Selective Reviews of Bandit Problems in AI via a Statistical View
Abstract
1. Introduction
1.1. Stochastic Bandit in RL
- In each round , the agent selects an action , which is communicated to the environment. Here is the horizon (total number of steps).
- Given the action , the environment generates a reward , drawn from the distribution , and discloses the reward to the agent.
- This interaction between the agent and the environment induces a probability distribution over the sequence of outcomes .
- The conditional distribution of given is , i.e.,indicating that the environment samples from in round t.
- Here is determined by the history defined by
- The conditional distribution of action given is
1.2. Structured and Unstructured Bandits
- Independence: each arm a yields rewards from an unknown probability distribution independently of other arms.
- No side information: there are no features or context associated with the arms.
- Multi-Armed Bandit Problems
- Each reward follows the sub-F family:
- The index corresponding to the unique arm with the maximal mean is defined as
- Linear Bandit Problems
- (1)
- For unit vectors and , if represents the mean vector, then the SLB model reduces to the Gaussian MAB without specific structures.
- (2)
- Given a shared feature C, if for and with , where is a link function. Then, becomes a K-arm contextual linear bandit with k disjoint linear models , and [see Section 4.1 and Section 2.2.3 of [13] for details].
- Key characteristics of SLB are as follows:
- Arms are related: arms are related through a shared feature, C, or known relationships.
- Side information: each arm may have an associated d-dimensional feature (context vector), which provides additional information.
1.3. Stochastic Continuum-Armed Bandits
- 1.
- Objective: The primary goal is to identify the maximum point:as a black-box optimization without any geometric structure of f.
- 2.
- Action selection: in each round t, the agent chooses a fixed point and receives an observed value perturbed by noise :
- 3.
- Decision-making: given the uncertainty of the maximum of f, we aim for
- 4.
- Performance metric: given (fixed or random functional class) and sub-F family, to quantify the loss of reward, the cumulative regret after rounds T iswhere the instantaneous regret is given by .
2. Concentration Inequalities
2.1. Basic Concentration Inequalities
2.2. Sub-Gaussian and Sub-Exponential Concentration Inequalities
- (a)
- The sum , and for any
- (b)
- Finite mixture sub-Gaussian:where means with the probability .
- (c)
- If , then
- (d)
- If , then .
- (a)
- By the independence,
- (b)
- Let and , we have
- (c)
- It relies on transforming tail bound to moment bound (5):
- (d)
- By Taylor’s expansion of MGF,
- : the individual’s response under the control (no treatment);
- : the individual’s response under treatment.
- for ;
- the (unobservable) treatment effect is given by .
- 1.
- There exists a positive constant h such that
- 2.
- There exists a positive constant a such that .
- 3.
- There exist positive constants b and c such thatIf , the above statements are each equivalent to the assertion:
- 4.
- There exist positive constants g and r such that .
- (1).
- Closed under summation ;
- (2).
- SubG+SubE decay
2.3. Why Prefer Non-Asymptotic Confidence Intervals in Bandit Problems?
- Asymptotic Confidence Intervals
- Challenges with Asymptotic Methods
- Q1. For a finite sample, what happens if the data are non-Gaussian and unbounded?
- Q2. What if n is extremely small? How to obtain practical, robust, and tight mean boundswith minimal assumptions?
3. Bandit Algorithms
3.1. Explore-Then-Commit Algorithm
- In the exploration phase, the algorithm pulls each arm a fixed number of times to estimate its expected reward.
- In the exploitation phase, the algorithm selects the arm with the highest estimated reward based on exploration results and continues to select it.
| Algorithm 1 Explore-then-Commit (ETC) |
|
3.2. Upper Confidence Bound Algorithm
| Algorithm 2 Upper Confidence Bound (UCB) |
|
| Algorithm 3 Sub-Gaussian UCB |
|
3.3. The Minimax Lower Bound in Instance-Dependent MAB Problems
- Understanding the minimax lower bound serves several critical purposes:
- Optimality. Establishing a minimax lower bound allows us to rigorously demonstrate that no algorithm can achieve a better regret rate in the worst-case setting. This is crucial for confirming that the sub-Gaussian UCB algorithm is not just efficient within the class of all possible algorithms.
- Informative lower bounds. Lower bounds often provide deeper insights than upper bounds because they highlight the intrinsic difficulty of the problem itself, independent of any specific algorithm. They serve as a benchmark for assessing the performance of existing and future algorithms.
- Problem complexity. By identifying the fundamental challenges and limitations in the problem through lower bounds, we gain valuable insight into what makes the problem hard. This understanding is essential for designing new algorithms that can effectively address these challenges and to advance the theoretical foundations of machine learning.
3.3.1. A Lower Bound on the Minimax Regret for Sub-Gaussian Bandits
3.3.2. Minimax Optimal Strategy in the Stochastic Case
| Algorithm 4 Minimax Optimal Strategy in the Stochastic case (MOSS) |
|
3.4. Thompson Sampling Algorithm
| Algorithm 5 Thompson Sampling (TS) |
|
| Algorithm 6 Gaussian TS |
|
| Algorithm 7 Beta TS |
|
3.5. Minimax Optimal Thompson Sampling Algorithm
| Algorithm 8 Minimax Optimal Thompson Sampling (MOTS) |
|
4. -Armed Contextual Bandit
4.1. Linear Upper Confidence Bound with Disjoint Linear Models
| Algorithm 9 LinUCB with disjoint linear models |
|
4.2. Linear Upper Confidence Bound with Common Linear Models
| Algorithm 10 General Linear UCB Algorithm |
|
4.3. Thompson Sampling for Linear Contextual Bandits
| Algorithm 11 LinTS |
|
| Algorithm 12 Contextual bandit TS algorithm |
|
5. Stochastic Continuum-Armed Bandits Algorithms
5.1. Gaussian Process-Upper Confidence Bound Algorithm
- Finite-dimensional linear kernel:
- Squared exponential kernel: , where
- Matern kernel: , which represents the similarity of ; is a modified Bessel function.
| Algorithm 13 GP-UCB |
|
5.2. Thompson Sampling Algorithm of SCAB
| Algorithm 14 GP-TS |
|
- Incorrect kernel (e.g., using a squared exponential kernel instead of a Matérn kernel);
- Poor estimates of kernel parameters (e.g., variance parameter in Gaussian kernel);
- Heterogeneous smoothness of the function f over the domain .
