Next Article in Journal
RETRACTED: Next Point of Interest (POI) Recommendation System Driven by User Probabilistic Preferences and Temporal Regularities
Previous Article in Journal
Comparison Principle for Weakly Coupled Cooperative Parabolic Systems with Delays
 
 
Font Type:
Arial Georgia Verdana
Font Size:
Aa Aa Aa
Line Spacing:
Column Width:
Background:
Article

Novel Model-Based Integration Algorithm Based on Generalized-α Method

1
School of Civil Engineering, Chongqing University, Chongqing 400045, China
2
Key Laboratory of New Technology for Construction of Cities in Mountain Area (Chongqing University), Ministry of Education, Chongqing 400045, China
3
School of Intelligent Construction, Chongqing College of Architecture and Technology, Chongqing 401331, China
*
Author to whom correspondence should be addressed.
Mathematics 2025, 13(8), 1231; https://doi.org/10.3390/math13081231
Submission received: 21 February 2025 / Revised: 23 March 2025 / Accepted: 24 March 2025 / Published: 9 April 2025

Abstract

There exist various methods for solving the dynamic analysis problem in earthquake engineering. While numerical integration techniques are conventionally classified as either explicit or implicit approaches, both categories suffer from fundamental constraints that compromise their general effectiveness. A type of model-based integration algorithm combines explicit and implicit algorithm advantages, making it a hot topic in research. Based on the generalized-α algorithms, this study proposes a model-based integration algorithm by embedding upon Newton iteration to make its displacement solution in explicit form. The root locus method was employed to analyze the stability of the algorithm for single-degree-of-freedom systems containing nonlinear restoring force. Two models were selected to verify the algorithm’s accuracy and stability: three-storey and eight-storey shear-type structural systems with metal dampers. The proposed algorithm, Chang method, and CR method were utilized for the dynamic analysis of the emulated systems. The results indicate that the proposed algorithm has high accuracy and favorable stability for nonlinear dynamic problems.

Graphical Abstract

1. Introduction

Time integration algorithms (TIAs) are suitable for solving structural dynamics problems, including linear and nonlinear problems, for desired applicability and programming [1,2]. To guarantee accuracy, efficiency, and feasibility, Hilber et al. [3] concluded that a prominent algorithm should match the following six characteristics:
  • At least second-order accuracy;
  • Unconditional stability for linear problems;
  • Controllable numerical damping in higher modes;
  • No overshoot;
  • Self-starting;
  • No more than one set of implicit equations to be solved in each step.
To realize most of the characteristics, related scholars have proposed many methods to solve various dynamic problems. There exist the Newmark family of algorithms [4], Wilson-θ method [5], HHT-α, WBZ-α [6], CH-α [7,8] and composite implicit time integration method [9]. However, these methods can hardly meet all the above characteristics.
All algorithms [10] can be divided into explicit and implicit algorithms according to the features presented in the calculation process. For explicit algorithms, the system state vectors are assumed be known at time tn. The state vector at tn+1 can be computed, after incorporating it into the response equation that is only related to state variables at tn. In implicit algorithms [11,12], there exist state variables at tn and at tn+1, which require internal iteration of the system to complete the calculation. Explicit algorithms [12,13,14] are relatively easy to operate and implement, but most explicit algorithms exhibit conditional stability. This characteristic makes it difficult to apply to structures on a large scale or with special nonlinearities. Implicit algorithms [12] are relatively more stable and more efficient, but internal iteration would take much more time. Apparently, it cannot juggle stability with efficiency for either explicit algorithms or implicit algorithms.
To break up the dilemma and meet all the advantages of explicit and implicit algorithms, model-based integration algorithms are engaged, whose parameters are functions of the complete model of the system to enable unconditional stability to be achieved within the framework of an explicit formulation. Computational efficiency [14,15,16] was improved greatly without losing the stability of implicit algorithms. Based on the above characteristics, the application of these algorithms is becoming increasingly extensive for dynamic and simultaneous processes, among others. Professional scholars have proposed a great number of model-based integration algorithms widely spread and used. Chang [17] proposed a model-based integration algorithm based on the average acceleration method by introducing two parameters relative to the initial stiffness matrix. This algorithm, retaining the second-order accuracy, presents explicit displacement expression and exhibits unconditional stability when analyzing linear problems. However, some significant computational errors [18,19] may be faced when dealing with problems including nonlinear restoring forces. Chen and Ricles also proposed a model-based integration algorithm whose displacement and velocity formulations were explicit characteristics based on the average acceleration method [13]. The Rosenbrock method [20] is a model-based integration algorithm that introduces a Newton iteration against the backup of the Runge–Kutta method. This method can maintain the original stability and avoid the computational cost caused by the iterative process.
However, there will be a large calculation error when the structural stiffness changes along with time [16,17,18]. The Rosenbrock method [21] is appropriate for first-order dynamic problems. Therefore, when using the Rosenbrock method to solve structural dynamics, order reduction of the equation is required. The computational cost is inevitably increased.
The expressions of the model-based integration method [11] are linked to the structural model. The stability of the method to be examined is required. The root locus method was employed widely in all kinds of fields for stability analysis. Fei Zhu [22] used it to examine a multi-degrees-of-freedom (MDoF) real-time dynamic hybrid testing system. Cervi E. [23] utilized it in stability analysis of the Generation-IV nuclear reactors. Wang Tao [24] analyzed an explicit time integration algorithm for hybrid tests considering stiffness hardening behavior and testing stability based on the root locus method. Avcu Neslihan [25] analyzed the bifurcation of bistable and oscillatory dynamics in biological networks using the root locus method. Ronilson Rocha [26] applied it for the Chua circuit with cubic polynomial nonlinearity. Li Min [27] used it in testing mean-square stability and convergence of a split-step theta method for stochastic Volterra integral equations. Zhao Jianhua [28] utilized it in the decoupling control of MDOF-supporting systems. Rismawaty Arunglabi [29] applied it in stability analysis of a direct current motor speed-controlled anchor. Zichen Yao [30] developed a necessary and sufficient stability condition in a coefficient criterion for fractional delay differential equations. The root locus method [31] was used in analyzing the system responsiveness and control parameter stability domain.
In order to test the accuracy of the new algorithm, this study selects representative three-storey and eight-storey frame models. By embedding viscous dampers and metallic dampers, the performance of the new algorithm in terms of the characteristics of nonlinear restoring force and nonlinear damping force is specifically analyzed. And all the experiments are conducted in MATLAB(R2022b) on a desktop computer with the following specifications: The CPU is 13th Gen Intel(R) Core (TM) i7-13700KF 3.40 GHz, which is manufactured by Hewlett-Packar in Chongqing, China. It is equipped with 32 GB of DDR4-3200 MHz RAM. The storage consists of 2 TB for the system drive and 4 TB for data storage. The graphics card is NVIDIA GeForce RTX 3060 Ti, with 24 GB. The operating system used is Windows 10 Pro (64-bit).
The stability of the new algorithm for systems with nonlinear restoring forces will be verified by using the root locus method. Furthermore, the three-storey and eight-storey shear-type structure model with metal dampers was adopted to analyze the numerical properties of the new method. The results indicate that the accuracy and stability are more favorable than that of the Chang and CR algorithms.
This study aims to apply the idea of the Rosenbrock method to reform the generalized-α method into a model-based integration algorithm. The Newton iterative equation is introduced to obtain a new algorithm with explicit formats. The new algorithm combines the advantages of the explicit algorithm and the implicit algorithm and can overcome their shortcomings, that is, preserve the stability of the implicit algorithm, while presenting the characteristics and advantages of explicit algorithms.
This paper is organized as follows: Section 2 introduces several integration algorithms. The derivation of a model-based integration algorithm method is displayed in Section 3. Stability analysis of the proposed method is performed by using the root locus method for simulating the dynamic response of a single-DoF system. Accuracy analysis of the proposed method is conducted in Section 5, Section 6 and Section 7 by simulating the seismic responses of multi-DoF structural systems, i.e., a three-storey shear-type structure with metal dampers, an eight-storey frame structure with metal dampers and a four-storey shear-type structure with a pendulum at its top.

