Enhancing Elephant Herding Optimization with Novel Individual Updating Strategies for Large-Scale Optimization Problems
Abstract
:1. Introduction
2. Related Work
3. Elephant Herd Optimization
- (1)
- Elephants belonging to different clans live together led by a matriarch. Each clan has a fixed number of elephants. For the purposes of modelling, we assume that each clan consists of an equal, unchanging number of elephants.
- (2)
- The positions of the elephants in a clan are updated based on their relationship to the matriarch. EHO models this behavior through an updating operator.
- (3)
- Mature male elephants leave their family groups to live alone. We assume that during each generation, a fixed number of male elephants leave their clans. Accordingly, EHO models the updating process using a separating operator.
- (4)
- Generally, the matriarch in each clan is the eldest female elephant. For the purposes of modelling and solving the optimization problems, the matriarch is considered the fittest elephant individual in the clan.
3.1. Clan Updating Operator
| Algorithm 1: Clan updating operator [12] |
| Begin |
| for ci = 1 to nClan (for all clans in elephant population) do |
| for j = 1 to nci (for all elephant individuals in clan ci) do |
| Update xci,j and generate xnew,ci,j according to (1). |
| if xci,j = xbest,ci then |
| Update xci,j and generate xnew,ci,j according to (2). |
| end if |
| end for j |
| end for ci |
| End. |
3.2. Separating Operator
| Algorithm 2: Separating operator |
| Begin |
| for ci =1 to nClan (all of the clans in the elephant population) do |
| Replace the worst elephant individual in clan ci using (4). |
| end for ci |
| End. |
3.3. Schematic Presentation of the Basic EHO Algorithm
| Algorithm 3: Elephant Herd Optimization (EHO) [12] |
| Begin |
| Step 1: Initialization. |
Set the generation counter t = 1.
|
| Step 2: Fitness evaluation. |
| Evaluate each elephant individual according to its position. |
| Step 3: While t < MaxGen do the following: |
| Sort all of the elephant individuals according to their fitness. |
| Save the nKEL elephant individuals. |
| Implement the clan updating operator as shown in Algorithm 1. |
| Implement the separating operator as shown in Algorithm 2. |
| Evaluate the population according to the newly updated positions. |
| Replace the worst elephant individuals with the nKEL saved ones. |
| Update the generation counter, t = t + 1. |
| Step 4: End while |
| Step 5: Output the best solution. |
| End. |
4. Improving EHO with Individual Updating Strategies
4.1. Case of k = 1
- (1)
- j = i;
- (2)
- j = r1, where r1 is an integer between 1 and NP that is selected randomly.
4.2. Case of k = 2
- (1)
- j1 = j2 = i;
- (2)
- j1 = r1, and j2 = r2, where r1 and r2 are integers between 1 and NP selected randomly.
4.3. Case of k = 3
- (1)
- j1 = j2 = j3 = i;
- (2)
- j1 = r1, j2 = r2, and j3 = r3, where r1∼r3 are integer numbers between 1 and NP selected at random.
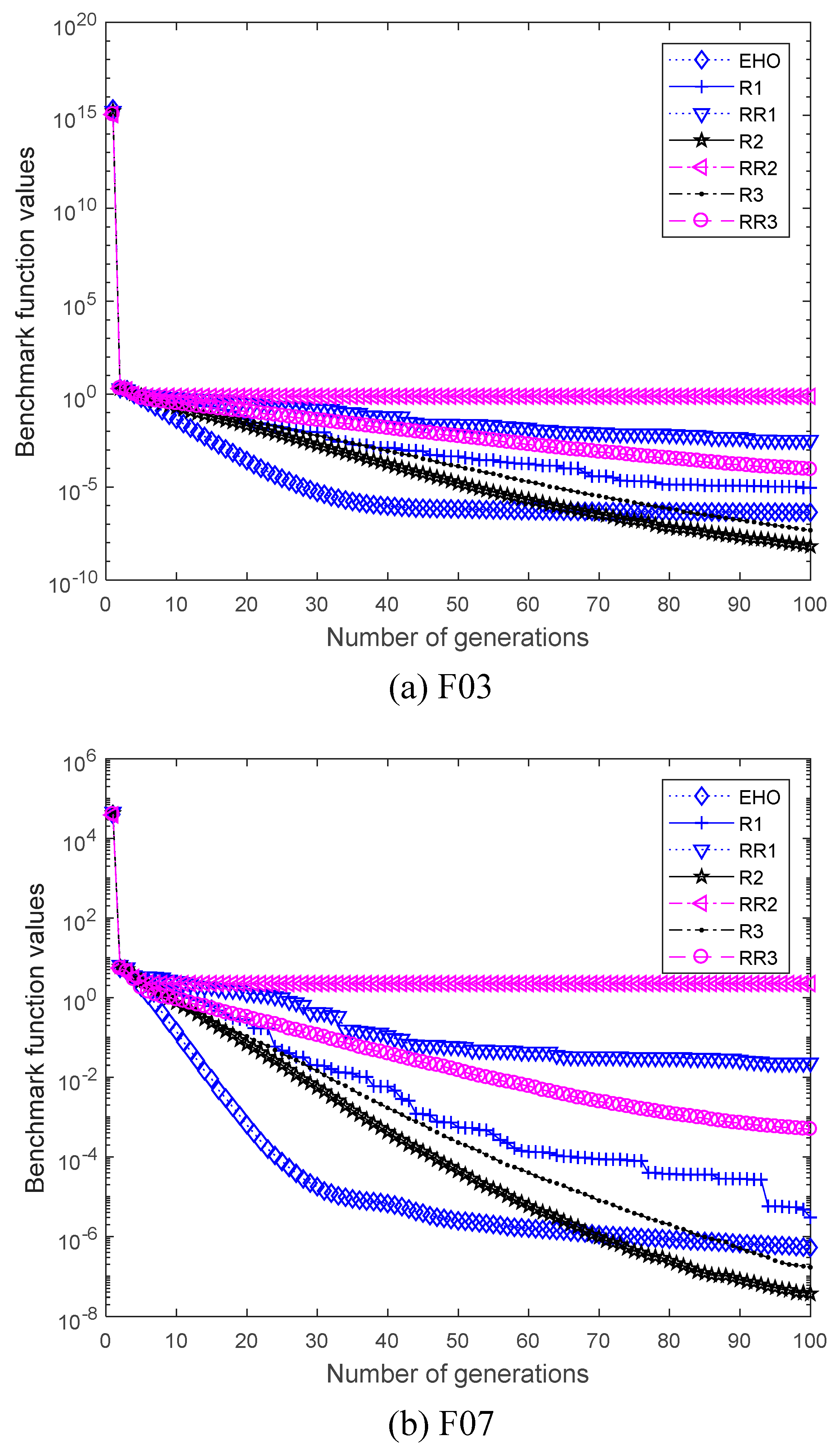
5. Simulation Results
5.1. Unconstrained Optimization
5.1.1. D = 50
5.1.2. D = 100
5.1.3. D = 200
5.1.4. D = 500
5.1.5. D = 1000
5.1.6. Summary of Function Values Obtained by Seven Variants of EHOs
5.2. Constrained Optimization
5.2.1. D = 50
5.2.2. D = 100
6. Conclusions
Author Contributions
Acknowledgments
Conflicts of Interest
References
- Wang, G.-G.; Tan, Y. Improving metaheuristic algorithms with information feedback models. IEEE Trans. Cybern. 2019, 49, 542–555. [Google Scholar] [CrossRef] [PubMed]
- Saleh, H.; Nashaat, H.; Saber, W.; Harb, H.M. IPSO task scheduling algorithm for large scale data in cloud computing environment. IEEE Access 2019, 7, 5412–5420. [Google Scholar] [CrossRef]
- Zhang, Y.F.; Chiang, H.D. A novel consensus-based particle swarm optimization-assisted trust-tech methodology for large-scale global optimization. IEEE Trans. Cybern. 2017, 47, 2717–2729. [Google Scholar] [PubMed]
- Kazimipour, B.; Omidvar, M.N.; Qin, A.K.; Li, X.; Yao, X. Bandit-based cooperative coevolution for tackling contribution imbalance in large-scale optimization problems. Appl. Soft Compt. 2019, 76, 265–281. [Google Scholar] [CrossRef]
- Jia, Y.-H.; Zhou, Y.-R.; Lin, Y.; Yu, W.-J.; Gao, Y.; Lu, L. A Distributed Cooperative Co-evolutionary CMA Evolution Strategy for Global Optimization of Large-Scale Overlapping Problems. IEEE Access 2019, 7, 19821–19834. [Google Scholar] [CrossRef]
- De Falco, I.; Della Cioppa, A.; Trunfio, G.A. Investigating surrogate-assisted cooperative coevolution for large-Scale global optimization. Inf. Sci. 2019, 482, 1–26. [Google Scholar] [CrossRef]
- Dhiman, G.; Kumar, V. Seagull optimization algorithm: Theory and its applications for large-scale industrial engineering problems. Knowl.-Based Syst. 2019, 165, 169–196. [Google Scholar] [CrossRef]
- Cravo, G.L.; Amaral, A.R.S. A GRASP algorithm for solving large-scale single row facility layout problems. Comput. Oper. Res. 2019, 106, 49–61. [Google Scholar] [CrossRef]
- Zhao, X.; Liang, J.; Dang, C. A stratified sampling based clustering algorithm for large-scale data. Knowl.-Based Syst. 2019, 163, 416–428. [Google Scholar] [CrossRef]
- Yildiz, Y.E.; Topal, A.O. Large Scale Continuous Global Optimization based on micro Differential Evolution with Local Directional Search. Inf. Sci. 2019, 477, 533–544. [Google Scholar] [CrossRef]
- Ge, Y.F.; Yu, W.J.; Lin, Y.; Gong, Y.J.; Zhan, Z.H.; Chen, W.N.; Zhang, J. Distributed differential evolution based on adaptive mergence and split for large-scale optimization. IEEE Trans. Cybern. 2017. [Google Scholar] [CrossRef]
- Wang, G.-G.; Deb, S.; Coelho, L.d.S. Elephant herding optimization. In Proceedings of the 2015 3rd International Symposium on Computational and Business Intelligence (ISCBI 2015), Bali, Indonesia, 7–9 December 2015; pp. 1–5. [Google Scholar]
- Wang, G.-G.; Deb, S.; Gao, X.-Z.; Coelho, L.d.S. A new metaheuristic optimization algorithm motivated by elephant herding behavior. Int. J. Bio-Inspired Comput. 2016, 8, 394–409. [Google Scholar] [CrossRef]
- Meena, N.K.; Parashar, S.; Swarnkar, A.; Gupta, N.; Niazi, K.R. Improved elephant herding optimization for multiobjective DER accommodation in distribution systems. IEEE Trans. Ind. Inform. 2018, 14, 1029–1039. [Google Scholar] [CrossRef]
- Jayanth, J.; Shalini, V.S.; Ashok Kumar, T.; Koliwad, S. Land-Use/Land-Cover Classification Using Elephant Herding Algorithm. J. Indian Soc. Remote Sens. 2019. [Google Scholar] [CrossRef]
- Rashwan, Y.I.; Elhosseini, M.A.; El Sehiemy, R.A.; Gao, X.Z. On the performance improvement of elephant herding optimization algorithm. Knowl.-Based Syst. 2019. [Google Scholar] [CrossRef]
- Correia, S.D.; Beko, M.; da Silva Cruz, L.A.; Tomic, S. Elephant Herding Optimization for Energy-Based Localization. Sensors 2018, 18, 2849. [Google Scholar]
- Jafari, M.; Salajegheh, E.; Salajegheh, J. An efficient hybrid of elephant herding optimization and cultural algorithm for optimal design of trusses. Eng. Comput.-Ger. 2018. [Google Scholar] [CrossRef]
- Hassanien, A.E.; Kilany, M.; Houssein, E.H.; AlQaheri, H. Intelligent human emotion recognition based on elephant herding optimization tuned support vector regression. Biomed. Signal Process. Control 2018, 45, 182–191. [Google Scholar] [CrossRef]
- Wang, G.-G.; Deb, S.; Cui, Z. Monarch butterfly optimization. Neural Comput. Appl. 2015. [Google Scholar] [CrossRef]
- Yi, J.-H.; Lu, M.; Zhao, X.-J. Quantum inspired monarch butterfly optimization for UCAV path planning navigation problem. Int. J. Bio-Inspired Comput. 2017. Available online: http://www.inderscience.com/info/ingeneral/forthcoming.php?jcode=ijbic (accessed on 30 March 2019).
