A Testing Coverage Model Based on NHPP Software Reliability Considering the Software Operating Environment and the Sensitivity Analysis
Abstract
:1. Introduction
2. Testing Coverage Model based on NHPP Software Reliability
2.1. A General Testing Coverage Model based on NHPP Software Reliability
2.2. A General Testing Coverage Model Based on NHPP Software Reliability with the Uncertainty of the Operating Environments
2.3. A New Testing Coverage Model based on NHPP Software Reliability Considering the Uncertainty of the Operating Environments
- ▪
- The initial condition of the mean value function is ;
- ▪
- is the expected number of faults that exist in the software before testing;
- ▪
- has a generalized probability density function g with two parameters and ;
- ▪
- The fault detection rate can be expressed by .
3. Various Criteria for Comparative Model Analysis
3.1. Criteria for Model Comparison
3.2. Distance of the Normalized Criteria
3.3. Confidence Interval
4. Data and the Result of Model Analysis
4.1. Dataset 1
4.2. Dataset 2
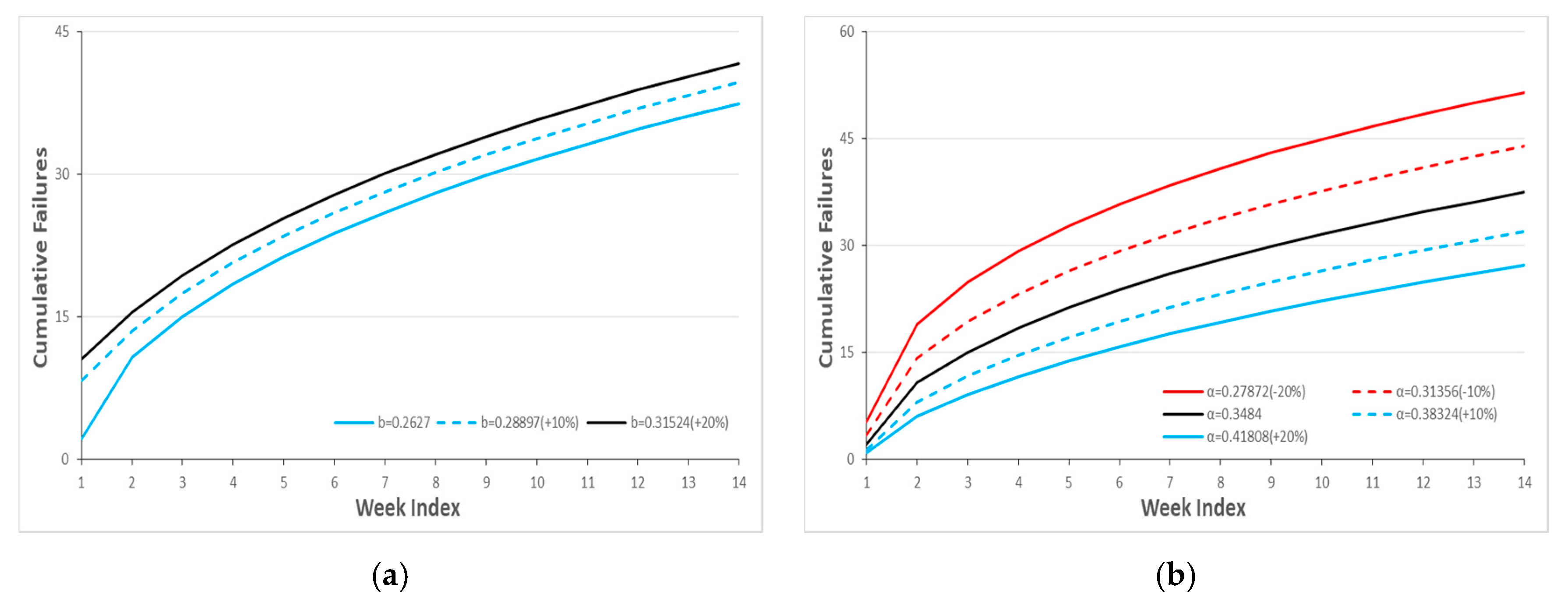
5. Sensitivity Analysis
6. Conclusions
Author Contributions
Funding
Acknowledgments
Conflicts of Interest
Appendix A
| No. | Criteria | Formula |
|---|---|---|
| 1 | MSE | |
| 2 | RMSE | |
| 3 | AIC | |
| 4 | Variance | |
| 5 | RMSPE | |
| 6 | PRR | |
| 7 | TS | |
| 8 | PP | |
| 9 | SAE | |
| 10 | MAE | |
| 11 | ||
| 12 | Adj |
References
- Pham, H. System Software Reliability; Springer: London, UK, 2006. [Google Scholar]
- Pham, H.; Zhang, X. NHPP software reliability and cost models with testing coverage. Eur. J. Oper. Res. 2003, 145, 443–454. [Google Scholar] [CrossRef]
- Chang, I.H.; Pham, H.; Lee, S.W.; Song, K.Y. A testing-coverage software reliability model with the uncertainty of operation environments. Int. J. Syst. Sci: Oper. Logist. 2014, 1, 220–227. [Google Scholar]
- Li, Q.; Pham, H. A testing-coverage software reliability model considering fault removal efficiency and error generation. PloS ONE 2017, 12, e0181524. [Google Scholar] [CrossRef] [PubMed]
- Li, Q.; Pham, H. NHPP software reliability model considering the uncertainty of operating environments with imperfect debugging and testing coverage. Appl. Math. Model. 2017, 51, 68–85. [Google Scholar] [CrossRef]
- Musa, J.D.; Iannino, K.; Okumoto, K. Software Reliability Measurement Prediction Application; McGraw-Hill: New York, NY, USA, 2006. [Google Scholar]
- Goel, A.L.; Okumoto, K. Time-dependent error-detection rate model for software reliability and other performance measures. IEEE Trans. Reliab. 1979, 28, 206–211. [Google Scholar] [CrossRef]
- Yamada, S.; Ohba, M.; Osaki, S. S-shaped reliability growth modeling for software fault detection. IEEE Trans. Reliab. 1983, 32, 475–484. [Google Scholar] [CrossRef]
- Ohba, M. Inflexion S-shaped software reliability growth models. In Stochastic Models in Reliability Theory; Osaki, S., Hatoyama, Y., Eds.; Springer: Berlin, Germany, 1984; pp. 144–162. [Google Scholar]
- Yamada, S.; Ohtera, H.; Narihisa, H. Software Reliability Growth Models with Testing-Effort. IEEE Trans. Reliab. 1986, 35, 19–23. [Google Scholar] [CrossRef]
