Next Article in Journal
Distributionally Robust Energy Optimization with Renewable Resource Uncertainty
Previous Article in Journal
Calculus of Long Rectangular Plates Embedded in Long Borders with Uniform Vertical Load on a Line Parallel to the Long Borders
 
 
Font Type:
Arial Georgia Verdana
Font Size:
Aa Aa Aa
Line Spacing:
Column Width:
Background:
Article

A Fast Projected Gradient Algorithm for Quaternion Hermitian Eigenvalue Problems

1
Department of Mathematics and Newtouch Center for Mathematics, Shanghai University, Shanghai 200444, China
2
Collaborative Innovation Center for the Marine Artificial Intelligence, Shanghai University, Shanghai 200444, China
*
Author to whom correspondence should be addressed.
Mathematics 2025, 13(6), 994; https://doi.org/10.3390/math13060994
Submission received: 5 March 2025 / Revised: 14 March 2025 / Accepted: 17 March 2025 / Published: 18 March 2025

Abstract

In this paper, based on the novel generalized Hamilton-real (GHR) calculus, we propose for the first time a quaternion Nesterov accelerated projected gradient algorithm for computing the dominant eigenvalue and eigenvector of quaternion Hermitian matrices. By introducing momentum terms and look-ahead updates, the algorithm achieves a faster convergence rate. We theoretically prove the convergence of the quaternion Nesterov accelerated projected gradient algorithm. Numerical experiments show that the proposed method outperforms the quaternion projected gradient ascent method and the traditional algebraic methods in terms of computational accuracy and runtime efficiency.

1. Introduction

In 1843, Sir William Rowan Hamilton [1] introduced quaternions in an effort to expand the concept of complex numbers into spaces of higher dimensions. Quaternions and quaternion matrices play a critical role in many applications, such as quantum mechanics, computer graphics, quaternion principal component analysis (QPCA), and image processing [2,3,4,5,6]. Due to the non-commutative property of quaternion multiplication, the eigenvalues of quaternion matrices are distinguished into left and right types, with the right eigenvalue problem having garnered widespread attention [7,8,9,10,11].
Quaternionic analysis extends complex analysis to the quaternion algebra Q , exploring the differentiation, integration, and regularity of quaternion-valued functions. The non-commutativity of quaternions introduces significant complexities, leading to two dominant frameworks for defining regularity: Fueter regularity [12,13], which is based on the Cauchy–Riemann–Fueter equations, and slice regularity [14,15], which requires holomorphicity restricted to complex slices of Q . Modern research focuses on unifying these approaches and expanding their applications in fields like physics, including in 3D rotations, and engineering, such as in hypercomplex signal processing [16,17,18].
In recent years, a series of numerical methods have been developed to compute the eigenvalues of quaternion matrices, particularly focusing on the eigenvalue problems of Hermitian matrices. These numerical methods can be broadly categorized into three classes: The first class involves direct quaternion arithmetic operations. For instance, Bunse-Gerstner proposed a quaternion QR algorithm for solving the right eigenvalue problem of quaternion matrices [19]. However, due to the complexity of quaternion arithmetic, this algorithm requires significant computational effort. The second class is based on the real or complex counterparts of quaternion matrices. By studying the real or complex counterpart structures and properties of quaternion matrices and by leveraging stable orthogonal transformations, real or complex structure-preserving methods have been developed to solve the right eigenvalue problem of quaternion Hermitian matrices [20,21]. The third class is based on the real counterparts of quaternion matrices, leading to the development of numerous structure-preserving iterative algorithms. Examples include the explicitly restarted quaternion Arnoldi method (ERQAM) [22], designed to compute standard right eigenpairs of general quaternion matrices, and the novel quaternion power method introduced in [23] for computing the dominant standard right eigenvalue and its corresponding eigenvector. Structure-preserving methods exhibit significant advantages in terms of storage space and computational efficiency.
In the field of quaternion optimization, significant progress has been made with generalized HR calculus (GHR) [24,25,26]. GHR leverages quaternion rotations in a general orthogonal system, offering a way to compute the derivatives and gradients of functions with quaternion variables, thereby providing a solid theoretical foundation for the development of quaternion optimization methods. Subsequently, based on generalized HR calculus (GHR), Diao et al. [27] proposed a gradient projection algorithm for maximizing the quaternion Rayleigh quotient under unit constraints. This algorithm demonstrated good performance and contributed to the development of quaternion optimization algorithms.
In this paper, we first equivalently transform the principal eigenvalue problem of quaternion Hermitian matrices into a maximization optimization problem over the quaternion skew field. Leveraging generalized HR calculus, we propose a quaternion Nesterov accelerated gradient projection algorithm to solve it. Subsequently, we conduct a convergence analysis of the quaternion Nesterov accelerated gradient projection algorithm, proving that a real differentiable function with Lipschitz continuous gradient possesses a quadratic upper bound. Furthermore, we theoretically prove the convergence of the quaternion Nesterov accelerated projected gradient algorithm. Finally, we compare our algorithm with two other methods, and numerical experiments indicate that our algorithm exhibits superior performance in terms of both accuracy and time efficiency.
The rest of this paper is organized as follows: Section 2 introduces some basic notations and fundamental properties of quaternions, including definitions of quaternion modulus, similarity, and rotation, with a particular emphasis on reviewing the relevant definitions and properties of generalized HR integrals. In Section 3, we design a quaternion Nesterov accelerated projected gradient algorithm to solve the principal eigenvalue and corresponding eigenvector of quaternion Hermitian matrices. Section 4 provides a convergence analysis of the quaternion Nesterov accelerated gradient algorithm. In Section 5, we conduct numerical experiments to validate the proposed method. Finally, in Section 6, we summarize this paper.

