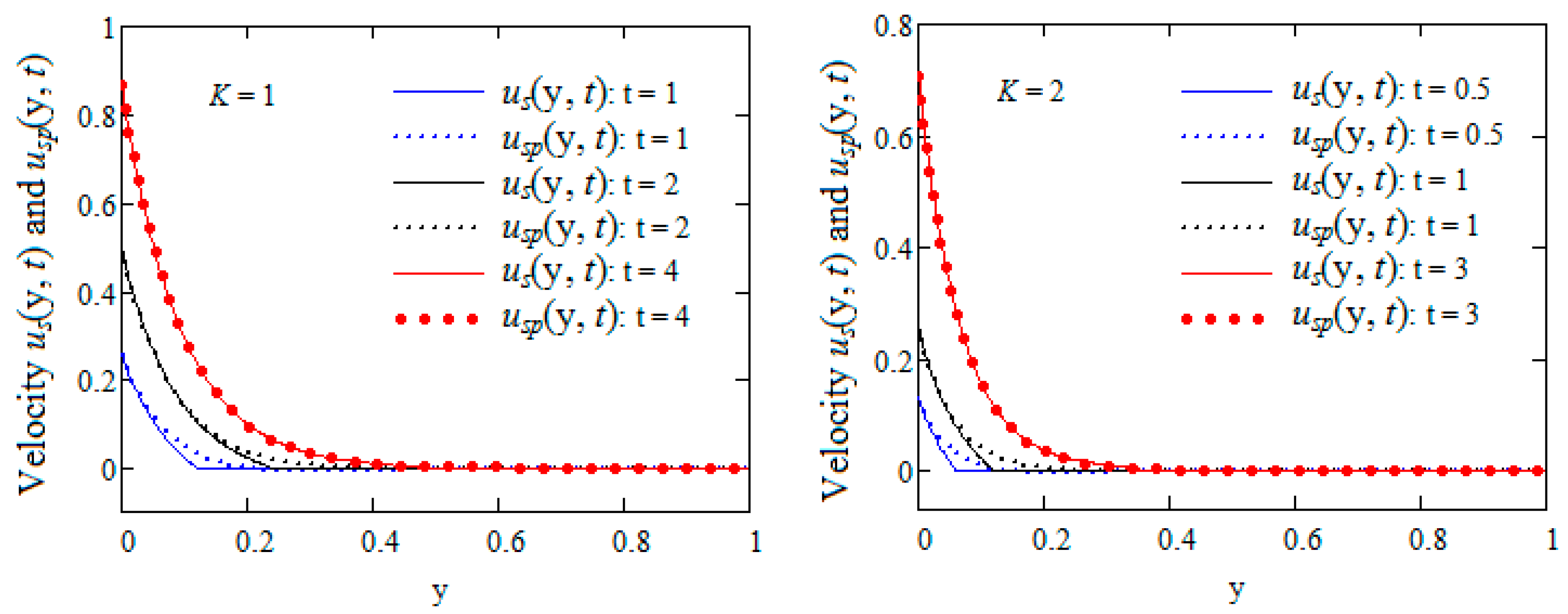
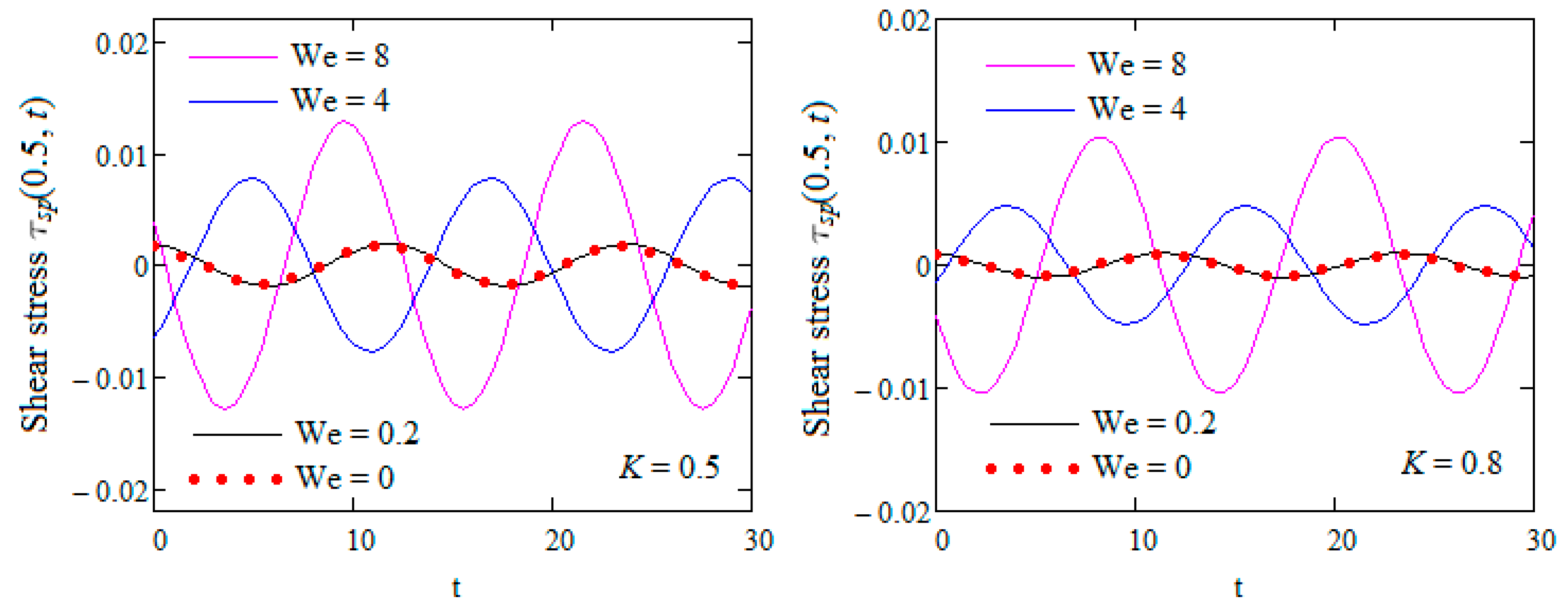
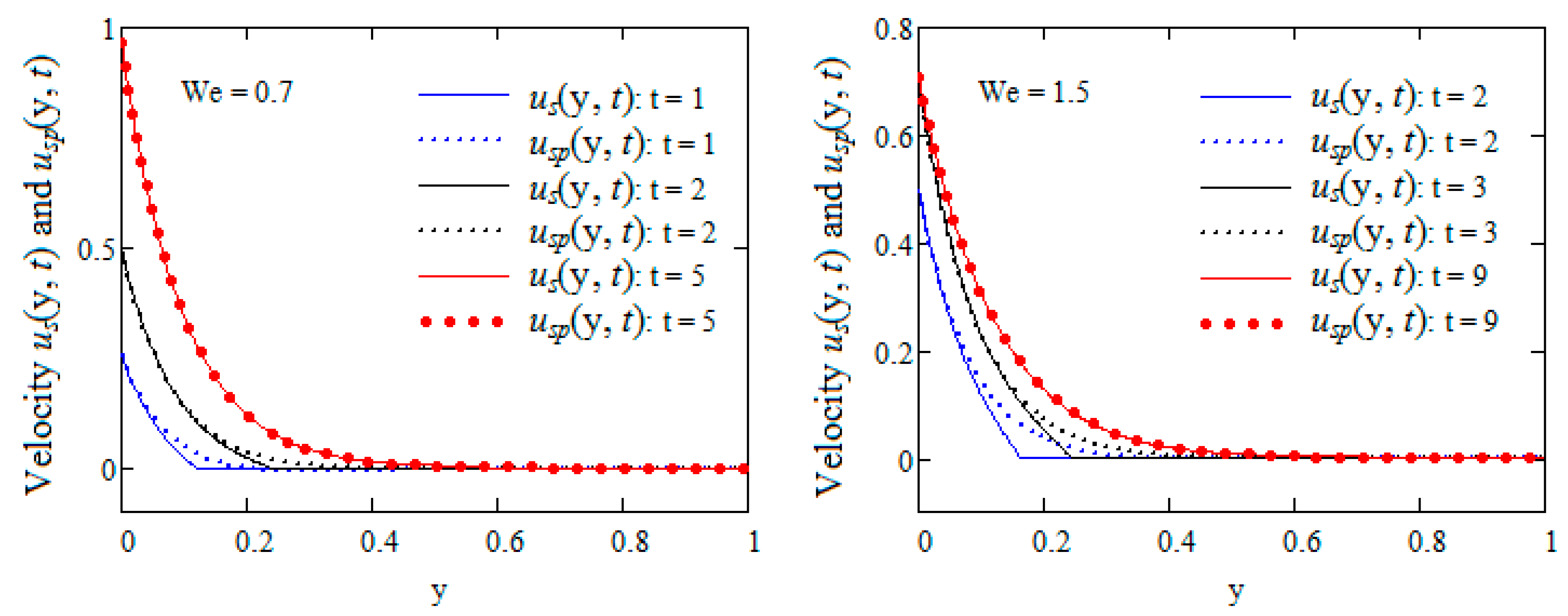
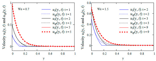
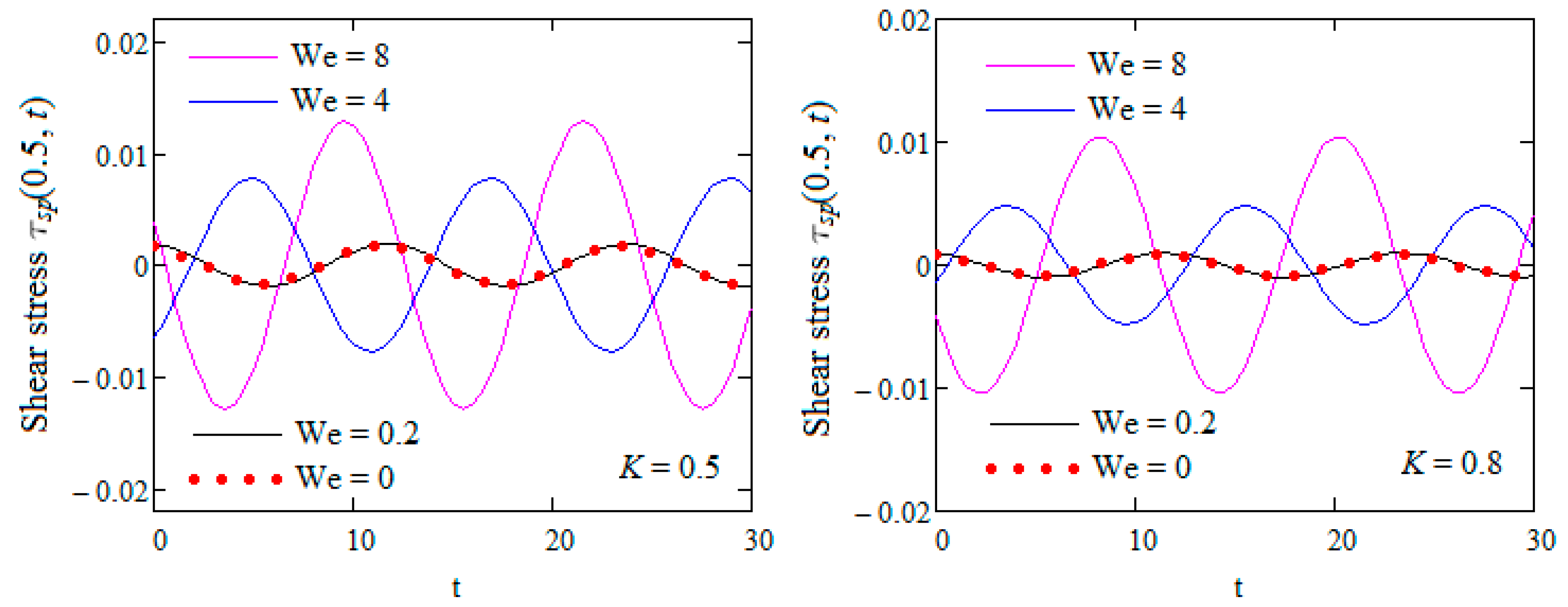
4. Results and Discussion
5. Conclusions
Author Contributions
Funding
Institutional Review Board Statement
Informed Consent Statement
Data Availability Statement
Conflicts of Interest
Nomenclature
| p | pressure |
| S | extra-stress tensor |
| Cauchy stress tensor | |
| v | velocity |
| R(y,t) | Darcy’s resistance |
| U | characteristic velocity |
| modified permeability | |
| shear stress | |
| t | time |
| k | permeability |
| frequency of the oscillation | |
| x,y,z | Cartesian coordinate |
| is the unit vector | |
| relaxation time | |
| viscosity | |
| fluid density | |
| porosity | |
| We | Weissenberg number |
References
- Schlichting, H. Boundary Layer Theory; McGraw-Hill: New York, NY, USA, 1960. [Google Scholar]
- Wang, C.Y. Exact solutions of the unsteady Navier-Stokes equations. Appl. Mech. Rev. 1969, 42, 270–282. [Google Scholar] [CrossRef]
- Wang, C.Y. Exact solutions of the steady-state Navier-Stokes equations. Annu. Rev. Fluid. Mech. 1991, 23, 159–177. [Google Scholar] [CrossRef]
- Erdogan, M.E. On the unsteady unidirectional flows generated by impulsive motion of a boundary or sudden application of a pressure gradient. Int. J. Non Linear Mech. 2002, 37, 1091–1106. [Google Scholar] [CrossRef]
