Next Article in Journal
On Log-Definite Tempered Combinatorial Sequences
Previous Article in Journal
Performance Evaluation of Beluga Whale Optimization–Long Short-Term Memory–Random Forest Networks for Trajectory Control and Energy Optimization in Excavator Systems
 
 
Font Type:
Arial Georgia Verdana
Font Size:
Aa Aa Aa
Line Spacing:
Column Width:
Background:
Article

Optimal Service Operation Strategy in Battery Swapping Supply Chain

1
School of Business Administration, Guizhou University of Finance and Economics, Guiyang 550025, China
2
School of Artificial Intelligence, Neijiang Normal University, Neijiang 641100, China
*
Author to whom correspondence should be addressed.
Mathematics 2025, 13(7), 1178; https://doi.org/10.3390/math13071178
Submission received: 18 February 2025 / Revised: 29 March 2025 / Accepted: 31 March 2025 / Published: 2 April 2025
(This article belongs to the Section D2: Operations Research and Fuzzy Decision Making)

Abstract

To explore the operation strategy of battery leasing and battery swapping services (the two services), this paper constructs a battery swapping supply chain consisting of the battery manufacturer and the vehicle company. Taking the battery manufacturer as a core enterprise, this paper examines four service operation strategies: two self-operated services, self-operated battery swapping services, self-operated battery leasing services and two outsourcing services. Through comparative analysis, the findings indicate that the optimal strategy for the battery manufacturers depends on the vehicle body price. Specifically, when the vehicle body price is low, self-operating both services maximizes profitability and effectively stimulates demand for battery-swapping vehicles. Conversely, when the price is high, a complete outsourcing strategy is preferable, as it is the most effective way to stimulate battery-swapping vehicle demand. Similarly, the optimal strategy for the vehicle company is influenced by the vehicle body price. The vehicle company should provide the two services only when the vehicle body price is low; otherwise, they should focus on producing battery-swapping vehicles. Moreover, to stimulate demand for battery-swapping services, the determination of the optimal strategy is contingent upon several key variables, including the vehicle body price, the battery-swapping service price sensitivity, and the battery-swapping operating cost-sharing ratio.

1. Introduction

As a strategic initiative to drive the high-quality development of China’s automobile industry, new energy vehicles (NEVs) have experienced significant market expansion in recent years. However, challenges such as limited battery lifespan, short driving range, and low vehicle value retention have emerged as critical barriers to the sustainable growth of the NEV industry [1]. To address these issues, the vehicle and battery separation model has been proposed as an innovative solution [2].
This model encompasses two key dimensions. Firstly, it entails the value separation of the vehicle and the battery, treating them as distinct entities. Under this approach, companies no longer sell batteries outright but instead offer the battery leasing service to consumers, alleviating consumer concerns related to high battery depreciation and low vehicle value retention [3]. An illustrative instance is NIO Inc. (NIO)’s [Hefei, Anhui, China] innovative ‘Battery as a Service’ (BaaS) solution. Secondly, the model involves the physical separation of the vehicle and the battery, whereby the vehicle body and battery are designed to be detachable. This arrangement facilitates battery swapping as an alternative to traditional charging methods, effectively addressing consumer concerns about limited driving range [4].
In the vehicle and battery separation model, battery manufacturers, as key component suppliers, are actively entering the battery swapping sector. For example, Contemporary Amperex Technology Co., Ltd. (CATL) [Ningde, Fujian, China], the world’s leading battery manufacturer, has entered the battery-swapping industry through its dedicated battery-swapping brand, EVOGO, which derives its name from ‘Evolution + Go’. In this model, battery manufacturers are the primary operators, managing the two services (battery leasing and battery swapping). Specifically, they produce standardized battery packs and provide the battery leasing service directly to consumers. Moreover, they develop battery swapping technology, establish battery swapping stations, and ensure compatibility with industry standards for battery sizes and interfaces to provide the battery swapping service. However, battery manufacturers face significant challenges in managing the operations of the two services. First, as batteries are core components of NEVs, they are costly and require substantial upfront investment. Returns from battery leasing typically take 6 to 8 years, which may bring financial pressure to enterprises. Second, the development of a battery-swapping network demands significant initial investment and entails a lengthy payback period, further intensifying financial pressures.
With the rise of vehicle and battery separation models, the two services have gradually become profitable ventures. Therefore, battery manufacturers must decide whether to manage the two services independently or outsource these services, either partially or entirely. This decision results in three potential strategies: full self-operation, partial outsourcing (where either battery leasing or battery swapping service is outsourced), and complete outsourcing. Based on these strategies, this paper focuses on addressing the following critical questions:
(1)
Which operational strategy should battery manufacturers adopt, and how does this decision influence the profitability of vehicle companies?
(2)
Which operational strategy should vehicle companies adopt?
(3)
Which strategy is most advantageous for the growth and sustainability of the battery-swapping industry?
(4)
How do the price of a battery-swappable vehicle body, consumers’ sensitivity to battery-swapping service price and battery production cost influence market demand and corporate profitability?
This paper constructs a battery-swapping supply chain consisting of battery manufacturers and vehicle companies. Based on this framework, three operational strategies are analyzed: fully self-operated, partially outsourced (where either the battery leasing service or the battery swapping service is outsourced), and fully outsourced. The paper evaluates the performance of supply chain members under these strategies and identifies the optimal decision-making approach for both battery manufacturers and vehicle companies. By comparing the outcomes of these operational strategies, this paper endeavors to provide both theoretical insights and practical guidance for battery manufacturers and vehicle companies in their decisions related to the battery leasing service, the battery swapping service and battery-swappable vehicles.
The main findings are as follows:
When the vehicle body price is low, battery manufacturers maximize their profits by directly operating the two services, which increases demand for battery-swapping vehicles and optimizes supply chain profitability. Conversely, when the vehicle body price is high, a fully outsourced strategy becomes preferable, as it also boosts demand for battery-swapping vehicles and enhances supply chain profitability.
The optimal strategy for vehicle companies is also affected by the vehicle body price. When the price is low, vehicle companies benefit from providing two services: battery leasing and battery swapping. However, as the price rises, they should prioritize vehicle production instead.
Only under the BYY strategy do changes in the vehicle body price affect both demand and profit. Specifically, As the vehicle body price increases, the demand for battery-swapping vehicles and services declines, negatively impacting the profits of battery manufacturers. Additionally, as price sensitivity to battery swapping or battery production cost increases, the demand for battery-swapping vehicles and services decreases, leading to lower corporate profits.
The structure of this paper is as follows: Section 2 provides a brief review of the relevant literature. Section 3 outlines the problem description and fundamental assumptions. Section 4 introduces four strategies and derives their corresponding equilibrium solutions. Section 5 conducts a comparative analysis of these solutions. Section 6 presents a numerical example, while Section 7 concludes the study and explores potential directions for future research.

2. Literature Review

The relevant literature encompasses three key areas: vehicle and battery separation model, the battery leasing service and the battery swapping service.

2.1. Vehicle and Battery Separation Model

Various business models have emerged for NEVs, including battery leasing [5], vehicle leasing [6] and vehicle sharing leasing [7]. As part of the exploration of NEV business models, companies like Better Place and Tesla introduced the vehicle and battery separation model. However, these efforts ultimately failed, sparking an academic debate about the feasibility of this model in overcoming the industry’s development challenges. Some researchers argued that the model can support peak load regulation and enhance power grid stability [8,9]. Yang et al. [10] examined the necessity of implementing the vehicle and battery separation model for private electric vehicles in China. Building on this analysis, it identifies the key factors influencing the adoption of this model by the two companies. Additionally, Huang and Qian [11] investigated the psychological factors influencing consumers’ willingness to purchase NEVs under various business models. Their findings indicate that vehicle leasing significantly enhances adoption.
Research on the vehicle and battery separation model primarily examines the feasibility of this business model. The failure of the model in international markets can be attributed to the misalignment in the positioning of the target market. However, its initial implementation in China has demonstrated notable success, revealing that China provides the necessary conditions and a supportive environment for its development. Based on this, this paper further studies the operational issues of the battery leasing service and battery swapping service involved in the vehicle and battery separation model.

2.2. Battery Leasing Service

To address uncertainties related to return timing, product quality and volume within remanufacturing systems, Li et al. [12] analyzed three sales strategies for remanufacturers: single leasing, single sales and simultaneous leasing and sales. From the perspective of battery leasing service, Wang and Du [13] established a supply chain involving vehicle manufacturers and battery swapping operators, investigating the effects of subsidies for battery swapping stations. Considering the secondary use of batteries, Liu et al. [14] explored the sales, leasing and hybrid strategies employed by battery recyclers and refurbishers. Shi and Hu [15] evaluated the feasibility of integrating battery leasing into the Battery-as-a-Service model, emphasizing the advantages for manufacturers, customers and the environment. Gong et al. [16] investigated the leasing and sales strategies for hydrogen fuel cell vehicle batteries through a game-theoretic model, examining the dynamic interactions between automakers and consumers.
Most research on battery leasing services primarily emphasizes their economic aspects. Relevant studies include those by Wang and Du [13] and Shi and Hu [15]. Wang and Du [13] analyzed the pricing strategy by bundling battery leasing with battery swapping services. Shi and Hu [15], on the other hand, compare flexible and fixed battery leasing approaches, emphasizing their implications for consumers, enterprises and the environment. Building on these studies, this paper adopts a systematic perspective grounded in the vehicle and battery separation model, examining the interaction between the two services and providing a comprehensive analysis of their pricing strategies.

2.3. Battery Swapping Service

Zhang et al. [17] studied the boundary conditions under which providers of electric vehicle charging services offer both rapid charging and battery swapping services. Tang et al. [18] investigated the marginal conditions under which vehicle companies producing charging models would transition to manufacturing battery-swappable cars. Yang et al. [19] examined competition between two vehicle manufacturers in a duopoly electric vehicle market, analyzing whether battery swapping services should be licensed to third-party operators or self-operated. Yang et al. [20] constructed a Hotelling model to analyze competition between battery swapping and charging service providers in the market and evaluated the effectiveness of three subsidy policies: no subsidy, subsidies for battery swapping operators, and consumer subsidies. Moreover, expanding upon the research by Yang et al. [19] and Yang et al. [20] and incorporating consumers’ time value preferences, Hu et al. [21] examined the pricing strategy for battery leasing and battery-swapping services within a battery-swapping system composed of charging operators, battery swapping operators and battery leasing companies.
Systematic research on the battery-swapping supply chain remains in its early stages in the field of operations management. In particular, studies that focus on the interplay between the two services in the supply chain are limited. Among the most relevant studies are Yang et al. [19] and Hu et al. [21]. Yang et al. [19] examined the service pricing strategy for two competing automobile manufacturers, incorporating consumers’ time preferences in decision-making. In contrast, Hu et al. [21] analyzed battery charging and swapping services in the automotive supply chain and further examined the pricing strategies for battery leasing and swapping. Although these studies provide a significant understanding of the development of battery-swapping services, they lack a comprehensive examination of the combined impact of battery-swapping vehicles, battery leasing and battery-swapping services on the supply chain. This paper seeks to address these gaps, providing a systematic analysis that contributes to the advancement of research in this area.
Table 1 summarizes the key differences between this study and the existing literature. There are four key innovations compared to the existing literature. First, this paper constructs a battery-swapping supply chain led by battery manufacturers, while most existing papers construct a battery-swapping supply chain from the perspective of service operators. Second, it systematically examines products and services in the vehicle and battery separation model, including battery-swappable vehicles, battery leasing and battery-swapping services. It integrates both vehicle sales and energy replenishment aspects, whereas prior studies often focus on a single service. Third, the paper provides a comparative analysis of the four distinct operational strategies for the two services, offering conclusions and managerial insights to guide industry practices and advance the battery-swapping industry. Fourth, it addresses the issue of cost-sharing for battery operations arising from the separation of battery ownership and operational rights during battery swapping. This contrasts with existing research, which often assumes consistency between ownership and operational rights.