2. Introduction of Several Integration Algorithms

2.1. Newmark Method

This method is a popular tool when solving the structural dynamic response. For MDoF systems that consist of a nonlinear restoring force and damping force, its motion equation can be expressed as
M a + h ( v ) + f ( d ) = g ( t )
where M denotes the mass matrix, h ( v ) is the nonlinear damping force vector corresponding to the velocity vector, f ( d ) represents the nonlinear restoring force vector corresponding to the displacement vector, and g ( t ) is the external force vector.
The variation in acceleration is supposed from the nth time step to the (n + 1)th time step. The state quantity of motion at t n would be applied to the motion equation as the role of the initial value; then, the expressions of velocity and displacement at t n + 1 can be carried out:
v n + 1 = v n + Δ t ( ( 1 γ ) a n + γ a n + 1 ) , 0 γ 1
d n + 1 = d n + v n Δ t + 1 2 Δ t 2 ( ( 1 2 β ) a n + 2 β a n + 1 ) , 0 β 1 2
The average acceleration method can be obtained when β = 1 / 4 and γ = 1 / 2 .

2.2. Chang Method

The Chang method [17] is derived on the basis of the average acceleration method, representing an unconditionally stable method with explicit format. The method, as a type of mode-based algorithm, behaves in a semi-explicit format with only a displacement explicit formula.
d n + 1 = d n + β 1 v n Δ t + β 2 a n Δ t 2
The velocity expression is the same as the average acceleration method.
v n + 1 = v n + 1 2 Δ t ( a n + a n + 1 )
in the formula
β 1 = [ 1 + 1 2 M 1 C Δ t + 1 4 M 1 K 0 Δ t 2 ] 1 × [ 1 + 1 2 M 1 C Δ t ]
β 2 = 1 2 [ 1 + 1 2 M 1 C Δ t + 1 4 M 1 K 0 Δ t 2 ] 1
where K 0 is the initial stiffness matrix of the analyzed structure. Therefore, the method is very appreciated for structures with linear damping forces and nonlinear restoring forces.

2.3. CR Method

Chen and Ricles [13] proposed a model-based integration algorithm whose expressions exhibit a dual-explicit format with both velocity and displacement explicit formulas. The algorithm behaves unconditionally stably by introducing two parameters into the expressions in velocity and displacement:
v n + 1 = v n + α 1 a n Δ t
d n + 1 = d n + v n Δ t + α 2 a n Δ t 2
in the formula
α 1 = α 2 = 4 M ( 4 M + 2 C Δ t + K 0 Δ t 2 ) 1
Therefore, the method is very appreciated, not only for structures with nonlinear damping forces but also for those with nonlinear restoring forces.

2.4. Rosenbrock Method and Its Mechanism of Embedded Newton Iteration

The Rosenbrock method is a model-based integration algorithm that can be implemented by embedding Newton iteration into the implicit Runge–Kutta method. The method maintains the stability of the Runge–Kutta method and avoids iterations that are linked to time consumption in the computation. However, when implementing the Rosenbrock method, second-order equations of motion of the simulated system are required to be reduced into first-order form.
y ˙ = F ( y , t ) = { v M 1 ( g ( t ) h ( v ) f ( d ) ) }
y = { u v }
where y is the state space vector, which combines the displacement and velocity vectors. The Rosenbrock method can be used to calculate the state space vector at tn+1 based on that at tn,
y n + 1 = y n + i = 1 s b i k i
k i = [ 1 γ J Δ t ] 1 × ( F ( t n + α i Δ t , y n + j = 1 i 1 α i j k j ) + J j = 1 i 1 γ i j k j ) Δ t
where α i = j = 1 i 1 α i j , γ i j and b i are integration parameters, which affect the stability and accuracy of the method, and J is the Jacobin matrix, which is required to be updated at the beginning of each time step. The first-order Rosenbrock method, as shown in Equation (15), will be used to explain the mechanism of embedding Newton iteration
k 1 = [ 1 γ J Δ t ] 1 F ( y n , t n ) Δ t y n + 1 = y n + b 1 k 1
Firstly, the formulation of first-order Runge–Kutta is as follows:
y n + 1 = y n + ( 1 γ ) F ( y n , t n ) Δ t + γ F ( y n + 1 , t n + 1 ) Δ t
Equation (16) can be written as
y n + ( 1 γ ) F ( y n , t n ) Δ t + γ F ( y n + 1 , t n + 1 ) Δ t y n + 1 = 0
The only unknown state vector is y n + 1 , which must be iterated in the Runge–Kutta method. Now, suppose the left side of Equation (17) is P(x), and replace yn+1 with:
p ( x ) = y n + [ ( 1 γ ) F ( y n , t n ) + γ F ( x , t n + 1 ) ] Δ t x = 0
The derivation of P(x) with respect to x can be obtained
p ( x ) = γ F ( x , t n + 1 ) Δ t 1
Suppose the initial value of x is y n . Then, Newton iteration can be performed:
y n + 1 = x ( 1 ) = x ( 0 ) ( p ( x ( 0 ) ) ) 1 p ( x ( 0 ) ) = y n + ( I γ J Δ t ) 1 F ( y n , t n ) Δ t
Normally, the time step used is small enough to ensure the accuracy and reliability of simulations. The Jacobian matrix can be supposed to be constant. The method with Newton iteration, as shown in Equation (20), can maintain acceptable accuracy.