- Yang, B.; Xie, M. A study of operational and testing reliability in software reliability analysis. Reliab. Eng. Syst. Saf. 2000, 70, 323–329. [Google Scholar] [CrossRef]
- Huang, C.Y.; Kuo, S.Y.; Lyu, M.R.; Lo, J.H. Quantitative software reliability modeling from testing from testing to operation. In Proceedings of the 11th International Symposium on Software Reliability Engineering (ISSRE 2000), San Jose, CA, USA, 8–11 October 2000; pp. 72–82. [Google Scholar]
- Zhang, X.; Jeske, D.; Pham, H. Calibrating software reliability models when the test environment does not match the user environment. Appl. Stoch. Models. Bus. Ind. 2002, 18, 87–99. [Google Scholar] [CrossRef]
- Teng, X.; Pham, H. A new methodology for predicting software reliability in the random field environments. IEEE Trans. Reliab. 2006, 55, 458–468. [Google Scholar] [CrossRef]
- Song, K.Y.; Chang, I.H.; Pham, H. A Three-parameter fault-detection software reliability model with the uncertainty of operating environments. J. Syst. Sci. Syst. Eng. 2017, 26, 121–132. [Google Scholar] [CrossRef]
- Song, K.Y.; Chang, I.H.; Pham, H. A software reliability model with a Weibull fault detection rate function subject to operating environments. App. Sci. 2017, 7, 983. [Google Scholar] [CrossRef]
- Song, K.Y.; Chang, I.H.; Pham, H. An NHPP software reliability model with S-shaped growth curve subject to random operating environments and optimal release time. App. Sci. 2017, 7, 1304. [Google Scholar] [CrossRef]
- Song, K.Y.; Chang, I.H.; Pham, H. Optimal Release Time and Sensitivity Analysis Using a New NHPP Software Reliability Model with Probability of Fault Removal Subject to Operating Environments. App. Sci. 2018, 8, 714. [Google Scholar] [CrossRef]
- Zhu, M.; Pham, H. A two-phase software reliability modeling involving with software fault dependency and imperfect fault removal. Comput. Lang. Syst. Struct. 2018, 53, 27–42. [Google Scholar] [CrossRef]
- Huang, C.Y.; Kuo, S.Y.; Lyu, M.R. An assessment of testing-effort dependent software reliability growth models. IEEE Trans. Reliab. 2007, 56, 198–211. [Google Scholar] [CrossRef]
- Shibata, K.; Rinsaka, K.; Dohi, T. Metrics-based software reliability models using non-homogeneous Poisson processes. In Proceedings of the 17th International Symposium on Software Reliability Engineering, Raleigh, NC, USA, 7–10 November 2006; pp. 52–61. [Google Scholar]
- Malaiya, Y.K.; Li, M.N.; Bieman, J.M.; Karcich, R. Software reliability growth with test coverage. IEEE Trans. Reliab. 2002, 51, 420–426. [Google Scholar] [CrossRef]
- Akaike, H. A new look at statistical model identification. IEEE Trans. Autom. Control 1974, 19, 716–719. [Google Scholar] [CrossRef]
- Anjum, M.; Haque, M.A.; Ahmad, N. Analysis and ranking of software reliability models based on weighted criteria value. I. J. Inform. Tech. Comp. Sci. 2013, 2, 1–14. [Google Scholar] [CrossRef]
- Pham, H. A new software reliability model with Vtub-Shaped fault detection rate and the uncertainty of operating environments. Optimization 2014, 63, 1481–1490. [Google Scholar] [CrossRef]