- Wang, G.-G.; Chu, H.E.; Mirjalili, S. Three-dimensional path planning for UCAV using an improved bat algorithm. Aerosp. Sci. Technol. 2016, 49, 231–238. [Google Scholar] [CrossRef]
- Wang, G.; Guo, L.; Duan, H.; Liu, L.; Wang, H.; Shao, M. Path planning for uninhabited combat aerial vehicle using hybrid meta-heuristic DE/BBO algorithm. Adv. Sci. Eng. Med. 2012, 4, 550–564. [Google Scholar] [CrossRef]
- Feng, Y.; Wang, G.-G.; Deb, S.; Lu, M.; Zhao, X. Solving 0-1 knapsack problem by a novel binary monarch butterfly optimization. Neural Comput. Appl. 2017, 28, 1619–1634. [Google Scholar] [CrossRef]
- Feng, Y.; Yang, J.; Wu, C.; Lu, M.; Zhao, X.-J. Solving 0-1 knapsack problems by chaotic monarch butterfly optimization algorithm. Memetic Comput. 2018, 10, 135–150. [Google Scholar] [CrossRef]
- Feng, Y.; Wang, G.-G.; Li, W.; Li, N. Multi-strategy monarch butterfly optimization algorithm for discounted {0-1} knapsack problem. Neural Comput. Appl. 2018, 30, 3019–3036. [Google Scholar] [CrossRef]
- Feng, Y.; Yang, J.; He, Y.; Wang, G.-G. Monarch butterfly optimization algorithm with differential evolution for the discounted {0-1} knapsack problem. Acta Electron. Sin. 2018, 46, 1343–1350. [Google Scholar]
- Feng, Y.; Wang, G.-G.; Dong, J.; Wang, L. Opposition-based learning monarch butterfly optimization with Gaussian perturbation for large-scale 0-1 knapsack problem. Comput. Electr. Eng. 2018, 67, 454–468. [Google Scholar] [CrossRef]
- Wang, G.-G.; Zhao, X.; Deb, S. A novel monarch butterfly optimization with greedy strategy and self-adaptive crossover operator. In Proceedings of the 2015 2nd International Conference on Soft Computing & Machine Intelligence (ISCMI 2015), Hong Kong, 23–24 November 2015; pp. 45–50. [Google Scholar]
- Wang, G.-G.; Deb, S.; Zhao, X.; Cui, Z. A new monarch butterfly optimization with an improved crossover operator. Oper. Res. Int. J. 2018, 18, 731–755. [Google Scholar] [CrossRef]
- Wang, G.-G.; Hao, G.-S.; Cheng, S.; Qin, Q. A discrete monarch butterfly optimization for Chinese TSP problem. In Proceedings of the Advances in Swarm Intelligence: 7th International Conference, ICSI 2016, Part I, Bali, Indonesia, 25–30 June 2016; Tan, Y., Shi, Y., Niu, B., Eds.; Springer International Publishing: Cham, Switzerland, 2016; Volume 9712, pp. 165–173. [Google Scholar]
- Wang, G.-G.; Hao, G.-S.; Cheng, S.; Cui, Z. An improved monarch butterfly optimization with equal partition and F/T mutation. In Proceedings of the Eight International Conference on Swarm Intelligence (ICSI 2017), Fukuoka, Japan, 27 July–1 August 2017; pp. 106–115. [Google Scholar]
- Wang, G.-G. Moth search algorithm: A bio-inspired metaheuristic algorithm for global optimization problems. Memetic Comput. 2018, 10, 151–164. [Google Scholar] [CrossRef]
- Feng, Y.; An, H.; Gao, X. The importance of transfer function in solving set-union knapsack problem based on discrete moth search algorithm. Mathematics 2019, 7, 17. [Google Scholar] [CrossRef]
- Elaziz, M.A.; Xiong, S.; Jayasena, K.P.N.; Li, L. Task scheduling in cloud computing based on hybrid moth search algorithm and differential evolution. Knowl.-Based Syst. 2019. [Google Scholar] [CrossRef]
- Feng, Y.; Wang, G.-G. Binary moth search algorithm for discounted {0-1} knapsack problem. IEEE Access 2018, 6, 10708–10719. [Google Scholar] [CrossRef]
- Gandomi, A.H.; Alavi, A.H. Krill herd: A new bio-inspired optimization algorithm. Commun. Nonlinear Sci. Numer. Simulat. 2012, 17, 4831–4845. [Google Scholar] [CrossRef]
- Wang, G.-G.; Gandomi, A.H.; Alavi, A.H.; Hao, G.-S. Hybrid krill herd algorithm with differential evolution for global numerical optimization. Neural Comput. Appl. 2014, 25, 297–308. [Google Scholar] [CrossRef]
- Wang, G.-G.; Gandomi, A.H.; Alavi, A.H. Stud krill herd algorithm. Neurocomputing 2014, 128, 363–370. [Google Scholar] [CrossRef]
- Wang, G.-G.; Gandomi, A.H.; Alavi, A.H. An effective krill herd algorithm with migration operator in biogeography-based optimization. Appl. Math. Model. 2014, 38, 2454–2462. [Google Scholar] [CrossRef]
- Guo, L.; Wang, G.-G.; Gandomi, A.H.; Alavi, A.H.; Duan, H. A new improved krill herd algorithm for global numerical optimization. Neurocomputing 2014, 138, 392–402. [Google Scholar] [CrossRef]
- Wang, G.-G.; Deb, S.; Gandomi, A.H.; Alavi, A.H. Opposition-based krill herd algorithm with Cauchy mutation and position clamping. Neurocomputing 2016, 177, 147–157. [Google Scholar] [CrossRef]
- Wang, G.-G.; Gandomi, A.H.; Alavi, A.H.; Deb, S. A hybrid method based on krill herd and quantum-behaved particle swarm optimization. Neural Comput. Appl. 2016, 27, 989–1006. [Google Scholar] [CrossRef]
- Wang, G.-G.; Gandomi, A.H.; Yang, X.-S.; Alavi, A.H. A new hybrid method based on krill herd and cuckoo search for global optimization tasks. Int. J. Bio-Inspired Comput. 2016, 8, 286–299. [Google Scholar] [CrossRef]
- Abdel-Basset, M.; Wang, G.-G.; Sangaiah, A.K.; Rushdy, E. Krill herd algorithm based on cuckoo search for solving engineering optimization problems. Multimed. Tools Appl. 2017. [Google Scholar] [CrossRef]
- Wang, G.-G.; Gandomi, A.H.; Alavi, A.H.; Deb, S. A multi-stage krill herd algorithm for global numerical optimization. Int. J. Artif. Intell. Tools 2016, 25, 1550030. [Google Scholar] [CrossRef]
- Wang, G.-G.; Gandomi, A.H.; Alavi, A.H.; Gong, D. A comprehensive review of krill herd algorithm: Variants, hybrids and applications. Artif. Intell. Rev. 2019, 51, 119–148. [Google Scholar] [CrossRef]
- Karaboga, D.; Basturk, B. A powerful and efficient algorithm for numerical function optimization: Artificial bee colony (ABC) algorithm. J. Glob. Optim. 2007, 39, 459–471. [Google Scholar] [CrossRef]
- Wang, H.; Yi, J.-H. An improved optimization method based on krill herd and artificial bee colony with information exchange. Memetic Comput. 2018, 10, 177–198. [Google Scholar] [CrossRef]
- Liu, F.; Sun, Y.; Wang, G.-G.; Wu, T. An artificial bee colony algorithm based on dynamic penalty and chaos search for constrained optimization problems. Arab. J. Sci. Eng. 2018, 43, 7189–7208. [Google Scholar] [CrossRef]
- Kennedy, J.; Eberhart, R. Particle swarm optimization. In Proceedings of the IEEE International Conference on Neural Networks, Perth, Australia, 27 November–1 December 1995; pp. 1942–1948. [Google Scholar]