- Rajagopal, K.R. A note on unsteady unidirectional flows of non-Newtonian fluid. Int. J. Non Linear Mech. 1982, 17, 369–373. [Google Scholar] [CrossRef]
- Siddiqui, A.M.; Hayat, T.; Asghar, S. Periodic flows of a non-Newtonian fluid between two parallel plates. Int. J. Non Linear Mech. 1999, 34, 895–899. [Google Scholar] [CrossRef]
- Wang, S.; Li, P.; Zhao, M. Analytical study of oscillatory flow of Maxwell fluid through a rectangular tube. Phys. Fluids 2019, 31, 063102. [Google Scholar]
- Sun, X.; Wang, S.; Zhao, M. Oscillatory flow of Maxwell fluid in a tube of isosceles right triangular cross section. Phys. Fluids 2019, 31, 123101. [Google Scholar]
- Wenchang, T.; Wenxiao, P.; Mingyu, X. A note on unsteady flows of a viscoelastic fluid with the fractional Maxwell model between two parallel planes. Int. J. Non Linear Mech. 2003, 38, 645–650. [Google Scholar] [CrossRef]
- Qi, H.; Xu, M. Unsteady flow of viscoelastic fluid with fractional Maxwell model in a channel. Mech. Res. Commun. 2007, 34, 210–212. [Google Scholar] [CrossRef]
- Qi, H.; Liu, J.G. Some duct flows of a fractional Maxwell fluid. Eur. Phys. J. Spec. Top. 2011, 193, 71–79. [Google Scholar] [CrossRef]
- Al-Hadhrami, A.K.; Elliot, L.; Ingham, D.B.; Wen, X. Flow through horizontal channels of porous materials. Int. J. Energy Res. 2003, 27, 875–889. [Google Scholar] [CrossRef]