- Yamada, S.; Tokuno, K.; Osaki, S. Imperfect debugging models with fault introduction rate for software reliability assessment. Int. J. Syst. Sci. 1992, 23, 2241–2252. [Google Scholar] [CrossRef]
- Hossain, S.A.; Dahiya, R.C. Estimating the parameters of a non-homogeneous Poisson-process model for software reliability. IEEE Trans. Reliab. 1993, 42, 604–612. [Google Scholar] [CrossRef]
- Pham, H.; Nordmann, L.; Zhang, X. A general imperfect software debugging model with S-shaped fault detection rate. IEEE Trans. Reliab. 1999, 48, 169–175. [Google Scholar] [CrossRef]
- Pham, H.; Zhang, X. An NHPP software reliability models and its comparison. Int. J. Reliab. Qual. Saf. Eng. 1997, 4, 269–282. [Google Scholar] [CrossRef]
- Zhang, X.M.; Teng, X.L.; Pham, H. Considering fault removal efficiency in software reliability assessment. IEEE Trans. Syst. Man. Cybern. Part A Syst. Hum. 2003, 33, 114–120. [Google Scholar] [CrossRef]
- Pham, H. An Imperfect-debugging Fault-detection Dependent-parameter Software. Int. J. Automat. Comput. 2007, 4, 325–328. [Google Scholar] [CrossRef]
- Kapur, P.K.; Pham, H.; Anand, S.; Yadav, K. A unified approach for developing software reliability growth models in the presence of imperfect debugging and error generation. IEEE Trans. Reliab. 2011, 60, 331–340. [Google Scholar] [CrossRef]
- Roy, P.; Mahapatra, G.S.; Dey, K.N. An NHPP software reliability growth model with imperfect debugging and error generation. Int. J. Reliab. Qualit. Saf. Eng. 2014, 21, 1–3. [Google Scholar]
- Daniel, R.J.; Zhang, X. Some successful approaches to software reliability modeling in industry. J. Syst. Softw. 2005, 74, 85–99. [Google Scholar]













| No. | Model | |
|---|---|---|
| 1 | Goel-Okumoto (GO) [7] | |
| 2 | Yamada et al. (DS) [8] | |
| 3 | Ohba (IS) [9] | |
| 4 | Yamada et al. (YE) [10] | |
| 5 | Yamata et al. (YR) [10] | |
| 6 | Yamada et al. (YID 1) [26] | |
| 7 | Yamada et al. (YID 2) [26] | |
| 8 | Hossain-Dahiya (HDGO) [27] | |
| 9 | Pham et al. (PNZ) [28] | |
| 10 | Pham-Zhang (PZ) [29] | |
| 11 | Zhang et al. (ZFR) [30] | |
| 12 | Teng-Pham (TP) [14] | |
| 13 | Pham (IFD) [1] | |
| 14 | Pham (PDP) [31] | |
| 15 | Kapur et al. (KSRGM) [32] | |
| 16 | Roy et al. (RMD) [33] | |
| 17 | Chang et al. (CT) [3] | |
| 18 | Pham (Vtub) [25] | |
| 19 | Song et al. (3PFD) [15] | |
| 20 | Proposed Model |
| Week Index | Dataset #1 | |
|---|---|---|
| Failures | Cumulative Failures | |
| 1 | 2 | 2 |
| 2 | 11 | 13 |
| 3 | 2 | 15 |
| 4 | 4 | 19 |
| 5 | 3 | 22 |
| 6 | 1 | 23 |
| 7 | 1 | 24 |
| 8 | 2 | 26 |
| 9 | 4 | 30 |
| 10 | 0 | 30 |
| 11 | 4 | 34 |
| 12 | 1 | 35 |
| 13 | 3 | 38 |
| 14 | 0 | 38 |
| No. | Model | Parameter Estimation | MSE | RMSE | AIC | Variation | RMSPE | PRR | TS | PP | SAE | MAE | R2 | Adj R2 |
|---|---|---|---|---|---|---|---|---|---|---|---|---|---|---|
| 1 | GO | = 46.1404 = 0.1182 | 3.6343 | 1.9064 | 62.8309 | 1.8327 | 1.8330 | 0.5283 | 6.5734 | 2.5743 | 20.4374 | 1.7031 | 0.9687 | 0.9630 |
| 2 | DS | = 35.9507 = 0.3988 | 9.1885 | 3.0312 | 68.6375 | 3.0081 | 3.0371 | 0.9541 | 10.4521 | 0.3575 | 32.6041 | 2.7170 | 0.9208 | 0.9064 |
| 3 | IS | = 46.1403, = 0.1182 = 5.93 × 10−9 | 3.9647 | 1.9912 | 64.8309 | 1.8327 | 1.8330 | 0.5283 | 6.5734 | 2.5743 | 20.4375 | 1.8580 | 0.9687 | 0.9593 |