2.5. Generalized-α Method

The generalized-α methods are a type of time integration method based on the Newmark method by introducing two parameters to weight the inertial force vector and the other force vectors in the equilibrium equations. The weighted equations of motion can be expressed as
M a n + α + h ( v n + α ) + f ( d n + α ) = F n + α
where
d n + α = ( 1 α f ) d n + 1 + α f d n
v n + α = ( 1 α f ) v n + 1 + α f v n
a n + α = ( 1 α m ) a n + 1 + α m a n
F n + α = ( 1 α f ) F n + 1 + α f F n
From Equations (22) to (25), some parameters are identified as follows:
α m = 2 ρ 1 ρ + 1 , α f = ρ ρ + 1 , γ = 1 2 α m + α f , β = 1 4 ( 1 α m + α f ) 2
Scholars [7] elaborated on the stability of the generalized- α method with respect to α m and α f , as shown in Figure 1.
In Figure 1, the longitudinal axis is the range of values for α f , and the horizontal axis is the range of values for α m . The stability condition for this method is the red-dotted line part. And the red-dotted line is the dynamically stable interval of the parameter.
α m = 2 ρ 1 ρ + 1 <   1 / 2
α f = ρ ρ + 1 < 1 / 2
It can be obtained that
0 < ρ < 1

3. Derivation of a Model-Based Algorithm Method

Based on the same method to make the implicit method into the explicit method along the line of the Rosenbrock method, Newton iteration is applied into the generalized-α method.
The expression for the Newmark method for an MDoF system is
d n + 1 = d n + v n Δ t + ( 1 2 β ) a n Δ t 2 + β a n + 1 Δ t 2
v n + 1 = v n + ( 1 γ ) a n Δ t + γ a n + 1 Δ t
Normally, iteration is carried out by introducing Equations (30) and (31) into Equation (1), resulting in a formula with an unknown vector of dn+1. But this kind of iteration is not very appreciated for structures with nonlinear damping forces and nonlinear restoring forces, which may lose the stability of the original method. In this sense, the acceleration term and velocity term can be represented by using the displacement term as the unknown state vector:
a n + 1 = Δ d n β Δ t 2 v n β Δ t ( 1 2 β 2 β ) a n
v n + 1 = v n + γ β Δ d n Δ t γ β v n + ( 2 β γ 2 β ) Δ t a n
where Δ d n = d n + 1 d n is the displacement increment during the nth time step. Substituting Equations (22)–(24) into Equation (21), the resulting parameters are introduced into the displacement expression:
M ( ( 1 α m ) a n + 1 + α m a n ) + h ( ( 1 α f ) v n + 1 + α f v n ) + f ( ( 1 α f ) d n + 1 + α f d n ) = F n + α
Substituting Equations (32) and (33) into Equation (34), it can be obtained that
M ( ( 1 α m ) ( Δ d n β Δ t 2 v n β Δ t ( 1 2 β 2 β ) a n ) + α m a n ) + h ( ( 1 α f ) ( v n + ( 2 β γ 2 β ) Δ t a n + γ β Δ d n Δ t γ β v n ) + α f v n ) + f ( ( 1 α f ) d n + 1 + α f d n ) = F n + α
Supposing the displacement vector d n + 1 to be x, Equation (35) can be rewritten as follows:
p ( x ) = M ( ( 1 α m ) ( x d n β Δ t 2 v n β Δ t ( 1 2 β 2 β ) a n ) + α m a n ) + h ( ( 1 α f ) ( v n + ( 2 β γ 2 β ) a n Δ t + γ β x d n Δ t γ β v n ) + α f v n ) + f ( ( 1 α f ) x + α f d n ) F n + α
Suppose the initial value of x to be d n , and p ( d n ) can be expressed as:
p ( d n ) = M a ¯ n + 1 + h ( v ¯ n + 1 ) + f ( d n ) F n + α
where
a ¯ n + 1 = a n ( 1 α m ) v n β Δ t ( 1 α m ) a n 2 β
v ¯ n + 1 = v n γ β ( 1 α f ) v n + 2 β γ 2 β ( 1 α f ) a n Δ t
The partial differential derivative of p(x) with respect to x when x = d n can be obtained as follows
p ( x ) x | x = d n = M ( 1 α m ) β Δ t 2 + ( 1 α f ) f ( x ) x + C γ ( 1 α f ) β Δ t
d n + 1 can be calculated by using Newton iteration:
d n + 1 = d n ( p ( x ) x | x = d n ) 1 p ( d n )
Substituting Equations (37)–(40) into Equation (41), it is obtained that:
K * Δ d n = F *
where
K * = M ( 1 α m ) β ( 1 α f ) Δ t 2 + γ C β Δ t + f ( x ) x | x = d n
F * = ( 1 α m ) M v n ( 1 α f ) β Δ t + ( 1 α m ) M a n 2 β ( 1 α f ) M a n + C v n + f ( d n ) α f F n ( 1 α f ) + F n + 1 + 2 β C a n Δ t 2 γ C v n + γ C a n Δ t 2 β
By using Equation (42), Δ d n can be solved in an explicit way with its format.
If Δ d n is obtained, a n + 1 and v n + 1 can be calculated easily by using Equations (32) and (33). Meanwhile, only state quantity is referred to t n , so the proposed method is a double-explicit algorithm. In this section, the displacement term is used as the integration variable to implement the embedded Newton iteration, deriving a new model-based algorithm method with explicit characteristics.

