Implementation of a Data-Parallel Approach on a Lightweight Hash Function for IoT Devices
Abstract
1. Introduction
1.1. Related Works
- A novel data-parallel lightweight hash function is developed, optimized for efficient execution on multi-core IoT devices and distributed systems.
- Differing from existing hash function designs, a new construction tailored for data-parallel processing is introduced.
- The proposed hash function significantly enhances hashing speed by integrating an optimized construction with an appropriate lightweight block cipher, even on a single core.
- The data-parallel approach achieves higher parallel efficiency and scalability compared to task-parallel methods, making it more suitable for IoT devices.
- The proposed hash function meets security requirements at least as effectively as other existing hash functions, and this has been validated through various tests.
1.2. Paper Organization
2. Background
2.1. Hash Functions
- Compression: Hash function should compress any message of an arbitrary size into fixed-length messages called a message digest.
- Ease of computation: Hash function can efficiently perform the hash value of any input message in software and hardware platforms.
- Pre-image resistance: It should not have been possible to obtain the input message (pre-image) from a given hash value (s) such that , which is the irreversibility feature of a one-way function.
- Second pre-image resistance: It should not have been possible to obtain a second input message from a given input message such that .
- Collision resistance: It should not have been possible to find two different given messages generating the same hash value such that .
- Non-correlation: The input message and the corresponding hash value are not related in any way, which means every input message bit affects every hash value bit.
- Near-collision resistance: It should be challenging to find two different input messages whose hash values and hardly differ.
- Partial-pre-image resistance: It is necessary that any substring of the input message cannot be found from any given hash value or even for any given different substring of the input message.
2.2. Lightweight Hash Functions
- Hash functions developed for resource-constrained nodes such as IoT devices and using existing constructions (SPONGENT, Quark, Photon, etc.).
- Lightweight implementation of traditional hash functions (lightweight implementation of Keccak or BLAKE).
- Lightweight hash functions converted from block or stream ciphers (DM-PRESENT and H-PRESENT).
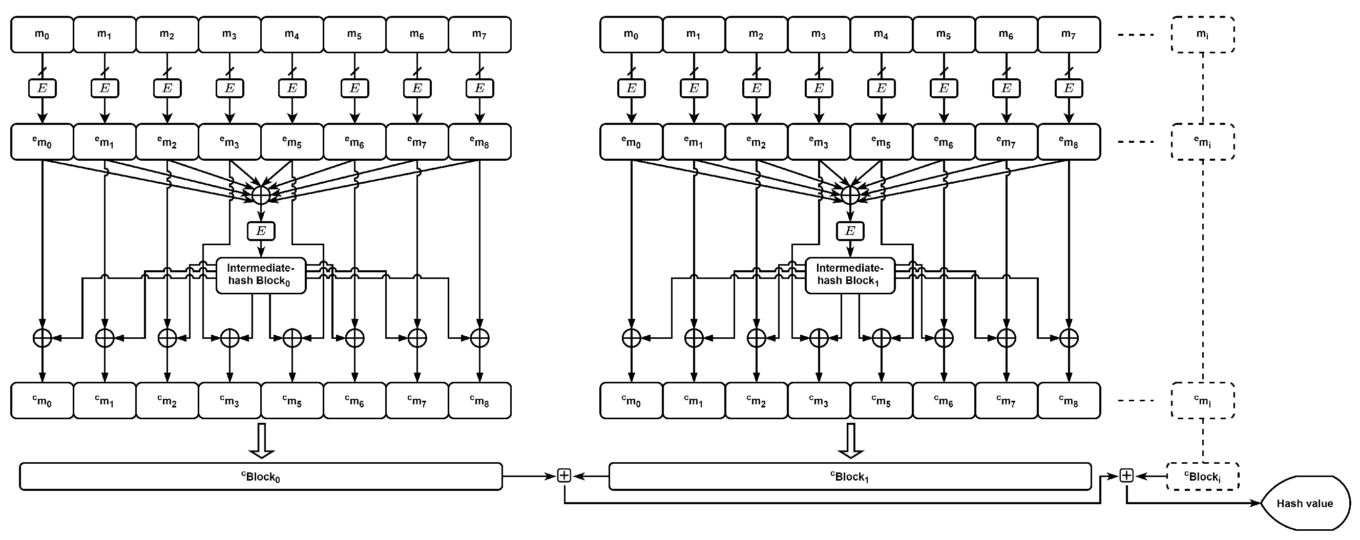
3. The Proposed PLWHF Scheme
| Algorithm 1 Hash Function |
| Algorithm 2 Padding Technique |
4. Security and Performance Analysis
4.1. Sensitivity of Hash Value
- Condition 1: DDC79747211E4F15AD0E353C1F93DCBBB989F0047053F6782F6EBB189AFA21BA6A6DA56882BCB306DE7ED513E9B7ACF676B9DBC872535916F3829A2D3FA98920
- Condition 2: 49082166C5E3D586FD4EA31BFB0D2F28E8CA9E2564FD62E7DEAF00F7204F7D4D39AF4F87F7EE4E93CEC07F3464F6086786F961A9B734D3A7A2C1400E9C7705B3
- Condition 3: 3C65C1ACFB73037E0E6C0365447EA110D62BBD6B976EB10FCFD062C175E16F2548CFEEBEAE5F805BBFDD1DFA1364FA4F985B7FDF89A6A56F942461C46706D38B
- Condition 4: 07D9A6494D54E0F5C2F826360B5A76DB7BABFEFE8C9A74580534EA1A7F41BBDA387B7462AF032526AC68E60DD57042D658B7EACE5E0CE2F621A0C92F23710700
- Condition 5: EB00B346F7CD44D60847593F85C2EAFEC6C2D407C825103540A7DF17C3C92B797FB4C167EC8BF0C9D537B112FFE88EA98072FFCB0A248ED3E24B763017D87F63