5.3. Comparison of GP-UCB and GP-TS Methods
5.4. SCAB in Reproducing Kernel Hilbert Space
- The reproducing kernel (RK): ;
- The reproducing property: .
5.5. Relationship Between SCAB and Functional Data Analysis
- 1.
- Function estimation:
- 2.
- Continuous domains:
- 3.
- Handling noise and uncertainty:
- 4.
- Methodological parallels:
- 5.
- Dimensionality considerations:
- 6.
- Transfer of techniques:
6. Advanced Topics
6.1. Contextual Bandits
6.2. Non-Contextual Bandits
6.3. Applied Bandits
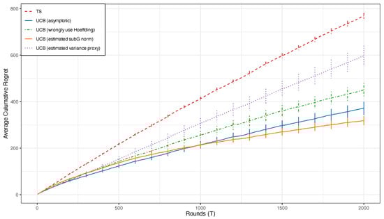
6.4. Unknown Variance Proxy
7. Concluding Remarks and Future Directions
Funding
Acknowledgments
Conflicts of Interest
Appendix A
- For arm i, the UCB for after observations are taken from this arm is below .
- is never underestimated by the UCB of the first arm.
Appendix B
References
- Richard, S.; Sutton, S.; Andrew, G. Reinforcement Learning: An Introduction; MIT Press: Cambridge, MA, USA, 2012. [Google Scholar]
- Sugiyama, M. Statistical Reinforcement Learning: Modern Machine Learning Approaches; Chapman and Hall/CRC: New York, NY, USA, 2015; pp. 1–206. [Google Scholar]
- Maurer, M.; Gerdes, J.C.; Lenz, B.; Winner, H. Autonomous Driving: Technical, Legal and Social Aspects; Springer: Berlin/Heidelberg, Germany, 2016; pp. 1–706. [Google Scholar]
- Zhou, Q.; Zhang, X.; Xu, J.; Liang, B. Large-scale bandit approaches for recommender systems. In Proceedings of the International Conference on Neural Information Processing (ICONIP 2017), Guangzhou, China, 14–18 November 2017; Liu, D., Xie, S., Li, Y., Zhao, D., El-Alfy, E.S., Eds.; Springer: Cham, Switzerland, 2017; pp. 811–821. [Google Scholar]
- Del Cerro, J.; Cruz Ulloa, C.; Barrientos, A.; de León Rivas, J. Unmanned aerial vehicles in agriculture: A survey. Agronomy 2021, 11, 203. [Google Scholar] [CrossRef]
- Guo, D.; Yang, D.; Zhang, H.; Song, J.; Zhang, R.; Xu, R.; Zhu, Q.; Ma, S.; Wang, P.; Bi, X.; et al. DeepSeek-R1: Incentivizing Reasoning Capability in LLMs via Reinforcement Learning. arXiv 2025, arXiv:2501.12948. [Google Scholar]
- Ouyang, L.; Wu, J.; Jiang, X.; Almeida, D.; Wainwright, C.; Mishkin, P.; Zhang, C.; Agarwal, S.; Slama, K.; Ray, A.; et al. Training language models to follow instructions with human feedback. Adv. Neural Inf. Process. Syst. 2022, 35, 27730–27744. [Google Scholar]
- Shen, W.; Wang, J.; Jiang, Y.G.; Zha, H. Portfolio choices with orthogonal bandit learning. In Proceedings of the 24th International Conference on Artificial Intelligence (IJCAI 2015), Buenos Aires, Argentina, 25–31 July 2015; AAAI Press: Washington, DC, USA; pp. 974–980. [Google Scholar]
- Wager, S. Causal Inference: A Statistical Learning Approach. 2024. Available online: https://web.stanford.edu/~swager/causal_inf_book.pdf (accessed on 11 February 2025).
- Cronrath, C.; Aderiani, A.R.; Lennartson, B. Enhancing digital twins through reinforcement learning. In Proceedings of the 2019 IEEE 15th International Conference on Automation Science and Engineering (CASE), Vancouver, BC, Canada, 22–26 August 2019; pp. 293–298. [Google Scholar]
- Xia, K.; Sacco, C.; Kirkpatrick, M.; Saidy, C.; Nguyen, L.; Kircaliali, A.; Harik, R. A digital twin to train deep reinforcement learning agent for smart manufacturing plants: Environment, interfaces and intelligence. J. Manuf. Syst. 2021, 58, 210–230. [Google Scholar] [CrossRef]
- Durand, A.; Achilleos, C.; Iacovides, D.; Strati, K.; Mitsis, G.D.; Pineau, J. Contextual bandits for adapting treatment in a mouse model of de novo carcinogenesis. In Proceedings of the 3rd Machine Learning for Healthcare Conference, Palo Alto, CA, USA, 17–18 August 2018; pp. 67–82. [Google Scholar]
- Lu, Y.; Xu, Z.; Tewari, A. Bandit algorithms for precision medicine. In Handbooks of Modern Statistical Methods; Bühlmann, P., Drineas, P., Kane, M., van der Laan, M., Eds.; Routledge: Abingdon, UK, 2024; Chapter 13. [Google Scholar]
- Bouneffouf, D.; Rish, I. A survey on practical applications of multi-armed and contextual bandits. arXiv 2019, arXiv:1904.10040. [Google Scholar]
- Slivkins, A. Introduction to Multi-Armed Bandits. Found. Trends® Mach. Learn. 2019, 12, 1–286. [Google Scholar] [CrossRef]
- Elena, G.; Milos, K.; Eugene, I. Survey of multiarmed bandit algorithms applied to recommendation systems. Int. J. Open Inf. Technol. 2021, 9, 12–27. [Google Scholar]
- Liu, Y.; Li, L. A map of bandits for e-commerce. In Proceedings of the KDD 2021 Workshop on Multi-Armed Bandits and Reinforcement Learning (MARBLE), Long Beach, CA, USA, 7 August 2023. [Google Scholar]
- Letard, A.; Gutowski, N.; Camp, O.; Amghar, T. Bandit algorithms: A comprehensive review and their dynamic selection from a portfolio for multicriteria top-k recommendation. Expert Syst. Appl. 2024, 26, 123151. [Google Scholar] [CrossRef]
- Burtini, G.; Loeppky, J.; Lawrence, R. A survey of online experiment design with the stochastic multi-armed bandit. arXiv 2015, arXiv:1510.00757. [Google Scholar]
- Shah, N. A survey on Multi-Armed, Contextual and Causal bandit algorithms for online learning. Preprint 2020. Available online: https://nihaarshah.github.io/project_pdfs/ML_Theory_Project_Report.pdf (accessed on 11 February 2025).