| 4 | YE | = 64.4549, = 0.0183 = 0.0574, = 80.1118 | 4.1162 | 2.0288 | 66.7083 | 1.7794 | 1.7794 | 0.5190 | 6.3861 | 2.8085 | 19.6361 | 1.9636 | 0.9704 | 0.9573 |
| 5 | YR | = 38.1089, = 1.6323 = 0.0364, = 1.4194 | 16.0972 | 4.0121 | 82.0186 | 3.6707 | 3.7164 | 1.9186 | 12.6289 | 0.5463 | 39.5895 | 3.9590 | 0.8844 | 0.8331 |
| 6 | YID 1 | = 22.4227, = 0.3115 = 0.0505 | 2.9149 | 1.7073 | 64.8745 | 1.5841 | 1.5883 | 0.5051 | 5.6364 | 4.3732 | 16.1998 | 1.4727 | 0.9770 | 0.9701 |
| 7 | YID 2 | = 18.5582, = 0.3808 = 0.0952 | 2.9795 | 1.7261 | 64.7603 | 1.5991 | 1.6026 | 0.5092 | 5.6984 | 4.3985 | 16.2150 | 1.4741 | 0.9765 | 0.9694 |
| 8 | HDGO | = 46.1403, = 0.1182 = 0.00022 | 3.9647 | 1.9912 | 64.8309 | 1.8327 | 1.8330 | 0.5283 | 6.5734 | 2.5743 | 20.4375 | 1.8580 | 0.9687 | 0.9593 |
| 9 | PNZ | = 17.7782, = 0.4256 = 0.1008, = 0.0836 | 3.2378 | 1.7994 | 66.6674 | 1.5908 | 1.5947 | 0.5069 | 5.6639 | 4.3641 | 16.1109 | 1.6111 | 0.9768 | 0.9664 |
| 10 | PZ | = 4.33 × 10−8, = 0.1182 = 0.03204, = 6.35 × 10−8 = 46.14 | 4.8458 | 2.2013 | 68.8309 | 1.8327 | 1.8330 | 0.5283 | 6.5734 | 2.5742 | 20.4379 | 2.2709 | 0.9687 | 0.9491 |
| 11 | ZFR | = 6.8991, = 0.0132 = 0.0095, = 0.1242 = 0.7981, = 0.2738 | 5.4529 | 2.3351 | 70.8319 | 1.8327 | 1.8330 | 0.5282 | 6.5743 | 2.5753 | 20.4372 | 2.5546 | 0.9687 | 0.9418 |
| 12 | TP | = 78.530, = 0.3843 = 0.06219, = 0.2910 = 3.19 × 10−8, = 0.8530 = 0.6711 | 5.2511 | 2.2915 | 72.6973 | 1.6836 | 1.6843 | 0.5125 | 6.0348 | 3.5656 | 17.8269 | 2.5467 | 0.9736 | 0.9428 |
| 13 | IFD | = 3.2868, = 0.8524 = 1.0 × 10−11 | 13.0533 | 3.6129 | 67.8928 | 3.8336 | 3.9783 | 1.2118 | 11.9274 | 0.9925 | 36.9137 | 3.3558 | 0.8969 | 0.8660 |
| 14 | PDP | = 1833.3580, = 0.0119 = 28.7597, = 143.1294 | 26.2542 | 5.1239 | 138.4862 | 4.4940 | 4.4941 | 0.9330 | 16.1283 | 42.1676 | 43.5907 | 4.3591 | 0.8115 | 0.7277 |
| 15 | KSRGM | = 0.9468, = 10.5138 = 0.9774, = 0.6679 | 5.3204 | 2.3066 | 65.7919 | 2.0616 | 2.0734 | 0.5176 | 7.2604 | 0.9784 | 23.2980 | 2.3298 | 0.9618 | 0.9448 |
| 16 | RMD | = 473.90, = 0.3889 = 1.0380, = 0.003857 | 3.3303 | 1.8249 | 66.7588 | 1.6042 | 1.6053 | 0.5115 | 5.7443 | 4.2796 | 16.7058 | 1.6706 | 0.9761 | 0.9655 |
| 17 | CT | = 0.3318, = 1.110 = 0.03498, = 0.9627 = 584.00 | 4.0547 | 2.0136 | 68.0606 | 1.6777 | 1.6784 | 0.4961 | 6.0130 | 2.9906 | 18.1577 | 2.0175 | 0.9738 | 0.9574 |
| 18 | Vtub | = 91.140, = 0.5612 = 0.04156, = 21.950 = 74.030 | 3.7733 | 1.9425 | 66.2648 | 1.6196 | 1.6206 | 0.4394 | 5.8006 | 2.1000 | 18.4484 | 2.0498 | 0.9756 | 0.9604 |
| 19 | 3PFD | = 0.3353, = 1.46 × 10−7 = 0.18198, = 68.60676 = 20.31988 | 4.3488 | 2.0854 | 68.6419 | 1.7359 | 1.7361 | 0.5136 | 6.2272 | 3.0687 | 18.8258 | 2.0918 | 0.9719 | 0.9543 |
| 20 | New Model | = 0.2627, = 0.3487 = 193.7390, = 184.0433 = 0.2997 | 2.4340 | 1.5601 | 60.2184 | 1.2993 | 1.2997 | 0.0709 | 4.6588 | 0.0599 | 13.8037 | 1.5337 | 0.9843 | 0.9744 |
| No. | Model | MSE | RMSE | AIC | Variation | RMSPE | PRR | TS | PP | SAE | MAE | R2 | Adj R2 | NCD Value | Rank |
|---|---|---|---|---|---|---|---|---|---|---|---|---|---|---|---|