- Helwig, S.; Branke, J.; Mostaghim, S. Experimental analysis of bound handling techniques in particle swarm optimization. IEEE Trans. Evol. Comput. 2012, 17, 259–271. [Google Scholar] [CrossRef]
- Li, J.; Zhang, J.; Jiang, C.; Zhou, M. Composite particle swarm optimizer with historical memory for function optimization. IEEE Trans. Cybern. 2015, 45, 2350–2363. [Google Scholar] [CrossRef]
- Gong, M.; Cai, Q.; Chen, X.; Ma, L. Complex network clustering by multiobjective discrete particle swarm optimization based on decomposition. IEEE Trans. Evol. Comput. 2014, 18, 82–97. [Google Scholar] [CrossRef]
- Yuan, Y.; Ji, B.; Yuan, X.; Huang, Y. Lockage scheduling of Three Gorges-Gezhouba dams by hybrid of chaotic particle swarm optimization and heuristic-adjusted strategies. Appl. Math. Comput. 2015, 270, 74–89. [Google Scholar] [CrossRef]
- Zhang, Y.; Gong, D.W.; Cheng, J. Multi-objective particle swarm optimization approach for cost-based feature selection in classification. IEEE/ACM Trans. Comput. Biol. Bioinform. 2017, 14, 64–75. [Google Scholar] [CrossRef]
- Yang, X.-S.; Deb, S. Cuckoo search via Lévy flights. In Proceedings of the World Congress on Nature & Biologically Inspired Computing (NaBIC 2009), Coimbatore, India, 9–11 December 2009; pp. 210–214. [Google Scholar]
- Wang, G.-G.; Gandomi, A.H.; Zhao, X.; Chu, H.E. Hybridizing harmony search algorithm with cuckoo search for global numerical optimization. Soft Comput. 2016, 20, 273–285. [Google Scholar] [CrossRef]
- Wang, G.-G.; Deb, S.; Gandomi, A.H.; Zhang, Z.; Alavi, A.H. Chaotic cuckoo search. Soft Comput. 2016, 20, 3349–3362. [Google Scholar] [CrossRef]
- Cui, Z.; Sun, B.; Wang, G.-G.; Xue, Y.; Chen, J. A novel oriented cuckoo search algorithm to improve DV-Hop performance for cyber-physical systems. J. Parallel Distrib. Comput. 2017, 103, 42–52. [Google Scholar] [CrossRef]
- Li, J.; Li, Y.-X.; Tian, S.-S.; Zou, J. Dynamic cuckoo search algorithm based on Taguchi opposition-based search. Int. J. Bio-Inspired Comput. 2019, 13, 59–69. [Google Scholar] [CrossRef]
- Baluja, S. Population-Based Incremental Learning: A Method for Integrating Genetic Search Based Function Optimization and Competitive Learning; CMU-CS-94-163; Carnegie Mellon University: Pittsburgh, PA, USA, 1994. [Google Scholar]
- Storn, R.; Price, K. Differential evolution-a simple and efficient heuristic for global optimization over continuous spaces. J. Glob. Optim. 1997, 11, 341–359. [Google Scholar] [CrossRef]
- Das, S.; Suganthan, P.N. Differential evolution: A survey of the state-of-the-art. IEEE Trans. Evol. Comput. 2011, 15, 4–31. [Google Scholar] [CrossRef]
- Li, Y.-L.; Zhan, Z.-H.; Gong, Y.-J.; Chen, W.-N.; Zhang, J.; Li, Y. Differential evolution with an evolution path: A deep evolutionary algorithm. IEEE Trans. Cybern. 2015, 45, 1798–1810. [Google Scholar] [CrossRef] [PubMed]
- Teoh, B.E.; Ponnambalam, S.G.; Kanagaraj, G. Differential evolution algorithm with local search for capacitated vehicle routing problem. Int. J. Bio-Inspired Comput. 2015, 7, 321–342. [Google Scholar] [CrossRef]
- Beyer, H.; Schwefel, H. Natural Computing; Kluwer Academic Publishers: Dordrecht, The Netherlands, 2002. [Google Scholar]
- Reddy, S.S.; Panigrahi, B.; Debchoudhury, S.; Kundu, R.; Mukherjee, R. Short-term hydro-thermal scheduling using CMA-ES with directed target to best perturbation scheme. Int. J. Bio-Inspired Comput. 2015, 7, 195–208. [Google Scholar] [CrossRef]
- Gandomi, A.H.; Yang, X.-S.; Alavi, A.H. Mixed variable structural optimization using firefly algorithm. Comput. Struct. 2011, 89, 2325–2336. [Google Scholar] [CrossRef]
- Yang, X.S. Firefly algorithm, stochastic test functions and design optimisation. Int. J. Bio-Inspired Comput. 2010, 2, 78–84. [Google Scholar] [CrossRef]
- Wang, G.-G.; Guo, L.; Duan, H.; Wang, H. A new improved firefly algorithm for global numerical optimization. J. Comput. Theor. Nanosci. 2014, 11, 477–485. [Google Scholar] [CrossRef]
- Zhang, Y.; Song, X.-F.; Gong, D.-W. A return-cost-based binary firefly algorithm for feature selection. Inf. Sci. 2017, 418–419, 561–574. [Google Scholar] [CrossRef]
- Wang, G.-G.; Deb, S.; Coelho, L.d.S. Earthworm optimization algorithm: A bio-inspired metaheuristic algorithm for global optimization problems. Int. J. Bio-Inspired Comput. 2018, 12, 1–23. [Google Scholar] [CrossRef]
- Goldberg, D.E. Genetic Algorithms in Search, Optimization and Machine Learning; Addison-Wesley: New York, NY, USA, 1998. [Google Scholar]
- Sun, X.; Gong, D.; Jin, Y.; Chen, S. A new surrogate-assisted interactive genetic algorithm with weighted semisupervised learning. IEEE Trans. Cybern. 2013, 43, 685–698. [Google Scholar] [PubMed]
- Garg, H. A hybrid PSO-GA algorithm for constrained optimization problems. Appl. Math. Comput. 2016, 274, 292–305. [Google Scholar] [CrossRef]
- Dorigo, M.; Stutzle, T. Ant Colony Optimization; MIT Press: Cambridge, MA, USA, 2004. [Google Scholar]
- Ciornei, I.; Kyriakides, E. Hybrid ant colony-genetic algorithm (GAAPI) for global continuous optimization. IEEE Trans. Syst. Man Cybern. Part B Cybern. 2012, 42, 234–245. [Google Scholar] [CrossRef] [PubMed]
- Sun, X.; Zhang, Y.; Ren, X.; Chen, K. Optimization deployment of wireless sensor networks based on culture-ant colony algorithm. Appl. Math. Comput. 2015, 250, 58–70. [Google Scholar] [CrossRef]
- Wang, G.-G.; Guo, L.; Gandomi, A.H.; Hao, G.-S.; Wang, H. Chaotic Krill Herd algorithm. Inf. Sci. 2014, 274, 17–34. [Google Scholar] [CrossRef]
- Li, J.; Tang, Y.; Hua, C.; Guan, X. An improved krill herd algorithm: Krill herd with linear decreasing step. Appl. Math. Comput. 2014, 234, 356–367. [Google Scholar] [CrossRef]
- Mehrabian, A.R.; Lucas, C. A novel numerical optimization algorithm inspired from weed colonization. Ecol. Inform. 2006, 1, 355–366. [Google Scholar] [CrossRef]
- Sang, H.-Y.; Duan, P.-Y.; Li, J.-Q. An effective invasive weed optimization algorithm for scheduling semiconductor final testing problem. Swarm Evol. Comput. 2018, 38, 42–53. [Google Scholar] [CrossRef]
- Sang, H.-Y.; Pan, Q.-K.; Duan, P.-Y.; Li, J.-Q. An effective discrete invasive weed optimization algorithm for lot-streaming flowshop scheduling problems. J. Intell. Manuf. 2015, 29, 1337–1349. [Google Scholar] [CrossRef]