- Lattimore, T.; Szepesvári, C. Bandit Algorithms; Cambridge University Press: Cambridge, UK, 2020. [Google Scholar]
- Srinivas, N.; Krause, A.; Kakade, S.; Seeger, M. Gaussian Process Optimization in the Bandit Setting: No Regret and Experimental Design. In Proceedings of the 27th International Conference on Machine Learning, Haifa, Israel, 21–24 June 2010; pp. 1015–1022. [Google Scholar]
- Wei, H.; Wan, R.; Shi, L.; Song, R. Zero-Inflated Bandits. arXiv 2023, arXiv:2312.15595. [Google Scholar]
- Zhang, H.; Wei, H. Sharper sub-weibull concentrations. Mathematics 2022, 10, 2252. [Google Scholar] [CrossRef]
- Xu, L.; Yao, F.; Yao, Q.; Zhang, H. Non-asymptotic guarantees for robust statistical learning under infinite variance assumption. J. Mach. Learn. Res. 2023, 24, 1–46. [Google Scholar]
- Howard, S.R.; Ramdas, A.; McAuliffe, J.; Sekhon, J. Time-uniform, nonparametric, nonasymptotic confidence sequences. Ann. Stat. 2021, 49, 1055–1080. [Google Scholar] [CrossRef]
- Robbins, H. Some aspects of the sequential design of experiments. Bull. Am. Math. Soc. 1952, 58, 527–535. [Google Scholar] [CrossRef]
- Bubeck, S.; Cesa-Bianchi, N. Regret Analysis of Stochastic and Nonstochastic Multi-Armed Bandit Problems. In Foundations and Trends® in Machine Learning; Now Publishers, Inc.: Norwell, MA, USA, 2012; Volume 5, pp. 1–122. [Google Scholar]
- Lai, T.L.; Robbins, H. Asymptotically efficient adaptive allocation rules. Adv. Appl. Math. 1985, 6, 4–22. [Google Scholar] [CrossRef]
- Chen, Y.; Wang, Y.; Fang, E.X.; Wang, Z.; Li, R. Nearly dimension-independent sparse linear bandit over small action spaces via best subset selection. J. Am. Stat. Assoc. 2024, 119, 246–258. [Google Scholar] [CrossRef]
- Hao, B.; Lattimore, T.; Wang, M. High-dimensional sparse linear bandits. Adv. Neural Inf. Process. Syst. 2020, 33, 10753–10763. [Google Scholar]
- Wang, X.; Wei, M.M.; Yao, T. Efficient sparse linear bandits under high dimensional data. In Proceedings of the 29th ACM SIGKDD Conference on Knowledge Discovery and Data Mining, Long Beach, CA, USA, 6–10 August 2023; pp. 2431–2443. [Google Scholar]
- Fan, J.; Wang, Z.; Yang, Z.; Ye, C. Provably Efficient High-Dimensional Bandit Learning with Batched Feedbacks. arXiv 2023, arXiv:2311.13180. [Google Scholar]
- Zhang, H.; Wei, H.; Cheng, G. Tight non-asymptotic inference via sub-Gaussian intrinsic moment norm. arXiv 2023, arXiv:2303.07287. [Google Scholar]
- Li, L. A perspective on off-policy evaluation in reinforcement learning. Front. Comput. Sci. 2019, 13, 911–912. [Google Scholar] [CrossRef]
- Agrawal, R. The continuum-armed bandit problem. SIAM J. Control Optim. 1995, 33, 1926–1951. [Google Scholar] [CrossRef]
- Pukelsheim, F. Optimal Design of Experiments; SIAM: Philadelphia, PA, USA, 2006. [Google Scholar]
- Garnett, R. Bayesian Optimization; Cambridge University Press: Cambridge, UK, 2023. [Google Scholar]
- Williams, C.; Rasmussen, C. Gaussian processes for regression. Adv. Neural Inf. Process. Syst. 1995, 8, 514–520. [Google Scholar]
- Fisher, R.A. On the mathematical foundations of theoretical statistics. Philos. Trans. R. Soc. Lond. Ser. A Contain. Pap. Math. Phys. Character 1922, 222, 309–368. [Google Scholar]
- Kahane, J.P. Propriétés locales des fonctions à séries de Fourier aléatoires. Stud. Math. 1960, 19, 1–25. [Google Scholar] [CrossRef]
- Cramér, H. Sur un nouveau théoreme-limite de la théorie des probabilités. Actual. Sci. Ind. 1938, 736, 5–23. [Google Scholar]
- Gut, A. Probability: A Graduate Course, 2nd ed.; Springer: New York, NY, USA, 2013. [Google Scholar]
- Giraud, C. Introduction to High-Dimensional Statistics, 2nd ed.; Chapman and Hall/CRC: Boca Raton, FL, USA, 2021. [Google Scholar]
- Hoeffding, W. Probability Inequalities for Sums of Bounded Random Variables. J. Am. Stat. Assoc. 1963, 58, 13–30. [Google Scholar] [CrossRef]
- Dvoretzky, A.; Kiefer, J.; Wolfowitz, J. Asymptotic minimax character of the sample distribution function and of the classical multinomial estimator. Ann. Math. Stat. 1956, 27, 642–669. [Google Scholar] [CrossRef]
- Zhang, H.; Chen, S.X. Concentration inequalities for statistical inference. Commun. Math. Res. 2021, 37, 1–85. [Google Scholar] [CrossRef]
- Duchi, J. Statistics and Information Theory. 2024. Available online: https://web.stanford.edu/class/stats311/lecture-notes.pdf (accessed on 11 February 2025).