2. Preliminaries

In this section, some quaternion notations and basic definitions are introduced, which are used in the rest of the paper.

2.1. Notations

Throughout this paper, scalars, vectors, real or complex matrices, and quaternion matrices are distinguished as follows: scalars are denoted by lowercase Greek letters, e.g.,  α , β ; quaternions are denoted by lowercase letters, e.g.,  p , q , and quaternion vectors are denoted by x , y ; real or complex matrices are defined by uppercase letters, e.g.,  A , B ; and quaternion matrices are denoted by bold uppercase letters, e.g.,  A , B . The notations ( · ) , ( · ) , and  ( · ) H denote the transpose, conjugate, and conjugate transpose, respectively. The MATLAB function command is denoted by typewriter letters, e.g.,  [ V , D ] = eig ( A ) .

2.2. Quaternions and Quaternion Matrices

Denote the set of quaternions as
Q = span { 1 , i , j , k } q = q 1 + q 2 i + q 3 j + q 4 k | q 1 , q 2 , q 3 , q 4 R ,
where i , j , k are three imaginary units of quaternions, satisfying
i 2 = j 2 = k 2 = ijk = 1 , ij = ji = k , jk = kj = i , ki = ik = j .
The scalar (real) part of q is denoted by ( q ) = q 1 , and the vector (imaginary) part of q is denoted by ( q ) = q 2 i + q 3 j + q 4 k . A quaternion is called imaginary when its real part is equal to zero. The multiplication of quaternions adheres to the distributive law but is non-commutative.
The zero element in Q is 0 = 0 + 0 i + 0 j + 0 k , and the unit element is 1 = 1 + 0 i + 0 j + 0 k . For any q = q 0 + q 1 i + q 2 j + q 3 k Q , the conjugate of a quaternion is defined as
q = q 0 q 1 i q 2 j q 3 k .
The magnitude of q is | q | = q q = q 0 2 + q 1 2 + q 2 2 + q 3 2 . It follows that the inverse of a nonzero quaternion q is given by q 1 = q / | q | 2 . If  | q | = 1 ; then, we call q a unit quaternion.
Two quaternions a and b are said to be similar if there exists a nonzero quaternion c such that c 1 a c = b ; this is written as a b . Obviously, a and b are similar if and only if there is a unit quaternion d such that d 1 a d = b , and two similar quaternions have the same norm. It is routine to check that ∼ is an equivalence relation on the quaternions. We denote by [ a ] the equivalence class containing a . If  q = q 0 + q 1 i + q 2 j + q 3 k Q , then q and q 0 + q 1 2 + q 2 2 + q 3 2 i are similar, namely, q q 0 + q 1 2 + q 2 2 + q 3 2 i .
Quaternions can also be expressed in polar form as q = | q | ( cos θ + q ^ sin θ ) , where q ^ = ( q ) / | ( q ) | is a pure unit quaternion, and θ = arccos ( ( q ) / | q | ) R denotes the angle (or argument) of the quaternion. Next, we introduce the quaternion rotation and involution operators.
Definition 1 
(quaternion rotation [28]). For any quaternion q , the transformation
q μ μ q μ 1
geometrically describes a three-dimensional rotation of the vector part of q by an angle 2 θ about the vector part of μ, where μ = | μ | ( cos θ + μ ^ sin θ ) is any nonzero quaternion.
Specifically, if  μ in (2) is an imaginary unit, then the quaternion rotation (2) reduces to quaternion involution [29], defined by
q i = i q i = q 0 + i q 1 j q 2 k q 3 , q j = j q j = q 0 i q 1 + j q 2 k q 3 , q k = k q k = q 0 i q 1 j q 2 + k q 3 ,
where q = q 0 + i q 1 + j q 2 + k q 3 Q . Below, we list some properties of quaternion rotation, including
( p q ) μ = p μ q μ , p q = q p p = q p q , p , q Q
and
q μ ν = q ν μ , q μ q μ = q μ q μ , ν , μ Q .
Note that the representation in (1) can be extended to a general orthogonal basis 1 , i μ , j μ , k μ , where the following properties hold [28]:
i μ i μ = j μ j μ = k μ k μ = i μ j μ k μ = 1 .
Denote the set of quaternion matrices as
Q m × n = A = A 0 + A 1 i + A 2 j + A 3 k | A 0 , A 1 , A 2 , A 3 R m × n .
The conjugate transpose of A is A H = A 0 A 1 i A 2 j A 3 k . We say that a square quaternion matrix A Q n × n is normal if A H A = A A H ; Hermitian if A H = A , i.e.,  A 0 = A 0 and A i = A i , i = 1 , 2 , 3 ; unitary if A H A = I , where I is the identity matrix; and invertible (nonsingular) if there exists a matrix B Q n × n such that A B = B A = I . In this case, we denote A 1 = B . We have ( A B ) 1 = B 1 A 1 if A and B are invertible, and  ( A H ) 1 = ( A 1 ) H if A is invertible. The 2-norm of a given quaternion vector x Q n is defined as x = x H x .