3. Problem Description and Basic Assumptions

3.1. Problem Description

The battery-swapping supply chain discussed in this paper consists of a battery manufacturer and a vehicle company, as illustrated in Figure 1. In this system, the battery manufacturer produces standardized battery packs and offers the battery leasing service to consumers at the price denoted as p r . Moreover, the battery manufacturer invests in building battery-swapping stations and provides the battery-swapping service to consumers at the price denoted as p s .
The vehicle company produces battery-swapping vehicles (excluding batteries) and sells them at the price denoted as p v . However, they lack the capability to independently develop and produce standardized batteries, making their participation in the battery-swapping industry reliant on collaboration with battery manufacturers. In this system, the battery manufacturer is the leader, while the vehicle company is the follower. By providing batteries for battery-swapping vehicles, the battery manufacturer establishes dominance over battery-swapping standards, including the standardized design of batteries, modules and boxes. For example, CATL collaborates with Chongqing Changan Automobile Co., Ltd. (CCAG) [Chongqing, China], Beijing Automotive Group Co., Ltd. (BAIC) [Beijing, China] and other vehicle manufacturers (https://evogo.cn/news/official, accessed on 1 February 2025). In this collaborative model, CATL has mastered the core technology of standard battery packs and battery-swapping technology. Consequently, vehicle manufacturers partnering with CATL must adopt its battery standards for their products [13].
In this system, to alleviate financial pressure, the battery manufacturer may transfer battery ownership to the vehicle company at the price denoted as w b . Simultaneously, as the battery-swapping market is projected to grow to a scale of hundreds of billions, the battery manufacturer can outsource the battery-swapping service to external parties at the price denoted as h to generate profit. As a result, the battery manufacturer has four strategic options for managing the two services: (1) fully self-operate the two services; (2) only provide the battery swapping service while outsourcing the battery leasing service; (3) only provide the battery leasing service while outsourcing the battery swapping service; (4) fully outsource the two services.

3.2. Basic Assumptions

Assumption 1.
The overall count of batteries utilized during the entire lifespan of a battery-swapping vehicle surpasses that of a single battery, owing to the vehicle’s extended operational life compared to the battery’s lifespan. Essentially, multiple batteries are employed throughout the lifespan of a battery-swapping vehicle [21]. In this paper, the lifespan of the battery-swapping vehicle serves as the crucial factor so that the total number of batteries consumed over the vehicle’s life cycle is expressed as t s t b , where t s represents the life cycle of the battery-swapping vehicle and t b represents the life cycle of a single battery.
Assumption 2.
During the sales process of battery-swapping vehicles, the total cost to consumers comprises two primary components: the vehicle body price and the battery leasing service price. According to Zhang and Rao [22] and Avci et al. [23], the market demand for battery-swapping vehicles is represented as: D v = α t s p r p v , where α ( α > 0 ) is the battery-swapping vehicle market size, p r ( p r > 0 ) is the battery leasing price, and p v ( p v > 0 ) is the vehicle body price. In addition, given the 1:1 matching between battery and vehicle, the battery leasing service demand D r is equal to D v , that is D r = D v .
Assumption 3.
Battery swapping serves as the method for energy replenishment during the operational phase of battery-swapping vehicles, making the demand for this service a derived demand from battery-swapping vehicles. Therefore, the demand for battery-swapping services D s is influenced by both the demand for battery-swapping vehicles D v and the cost of the battery-swapping service p s throughout the lifespan of these vehicles. According to Yoo et al. [24], the demand function for battery-swapping services is expressed as: D s = D v θ p s , where θ ( θ > 0 ) represents the price sensitivity coefficient of the battery-swapping service, and p s ( p s > 0 ) denotes the average battery-swapping price over the lifespan of battery-swapping vehicles (battery-swapping price for short).
Assumption 4.
The investment cost of the battery-swapping station primarily encompasses the costs associated with the site leasing/purchasing, battery-swapping infrastructure, and spare batteries. This is typically a one-time investment, denoted as c B . According to Wang and Du [13] and Hu et al. [21], battery-swapping stations must allocate a proportionate amount of balanced batteries based on market demand for battery-swapping vehicles, ensuring they meet both consumer needs and operational demands. Assuming that the balanced battery ratio is δ and the battery production cost is c b , then the battery cost is δ c b D v . Let γ be the proportion of battery cost to battery-swapping station investment cost, then c B = δ c b D v γ . To simplify the model, let the balanced battery cost ratio λ = δ γ , then c B = λ c b D v .
Assumption 5.
The battery-swapping operating costs c s primarily include battery maintenance costs and electricity costs [25]. In the vehicle and battery separation model, the battery-swapping service is provided by the battery-1swapping service provider, while battery ownership belongs to the battery leasing service provider. If the operating entities of the two services differ, this can result in a misalignment between battery ownership and operational control. Consequently, battery leasing service providers need to share the battery maintenance cost incurred by the battery-swapping service provider [26]. Referring to NIO’s cost-sharing method, the battery leasing service provider bears the unit battery swapping operating costs incurred by the battery swapping service provider μ c s  (https://ir.nio.com/zh-hans/financials/annual-reports, accessed on 1 February 2025). Here, μ represents the battery-swapping operating cost sharing ratio. Moreover, electricity costs, which do not influence decision-making, are simplified to zero to streamline the model.
The relevant parameters are shown in Table 2.
The relevant variables are shown in Table 3.
To ensure that all parameters have practical significance, they are set as positive numbers. Among them, the price sensitivity coefficient of the battery-swapping service, denoted as θ , is constrained to the range (0, 1).

4. Model Establishment and Solution

4.1. Self-Operated Two Services (BYY Strategy)

Under the BYY strategy, the battery manufacturer provides the two services directly to consumers. For example, CATL introduced a battery-swapping model in collaboration with First Automobile Works (FAW) Bestune [Changchun, Jilin, China] and Aiways Automobile Co., Ltd. (Aiways) [Shanghai, China]. Under this partnership, CATL supplies batteries at a leasing price of 399 RMB per battery and offers battery swapping service through EVOGO battery swap stations (https://www.catl.com/news/6341.html, accessed on 1 February 2025; https://www.catl.com/news/6434.html, accessed on 1 February 2025). In this scenario, the decision-making sequence is as follows: The battery manufacturer centrally determines both the battery leasing price p r and the battery swapping price p s . The objective functions of the battery manufacturer and the vehicle company are as follows:
max π b B Y Y p r , p s = ( t s p r t s t b c b ) D v + ( p s c s ) D s λ c b D v
max π v B Y Y = p v D v
Proof. 
The proof process is seen in Appendix A. □
In what follows, we assume that 4 θ 1 > 0 . This condition must be satisfied to ensure that the profit function reaches its maximum. It implies that optimal decision-making by enterprises occurs in a market environment where consumers exhibit relatively high sensitivity to the price of battery swapping. If consumers are not sufficiently sensitive to this price, enterprises will be unable to maximize their profits.
Proposition 1.
The optimal price, demand and profit of the battery manufacturer and the vehicle company under the BYY strategy are as follows:
p r B Y Y = 2 θ A t b ( a θ c s p v ) t b t s ( 4 θ 1 )
p s B Y Y = 2 θ t b c s A t b ( 4 θ 1 )
D v B Y Y = θ ( 2 A + c s t b ) t b ( 4 θ 1 )
D s B Y Y = θ ( A + 2 θ c s t b ) t b ( 4 θ 1 )
π b B Y Y = ( θ c s 2 t b 2 + A t b c s + A 2 ) θ ( 4 θ 1 ) t b 2
π v B Y Y = p v θ ( 2 A c s t b ) t b ( 4 θ 1 )
Here, A = λ c b t b + c b t s + p v t b a t b .

4.2. Self-Operated Battery-Swapping Service (BYN Strategy)

Under the BYN strategy, the battery manufacturer provides the battery-swapping service to consumers while transferring battery ownership to the vehicle company. The vehicle company, in turn, is responsible for managing the batteries and offering the battery leasing service. Notably, under this strategy, battery ownership resides with the vehicle company, whereas the battery swapping service is managed by the battery manufacturer. Consequently, the vehicle company must bear a portion of the battery-swapping operational costs μ c s typically incurred by the battery manufacturer. In this scenario, the decision-making sequence is as follows: The battery manufacturer first centrally determines both the battery price w b and the battery-swapping price p s , and then the vehicle company decides on the battery leasing price p r . The objective functions of the battery manufacturer and the vehicle company are as follows:
max π b B Y N w b , p s = t s t b ( w b c b ) D v + ( p s c s ( 1 μ ) ) D s λ c b D v
max π v B Y N p r = p v D v + ( t s p r t s t b w b ) D v μ c s D s
Proof. 
The proof process is seen in Appendix B. □
Proposition 2.
The optimal price, demand and profit for the battery manufacturer and the vehicle company under the BYN strategy are as follows:
w b B Y N = 4 θ B + a t b ( 8 θ 1 ) 2 θ c s t b ( 3 μ 1 ) + μ c s t b t s ( 8 θ 1 )
p r B Y N = 2 θ B + μ θ c s t b + θ c s t b + t b ( 8 θ 1 ) ( a p v ) t s t b ( 8 θ 1 )
p s B Y N = B c s t b ( 4 θ C + 1 ) t b ( 8 θ 1 )
D v B Y N = θ ( 2 B + μ c s t b + c s t b ) t b ( 8 θ 1 )
D s B Y N = θ ( B + 4 θ c s t b C μ c s t b ) t b ( 8 θ 1 )
π b B Y N = θ ( t b ( 2 2 θ C 2 + μ ) c s 2 + t b ( μ + 1 ) B c s + B 2 ) ( 8 θ 1 ) t b 2
π v B Y N = θ ( ( 32 μ C θ 2 + ( 10 μ 5 μ 2 1 ) θ μ ) t b 2 c s 2 t b ( 4 θ C μ ) B c s + 4 θ B 2 ) t b ( 8 θ 1 ) 2 2
Here, B = λ c b t b + c b t s a t b , C = μ 1 .

4.3. Self-Operated Battery Leasing Service (BNY Strategy)

Under the BNY strategy, the battery manufacturer provides the battery leasing service while authorizing the vehicle company to manage the battery-swapping service. For example, under CATL’s “EVOGO City Partner” plan, battery-swapping operations can be outsourced to designated partners (https://mp.weixin.qq.com/s/Pk5jJ1MPqbvCGeXJy0B_pQ, accessed on 1 February 2025). Notably, under this strategy, battery ownership resides with the battery manufacturer, whereas the battery-swapping service is managed by the vehicle company. Consequently, the battery manufacturer must bear a portion of the battery swapping operational costs μ c s typically incurred by the vehicle company. In this case, the decision-making sequence is as follows: the battery manufacturer first determines the battery leasing price p r and the authorization price h for the battery-swapping service. Afterward, the vehicle company determines the battery-swapping service price p s . The objective functions of the battery manufacturer and the vehicle company are as follows:
max π b B N Y p r , h = h D s + ( t s p r t s t b c b ) D v μ c s D s λ c b D v
max π v B N Y p s = p v D v + ( p s ( 1 μ ) c s ) D s h D s
Proof. 
The proof is the same as the BYN strategy and is omitted. □
Proposition 3.
The optimal price, demand and profit for the battery manufacturer and the vehicle company under the BNY strategy are as follows:
h B N Y = 2 A ( 8 μ θ μ 4 θ ) t b ( 8 θ 1 )
p r B N Y = 4 A + θ c s t b + ( 8 θ 1 ) ( a p v ) t b t b t s ( 8 θ 1 )
p s B N Y = 3 A 2 θ c s t b + c s t b t b ( 8 θ 1 )
D v B N Y = θ ( 4 A + c s t b ) t b ( 8 θ 1 )
D s B N Y = θ ( A + 2 θ c s t b ) t b ( 8 θ 1 )
π b B N Y = ( θ c s 2 t b 2 + t b A c s + 2 A 2 ) θ t b ( 2 8 θ 1 )
π v B N Y = θ ( 4 θ 2 c s 2 t b 2 + t b ( 4 θ A + t b D ) c s A ( 4 t b D A ) ) t b ( 8 θ 1 ) 2 2
Here, D = p v ( 8 θ 1 ) .