- Condition 6: D6E00CF5D684263CB3E79F8EAC7E055522E38DF605BE2EDE24C754A6E64FC9E0A394175619E68B2079585AE13A9175102C9259DAC3B9B07C8E2C105FEE536202
4.2. Statistic Analysis
4.3. Distribution of Hash Values
4.4. Collision Resistance
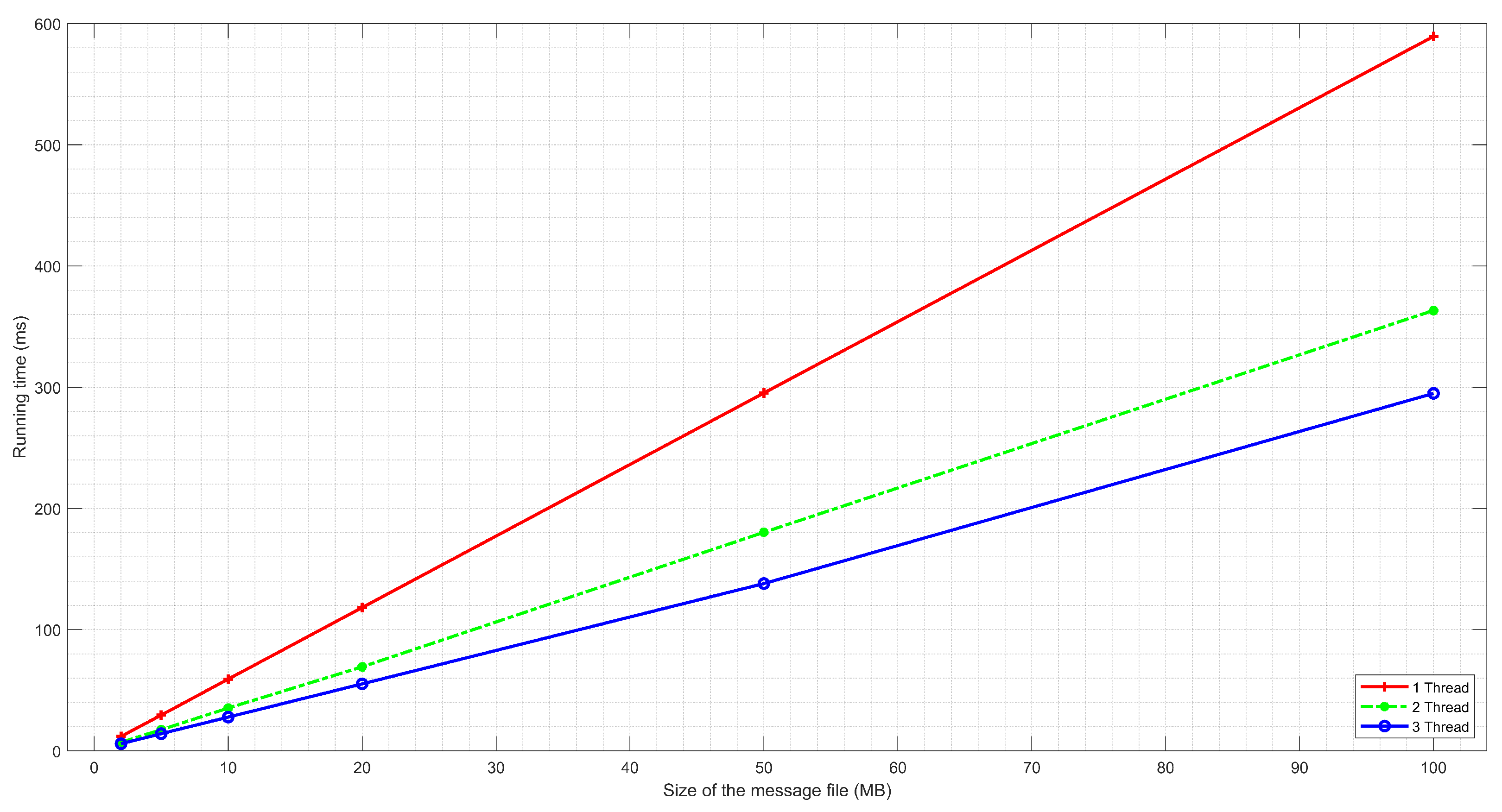
4.5. Software Efficiency Analysis
5. Conclusions
Funding
Data Availability Statement
Conflicts of Interest
References
- Borgia, E. The Internet of Things vision: Key features, applications and open issues. Comput. Commun. 2014, 54, 1–31. [Google Scholar] [CrossRef]
- Wang, C.; Daneshmand, M.; Dohler, M.; Mao, X.; Hu, R.Q.; Wang, H. Guest Editorial-Special issue on internet of things (IoT): Architecture, protocols and services. IEEE Sens. J. 2013, 13, 3505–3510. [Google Scholar] [CrossRef]
- Abed, S.; Jaffal, R.; Mohd, B.J.; Al-Shayeji, M. An analysis and evaluation of lightweight hash functions for blockchain-based IoT devices. Clust. Comput. 2021, 24, 3065–3084. [Google Scholar] [CrossRef]
- Bhoyar, P.; Sahare, P.; Dhok, S.B.; Deshmukh, R.B. Communication technologies and security challenges for internet of things: A comprehensive review. AEU-Int. J. Electron. Commun. 2019, 99, 81–99. [Google Scholar] [CrossRef]
- Jebrane, J.; Lazaar, S. ILAPU-Q: An Improved Lightweight Authentication Protocol for IoT Based on U-quark Hash Function. Recent Adv. Comput. Sci. Commun. (Former. Recent Patents Comput. Sci.) 2024, 17, 78–87. [Google Scholar] [CrossRef]
- Tanrıverdi, M. Design and Implementation of Blockchain Based Single Sign-On Authentication System for Web Applications. Sak. Univ. J. Comput. Inf. Sci. 2020, 3, 343–354. [Google Scholar] [CrossRef]
- Lange, T. Hash-Based Signatures. In Encyclopedia of Cryptography, Security and Privacy; Springer: Berlin/Heidelberg, Germany, 2025; pp. 1110–1112. [Google Scholar]
- Drake, J.; Khovratovich, D.; Kudinov, M.; Wagner, B. Hash-Based Multi-Signatures for Post-Quantum Ethereum. Cryptol. ePrint Arch. 2025. preprint. [Google Scholar]
- Atighehchi, K.; Rolland, R. Optimization of tree modes for parallel hash functions: A case study. IEEE Trans. Comput. 2017, 66, 1585–1598. [Google Scholar] [CrossRef]
- El Allam, O.; Alali, A.; Sadik, M.; Elmaaradi, H. Open-source Hardware FPGA Platforms for IoT: Paradigms, opportunities and open issues. In Proceedings of the 2023 10th International Conference on Future Internet of Things and Cloud (FiCloud), Marrakesh, Morocco, 14–16 August 2023; pp. 292–297. [Google Scholar]
- Rajasekar, P.; Mangalam, H. Design and implementation of power and area optimized AES architecture on FPGA for IoT application. Circuit World 2020, 47, 153–163. [Google Scholar]
- Magyari, A.; Chen, Y. Review of state-of-the-art FPGA applications in IoT Networks. Sensors 2022, 22, 7496. [Google Scholar] [CrossRef]
- Khan, S.; Inayat, K.; Muslim, F.B.; Shah, Y.A.; Atif Ur Rehman, M.; Khalid, A.; Imran, M.; Abdusalomov, A. Securing the IoT ecosystem: ASIC-based hardware realization of Ascon lightweight cipher. Int. J. Inf. Secur. 2024, 23, 3653–3664. [Google Scholar] [CrossRef]
- Nguyen, K.D.; Dang, T.K.; Kieu-Do-Nguyen, B.; Le, D.H.; Pham, C.K.; Hoang, T.T. ASIC Implementation of ASCON Lightweight Cryptography for IoT Applications. IEEE Trans. Circuits Syst. II Express Briefs 2024, 72, 278–282. [Google Scholar] [CrossRef]
- Ahmad, N.; Zamri, M.H.; Ahmed, S.; Wijayanto, A.; Isaak, S. Design of Advanced Encryption System (AES) Algorithm Using ASIC Implementation for Internet of Things (IoT) Devices. J. Adv. Res. Des. 2024, 123, 131–145. [Google Scholar]