| 1 | GO | 3.6343 | 1.9064 | 62.8309 | 1.8327 | 1.8330 | 0.5283 | 6.5734 | 2.5743 | 20.4374 | 1.7031 | 0.9687 | 0.9630 | 0.1339749 | 8 |
| 2 | DS | 9.1885 | 3.0312 | 68.6375 | 3.0081 | 3.0371 | 0.9541 | 10.4521 | 0.3575 | 32.6041 | 2.7170 | 0.9208 | 0.9064 | 0.2307686 | 17 |
| 3 | IS | 3.9647 | 1.9912 | 64.8309 | 1.8327 | 1.8330 | 0.5283 | 6.5734 | 2.5743 | 20.4375 | 1.8580 | 0.9687 | 0.9593 | 0.1371307 | 10 |
| 4 | YE | 4.1162 | 2.0288 | 66.7083 | 1.7794 | 1.7794 | 0.5190 | 6.3861 | 2.8085 | 19.6361 | 1.9636 | 0.9704 | 0.9573 | 0.1372862 | 11 |
| 5 | YR | 16.0972 | 4.0121 | 82.0186 | 3.6707 | 3.7164 | 1.9186 | 12.6289 | 0.5463 | 39.5895 | 3.9590 | 0.8844 | 0.8331 | 0.3432228 | 19 |
| 6 | YID 1 | 2.9149 | 1.7073 | 64.8745 | 1.5841 | 1.5883 | 0.5051 | 5.6364 | 4.3732 | 16.1998 | 1.4727 | 0.9770 | 0.9701 | 0.1245350 | 2 |
| 7 | YID 2 | 2.9795 | 1.7261 | 64.7603 | 1.5991 | 1.6026 | 0.5092 | 5.6984 | 4.3985 | 16.2150 | 1.4741 | 0.9765 | 0.9694 | 0.1254775 | 3 |
| 8 | HDGO | 3.9647 | 1.9912 | 64.8309 | 1.8327 | 1.8330 | 0.5283 | 6.5734 | 2.5743 | 20.4375 | 1.8580 | 0.9687 | 0.9593 | 0.1371307 | 9 |
| 9 | PNZ | 3.2378 | 1.7994 | 66.6674 | 1.5908 | 1.5947 | 0.5069 | 5.6639 | 4.3641 | 16.1109 | 1.6111 | 0.9768 | 0.9664 | 0.1275318 | 5 |
| 10 | PZ | 4.8458 | 2.2013 | 68.8309 | 1.8327 | 1.8330 | 0.5283 | 6.5734 | 2.5742 | 20.4379 | 2.2709 | 0.9687 | 0.9491 | 0.1458965 | 13 |
| 11 | ZFR | 5.4529 | 2.3351 | 70.8319 | 1.8327 | 1.8330 | 0.5282 | 6.5743 | 2.5753 | 20.4372 | 2.5546 | 0.9687 | 0.9418 | 0.1522740 | 15 |
| 12 | TP | 5.2511 | 2.2915 | 72.6973 | 1.6836 | 1.6843 | 0.5125 | 6.0348 | 3.5656 | 17.8269 | 2.5467 | 0.9736 | 0.9428 | 0.1481766 | 14 |
| 13 | IFD | 13.0533 | 3.6129 | 67.8928 | 3.8336 | 3.9783 | 1.2118 | 11.9274 | 0.9925 | 36.9137 | 3.3558 | 0.8969 | 0.8660 | 0.2925481 | 18 |
| 14 | PDP | 26.2542 | 5.1239 | 138.4862 | 4.4940 | 4.4941 | 0.9330 | 16.1283 | 42.1676 | 43.5907 | 4.3591 | 0.8115 | 0.7277 | 0.6513642 | 20 |
| 15 | KSRGM | 5.3204 | 2.3066 | 65.7919 | 2.0616 | 2.0734 | 0.5176 | 7.2604 | 0.9784 | 23.2980 | 2.3298 | 0.9618 | 0.9448 | 0.1543406 | 16 |
| 16 | RMD | 3.3303 | 1.8249 | 66.7588 | 1.6042 | 1.6053 | 0.5115 | 5.7443 | 4.2796 | 16.7058 | 1.6706 | 0.9761 | 0.9655 | 0.1289773 | 6 |
| 17 | CT | 4.0547 | 2.0136 | 68.0606 | 1.6777 | 1.6784 | 0.4961 | 6.0130 | 2.9906 | 18.1577 | 2.0175 | 0.9738 | 0.9574 | 0.1337059 | 7 |
| 18 | Vtub | 3.7733 | 1.9425 | 66.2648 | 1.6196 | 1.6206 | 0.4394 | 5.8006 | 2.1000 | 18.4484 | 2.0498 | 0.9756 | 0.9604 | 0.1271222 | 4 |
| 19 | 3PFD | 4.3488 | 2.0854 | 68.6419 | 1.7359 | 1.7361 | 0.5136 | 6.2272 | 3.0687 | 18.8258 | 2.0918 | 0.9719 | 0.9543 | 0.1387252 | 12 |
| 20 | New Model | 2.4340 | 1.5601 | 60.2184 | 1.2993 | 1.2997 | 0.0709 | 4.6588 | 0.0599 | 13.8037 | 1.5337 | 0.9843 | 0.9744 | 0.0940763 | 1 |
| Time Index | Data Value | 95% | 99% | ||
|---|---|---|---|---|---|
| LCL | UCL | LCL | UCL | ||
| 1 | 2 | 0 | 5.9683 | 0 | 5.0607 |
| 2 | 13 | 2.3023 | 19.1903 | 4.3213 | 17.1714 |
| 3 | 15 | 5.0574 | 25.0431 | 7.4466 | 22.6539 |
| 4 | 19 | 7.3770 | 29.4975 | 10.0215 | 26.8531 |
| 5 | 22 | 9.4082 | 33.1811 | 12.2502 | 30.3391 |
| 6 | 23 | 11.2268 | 36.3542 | 14.2307 | 33.3503 |