4.4. Outsourcing Two Services (BNN Strategy)

Under the BNN strategy, the battery manufacturer transfers battery ownership to the vehicle company and authorizes them to manage the battery-swapping service. Thus, the vehicle companies are responsible for providing the two services. In this case, the decision-making sequence is as follows: the battery manufacturer first determines the battery price w b , after which the vehicle company sets the battery leasing price p r and the battery swapping price p s . The objective functions of the battery manufacturer and the vehicle company are as follows:
max π b B N N w b = h D s + t s t b ( w b c b ) D v λ c b D v
max π v B N N p r , p s = p v D v + ( t s p r t s t b w b ) D v + ( p s c s ) D s h D s
Proof. 
The proof is the same as the BYN strategy and is omitted. □
Proposition 4.
The optimal price, demand and profit for the battery manufacturer and the vehicle company under the BNN strategy are as follows:
w b B N N = 2 λ c b t b + 2 a t b 2 h t b + 2 c b t s c s t b 4 t s
p r B N N = 2 θ A + t b ( 8 a θ + θ c s 10 θ p v 2 a + 2 p v ) ) 2 t b t s ( 4 θ 1 )
p s B N N = B 8 θ t b ( h + c s ) + 2 h t b + 3 c s t b 2 t b ( 4 θ 1 )
D v B N N = θ ( 2 B + c s t b ) 2 t b ( 4 θ 1 )
D s B N N = θ ( 2 B + 8 θ t b ( h + c s ) 2 h t b c s t b ) 4 t b ( 4 θ 1 )
π b B N N = ( c s 2 t b 2 4 t b ( h t b ( 4 θ 1 ) B ) c s + 4 B 2 4 t b h 2 2 ( 4 θ 1 ) ) θ 8 t b ( 2 4 θ 1 )
π v B N N = ( t b ( 2 16 θ 3 ) c s 2 4 t b ( 2 h t b ( 1 4 θ ) B ) c s + 4 B 2 + 4 t b ( 2 4 θ 1 ) h 2 ) θ 16 t b ( 2 4 θ 1 )

5. Model Comparison and Analysis

5.1. Model Comparison

Corollary 1.
Comparison of the battery leasing price under different strategies:
When p v < p v 1 , p r > B Y N p r , B N Y p r B N N > p r B Y Y ; p v 1 p v < p v 2 , p r > B Y N p r > B N Y p r > B Y Y p r B N N ; p v p v 2 , p r > B N Y p r , B Y Y p r B Y N > p r B N N .
Here, E = a t b λ c b t b c b t s , p v 1 = 2 E c s t b 4 t b , p v 2 = 2 E + μ c s t b 4 t b .
Proof. 
The proof process is in Appendix C. □
According to Corollary 1, the self-operated single-service strategy of battery manufacturers (the BYN and BNY strategy) typically leads to an increase in battery leasing service costs, which in turn drives up the battery leasing price. In contrast, a fully self-operated strategy, where the battery manufacturer manages the two services, or a fully outsourced strategy, where both services are delegated to the vehicle company, can effectively reduce the battery leasing price by optimizing resource integration and improving operational efficiency. This indicates that any self-operated single-service strategy is likely to increase the service cost of battery leasing, whereas the integration of both services helps to enhance efficiency, thereby alleviating the economic burden on consumers.
Furthermore, the price of the vehicle body plays a crucial role in influencing the battery leasing price across the four strategies. Specifically, in terms of price increases, when the vehicle body price is low ( p v < p v 2 ), the BYN strategy results in a higher battery leasing price. Conversely, when the vehicle body price is high ( p v p v 2 ), the BNY strategy is the most effective in increasing the battery leasing price. This suggests that when the vehicle body price is low, outsourcing battery leasing to the vehicle company enables it to provide both battery-swapping vehicles and leasing services to the market. To offset the limited profit from vehicle body sales, the vehicle company may increase the battery leasing price. Conversely, when the price of the vehicle body is high, the demand for battery-swapping vehicles decreases, which directly leads to a reduction in the demand for battery leasing. As a result, when battery manufacturers operate the battery leasing service, they may be compelled to increase the battery leasing price to sustain their operations. On the other hand, with regard to price reduction, when the vehicle body price is low ( p v < p v 1 ), the BYY strategy is most effective in lowering the battery leasing price. Conversely, the BNN strategy is more effective in reducing the battery leasing price when the vehicle body price is high. This suggests that when the vehicle body price is low, battery manufacturers can more effectively control costs and service quality by self-operating both services (BYY strategy), allowing them to offer more competitive battery leasing prices. In contrast, when both services are fully outsourced to vehicle companies (BNN strategy), the vehicle companies’ market channels and brand influence can be leveraged to attract consumers at a lower price, thereby facilitating the wider adoption of battery leasing services.
Therefore, when the vehicle body price is low, battery manufacturers should choose to self-operate the two services. In contrast, when the price is high, they should consider fully outsourcing the services to maintain competitive battery leasing prices.
Corollary 2.
The comparison of battery-swapping service prices under different strategies is presented in Table 4.
Here, p v 3 = 2 h t b 8 h θ t b + 2 E c s t b 4 t b , F = 4 θ 1 , p v 4 = 32 θ E 32 θ 2 c s t b 64 h θ 2 t b + 24 h θ t b 10 E + 8 θ c s t b 2 h t b + c s t b 12 t b F .
Proof. 
The proof process is seen in Appendix D. □
According to Corollary 2, consumers’ sensitivity to the battery swapping price is a crucial factor influencing the battery swapping price across the four strategies. Specifically, when consumers exhibit lower sensitivity to battery swapping price, the battery manufacturer’s fully self-operated or fully outsourced strategies (the BYY and BNN strategy) tend to drive up the price of battery swapping. In this case, when the vehicle body price is low, the self-operated two services strategy employed by the battery manufacturer results in the highest battery swapping price. Conversely, when the vehicle body price is high, the fully outsourced two-service strategy results in the highest battery swapping price. On the other hand, when consumers exhibit high sensitivity to the battery-swapping price, outsourcing the battery-swapping service to vehicle companies (the BNY and BNN strategy) leads to a higher battery-swapping price. In this scenario, when the vehicle body price is low, outsourcing only the battery swapping service results in the highest battery swapping price. Conversely, when the vehicle body price is low, outsourcing both services results in the highest battery swapping price.
This is because when consumer sensitivity to battery swapping prices is low, battery manufacturers tend to opt for either a fully self-operated or fully outsourced strategy. In these cases, both the battery manufacturers and vehicle companies, as simultaneous operators of the two services, can leverage their strong market control to set relatively high battery swapping prices. However, when the battery manufacturer operates only one type of service (the BYN and BNY strategy), it can offer the most competitive battery swapping price due to more focused service provisioning and better cost control. Conversely, when consumers exhibit significant sensitivity to the battery swapping price if battery manufacturers choose to outsource battery swapping services to vehicle companies (the BNY or BNN strategy), vehicle companies often view battery swapping services as a critical revenue stream. This outsourcing model, coupled with decentralized decision-making on the battery swapping service, leads vehicle companies to raise the battery swapping price.
Therefore, battery manufacturers should carefully consider both consumers’ sensitivity to battery swapping prices and the vehicle body price when selecting their operating strategies. In markets where consumers exhibit low price sensitivity, the strategy should prioritize maximizing control over the service market through complete self-operation or complete outsourcing. In contrast, for markets with high battery-swapping price sensitivity, the strategy should focus on cost control and competitive pricing through outsourcing the battery-swapping service. Specifically, the choice of strategy is highly contingent on the vehicle body price.
Corollary 3.
Comparison of the demand for battery-swapping vehicles:
When p v < p v 5 , D v > B Y Y D v , B Y N D v , B N Y D v B N N ; when p v p v 5 , D v > B N N D v > B Y Y D v , B Y N D v B N Y .
Here, p v 5 = 2 E 2 c s t b + c s t b t s 4 t b .
Proof. 
The proof process is seen in Appendix E. □
Corollary 3 demonstrates that among the self-operated and outsourced strategies for the two services, adopting either a fully self-operated or fully outsourced strategy is the most effective approach to promoting battery-swapping vehicles.
The optimal strategy for advancing battery-swapping vehicles depends on the price of the vehicle body. When the vehicle body price is low ( p v < p v 5 ), the optimal strategy is for the battery manufacturer to self-operate both services. Conversely, when the vehicle body price is high ( p v p v 5 ), a complete outsourcing strategy becomes more appropriate. This is because when the vehicle body price is low, consumers become more sensitive to the total cost of battery swapping, including vehicle body purchase price, battery leasing fees, and battery swapping service charges. In this scenario, battery manufacturers can stimulate market demand by leveraging centralized decision-making and optimized pricing strategy to offer a more competitive price. On the other hand, when the vehicle body price is high, consumers place greater emphasis on the purchase cost of the vehicle body. In this scenario, a complete outsourcing strategy allows vehicle companies to attract consumers by lowering service prices. This pricing flexibility enhances demand for battery-swapping vehicles, effectively addressing consumer concerns in high-cost markets.
Within the vehicle and battery separation model, the selection of a service strategy for promoting battery-swapping vehicles should correspond to the market positioning of battery-swapping vehicles. In the case of economy vehicles, battery manufacturers should independently operate both services to maximize resource utilization efficiency and reduce costs. Meanwhile, vehicle companies should focus on the production of battery-swapping vehicles, leveraging their core competencies. For example, the cooperation model between CATL and vehicle companies on operating models primarily follows this approach. For luxury vehicles, battery manufacturers should outsource both services to vehicle companies. By purchasing swapping batteries and obtaining authorization for the battery swapping service, vehicle companies can combine battery leasing with vehicle sales while providing battery swapping throughout the vehicle’s operational phase.
Corollary 4. 
A comparison of the demand for battery-swapping services under different strategies is presented in Table 5.
Here, θ 1 = 3 h t b + 8 h t b E + h 2 t b 2 4 h c s t b 2 16 h t b , θ 2 = 4 μ c s t b + 3 h t b + 8 μ t b c s E + 8 h t b E 4 μ c s 2 t b 2 + h 2 t b 2 4 h c s t b 2 16 t b ( μ c s + h ) , μ 1 = 2 θ ( 2 E c s t b ) t b c s F 2 , μ 2 = 24 h θ t b 64 h θ 2 t b 2 h t b + 2 F c s t b 4 t b c s F 2 , p v 7 = 8 h θ t b + 2 E 2 h t b c s t b 4 t b , p v 6 = 8 μ θ c s t b 16 μ θ 2 c s t b + 4 θ E μ c s t b 2 θ c s t b t b ( 8 θ 1 ) .
Proof. 
The proof process is seen in Appendix F. □
Corollary 4 indicates that the optimal strategy for the battery-swapping service demand is influenced by the vehicle body price, the cost-sharing ratio for battery-swapping operations and consumers’ sensitivity to battery-swapping price:
(1) The BYN strategy is optimal. When the vehicle company bears a larger proportion of the battery swapping operating cost ( μ μ 1 ), it alleviates the operational burden on the battery manufacturer. This enables battery manufacturers to flexibly adjust and respond to market price fluctuations through self-operated battery-swapping services, thereby effectively stimulating the market adoption of battery-swapping services. Moreover, when the battery swapping operation cost-sharing ratio is not high, the vehicle price is high, and consumer sensitivity to the battery swapping price is either low or high ( μ 2 μ < μ 1 , p v p v 6 and 1 4 < θ < θ 1 , or μ < μ 1 , p v p v 6 and θ θ 1 ), the strategy of battery manufacturers solely operating battery swapping services is more effective in promoting the market adoption of battery swapping. A high vehicle price diminishes demand for battery-swapping vehicles, leading to a further decline in demand for battery-swapping services. In this scenario, even if battery manufacturers must bear higher operating costs for battery swapping services, they are likely to self-operate the battery swapping service to stimulate demand and maintain overall market price control.
(2) The BNN strategy is optimal. When the battery swapping operation cost-sharing ratio is low, the vehicle body price is not low, and consumers exhibit low sensitivity to battery swapping price ( μ < μ 1 , p v 7 p v < p v 6 and 1 4 < θ < θ 2 , or μ < μ 2 , p v p v 6 and 1 4 < θ < θ 1 ), the higher vehicle body price suppresses demand for battery-swapping vehicles. Under these conditions, even if consumers exhibit low sensitivity to battery swapping prices, battery manufacturers should outsource both services to vehicle companies, leveraging the latter’s advantages in vehicle sales and services to drive the growth of battery swapping demand.
(3) The BYY strategy is optimal. When the battery swapping operation cost-sharing ratio is low, the vehicle body price is not high, and the sensitivity to battery swapping price is either low or high ( μ < μ 1 , p v < p v 7 and 1 4 < θ < θ 2 , or μ < μ 1 , p v < p v 6 and θ θ 2 ), battery manufacturers can achieve the greatest benefits by self-operating both services. This approach allows them to capitalize on their advantages and implement integrated management and optimization, from battery production to the battery swapping service, thereby enhancing service quality and operational efficiency.
Corollary 5.
The comparison of battery manufacturer profit:
(1) π b B Y Y > π b B N Y ;
(2) When θ < θ 3 , if p v 8 p v < p v 9 , π b B Y Y < π b B N N , if p v < p v 9 or p v p v 9 , π b B Y Y > π b B N N ; When θ θ 3 , π b B Y Y π b B N N ;
(3) When θ < θ 4 , if p v 10 p v < p v 11 , π b B Y Y < π b B Y N , if p v < p v 10 or p v p v 11 , π b B Y Y > π b B Y N ; When θ θ 4 , π b B Y Y π b B Y N .
Here, θ 3 = 4 h t b ( 2 h + c s ) + 3 c s 2 t b 2 + 4 B c s + 4 B 2 8 t b ( 2 2 h 2 + 2 h c s + c s ) 2 , p v 8 = 4 B 2 t b c s 8 h t b F 2 ( h + 2 c s ) 2 t b ( 2 16 θ 5 ) c s 2 + 8 t b B c s + 8 B 2 8 t b , p v 9 = 4 B 2 t b c s + 8 h t b F 2 ( h + 2 c s ) 2 t b ( 2 16 θ 5 ) c s 2 + 8 t b B c s + 8 B 2 8 t b , θ 4 = t b ( 2 4 μ + 1 ) c s 2 + 4 t b ( μ + 1 ) B c s + 4 B 2 8 μ t b c s 2 ( 2 μ 2 ) , G = 8 θ 1 , p v 10 = G ( 2 B c s t b ) G F ( t b ( 2 8 μ 2 θ 4 F μ + 1 ) c s 2 + 4 t b ( μ + 1 ) B c s + 4 B 2 ) 2 G t b , p v 11 = G ( 2 B c s t b ) + G F ( t b ( 2 8 μ 2 θ 4 F μ + 1 ) c s 2 + 4 t b ( μ + 1 ) B c s + 4 B 2 ) 2 G t b .
Proof. 
The comparison for Corollary 5 is similar to Corollary 4 and thus omitted. The same applies hereafter. □
Corollary 5(1) indicates that battery manufacturers will not opt to outsource only battery-swapping services. This is because outsourcing the battery-swapping service alone does not achieve the expected cost-effectiveness or operational efficiency. Instead, it may increase management complexity and potentially reduce service quality.
Corollaries 5(2) and 5(3) demonstrate that under certain conditions, battery manufacturers have a clear advantage in self-operating both services. Specifically, when the sensitivity to battery swapping price is high ( θ θ 3 , θ 4 ), or when the sensitivity to battery swapping price is low but vehicle body prices are either low or high ( θ < θ 3 , θ 4 , and p v < p v , 8 p v 10 or p v p v , 9 p v 11 ), battery manufacturers are more likely to self-operate both services.
This is because higher price sensitivity for battery swapping means consumers react more strongly to changes in the battery swapping price, motivating battery manufacturers to attract consumers through self-operated services. This allows battery manufacturers to better control the two service prices, optimizing the overall service offering. Conversely, when price sensitivity is low, consumers are less affected by battery swapping price changes. In this case, a lower vehicle body price drives higher demand for battery leasing services, which subsequently stimulates battery swapping demand and encourages battery manufacturers to operate both services independently. Moreover, a higher vehicle body price reduces demand for battery leasing, which in turn lowers the need for battery swapping services. When consumer sensitivity to battery swapping prices is low, battery manufacturers can leverage their advantages to provide competitively priced, self-operated services, thereby driving market demand and increasing profit margins.
Therefore, battery manufacturers will avoid outsourcing only the battery-swapping service, as this would complicate management and fail to deliver sufficient revenue improvements. In markets characterized by high consumer price sensitivity or low sensitivity to battery swapping price, along with relatively low or high vehicle body price, battery manufacturers are more likely to adopt a self-operated two-service strategy to maximize revenue. In contrast, when consumer price sensitivity is low, and the vehicle body price is moderate, battery manufacturers may opt to outsource battery leasing services (the BYN and BNN strategy) to reduce management burdens.
Corollary 6.
The comparison of supply chain system profit:
(1) When θ < 0.5 and c b c b 1 , if p v < p v 12 , π T B Y Y > π T B Y N , if p v p v 12 , π T B Y Y < π T B Y N ; when θ < 0.5 and c b < c b 1 ,  π T B Y Y > π T B Y N ; when θ 0.5 , if p v < p v 12 , π T B Y Y > π T B Y N , if p v p v 12 , π T B Y Y < π T B Y N ;
(2) π T B Y Y > π T B N Y ;
(3) When p v < p v 13 , π T B Y Y > π T B N N ; when p v p v 13 , π T B Y Y π T B N N .
Here, p v 12 = θ ( t b c s 2 ( 2 ( ( 16 θ 3 ) F ) μ 2 2 F μ + 4 θ ) 4 t b ( 4 θ C μ ) B c s + 16 θ B 2 ) G t b , p v 13 = c s 2 t b 2 + 4 B t b c s + 4 t b h 2 2 F + 4 B 2 4 t b , c b 1 = ( 2 μ θ 2 μ θ 14 θ 2 + θ G 2 ( 20 μ 2 θ 2 16 μ 2 θ + 3 μ 2 4 μ θ + 2 μ + 4 θ ) + θ ) a θ ( 64 μ 2 θ 2 29 μ 2 θ + 3 μ 2 10 μ θ + 2 μ + 3 θ ) .
According to Corollary 6(1), compared to operating both services, a battery manufacturer’s decision to outsource battery leasing to vehicle companies is affected by multiple factors, including battery swapping price sensitivity, battery production cost and the vehicle body price. Specifically, when the battery swapping price sensitivity is low, and both vehicle body and battery price are high ( θ < 0.5 , c b c b 1 and p v p v 12 ), or when both battery swapping price sensitivity and vehicle body price are high ( θ 0.5 and p v p v 12 ), the supply chain system becomes more profitable if battery manufacturers sell batteries to vehicle companies while also providing battery swapping services, and vehicle companies offer battery leasing services to consumers. Otherwise, it is more beneficial for the battery manufacturer to operate both services independently.
Corollary 6(2) shows that compared to operating both services, a strategy where the battery manufacturer exclusively operates the battery leasing service while outsourcing the battery swapping service to the vehicle company does not lead to optimal system profit. This indicates that the battery-swapping service plays a crucial role in the profitability of the supply chain system. Outsourcing the battery-swapping service will reduce efficiency and increase cost, thereby affecting overall profit.
Corollary 6(3) indicates that whether a battery manufacturer outsources both services, as opposed to self-operating both, depends on the vehicle body price. Specifically, when the vehicle body price is low ( p v < p v 13 ), the battery manufacturer should operate both services. In contrast, when vehicle body price is high ( p v p v 13 ), outsourcing both services better supports the sustainability of the battery swapping supply chain system.
In summary, the battery-swapping service plays a pivotal role in maximizing overall supply chain profitability. A strategy where the battery manufacturer only self-operates battery leasing while outsourcing the battery-swapping service may reduce supply chain efficiency and impede the advancement of the vehicle and battery separation model. Under certain conditions, either fully self-operated services or fully outsourced services, along with self-operated battery swapping, can attract more companies to participate in the vehicle and battery separation model, thereby promoting the overall growth of the industry.
Furthermore, from a long-term development perspective, the NEV market is steadily expanding while battery production costs continue to decline, leading to a downward trend in vehicle prices. In this context, battery manufacturers should consider retaining battery ownership and operational rights for battery swapping to maintain their competitive advantage. This approach would also foster the growth of the battery-swapping supply chain and encourage more vehicle companies to participate in the vehicle and battery separation model led by battery manufacturers.