4. Stability Analysis

Stability analysis would be implied in the novel model-based integration method for structures with a nonlinear restoring force. In this section, some parameters are supposed. Ten cases of a single degree of freedom (SDoF) will be employed in the root locus method.
Considering an SDoF structure with mass of m, damping coefficient of c and nonlinear restoring force of f(d), Equation (42) can be reformed as
( ( 1 α m ) m β ( 1 α f ) Δ t 2 + γ c β Δ t + f ( x ) x ) Δ d n = ( 1 α m ) m v n ( 1 α f ) β Δ t + ( 1 α m ) m a n 2 β ( 1 α f ) 2 β γ 2 β c a n Δ t + γ β c v n + F n + α ( 1 α f ) m a n + c v n + f ( d n ) ( 1 α f )
Substituting Equation (25) into Equation (45), the result is as follows:
( ( 1 α m ) m ( 1 α f ) β Δ t 2 + γ c β Δ t + k 1 ) Δ d n = ( 1 α m ) m v n ( 1 α f ) β Δ t + ( 1 α m ) m a n 2 β ( 1 α f ) 2 β γ 2 β c a n Δ t + γ β c v n + F n + 1 m a n + c v n + f ( d n ) ( 1 α f ) + F n α f ( 1 α f )
In the formula, it is assumed that
k 1 = f ( x ) x | x = d n
According to Equation (46), the solution procedure of the previous integration step expression is simplified as
( m ( 1 α m ) β ( 1 α f ) Δ t 2 + c γ β Δ t + k 0 ) Δ d n 1 = ( 1 α m ) m v n 1 ( 1 α f ) β Δ t + ( 1 α m ) m a n 1 2 β ( 1 α f ) ( 2 β γ 2 β ) c a n 1 Δ t + γ β c v n 1 + F n m a n 1 + c v n 1 + f ( d n 1 ) F n 1 α f ( 1 α f )
In the formula, it is assumed that
k 0 = f ( x ) x | x = d n 1
According to Equations (32) and (33), the previous integration step has the following relations:
a n 1 = 2 1 2 γ + 2 β Δ d n 1 Δ t 2 + 2 v n ( 1 2 γ + 2 β ) Δ t 2 ( γ β ) a n 1 2 γ + 2 β
v n 1 = 2 ( γ 1 ) ( 1 2 γ + 2 β ) Δ d n 1 Δ t + ( 2 β 1 ) v n ( 1 2 γ + 2 β ) ( 2 β γ ) a n Δ t ( 1 2 γ + 2 β )
Substituting Equations (50) and (51) into Equation (48), it is obtained that
( ( 1 α m ) m β ( 1 α f ) Δ t 2 + γ c β Δ t + k 0 ) Δ d n 1 = 2 α m m v n ( 1 α f ) ( 1 2 γ + 2 β ) Δ t + F n + F n 1 α f f ( d n 1 ) ( 1 α f ) + ( 2 β γ ) α f ( 1 2 γ + 2 β ) ( 1 α f ) c a n Δ t + ( 2 γ 2 + 2 β + γ ) ( 1 α f ) + 2 β ( γ 1 ) β ( 1 α f ) ( 1 2 γ + 2 β ) c Δ d n 1 Δ t + ( ( 2 γ + 1 ) ( 1 α m ) + 2 β ) β ( 1 2 γ + 2 β ) ( 1 α f ) m Δ d n 1 Δ t 2 + ( 2 ( 1 α f ) ( γ 1 ) ( 2 β 1 ) ) ( 1 α f ) ( 1 2 γ + 2 β ) c v n + ( 2 ( γ β ) ( 1 α m ) ) m a n ( 1 α f ) ( 1 2 γ + 2 β )
Comparing Equations (46) and (52), the following formula can be derived:
b 1 Δ d n b 2 Δ d n 1 = b 3 m v n Δ t f ( d n ) f ( d n 1 ) ( 1 α f ) + Δ F n + b 4 m a n + Δ F n 1 α f ( 1 α f ) b 5 c Δ t a n + b 6 c v n
where
b 1 = m ( 1 α m ) β ( 1 α f ) Δ t 2 + c γ β Δ t + k 1
b 2 = 2 β α m m β ( 1 α f ) ( 1 2 γ + 2 β ) Δ t 2 + 2 α f ( γ 1 ) c ( 1 α f ) ( 1 2 γ + 2 β ) Δ t + k 0
b 3 = ( 1 α m ) ( 1 2 γ + 2 β ) + 2 β α m ( 1 α f ) β ( 1 2 γ + 2 β )
b 4 = ( 1 α m ) ( 1 2 γ + 4 β ) 2 β ( 1 α f ) 2 β ( 1 2 γ + 2 β )
b 5 = ( ( 2 β γ + α f γ ) ( 1 2 γ + 2 β ) 2 α f β ( 1 γ ) 2 β ( 1 α f ) ( 1 2 γ + 2 β ) )
b 6 = ( 1 α f ) ( γ 2 γ 2 + 2 β ) + β ( 2 γ 2 ) β ( 1 α f ) ( 1 2 γ + 2 β )
According to the definition of secant stiffness, the following formulation can be considered:
f ( d n ) f ( d n 1 ) = k t Δ d n 1
Substituting Equation (60) into Equation (53), it is obtained that:
b 1 Δ d n b 2 Δ d n 1 = b 3 m v n Δ t + b 4 m a n b 5 c a n Δ t + b 6 c v n k t Δ d n 1 ( 1 α f ) + Δ F n + Δ F n 1 α f ( 1 α f )
ρ is linked to high-frequency numerical dissipation and low-frequency numerical dissipation. If it is lower, i.e., ρ < 1/2, the high-frequency dissipation is better, while it also reduces the accuracy of the low-frequency response. Therefore, an apt ρ means sufficiently high-frequency dissipation without losing low-frequency accuracy. Here, supposing ρ = 1 / 2 , some parameters can be obtained as follows:
γ = 5 / 6 , β = 4 / 9 , α f = 1 / 3 , α m = 0
Substituting Equation (62) into Equation (61), it is obtained that
( 27 m 8 Δ t 2 + 15 c 8 Δ t + k 1 ) Δ d n ( 3 c 4 Δ t + k 0 ) Δ d n 1 = 27 m 8 Δ t v n + 27 m 16 a n + 9 8 c v n 3 a n 16 c Δ t + Δ F n 1 2 + Δ F n 3 2 ( f ( d n ) f ( d n 1 ) )
Z-transformation is applied to Equations (50) and (51), resulting in
v n ( z ) = 3 ( 1 + 5 z ) 2 ( 2 z + 1 ) 2 Δ d n ( z ) Δ t
a n ( z ) = 9 ( z 1 ) ( 2 z + 1 ) 2 Δ d n ( z ) Δ t 2
Transforming Equation (63) by z-transformation and substituting Equations (64) and (65) into Equation (63), it can be obtained that
( 27 m z 4 ( 2 z + 1 ) Δ t 2 + ( 15 z 6 ) c 4 ( 2 z + 1 ) Δ t + 2 z k 1 2 k 0 ( 2 z + 1 ) ) Δ d n = ( 81 z ( 4 z 1 ) m 4 ( 2 z + 1 ) 3 Δ t 2 + 27 z c 4 ( 2 z + 1 ) 2 Δ t 3 k t ( 2 z + 1 ) ) Δ d n + Δ F n
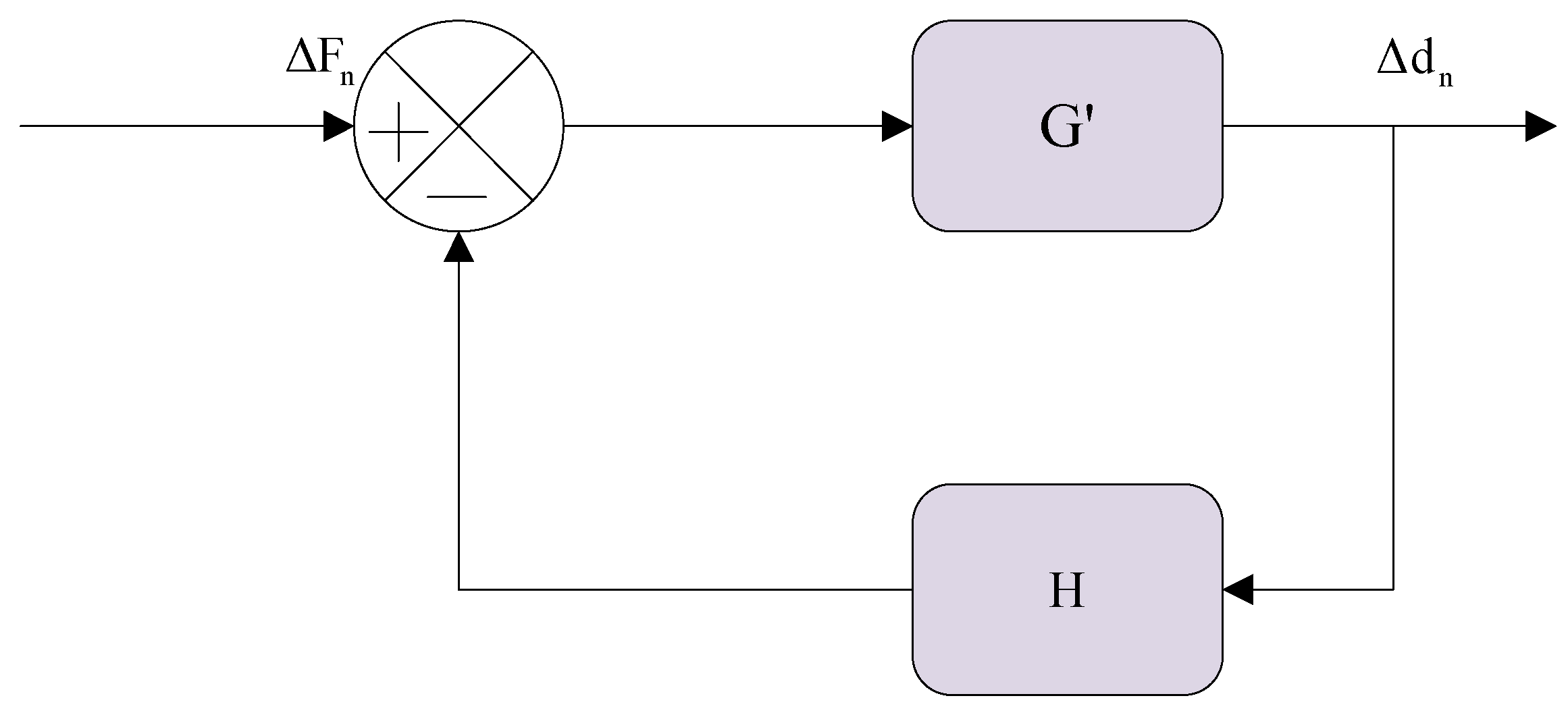
Considering Equation (66), the closed loop of the proposed method for a dynamic structure with a nonlinear restoring force is shown in Figure 2.
The forward transfer function and feedback function are as follows:
G = ( 27 m z 4 ( 2 z + 1 ) Δ t 2 + 15 c z 4 ( 2 z + 1 ) Δ t + 2 z k 1 2 k 0 ( 2 z + 1 ) 3 c 2 ( 2 z + 1 ) Δ t )
H = ( 81 z ( 4 z 1 ) 4 ( 2 z + 1 ) 3 m Δ t 2 + 27 z 4 ( 2 z + 1 ) 2 c Δ t 3 k t ( 2 z + 1 ) )
The complete transfer function of the system is as follows:
G = G 1 + H = 1 ( 54 m + 30 c Δ t + 16 k Δ t 2 ) z 3 ( 108 m + 9 c Δ t 16 k Δ t 2 + 16 k 0 Δ t 2 24 k t Δ t 2 ) z 2 ( 18 c Δ t 54 m 4 k Δ t 2 + 16 k 0 Δ t 2 24 k t Δ t 2 ) z ( 4 k 0 Δ t 2 + 3 c Δ t 6 k t Δ t 2 )
The characteristic equation of the transfer function can be obtained:
( 54 m + 30 c Δ t + 16 k Δ t 2 ) z 3 ( 108 m + 9 c Δ t 16 k Δ t 2 + 16 k 0 Δ t 2 24 k t Δ t 2 ) z 2 ( 18 c Δ t 54 m 4 k Δ t 2 + 16 k 0 Δ t 2 24 k t Δ t 2 ) z ( 4 k 0 Δ t 2 + 3 c Δ t 6 k t Δ t 2 )
The above equation can be expressed in the form of root locus as
1 + k t 6 ( 2 z + 1 ) 2 Δ t 2 p 1 z 3 p 2 z 2 p 3 z p 4 = 0
where
p 1 = 54 m + 30 c Δ t + 16 k 1 Δ t 2 , p 2 = 108 m + 9 c Δ t 16 k 1 Δ t 2 + 16 k 0 Δ t 2 , p 3 = 18 c Δ t 54 m 4 k 1 Δ t 2 + 16 k 0 Δ t 2 ,   p 4 = ( 4 k 0 Δ t 2 + 3 c Δ t ) .
Equations (70) and (71) can be applied to plot the root locus in MATLAB(R2022b).
In Figure 3, the black circle is a unit circle. The green curve, the red curve, and the blue curve in the figure represent the three characteristic root locations of the closed-loop transfer function along the increase of kt from 0 to infinity. It can be clearly seen that they all start from the circle marks, i.e, the zero points, and end at the cross marks, i.e., the poles. Initially, the red and green lines are symmetric about the horizontal axis (x-axis), which denote two conjugate complex roots. After intersecting of them, one decreases with the increase of kt, while the other increase with the increase of kt. The blue line represents the real root, which increases with the increase of kt.
The root locus curve is divided into two parts. Ten pink points represent ten cases when k t = ( i / 10 ) k 0 + ( 1 i / 10 ) k 1 , ( i = 0 , 1 , 2 10 ) . These parts that are inside the unit circle are stable, while the others are unstable. According to Figure 3, ten cases are all in the circle. It is denoted that the proposed method is stable.