- Cimpean, D.; Pop, I.; Ingham, D.B.; Merkin, J.H. Fully developed mixed convection flow between inclined parallel plates filled with a porous medium. Transp. Porous Med. 2009, 77, 87–102. [Google Scholar] [CrossRef]
- Kesavaiah, D.C.; Satyanarayana, P.V.; Sudhakaraiah, A. Effects of radiation and free convection currents on unsteady Couette flow between two vertical parallel plates with constant heat flux and heat source through porous medium. Int. J. Eng. Res. 2013, 2, 113–118. [Google Scholar]
- Marušić-Paloka, E.; Pažanin, I.; Radulović, M. On the Darcy-Brinkman-Boussinesq flow in a thin channel with irregularities. Transp. Porous Media 2020, 131, 633–660. [Google Scholar] [CrossRef]
- Ehlers, W. Darcy, Forchheimer, Brinkman and Richards: Classical hydromechanical equations and their significance in the light of the TPM. Arch. Appl. Mech. 2020. [Google Scholar] [CrossRef]
- Fetecau, C.; Narahari, M. General solutions for hydromagnetic flow of viscous fluids between horizontal parallel plates through porous medium. J. Eng. Mech. 2020, 146, 04020053. [Google Scholar] [CrossRef]
- Fetecau, C.; Agop, M. Exact solutions for oscillating motions of some fluids with power-law dependence of viscosity on the pressure. Ann. Acad. Rom. Sci. Ser. Math. Appl. 2020, 12, 295–311. [Google Scholar]
- Danish, G.A.; Imran, M.; Fetecau, C.; Vieru, D. First exact solutions for mixed boundary value problems concerning the motions of fluids with exponential dependence of viscosity on pressure. AIP Adv. 2020, 10, 065206. [Google Scholar] [CrossRef]