5.2. Sensitivity Analysis

Based on the analysis in Section 5.1, from the perspective of promoting battery-swapping vehicles and enhancing enterprise participation in the vehicle and battery separation model, the BYY, BYN, and BNN strategies are the optimal approaches within various thresholds. The following analysis explores the effects of the vehicle body price, the sensitivity to battery swapping price and battery production cost on these three strategies.

5.2.1. Impact of the Vehicle Body Price on Price, Demand and Profit

Corollary 7.
The impact of vehicle body price on price, demand and profit is as follows:
(1) When 1 4 < θ < 1 2 , p r B Y Y p v > 0 ; when θ 1 2 , p r B Y Y p v < 0 ; p s B Y Y p v < 0 , D v B Y Y p v < 0 , D s B Y Y p v < 0 ; when p v < p v 14 , π v B Y Y p v > 0 ; when p v p v 14 , π v B Y Y p v 0 ; π b B Y Y p v < 0 .
(2) p r B Y N p v < 0 , p s B Y N p v = 0 , w b B Y N p v = 0 , D v B Y N p v = 0 , D s B Y N p v = 0 , π b B Y N p v = 0 , π v B Y N p v = 0 .
(3) w b B N N p v = 0 , p r B N N p v < 0 , p s B N N p v = 0 , D v B N N p v = 0 , D s B N N p v = 0 , π b B N N p v = 0 ; π v B N N p v = 0 .
Here, p v 14 = 2 a t b 2 λ c b t b 2 c b t s c s t b 4 t b .
Proof. 
By taking the first-order partial derivative of the decision price, demand and profit in the three strategies using the derivation method, Corollary 7 can be obtained. The detailed proof process is omitted. □
Corollary 7(1) shows that as the vehicle body price increases, under the BYY strategy, the battery-swapping price, demand for battery-swapping vehicles and services and battery manufacturer profit are negatively related to the vehicle body price. Regarding the battery leasing price, when the sensitivity to the battery-swapping price is low ( 1 4 < θ < 1 2 ), the battery leasing price increases; otherwise, the battery leasing price decreases. In terms of vehicle company profit, if the vehicle body price is low ( p v < p v 14 ), the profit of vehicle companies increases; otherwise, they decrease. This is because, under the BYY strategy, battery manufacturers operate the two services, while vehicle companies focus solely on providing battery-swapping vehicles. In this case, if the vehicle body price is low, vehicle companies compensate for the reduced demand for battery-swapping vehicles by moderately increasing the vehicle price, thereby achieving profit growth. Conversely, when the vehicle body price is high, its effect on the demand for battery-swapping vehicles is more direct and significant than the service price. Although battery manufacturers may lower the price of battery swapping to attract consumers, the high vehicle body price could still act as a major barrier to consumer willingness to purchase. As a result, the demand for battery-swapping vehicles, battery leasing and battery swapping tends to decrease, leading to reduced profit for vehicle companies.
Corollaries 7(2) and 7(3) show that under the BYN and BNN strategies, the battery leasing price decreases, while the battery-swapping price, demand for battery-swapping vehicles and services and profit are not determined by the vehicle body price. This is because, under these strategies, vehicle companies provide battery-swapping vehicles and battery leasing services. When vehicle companies raise the vehicle price, they must lower battery leasing prices to maintain the demand for battery-swapping vehicles. The consistent magnitude of these price adjustments helps maintain a stable cost structure for battery-swapping vehicles throughout the sales phase, ensuring stable demand for both battery-swapping vehicles and leasing services. This, in turn, prevents vehicle company profit from being impacted by fluctuations in vehicle body price. However, the reasons for the stability in the demand for battery swapping and the battery manufacturers’ profit, despite fluctuations in vehicle body price, differ between the BYN and BNN strategies. Under the BYN strategy, where battery manufacturers independently operate the battery swapping services, their pricing strategy for battery swapping remains unaffected by the vehicle body price set by vehicle manufacturers. As a result, the demand for battery swapping and the profit of battery manufacturers remain relatively stable, independent of any changes in the vehicle body price. In contrast, under the BNN strategy, the need for battery swapping tends to be relatively stable, and vehicle companies lack the incentive to adjust the price of battery swapping. Consequently, the demand for battery swapping services remains unchanged, indirectly keeping the profit of battery manufacturers stable.
Therefore, the pricing strategy for battery-swapping vehicles adopted by vehicle companies is driven by the service strategy they choose. When vehicle companies provide only the battery-swapping vehicle body, they must adjust their pricing strategy based on the initial positioning of the vehicle. When the vehicle body price is low, increasing it can enhance profit margins. Conversely, if the price is high, lowering it may be necessary to sustain market competitiveness and maximize overall profitability. Furthermore, when vehicle companies expand their role by providing services, the influence of vehicle body price on demand and profit weakens. In this case, the vehicle body price is no longer a sole profit driver but part of an integrated value chain with the two services. As a result, vehicle companies must consider the profitability and competitiveness of the entire value chain when setting the vehicle body price.