- Singh, S.; Sharma, P.K.; Moon, S.Y.; Park, J.H. Advanced lightweight encryption algorithms for IoT devices: Survey, challenges and solutions. J. Ambient. Intell. Humaniz. Comput. 2024, 15, 1625–1642. [Google Scholar] [CrossRef]
- El-Hajj, M.; Mousawi, H.; Fadlallah, A. Analysis of lightweight cryptographic algorithms on iot hardware platform. Future Internet 2023, 15, 54. [Google Scholar] [CrossRef]
- Shukla, S.K.; Pant, B.; Viriyasitavat, W.; Verma, D.; Kautish, S.; Dhiman, G.; Kaur, A.; Srihari, K.; Mohanty, S.N. An integration of autonomic computing with multicore systems for performance optimization in Industrial Internet of Things. In IET Communications; Wiley: Hoboken, NJ, USA, 2022. [Google Scholar]
- Pan, X.; Yang, K.; Li, N.; Zheng, S.; Guo, Q. Research on blockchain architecture for terminal side business applications of distributed iot. In Proceedings of the 2024 6th International Conference on Energy, Power and Grid (ICEPG), Guangzhou, China, 27–29 September 2024; pp. 1892–1898. [Google Scholar]
- Yang, Y.; Chen, F.; Sun, Z.; Wang, S.; Li, J.; Chen, J.; Ming, Z. Secure and efficient parallel hash function construction and its application on cloud audit. Soft Comput. 2019, 23, 8907–8925. [Google Scholar] [CrossRef]
- Wang, Y.; Wong, K.W.; Xiao, D. Parallel hash function construction based on coupled map lattices. Commun. Nonlinear Sci. Numer. Simul. 2011, 16, 2810–2821. [Google Scholar] [CrossRef]
- Li, Y.; Ge, G. Cryptographic and parallel hash function based on cross coupled map lattices suitable for multimedia communication security. Multimed. Tools Appl. 2019, 78, 17973–17994. [Google Scholar] [CrossRef]
- Zhang, P.; Zhang, X.; Yu, J. A parallel hash function with variable initial values. Wirel. Pers. Commun. 2017, 96, 2289–2303. [Google Scholar] [CrossRef]
- Akhavan, A.; Samsudin, A.; Akhshani, A. A novel parallel hash function based on 3D chaotic map. EURASIP J. Adv. Signal Process. 2013, 2013, 126. [Google Scholar] [CrossRef]
- Li, Y.; Xiao, D.; Deng, S.; Han, Q.; Zhou, G. Parallel Hash function construction based on chaotic maps with changeable parameters. Neural Comput. Appl. 2011, 20, 1305–1312. [Google Scholar] [CrossRef]
- Teh, J.S.; Samsudin, A.; Akhavan, A. Parallel chaotic hash function based on the shuffle-exchange network. Nonlinear Dyn. 2015, 81, 1067–1079. [Google Scholar] [CrossRef]
- Abdelfatah, R.I.; Baka, E.A.; Nasr, M.E. Keyed Parallel Hash Algorithm Based on Multiple Chaotic Maps (KPHA-MCM). IEEE Access 2021, 9, 130399–130409. [Google Scholar] [CrossRef]
- Xiao, D.; Liao, X.; Wang, Y. Parallel keyed hash function construction based on chaotic neural network. Neurocomputing 2009, 72, 2288–2296. [Google Scholar] [CrossRef]
- Nouri, M.; Safarinia, M.; Pourmahdi, P.; Garshasebi, M.H. The parallel one-way Hash function based on Chebyshev-Halley methods with variable parameter. Int. J. Comput. Commun. Control 2014, 9, 24–36. [Google Scholar] [CrossRef][Green Version]
- Xiao, D.; Liao, X.; Deng, S. Parallel keyed hash function construction based on chaotic maps. Phys. Lett. A 2008, 372, 4682–4688. [Google Scholar] [CrossRef]
- Kaps, J.P.; Kishore, P.Y.; Surapathi, K.; Habib, B.; Vadlamudi, S.; Gurung, S.; Pham, J. Lightweight Implementations of SHA-3 Candidates on FPGAs. In Proceedings of the International Conference on Cryptology in India, Chennai, India, 11–14 December 2011; Springer: Berlin/Heidelberg, Germany, 2011; pp. 270–289. [Google Scholar]