2.3. GHR Calculus

We now introduce the generalized HR derivatives, which comprise both the product and chain rules; see [24,26] for more details.
Definition 2 
(real-differentiability [24]). Let q = q a + q b i + q c j + q d k Q ; then, a function f ( q ) = f a q a , q b , q c , q d + f b q a , q b , q c , q d i + f c q a , q b , q c , q d j + f d q a , q b , q c , q d k is called real differentiable when f a q a , q b , q c , q d , f b q a , q b , q c , q d , f c q a , q b , q c , q d , and f d q a , q b , q c , q d are differentiable with respect to the real variables q a , q b , q c , and q d , respectively.
Definition 3 
(GHR derivatives [24]). If f : Q Q is a real differentiable, then the GHR derivatives of f ( q ) with respect to q μ and q μ ( 0 μ Q ) are defined as
f q μ = 1 4 f q a f q b i μ f q c j μ f q d k μ ,
and
f q μ = 1 4 f q a + f q b i μ + f q c j μ + f q d k μ ,
where q = q a + q b i + q c j + q d k Q , q a , q b , q c , q d R , f / q a , f / q b , f / q c , and f / q d are the partial derivatives of f with respect to q a , q b , q c , and q d , while the set 1 , i μ , j μ , k μ is an orthogonal basis of Q .
Definition 4 
(quaternion gradient [24]). Let f ( q ˜ ) : Q n × 1 Q and q ˜ = q 1 , q 2 , , q n Q n × 1 ; then, the two quaternion gradients of f are defined as
q ˜ f f q ˜ T = f q 1 , , f q n T Q n × 1
and
q ˜ f f q ˜ T = f q 1 , , f q n T Q n × 1 .
Based on the definitions of GHR provided above, we consider a simple quadratic function f ( x ) = x H A x , where x Q n and A Q n × n is a quaternion Hermitian matrix; then, the gradient of this function f is given by
x f ( x ) = 1 2 ( A x ) , x f ( x ) = 1 2 A x ,
in which x f is the steepest ascent direction [26].

3. Quaternion Nesterov Accelerated Projected Gradient (Q-NAPG)

In this section, we introduce the quaternion Nesterov accelerated projected gradient algorithm. To this end, we first review the definition related to the eigenvalue of quaternion Hermitian matrices.
Definition 5 
(right eigenvalue [10,11]). Let A Q n × n be a quaternion matrix. Then, λ Q is called a right eigenvalue of A if there exists a nonzero vector x Q n such that
A x = x λ .
Here, x is the eigenvector corresponding to the eigenvalue λ.
For a quaternion matrix A Q n × n , if there exists a quaternion λ Q and a nonzero vector x Q n × 1 such that A x = x λ , then for any invertible quaternion p Q , it follows that
A x = x λ A ( x p ) = ( x p ) ( p 1 λ p ) .
Here, p 1 λ p is also a right eigenvalue of A with the corresponding eigenvector x p . This demonstrates that, for a general quaternion square matrix, there exist an infinite number of right eigenvalues [10].
Due to the non-commutativity of quaternion multiplication, general quaternion square matrices have distinct left and right eigenvalues. However, for a quaternion Hermitian matrix A , if  A has a right eigenvalue λ and its corresponding eigenvector x , it is straightforward to show that
x H A x = x H x λ ,
and by dividing both sides of the above equation by x H x , we obtain
λ = x H A x x H x = x H A x x 2 R ,
where (3) represents the Rayleigh quotient on the quaternion skew field. Therefore, the eigenvalues of quaternion Hermitian matrices are all real numbers, and, thus, there is no distinction between left and right eigenvalues.
Our goal is to compute the principal eigenvalue of a given quaternion Hermitian matrix. By defining the objective function as f ( x ) = x H A x and imposing the normalization constraint x 2 = 1 , we can equivalently transform the problem of finding the principal eigenvalue of a given quaternion Hermitian matrix into the following maximization optimization problem on the quaternion skew field:
max x Q n f ( x ) = x H A x s . t . x 2 = 1 .
The above problem (4) can be addressed using the quaternion gradient projection algorithm. Since the introduction of the Nesterov accelerated gradient (NAG) method [30], the incorporation of momentum has become a conventional approach to overcome the shortsighted issue in gradient algorithms [31,32]. To tackle the problem (4), we propose a quaternion Nesterov accelerated projected gradient algorithm (Q-NAPG). Given an initial point x 0 and set x 1 = x 0 , the QNAG method repeats for  t 0 ,
y t = x t + β x t x t 1 , z k + 1 = y t + α y f y t , x t + 1 = z t + 1 / z t + 1 ,
where α and β are the step size and momentum parameters, respectively. When the momentum parameter β = 0 , Q-NAPG simplifies to standard gradient ascent (GA). When β > 0 , it is possible to achieve accelerated rates of convergence for certain combinations of α and β in the deterministic setting. The framework of the proposed algorithm is detailed below (Algorithm 1).
Algorithm 1 Quaternion Nesterov Accelerated Projected Gradient (Q-NAPG)
Input: 
The quaternion Hermitian matrix A Q n × n , step size 0 < α R , momentum coefficient 0 < β R , tolerable error ϵ , and maximum number of iterations I max .
Output: 
The principle eigenvalue λ and its corresponding eigenvector x t + 1 .
  1:
Initialize: a unit quaternion vector x 0 Q n .
  2:
x 1 = x 0 .
  3:
for  t = 1  to  I max  do
  4:
   Momentum extrapolation: y t = x t + β ( x t x t 1 ) .
  5:
   Compute the gradient at the extrapolation point: y f y t = 1 2 A y t .
  6:
   Gradient ascent: z k + 1 = y t + α y f y t .
  7:
   Normalization: x t + 1 = z t + 1 / z t + 1 .
  8:
    λ = x t + 1 H A x t + 1 .
  9:
   if  A x t + 1 x t + 1 λ < ϵ  then
10:
       Break
11:
   end if
12:
end for
Remark 1. 
After obtaining the principal eigenvalue and its corresponding eigenvector of the quaternion Hermitian matrix, we can employ a deflation technique by updating A = A λ x x H and continue to apply the QNAG algorithm. By repeating this process, all eigenvalues and their corresponding eigenvectors can be obtained.
The proposed Nesterov accelerated projected gradient (Q-NAPG) algorithm is a novel method for computing the principal eigenvalue of quaternion Hermitian matrices using GHR calculus. The core improvement of the algorithm lies in the introduction of a momentum term and the calculation of a look-ahead gradient. This look-ahead adjustment allows the algorithm to correct the momentum direction in advance, reducing oscillations and converging faster to the optimal solution compared to traditional quaternion projected gradient algorithms. The non-commutativity of quaternion multiplication requires special handling in matrix decomposition algorithms, often necessitating conversion to complex or real equivalent forms, which may lead to the loss of quaternion structural information. The advantage of this method over customary methods is its direct operation on quaternion vectors, avoiding the conversion process to complex or real numbers. The algorithm is simple in its workflow and fully utilizes quaternion gradient information to preserve the intrinsic quaternion structure. Furthermore, the algorithm can be seamlessly extended to quaternion sparse optimization and manifold-constrained optimization problems, demonstrating strong applicability and extensibility.