5.2.2. Impact of the Battery Swapping Price Sensitivity

Corollary 8.
The impact of battery swapping price sensitivity on price, demand and profit is as follows:
p r i θ > 0 , p s i θ < 0 , D v i θ < 0 , D s i θ < 0 , π b i θ < 0 , π v i θ < 0 .
Here, i = B Y Y , B Y N , B N N .
Proof. 
By taking the first-order partial derivative of the price, demand and profit across the three strategies using the derivation method, Corollary 8 can be derived. The detailed proof process is omitted. □
Corollary 8 demonstrates that across the three strategies, the battery swapping price sensitivity has a consistent effect on price, demand, and profit. Specifically, as the battery-swapping price sensitivity increases, the battery leasing price rises while the battery-swapping price decreases. This leads to a decline in demand for battery-swapping vehicles and services, ultimately reducing profits for enterprises.
This suggests that while lowering the battery-swapping price may attract consumers, higher price sensitivity can greatly influence their purchasing decisions, ultimately decreasing requirements for battery-swapping services. Moreover, higher battery swapping price sensitivity can also drive up the battery leasing price, which in turn raises consumers’ total costs. This not only hinders the market expansion of battery-swapping vehicles and services but also limits profitability. Therefore, in scenarios where consumers exhibit higher sensitivity to battery swapping prices, they may be more inclined to choose the charging market instead. In such cases, battery manufacturers should consider adjusting their marketing strategy, such as enhancing product quality, offering value-added services or improving brand image to reduce consumers’ price sensitivity.

5.2.3. Impact of the Battery Production Cost

Corollary 9.
The impact of battery production cost on price, demand and profit is as follows:
p r j c b > 0 , p s j c b < 0 , D v j c b < 0 , D s j c b < 0 , π v j c b < 0 , π b j c b < 0 .
Here, j = B Y Y , B Y N , B N N .
Corollary 9 demonstrates that across the three strategies, the impact of battery production cost on price, demand and profit follows a consistent pattern. Specifically, as battery production cost rises, battery leasing prices increase, battery-swapping prices decrease and demand for battery-swapping vehicles and services declines, ultimately reducing corporate profits. This indicates that higher battery production cost directly drives up battery leasing prices, thereby dampening market demand for battery-swapping vehicles. Even if battery manufacturers or vehicle companies attempt to stimulate demand by lowering battery-swapping prices, this approach fails to effectively counteract the downward trend in demand for battery-swapping services, ultimately constraining profit growth. Therefore, battery manufacturers should actively implement effective measures to reduce battery production costs and enhance market competitiveness.

6. Numerical Examples

The optimal strategy for the battery manufacturer, vehicle company and battery-swapping supply chain under the four strategies is influenced by multiple factors, with the BYY, BYN, and BNN strategies emerging as the most favorable across various threshold conditions. Therefore, numerical simulations are conducted to analyze the impacts of key factors, including battery swapping price sensitivity, vehicle body price and battery production cost on demand and profit across the three strategies. The relevant parameter settings are as follows:
(1) The market size of NEVs. According to Wang and Du [13] and Yang et al. [19], we set a = 100 × 10 4 .
(2) Battery production cost. According to the specifications of the “Chocolate Battery” produced by CATL, a standard swapping battery pack has a charge capacity of 26.5 kWh and provides a range of 200 km (https://www.evogo.cn/newsDetail/12, accessed on 1 February 2025). In addition, based on industry standards, the price of ternary lithium batteries in China is approximately 0.5 RMB/Wh (http://www.cbcu.com.cn/wenshuo/sc/2024021843415.html, accessed on 1 February 2025). Therefore, for a vehicle with a conventional range of 400 km, the battery production cost can be calculated as c b = 26.5 × 1000 × 2 × 0.5 2.7 × 10 4 .
(3) The life cycle of a vehicle and battery. According to the “Regulations on Compulsory Disposal Standards for Motor Vehicles” issued by the Ministry of Commerce of the People’s Republic of China, the service life of operating vehicles is typically 8 years (http://www.mofcom.gov.cn/article/zcfb/zcwg/201304/20130400075312.shtml, accessed on 1 February 2025). Therefore, we set the life cycle of the vehicle t s = 8 . Moreover, following Hu et al. [21], we set the life cycle of the battery t b = 2 .
(4) Battery-swapping operating cost. According to Yang et al. [20], the single operating cost for a third-party battery-swapping station is about RMB 20. Assuming that the battery-swapping vehicle performs about 5840 battery swaps during its life cycle (based on a vehicle life of 8 years and an average of two battery swaps per day), the total operating cost can be calculated as c s = 5840 × 20 = 11.7 × 10 4 .
(5) The price of battery-swapping vehicle body. The 75 kWh battery pack sold by NIO is priced at RMB 70,000, which translates to approximately 930 RMB per kWh. This paper uses the battery-swapping version of the 2023 Bestune NAT as an example, a model developed through collaboration between CATL and FAW Bestune. Additionally, this version is equipped with a 53 kWh battery, which corresponds to a cost of approximately 50,000 RMB for the battery pack. The retail price of the Bestune NAT 2023 is 160,000 RMB, with the battery-swapping vehicle body (excluding the battery) estimated at approximately 110,000 RMB. Thus, the price of the battery-swapping vehicle body is p v = 11 × 10 4 .
(6) Balanced battery cost ratio. According to data from Aodong New Energy, the construction cost of an Aodong New Energy 4.0 battery-swapping station is approximately RMB 4 million, which is equipped with 60 standard batteries, costing around RMB 3 million. Based on this information, it can be concluded that batteries account for approximately 43% of the total cost of a battery-swapping station, which means γ 0.43 . Referring to Wang and Du [13] and Hu et al. [21], with battery swapping balanced battery ratio δ = 0.1 , the balanced battery cost ratio is set as λ = δ γ 0.2 .
(7) Battery swapping authorization price. Referring to Yang et al. [19], the battery-swapping authorization price is h = 2.4 × 10 4 .
Based on the above data, for simplicity, this paper assumes: a = 100 , c b = 2.7 , t s = 8 , t b = 2 , c s = 11.7 , λ = 0.2 , p v = 11 , h = 2.4 . In addition, we set μ = 0.1 .