5. Accuracy Analysis of the Proposed Method

In this section, some specific examples are implemented to verify the superiority of the proposed method ( ρ = 1 / 2 ) with respect to some other relative methods in terms of accuracy and convergence.

5.1. Accuracy Analysis Through Simulations of a Three-Story Struture

A three-story shear-type structural model [32] was adopted in this subsection, and the seismic fortification intensity in the area where the structure is located is 8 degrees. The peak acceleration of the seismic wave is set to 0.2 g, and the seismic wave is El Centro (EW) wave. A schematic representation of the emulated structure is shown in Figure 4. In the model, Rayleigh damping is considered with 5% damping ratios of the first and second modes. Metal yield dampers are installed in all three stories. Bouc–Wen mode is used to describe the nonlinear behavior of the dampers, which is detailed in Table 1. The sinusoidal wave is taken as the excitation, which is also detailed in Table 1. The basic parameter of the simulated structure is shown in Table 2, supposing the result carried out by the Newmark-β method is taken as the reference solution.
Three methods are used to calculate the top displacement of the structure corresponding to time steps of 0.1 s, 0.001 s, and 0.0001 s, respectively. The displacement relative error is shown in Table 3. According to Table 3, the errors of the proposed method are generally more favorable than the CR method and slightly higher than the Chang method. Moreover, the proposed method is stable, while the other two methods behave unstably when the used time step is equal to 0.01 s.

5.2. Numerical Simulation of an MDoF Structure with Nonlinear Restoring Forces

The structure of this subsection is consistent with the previous subsection. Three scenarios with different values of the Bouc–Wen model are considered, as shown in Table 4. The integration step is chosen to be Δ t = 0.01   s . El Centro (EW) is adopted to analyze the question. The computation time of different methods is shown in Table 5, Table 6, Table 7 and Table 8. The error with the maximum displacement with respect to the reference solution is shown in Table 9.
As shown in Table 5, Table 6, Table 7 and Table 8, the proposed method’s computation time is slightly greater in low time steps. In Table 9, the curve of the proposed method is in great agreement with the reference solution, while the curves of the Chang method and the CR method exhibit instability. The data in the table show that the proposed method has good applicability and reliability.
In order to test the accuracy of the new method, the top displacement curves of the new method, the CR method and the Chang method are compared together. The Figure 5 and Figure 6 are as follows:
It can be seen from Figure 5 that the blue curve represents the displacement curve of the CR method, the green curve represents the displacement curve of the Chang method, the black curve is the displacement curve of the “reference solution” and the red is the displacement curve of the new method.
According to Figure 5a, it can be clearly seen that the blue curve has a large instability, the four curves in the figure are in good agreement in Figure 5b, the blue curve and the green curve in the figure are in instability in Figure 5c, and in Figure 5d the method in the figure is in poor agreement. Now in order to study the relationship between the curves more carefully and clearly, the maximum value of the interception position is shown in Figure 6.
In Figure 6a, the red curve in the figure is farther away from the “reference solution” curve, the relative error is larger, and the blue curve and the green curve are closer to the “reference solution”, that is, the relative error is smaller; in Figure 6b the red curve in the figure is closest to the “reference solution”, that is, the new method shows good accuracy characteristics, Figure 6c the figure (d) the are not analyzed here due to instability and poor coincidence.
To verify application of the proposed method, with different values of ρ is shown in Figure 7 and Figure 8. It is noted that the proposed method is fit well with reference solution. It is noted that the method is acceptably for dynamic analysis of MDoF structures.