- Wainwright, M.J. High-Dimensional Statistics: A Non-Asymptotic Viewpoint; Cambridge University Press: Cambridge, UK, 2019. [Google Scholar]
- Petrov, V.V. Limit Theorems of Probability Theory; Sequences of Independent Random Variable; Oxford University Press: Oxford, UK, 1995. [Google Scholar]
- Li, L.; Lu, Y.; Zhou, D. Provably optimal algorithms for generalized linear contextual bandits. In Proceedings of the 34th International Conference on Machine Learning, Sydney, Australia, 6–11 August 2017; Volume 70, pp. 2071–2080. [Google Scholar]
- Phan, M.; Thomas, P.; Learned-Miller, E. Towards practical mean bounds for small samples. In Proceedings of the 38th International Conference on Machine Learning, Virtual, 18–24 July 2021; Volume 139, pp. 8567–8576. [Google Scholar]
- Waudby-Smith, I.; Ramdas, A. Estimating means of bounded random variables by betting. J. R. Stat. Soc. Ser. B Stat. Methodol. 2024, 86, 1–27. [Google Scholar] [CrossRef]
- Fan, J.; Guo, Y.; Yu, M. Policy optimization using semiparametric models for dynamic pricing. J. Am. Stat. Assoc. 2024, 119, 552–564. [Google Scholar] [CrossRef]
- Petrov, V.V. Sums of Independent Random Variables; Springer: Berlin/Heidelberg, Germany, 1975. [Google Scholar]
- Efron, B.; Hastie, T. Computer Age Statistical Inference, Student Edition: Algorithms, Evidence, and Data Science; Cambridge University Press: Cambridge, UK, 2021. [Google Scholar]
- Devroye, L.; Györfi, L.; Lugosi, G. A Probabilistic Theory of Pattern Recognition; Springer: New York, NY, USA, 1997. [Google Scholar]
- Kearns, M.; Saul, L. Large deviation methods for approximate probabilistic inference. In Proceedings of the Fourteenth Conference on Uncertainty in Artificial Intelligence, Madison, WI, USA, 24–26 July 1998; Morgan Kaufmann Publishers Inc.: San Francisco, CA, USA, 1998; pp. 311–319. [Google Scholar]
- Arlot, S.; Blanchard, G.; Roquain, E. Some nonasymptotic results on resampling in high dimension, I: Confidence regions. Ann. Stat. 2010, 38, 51–82. [Google Scholar] [CrossRef]
- Horowitz, J.L.; Lee, S. Inference in a class of optimization problems: Confidence regions and finite sample bounds on errors in coverage probabilities. J. Bus. Econ. Stat. 2023, 41, 927–938. [Google Scholar] [CrossRef]
- Rakhlin, A. Mathematical Statistics: A Non-Asymptotic Approach. Lecture Notes. 2020. Available online: https://www.mit.edu/~rakhlin/courses/mathstat/rakhlin_mathstat_sp22.pdf (accessed on 11 February 2025).
- Zheng, Y.; Cheng, G. Finite-time analysis of vector autoregressive models under linear restrictions. Biometrika 2021, 108, 469–489. [Google Scholar] [CrossRef]
- Bettache, N.; Butucea, C.; Sorba, M. Fast nonasymptotic testing and support recovery for large sparse Toeplitz covariance matrices. J. Multivar. Anal. 2021, 190, 104883. [Google Scholar] [CrossRef]
- Kim, S.; Fay, M.P.; Proschan, M.A. Valid and Approximately Valid Confidence Intervals for Current Status Data. J. R. Stat. Soc. Ser. B (Stat. Methodol.) 2021, 83, 438–452. [Google Scholar] [CrossRef]
- Yu, M.; Chen, X. Finite sample change point inference and identification for high-dimensional mean vectors. J. R. Stat. Soc. Ser. B (Stat. Methodol.) 2021, 83, 247–270. [Google Scholar] [CrossRef]
- Besson, L.; Kaufmann, E. What doubling tricks can and can’t do for multi-armed bandits. arXiv 2018, arXiv:1803.06971. [Google Scholar]
- Lai, T.L. Adaptive treatment allocation and the multi-armed bandit problem. Ann. Stat. 1987, 15, 1091–1114. [Google Scholar] [CrossRef]
- Ren, H.; Zhang, C.H. On Lai’s Upper Confidence Bound in Multi-Armed Bandits. arXiv 2024, arXiv:2410.02279. [Google Scholar]
- Alexandre, T. Introduction to Nonparametric Estimation; Springer: New York, NY, USA, 2009. [Google Scholar]
- Audibert, J.Y.; Bubeck, S. Minimax policies for adversarial and stochastic bandits. In Proceedings of the COLT, Montreal, ON, Canada, 18–21 June 2009; pp. 217–226. [Google Scholar]
- Russo, D.J.; Van Roy, B.; Kazerouni, A.; Osband, I.; Wen, Z. A tutorial on thompson sampling. Found. Trends® Mach. Learn. 2018, 11, 1–96. [Google Scholar] [CrossRef]
- Thompson, W.R. On the likelihood that one unknown probability exceeds another in view of the evidence of two samples. Biometrika 1933, 25, 285–294. [Google Scholar] [CrossRef]
- Jin, T.; Xu, P.; Shi, J.; Xiao, X.; Gu, Q. MOTS: Minimax Optimal Thompson Sampling. In Proceedings of the 38th International Conference on Machine Learning, Virtual, 18–24 July 2021; pp. 5074–5083. [Google Scholar]