4. Convergence Analysis of QNAG

In this section, we theoretically prove the convergence properties of the quaternion Nesterov accelerated gradient projection algorithm. Below, we first give the definition of gradient Lipschitz continuity.
Definition 6. 
A function f : Q n R is said to be gradient Lipschitz continuous with constant L > 0 if its gradient satisfies
x f ( x ) x f ( y ) L x y ,
for all x , y Q n . Here, · denotes the 2-norm of quaternion vectors.
This condition ensures that the gradient of f does not change too rapidly, which is crucial for establishing the quadratic upper bound in Lemma 1.
Lemma 1. 
If f : Q n R is a real differentiable and gradient Lipschitz continuous function with constant L > 0 , then f has the following quadratic upper bound:
f ( y ) f ( x ) 4 x f ( x ) H ( y x ) 2 L y x 2 , x , y Q n .
Proof. 
For any x , y Q n , let Δ x = y x . Define the parameterized path g ( t ) = f ( x + t Δ x ) for t [ 0 , 1 ] . Then, the difference in the function can be expressed as
f ( y ) f ( x ) = 0 1 d d t g ( t ) d t .
Using the chain rule, the derivative g ( t ) corresponds to the directional derivative of f along Δ x . Based on the quaternion first-order Taylor expansion [26], it follows that
g ( t ) = 4 x f ( x + t Δ x ) H Δ x .
Thus, the function difference becomes
f ( y ) f ( x ) = 0 1 4 x f ( x + t Δ x ) H Δ x d t .
By subtracting the linear term 4 x f ( x ) H Δ x from both sides
f ( y ) f ( x ) 4 x f ( x ) H Δ x = 0 1 4 x f ( x + t Δ x ) x f ( x ) H Δ x d t ,
and then by using the absolute value inequality and the Cauchy–Schwarz inequality, we have
f ( y ) f ( x ) 4 x f ( x ) H Δ x 4 0 1 x f ( x + t Δ x ) x f ( x ) · Δ x d t .
By the gradient Lipschitz condition, we have
x f ( x + t Δ x ) x f ( x ) L t Δ x = L t Δ x ,
and by substituting the above inequality into the integral (7), we obtain
Right - hand side 4 L Δ x 2 0 1 t d t = 4 L Δ x 2 · 1 2 = 2 L Δ x 2 .
Thus, for all x , y Q n , we have
f ( y ) f ( x ) 4 x f ( x ) H ( y x ) 2 L y x 2 .
This completes the proof of the quadratic upper bound.    □
Below, we give the convergence theorem for Algorithm 1.
Theorem 1. 
Let f : Q n R be a real differentiable and gradient Lipschitz continuous function with constant L > 0 . If the step size is α = 1 2 L and the momentum parameter is β t = t 1 t + 2 , then
f ( x ) f ( x t ) C / ( t + 1 ) 2
is true for any t 0 , where x is the global maximizer, which satisfies f ( x ) = λ max . C is a constant related to the initial conditions.
Proof. 
From Lemma 1, for the update z t + 1 = y t + α y f y t , we have
f z t + 1 f y t + 4 y f y t H z t + 1 y t 2 L z t + 1 y t 2
By substituting z t + 1 y t = α y f y t , we derive
f z t + 1 f y t + 4 α f y t 2 2 L α 2 f y t 2 .
By choosing α = 1 2 L , this simplifies to
f z t + 1 f y t + 3 2 L f y t 2 .
After projecting z t + 1 onto the unit sphere, x t + 1 = z t + 1 / z t + 1 . By applying Lemma 1 again to x t + 1 and z t + 1 , we obtain
f x t + 1 f z t + 1 + 4 z t + 1 f z t + 1 H x t + 1 z t + 1 2 L x t + 1 z t + 1 2 .
By the optimality condition of the projection, we have
z t + 1 f z t + 1 H x t + 1 z t + 1 0
which implies
f x t + 1 f z t + 1 2 L x t + 1 z t + 1 2 .
Next, we consider the bound of the projection error
x t + 1 z t + 1 = z t + 1 z t + 1 z t + 1 = z t + 1 1 z t + 1 z t + 1 = 1 z t + 1 z t + 1 z t + 1 = 1 z t + 1 .
By combining z t + 1 = y t + α y f y t and normalizing such that y t = 1 , we obtain
z t + 1 y t + α y f y t ,
which implies that
x t + 1 z t + 1 α y f y t .
Thus, the projection error in (9) is a higher-order term, and we obtain
f x t + 1 f z t + 1 2 L α 2 f y t 2 .
The Formulas (8) and (9) give a lower bound
f x t + 1 f y t + 3 2 L f y t 2 1 2 L f y t 2 = f y t + 1 L f y t 2 .
We then define the Lyapunov function as
Φ t = θ t 2 f x f x t + 1 2 v t x 2 ,
where the auxiliary sequence θ t = t + 1 2 satisfies β t = θ t 1 θ t + 1 , and  v t follows the update rule
v t + 1 = v t + θ t α f y t .
Our goal is to prove that Φ t + 1 Φ t . By computing Φ t + 1 Φ t , we obtain
Φ t + 1 Φ t = θ t + 1 2 f x f x t + 1 θ t 2 f x f x t + 1 2 v t + 1 x 2 v t x 2 .
For the term v t + 1 x 2 , we have
v t + 1 x 2 = v t x + θ t α f y t 2 = v t x 2 + 2 θ t α f y t H v t x + θ t 2 α 2 f y t 2 .
Thus, we have
Φ t + 1 Φ t = θ t + 1 2 θ t 2 f x f x t + 1 θ t 2 f x t + 1 f x t + θ t α f y t H v t x + θ t 2 α 2 2 f y t 2 .
By combining with (10), we arrive at
Φ t + 1 Φ t θ t + 1 2 θ t 2 θ t 2 f x f y t + θ t α f y t H v t x + θ t 2 α 2 2 f y t 2 .
Using θ t + 1 = θ t + 1 2 and α = 1 2 L , we simplify
θ t + 1 2 θ t 2 = θ t + 1 4 and θ t 2 L θ t 2 α 2 L .
After algebraic manipulation, we show that
Φ t + 1 Φ t θ t 2 4 L f y t 2 Φ t .
From Φ t Φ 0 and θ t = t + 1 2 , we have
( t + 1 ) 2 4 f x f x t Φ 0 = 1 4 f x f x 0 + 1 2 v 0 x 2
By letting v 0 = x 0 , we conclude
f x f x t C ( t + 1 ) 2 ,
where C = f x f x 0 + 2 v 0 x 2 is a constant related to the initial setup. Algorithm 1 achieves an O ( 1 / t 2 ) convergence rate. This completes the proof.    □