| 7 | 24 | 12.8800 | 39.1580 | 16.0215 | 36.0165 |
| 8 | 26 | 14.4001 | 41.6794 | 17.6612 | 38.4182 |
| 9 | 30 | 15.8101 | 43.9767 | 19.1773 | 40.6094 |
| 10 | 30 | 17.1273 | 46.0910 | 20.5898 | 42.6285 |
| 11 | 34 | 18.3651 | 48.0527 | 21.9142 | 44.5036 |
| 12 | 35 | 19.5340 | 49.8848 | 23.1623 | 46.2565 |
| 13 | 38 | 20.6424 | 51.6055 | 24.3439 | 47.9040 |
| 14 | 38 | 21.6972 | 53.2291 | 25.4668 | 49.4595 |
| Time Index | Cumulative System Days | Dataset #2 | |
|---|---|---|---|
| Failures | Cumulative Failures | ||
| 1 | 1249 | 4 | 4 |
| 2 | 4721 | 6 | 10 |
| 3 | 8786 | 4 | 14 |
| 4 | 13,669 | 3 | 17 |
| 5 | 19,094 | 6 | 23 |
| 6 | 24,750 | 1 | 24 |
| 7 | 32,299 | 2 | 26 |
| 8 | 40,594 | 4 | 30 |
| 9 | 49,476 | 1 | 31 |
| 10 | 55,596 | 0 | 31 |
| 11 | 58,061 | 1 | 32 |
| 12 | 58,588 | 1 | 33 |
| 13 | 58,633 | 0 | 33 |
| No. | Model | Parameter Estimation | MSE | RMSE | AIC | Variation | RMSPE | PRR | TS | PP | SAE | MAE | R2 | Adj R2 |
|---|---|---|---|---|---|---|---|---|---|---|---|---|---|---|
| 1 | GO | = 33.0367 = 5.8 × 10−5 | 1.6266 | 1.2754 | 49.4070 | 1.2770 | 1.2937 | 0.6251 | 4.6136 | 0.2420 | 12.9085 | 1.1735 | 0.9839 | 0.9806 |
| 2 | DS | = 31.0119 = 1.44 × 10−4 | 7.3713 | 2.7150 | 72.2378 | 2.8666 | 2.9440 | 65.1831 | 9.8214 | 1.1664 | 25.6479 | 2.3316 | 0.9269 | 0.9122 |
| 3 | IS | = 33.0368, = 5.8×10−5 = 8.6 × 10−8 | 1.7892 | 1.3376 | 51.4070 | 1.2770 | 1.2937 | 0.6251 | 4.6136 | 0.2420 | 12.9084 | 1.2908 | 0.9839 | 0.9785 |
| 4 | YE | = 4438.167, = 0.2021 = 5.76 × 10−5, = 0.03696 | 1.9812 | 1.4076 | 53.3655 | 1.2984 | 1.3219 | 0.6363 | 4.6057 | 0.2445 | 12.9425 | 1.4381 | 0.9839 | 0.9759 |
| 5 | YR | = 32.7479, = 2.3803 = 3.87 × 10−9, = 1.1396 | 12.8131 | 3.5795 | 91.6713 | 3.4310 | 3.5266 | 199.5366 | 11.7126 | 1.4270 | 31.6731 | 3.5192 | 0.8960 | 0.8440 |
| 6 | YID 1 | = 23.8781, = 9.83 × 10−5 = 6.45 × 10−6 | 1.0219 | 1.0109 | 48.4929 | 0.9407 | 0.9461 | 0.2239 | 3.4867 | 0.1203 | 10.0450 | 1.0045 | 0.9908 | 0.9877 |
| 7 | YID 2 | = 22.6444, = 0.000106 = 9.02 × 10−6 | 0.9979 | 0.9990 | 48.4804 | 0.9221 | 0.9252 | 0.1979 | 3.4455 | 0.1107 | 9.8882 | 0.9888 | 0.9910 | 0.9880 |
| 8 | HDGO | = 33.0367, = 5.78 × 10−5 = 8.6 × 10−8 | 1.7883 | 1.3373 | 51.3850 | 1.2904 | 1.3110 | 0.6357 | 4.6124 | 0.2444 | 12.9353 | 1.2935 | 0.9839 | 0.9785 |
| 9 | PNZ | = 22.6389, = 1.06 × 10−4 = 0.9 × 10−5, = 0.00096 | 1.1090 | 1.0531 | 50.4830 | 0.9279 | 0.9327 | 0.1993 | 3.4458 | 0.1111 | 9.9067 | 1.1007 | 0.9910 | 0.9865 |
| 10 | PZ | = 29.0937, = 0.00063 = 4.98 × 10−5, = 0.0006 = 4.7088 | 1.3039 | 1.1419 | 53.3626 | 0.9950 | 1.0134 | 0.1180 | 3.5226 | 0.0801 | 10.2318 | 1.2790 | 0.9906 | 0.9839 |
| 11 | ZFR | = 33.9535, = 0.01158 = 0.01502, = 0.01344 = 5.6 × 10−5, = 1.0412 | 2.5591 | 1.5997 | 57.3622 | 1.3106 | 1.3368 | 0.6517 | 4.6163 | 0.2481 | 12.9732 | 1.8533 | 0.9838 | 0.9677 |
| 12 | TP | = 228.3963, = 0.000117 = 0.00517, = 0.03607 = 0.1539, = 0.1941 = 0.0837 | 1.3344 | 1.1551 | 56.0182 | 0.8245 | 0.8269 | 0.0332 | 3.0861 | 0.0292 | 8.2787 | 1.3798 | 0.9928 | 0.9827 |
| 13 | IFD | = 3.283, = 0.000174 = 2 × 10−15 | 38.8383 | 6.2320 | 65.7427 | 7.2581 | 7.6766 | 23.6805 | 21.4949 | 1.8984 | 64.6863 | 6.4686 | 0.6497 | 0.5330 |