- Khatib, W.; Fleming, P. The stud GA: A mini revolution? In Proceedings of the 5th International Conference on Parallel Problem Solving from Nature, New York, NY, USA, 27–30 September 1998; pp. 683–691. [Google Scholar]
- Simon, D. Biogeography-based optimization. IEEE Trans. Evol. Comput. 2008, 12, 702–713. [Google Scholar] [CrossRef]
- Simon, D.; Ergezer, M.; Du, D.; Rarick, R. Markov models for biogeography-based optimization. IEEE Trans. Syst. Man Cybern. Part B Cybern. 2011, 41, 299–306. [Google Scholar] [CrossRef]
- Geem, Z.W.; Kim, J.H.; Loganathan, G.V. A new heuristic optimization algorithm: Harmony search. Simulation 2001, 76, 60–68. [Google Scholar] [CrossRef]
- Bilbao, M.N.; Ser, J.D.; Salcedo-Sanz, S.; Casanova-Mateo, C. On the application of multi-objective harmony search heuristics to the predictive deployment of firefighting aircrafts: A realistic case study. Int. J. Bio-Inspired Comput. 2015, 7, 270–284. [Google Scholar] [CrossRef]
- Amaya, I.; Correa, R. Finding resonant frequencies of microwave cavities through a modified harmony search algorithm. Int. J. Bio-Inspired Comput. 2015, 7, 285–295. [Google Scholar] [CrossRef]
- Yang, X.S.; Gandomi, A.H. Bat algorithm: A novel approach for global engineering optimization. Eng. Comput. 2012, 29, 464–483. [Google Scholar] [CrossRef]
- Xue, F.; Cai, Y.; Cao, Y.; Cui, Z.; Li, F. Optimal parameter settings for bat algorithm. Int. J. Bio-Inspired Comput. 2015, 7, 125–128. [Google Scholar] [CrossRef]
- Wu, G.; Shen, X.; Li, H.; Chen, H.; Lin, A.; Suganthan, P.N. Ensemble of differential evolution variants. Inf. Sci. 2018, 423, 172–186. [Google Scholar] [CrossRef]
- Wang, G.-G.; Lu, M.; Zhao, X.-J. An improved bat algorithm with variable neighborhood search for global optimization. In Proceedings of the 2016 IEEE Congress on Evolutionary Computation (IEEE CEC 2016), Vancouver, BC, Canada, 25–29 July 2016; pp. 1773–1778. [Google Scholar]
- Duan, H.; Zhao, W.; Wang, G.; Feng, X. Test-sheet composition using analytic hierarchy process and hybrid metaheuristic algorithm TS/BBO. Math. Probl. Eng. 2012, 2012, 712752. [Google Scholar] [CrossRef]
- Pan, Q.-K.; Gao, L.; Wang, L.; Liang, J.; Li, X.-Y. Effective heuristics and metaheuristics to minimize total flowtime for the distributed permutation flowshop problem. Expert Syst. Appl. 2019. [Google Scholar] [CrossRef]
- Peng, K.; Pan, Q.-K.; Gao, L.; Li, X.; Das, S.; Zhang, B. A multi-start variable neighbourhood descent algorithm for hybrid flowshop rescheduling. Swarm Evol. Comput. 2019, 45, 92–112. [Google Scholar] [CrossRef]
- Zhang, Y.; Gong, D.; Hu, Y.; Zhang, W. Feature selection algorithm based on bare bones particle swarm optimization. Neurocomputing 2015, 148, 150–157. [Google Scholar] [CrossRef]
- Zhang, Y.; Gong, D.-W.; Sun, J.-Y.; Qu, B.-Y. A decomposition-based archiving approach for multi-objective evolutionary optimization. Inf. Sci. 2018, 430–431, 397–413. [Google Scholar] [CrossRef]
- Logesh, R.; Subramaniyaswamy, V.; Vijayakumar, V.; Gao, X.-Z.; Wang, G.-G. Hybrid bio-inspired user clustering for the generation of diversified recommendations. Neural Comput. Appl. 2019. [Google Scholar] [CrossRef]
- Wang, G.-G.; Cai, X.; Cui, Z.; Min, G.; Chen, J. High performance computing for cyber physical social systems by using evolutionary multi-objective optimization algorithm. IEEE Trans. Emerg. Top. Comput. 2017. [Google Scholar] [CrossRef]
- Zou, D.; Li, S.; Wang, G.-G.; Li, Z.; Ouyang, H. An improved differential evolution algorithm for the economic load dispatch problems with or without valve-point effects. Appl. Energ. 2016, 181, 375–390. [Google Scholar] [CrossRef]
- Rizk-Allah, R.M.; El-Sehiemy, R.A.; Wang, G.-G. A novel parallel hurricane optimization algorithm for secure emission/economic load dispatch solution. Appl. Soft Compt. 2018, 63, 206–222. [Google Scholar] [CrossRef]
- Yi, J.-H.; Wang, J.; Wang, G.-G. Improved probabilistic neural networks with self-adaptive strategies for transformer fault diagnosis problem. Adv. Mech. Eng. 2016, 8, 1687814015624832. [Google Scholar] [CrossRef]
- Sang, H.-Y.; Pan, Q.-K.; Li, J.-Q.; Wang, P.; Han, Y.-Y.; Gao, K.-Z.; Duan, P. Effective invasive weed optimization algorithms for distributed assembly permutation flowshop problem with total flowtime criterion. Swarm Evol. Comput. 2019, 44, 64–73. [Google Scholar] [CrossRef]
- Yi, J.-H.; Xing, L.-N.; Wang, G.-G.; Dong, J.; Vasilakos, A.V.; Alavi, A.H.; Wang, L. Behavior of crossover operators in NSGA-III for large-scale optimization problems. Inf. Sci. 2018. [Google Scholar] [CrossRef]
- Yi, J.-H.; Deb, S.; Dong, J.; Alavi, A.H.; Wang, G.-G. An improved NSGA-III Algorithm with adaptive mutation operator for big data optimization problems. Future Gener. Comput. Syst. 2018, 88, 571–585. [Google Scholar] [CrossRef]
- Liu, K.; Gong, D.; Meng, F.; Chen, H.; Wang, G.-G. Gesture segmentation based on a two-phase estimation of distribution algorithm. Inf. Sci. 2017, 394–395, 88–105. [Google Scholar] [CrossRef]
- Wang, G.-G.; Guo, L.; Duan, H.; Liu, L.; Wang, H. The model and algorithm for the target threat assessment based on Elman_AdaBoost strong predictor. Acta Electron. Sin. 2012, 40, 901–906. [Google Scholar]
- Wang, G.; Guo, L.; Duan, H. Wavelet neural network using multiple wavelet functions in target threat assessment. Sci. World J. 2013, 2013, 632437. [Google Scholar] [CrossRef] [PubMed]
- Nan, X.; Bao, L.; Zhao, X.; Zhao, X.; Sangaiah, A.K.; Wang, G.-G.; Ma, Z. EPuL: An enhanced positive-unlabeled learning algorithm for the prediction of pupylation sites. Molecules 2017, 22, 1463. [Google Scholar] [CrossRef] [PubMed]
- Zou, D.-X.; Deb, S.; Wang, G.-G. Solving IIR system identification by a variant of particle swarm optimization. Neural Comput. Appl. 2018, 30, 685–698. [Google Scholar] [CrossRef]
- Rizk-Allah, R.M.; El-Sehiemy, R.A.; Deb, S.; Wang, G.-G. A novel fruit fly framework for multi-objective shape design of tubular linear synchronous motor. J. Supercomput. 2017, 73, 1235–1256. [Google Scholar] [CrossRef]
- Sun, J.; Gong, D.; Li, J.; Wang, G.-G.; Zeng, X.-J. Interval multi-objective optimization with memetic algorithms. IEEE Trans. Cybern. 2019. [Google Scholar] [CrossRef] [PubMed]