- Ullah, H.; Lu, D.; Siddiqui, A.M.; Haroon, T.; Maqbool, K. Hydrodynamical study of creeping Maxwell fluid flow through a porous slit with uniform reabsorption and wall slip. Mathematics 2020, 8, 1852. [Google Scholar] [CrossRef]
- Karra, S.; Prusa, V.; Rajagopal, K.R. On Maxwell fluids with relaxation time and viscosity depending the pressure. Int. J. Non Linear Mech. 2011, 46, 819–827. [Google Scholar] [CrossRef]
- Khan, M.; Malik, R.; Anjum, A. Exact solutions of MHD second Stokes flow of generalized Burgers fluid. Appl. Math. Mech. Engl. Ed. 2015, 36, 211–224. [Google Scholar] [CrossRef]
- Housiadas, K.D. An exact analytical solution for viscoelastic fluids with pressure-dependent viscosity. J. Nonnewton. Fluid Mech. 2015, 223, 147–156. [Google Scholar] [CrossRef]
- Menon, E.S. Fluid flow in pipes. In Transmission Pipeline Calculations and Simulations Manual; Elsevier Inc.: Amsterdam, The Netherlands, 2015; Chapter 5; pp. 149–234. [Google Scholar]
- Sneddon, I.N. Fourier Transforms; McGraw-Hill Book Company, Inc.: New York, NY, USA, 1951. [Google Scholar]
- Fetecau, C.; Rauf, A.; Qureshi, T.M.; Mehmood, O.A. Permanent solutions for some motions of UCM fluids with exponential dependence of viscosity on the pressure. Eur. J. Mech. B/Fluids. under review.