5. Numerical Experiments

In this section, we provide numerical examples to demonstrate the feasibility and effectiveness of the quaternion Nesterov accelerated gradient projection algorithm for the eigenvalue problem of quaternion Hermitian matrices. In the specific implementation of Algorithm 1, we set the constant step size, momentum parameter, and tolerable error to α = 0.05 , β = 0.9 , and ϵ = 1 e 11 , respectively.
All experiments are performed using Windows 11 and MATLAB version 23.2.0.2365128 (R2023b), with an AMD Ryzen 7 5800H with Radeon Graphics CPU at 3.20 GHz and 16 GB of memory.
Example 1. 
Given quaternion matrix A = A 0 + A 1 i + A 2 j + A 3 k with
A 0 = 17.6331 1.6420 1.2730 1.6420 8.3929 1.7952 1.2730 1.7952 15.1089 , A 1 = 0 1.2315 1.5751 1.2315 0 2.5700 1.5751 2.5700 0
and
A 2 = 0 0.6530 3.2730 0.6530 0 1.2301 3.2730 1.2301 0 , A 3 = 0 4.3909 9.2817 4.3909 0 1.9585 9.2817 1.9585 0 .
In this experiment, we employ the quaternion Nesterov accelerated projected gradient method (Algorithm 1) to compute all eigenvalues of A , which are λ 1 = 27.0543 ,   λ 2 = 12.4577 ,   λ 3 = 1.6229 , with their corresponding eigenvectors being
x 1 = 0.4485 + 0.4371 i 0.1443 j 0.3829 k 0.0365 + 0.0228 i + 0.0147 j + 0.1706 k 0.3077 + 0.1006 i + 0.2161 j + 0.5076 k , x 2 = 0.1208 0.0357 i + 0.3112 j 0.2267 k 0.0627 0.7303 i 0.0928 j 0.0756 k 0.2492 + 0.4640 i + 0.0583 j 0.0588 k , x 3 = 0.0011 0.1557 i + 0.3809 j + 0.3270 k 0.5029 + 0.3354 i + 0.0994 j + 0.2046 k 0.1149 + 0.4714 i + 0.1735 j + 0.2025 k .
Additionally, we obtain the following three residuals:
A x 1 x 1 λ 1 6.7432 e 12 , A x 2 x 2 λ 2 5.1990 e 12 , A x 3 x 3 λ 3 4.3378 e 12 .
It is evident that the residuals are controlled within an ideal range, demonstrating the feasibility and effectiveness of Algorithm 1 in computing the eigenvalues of quaternion Hermitian matrices.
Example 2. 
In this experiment, we utilize MATLAB’s built-in functions to randomly generate three quaternion Hermitian matrices of different sizes and compare Algorithm 1 with the QPGA method [27], the eigQ method [21], and the eig function in the Quaternion Toolbox for MATLAB (QTFM) [33].
We first tested the performance of Algorithm 1, the AQPGA method, the eigQ method, and the eig function in computing the principal eigenvalues of three different types and sizes of quaternion Hermitian matrices. The numerical experimental results are presented in Table 1, which includes three evaluation metrics: the number of iterations, residuals, and runtime. Superior results are highlighted in bold. The symbol “−” indicates that the computer had insufficient