| 14 | PDP | = 278.0266, = 5.8 × 10−6 = 4.9046, = 15.3182 | 34.4540 | 5.8698 | 134.4592 | 5.1188 | 5.1297 | 1.0557 | 19.2064 | 8.5495 | 49.5436 | 5.5048 | 0.7203 | 0.5805 |
| 15 | KSRGM | = 31.8755, = 0.012 = 0.0179, = 0.005 | 3.2468 | 1.8019 | 55.0954 | 2.2388 | 2.4094 | 2.5919 | 5.8960 | 0.4886 | 16.0865 | 1.7874 | 0.9736 | 0.9605 |
| 16 | RMD | = 168.8421, = 5.8 × 10−5 = 0.1956, = 0.1229 | 2.0411 | 1.4287 | 53.5239 | 1.3097 | 1.3312 | 0.7194 | 4.6747 | 0.2609 | 13.0707 | 1.4523 | 0.9834 | 0.9751 |
| 17 | CT | = 0.0068, = 0.8298 = 0.7555, = 58.3462 = 53.3901 | 0.9229 | 0.9607 | 51.9769 | 0.7878 | 0.7889 | 0.0191 | 2.9636 | 0.0184 | 7.8468 | 0.9809 | 0.9933 | 0.9886 |
| 18 | Vtub | = 1.0006, = 0.5024 = 9.3307, = 2.9469 = 85.1389 | 2.0950 | 1.4474 | 52.9672 | 1.2106 | 1.2193 | 0.1150 | 4.4652 | 0.1989 | 11.6921 | 1.4615 | 0.9849 | 0.9741 |
| 19 | 3PFD | = 0.0059, = 0.000001 = 2.870, = 41.540 = 34.600 | 1.2405 | 1.1138 | 52.9005 | 0.9290 | 0.9349 | 0.21+34 | 3.4360 | 0.1165 | 9.8563 | 1.2320 | 0.9910 | 0.9847 |
| 20 | New Model | = 0.000108, = 0.6413 = 2.5635, = 42.4984 = 5.4 × 10−5 | 0.8790 | 0.9376 | 52.0859 | 0.7662 | 0.7664 | 0.0149 | 2.8923 | 0.0149 | 7.6843 | 0.9605 | 0.9937 | 0.9891 |
| No. | Model | MSE | RMSE | AIC | Variation | RMSPE | PRR | TS | PP | SAE | MAE | R2 | Adj R2 | NCD Value | Rank |
|---|---|---|---|---|---|---|---|---|---|---|---|---|---|---|---|
| 1 | GO | 1.6266 | 1.2754 | 49.4070 | 1.2770 | 1.2937 | 0.6251 | 4.6136 | 0.2420 | 12.9085 | 1.1735 | 0.9839 | 0.9806 | 0.0980582 | 9 |
| 2 | DS | 7.3713 | 2.7150 | 72.2378 | 2.8666 | 2.9440 | 65.1831 | 9.8214 | 1.1664 | 25.6479 | 2.3316 | 0.9269 | 0.9122 | 0.3193186 | 17 |
| 3 | IS | 1.7892 | 1.3376 | 51.4070 | 1.2770 | 1.2937 | 0.6251 | 4.6136 | 0.2420 | 12.9084 | 1.2908 | 0.9839 | 0.9785 | 0.1007023 | 10 |
| 4 | YE | 1.9812 | 1.4076 | 53.3655 | 1.2984 | 1.3219 | 0.6363 | 4.6057 | 0.2445 | 12.9425 | 1.4381 | 0.9839 | 0.9759 | 0.1043514 | 13 |
| 5 | YR | 12.8131 | 3.5795 | 91.6713 | 3.4310 | 3.5266 | 199.5366 | 11.7126 | 1.4270 | 31.6731 | 3.5192 | 0.8960 | 0.8440 | 0.7414780 | 18 |
| 6 | YID 1 | 1.0219 | 1.0109 | 48.4929 | 0.9407 | 0.9461 | 0.2239 | 3.4867 | 0.1203 | 10.0450 | 1.0045 | 0.9908 | 0.9877 | 0.0783218 | 4 |
| 7 | YID 2 | 0.9979 | 0.9990 | 48.4804 | 0.9221 | 0.9252 | 0.1979 | 3.4455 | 0.1107 | 9.8882 | 0.9888 | 0.9910 | 0.9880 | 0.0773360 | 3 |
| 8 | HDGO | 1.7883 | 1.3373 | 51.3850 | 1.2904 | 1.3110 | 0.6357 | 4.6124 | 0.2444 | 12.9353 | 1.2935 | 0.9839 | 0.9785 | 0.1010407 | 11 |
| 9 | PNZ | 1.1090 | 1.0531 | 50.4830 | 0.9279 | 0.9327 | 0.1993 | 3.4458 | 0.1111 | 9.9067 | 1.1007 | 0.9910 | 0.9865 | 0.0800413 | 5 |
| 10 | PZ | 1.3039 | 1.1419 | 53.3626 | 0.9950 | 1.0134 | 0.1180 | 3.5226 | 0.0801 | 10.2318 | 1.2790 | 0.9906 | 0.9839 | 0.0858796 | 8 |
| 11 | ZFR | 2.5591 | 1.5997 | 57.3622 | 1.3106 | 1.3368 | 0.6517 | 4.6163 | 0.2481 | 12.9732 | 1.8533 | 0.9838 | 0.9677 | 0.1139585 | 15 |
| 12 | TP | 1.3344 | 1.1551 | 56.0182 | 0.8245 | 0.8269 | 0.0332 | 3.0861 | 0.0292 | 8.2787 | 1.3798 | 0.9928 | 0.9827 | 0.0824943 | 6 |