- Han, K.; Lee, W.K.; Hwang, S.O. cuGimli: Optimized implementation of the Gimli authenticated encryption and hash function on GPU for IoT applications. Clust. Comput. 2022, 25, 433–450. [Google Scholar] [CrossRef]
- Liu, G.; Zhou, X.; Liu, Y. Parallel HAIFA Hashing Algorithm Based on Lorenz Chaos. Adv. Comput. Signals Syst. 2021, 5, 98–106. [Google Scholar]
- Badel, S.; Dağtekin, N.; Nakahara, J.; Ouafi, K.; Reffé, N.; Sepehrdad, P.; Sušil, P.; Vaudenay, S. ARMADILLO: A multi-purpose cryptographic primitive dedicated to hardware. In Proceedings of the International Workshop on Cryptographic Hardware and Embedded Systems, Santa Barbara, CA, USA, 17–20 August 2010; Springer: Berlin/Heidelberg, Germany, 2010; pp. 398–412. [Google Scholar]
- Poschmann, A. Lightweight Cryptography- Cryptographic Engineering for a Pervasive World. Ph.D. Thesis, Ruhr-Universität Bochum, Bochum, Germany, 2009. [Google Scholar]
- Berger, T.P.; D’Hayer, J.; Marquet, K.; Minier, M.; Thomas, G. The GLUON family: A lightweight hash function family based on FCSRs. In Proceedings of the International Conference on Cryptology in Africa, Ifrance, Morocco, 10–12 July 2012; Springer: Berlin/Heidelberg, Germany, 2012; pp. 306–323. [Google Scholar]
- Choy, J.; Yap, H.; Khoo, K.; Guo, J.; Peyrin, T.; Poschmann, A.; Tan, C.H. SPN-Hash: Improving the provable resistance against differential collision attacks. In Proceedings of the International Conference on Cryptology in Africa, Ifrance, Morocco, 10–12 July 2012; Springer: Berlin/Heidelberg, Germany, 2012; pp. 270–286. [Google Scholar]
- Hirose, S.; Ideguchi, K.; Kuwakado, H.; Owada, T.; Preneel, B.; Yoshida, H. A lightweight 256-bit hash function for hardware and low-end devices: Lesamnta-LW. In Proceedings of the International Conference on Information Security and Cryptology, Seoul, Republic of Korea, 1–3 December 2010; Springer: Berlin/Heidelberg, Germany, 2010; pp. 151–168. [Google Scholar]
- Bogdanov, A.; Knežević, M.; Leander, G.; Toz, D.; Varıcı, K.; Verbauwhede, I. SPONGENT: A lightweight hash function. In Proceedings of the International Workshop on Cryptographic Hardware and Embedded Systems, Nara, Japan, 28 September–1 October 2011; Springer: Berlin/Heidelberg, Germany, 2011; pp. 312–325. [Google Scholar]
- Guo, J.; Peyrin, T.; Poschmann, A. The PHOTON family of lightweight hash functions. In Proceedings of the Annual Cryptology Conference, Santa Barbara, CA, USA, 14–18 August 2011; Springer: Berlin/Heidelberg, Germany, 2011; pp. 222–239. [Google Scholar]
- Aumasson, J.P.; Henzen, L.; Meier, W.; Naya-Plasencia, M. Quark: A lightweight hash. J. Cryptol. 2013, 26, 313–339. [Google Scholar] [CrossRef]
- Aumasson, J.P.; Bernstein, D.J. SipHash: A fast short-input PRF. In Proceedings of the International Conference on Cryptology in India, Kolkata, India, 9–12 December 2012; Springer: Berlin/Heidelberg, Germany, 2012; pp. 489–508. [Google Scholar]
- Bussi, K.; Dey, D.; Kumar, M.; Dass, B. Neeva: A lightweight hash function. Cryptol. Eprint Arch. 2016. [Google Scholar]
- Kavun, E.B.; Yalcin, T. A lightweight implementation of keccak hash function for radio-frequency identification applications. In Proceedings of the Radio Frequency Identification: Security and Privacy Issues: 6th International Workshop, RFIDSec 2010, Istanbul, Turkey, 8–9 June 2010; Springer: Berlin/Heidelberg, Germany, 2010; pp. 258–269. [Google Scholar]