- Liu, Y.; Gong, D.; Sun, X.; Zhang, Y. Many-objective evolutionary optimization based on reference points. Appl. Soft Compt. 2017, 50, 344–355. [Google Scholar] [CrossRef]
- Gong, D.; Liu, Y.; Yen, G.G. A Meta-Objective Approach for Many-Objective Evolutionary Optimization. Evol. Comput. 2018. [Google Scholar] [CrossRef]
- Gong, D.; Sun, J.; Miao, Z. A set-based genetic algorithm for interval many-objective optimization problems. IEEE Trans. Evol. Comput. 2018, 22, 47–60. [Google Scholar] [CrossRef]
- Yao, X.; Liu, Y.; Lin, G. Evolutionary programming made faster. IEEE Trans. Evol. Comput. 1999, 3, 82–102. [Google Scholar]
- Yang, X.-S.; Cui, Z.; Xiao, R.; Gandomi, A.H.; Karamanoglu, M. Swarm Intelligence and Bio-Inspired Computation; Elsevier: Waltham, MA, USA, 2013. [Google Scholar]
- Wang, G.; Guo, L.; Wang, H.; Duan, H.; Liu, L.; Li, J. Incorporating mutation scheme into krill herd algorithm for global numerical optimization. Neural Comput. Appl. 2014, 24, 853–871. [Google Scholar] [CrossRef]
- Wu, G.; Mallipeddi, R.; Suganthan, P.N. Problem Definitions and Evaluation Criteria for the CEC 2017 Competition on Constrained Real-Parameter Optimization; National University of Defense Technology: Changsha, China; Kyungpook National University: Daegu, Korea; Nanyang Technological University: Singapore, 2017. [Google Scholar]















| No. | Name | No. | Name |
|---|---|---|---|
| F01 | Ackley | F09 | Rastrigin |
| F02 | Alpine | F10 | Schwefel 2.26 |
| F03 | Brown | F11 | Schwefel 1.2 |
| F04 | Holzman 2 function | F12 | Schwefel 2.22 |
| F05 | Levy | F13 | Schwefel 2.21 |
| F06 | Penalty #1 | F14 | Sphere |
| F07 | Powell | F15 | Sum function |
| F08 | Quartic with noise | F16 | Zakharov |
| EHO | R1 | RR1 | R2 | RR2 | R3 | RR3 | |
|---|---|---|---|---|---|---|---|
| F01 | 2.57 × 10−4 | 7.11 × 10−4 | 0.05 | 8.38 × 10−5 | 1.57 | 1.53 × 10−4 | 0.01 |
| F02 | 1.04 × 10−4 | 2.69 × 10−4 | 0.01 | 2.74 × 10−5 | 0.23 | 5.13 × 10−5 | 2.38 × 10−3 |
| F03 | 4.41 × 10−7 | 9.16 × 10−6 | 3.37 × 10−3 | 6.14 × 10−9 | 0.76 | 4.32 × 10−8 | 8.25 × 10−5 |
| F04 | 1.50 × 10−15 | 4.97 × 10−11 | 3.58 × 10−6 | 2.27 × 10−16 | 0.03 | 3.38 × 10−16 | 1.82 × 10−9 |
| F05 | 4.49 | 4.25 | 3.95 | 4.43 | 4.89 | 4.44 | 4.50 |
| F06 | 1.22 | 1.06 | 1.62 | 1.72 | 2.01 | 1.76 | 1.79 |
| F07 | 5.13 × 10−7 | 2.55 × 10−6 | 0.02 | 3.50 × 10−8 | 2.25 | 1.51 × 10−7 | 4.85 × 10−4 |
| F08 | 2.57 × 10−16 | 1.24 × 10−15 | 7.23 × 10−9 | 2.21 × 10−16 | 1.72 × 10−5 | 2.21 × 10−16 | 4.03 × 10−13 |
| F09 | 2.59 × 10−6 | 6.86 × 10−5 | 0.03 | 9.83 × 10−8 | 9.28 | 5.06 × 10−7 | 3.92 × 10−3 |
| F10 | 1.65 × 104 | 1.64 × 104 | 1.63 × 104 | 1.65 × 104 | 1.61 × 104 | 1.64 × 104 | 1.64 × 104 |
| F11 | 1.44 × 10−5 | 4.47 × 10−4 | 0.36 | 1.02 × 10−6 | 49.04 | 3.52 × 10−6 | 2.18 |
| F12 | 1.07 × 10−3 | 3.81 × 10−3 | 0.14 | 2.96 × 10−4 | 2.37 | 5.31 × 10−4 | 0.02 |
| F13 | 6.69 × 10−4 | 1.34 × 10−3 | 0.07 | 1.52 × 10−4 | 1.21 | 3.05 × 10−4 | 0.01 |
| F14 | 1.27 × 10−8 | 1.63 × 10−7 | 3.85 × 10−4 | 7.00 × 10−10 | 0.04 | 2.50 × 10−9 | 3.02 × 10−6 |
| F15 | 6.70 × 10−7 | 1.40 × 10−5 | 7.03 × 10−3 | 4.76 × 10−8 | 3.61 | 1.77 × 10−7 | 9.87 × 10−4 |
| F16 | 1.28 × 10−3 | 0.30 | 512.90 | 3.00 × 10−5 | 3.87 × 107 | 1.71 × 10−4 | 0.56 |
| TOTAL | 0 | 1 | 1 | 14 | 0 | 0 | 0 |
| EHO | R1 | RR1 | R2 | RR2 | R3 | RR3 | |
|---|---|---|---|---|---|---|---|
| F01 | 2.39 × 10−5 | 9.89 × 10−4 | 0.06 | 3.60 × 10−5 | 0.22 | 4.89 × 10−5 | 0.01 |
| F02 | 1.37 × 10−5 | 3.32 × 10−4 | 0.01 | 1.14 × 10−5 | 0.04 | 1.38 × 10−5 | 2.17 × 10−3 |
| F03 | 1.55 × 10−8 | 3.34 × 10−5 | 6.16 × 10−3 | 3.72 × 10−9 | 0.07 | 3.52 × 10−8 | 7.80 × 10−5 |
| F04 | 4.50 × 10−16 | 2.49 × 10−10 | 1.08 × 10−5 | 6.72 × 10−18 | 0.01 | 2.92 × 10−16 | 5.64 × 10−9 |
| F05 | 0.16 | 0.26 | 0.52 | 0.30 | 0.20 | 0.30 | 0.33 |
| F06 | 0.23 | 0.18 | 0.41 | 0.28 | 0.32 | 0.25 | 0.27 |
| F07 | 1.40 × 10−7 | 5.25 × 10−6 | 0.04 | 2.71 × 10−8 | 0.76 | 7.78 × 10−8 | 1.58 × 10−3 |
| F08 | 6.86 × 10−18 | 3.99 × 10−15 | 1.96 × 10−8 | 1.68 × 10−20 | 6.10 × 10−6 | 1.26 × 10−19 | 1.17 × 10−12 |
| F09 | 4.61 × 10−7 | 1.75 × 10−4 | 0.09 | 6.36 × 10−8 | 1.60 | 3.11 × 10−7 | 0.02 |
| F10 | 444.40 | 591.40 | 502.50 | 506.70 | 486.40 | 454.70 | 349.00 |
| F11 | 3.73 × 10−6 | 1.98 × 10−3 | 0.71 | 8.92 × 10−7 | 29.12 | 2.30 × 10−6 | 9.49 |
| F12 | 1.03 × 10−4 | 5.54 × 10−3 | 0.15 | 1.03 × 10−4 | 0.28 | 1.21 × 10−4 | 0.01 |
| F13 | 9.58 × 10−5 | 1.97 × 10−3 | 0.07 | 5.39 × 10−5 | 0.15 | 6.84 × 10−5 | 6.05 × 10−3 |
| F14 | 2.07 × 10−9 | 5.02 × 10−7 | 1.09 × 10−3 | 6.10 × 10−10 | 0.01 | 2.04 × 10−9 | 3.90 × 10−6 |
| F15 | 1.00 × 10−7 | 4.76 × 10−5 | 0.02 | 3.41 × 10−8 | 0.73 | 8.84 × 10−8 | 3.40 × 10−3 |
| F16 | 8.21 × 10−4 | 1.43 | 1.23 × 103 | 2.06 × 10−5 | 1.92 × 107 | 1.21 × 10−4 | 0.44 |
| TOTAL | 3 | 1 | 0 | 11 | 0 | 0 | 1 |
| EHO | R1 | RR1 | R2 | RR2 | R3 | RR3 | |
|---|---|---|---|---|---|---|---|
| F01 | 3.22 × 10−4 | 6.27 × 10−4 | 0.12 | 6.92 × 10−5 | 1.70 | 1.78 × 10−4 | 0.01 |
| F02 | 2.55 × 10−4 | 6.86 × 10−4 | 0.04 | 6.28 × 10−5 | 0.48 | 1.08 × 10−4 | 4.78 × 10−3 |
| F03 | 9.83 × 10−7 | 2.65 × 10−5 | 1.27 × 10−3 | 1.55 × 10−8 | 1.50 | 9.96 × 10−8 | 2.01 × 10−4 |
| F04 | 1.18 × 10−14 | 1.85 × 10−9 | 7.43 × 10−6 | 2.55 × 10−16 | 0.13 | 7.25 × 10−16 | 1.04 × 10−9 |
| F05 | 9.19 | 9.01 | 8.41 | 9.22 | 9.51 | 9.07 | 9.26 |
| F06 | 3.11 | 2.91 | 3.89 | 3.74 | 4.30 | 3.80 | 3.80 |
| F07 | 2.56 × 10−6 | 4.65 × 10−5 | 0.02 | 7.34 × 10−8 | 5.33 | 3.31 × 10−7 | 3.35 × 10−3 |
| F08 | 4.18 × 10−16 | 1.13 × 10−13 | 1.38 × 10−7 | 2.21 × 10−16 | 8.16 × 10−5 | 2.24 × 10−16 | 3.03 × 10−12 |
| F09 | 8.20 × 10−6 | 4.58 × 10−5 | 0.08 | 2.47 × 10−7 | 19.19 | 1.05 × 10−6 | 1.30 × 10−3 |
| F10 | 3.58 × 104 | 3.56 × 104 | 3.50 × 104 | 3.55 × 104 | 3.59 × 104 | 3.56 × 104 | 3.68 × 104 |
| F11 | 6.15 × 10−5 | 4.45 × 10−3 | 3.54 | 5.51 × 10−6 | 200.20 | 1.74 × 10−5 | 0.07 |
| F12 | 2.53 × 10−3 | 5.37 × 10−3 | 0.26 | 5.94 × 10−4 | 5.27 | 1.04 × 10−3 | 0.05 |
| F13 | 8.12 × 10−4 | 1.50 × 10−3 | 0.06 | 1.72 × 10−4 | 1.46 | 3.52 × 10−4 | 0.02 |
| F14 | 3.99 × 10−8 | 1.09 × 10−6 | 5.59 × 10−4 | 1.23 × 10−9 | 0.09 | 4.99 × 10−9 | 8.68 × 10−6 |
| F15 | 4.45 × 10−6 | 5.90 × 10−4 | 0.11 | 2.52 × 10−7 | 15.00 | 8.77 × 10−7 | 1.83 × 10−3 |
| F16 | 0.04 | 2.20 | 7.85 × 105 | 7.09 × 10−4 | 1.58 × 1010 | 3.31 × 10−3 | 987.40 |