running memory, and the algorithm was forcibly terminated by the computer, as it failed to produce a result. The symbol * indicates that the algorithm does not have this metric, as it is not an iterative algorithm and therefore does not have iteration steps. It can be observed that Algorithm 1 outperforms the other algorithms in terms of the number of iterations, problem residuals, and runtime, demonstrating advantages when computing large-scale quaternion Hermitian matrices.
Subsequently, we plotted the variation curves of the objective function values for the first 50 iterations of Algorithm 1 and the QPGA algorithm, as shown in Figure 1. It is evident that our algorithm achieves a faster increase in the objective function, demonstrating higher efficiency in obtaining the maximum eigenvalue.
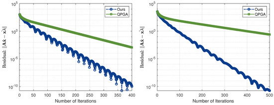
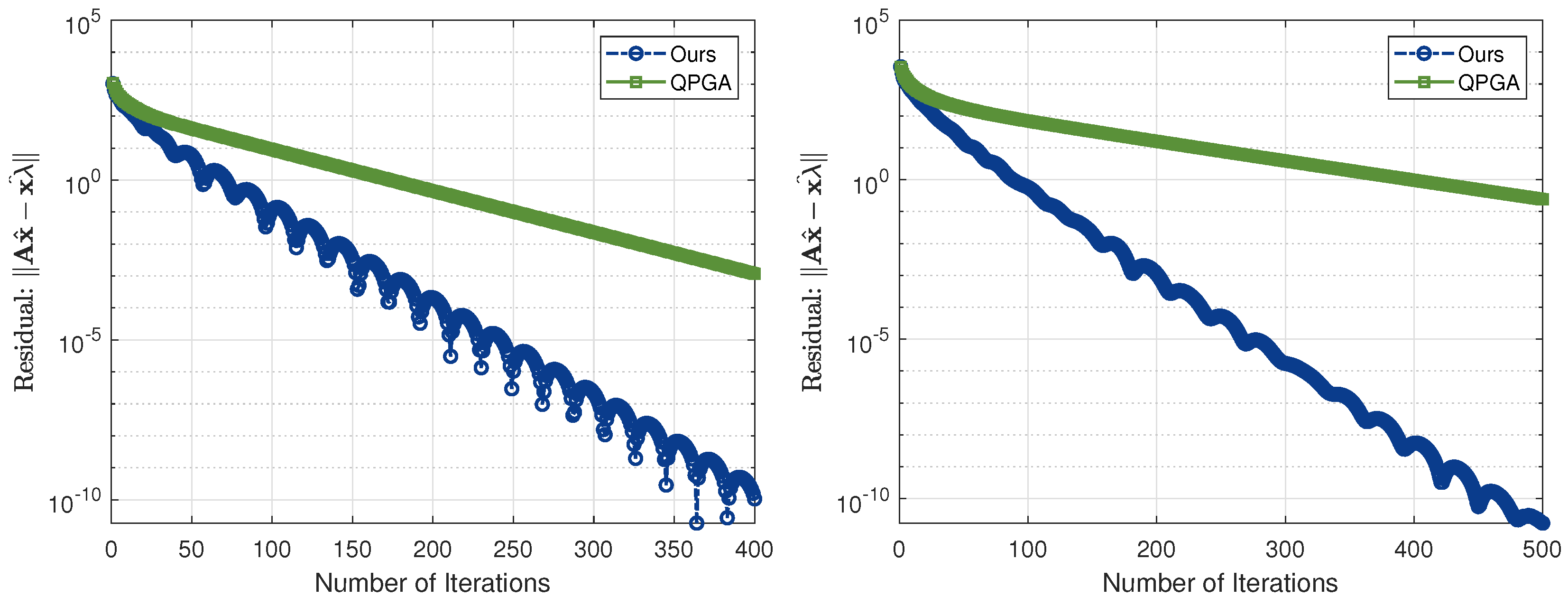
Figure 2 illustrates the residual variation curves generated by Algorithm 1 and the QNGA algorithm with respect to the number of iterations. Across the tested matrix dimensions, our algorithm consistently achieves higher accuracy and efficiency.

6. Conclusions

In this paper, leveraging the innovative generalized Hamilton-real (GHR) calculus, we introduced a novel quaternion Nesterov accelerated projected gradient algorithm designed to compute the dominant eigenvalue and corresponding eigenvector of quaternion Hermitian matrices. The incorporation of momentum terms and look-ahead updates enabled the algorithm to attain an accelerated convergence rate. Theoretical analysis confirmed the convergence of the quaternion Nesterov accelerated projected gradient algorithm. Empirical results from numerical experiments indicate that the proposed method surpasses both the quaternion projected gradient ascent (QPGA) and customary methods in terms of computational precision and efficiency in runtime.

Author Contributions

S.-Q.D. wrote the main manuscript text and performed the experiment. Q.-W.W. contributed to the conception of the study and helped to improve this manuscript with constructive suggestions. All authors have read and agreed to the published version of the manuscript.

Funding

This work is funded by the National Natural Science Foundation of China under Grant No. 12371023.

Data Availability Statement

Data are contained within the article.

Acknowledgments

The authors would like to thank the editor and reviewers for their valuable suggestions, comments, and the National Natural Science Foundation of China under Grant No. 12371023.

Conflicts of Interest

The authors declare no conflicts of interest.