- Aumasson, J.P.; Meier, W.; Phan, R.C.W.; Henzen, L. The Hash Function BLAKE; Springer: Berlin/Heidelberg, Germany, 2014. [Google Scholar] [CrossRef]
- Bhoyar, P.; Dhok, S.; Deshmukh, R. Hardware Implementation of Simeck Cipher as a Lightweight Hash Function. In Advances in VLSI, Communication, and Signal Processing; Springer: Singapore, 2020; pp. 125–131. [Google Scholar]
- El-Hadedy, M.; Margala, M.; Mosanu, S.; Gligorosk, D.; Hwu, W.M. PRO-GAGE: A High Performance Compact GAGE Hash Function Processor for Small Space Technology. In Proceedings of the 2021 IEEE Space Computing Conference (SCC), Laurel, MD, USA, 23–27 August 2021; pp. 9–16. [Google Scholar]
- Windarta, S.; Suryadi, S.; Ramli, K.; Lestari, A.A.; Wildan, W.; Pranggono, B.; Wardhani, R.W. Two new lightweight cryptographic hash functions based on saturnin and beetle for the Internet of Things. IEEE Access 2023, 11, 84074–84090. [Google Scholar] [CrossRef]
- Mahmoud, M.A.; Gurunathan, M.; Ramli, R.; Babatunde, K.A.; Faisal, F.H. Review and Development of a Scalable Lightweight Blockchain Integrated Model (LightBlock) for IoT Applications. Electronics 2023, 12, 1025. [Google Scholar] [CrossRef]
- Achar, S.D.; P, T.; Nandi, S.; Nandi, S. LiteHash: Hash Functions for Resource-Constrained Hardware. ACM Trans. Embed. Comput. Syst. 2025, 24, 1–17. [Google Scholar] [CrossRef]
- Hızal, S.; Akhter, A.S.; Çavuşoğlu, Ü.; Akgün, D. Blockchain-based IoT security solutions for IDS research centers. Internet Things 2024, 27, 101307. [Google Scholar] [CrossRef]
- Li, M.; Wang, M.; Duan, M. Atomic and privacy-preserving cyclic cross-chain protocol based on chameleon hash function. Blockchain Res. Appl. 2025, 100262. [Google Scholar] [CrossRef]
- Süzen, A.A.; Duman, B. Blockchain-based secure credit card storage system for e-commerce. Sak. Univ. J. Comput. Inf. Sci. 2021, 4, 204–215. [Google Scholar] [CrossRef]
- Chalkias, K.K.; Lindstrøm, J.; Roy, A. An Efficient Hash Function for Imaginary Class Groups. Cryptol. Eprint Arch. 2024. preprint. [Google Scholar]
- Yüzkollar, C. Sequential and Correlated Image Hash Code Generation with Deep Reinforcement Learning. Sak. Univ. J. Comput. Inf. Sci. 2023, 6, 149–159. [Google Scholar] [CrossRef]
- Erbil, M.E.; Özkahraman, M.; Bayrakçı, H.C. Enhancing Industrial Robot Arms Data Security with a Hybrid Encryption Approach. Sak. Univ. J. Sci. 2024, 28, 756–773. [Google Scholar] [CrossRef]
- Cherckesova, L.V.; Safaryan, O.A.; Lyashenko, N.G.; Korochentsev, D.A. Developing a new collision-resistant hashing algorithm. Mathematics 2022, 10, 2769. [Google Scholar] [CrossRef]
- Sevin, A.; Mohammed, A.A.O. A survey on software implementation of lightweight block ciphers for IoT devices. J. Ambient. Intell. Humaniz. Comput. 2023, 14, 1801–1815. [Google Scholar] [CrossRef]
- Panahi, P.; Bayılmış, C.; Çavuşoğlu, U.; Kaçar, S. Performance evaluation of lightweight encryption algorithms for IoT-based applications. Arab. J. Sci. Eng. 2021, 46, 4015–4037. [Google Scholar] [CrossRef]
- Çavuşoğlu, Ü.; Al-Sanabani, H. The Performance Comparison of Lightweight Encryption Algorithms. Sak. Univ. J. Comput. Inf. Sci. 2019, 2, 158–169. [Google Scholar]
- Sevin, A.; Çavuşoğlu, Ü. Design and Performance Analysis of a SPECK-Based Lightweight Hash Function. Electronics 2024, 13, 4767. [Google Scholar] [CrossRef]
- Sevin, A.; Osman Mohammed, A.A. Comparative Study of Blockchain Hashing Algorithms with a Proposal for HashLEA. Appl. Sci. 2024, 14, 11967. [Google Scholar] [CrossRef]