6. Numerical Simulation of an MDoF Frame Structure

To verify the preference of the proposed method, an eight-story frame structure model is emulated in this section. The same model can be found in the literature [33], and the seismic fortification intensity in the area where the structure is located is 8 degrees. The peak acceleration of the seismic wave is set to 0.2 g, and the seismic wave is El Centro (EW) wave.
The schematic diagram of the MDoF frame structure is shown in Figure 9. with structural elements detailed in Table 10. There are three spans, eight stories and totally ninety-six DoFs in the model. And 8 metal dampers are installed in the middle span of all storeys, the Bouc-Wen model of which is shown in Table 4. The same seismic wave considered is El-Centro (EW) wave. And in this section, the value of ρ is 0.4, unless otherwise stated.
The comparison of the proposed method with respect to the Chang and CR methods is shown in Table 11, Figure 10 and Figure 11 in term of top displacement. According to Table 11, when γ = −200 displacement error is bigger than Chang method and CR method. For the other scenarios, the proposed method is better than Chang method and CR method. Meanwhile as shown in Figure 11c, when γ = 1000, Chang method and CR method is unstable. The displacement of proposed method is much closer to the reference solution than others.
In order to investigate the reliability of the proposed method with different values of ρ , in Figure 12, four scenarios of the eight-story structure with different dampers of four values of γ (i.e., 200, −200, 1000, −1000) are simulated by using the proposed method with the same time step of 0.001 s and different values of ρ (i.e., 0.2, 0.4, 0.6 and 0.8). In Figure 12, the solutions solved by the proposed method with the time step of 0.0001 s and ρ of 1.0, which is the same as the average acceleration method, are taken as the reference solutions. All curves fit well with each other. It is concluded that the proposed method with different values of ρ is reliable.
In Table 12, the maximal error of the top displacement with respect to the reference solution is listed. It is noted that relative errors decrease with an increase in ρ .

7. Numerical Simulation of a Shear-Type Structure with a Pendulum at the Top

After completing the verification of the stability of the new algorithm for the nonlinear restoring force, this section further focuses on its applicability in geometric nonlinear scenarios. Taking the four-layer articulated single pendulum model as the research object, through the full process verification of theoretical modeling and numerical analysis, the performance of the algorithm under geometric nonlinear conditions is evaluated. The parameters of the pendulum are assumed to be m1 = m2 = m3 = m4 = 5 × 108 kg, k1 = k2 = k3 = k4 = 3 × 108 N/m, and L = 2 m. Firstly, we consider the initial velocity and displacement to be 0. Then, the earthquake wave is El Centro (EW), and for all cases, the time step is 1 ms. The model is attached below: Figure 13.
For the sake of brevity, there are four scenarios among the peak acceleration: 0.05 g, 0.10 g, 0.15 g and 0.20 g. The displacements of the pendulum curve are shown as follows Figure 14:
According to the analysis results, under the four different working scenarios, both the Chang method and the CR method exhibit instability to varying degrees, specifically manifested as sudden changes or divergence trends in the displacement response curves during the dynamic process. Among them, in the simulations of working scenarios (a)–(c), the displacement response curve of the single pendulum obtained by the new method has a high degree of coincidence with the “reference solution”, especially showing good consistency in key dynamic indicators, such as the characteristics of amplitude change, phase period, and attenuation law. However, the displacement response in the second half of working condition (d) shows that the displacement amplitude of the new method is significantly lower than that of the “reference solution”.

8. Conclusions

This study introduces Newton iteration into the generalized-α method and creatively proposes a model-based integration algorithm with dual-explicit expression in displacement and velocity. The stability of this method for nonlinear restoring forces was tested and analyzed using the root locus method. Its reliability was verified through numerical simulations of three-story and eight-story frame structures. Simulation comparisons were taken among the proposed algorithm, the Chang method and CR method. The conclusions can be summarized as follows:
  • The proposed method, creatively applying iteration to displacement, simultaneously keeps a finer stability and accuracy.
  • The proposed method provides a new method for solving dynamic systems with nonlinear restoring forces, and its expression can maintain double-explicit characteristics.
  • The stability of the new method is more reliable when solving nonlinear restoring problems compared with the Chang method and CR method.
  • There exists high accuracy in solving dynamics problems with a nonlinear restoring force compared with the Chang method and CR method.
  • The proposed method may be applied to other fields, which remain to be further studied.

Author Contributions

Conceptualization and methodology: W.G.; Software development and data analysis: W.G.; Data collection and curation: Y.L.; Writing—original draft: Y.Z.; Writing—review and editing: W.G.; Visualization: Y.Z.; Supervision and project administration: M.G. and C.J. All authors have read and agreed to the published version of the manuscript.

Funding

This research was funded by National Natural Science Foundation of China grant number 52278481.

Data Availability Statement

The data presented in this study are available on request from the corresponding author. The data are not publicly available due to the confidentiality requirements for unfinished research projects.

Conflicts of Interest

The authors declare no conflict of interest.

Abbreviations

The following abbreviations are used in this manuscript:
TIAsTime integration algorithms
MDoFMulti-degrees-of-freedom
SDoFSingle-degree-of-freedom