References

  1. Hamilton, W.R. Elements of Quaternions; Longmans Green: Lomdon, UK, 1866. [Google Scholar]
  2. De Leo, S.; Scolarici, G. Right eigenvalue equation in quaternionic quantum mechanics. J. Phys. A Math. Gen. 2000, 33, 2971. [Google Scholar] [CrossRef]
  3. Jiang, T.; Chen, L. An algebraic method for schrödinger equations in quaternionic quantum mechanics. Comput. Phys. Commun. 2008, 178, 795–799. [Google Scholar] [CrossRef]
  4. Xie, L.M.; Wang, Q.W.; He, Z.H. The generalized hand-eye calibration matrix equation AXYB = C over dual quaternions. Comput. Appl. Math. 2025, 44, 137. [Google Scholar] [CrossRef]
  5. Yu, C.E.; Liu, X.; Zhang, Y. A new complex structure-preserving method for QSVD. J. Sci. Comput. 2024, 99, 37. [Google Scholar] [CrossRef]
  6. Zeng, R.; Wu, J.; Shao, Z.; Chen, Y.; Chen, B.; Senhadji, L.; Shu, H. Color image classification via quaternion principal component analysis network. Neurocomputing 2016, 216, 416–428. [Google Scholar] [CrossRef]
  7. Duan, S.Q.; Wang, Q.W.; Duan, X.F. On Rayleigh quotient iteration for the dual quaternion Hermitian eigenvalue problem. Mathematics 2024, 12, 4006. [Google Scholar] [CrossRef]
  8. Farid, F.; Wang, Q.W.; Zhang, F. On the eigenvalues of quaternion matrices. Linear Multilinear Algebra 2011, 59, 451–473. [Google Scholar] [CrossRef]
  9. Macías-Virgós, E.; Pereira-Sáez, M.; Tarrío-Tobar, A.D. Rayleigh quotient and left eigenvalues of quaternionic matrices. Linear Multilinear Algebra 2023, 71, 2163–2179. [Google Scholar] [CrossRef]
  10. Rodman, L. Topics in Quaternion Linear Algebra; Princeton University Press: Princeton, NJ, USA, 2014. [Google Scholar]
  11. Zhang, F. Quaternions and matrices of quaternions. Linear Algebra Its Appl. 1997, 251, 21–57. [Google Scholar] [CrossRef]
  12. Fueter, R. Die funktionentheorie der differentialgleichungen Δu = 0 und ΔΔu = 0 mit vier reellen variablen. Comment. Math. Helv. 1934, 7, 307–330. [Google Scholar] [CrossRef]
  13. Sudbery, A. Quaternionic analysis. In Mathematical Proceedings of the Cambridge Philosophical Society; Cambridge University Press: Cambridge, UK, 1979; Volume 85, pp. 199–225. [Google Scholar]
  14. Gentili, G.; Struppa, D.C. A new theory of regular functions of a quaternionic variable. Adv. Math. 2007, 216, 279–301. [Google Scholar] [CrossRef]
  15. Sabadini, I.; Struppa, D.C. Noncommutative Functional Calculus: Theory and Applications of Slice Hyperholomorphic Functions; Springer Science & Business Media: Berlin/Heidelberg, Germany, 2011; Volume 289. [Google Scholar]
  16. Ell, T.A.; Sangwine, S.J. Hypercomplex fourier transforms of color images. IEEE Trans. Image Process. 2006, 16, 22–35. [Google Scholar] [CrossRef] [PubMed]
  17. Alpay, D.; Colombo, F.; Sabadini, I. Slice Hyperholomorphic Schur Analysis; Springer: Berlin/Heidelberg, Germany, 2016; Volume 256. [Google Scholar]
  18. Hitzer, E.M. Quaternion fourier transform on quaternion fields and generalizations. Adv. Appl. Clifford Algebr. 2007, 17, 497–517. [Google Scholar] [CrossRef]
  19. Bunse-Gerstner, A.; Byers, R.; Mehrmann, V. A quaternion QR algorithm. Numer. Math. 1989, 55, 83–95. [Google Scholar] [CrossRef]
  20. Guo, Z.; Jiang, T.; Vasil’ev, V.; Wang, G. Complex structure-preserving method for schrödinger equations in quaternionic quantum mechanics. Numer. Algorithms 2024, 97, 271–287. [Google Scholar] [CrossRef]
  21. Jia, Z.; Wei, M.; Ling, S. A new structure-preserving method for quaternion Hermitian eigenvalue problems. J. Comput. Appl. Math. 2013, 239, 12–24. [Google Scholar] [CrossRef]
  22. Wang, Q.W.; Wang, X.X. Arnoldi method for large quaternion right eigenvalue problem. J. Sci. Comput. 2020, 82, 58. [Google Scholar] [CrossRef]
  23. Li, Y.; Wei, M.; Zhang, F.; Zhao, J. On the power method for quaternion right eigenvalue problem. J. Comput. Appl. Math. 2019, 345, 59–69. [Google Scholar] [CrossRef]
  24. Xu, D.; Jahanchahi, C.; Took, C.C.; Mandic, D.P. Enabling quaternion derivatives: The generalized HR calculus. R. Soc. Open Sci. 2015, 2, 150255. [Google Scholar] [CrossRef]
  25. Xu, D.; Mandic, D.P. The theory of quaternion matrix derivatives. IEEE Trans. Signal Process. 2015, 63, 1543–1556. [Google Scholar] [CrossRef]
  26. Xu, D.; Xia, Y.; Mandic, D.P. Optimization in quaternion dynamic systems: Gradient, hessian, and Learning Algorithms. IEEE Trans. Neural Networks Learn. Syst. 2015, 27, 249–261. [Google Scholar] [CrossRef] [PubMed]
  27. Diao, Q.; Liu, J.; Zhang, N.; Xu, D. An iterative algorithm for quaternion eigenvalue problems in signal processing. IEEE Signal Process. Lett. 2024, 31, 2505–2509. [Google Scholar] [CrossRef]
  28. Ward, J.P. Quaternions and Cayley Numbers: Algebra and Applications; Springer Science & Business Media: Berlin/Heidelberg, Germany, 2012; Volume 403. [Google Scholar]