- Lai, X.; Massey, J.L. Hash functions based on block ciphers. In Proceedings of the Workshop on the Theory and Application of of Cryptographic Techniques, Balatonfüred, Hungary, 24–28 May 1992; Springer: Berlin/Heidelberg, Germany, 1992; pp. 55–70. [Google Scholar]
- Wong, K.W. A combined chaotic cryptographic and hashing scheme. Phys. Lett. A 2003, 307, 292–298. [Google Scholar] [CrossRef]
- Damgård, I.B. Collision free hash functions and public key signature schemes. In Proceedings of the Workshop on the Theory and Application of Cryptographic Techniques, Amsterdam, The Netherlands, 13–15 April 1987; Springer: Berlin/Heidelberg, Germany, 1987; pp. 203–216. [Google Scholar]
- Al-Kuwari, S.; Davenport, J.H.; Bradford, R.J. Cryptographic Hash Functions: Recent Design Trends and Security Notions. IACR Cryptol. ePrint Arch. 2011, 2011, 565. [Google Scholar]
- Van Oorschot, P.C.; Menezes, A.J.; Vanstone, S.A. Handbook of Applied Cryptography; CRC Press: Boca Raton, FL, USA, 1996. [Google Scholar] [CrossRef]
- Merkle, R.C. One way hash functions and DES. In Proceedings of the Conference on the Theory and Application of Cryptology, Houthalen, Belgium, 10–13 April 1989; Springer: New York, NY, USA, 1989; pp. 428–446. [Google Scholar]
- Damgård, I.B. A design principle for hash functions. In Proceedings of the Conference on the Theory and Application of Cryptology, Houthalen, Belgium, 10–13 April 1989; Springer: New York, NY, USA, 1989; pp. 416–427. [Google Scholar]
- Bertoni, G.; Daemen, J.; Peeters, M.; Van Assche, G. Sponge functions. In ECRYPT Hash Workshop; Citeseer: University Park, PA, USA, 2007; Number 9. [Google Scholar]
- Winternitz, R.S. A secure one-way hash function built from DES. In Proceedings of the 1984 IEEE Symposium on Security and Privacy, Oakland, CA, USA, 29 April–2 May 1984; p. 88. [Google Scholar]
- Lucks, S. A failure-friendly design principle for hash functions. In Proceedings of the International Conference on the Theory and Application of Cryptology and Information Security, Chennai, India, 4–8 December 2005; Springer: Berlin/Heidelberg, Germany, 2005; pp. 474–494. [Google Scholar]
- Dunkelman, O.; Biham, E. A framework for iterative hash functions: Haifa. In 2nd NIST Cryptographich Hash Workshop; Computer Science Department Technion: Haifa, Israel, 2006; Volume 22. [Google Scholar]
- Bellare, M.; Rogaway, P. Collision-resistant hashing: Towards making UOWHFs practical. In Proceedings of the Annual International Cryptology Conference, Santa Barbara, CA, USA, 17–21 August 1997; Springer: Berlin/Heidelberg, Germany, 1997; pp. 470–484. [Google Scholar]
- Meuser, T.; Schmidt, L.; Wiesmaier, A. Comparing Lightweight Hash Functions–PHOTON & Quark; The Technical University of Darmstadt: Darmstadt, Germany, 2015. [Google Scholar]
- Avoine, G.; Hernandez-Castro, J. Security of Ubiquitous Computing Systems: Selected Topics; Springer Nature: Canterbury, UK, 2021. [Google Scholar] [CrossRef]
- Nursi, S. From the Risale-i Nur Collection: The Words; Nur Publishers: Istanbul, Turkey, 1993; Volume 1. [Google Scholar]
- Shannon, C.E. A mathematical theory of cryptography. Math. Theory Cryptogr. 1945, 1, 1–132. [Google Scholar]
- Dworkin, M.J. SHA-3 standard: Permutation-based hash and extendable-output functions. Federal Inf. Process. Stds. (NIST FIPS) 2015, 1, 1–29. [Google Scholar] [CrossRef]