| TOTAL | 1 | 1 | 1 | 13 | 0 | 0 | 0 |
| EHO | R1 | RR1 | R2 | RR2 | R3 | RR3 | |
|---|---|---|---|---|---|---|---|
| F01 | 1.85 × 10−5 | 8.00 × 10−4 | 0.38 | 2.47 × 10−5 | 0.12 | 4.83 × 10−5 | 0.01 |
| F02 | 1.24 × 10−5 | 1.10 × 10−3 | 0.08 | 2.65 × 10−5 | 0.08 | 3.99 × 10−5 | 3.78 × 10−3 |
| F03 | 2.22 × 10−8 | 9.04 × 10−5 | 1.77 × 10−3 | 8.47 × 10−9 | 0.21 | 4.81 × 10−8 | 1.77 × 10−4 |
| F04 | 2.03 × 10−15 | 1.02 × 10−8 | 2.98 × 10−5 | 3.90 × 10−17 | 0.05 | 6.76 × 10−16 | 4.03 × 10−9 |
| F05 | 0.11 | 0.29 | 0.76 | 0.25 | 0.10 | 0.31 | 0.25 |
| F06 | 0.31 | 0.33 | 0.38 | 0.29 | 0.41 | 0.25 | 0.29 |
| F07 | 3.85 × 10−7 | 1.44 × 10−4 | 0.04 | 6.16 × 10−8 | 0.95 | 1.70 × 10−7 | 0.01 |
| F08 | 2.21 × 10−17 | 5.63 × 10−13 | 4.37 × 10−7 | 4.23 × 10−20 | 3.09 × 10−5 | 3.81 × 10−19 | 9.87 × 10−12 |
| F09 | 8.05 × 10−7 | 1.53 × 10−4 | 0.18 | 1.46 × 10−7 | 3.21 | 6.43 × 10−7 | 5.79 × 10−4 |
| F10 | 733.60 | 769.20 | 834.60 | 606.00 | 547.10 | 725.00 | 621.20 |
| F11 | 1.18 × 10−5 | 0.01 | 13.78 | 4.34 × 10−6 | 114.20 | 9.54 × 10−6 | 0.25 |
| F12 | 1.23 × 10−4 | 0.01 | 0.32 | 2.23 × 10−4 | 0.50 | 2.95 × 10−4 | 0.03 |
| F13 | 6.13 × 10−5 | 3.10 × 10−3 | 0.08 | 4.52 × 10−5 | 0.17 | 1.02 × 10−4 | 0.01 |
| F14 | 3.74 × 10−9 | 3.58 × 10−6 | 1.84 × 10−3 | 8.08 × 10−10 | 0.01 | 2.98 × 10−9 | 8.97 × 10−6 |
| F15 | 5.46 × 10−7 | 2.88 × 10−3 | 0.23 | 2.59 × 10−7 | 2.76 | 6.25 × 10−7 | 4.04 × 10−3 |
| F16 | 3.18 × 10−3 | 8.63 | 3.03 × 106 | 4.19 × 10−4 | 3.52 × 109 | 1.74 × 10−3 | 4.76 × 103 |
| TOTAL | 3 | 0 | 0 | 10 | 2 | 1 | 0 |
| EHO | R1 | RR1 | R2 | RR2 | R3 | RR3 | |
|---|---|---|---|---|---|---|---|
| F01 | 3.68 × 10−4 | 8.01 × 10−4 | 0.03 | 8.94 × 10−5 | 1.71 | 1.78 × 10−4 | 9.60 × 10−3 |
| F02 | 5.65 × 10−4 | 7.10 × 10−4 | 0.06 | 1.08 × 10−4 | 1.06 | 2.19 × 10−4 | 0.01 |
| F03 | 2.17 × 10−6 | 2.23 × 10−5 | 8.24 × 10−3 | 2.72 × 10−8 | 3.12 | 1.83 × 10−7 | 7.55 × 10−4 |
| F04 | 7.43 × 10−14 | 1.46 × 10−9 | 1.82 × 10−5 | 3.25 × 10−16 | 0.56 | 3.46 × 10−15 | 2.37 × 10−8 |
| F05 | 18.45 | 18.39 | 17.57 | 18.53 | 18.70 | 18.50 | 18.50 |
| F06 | 6.90 | 6.89 | 8.03 | 7.60 | 8.67 | 7.72 | 7.82 |
| F07 | 7.24 × 10−6 | 2.87 × 10−5 | 0.04 | 1.76 × 10−7 | 11.34 | 6.97 × 10−7 | 2.21 × 10−3 |
| F08 | 1.20 × 10−15 | 2.20 × 10−12 | 1.05 × 10−8 | 2.22 × 10−16 | 3.94 × 10−4 | 2.21 × 10−16 | 8.55 × 10−11 |
| F09 | 2.16 × 10−5 | 1.46 × 10−4 | 0.14 | 6.14 × 10−7 | 40.87 | 2.38 × 10−6 | 0.01 |
| F10 | 7.58 × 104 | 7.43 × 104 | 7.59 × 104 | 7.58 × 104 | 7.50 × 104 | 7.58 × 104 | 7.58 × 104 |
| F11 | 2.41 × 10−4 | 2.46 × 10−3 | 7.16 | 2.72 × 10−5 | 699.60 | 7.04 × 10−5 | 0.14 |
| F12 | 5.71 × 10−3 | 0.02 | 0.37 | 1.29 × 10−3 | 11.26 | 2.41 × 10−3 | 0.12 |
| F13 | 9.65 × 10−4 | 2.89 × 10−3 | 0.06 | 1.93 × 10−4 | 1.57 | 3.64 × 10−4 | 0.02 |
| F14 | 1.08 × 10−7 | 1.82 × 10−6 | 6.24 × 10−4 | 2.74 × 10−9 | 0.19 | 1.24 × 10−8 | 1.46 × 10−5 |
| F15 | 2.25 × 10−5 | 1.90 × 10−4 | 0.96 | 1.02 × 10−6 | 63.15 | 4.19 × 10−6 | 0.01 |
| F16 | 1.52 | 1.53 × 103 | 4.00 × 108 | 0.01 | 5.17 × 1012 | 0.08 | 4.61 × 105 |
| TOTAL | 0 | 2 | 1 | 13 | 0 | 0 | 0 |
| EHO | R1 | RR1 | R2 | RR2 | R3 | RR3 | |
|---|---|---|---|---|---|---|---|
| F01 | 1.10 × 10−5 | 1.35 × 10−3 | 0.04 | 4.38 × 10−5 | 0.13 | 5.87 × 10−5 | 4.78 × 10−3 |
| F02 | 2.70 × 10−5 | 8.25 × 10−4 | 0.10 | 3.76 × 10−5 | 0.12 | 4.61 × 10−5 | 0.01 |
| F03 | 3.50 × 10−8 | 7.44 × 10−5 | 0.02 | 1.65 × 10−8 | 0.27 | 1.10 × 10−7 | 1.55 × 10−3 |
| F04 | 1.35 × 10−14 | 5.94 × 10−9 | 4.19 × 10−5 | 1.21 × 10−16 | 0.14 | 9.76 × 10−15 | 1.22 × 10−7 |
| F05 | 0.12 | 0.16 | 0.76 | 0.17 | 0.05 | 0.18 | 0.18 |
| F06 | 0.34 | 0.40 | 0.28 | 0.30 | 0.58 | 0.22 | 0.29 |
| F07 | 6.49 × 10−7 | 6.58 × 10−5 | 0.04 | 1.11 × 10−7 | 2.00 | 4.21 × 10−7 | 5.56 × 10−3 |
| F08 | 7.08 × 10−17 | 1.13 × 10−11 | 1.80 × 10−8 | 1.61 × 10−19 | 1.28 × 10−4 | 1.05 × 10−18 | 4.33 × 10−10 |
| F09 | 1.44 × 10−6 | 3.78 × 10−4 | 0.23 | 5.66 × 10−7 | 3.79 | 1.43 × 10−6 | 0.05 |
| F10 | 897.80 | 853.40 | 971.60 | 1.12 × 103 | 833.10 | 1.02 × 103 | 907.60 |
| F11 | 4.63 × 10−5 | 5.96 × 10−3 | 14.39 | 2.64 × 10−5 | 353.00 | 5.11 × 10−5 | 0.27 |
| F12 | 2.72 × 10−4 | 0.03 | 0.36 | 4.03 × 10−4 | 1.09 | 8.39 × 10−4 | 0.13 |
| F13 | 7.38 × 10−5 | 4.15 × 10−3 | 0.08 | 7.99 × 10−5 | 0.16 | 9.51 × 10−5 | 0.01 |
| F14 | 7.41 × 10−9 | 7.42 × 10−6 | 1.10 × 10−3 | 1.96 × 10−9 | 0.02 | 1.03 × 10−8 | 1.03 × 10−5 |
| F15 | 1.88 × 10−6 | 3.50 × 10−4 | 2.13 | 8.43 × 10−7 | 9.40 | 2.12 × 10−6 | 0.04 |
| F16 | 0.14 | 4.85 × 103 | 1.74 × 109 | 8.45 × 10−3 | 7.73 × 1011 | 0.04 | 2.00 × 106 |
| TOTAL | 4 | 0 | 0 | 9 | 2 | 1 | 0 |
| EHO | R1 | RR1 | R2 | RR2 | R3 | RR3 | |
|---|---|---|---|---|---|---|---|
| F01 | 3.92 × 10−4 | 7.03 × 10−4 | 0.03 | 8.75 × 10−5 | 1.76 | 1.72 × 10−4 | 8.52 × 10−3 |
| F02 | 1.53 × 10−3 | 3.40 × 10−3 | 0.11 | 2.99 × 10−4 | 2.58 | 5.47 × 10−4 | 0.02 |
| F03 | 5.60 × 10−6 | 8.70 × 10−5 | 0.04 | 5.67 × 10−8 | 7.91 | 4.15 × 10−7 | 2.14 × 10−3 |
| F04 | 6.51 × 10−13 | 4.40 × 10−9 | 7.69 × 10−3 | 1.48 × 10−15 | 3.94 | 1.45 × 10−14 | 7.70 × 10−8 |
| F05 | 45.80 | 45.90 | 45.44 | 45.92 | 45.99 | 45.91 | 45.93 |
| F06 | 18.55 | 19.23 | 19.93 | 19.44 | 21.13 | 19.43 | 19.62 |
| F07 | 2.35 × 10−5 | 6.78 × 10−5 | 0.24 | 4.42 × 10−7 | 27.03 | 1.59 × 10−6 | 8.63 × 10−3 |
| F08 | 8.52 × 10−15 | 3.89 × 10−13 | 1.60 × 10−7 | 2.23 × 10−16 | 2.42 × 10−3 | 2.39 × 10−16 | 1.51 × 10−10 |
| F09 | 6.13 × 10−5 | 2.15 × 10−3 | 0.87 | 1.31 × 10−6 | 107.70 | 6.53 × 10−6 | 0.02 |
| F10 | 1.96 × 105 | 1.97 × 105 | 1.97 × 105 | 1.99 × 105 | 1.99 × 105 | 1.92 × 105 | 1.95 × 105 |
| F11 | 1.61 × 10−3 | 0.17 | 10.43 | 1.40 × 10−4 | 5.30 × 103 | 4.16 × 10−4 | 0.71 |
| F12 | 0.02 | 0.03 | 1.30 | 3.15 × 10−3 | 30.31 | 6.04 × 10−3 | 0.57 |
| F13 | 1.07 × 10−3 | 3.01 × 10−3 | 0.06 | 2.07 × 10−4 | 1.72 | 4.22 × 10−4 | 0.02 |
| F14 | 3.12 × 10−7 | 4.56 × 10−6 | 5.26 × 10−3 | 6.15 × 10−9 | 0.48 | 2.74 × 10−8 | 6.08 × 10−5 |
| F15 | 1.71 × 10−4 | 7.41 × 10−4 | 1.85 | 7.59 × 10−6 | 427.30 | 2.17 × 10−5 | 0.07 |
| F16 | 1.60 × 103 | 3.60 × 107 | 1.33 × 1012 | 1.20 | 8.83 × 1015 | 16.25 | 2.37 × 109 |
| TOTAL | 1 | 0 | 1 | 13 | 0 | 0 | 1 |
| EHO | R1 | RR1 | R2 | RR2 | R3 | RR3 | |
|---|---|---|---|---|---|---|---|
| F01 | 7.22 × 10−6 | 8.01 × 10−4 | 0.02 | 2.66 × 10−5 | 0.08 | 4.32 × 10−5 | 4.04 × 10−3 |