- Li, L.; Chu, W.; Langford, J.; Schapire, R.E. A contextual-bandit approach to personalized news article recommendation. In Proceedings of the 19th International Conference on World Wide Web (WWW’10), Raleigh, NC, USA, 26–30 April 2010; pp. 661–670. [Google Scholar]
- Zhang, T. Mathematical Analysis of Machine Learning Algorithms; Cambridge University Press: Cambridge, UK, 2023. [Google Scholar]
- Dani, V.; Hayes, T.P.; Kakade, S.M. Stochastic Linear Optimization under Bandit Feedback. In Proceedings of the COLT, Helsinki, Finland, 9–12 July 2008; Volume 2, p. 3. [Google Scholar]
- Agrawal, S.; Goyal, N. Thompson sampling for contextual bandits with linear payoffs. In Proceedings of the 30th International Conference on Machine Learning, Atlanta, GA, USA, 16–21 June 2013; pp. 127–135. [Google Scholar]
- Russo, D.; Van Roy, B. Learning to optimize via posterior sampling. Math. Oper. Res. 2014, 39, 1221–1243. [Google Scholar] [CrossRef]
- Zhou, D.; Li, L.; Gu, Q. Neural contextual bandits with UCB-based exploration. In Proceedings of the 37th International Conference on Machine Learning, Virtual, 13–18 July 2020; pp. 11492–11502. [Google Scholar]
- Zhang, W.; Zhou, D.; Li, L.; Gu, Q. Neural Thompson Sampling. In Proceedings of the International Conference on Learning Representation (ICLR), Vienna, Austria, 4 May 2021. [Google Scholar]
- Brochu, E.; Cora, V.M.; De Freitas, N. A tutorial on Bayesian optimization of expensive cost functions, with application to active user modeling and hierarchical reinforcement learning. arXiv 2010, arXiv:1012.2599. [Google Scholar]
- Schulz, E.; Speekenbrink, M.; Krause, A. A tutorial on Gaussian process regression: Modelling, exploring, and exploiting functions. J. Math. Psychol. 2018, 85, 1–16. [Google Scholar] [CrossRef]
- Thomas, M.; Joy, A.T. Elements of Information Theory; Wiley-Interscience: Hoboken, NJ, USA, 2006. [Google Scholar]
- Chowdhury, S.R.; Gopalan, A. On kernelized multi-armed bandits. In Proceedings of the International Conference on Machine Learning, Sydney, Australia, 6–11 August 2017; pp. 844–853. [Google Scholar]
- Krause, A.; Ong, C. Contextual Gaussian Process Bandit Optimization. Adv. Neural Inf. Process. Syst. 2011, 24, 2447–2455. [Google Scholar]
- Gotovos, A.; Casati, N.; Hitz, G.; Krause, A. Active learning for level set estimation. In Proceedings of the Twenty-Third International Joint Conference on Artificial Intelligence, Beijing China, 3–9 August 2013; 2013; pp. 1344–1350. [Google Scholar]
- Hayashi, T.; Ito, N.; Tabata, K.; Nakamura, A.; Fujita, K.; Harada, Y.; Komatsuzaki, T. Gaussian process classification bandits. Pattern Recognit. 2024, 149, 110224. [Google Scholar] [CrossRef]
- Mathieu, E. Gaussian Process Bandits. Preprint 2016. Available online: https://emilemathieu.fr/files/gpbanditsreport.pdf (accessed on 11 February 2025).
- Neiswanger, W.; Ramdas, A. Uncertainty Quantification Using Martingales for Misspecified Gaussian Processes. In Proceedings of the 32nd International Conference on Algorithmic Learning Theory, Virtual, 16–19 March 2021; Volume 132, pp. 963–982. [Google Scholar]
- Clare, C.; Hawe, G.; Lin, Z.; McClean, S. Confidence Bound Minimization for Bayesian Optimization with Student’s-t Processes. In Proceedings of the 3rd International Conference on Applications of Intelligent Systems, Las Palmas de Gran Canaria, Spain, 7–9 January 2020. [Google Scholar]
- Williams, C.K.; Rasmussen, C.E. Gaussian Processes for Machine Learning; MIT Press: Cambridge, MA, USA, 2006; Volume 2. [Google Scholar]
- Singh, S. Continuum-Armed Bandits: A Function Space Perspective. In Proceedings of the 24th International Conference on Artificial Intelligence and Statistics, Virtual, 13–15 April 2021; Volume 130, pp. 2620–2628. [Google Scholar]
- Hsing, T.; Eubank, R. Theoretical Foundations of Functional Data Analysis, with an Introduction to Linear Operators; John Wiley & Sons: West Sussex, UK, 2015. [Google Scholar]
- Shi, J.Q.; Choi, T. Gaussian Process Regression Analysis for Functional Data; CRC Press: Boca Raton, FL, USA, 2011. [Google Scholar]
- Zhang, H.; Lei, X. Growing-dimensional partially functional linear models: Non-asymptotic optimal prediction error. Phys. Scr. 2023, 98, 095216. [Google Scholar] [CrossRef]
- Yao, F.; Müller, H.G.; Wang, J.L. Functional data analysis for sparse longitudinal data. J. Am. Stat. Assoc. 2005, 100, 577–590. [Google Scholar] [CrossRef]