- Ismailova, R. Analysis of Three Block Cipher Based Hash Functions: Whirpool, Grøstl and Grindahl. Ph.D. Thesis, Middle East Technical University, Ankara, Turkey, 2012. [Google Scholar]
- Yang, Y.; Chen, F.; Zhang, X.; Yu, J.; Zhang, P. Research on the hash function structures and its application. Wirel. Pers. Commun. 2017, 94, 2969–2985. [Google Scholar] [CrossRef]
- Abdoun, N.; El Assad, S.; Manh Hoang, T.; Deforges, O.; Assaf, R.; Khalil, M. Designing Two Secure Keyed Hash Functions Based on Sponge Construction and the Chaotic Neural Network. Entropy 2020, 22, 1012. [Google Scholar] [CrossRef] [PubMed]
- Abdelfatah, R.I.; Nasr, M.; Abdelkhalek, B.E. Enhanced Parallel Hash Function Algorithm Based on 3C Construction (EPHFA-3C). Am. Sci. Res. J. Eng. Technol. Sci. 2020, 74, 206–221. [Google Scholar]
- OpenMP Architecture Review Board. OpenMP Application Program Interface. Specification, OpenMP. Available online: https://www.openmp.org/specifications/ (accessed on 19 December 2024).












| Study | Approach | Key Contribution and Limitation |
|---|---|---|
| Yang et al. [20] | Lattice-based cryptography | Collision resistance and parallel iterative hash structure. High computational complexity for IoT devices. |
| Wang et al. [21] | Coupled map lattices | Chaotic-based parallel hash function. Limited scalability. |
| Li and Ge [22] | Cross-coupled map lattices | Parallel hash for multimedia security. Increased memory overhead. |
| Zhang et al. [23] | Parallel hash with variable rotation values | Improved security with chaining variables. Computationally expensive. |
| Akhavan et al. [24] | 3D Trigonometric chaotic maps | Enhanced randomness. Requires significant processing power. |
| Li et al. [25] | Piecewise linear and chaotic asymmetric tent maps | Iterations with changeable parameters. Complexity makes hardware implementation challenging. |
| Teh et al. [26] | Multiple chaotic maps | New shuffling mechanism for hashing speed. Single variant of the baseline network was utilized for the prototype. |
| Abdelfatah et al. [27] | Tent map, logistic map, sine function and diamond lattice | Chaotic map-based security. High dependency on chaotic system stability. |
| Xiao et al. [28] | Chaotic neural network | Novel approach to chaotic parallel hashing. High training complexity. |
| Nouri et al. [29] | Chebyshev–Halley type methods | Variable parameter-based parallel hashing. Difficult implementation in lightweight devices. |
| Kishore et al. [31] | Enveloped Inverted Tree Recursive Hashing (EITRH) | Improved execution time of hash functions. Scalability issues. |
| Han et al. [32] | GPU-based authenticated encryption | High-throughput hashing for IoT. Limited to GPU environments. |
| Liu et al. [33] | HAIFA iterative structure with Lorenz chaotic system | Secure parallel hash function. Not optimized for lightweight IoT devices. |
| Bhoyar et al. [46] | FPGA/ASIC implementation of Simeck | Lightweight hardware implementation. Requires specialized hardware. |
| El-Hadedy et al. [47] | PRO-GAGE processor | Embedded device hashing optimization. Limited flexibility for software applications. |
| Windarta et al. [48] | Saturnin block cipher (sponge-based) | Secure lightweight sponge-based hashing. Performance trade-offs. |
| Mahmoud et al. [49] | RNS-ABE with fog computing | Fine-grained lightweight access control. Added complexity due to encryption integration. |