6.1. Influence of the Price Sensitivity Coefficient of Battery Swapping

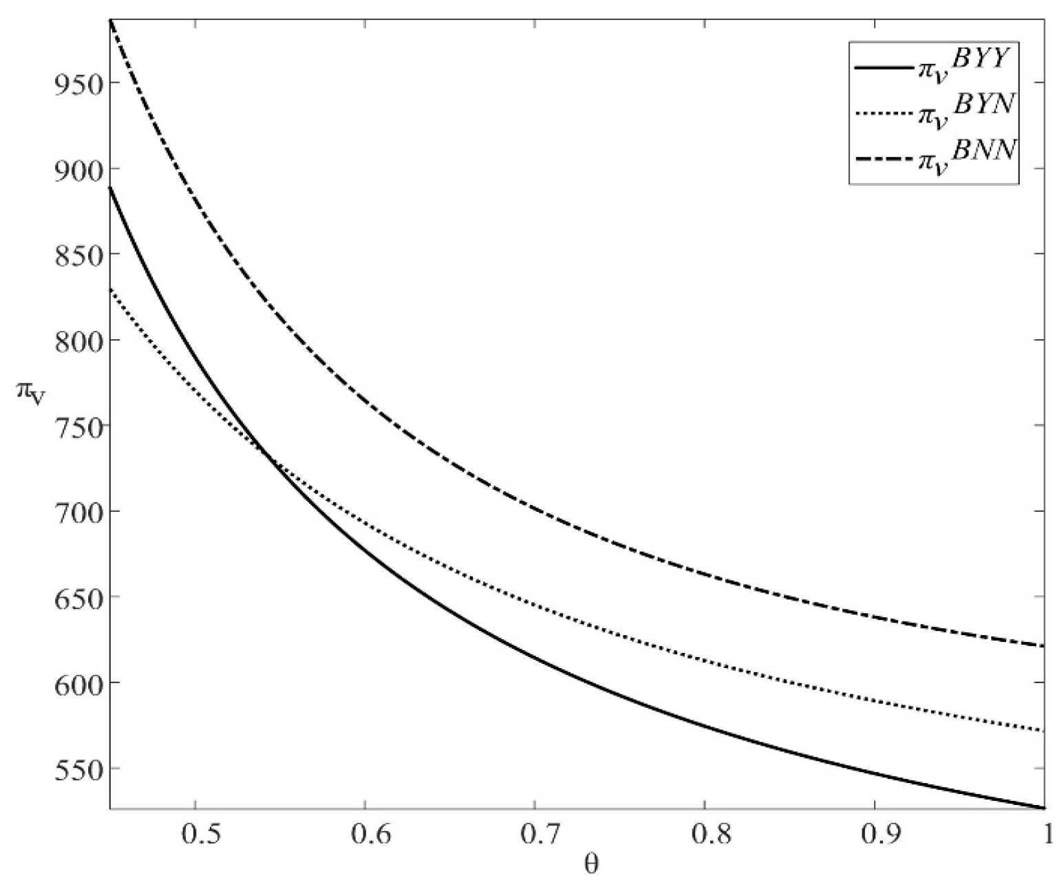
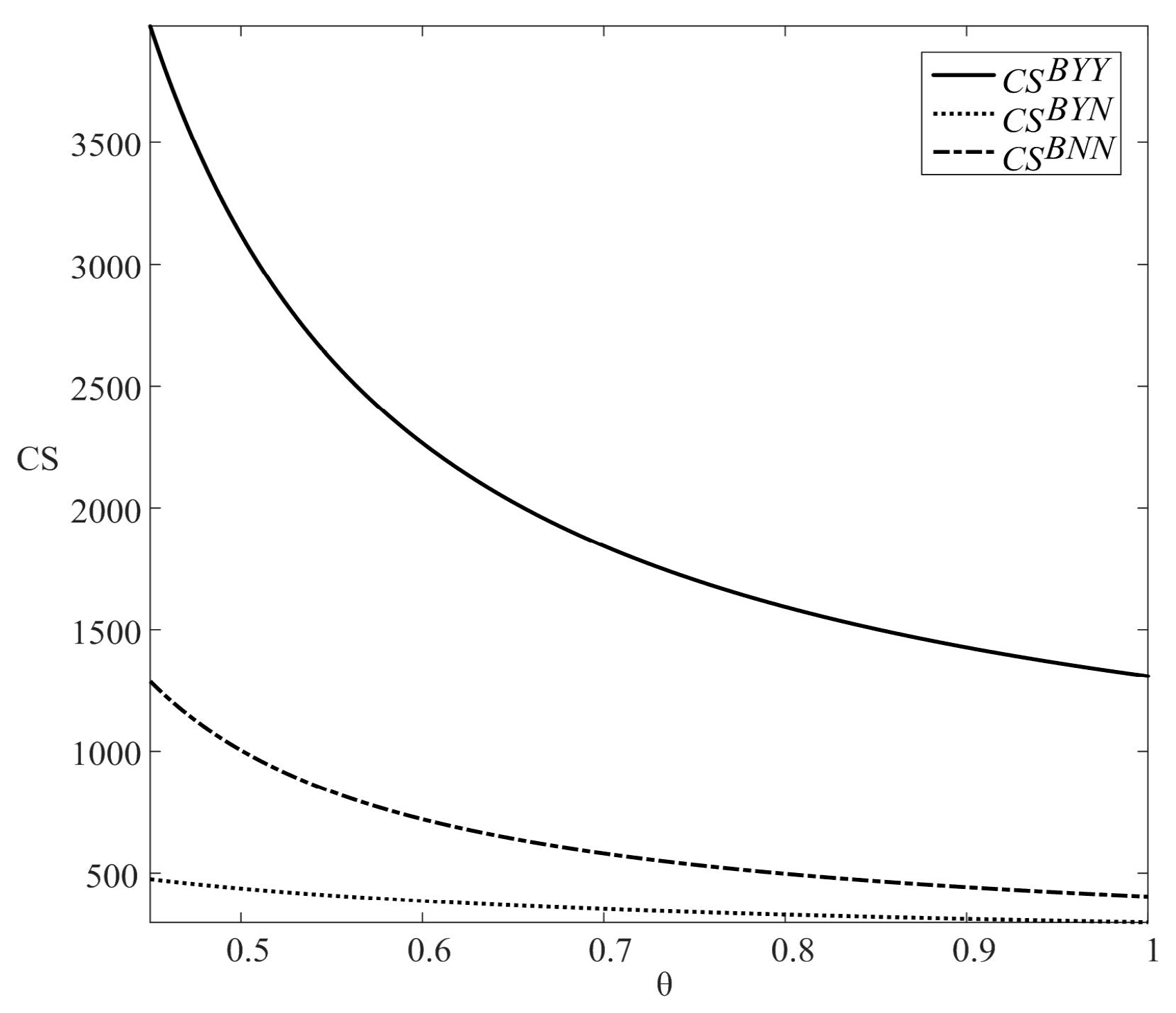
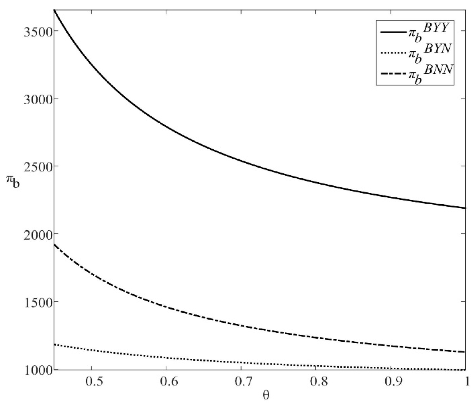
According to Figure 2, Figure 3, Figure 4, Figure 5 and Figure 6, as battery swapping price sensitivity increases, the profits of corporate and the supply chain, as well as consumer surplus and social welfare, decrease across all three strategies. Additionally, under the BNN strategy, vehicle companies achieve the highest profit, whereas under the BYY strategy, battery manufacturers, the overall supply chain profit, consumer surplus and social welfare reach their highest levels. This indicates that both battery manufacturers and vehicle companies prefer to operate both services independently. However, the supply chain profit optimization occurs only when the battery manufacturer operates both services independently, despite vehicle companies achieving the lowest profit under this condition. This profit imbalance may potentially undermine vehicle companies’ willingness to engage in the vehicle and battery separation model.
This suggests that self-operating a single-service strategy has limited potential for profit growth. Optimal profitability for companies is realized when they self-operate both services, as this allows for greater control over service quality and pricing. However, to encourage more active participation from vehicle companies, battery manufacturers must prioritize strengthening cooperation and collaboration. For example, by fostering resource sharing and leveraging complementary advantages, battery manufacturers can enhance vehicle companies’ motivation to engage in the vehicle and battery separation model.

6.2. Impact of the Vehicle Body Price and the Battery Production Cost

Given the complex effects of vehicle body price and battery production cost on the profitability of battery manufacturers, vehicle companies and the supply chain, this study provides a detailed analysis of these factors. Assuming θ = 0.5 , the impact on profit is shown in Figure 7, Figure 8, Figure 9, Figure 10 and Figure 11.
As shown in Figure 7, Figure 8, Figure 9, Figure 10 and Figure 11, the optimal strategy for enterprises, supply chain system profitability, consumer surplus and social welfare is in relation to vehicle body price. Specifically, for battery manufacturers, as well as for overall supply chain profitability, consumer surplus and social welfare, the BYY strategy is the most advantageous when the vehicle body price is low, while the BNN strategy becomes optimal when the vehicle body price is high. In contrast, for vehicle companies, the optimal strategies are reversed: the BNN strategy is preferable when the vehicle body price is low, and the BYY strategy is better when the vehicle body price is high. This indicates that when the vehicle body price is low, both battery manufacturers and vehicle companies tend to self-operate both services. However, the battery-swapping supply chain develops optimally only when battery manufacturers operate in both services. When the vehicle body price is high, neither battery manufacturers nor vehicle companies are likely to self-operate with both services. However, in this scenario, if vehicle companies manage both services, they can better facilitate the growth of the battery-swapping industry. These findings demonstrate that the strategy that maximizes the profit of battery manufacturers and the overall supply chain system may not always align with the optimal strategy for vehicle companies, potentially diminishing their willingness to collaborate with battery manufacturers.
Therefore, for affordable battery-swapping vehicles, the optimal cooperation model involves battery manufacturers operating the two services while vehicle companies focus on vehicle production. This cooperation model is widely adopted in practice, as demonstrated by CATL’s partnerships with several vehicle manufacturers, such as FAW Bestune and Dongfeng Peugeot Citroen Automobile Company Ltd. (DPCA) [Wuhan, Hubei, China]. In these collaborations, CATL operates the two services, while vehicle companies produce cost-effective battery-swapping vehicles, such as the FAW Bestune NAT battery-swap version (2023) and the Fukang ES600, both priced at around RMB 160,000.
For more expensive battery-swapping vehicles, such as heavy-duty battery-swapping trucks, the optimal cooperation model shifts. In this case, battery manufacturers should outsource both services to vehicle companies, allowing the vehicle companies to operate a comprehensive ecosystem based on the vehicle and battery separation model. This model facilitates the optimization of profit across the supply chain and fosters the sustainable growth of the battery-swapping industry.
However, when one party operates both services independently, it inevitably impacts the other party’s profitability. Therefore, the operating party must actively enhance collaboration and foster mutual enthusiasm through joint ventures, profit-sharing agreements or other cooperative mechanisms.

7. Conclusions

To explore the various service operation strategies of battery manufacturers and vehicle companies under the vehicle and battery separation model, this study constructs decision-making models for four strategies within the battery-swapping supply chain involving both a battery manufacturer and a vehicle company. These strategies include fully self-operated (two) services, self-operated battery swapping, self-operated battery leasing and completely outsourced (two) services. The optimal decisions for these strategies are derived using the backward induction method, followed by a comparative analysis of the results across different strategies, complemented by a numerical example. The key findings of the study are as follows:
From a profit perspective, the optimal strategy for battery manufacturers is determined by the price of the battery-swapping vehicle body. When the vehicle body price is low, battery manufacturers can achieve maximum profit by self-operating both services, as this optimizes supply chain profitability, consumer surplus and social welfare. Conversely, when the price is high, a complete outsourcing strategy is preferable, as it maximizes supply chain profit, consumer surplus and social welfare, even though vehicle companies do not achieve optimal profit. In this scenario, battery manufacturers should implement additional measures to encourage cooperation with vehicle companies. The optimal strategy for the vehicle company is similarly affected by the battery-swapping vehicle body price. Vehicle companies should provide the two services only when the vehicle body price is low. Otherwise, they should focus on producing battery-swapping vehicles.
From the perspective of promoting battery-swapping vehicles, the optimal strategy for the battery manufacturer is determined by the vehicle body price. When the vehicle body price from a cooperative vehicle company is low, self-operating both services is most effective in increasing the demand for battery-swapping vehicles. Conversely, when the vehicle body price is high, outsourcing both services to the vehicle company is the most effective approach to boost battery-swapping demand and optimize the strategy for selling swapping batteries.
From the perspective of increasing market adoption of battery-swapping services, the optimal strategy is affected by various factors, including the vehicle body price, the price sensitivity of the battery-swapping service, and the battery-swapping operating cost-sharing ratio. When the battery swapping operation cost-sharing ratio is low, the vehicle body price is not low, and consumers exhibit low sensitivity to battery swapping price, battery manufacturers should outsource both services. Conversely, when the battery swapping operation cost-sharing ratio is low, the vehicle body price is not high, and the sensitivity to battery swapping price is either low or high, battery manufacturers should self-operate both services. Additionally, self-operating battery-swapping services are recommended.
Based on research findings, the following managerial implications can be derived:
The optimal service operation strategy for a battery manufacturer depends on its objectives. If the goal is to promote battery-swappable batteries while maximizing profits, the strategy should be determined based on the vehicle body price offered by partner vehicle companies. For economical battery-swappable vehicles, it is more advantageous for battery manufacturers to operate the two services. This approach not only enhances their profitability but also fosters the development of the battery-swapping supply chain, ultimately maximizing social welfare. Conversely, for high-end battery-swappable vehicles, fully outsourcing both services to vehicle companies proves to be a more effective strategy. This approach also supports the development of the vehicle and battery separation model.
When the primary objective is to expand battery-swapping services, the selection of an optimal strategy should consider not only the vehicle body price but also factors such as the sensitivity of consumers to battery-swapping price and battery-swapping operating cost-sharing ratio.
The optimal service operation strategy for vehicle companies is also influenced by the vehicle body price. When the price of the vehicle body is low, vehicle companies are more likely to establish a comprehensive ecosystem for the vehicle and battery separation model, encompassing battery-swappable vehicles and the two services. This integrated approach enhances user experience while creating new profit opportunities for vehicle companies. Conversely, when vehicle body prices are higher, vehicle companies should prioritize the production of battery-swappable vehicles, gaining market recognition through improved product quality and technological advancements.
This study focuses exclusively on the supply chain system involving a battery manufacturer and a vehicle company, where the battery manufacturer is limited to adopting either self-operation or outsourcing as a single strategy for battery leasing and battery swapping services. Future research could extend these findings by examining service operation decisions in scenarios where the battery manufacturer simultaneously employs both self-operation and outsourcing strategies, particularly when competition arises between these services.

Author Contributions

Conceptualization, K.Y. and C.L.; methodology, C.L.; software, C.L.; validation, K.Y. and C.L.; formal analysis, C.L.; writing—original draft preparation, C.L.; writing—review and editing, C.L. and K.Y. All authors have read and agreed to the published version of the manuscript.

Funding

This research was funded by the National Natural Science Foundation of China, grant number 72161003.

Data Availability Statement

The original contributions presented in this study are included in the article. Further inquiries can be directed to the corresponding author.

Conflicts of Interest

The authors declare that they have no conflicts of interest.