References

  1. Du, X.; Yang, D.; Zhou, J.; Yan, X.; Zhao, Y.; Li, S. New Explicit Integration Algorithms with Controllable Numerical Dissipation for Structural Dynamics. Int. J. Str. Stab. Dyn. 2018, 18, 1850044. [Google Scholar] [CrossRef]
  2. Li, S.; Qin, L.; Guo, H.; Yang, D. A Method of Improving Time Integration Algorithm Accuracy for Long-Term Dynamic Simulation. Int. J. Str. Stab. Dyn. 2020, 20, 2050079. [Google Scholar] [CrossRef]
  3. Hilber, H.M.; Hughes, T.J.R.; Taylor, R.L. Improved Numerical Dissipation for Time Integration Algorithms in Structural Dynamics. Earthq. Eng. Struct. Dyn. 1977, 5, 283–292. [Google Scholar] [CrossRef]
  4. Newmark, N.M. A Method of Computation for Structural Dynamics. J. Eng. Mech. Div. 1959, 85, 67–94. [Google Scholar]
  5. Wilson, E.L.; Farhoomand, I.; Bathe, K.J. Nonlinear Dynamic Analysis of Complex Structures. Earthq. Eng. Struct. Dyn. 1972, 1, 241–252. [Google Scholar] [CrossRef]
  6. Wood, W.L.; Bossak, M.; Zienkiewicz, O.C. An Alpha Modification of Newmark’s Method. Int. J. Numer. Meth. Eng. 1980, 15, 1562–1566. [Google Scholar] [CrossRef]
  7. Chung, J.; Hulbert, G.M. A Time Integration Algorithm for Structural Dynamics with Improved Numerical Dissipation: The Generalized-α Method. J. Appl. Mech. 1993, 60, 371–375. [Google Scholar] [CrossRef]
  8. Tamma, K.K.; Zhou, X.; Sha, D. A Theory of Development and Design of Generalized Integration Operators for Computational Structural Dynamics. Int. J. Numer. Meth. Eng. 2001, 50, 1619–1664. [Google Scholar] [CrossRef]
  9. Bathe, K.-J.; Baig, M.M.I. On a Composite Implicit Time Integration Procedure for Nonlinear Dynamics. Comput. Struct. 2005, 83, 2513–2524. [Google Scholar] [CrossRef]
  10. Bursi, O.S.; He, L.; Lamarche, C.P.; Bonelli, A. Linearly Implicit Time Integration Methods for Real-Time Dynamic Substructure Testing. J. Eng. Mech. 2010, 136, 1380–1389. [Google Scholar]
  11. Chen, C.; Ricles, J.M. Stability Analysis of SDOF Real-Time Hybrid Testing Systems with Explicit Integration Algorithms and Actuator Delay. Earthq. Eng. Struct. Dyn. 2008, 37, 597–613. [Google Scholar] [CrossRef]
  12. Rezaiee-Pajand, M.; Sarafrazi, S.R.; Hashemian, M. Improving Stability Domains of the Implicit Higher Order Accuracy Method. Numer. Meth Eng. 2011, 88, 880–896. [Google Scholar] [CrossRef]
  13. Chen, C.; Ricles, J.M. Development of Direct Integration Algorithms for Structural Dynamics Using Discrete Control Theory. J. Eng. Mech. 2008, 134, 676–683. [Google Scholar] [CrossRef]
  14. Arnold, M.; Burgermeister, B.; Eichberger, A. Linearly Implicit Time Integration Methods in Real-Time Applications: DAEs and Stiff ODEs. Multibody Syst. Dyn. 2007, 17, 99–117. [Google Scholar] [CrossRef]
  15. Chi, F.; Wang, J.; Jin, F. Delay-Dependent Stability and Added Damping of SDOF Real-Time Dynamic Hybrid Testing. Earthq. Eng. Eng. Vib. 2010, 9, 425–438. [Google Scholar] [CrossRef]
  16. Chang, S.-Y. An Explicit Structure-Dependent Algorithm for Pseudodynamic Testing. Eng. Struct. 2013, 46, 511–525. [Google Scholar] [CrossRef]
  17. Chang, S.-Y. Explicit Pseudodynamic Algorithm with Unconditional Stability. J. Eng. Mech. 2002, 128, 935–947. [Google Scholar] [CrossRef]
  18. Kolay, C.; Ricles, J.M. Assessment of Explicit and Semi-Explicit Classes of Model-Based Algorithms for Direct Integration in Structural Dynamics. Int. J. Numer. Methods Eng. 2016, 107, 49–73. [Google Scholar] [CrossRef]
  19. Li, S.; Yang, D.; Guo, H.; Liang, G. General Formulation of Eliminating Unusual Amplitude Growth for Structure-Dependent Integration Algorithms. Int. J. Str. Stab. Dyn. 2020, 20, 2050006. [Google Scholar] [CrossRef]
  20. Rosenbrock, H.H. Some General Implicit Processes for the Numerical Solution of Differential Equations. Comput. J. 1963, 5, 329–330. [Google Scholar] [CrossRef]
  21. Chang, S.-Y. An Unusual Amplitude Growth Property and Its Remedy for Structure-Dependent Integration Methods. Comput. Methods Appl. Mech. Eng. 2018, 330, 498–521. [Google Scholar] [CrossRef]
  22. Zhu, F.; Wang, J.; Jin, F.; Chi, F.; Gui, Y. Stability Analysis of MDOF Real-time Dynamic Hybrid Testing Systems Using the Discrete-time Root Locus Technique. Earthq. Eng Struct. Dyn. 2015, 44, 221–241. [Google Scholar] [CrossRef]
  23. Cervi, E.; Cammi, A.; Di Ronco, A. Stability Analysis of the Generation-IV Nuclear Reactors by Means of the Root Locus Criterion. Prog. Nucl. Energy 2018, 106, 316–334. [Google Scholar] [CrossRef]
  24. Wang, T.; Zhou, H.; Zhang, X.; Ran, T. Stability of an Explicit Time-Integration Algorithm for Hybrid Tests, Considering Stiffness Hardening Behavior. Earthq. Eng. Eng. Vib. 2018, 17, 595–606. [Google Scholar] [CrossRef]
  25. Avcu, N.; Güzeliş, C. Bifurcation Analysis of Bistable and Oscillatory Dynamics in Biological Networks Using the Root-locus Method. IET Syst. Biol. 2019, 13, 333–345. [Google Scholar] [CrossRef]
  26. Rocha, R.; Medrano-T, R.O. Stability Analysis for the Chua Circuit with Cubic Polynomial Nonlinearity Based on Root Locus Technique and Describing Function Method. Nonlinear Dyn. 2020, 102, 2859–2874. [Google Scholar] [CrossRef]
  27. Li, M.; Huang, C.; Hu, P.; Wen, J. Mean-Square Stability and Convergence of a Split-Step Theta Method for Stochastic Volterra Integral Equations. J. Comput. Appl. Math. 2021, 382, 113077. [Google Scholar] [CrossRef]
  28. Zhao, J.; Han, F.; Wang, Y.; Zhang, X.; Zhang, G.; Du, G. Decoupling Control of Multi-DOF Supporting System of MLDSB. Appl. Sci. 2021, 11, 7239. [Google Scholar] [CrossRef]
  29. Arunglabi, R.; Allu, N.; Merlin. Design of Direct Current Motor Speed Controlled Anchor Based on Root Locus Method. J. Phys. Conf. Ser. 2022, 2394, 012022. [Google Scholar] [CrossRef]
  30. Yao, Z.; Yang, Z.; Fu, Y. Long Time Decay Analysis of Complex-Valued Fractional Abstract Evolution Equations with Delay. Appl. Math. Comput. 2024, 460, 128292. [Google Scholar] [CrossRef]
  31. Han, C.; Chen, Z.; Xu, X.; Zheng, W.; Xu, J.; Yang, C.; Tang, C.; Gao, L.; Pan, Y.; The-J-TEXT-Team. Study on Performance of Horizontal Displacement Control System of J-TEXT Tokamak under Limiter and Divertor Configuration. Fusion Eng. Des. 2022, 178, 113099. [Google Scholar] [CrossRef]
  32. Zhou, H.; Li, H.-N.; Fu, X. Optimum design of a re-centering deformation-amplified SMA damper. Gongcheng Lixue/Eng. Mech. 2019, 36, 202–210. [Google Scholar] [CrossRef]
  33. Pan, C.; Zhang, R.; Luo, H.; Lu, J. Constant damping ratio design method for damping controlled structures with metallic yielding dampers. Jianzhu Jiegou Xuebao/J. Build. Struct. 2018, 39, 39–47. [Google Scholar]
Figure 1. Classification of generalized-alpha method αmαf space.
Figure 1. Classification of generalized-alpha method αmαf space.
Mathematics 13 01231 g001
Figure 2. Closed loop block diagram.
Figure 2. Closed loop block diagram.
Mathematics 13 01231 g002
Figure 3. The root locus curve of the proposed algorithm for dynamic problems with nonlinear restoring force.