| Achar et al. [50] | LiteHash (SHA-512-based) | Approximate computing for lightweight hashing. Reduces computational cost at potential security trade-offs. |
| Parameters | Avr. | (%) | (%) | ||
|---|---|---|---|---|---|
| PLWHF | 225–290 | 256.09 | 50.01 | 10.87 | 2.12 |
| SHA3 [79] | 221–288 | 255.82 | 49.96 | 11.08 | 2.16 |
| Whirlpool [80] | 206–294 | 256.00 | 50.00 | 11.23 | NaN |
| PLHF [20] | 91–168 | 127.91 | 49.96 | 8.93 | 3.49 |
| Ref. [23] | NaN | 127.91 | 49.96 | 5.35 | 2.09 |
| Ref. [27] | 104–149 | 128.62 | 50.24 | 7.57 | 2.95 |
| Ref. [81] | 65–96 | 80.11 | 50.07 | 3.79 | NaN |
| Ref. [26] | 46–86 | 64.12 | 50.09 | 5.72 | 4.42 |
| Ref. [21] | 47–80 | 64.00 | 50.00 | 5.67 | 4.43 |
| Ref. [29] | 49–80 | 64.14 | 50.11 | 4.39 | 3.37 |
| Ref. [22] | 47–79 | 64.05 | 50.04 | 5.27 | 4.12 |
| Ref. [24] | 45–82 | 63.83 | 49.87 | 5.86 | 4.50 |
| Ref. [30] | NaN | 64.11 | 50.09 | 5.53 | 4.33 |
| Ref. [28] | NaN | 64.26 | 50.21 | 5.78 | 4.52 |
| Ref. [25] | NaN | 63.64 | 49.72 | 8.02 | 6.27 |
| Number of Equal Characters | 0 | 1 | 2 | 3 | 4 | Digest Size |
|---|---|---|---|---|---|---|
| PLWHF-512 | 1574 | 395 | 29 | 2 | 0 | 512 |
| Ref. [82] | 1607 | 371 | 67 | 3 | 0 | 512 |
| Ref. [27] | 1809 | 224 | 14 | 0 | 0 | 256 |
| Ref. [83] | 1820 | 214 | 12 | 0 | 0 | 256 |
| Ref. [30] | 1924 | 120 | 4 | 0 | 0 | 128 |
| Ref. [22] | 1930 | 117 | 2 | 0 | 0 | 128 |
| Ref. [28] | 1925 | 120 | 2 | 0 | 0 | 128 |
| Size Output | (Max) | (Max) | (Min) | (Mean) | ||
|---|---|---|---|---|---|---|
| PLWHF | 512 | 3 | 6961 | 3850 | 5467 | 85.43 |
| SHA3 [79] | 512 | 3 | 7106 | 3933 | 5502 | 85.97 |
| PLHF [20] | 256 | 1 | 4096 | 1364 | 2731 | 85.34 |
| KECCAK [20] | 256 | 2 | 4105 | 1368 | 2733 | 85.40 |
| Ref. [23] | 256 | 2 | 3602 | 1777 | 2731 | 85.36 |
| Ref. [27] | 256 | 2 | 4079 | 1474 | 2733 | 85.41 |
| Ref. [25] | 128 | 2 | 2221 | 514 | 1367 | 85.47 |
| Ref. [26] | 128 | 1 | 2390 | 575 | 1379 | 86.18 |
| Ref. [21] | 128 | 2 | 2064 | 655 | 1367 | 85.44 |
| Ref. [29] | 128 | 2 | 2243 | 678 | 1579 | 98.68 |
| Ref. [22] | 128 | 2 | 2019 | 688 | 1350 | 84.38 |
| Ref. [30] | 128 | 2 | 2156 | 658 | 1431 | 89.45 |
| Ref. [28] | 128 | 2 | 1952 | 605 | 1227 | 76.73 |
Disclaimer/Publisher’s Note: The statements, opinions and data contained in all publications are solely those of the individual author(s) and contributor(s) and not of MDPI and/or the editor(s). MDPI and/or the editor(s) disclaim responsibility for any injury to people or property resulting from any ideas, methods, instructions or products referred to in the content. |
© 2025 by the author. Licensee MDPI, Basel, Switzerland. This article is an open access article distributed under the terms and conditions of the Creative Commons Attribution (CC BY) license (https://creativecommons.org/licenses/by/4.0/).
Share and Cite
Sevin, A. Implementation of a Data-Parallel Approach on a Lightweight Hash Function for IoT Devices. Mathematics 2025, 13, 734. https://doi.org/10.3390/math13050734
Sevin A. Implementation of a Data-Parallel Approach on a Lightweight Hash Function for IoT Devices. Mathematics. 2025; 13(5):734. https://doi.org/10.3390/math13050734
Chicago/Turabian StyleSevin, Abdullah. 2025. "Implementation of a Data-Parallel Approach on a Lightweight Hash Function for IoT Devices" Mathematics 13, no. 5: 734. https://doi.org/10.3390/math13050734
APA StyleSevin, A. (2025). Implementation of a Data-Parallel Approach on a Lightweight Hash Function for IoT Devices. Mathematics, 13(5), 734. https://doi.org/10.3390/math13050734