Appendix A

The profit function is differentiable. To derive the Hessian matrix of the battery manufacturer’s profit function with respect to p r and p s , we use Equation (1) to obtain 2 π b ( p s , p r ) p r 2 = 2 t s 2 , 2 π b ( p s , p r ) p s 2 = 2 θ , 2 π b ( p s , p r ) p s p r = t s and 2 π b ( p s , p r ) p r p s = t s . Correspondingly, the Hessian matrix of the vehicle manufacturer’s profit function with respect to p r and p s is H = 2 t s 2 t s t s 2 θ . The first-order derivatives of the Hessian matrix are negative, while the second-order derivatives are positive for t s ( 2 4 θ 1 ) > 0 . This confirms that the profit function is concave in p r and p s , ensuring the existence of a unique optimal solution. Setting the first-order derivatives with respect to p r and p s be zero: π b ( p r , p s ) p r = 0 , π b ( p r , p s ) p s = 0 , we obtain the optimal prices for the two services:
p r B Y Y = 2 λ θ c b t b + 2 a θ t b + 2 θ c b t s + θ c s t b 2 θ p v t b a t b + p v t b t b t s ( 4 θ 1 )
p s B Y Y = a t b λ c b t b + 2 θ c s t b c b t s c s t b p v t b t b ( 4 θ 1 )
Substituting the optimal price Equations (A1) and (A2) into the demand function of the battery-swapping vehicle and battery-swapping service, the optimal battery-swapping vehicle and battery-swapping service demand are as follows:
D v B Y Y = θ ( 2 a t b 2 λ c b t b 2 c b t s c s t b 2 p v t b ) t b ( 4 θ 1 )
D s B Y Y = θ ( a t b λ c b t b 2 θ c s t b c b t s p v t b ) t b ( 4 θ 1 )
By substituting Equations (A1)–(A4) into Equations (9) and (10), we derive the profits of the battery manufacturer and the vehicle company.

Appendix B

The profit function is differentiable. First, we use Equation (10) to obtain 2 π v ( p r ) p r 2 = 2 t s 2 , so that Equation (10) has a maximum value. Then, we can obtain the optimal solution of Equation (10) about π v ( p r ) is p r = μ c s t b + a t b 2 p v t b + t s w b 2 t s t b .
Substituting the obtained price p r into Equation (9), we further derive the maximum profit for Equation (9). To derive the Hessian matrix of the battery manufacturer’s profit function with respect to p s and w b , we obtain 2 π b ( p s , w b ) p s 2 = 2 θ , 2 π b ( p s , w b ) w b 2 = t s 2 t b 2 , 2 π b ( p s , w b ) p s w b = t s 2 t b and 2 π b ( p s , w b ) w b p s = t s 2 t b . Correspondingly, the Hessian matrix of the vehicle manufacturer’s profit function with respect to p s and w b is H = 2 θ t s 2 t b t s 2 t b t s 2 t b 2 . The first-order derivatives of the Hessian matrix are negative, while the second-order derivatives are positive for t s ( 2 8 θ 1 ) > 0 . This confirms that the profit function is concave in p s and w b , ensuring the existence of a unique optimal solution. Setting the first-order derivatives with respect to p s and w b to be zero: π b ( p s , w b ) p s = 0 , π b ( p s , w b ) w b = 0 , we obtain the optimal battery price, battery leasing price and battery-swapping prices as follows:
w b B Y N = 4 λ θ c b t b 6 μ θ c s t b + 4 a θ t b + μ c s t b + 4 θ c b t s + 2 θ c s t b a t b ( 8 θ 1 ) t s
p s B Y N = a t b 4 μ θ c s t b λ c b t b + 4 θ c s t b c b t s c s t b t b ( 8 θ 1 )
p r B Y N = 2 λ θ c b t b + μ θ c s t b + 6 a θ t b + 2 θ c b t s + θ c s t b 8 θ p v t b a t b + p v t b t s ( 8 θ 1 ) t b
By substituting the optimal pricing Equations (A5)–(A7) into the demand functions for battery-swapping vehicles and battery-swapping services, we obtain the optimal demand for battery-swapping vehicles and services as follows:
D v B Y N = θ ( 2 a t b 2 λ c b t b μ c s t b 2 c b t s c s t b ) t b ( 8 θ 1 )
D s B Y N = θ ( 4 μ θ c s t b λ c b t b μ c s t b 4 θ c s t b + a t b c b t s ) t b ( 8 θ 1 )
By substituting Equations (A5)–(A9) into Equations (9) and (10), we get the battery manufacturer and vehicle company profits.

Appendix C

p r B Y Y p r B N Y = 2 θ ( a t b λ c b t b 2 θ c s t b c b t s p v t b ) t b t s ( 4 θ 1 ) ( 8 θ 1 ) < 0
p r B Y N p r B N N = θ ( 8 μ θ c s t b 2 λ c b t b 2 μ c s t b + 2 a t b 2 c b t s c s t b ) 2 t b t s ( 4 θ 1 ) ( 8 θ 1 ) > 0
p r B Y Y p r B N N = θ ( 2 a t b 2 λ c b t b 2 c b t s c s t b 4 p v t b ) 2 t b t s ( 4 θ 1 )
p r B Y N p r B N Y = θ ( 2 a t b 2 λ c b t b + μ c s t b 2 c b t s 4 p v t b ) t s t b ( 8 θ 1 )
The signs of Equations (A12) and (A13) are determined by their numerators. The numerator can be expressed as f ( p v ) , yielding roots p v 1 = 2 a t b 2 λ c b t b 2 c b t s c s t b 4 t b and p v 2 = 2 a t b 2 λ c b t b + μ c s t b 2 c b t s 4 t b , with p v 1 < p v 2 . Therefore, when p v < p v 1 , p r B Y N > p r B N Y , p r B N N > p r B Y Y ; when p v 1 p v < p v 2 , p r B Y N > p r B N Y > p r B Y Y > p r B N N ; when p v p v 2 , p r B N Y > p r B Y Y , p r B Y N > p r B N N .

Appendix D

p s B Y Y p s B N N = 2 a t b 8 h θ t b 2 λ c b t b + 2 h t b 2 c b t s c s t b 4 p v t b 4 t b ( 4 θ 1 )
p s B N Y p s B N N = 12 t b F p v 2 t b ( 8 θ 1 ) F h t b ( 32 θ 2 8 θ 1 ) c s 2 ( 16 θ 5 ) B 4 t b ( 4 θ 1 ) ( 8 θ 1 )
p s B Y N p s B N N = F ( 16 μ θ c s t b + 2 t b h ( 8 θ 1 ) ) + 2 E c s t b 4 t b ( 8 θ 1 ) ( 4 θ 1 ) < 0
p s B Y Y p s B N Y = 2 ( 2 θ 1 ) ( a t b λ c b t b 2 θ c s t b c b t s p v t b ) t b ( 8 θ 1 ) ( 4 θ 1 )
The sign of Equation (A14) is determined by its numerator, which can be expressed as f ( p v ) 3 , yielding p v 3 = 2 h t b 8 h θ t b 2 λ c b t b + 2 a t b 2 c b t s c s t b 4 t b . Therefore, when p v < p v 3 , Equation (A14) is positive; when p v p v 3 , Equation (A14) is negative. The solution process for Equation (A15) is similar to that of Equation (A14). Similarly, the sign of Equation (A17) depends on its numerator, expressed as f ( θ ) , yielding θ = 1 2 . Thus, when θ < 1 2 , Equation (A17) is positive; when θ 1 2 , Equation (A17) is negative. Based on this analysis, we can obtain Corollary 2.

Appendix E

D v B Y Y D v B N Y = 2 θ ( a t b λ c b t b 2 θ c s t b c b t s p v t b ) t b ( 4 θ 1 ) ( 8 θ 1 ) > 0
D v B Y Y D v B N N = θ ( 2 a t b 2 λ c b t b + c s t b t s 2 c b t s 2 c s t b 4 p v t b ) 2 ( 4 θ 1 ) t b
D v B N N D v B Y N = θ ( 8 μ θ c s t b 2 λ c b t b 2 μ c s t b + 2 a t b 2 c b t s c s t b ) 2 t b ( 4 θ 1 ) ( 8 θ 1 ) > 0
The sign of Equation (A19) is determined by its numerator, which can be expressed as f ( p v ) 5 , yielding p v 5 = 2 a t b 2 λ c b t b + c s t b t s 2 c b t s 2 c s t b 4 t b . Therefore, when p v < p v 5 , Equation (A19) is positive; conversely, when p v p v 5 , Equation (A19) is negative. Based on this analysis, we obtain Corollary 3.

Appendix F

D s B Y Y D s B Y N = θ ( c s t b ( 4 θ 1 ) 2 μ t b ( 8 θ 1 ) p v + 2 θ ( 2 a t b 2 λ c b t b 2 c b t s c s t b ) ) t b ( 4 θ 1 ) ( 8 θ 1 )
D s B Y Y D s B N N = θ ( 8 h θ t b 2 λ c b t b + 2 a t b 2 h t b 2 c b t s c s t b 4 p v t b ) 4 t b ( 4 θ 1 )
D s B Y N D s B N N = θ ( 4 c s t b ( 4 θ 1 ) 2 μ 2 h t b ( 4 θ 1 ) ( 8 θ 1 ) 2 λ c b t b + 2 a t b 2 c b t s c s t b ) 4 t b ( 4 θ 1 ) ( 8 θ 1 )
D s B Y Y D s B N Y = 4 θ 2 ( λ c b t b 2 θ c s t b + a t b c b t s p v t b ) t b ( 4 θ 1 ) ( 8 θ 1 ) > 0
The sign of Equation (A21) is determined by its numerator, which can be expressed as f ( p v ) 6 , yielding p v 6 = 16 μ θ 2 c s t b 4 λ θ c b t b + 8 μ θ c s t b + 4 a θ t b μ c s t b 4 θ c b t s 2 θ c s t b t b ( 8 θ 1 ) . The sign of p v 6 is determined by its numerator f ( μ 1 ) , yielding μ 1 = 2 θ ( 2 λ c b t b + 2 a t b 2 c b t s c s t b ) c s t b ( 16 θ 2 8 θ + 1 ) . Similarly, for Equation (A22), we obtain p v 7 = 8 h θ t b 2 λ c b t b + 2 a t b 2 h t b 2 c b t s c s t b 4 t b . For Equation (A23), we obtain μ 2 = 24 h θ t b 64 h θ 2 t b 2 λ c b t b + 2 a t b 2 h t b 2 c b t s c s t b 4 t b c s ( 4 θ 1 ) 2 . To determine the sign of μ 2 , its numerator can be expressed as f ( θ 1 ) , yielding θ 1 = 3 h t b + 8 h t b E + h 2 t b 2 4 h c s t b 2 16 h t b . Additionally, μ 2 < μ 1 . By taking the difference between p v 6 and p v 7 , which can be expressed as f ( θ 2 ) = 64 t b ( μ c s + h ) θ 2 + 8 t b ( 4 μ c s + 3 h ) θ 2 λ c b t b 4 μ c s t b + 2 a t b 2 h t b 2 c b t s c s t b 4 t b ( 8 θ 1 ) , yielding θ 2 = 4 μ c s t b + 3 h t b + 8 μ t b c s E + 8 h t b E 4 μ c s 2 t b 2 + h 2 t b 2 4 h c s t b 2 16 t b ( μ c s + h ) . Based on this analysis, we obtain Corollary 4.