| 13 | IFD | 38.8383 | 6.2320 | 65.7427 | 7.2581 | 7.6766 | 23.6805 | 21.4949 | 1.8984 | 64.6863 | 6.4686 | 0.6497 | 0.5330 | 0.7418298 | 19 |
| 14 | PDP | 34.4540 | 5.8698 | 134.4592 | 5.1188 | 5.1297 | 1.0557 | 19.2064 | 8.5495 | 49.5436 | 5.5048 | 0.7203 | 0.5805 | 0.8201567 | 20 |
| 15 | KSRGM | 3.2468 | 1.8019 | 55.0954 | 2.2388 | 2.4094 | 2.5919 | 5.8960 | 0.4886 | 16.0865 | 1.7874 | 0.9736 | 0.9605 | 0.1470449 | 16 |
| 16 | RMD | 2.0411 | 1.4287 | 53.5239 | 1.3097 | 1.3312 | 0.7194 | 4.6747 | 0.2609 | 13.0707 | 1.4523 | 0.9834 | 0.9751 | 0.1056358 | 14 |
| 17 | CT | 0.9229 | 0.9607 | 51.9769 | 0.7878 | 0.7889 | 0.0191 | 2.9636 | 0.0184 | 7.8468 | 0.9809 | 0.9933 | 0.9886 | 0.0724187 | 2 |
| 18 | Vtub | 2.0950 | 1.4474 | 52.9672 | 1.2106 | 1.2193 | 0.1150 | 4.4652 | 0.1989 | 11.6921 | 1.4615 | 0.9849 | 0.9741 | 0.1013477 | 12 |
| 19 | 3PFD | 1.2405 | 1.1138 | 52.9005 | 0.9290 | 0.9349 | 0.2134 | 3.4360 | 0.1165 | 9.8563 | 1.2320 | 0.9910 | 0.9847 | 0.0831768 | 7 |
| 20 | New Model | 0.8790 | 0.9376 | 52.0859 | 0.7662 | 0.7664 | 0.0149 | 2.8923 | 0.0149 | 7.6843 | 0.9605 | 0.9937 | 0.9891 | 0.0713073 | 1 |
| Time Index | Data Value | 95% | 99% | ||
|---|---|---|---|---|---|
| LCL | UCL | LCL | UCL | ||
| 1249 | 4 | 0 | 9.3745 | 0.1500 | 8.1220 |
| 4721 | 10 | 1.6579 | 17.6748 | 3.5727 | 15.7600 |
| 8786 | 14 | 4.4427 | 23.8028 | 6.7572 | 21.4884 |
| 13,669 | 17 | 7.1600 | 29.0935 | 9.7821 | 26.4714 |
| 19,094 | 23 | 9.5560 | 33.4429 | 12.4116 | 30.5873 |
| 24,750 | 24 | 11.5339 | 36.8805 | 14.5640 | 33.8504 |
| 32,299 | 26 | 13.5802 | 40.3256 | 16.7775 | 37.1283 |
| 40,594 | 30 | 15.2819 | 43.1205 | 18.6099 | 39.7925 |
| 49,476 | 31 | 16.6713 | 45.3623 | 20.1012 | 41.9324 |
| 55,596 | 31 | 17.4423 | 46.5924 | 20.9271 | 43.1076 |
| 58,061 | 32 | 17.7190 | 47.0315 | 21.2232 | 43.5273 |
| 58,588 | 33 | 17.7759 | 47.1217 | 21.2841 | 43.6135 |
| 58,633 | 33 | 17.7807 | 47.1293 | 21.2892 | 43.6208 |
© 2019 by the authors. Licensee MDPI, Basel, Switzerland. This article is an open access article distributed under the terms and conditions of the Creative Commons Attribution (CC BY) license (http://creativecommons.org/licenses/by/4.0/).
Share and Cite
Song, K.Y.; Chang, I.H.; Pham, H. A Testing Coverage Model Based on NHPP Software Reliability Considering the Software Operating Environment and the Sensitivity Analysis. Mathematics 2019, 7, 450. https://doi.org/10.3390/math7050450
Song KY, Chang IH, Pham H. A Testing Coverage Model Based on NHPP Software Reliability Considering the Software Operating Environment and the Sensitivity Analysis. Mathematics. 2019; 7(5):450. https://doi.org/10.3390/math7050450
Chicago/Turabian StyleSong, Kwang Yoon, In Hong Chang, and Hoang Pham. 2019. "A Testing Coverage Model Based on NHPP Software Reliability Considering the Software Operating Environment and the Sensitivity Analysis" Mathematics 7, no. 5: 450. https://doi.org/10.3390/math7050450
APA StyleSong, K. Y., Chang, I. H., & Pham, H. (2019). A Testing Coverage Model Based on NHPP Software Reliability Considering the Software Operating Environment and the Sensitivity Analysis. Mathematics, 7(5), 450. https://doi.org/10.3390/math7050450