  29. Ell, T.A.; Sangwine, S.J. Quaternion involutions and anti-involutions. Comput. Math. Appl. 2007, 53, 137–143. [Google Scholar] [CrossRef]
  30. Nesterov, Y. A method for unconstrained convex minimization problem with the rate of convergence O(1/k2). Dokl. Akad. Nauk. SSSR 1983, 269, 543. [Google Scholar]
  31. Ghadimi, S.; Lan, G. Accelerated gradient methods for nonconvex nonlinear and stochastic programming. Math. Program. 2016, 156, 59–99. [Google Scholar] [CrossRef]
  32. Li, H.; Peng, Z.; Pan, C.; Zhao, D. Fast gradient method for low-rank matrix estimation. J. Sci. Comput. 2023, 96, 41. [Google Scholar] [CrossRef]
  33. Sangwine, S.J.; Bihan, N.L. Quaternion Toolbox for Matlab, Version 2 with Support for Octonions. 2013. Available online: http://qtfm.sourceforge.net/ (accessed on 25 February 2025).
Figure 1. Comparison of the variation curves of the objective function values with respect to the number of iterations for Algorithm 1 and the QPGA algorithm on a 1000-order quaternion Hermitian matrix.
Figure 1. Comparison of the variation curves of the objective function values with respect to the number of iterations for Algorithm 1 and the QPGA algorithm on a 1000-order quaternion Hermitian matrix.
Mathematics 13 00994 g001
Figure 2. Comparison of fixed iteration steps and residual variation curves between Algorithm 1 and QPGA for solving Problem (4), with quaternion Hermitian matrix sizes of order 300 and 1000 on the left and right, respectively.
Figure 2. Comparison of fixed iteration steps and residual variation curves between Algorithm 1 and QPGA for solving Problem (4), with quaternion Hermitian matrix sizes of order 300 and 1000 on the left and right, respectively.
Mathematics 13 00994 g002
Table 1. Numerical comparison results of the Q-NAPG algorithm, QPGA method [27], eigQ method [21], and eig function [33] for computing the principal eigenvalue and its corresponding eigenvector of three types of quaternion Hermitian matrices.
Table 1. Numerical comparison results of the Q-NAPG algorithm, QPGA method [27], eigQ method [21], and eig function [33] for computing the principal eigenvalue and its corresponding eigenvector of three types of quaternion Hermitian matrices.
MethodsSizeGeneral HermitianPositive Semi-DefinitePositive Definite
ITResidualCPU(s)ITResidualCPU(s)ITResidualCPU(s)
Ours3004534.5453 × 10−120.66674341.6844 × 10−120.64204191.5814 × 10−120.6079
5004329.4172 × 10−122.64654549.2637 × 10−122.68364579.9405 × 10−122.7210
10004618.2506 × 10−1210.47954858.2055 × 10−1210.64675037.8888 × 10−1211.2300
15005368.8563 × 10−1224.68005249.2845 × 10−1225.68635837.7846 × 10−1227.9784
QPGA [27]30017649.9457 × 10−122.485711419.8121 × 10−121.728316159.8821 × 10−122.2746
50013689.8076 × 10−128.278620209.9177 × 10−1211.713515309.5587 × 10−129.1385
100015929.8945 × 10−1236.147019439.9733 × 10−1242.386826369.9721 × 10−1256.6146
150017429.7375 × 10−12141.766719579.9759 × 10−12164.865225968.0768 × 10−12173.8658
eigQ [21]300*8.8542 × 10−123.1420*5.8543 × 10−122.7954*7.7452 × 10−113.0562
500*1.6045 × 10−1113.3313*8.7452 × 10−1212.7547*3.6842 × 10−1112.7578
1000*3.8491 × 10−1186.8686*7.7571 × 10−1181.7547*6.7524 × 10−1179.7541
1500*7.4105 × 10−11287.6969*9.6426 × 10−11267.7537*6.6437 × 10−11275.8548
eig [33]300*9.6329 × 10−123.4420*1.5353 × 10−113.3504*3.9411 × 10−113.3670
500*3.3852 × 10−1124.6503*1.9891 × 10−1124.6779*2.3945 × 10−1124.3842
1000*2.1115 × 10−10373.4246*1.7807 × 10−10362.1100*7.2911 × 10−11379.0733
1500***
Disclaimer/Publisher’s Note: The statements, opinions and data contained in all publications are solely those of the individual author(s) and contributor(s) and not of MDPI and/or the editor(s). MDPI and/or the editor(s) disclaim responsibility for any injury to people or property resulting from any ideas, methods, instructions or products referred to in the content.

Share and Cite

MDPI and ACS Style

Duan, S.-Q.; Wang, Q.-W. A Fast Projected Gradient Algorithm for Quaternion Hermitian Eigenvalue Problems. Mathematics 2025, 13, 994. https://doi.org/10.3390/math13060994

AMA Style

Duan S-Q, Wang Q-W. A Fast Projected Gradient Algorithm for Quaternion Hermitian Eigenvalue Problems. Mathematics. 2025; 13(6):994. https://doi.org/10.3390/math13060994

Chicago/Turabian Style

Duan, Shan-Qi, and Qing-Wen Wang. 2025. "A Fast Projected Gradient Algorithm for Quaternion Hermitian Eigenvalue Problems" Mathematics 13, no. 6: 994. https://doi.org/10.3390/math13060994

APA Style

Duan, S.-Q., & Wang, Q.-W. (2025). A Fast Projected Gradient Algorithm for Quaternion Hermitian Eigenvalue Problems. Mathematics, 13(6), 994. https://doi.org/10.3390/math13060994

Note that from the first issue of 2016, this journal uses article numbers instead of page numbers. See further details here.

Article Metrics

Back to TopTop