- Zhou, H.; Yao, F.; Zhang, H. Functional linear regression for discretely observed data: From ideal to reality. Biometrika 2023, 110, 381–393. [Google Scholar] [CrossRef]
- Cai, T.T.; Pu, H. Stochastic continuum-armed bandits with additive models: Minimax regrets and adaptive algorithm. Ann. Stat. 2022, 50, 2179–2204. [Google Scholar] [CrossRef]
- Ji, H.; Müller, H.G. Optimal designs for longitudinal and functional data. J. R. Stat. Soc. Ser. B Stat. Methodol. 2017, 79, 859–876. [Google Scholar] [CrossRef]
- Sarkar, J. One-armed bandit problems with covariates. Ann. Stat. 1991, 19, 1978–2002. [Google Scholar] [CrossRef]
- Yang, Y.; Zhu, D. Randomized allocation with nonparametric estimation for a multi-armed bandit problem with covariates. Ann. Stat. 2002, 30, 100–121. [Google Scholar] [CrossRef]
- Perchet, V.; Rigollet, P. The multi-armed bandit problem with covariates. Ann. Stat. 2013, 41, 693–721. [Google Scholar] [CrossRef]
- Baransi, A.; Maillard, O.A.; Mannor, S. Sub-sampling for multi-armed bandits. In Proceedings of the Machine Learning and Knowledge Discovery in Databases: European Conference, ECML PKDD 2014, Nancy, France, 15–19 September 2014; Proceedings, Part I 14. Springer: Berlin/Heidelberg, Germany, 2014; pp. 115–131. [Google Scholar]
- Chan, H.P. The Multi-armrd bandit Problem. Ann. Stat. 2020, 48, 346–373. [Google Scholar] [CrossRef]
- Ai, M.; Huang, Y.; Yu, J. A non-parametric solution to the multi-armed bandit problem with covariates. J. Stat. Plan. Inference 2021, 211, 402–413. [Google Scholar] [CrossRef]
- Cai, C.; Cai, T.T.; Li, H. Transfer learning for contextual multi-armed bandits. Ann. Stat. 2024, 52, 207–232. [Google Scholar] [CrossRef]
- Qian, W.; Ing, C.K.; Liu, J. Adaptive algorithm for multi-armed bandit problem with high-dimensional covariates. J. Am. Stat. Assoc. 2024, 119, 970–982. [Google Scholar] [CrossRef]
- Liu, P.; Yang, Z.; Wang, Z.; Sun, W.W. Contextual Dynamic Pricing with Strategic Buyers. J. Am. Stat. Assoc. 2024, 1–13. [Google Scholar] [CrossRef]
- Battiston, M.; Favaro, S.; Teh, Y.W. Multi-armed bandit for species discovery: A Bayesian nonparametric approach. J. Am. Stat. Assoc. 2018, 113, 455–466. [Google Scholar] [CrossRef]
- Chen, H.; Lu, W.; Song, R. Statistical inference for online decision making: In a contextual bandit setting. J. Am. Stat. Assoc. 2021, 116, 240–255. [Google Scholar] [CrossRef] [PubMed]
- Zhou, J.; Hao, B.; Wen, Z.; Zhang, J.; Sun, W.W. Stochastic low-rank tensor bandits for multi-dimensional online decision making. J. Am. Stat. Assoc. 2024, 1–14. [Google Scholar] [CrossRef]
- Zhu, B.; Jordan, M.; Jiao, J. Principled Reinforcement Learning with Human Feedback from Pairwise or K-wise Comparisons. In Proceedings of the 40th International Conference on Machine Learning, Honolulu, HI, USA, 23–29 July 2023; Volume 202, pp. 43037–43067. [Google Scholar]
- Scheid, A.; Boursier, E.; Durmus, A.; Jordan, M.I.; Ménard, P.; Moulines, E.; Valko, M. Optimal Design for Reward Modeling in RLHF. arXiv 2024, arXiv:2410.17055. [Google Scholar]
- Uehara, M.; Shi, C.; Kallus, N. A review of off-policy evaluation in reinforcement learning. arXiv 2022, arXiv:2212.06355. [Google Scholar]
- Berry, D.A.; Chen, R.W.; Zame, A.; Heath, D.C.; Shepp, L.A. Bandit problems with infinitely many arms. Ann. Stat. 1997, 25, 2103–2116. [Google Scholar] [CrossRef]
- Clayton, M.K.; Berry, D.A. Bayesian nonparametric bandits. Ann. Stat. 1985, 13, 1523–1534. [Google Scholar] [CrossRef]
- Kelly, F. Multi-armed bandits with discount factor near one: The Bernoulli case. Ann. Stat. 1981, 9, 987–1001. [Google Scholar] [CrossRef]
- Gittins, J.C. Bandit processes and dynamic allocation indices. J. R. Stat. Soc. Ser. B Stat. Methodol. 1979, 41, 148–164. [Google Scholar] [CrossRef]
- Whittle, P. Multi-armed bandits and the Gittins index. J. R. Stat. Soc. Ser. B (Methodol.) 1980, 42, 143–149. [Google Scholar] [CrossRef]
- Glazebrook, K. On randomized dynamic allocation indices for the sequential design of experiments. J. R. Stat. Soc. Ser. B Stat. Methodol. 1980, 42, 342–346. [Google Scholar] [CrossRef]
- Fuh, C.D.; Hu, I. Asymptotically efficient strategies for a stochastic scheduling problem with order constraints. Ann. Stat. 2000, 28, 1670–1695. [Google Scholar] [CrossRef]
- Gittins, J.; Wang, Y.G. The learning component of dynamic allocation indices. Ann. Stat. 1992, 20, 1625–1636. [Google Scholar] [CrossRef]