Figure 3. The root locus curve of the proposed algorithm for dynamic problems with nonlinear restoring force.
Mathematics 13 01231 g003
Figure 4. Three-story shear-type model with metal damper.
Figure 4. Three-story shear-type model with metal damper.
Mathematics 13 01231 g004
Figure 5. Displacement time–history curves of frame structure under four scenarios.
Figure 5. Displacement time–history curves of frame structure under four scenarios.
Mathematics 13 01231 g005
Figure 6. Time–history local curves of three- story frame structure displacement under four scenarios.
Figure 6. Time–history local curves of three- story frame structure displacement under four scenarios.
Mathematics 13 01231 g006
Figure 7. Displacement solutions of the proposed method with different values of ρ .
Figure 7. Displacement solutions of the proposed method with different values of ρ .
Mathematics 13 01231 g007
Figure 8. Parts of solutions under three scenarios.
Figure 8. Parts of solutions under three scenarios.
Mathematics 13 01231 g008
Figure 9. Schematic diagram of MDoF frame structure.
Figure 9. Schematic diagram of MDoF frame structure.
Mathematics 13 01231 g009
Figure 10. Displacement time–history curves of MDoF frame structure under three scenarios.
Figure 10. Displacement time–history curves of MDoF frame structure under three scenarios.
Mathematics 13 01231 g010
Figure 11. Time–history local curves of eight-story frame structure displacement under four scenarios.
Figure 11. Time–history local curves of eight-story frame structure displacement under four scenarios.
Mathematics 13 01231 g011
Figure 12. Displacement time–history curves of MDoF frame structure under four scenarios.
Figure 12. Displacement time–history curves of MDoF frame structure under four scenarios.
Mathematics 13 01231 g012
Figure 13. Schematic diagram of the structure of a four-story pendulum model.
Figure 13. Schematic diagram of the structure of a four-story pendulum model.
Mathematics 13 01231 g013
Figure 14. Displacement curve of a four stores pendulum model.
Figure 14. Displacement curve of a four stores pendulum model.
Mathematics 13 01231 g014
Table 1. Basic situation of the model.
Table 1. Basic situation of the model.
NotationValueNotationValue
K 0 3.70 kN/cmPeriod2
n1Peak acceleration0.2 g
γ−1000Duration5 s
β652.7Initial displacement and velocity0
Table 2. Mass and stiffness of each storey.
Table 2. Mass and stiffness of each storey.
Story1st Story2nd Story3rd Story
Mass (kg)2.3 × 1042.3 × 1042.3 × 104
Stiffness (N/m)1.5 × 10171.5 × 10171.5 × 1017
Table 3. Errors of different integration methods with different time steps.
Table 3. Errors of different integration methods with different time steps.
Δ t (s)Chang MethodCR MethodNovel Method
0.01DestabilizationDestabilization23.45%
0.00113.46%75.70%22.51%
0.000113.45%75.75%22.00%
Table 4. Parameters of the Bouc–Wen model.
Table 4. Parameters of the Bouc–Wen model.
ScenariosInitial Stiffnessβγ
Scenario I 3.70   kN / mm 652.7−1000
Scenario II 3.70   kN / mm 652.7−200
Scenario III 3.70   kN / mm 652.7200
Scenario IV 3.70   kN / mm 652.71000
Table 5. The computation time of the methods for Scenario I using different time steps.
Table 5. The computation time of the methods for Scenario I using different time steps.
Δ t 0.010.0010.0001
Chang method2.72 s9.83 s1651.64 s
CR method3.31 s8.25 s1721.53 s
New method0.19 s11.35 s2220.06 s
Table 6. The computation time of the methods for Scenario II using different time steps.
Table 6. The computation time of the methods for Scenario II using different time steps.
Δ t 0.010.0010.0001
Chang method0.11 s8.42 s1580.85 s
CR method0.09 s9.37 s1778.21 s
New method0.11 s10.97 s2048.50 s
Table 7. The computation time of the methods for Scenario III using different time steps.
Table 7. The computation time of the methods for Scenario III using different time steps.
Δ t 0.010.0010.0001
Chang method0.11 s8.55 s1654.39 s
CR method0.18 s8.24 s1554.38 s
New method0.36 s11.41 s2217.12 s
Table 8. The computation time of the methods for Scenario IV using different time steps.
Table 8. The computation time of the methods for Scenario IV using different time steps.
Δ t 0.010.0010.0001
Chang method0.93 s8.97 s1669.78 s
CR method1.03 s8.21 s1672.32 s
New method1.35 s11.09 s2186.42 s
Table 9. The computation time of the methods for Four scenarios using different time steps.
Table 9. The computation time of the methods for Four scenarios using different time steps.
ScenariosChang MethodCR MethodNovel Method
Scenario I9.29%Destabilization5.12%
Scenario II1.97%1.81%0.95%
Scenario III0.12%0.64%0.99%
Scenario IV400.12%1.52%1.04%
Table 10. Parameters of frame structure.
Table 10. Parameters of frame structure.
Frame StructureCross-Sectional Size (mm)
Column600 × 600
Edge beams600 × 350
Intermediate beam500 × 350
Table 11. Displacement relative error of methods.
Table 11. Displacement relative error of methods.
βγChang MethodCR MethodNovel Method
652.72000.52%0.51%0.075%
652.7−2000.93%0.92%0.140%
652.71000DestabilizationDestabilization0.006%
652.7−10002.48%2.52%0.933%
Table 12. Displacement relative error of novel method with four values of ρ .
Table 12. Displacement relative error of novel method with four values of ρ .
Relative Error0.20.40.60.8
Scenario I0.0088764190.0038593130.0015437250.000385931
Scenario II0.0071368150.0031485950.0012594380.000419813
Scenario III0.0089975780.0038561050.0012853680.000183624
Scenario IV0.0076606930.0042133810.0015321390.000766069
Disclaimer/Publisher’s Note: The statements, opinions and data contained in all publications are solely those of the individual author(s) and contributor(s) and not of MDPI and/or the editor(s). MDPI and/or the editor(s) disclaim responsibility for any injury to people or property resulting from any ideas, methods, instructions or products referred to in the content.

Share and Cite

MDPI and ACS Style

Guo, W.; Jia, C.; Gan, M.; Zhang, Y.; Li, Y. Novel Model-Based Integration Algorithm Based on Generalized-α Method. Mathematics 2025, 13, 1231. https://doi.org/10.3390/math13081231

AMA Style

Guo W, Jia C, Gan M, Zhang Y, Li Y. Novel Model-Based Integration Algorithm Based on Generalized-α Method. Mathematics. 2025; 13(8):1231. https://doi.org/10.3390/math13081231

Chicago/Turabian Style

Guo, Weinan, Chuanguo Jia, Min Gan, Yan Zhang, and Yutao Li. 2025. "Novel Model-Based Integration Algorithm Based on Generalized-α Method" Mathematics 13, no. 8: 1231. https://doi.org/10.3390/math13081231

APA Style

Guo, W., Jia, C., Gan, M., Zhang, Y., & Li, Y. (2025). Novel Model-Based Integration Algorithm Based on Generalized-α Method. Mathematics, 13(8), 1231. https://doi.org/10.3390/math13081231

Note that from the first issue of 2016, this journal uses article numbers instead of page numbers. See further details here.

Article Metrics

Back to TopTop