- Poole, R.J. The Deborah and Weissenberg numbers. Rheol. Bul. 2012, 53, 32–39. [Google Scholar]







Publisher’s Note: MDPI stays neutral with regard to jurisdictional claims in published maps and institutional affiliations. |
© 2021 by the authors. Licensee MDPI, Basel, Switzerland. This article is an open access article distributed under the terms and conditions of the Creative Commons Attribution (CC BY) license (http://creativecommons.org/licenses/by/4.0/).
Share and Cite
Fetecau, C.; Ellahi, R.; Sait, S.M. Mathematical Analysis of Maxwell Fluid Flow through a Porous Plate Channel Induced by a Constantly Accelerating or Oscillating Wall. Mathematics 2021, 9, 90. https://doi.org/10.3390/math9010090
Fetecau C, Ellahi R, Sait SM. Mathematical Analysis of Maxwell Fluid Flow through a Porous Plate Channel Induced by a Constantly Accelerating or Oscillating Wall. Mathematics. 2021; 9(1):90. https://doi.org/10.3390/math9010090
Chicago/Turabian StyleFetecau, Constantin, Rahmat Ellahi, and Sadiq M. Sait. 2021. "Mathematical Analysis of Maxwell Fluid Flow through a Porous Plate Channel Induced by a Constantly Accelerating or Oscillating Wall" Mathematics 9, no. 1: 90. https://doi.org/10.3390/math9010090
APA StyleFetecau, C., Ellahi, R., & Sait, S. M. (2021). Mathematical Analysis of Maxwell Fluid Flow through a Porous Plate Channel Induced by a Constantly Accelerating or Oscillating Wall. Mathematics, 9(1), 90. https://doi.org/10.3390/math9010090