- Chen, Z.; Yan, X.; Zhang, G. Strategic two-sample test via the two-armed bandit process. J. R. Stat. Soc. Ser. B Stat. Methodol. 2023, 85, 1271–1298. [Google Scholar] [CrossRef]
- Han, Q.; Khamaru, K.; Zhang, C.H. UCB algorithms for multi-armed bandits: Precise regret and adaptive inference. arXiv 2024, arXiv:2412.06126. [Google Scholar]
- Fox, B.L. Finite horizon behavior of policies for two-arm bandits. J. Am. Stat. Assoc. 1974, 69, 963–965. [Google Scholar] [CrossRef]
- Li, Z.; Zhang, C.H. Asymptotically efficient allocation rules for two Bernoulli populations. J. R. Stat. Soc. Ser. B Stat. Methodol. 1992, 54, 609–616. [Google Scholar] [CrossRef]
- Cappé, O.; Garivier, A.; Maillard, O.A.; Munos, R.; Stoltz, G. Kullback-Leibler upper confidence bounds for optimal sequential allocation. Ann. Stat. 2013, 41, 1516–1541. [Google Scholar] [CrossRef]
- Kaufmann, E. On Bayesian index policies for sequential resource allocation. Ann. Stat. 2018, 46, 842–865. [Google Scholar] [CrossRef]
- Ginebra, J.; Clayton, M.K. Response surface bandits. J. R. Stat. Soc. Ser. B Stat. Methodol. 1995, 57, 771–784. [Google Scholar] [CrossRef]
- Wang, Z.; Dahl, G.E.; Swersky, K.; Lee, C.; Nado, Z.; Gilmer, J.; Snoek, J.; Ghahramani, Z. Pre-trained Gaussian processes for Bayesian optimization. J. Mach. Learn. Res. 2024, 25, 1–83. [Google Scholar]
- Berry, D.A. Modified two-armed bandit strategies for certain clinical trials. J. Am. Stat. Assoc. 1978, 73, 339–345. [Google Scholar] [CrossRef]
- Bather, J. Randomized allocation of treatments in sequential experiments. J. R. Stat. Soc. Ser. B (Methodol.) 1981, 43, 265–283. [Google Scholar] [CrossRef]
- Cheng, Y.; Berry, D.A. Optimal adaptive randomized designs for clinical trials. Biometrika 2007, 94, 673–689. [Google Scholar] [CrossRef]
- Mozgunov, P.; Jaki, T. An information theoretic approach for selecting arms in clinical trials. J. R. Stat. Soc. Ser. B Stat. Methodol. 2020, 82, 1223–1247. [Google Scholar] [CrossRef]
- Wang, R.; Ramdas, A. False discovery rate control with e-values. J. R. Stat. Soc. Ser. B Stat. Methodol. 2022, 84, 822–852. [Google Scholar] [CrossRef]
- Liu, Y.; Ročková, V. Variable selection via Thompson sampling. J. Am. Stat. Assoc. 2023, 118, 287–304. [Google Scholar] [CrossRef]
- Misra, K.; Schwartz, E.M.; Abernethy, J. Dynamic online pricing with incomplete information using multiarmed bandit experiments. Mark. Sci. 2019, 38, 226–252. [Google Scholar] [CrossRef]
- Jain, L.; Li, Z.; Loghmani, E.; Mason, B.; Yoganarasimhan, H. Effective Adaptive Exploration of Prices and Promotions in Choice-Based Demand Models. Mark. Sci. 2024, 43, 925–1151. [Google Scholar] [CrossRef]
- Duan, X.; Li, H.; Wang, P.; Wang, T.; Liu, B.; Zhang, B. Bandit Interpretability of Deep Models via Confidence Selection. Neurocomputing 2023, 544, 126250. [Google Scholar] [CrossRef]
- Binois, M.; Huang, J.; Gramacy, R.B.; Ludkovski, M. Replication or exploration? Sequential design for stochastic simulation experiments. Technometrics 2019, 61, 7–23. [Google Scholar] [CrossRef]
- Makarova, A.; Usmanova, I.; Bogunovic, I.; Krause, A. Risk-averse heteroscedastic bayesian optimization. Adv. Neural Inf. Process. Syst. 2021, 34, 17235–17245. [Google Scholar]
- Zhang, X.; Lin, D.K.; Wang, L. Digital Triplet: A Sequential Methodology for Digital Twin Learning. Mathematics 2023, 11, 2661. [Google Scholar] [CrossRef]
- Karkaria, V.; Goeckner, A.; Zha, R.; Chen, J.; Zhang, J.; Zhu, Q.; Cao, J.; Gao, R.X.; Chen, W. Towards a digital twin framework in additive manufacturing: Machine learning and bayesian optimization for time series process optimization. J. Manuf. Syst. 2024, 75, 322–332. [Google Scholar] [CrossRef]
- Zhou, L. A survey on contextual multi-armed bandits. arXiv 2015, arXiv:1508.03326. [Google Scholar]
- Wu, Y.; Shariff, R.; Lattimore, T.; Szepesvári, C. Conservative Bandits. In Proceedings of the 33rd International Conference on Machine Learning, New York, NY, USA, 20–22 June 2016; Volume 48, pp. 1254–1262. [Google Scholar]
- Wu, S.; Wang, C.H.; Li, Y.; Cheng, G. Residual Bootstrap Exploration for Stochastic Linear Bandit. In Proceedings of the Thirty-Eighth Conference on Uncertainty in Artificial Intelligence, Eindhoven, The Netherlands, 1–5 August 2022; Volume 180, pp. 2117–2127. [Google Scholar]
- Lieber, J. Estimating concentration parameters for bandit algorithms. Job Mark. Pap. 2022. Available online: https://jonaslieber.com/research.html (accessed on 11 February 2025).