| F02 | 4.67 × 10−5 | 4.09 × 10−3 | 0.11 | 1.19 × 10−4 | 0.20 | 1.49 × 10−4 | 0.01 |
| F03 | 5.65 × 10−8 | 2.10 × 10−4 | 0.13 | 2.62 × 10−8 | 0.51 | 2.91 × 10−7 | 5.94 × 10−3 |
| F04 | 6.17 × 10−14 | 1.83 × 10−8 | 0.04 | 3.12 × 10−15 | 0.98 | 2.53 × 10−14 | 2.84 × 10−7 |
| F05 | 0.09 | 0.02 | 0.75 | 0.03 | 0.05 | 0.04 | 0.02 |
| F06 | 0.31 | 0.32 | 0.18 | 0.21 | 0.85 | 0.15 | 0.25 |
| F07 | 1.05 × 10−6 | 1.35 × 10−4 | 0.78 | 3.05 × 10−7 | 3.86 | 9.25 × 10−7 | 0.02 |
| F08 | 3.61 × 10−16 | 1.72 × 10−12 | 4.03 × 10−7 | 2.01 × 10−18 | 5.40 × 10−4 | 1.31 × 10−17 | 6.30 × 10−10 |
| F09 | 2.15 × 10−6 | 0.01 | 1.71 | 9.91 × 10−7 | 12.30 | 4.69 × 10−6 | 0.04 |
| F10 | 1.54 × 103 | 1.43 × 103 | 1.30 × 103 | 1.28 × 103 | 1.38 × 103 | 1.45 × 103 | 1.65 × 103 |
| F11 | 3.44 × 10−4 | 0.70 | 12.21 | 9.50 × 10−5 | 2.00 × 103 | 2.38 × 10−4 | 1.51 |
| F12 | 3.52 × 10−4 | 0.04 | 1.93 | 1.23 × 10−3 | 2.11 | 2.09 × 10−3 | 1.24 |
| F13 | 5.90 × 10−5 | 4.79 × 10−3 | 0.06 | 6.75 × 10−5 | 0.12 | 1.69 × 10−4 | 0.01 |
| F14 | 1.75 × 10−8 | 1.60 × 10−5 | 0.02 | 3.39 × 10−9 | 0.05 | 1.32 × 10−8 | 1.16 × 10−4 |
| F15 | 8.50 × 10−6 | 1.04 × 10−3 | 3.96 | 6.20 × 10−6 | 50.28 | 1.15 × 10−5 | 0.19 |
| F16 | 113.00 | 1.90 × 108 | 4.50 × 1012 | 2.37 | 1.61 × 1015 | 17.62 | 1.27 × 1010 |
| TOTAL | 4 | 0 | 0 | 9 | 0 | 1 | 2 |
| EHO | R1 | RR1 | R2 | RR2 | R3 | RR3 | |
|---|---|---|---|---|---|---|---|
| F01 | 4.04 × 10−4 | 1.29 × 10−3 | 0.03 | 8.66 × 10−5 | 1.79 | 1.90 × 10−4 | 0.01 |
| F02 | 3.14 × 10−3 | 5.68 × 10−3 | 0.20 | 6.20 × 10−4 | 5.45 | 1.29 × 10−3 | 0.04 |
| F03 | 1.11 × 10−5 | 5.10 × 10−5 | 0.07 | 1.41 × 10−7 | 16.18 | 8.78 × 10−7 | 1.97 × 10−3 |
| F04 | 3.05 × 10−12 | 1.17 × 10−9 | 7.48 × 10−4 | 4.48 × 10−15 | 16.77 | 3.01 × 10−14 | 4.97 × 10−7 |
| F05 | 91.29 | 91.36 | 91.19 | 91.36 | 91.53 | 91.36 | 91.38 |
| F06 | 38.23 | 38.90 | 39.79 | 39.11 | 42.71 | 39.08 | 39.26 |
| F07 | 5.15 × 10−5 | 1.20 × 10−3 | 0.39 | 1.01 × 10−6 | 55.16 | 3.93 × 10−6 | 0.01 |
| F08 | 3.73 × 10−14 | 1.00 × 10−11 | 3.77 × 10−6 | 2.28 × 10−16 | 0.01 | 2.73 × 10−16 | 1.66 × 10−8 |
| F09 | 1.33 × 10−4 | 1.91 × 10−4 | 0.91 | 3.21 × 10−6 | 221.00 | 1.00 × 10−5 | 0.05 |
| F10 | 3.94 × 105 | 3.94 × 105 | 4.01 × 105 | 4.00 × 105 | 3.98 × 105 | 3.97 × 105 | 3.98 × 105 |
| F11 | 5.88 × 10−3 | 0.39 | 1.18 × 103 | 4.79 × 10−4 | 2.06 × 104 | 1.45 × 10−3 | 7.41 |
| F12 | 0.03 | 0.09 | 1.94 | 66.74 | 72.28 | 54.85 | 56.84 |
| F13 | 1.16 × 10−3 | 1.77 × 10−3 | 0.12 | 2.40 × 10−4 | 1.87 | 4.74 × 10−4 | 0.02 |
| F14 | 6.68 × 10−7 | 4.59 × 10−6 | 0.03 | 1.79 × 10−8 | 1.00 | 5.22 × 10−8 | 1.46 × 10−4 |
| F15 | 7.43 × 10−4 | 0.02 | 14.34 | 2.45 × 10−5 | 1.73 × 103 | 9.52 × 10−5 | 0.57 |
| F16 | 4.71 × 105 | 8.97 × 108 | 1.28 × 1014 | 77.47 | 2.51 × 1018 | 3.89 × 103 | 4.76 × 1012 |
| TOTAL | 3 | 0 | 1 | 12 | 0 | 0 | 0 |
| EHO | R1 | RR1 | R2 | RR2 | R3 | RR3 | |
|---|---|---|---|---|---|---|---|
| F01 | 8.50 × 10−6 | 2.69 × 10−3 | 0.04 | 2.81 × 10−5 | 0.07 | 6.05 × 10−5 | 0.01 |
| F02 | 6.45 × 10−5 | 6.76 × 10−3 | 0.24 | 3.09 × 10−4 | 0.39 | 4.28 × 10−4 | 0.03 |
| F03 | 7.82 × 10−8 | 1.24 × 10−4 | 0.21 | 1.02 × 10−7 | 1.70 | 4.10 × 10−7 | 2.21 × 10−3 |
| F04 | 2.22 × 10−13 | 3.61 × 10−9 | 1.86 × 10−3 | 8.75 × 10−15 | 2.65 | 3.01 × 10−14 | 1.80 × 10−6 |
| F05 | 0.06 | 0.02 | 0.49 | 0.01 | 0.06 | 0.01 | 0.01 |
| F06 | 0.22 | 0.39 | 0.15 | 0.22 | 1.08 | 0.18 | 0.22 |
| F07 | 1.06 × 10−6 | 4.96 × 10−3 | 0.58 | 6.86 × 10−7 | 5.68 | 1.98 × 10−6 | 0.01 |
| F08 | 9.68 × 10−16 | 2.77 × 10−11 | 1.55 × 10−5 | 3.36 × 10−18 | 2.65 × 10−3 | 6.47 × 10−17 | 9.11 × 10−8 |
| F09 | 4.43 × 10−6 | 3.58 × 10−4 | 1.64 | 2.11 × 10−6 | 20.66 | 7.28 × 10−6 | 0.09 |
| F10 | 2.19 × 103 | 2.04 × 103 | 2.11 × 103 | 1.98 × 103 | 1.60 × 103 | 1.93 × 103 | 2.75 × 103 |
| F11 | 9.97 × 10−4 | 1.46 | 4.01 × 103 | 4.03 × 10−4 | 9.58 × 103 | 8.04 × 10−4 | 24.87 |
| F12 | 5.39 × 10−4 | 0.15 | 1.76 | 4.90 | 1.61 | 2.31 | 1.48 |
| F13 | 6.61 × 10−5 | 2.68 × 10−3 | 0.15 | 9.41 × 10−5 | 0.15 | 1.45 × 10−4 | 0.01 |
| F14 | 2.21 × 10−8 | 1.05 × 10−5 | 0.10 | 1.05 × 10−8 | 0.08 | 2.83 × 10−8 | 2.89 × 10−4 |
| F15 | 2.62 × 10−5 | 0.04 | 52.24 | 2.14 × 10−5 | 213.10 | 4.96 × 10−5 | 1.43 |
| F16 | 2.34 × 104 | 3.39 × 109 | 4.12 × 1014 | 93.37 | 4.52 × 1017 | 3.42 × 103 | 2.67 × 1013 |
| TOTAL | 5 | 0 | 1 | 8 | 1 | 1 | 0 |
| D | EHO | R1 | RR1 | R2 | RR2 | R3 | RR3 | |
|---|---|---|---|---|---|---|---|---|
| 50 | BEST | 0 | 13 | 2 | 1 | 0 | 0 | 0 |
| MEAN | 0 | 1 | 1 | 14 | 0 | 0 | 0 | |
| WORST | 0 | 2 | 0 | 13 | 0 | 0 | 1 | |
| STD | 3 | 1 | 0 | 11 | 0 | 0 | 1 | |
| TOTAL | 3 | 17 | 3 | 39 | 0 | 0 | 2 | |
| 100 | BEST | 0 | 13 | 1 | 2 | 0 | 0 | 0 |
| MEAN | 1 | 1 | 1 | 13 | 0 | 0 | 0 | |
| WORST | 1 | 2 | 0 | 13 | 0 | 0 | 0 | |
| STD | 3 | 0 | 0 | 10 | 2 | 1 | 0 | |
| TOTAL | 5 | 16 | 2 | 38 | 2 | 1 | 0 | |
| 200 | BEST | 1 | 10 | 1 | 3 | 0 | 1 | 0 |
| MEAN | 0 | 2 | 1 | 13 | 0 | 0 | 0 | |
| WORST | 1 | 2 | 0 | 13 | 0 | 0 | 0 | |
| STD | 4 | 0 | 0 | 9 | 2 | 1 | 0 | |
| TOTAL | 6 | 14 | 2 | 38 | 2 | 2 | 0 | |
| 500 | BEST | 1 | 11 | 1 | 2 | 0 | 0 | 1 |
| MEAN | 1 | 0 | 1 | 13 | 0 | 0 | 1 | |
| WORST | 2 | 0 | 0 | 14 | 0 | 0 | 0 | |
| STD | 4 | 0 | 0 | 9 | 0 | 1 | 2 | |
| TOTAL | 8 | 11 | 2 | 38 | 0 | 1 | 4 | |
| 1000 | BEST | 0 | 11 | 1 | 3 | 0 | 0 | 1 |
| MEAN | 3 | 0 | 1 | 12 | 0 | 0 | 0 | |
| WORST | 3 | 1 | 0 | 12 | 0 | 0 | 0 | |
| STD | 5 | 0 | 1 | 8 | 1 | 1 | 0 | |
| TOTAL | 11 | 12 | 3 | 35 | 1 | 1 | 1 |
| No. | Problem | Search Range | Type of Objective | Number of Constraints | |
|---|---|---|---|---|---|
| E | I | ||||
| F01 | C05 | [−10, 10]D | Non-Separable | 0 | 2 Non-Separable, Rotated |
| F02 | C06 | [−20, 20]D | Separable | 6 | 0 Separable |
| F03 | C07 | [−50, 50]D | Separable | 2 Separable | 0 |
| F04 | C08 | [−100, 100]D | Separable | 2 Non-Separable | 0 |
| F05 | C09 | [−10, 10]D | Separable | 2 Non-Separable | 0 |
| F06 | C10 | [−100, 100]D | Separable | 2 Non-Separable | 0 |
| F07 | C12 | [−100, 100]D | Separable | 0 | 2 Separable |
| F08 | C13 | [−100, 100]D | Non-Separable | 0 | 3 Separable |
| F09 | C15 | [−100, 100]D | Separable | 1 | 1 |
| F10 | C16 | [−100, 100]D | Separable | 1 Non-Separable | 1 Separable |
| F11 | C17 | [−100, 100]D | Non-Separable | 1 Non-Separable | 1 Separable |