References

  1. Adu-Gyamfi, G.; Song, H.; Obuobi, B.; Nketiah, E.; Wang, H.; Cudjoe, D. Who will adopt? Investigating the adoption intention for battery swap technology for electric vehicles. Renew. Sustain. Energy Rev. 2022, 156, 111979. [Google Scholar]
  2. Huang, H.; Gan, H.; Li, S.; Zhong, Y. How to achieve sustainable distribution in the fast fashion industry? An electric vehicle solution under the “vehicle-battery separation” mode. Environ. Dev. Sustain. 2024, 26, 8443–8465. [Google Scholar] [CrossRef] [PubMed]
  3. Huang, Y.; Qian, L.; Soopramanien, D.; Tyfield, D. Buy, lease, or share? Consumer preferences for innovative business models in the market for electric vehicles. Technol. Forecast. Soc. Change 2021, 166, 120639. [Google Scholar] [CrossRef]
  4. Patyal, V.S.; Kumar, R.; Kushwah, S. Modeling barriers to the adoption of electric vehicles: An Indian perspective. Energy 2021, 237, 121554. [Google Scholar] [CrossRef]
  5. Liao, F.; Molin, E.; Timmermans, H.; Van Wee, B. Consumer preferences for business models in electric vehicle adoption. Transp. Policy 2019, 73, 12–24. [Google Scholar] [CrossRef]
  6. Mo, D.; Wang, H.; Cai, Z.; Szeto, W.Y.; Chen, X. Modeling and regulating a ride-sourcing market integrated with vehicle rental services. Transp. Res. Part E Logist. Transp. Rev. 2024, 192, 103797. [Google Scholar] [CrossRef]
  7. Kang, K.; Zhang, L.; He, M.; Zhang, Z. Asset-light operation strategy for car-sharing model with vertical shareholding: Financial leasing or instalment factoring. Int. J. Prod. Res. 2024, 62, 7540–7558. [Google Scholar] [CrossRef]
  8. Costa, E.; Wells, P.; Wang, L.; Costa, G. The electric vehicle and renewable energy: Changes in boundary conditions that enhance business model innovations. J. Clean. Prod. 2022, 333, 130034. [Google Scholar] [CrossRef]
  9. Mehrjerdi, H. Resilience oriented vehicle-to-home operation based on battery swapping mechanism. Energy 2021, 218, 119528. [Google Scholar] [CrossRef]
  10. Yang, S.; Li, R.; Li, J. “Separation of Vehicle and Battery” of Private Electric Vehicles and Customer Delivered Value: Based on the Attempt of 2 Chinese EV Companies. Sustainability 2020, 12, 2042. [Google Scholar] [CrossRef]
  11. Huang, Y.; Qian, L. Consumer adoption of electric vehicles in alternative business models. Energy Policy 2021, 155, 112338. [Google Scholar]
  12. Li, K.; Zhou, T.; Liu, B. The comparison between selling and leasing for new and remanufactured products with quality level in the electric vehicle industry. J. Ind. Manag. Optim. 2021, 17, 1505–1529. [Google Scholar]
  13. Wang, W.; Du, J. The impact of government subsidies on battery swapping mode: From the perspective of battery swapping supply chain. Int. J. Ind. Eng.-Theory Appl. Pract. 2023, 30, 1578–1593. [Google Scholar]
  14. Liu, F.; Li, J.; Zhang, J.Z.; Tong, Z.; Ferreira, J. Optimal strategy for secondary use of spent electric vehicle batteries: Sell, lease, or both. Ann. Oper. Res. 2023, 1–31. [Google Scholar] [CrossRef]
  15. Shi, L.L.; Hu, B. Frontiers in operations: Battery as a service: Flexible electric vehicle battery leasing. M&SOM-Manuf. Serv. Oper. Manag. 2024, 26, 1269–1285. [Google Scholar]
  16. Gong, K.; Zheng, W.; Shu, Y. Battery leasing business for hydrogen fuel cell vehicles: Motorists’ costs, adoption, and manufacturers’ profits. Energy 2024, 293, 130657. [Google Scholar] [CrossRef]
  17. Zhang, Y.D.; Wang, X.J.; Zhi, B.D. Strategic investment in electric vehicle charging service: Fast charging or battery swapping. Int. J. Prod. Econ. 2024, 268, 109136. [Google Scholar]
  18. Tang, J.; Ji, G.Q.; Liu, Z.; Sheu, J.B. Electric vehicle battery-charging service and operations managing under different charging station construction modes. Transp. Res. Part E Logist. Transp. Rev. 2024, 181, 103392. [Google Scholar]
  19. Yang, Z.J.; Lei, Q.L.; Sun, J.; Hu, X.; Zhang, Y.L. Strategizing battery swap service: Self-operation or authorization? Transport. Res. Part D-Transp. Environ. 2022, 110, 103411. [Google Scholar]
  20. Yang, Z.J.; Hu, X.; Sun, J.; Lei, Q.L.; Zhang, Y.L. Is it worth promoting battery swapping? A social welfare perspective on provider- and consumer-side incentives. J. Environ. Manag. 2023, 330, 117157. [Google Scholar]
  21. Hu, X.; Yang, Z.J.; Sun, J.; Zhang, Y.L. Optimal pricing strategy for electric vehicle battery swapping: Pay-per-swap or subscription? Transp. Res. Part E Logist. Transp. Rev. 2023, 171, 103030. [Google Scholar] [CrossRef]
  22. Zhang, X.P.; Rao, R. A benefit analysis of electric vehicle battery swapping and leasing modes in China. Emerg. Mark. Financ. Trade 2016, 52, 1414–1426. [Google Scholar] [CrossRef]
  23. Avci, B.; Girotra, K.; Netessine, S. Electric vehicles with a battery switching station: Adoption and environmental impact. Manag. Sci. 2015, 61, 772–794. [Google Scholar] [CrossRef]
  24. Yoo, S.H.; Choi, T.Y.; Sheu, J.B. Electric vehicles and product-service platforms: Now and in future. Transp. Res. Part E Logist. Transp. Rev. 2021, 149, 102300. [Google Scholar] [CrossRef]
  25. Tan, Y.; Fukuda, H.; Li, Z.; Wang, S.; Gao, W.J.; Liu, Z.H. Does the public support the construction of battery swapping station for battery electric vehicles?—Data from Hangzhou, China. Energy Policy 2022, 163, 112858. [Google Scholar] [CrossRef]
  26. Li, C.; Yuan, K.F. The impact of subsidies on pricing decisions in the battery swapping supply chain under the “vehicle and battery separation” model. Manag. Decis. Econ. 2025, 46, 1816–1834. [Google Scholar] [CrossRef]
Figure 1. The service operation strategy in the battery-swapping supply chain. (a) BYY strategy. (b) BYN strategy. (c) BNY strategy. (d) BNN strategy.
Figure 1. The service operation strategy in the battery-swapping supply chain. (a) BYY strategy. (b) BYN strategy. (c) BNY strategy. (d) BNN strategy.
Mathematics 13 01178 g001
Figure 2. Impact of θ on the profit of the vehicle company.
Figure 2. Impact of θ on the profit of the vehicle company.
Mathematics 13 01178 g002
Figure 3. Impact of θ on the profit of the battery manufacturer.
Figure 3. Impact of θ on the profit of the battery manufacturer.
Mathematics 13 01178 g003
Figure 4. Impact of θ on the profit of supply chain system.
Figure 4. Impact of θ on the profit of supply chain system.
Mathematics 13 01178 g004
Figure 5. Impact of θ on the consumer surplus.
Figure 5. Impact of θ on the consumer surplus.
Mathematics 13 01178 g005
Figure 6. Impact of θ on social welfare.
Figure 6. Impact of θ on social welfare.
Mathematics 13 01178 g006
Figure 7. Impact of p v and c b on the profits of the vehicle company.
Figure 7. Impact of p v and c b on the profits of the vehicle company.
Mathematics 13 01178 g007
Figure 8. Impact of p v and c b on the profits of the battery manufacture.
Figure 8. Impact of p v and c b on the profits of the battery manufacture.
Mathematics 13 01178 g008
Figure 9. Impact of p v and c b on the profits of the supply chain system.
Figure 9. Impact of p v and c b on the profits of the supply chain system.
Mathematics 13 01178 g009
Figure 10. Impact of p v and c b on the consumer surplus.
Figure 10. Impact of p v and c b on the consumer surplus.
Mathematics 13 01178 g010
Figure 11. Impact of p v and c b on social welfare.
Figure 11. Impact of p v and c b on social welfare.
Mathematics 13 01178 g011
Table 1. The difference between this paper and the related literature.
Table 1. The difference between this paper and the related literature.
LiteratureVehicle and Battery
Separation Model
Battery-Swapping Supply ChainService Operation Strategy
Battery Leasing ServiceBattery-Swapping Service
Wang and Du [13]
Shi and Hu [15]
Gong et al. [16]
Zhang et al. [17]
Yang et al. [19]
Yang et al. [20]
Hu et al. [21]
This paper
Table 2. Definition of parameters.
Table 2. Definition of parameters.
ParametersDefinitionParametersDefinition
t s The life cycle of battery-swapping vehicles γ The proportion of battery cost to battery swapping station investment cost
t b The life cycle of the battery D v Demand for battery-swapping vehicle and battery leasing service
α The size of the battery-swapping vehicle market D s Demand for battery-swapping service
θ The price sensitivity coefficient of battery-swapping service p v The battery-swapping vehicle body price
c b Battery production cost π b The battery manufacturer’s profit
c s The battery-swapping operating cost π v The vehicle company’s profit
μ Battery-swapping operating cost-sharing
ratio
π T The supply chain profit
λ Balanced battery cost ratio C S Consumer surplus
δ Battery-swapping balanced battery ratio S W Social welfare
Table 3. Definition of variables.
Table 3. Definition of variables.
Decision VariablesDefinition
h Battery-swapping service authorization price
w b Battery price
p r Battery leasing price
p s Battery swapping price
Table 4. Comparison of battery swapping prices.
Table 4. Comparison of battery swapping prices.
Condition 1Condition 2Compare Results
1 4 < θ < 1 2 p v < p v 3 p s B Y Y > p s B N N > p s B Y N , p s B N Y
p v p v 3 p s B N N > p s B Y Y > p s B Y N , p s B N Y
θ 1 2 p v < p v 4 p s B N Y > p s B N N > p s , B Y Y p s B Y N
p v p v 4 p s B N N > p s B N Y > p s , B Y Y p s B Y N
Table 5. Comparison of battery-swapping service demand.
Table 5. Comparison of battery-swapping service demand.
Condition 1Condition 2Condition 3Compare Results
μ < μ 1 p v < p v 7 1 4 < θ < θ 2 D s B Y Y > D s B Y N , D s B N Y , D s B N N
p v 7 p v < p v 6 D s B N N > D s B Y Y , D s B Y N , D s B N Y
p v < p v 6 θ θ 2 D s B Y Y > D s B Y N , D s B N Y , D s B N N
μ < μ 2 p v p v 6 1 4 < θ < θ 1 D s B N N > D s B Y Y , D s B Y N , D s B N Y
μ 2 μ < μ 1 D s B Y N > D s B Y Y , D s B N Y , D s B N N
μ < μ 1 θ θ 1 D s B Y N > D s B Y Y , D s B N Y , D s B N N
μ μ 1 D s B Y N > D s B Y Y , D s B N Y , D s B N N
Disclaimer/Publisher’s Note: The statements, opinions and data contained in all publications are solely those of the individual author(s) and contributor(s) and not of MDPI and/or the editor(s). MDPI and/or the editor(s) disclaim responsibility for any injury to people or property resulting from any ideas, methods, instructions or products referred to in the content.

Share and Cite

MDPI and ACS Style

Li, C.; Yuan, K. Optimal Service Operation Strategy in Battery Swapping Supply Chain. Mathematics 2025, 13, 1178. https://doi.org/10.3390/math13071178

AMA Style

Li C, Yuan K. Optimal Service Operation Strategy in Battery Swapping Supply Chain. Mathematics. 2025; 13(7):1178. https://doi.org/10.3390/math13071178

Chicago/Turabian Style

Li, Chao, and Kaifu Yuan. 2025. "Optimal Service Operation Strategy in Battery Swapping Supply Chain" Mathematics 13, no. 7: 1178. https://doi.org/10.3390/math13071178

APA Style

Li, C., & Yuan, K. (2025). Optimal Service Operation Strategy in Battery Swapping Supply Chain. Mathematics, 13(7), 1178. https://doi.org/10.3390/math13071178

Note that from the first issue of 2016, this journal uses article numbers instead of page numbers. See further details here.

Article Metrics

Back to TopTop