| F12 | C18 | [−100, 100]D | Separable | 1 | 2 Non-Separable |
| F13 | C25 | [−100, 100]D | Rotated | 1 Rotated | 1 Rotated |
| F14 | C26 | [−100, 100]D | Rotated | 1 Rotated | 1 Rotated |
| EHO | R1 | RR1 | R2 | RR2 | R3 | RR3 | |
|---|---|---|---|---|---|---|---|
| F01 | 8.50 × 10−6 | 2.69 × 10−3 | 0.04 | 2.81 × 10−5 | 0.07 | 6.05 × 10−5 | 0.01 |
| F02 | 6.45 × 10−5 | 6.76 × 10−3 | 0.24 | 3.09 × 10−4 | 0.39 | 4.28 × 10−4 | 0.03 |
| F03 | 7.82 × 10−8 | 1.24 × 10−4 | 0.21 | 1.02 × 10−7 | 1.70 | 4.10 × 10−7 | 2.21 × 10−3 |
| F04 | 2.22 × 10−13 | 3.61 × 10−9 | 1.86 × 10−3 | 8.75 × 10−15 | 2.65 | 3.01 × 10−14 | 1.80 × 10−6 |
| F05 | 0.06 | 0.02 | 0.49 | 0.01 | 0.06 | 0.01 | 0.01 |
| F06 | 0.22 | 0.39 | 0.15 | 0.22 | 1.08 | 0.18 | 0.22 |
| F07 | 1.06 × 10−6 | 4.96 × 10−3 | 0.58 | 6.86 × 10−7 | 5.68 | 1.98 × 10−6 | 0.01 |
| F08 | 9.68 × 10−16 | 2.77 × 10−11 | 1.55 × 10−5 | 3.36 × 10−18 | 2.65 × 10−3 | 6.47 × 10−17 | 9.11 × 10−8 |
| F09 | 4.43 × 10−6 | 3.58 × 10−4 | 1.64 | 2.11 × 10−6 | 20.66 | 7.28 × 10−6 | 0.09 |
| F10 | 2.19 × 103 | 2.04 × 103 | 2.11 × 103 | 1.98 × 103 | 1.60 × 103 | 1.93 × 103 | 2.75 × 103 |
| F11 | 9.97 × 10−4 | 1.46 | 4.01 × 103 | 4.03 × 10−4 | 9.58 × 103 | 8.04 × 10−4 | 24.87 |
| F12 | 5.39 × 10−4 | 0.15 | 1.76 | 4.90 | 1.61 | 2.31 | 1.48 |
| F13 | 6.61 × 10−5 | 2.68 × 10−3 | 0.15 | 9.41 × 10−5 | 0.15 | 1.45 × 10−4 | 0.01 |
| F14 | 2.21 × 10−8 | 1.05 × 10−5 | 0.10 | 1.05 × 10−8 | 0.08 | 2.83 × 10−8 | 2.89 × 10−4 |
| TOTAL | 1 | 2 | 9 | 2 | 0 | 0 | 0 |
| EHO | R1 | RR1 | R2 | RR2 | R3 | RR3 | |
|---|---|---|---|---|---|---|---|
| F01 | 4.06 × 104 | 3.58 × 104 | 4.08 × 104 | 5.75 × 104 | 6.26 × 104 | 5.65 × 104 | 4.16 × 104 |
| F02 | 127.50 | 123.10 | 100.70 | 86.83 | 102.00 | 122.10 | 59.11 |
| F03 | 65.68 | 46.15 | 48.94 | 50.84 | 38.43 | 42.04 | 51.71 |
| F04 | 0.37 | 0.61 | 0.72 | 0.72 | 0.34 | 0.70 | 0.76 |
| F05 | 0.36 | 0.35 | 0.31 | 0.37 | 0.27 | 0.29 | 0.22 |
| F06 | 2.75 | 2.56 | 1.91 | 2.73 | 2.66 | 2.15 | 1.19 |
| F07 | 1.73 × 103 | 1.42 × 103 | 1.44 × 103 | 1.79 × 103 | 1.67 × 103 | 1.61 × 103 | 1.37 × 103 |
| F08 | 2.51 × 108 | 2.07 × 108 | 2.54 × 108 | 2.49 × 108 | 3.87 × 108 | 2.38 × 108 | 2.63 × 108 |
| F09 | 1.39 | 1.77 | 1.44 | 2.32 | 2.31 | 2.01 | 1.44 |
| F10 | 41.32 | 40.76 | 33.77 | 39.29 | 41.69 | 36.24 | 34.50 |
| F11 | 0.45 | 0.37 | 0.49 | 0.36 | 0.52 | 0.43 | 0.37 |
| F12 | 1.81 × 103 | 1.48 × 103 | 1.65 × 103 | 1.84 × 103 | 1.85 × 103 | 1.75 × 103 | 1.63 × 103 |
| F13 | 80.20 | 67.86 | 75.43 | 75.82 | 72.32 | 69.12 | 61.46 |
| F14 | 1.39 | 1.54 | 2.28 | 1.66 | 2.11 | 1.88 | 1.76 |
| TOTAL | 2 | 3 | 1 | 1 | 2 | 0 | 5 |
| EHO | R1 | RR1 | R2 | RR2 | R3 | RR3 | |
|---|---|---|---|---|---|---|---|
| F01 | 1.09 × 106 | 9.71 × 105 | 9.48 × 105 | 9.49 × 105 | 1.13 × 106 | 9.71 × 105 | 1.01 × 106 |
| F02 | 3.88 × 103 | 3.76 × 103 | 3.80 × 103 | 3.77 × 103 | 4.00 × 103 | 3.77 × 103 | 3.88 × 103 |
| F03 | 9.35 × 103 | 9.35 × 103 | 9.35 × 103 | 9.35 × 103 | 9.34 × 103 | 9.35 × 103 | 9.37 × 103 |
| F04 | 1.01 × 103 | 1.01 × 103 | 1.01 × 103 | 1.01 × 103 | 1.01 × 103 | 1.01 × 103 | 1.01 × 103 |
| F05 | 9.39 | 9.37 | 9.37 | 9.36 | 9.76 | 9.35 | 9.43 |
| F06 | 1.04 × 103 | 1.04 × 103 | 1.04 × 103 | 1.04 × 103 | 1.05 × 103 | 1.04 × 103 | 1.04 × 103 |
| F07 | 6.99 × 104 | 6.79 × 104 | 6.58 × 104 | 6.50 × 104 | 7.20 × 104 | 6.68 × 104 | 6.96 × 104 |
| F08 | 8.77 × 109 | 8.02 × 109 | 7.80 × 109 | 8.19 × 109 | 8.95 × 109 | 8.14 × 109 | 8.62 × 109 |
| F09 | 47.52 | 47.20 | 47.73 | 47.98 | 49.02 | 47.56 | 46.86 |
| F10 | 2.18 × 103 | 2.16 × 103 | 2.13 × 103 | 2.14 × 103 | 2.22 × 103 | 2.17 × 103 | 2.16 × 103 |
| F11 | 17.99 | 17.63 | 17.18 | 17.22 | 18.60 | 17.51 | 17.96 |
| F12 | 6.82 × 104 | 6.60 × 104 | 6.50 × 104 | 6.52 × 104 | 7.01 × 104 | 6.63 × 104 | 6.87 × 104 |
| F13 | 3.60 × 103 | 3.55 × 103 | 3.58 × 103 | 3.57 × 103 | 3.78 × 103 | 3.59 × 103 | 3.66 × 103 |
| F14 | 55.89 | 55.19 | 53.99 | 53.88 | 60.16 | 54.61 | 56.37 |
| TOTAL | 1 | 2 | 4 | 4 | 1 | 1 | 1 |
| EHO | R1 | RR1 | R2 | RR2 | R3 | RR3 | |
|---|---|---|---|---|---|---|---|
| F01 | 7.04 × 104 | 6.49 × 104 | 7.85 × 104 | 8.34 × 104 | 9.27 × 104 | 6.51 × 104 | 7.03 × 104 |
| F02 | 122.00 | 125.20 | 106.10 | 111.90 | 137.30 | 113.80 | 102.50 |
| F03 | 73.82 | 74.87 | 72.61 | 66.75 | 96.82 | 80.98 | 65.38 |
| F04 | 0.25 | 0.23 | 0.39 | 0.25 | 0.31 | 0.24 | 0.36 |
| F05 | 0.14 | 0.14 | 0.14 | 0.19 | 0.13 | 0.14 | 0.09 |
| F06 | 1.20 | 1.23 | 1.39 | 1.46 | 1.73 | 1.22 | 1.27 |
| F07 | 2.93 × 103 | 2.42 × 103 | 3.14 × 103 | 3.02 × 103 | 3.25 × 103 | 2.73 × 103 | 2.52 × 103 |
| F08 | 5.94 × 108 | 6.11 × 108 | 7.07 × 108 | 7.24 × 108 | 1.01 × 109 | 6.43 × 108 | 5.77 × 108 |
| F09 | 0.77 | 0.64 | 1.25 | 0.93 | 0.57 | 0.95 | 1.06 |
| F10 | 52.32 | 60.00 | 53.11 | 63.71 | 52.42 | 56.61 | 51.64 |
| F11 | 0.67 | 0.72 | 0.73 | 0.72 | 0.84 | 0.57 | 0.59 |
| F12 | 2.35 × 103 | 2.77 × 103 | 3.13 × 103 | 2.71 × 103 | 3.00 × 103 | 3.00 × 103 | 2.34 × 103 |
| F13 | 80.54 | 77.54 | 125.50 | 116.70 | 119.80 | 108.50 | 72.75 |
| F14 | 3.02 | 2.93 | 3.44 | 3.27 | 3.05 | 3.38 | 2.56 |
| TOTAL | 1 | 3 | 0 | 0 | 1 | 1 | 8 |
© 2019 by the authors. Licensee MDPI, Basel, Switzerland. This article is an open access article distributed under the terms and conditions of the Creative Commons Attribution (CC BY) license (http://creativecommons.org/licenses/by/4.0/).
Share and Cite
Li, J.; Guo, L.; Li, Y.; Liu, C. Enhancing Elephant Herding Optimization with Novel Individual Updating Strategies for Large-Scale Optimization Problems. Mathematics 2019, 7, 395. https://doi.org/10.3390/math7050395
Li J, Guo L, Li Y, Liu C. Enhancing Elephant Herding Optimization with Novel Individual Updating Strategies for Large-Scale Optimization Problems. Mathematics. 2019; 7(5):395. https://doi.org/10.3390/math7050395
Chicago/Turabian StyleLi, Jiang, Lihong Guo, Yan Li, and Chang Liu. 2019. "Enhancing Elephant Herding Optimization with Novel Individual Updating Strategies for Large-Scale Optimization Problems" Mathematics 7, no. 5: 395. https://doi.org/10.3390/math7050395
APA StyleLi, J., Guo, L., Li, Y., & Liu, C. (2019). Enhancing Elephant Herding Optimization with Novel Individual Updating Strategies for Large-Scale Optimization Problems. Mathematics, 7(5), 395. https://doi.org/10.3390/math7050395