- Wan, R.; Wei, H.; Kveton, B.; Song, R. Multiplier Bootstrap-Based Exploration. In Proceedings of the 40th International Conference on Machine Learning, Honolulu, HI, USA, 23–29 July 2023; Volume 1476, pp. 35444–35490. [Google Scholar]
- Kveton, B.; Szepesvári, C.; Ghavamzadeh, M.; Boutilier, C. Perturbed-history exploration in stochastic multi-armed bandits. In Proceedings of the 28th International Joint Conference on Artificial Intelligence, Macao, China, 10–16 August 2019; pp. 2786–2793. [Google Scholar]
- Kveton, B.; Szepesvári, C.; Ghavamzadeh, M.; Boutilier, C. Perturbed-History Exploration in Stochastic Linear Bandits. In Proceedings of the 35th Uncertainty in Artificial Intelligence Conference, Tel Aviv, Israel, 22–25 July 2019; pp. 530–540. [Google Scholar]
- Muthukumar, V.K.; Krishnamurthy, A. Universal and data-adaptive algorithms for model selection in linear contextual bandits. In Proceedings of the 39th International Conference on Machine Learning, Baltimore, MD, USA, 17–23 July 2022; pp. 16197–16222. [Google Scholar]
- Pacchiano Camacho, A. Model Selection for Contextual Bandits and Reinforcement Learning. Ph.D. Thesis, UC Berkeley, Berkeley, CA, USA, 2021. [Google Scholar]





| Algorithm | Advantages | Disadvantages |
|---|---|---|
| ETC | 1. Simple and easy to understand. Clear separation between exploration and exploitation, easy to implement. 2. Clear theoretical performance guarantees, suitable for simple scenarios. | 1. Not suitable for dynamic environments. 2. The fixed exploration phase can lead to inefficiency. |
| UCB | 1. Strong theoretical performance guarantees with asymptotic convergence to the optimal solution. 2. Effectively balances exploration and exploitation by confidence intervals. | 1. Assumes reward independence, which may not be suitable for scenarios with dependent rewards. 2. Sensitive to the construction of confidence intervals; poor choices may result in higher regret. |
| MOSS | 1. Minimizes cumulative regret in the worst-case scenario, ensuring robustness in complex environments. 2. Provides theoretical guarantees for worst-case performance, making it suitable for applications requiring strong assurances. | 1. Can be arbitrarily worse than UCB in an infinite arms setting, despite being nearly asymptotically optimal; see Section 9.2 in [21]. 2. Exhibits instability in regret distribution, making it less well-behaved in adaptive settings. |
| TS | 1. Efficiently balances exploration and exploitation by sampling from the posterior distribution of each arm’s reward. 2. Asymptotically optimal with strong theoretical guarantees for the regret. | 1. Computationally expensive due to posterior sampling. 2. Sensitive to model assumptions; poor priors can degrade performance when the true distribution deviates from the assumed model. |
| MOTS | 1. Minimizes cumulative regret in the worst-case scenario, providing increased robustness in complex environments than TS. 2. The truncation mechanism prevents overestimation of suboptimal arms, reducing excessive exploration. | 1. More complex than standard TS due to the need for truncation mechanisms. 2. Relies on prior assumptions; improper priors can lead to instability in the algorithm’s performance. |
| Algorithm | Advantages | Disadvantages |
|---|---|---|
| LinUCB | 1. Simple and computationally efficient with a closed-form solution for UCBs in linear models. 2. Provides strong theoretical guarantees for sub-linear regret in static environments with linear reward models. | 1. The linearity of the reward model can result in suboptimal performance in non-linear environments. 2. Exploration strategy based on upper confidence bounds may not fully capture the exploration–exploitation trade-off in complex scenarios. |
| LinTS | 1. With uncertainty by Bayesian sampling, leading to a more balanced exploration–exploitation trade-off. 2. Performs well in non-stationary environments due to quick adaptation to reward changes. | 1. More computationally intensive than LinUCB due to the need for sampling from posterior distributions. 2. Performance can degrade if the posterior distribution is inaccurate or poorly initialized. |
| Aspect | GP-UCB | GP-TS |
|---|---|---|
| Acquisition Function Definition | Combines the posterior mean and variance with a confidence parameter to form an upper confidence bound. | Directly uses a function sampled from the GP posterior as the acquisition function. |
| Exploration vs. Exploitation | Explicitly balances exploration and exploitation through the parameter , which scales the influence of the uncertainty term . | Implicitly balances exploration and exploitation through the randomness of the sampled functions, capturing the posterior uncertainty. |
| Parameter Tuning | Requires careful selection of to ensure optimal performance and convergence guarantees. | Generally requires less parameter tuning since the balance is managed through posterior sampling. |
| Computational Considerations | Involve optimization over the acquisition function that includes mean and variance. | Optimization is performed over a single sampled function, which can be computationally efficient but may require multiple samples to stabilize performance. |
| Aspect | Unstructured Bandits | Structured Bandits |
|---|---|---|
| Arm Independence | Arms are independent for MBA and dependent for CAB | Arms are related through features or context |
| Side Information | No additional information about arms | Additional features or context are available |
| Algorithms Used | Classical algorithms: UCB and TS | Algorithms that exploit structure: Contextual Bandits and LinUCB |
| Applications | Scenarios with no contextual data (e.g., traditional slot machines) | Personalized systems, adaptive treatments, and recommendations |
| Regret | TS usually has smaller empirical regrets than UCB in MAB and CAB | TS usually has smaller empirical regrets than UCB for LinUCB |
Disclaimer/Publisher’s Note: The statements, opinions and data contained in all publications are solely those of the individual author(s) and contributor(s) and not of MDPI and/or the editor(s). MDPI and/or the editor(s) disclaim responsibility for any injury to people or property resulting from any ideas, methods, instructions or products referred to in the content. |
© 2025 by the authors. Licensee MDPI, Basel, Switzerland. This article is an open access article distributed under the terms and conditions of the Creative Commons Attribution (CC BY) license (https://creativecommons.org/licenses/by/4.0/).
Share and Cite
Zhou, P.; Wei, H.; Zhang, H. Selective Reviews of Bandit Problems in AI via a Statistical View. Mathematics 2025, 13, 665. https://doi.org/10.3390/math13040665
Zhou P, Wei H, Zhang H. Selective Reviews of Bandit Problems in AI via a Statistical View. Mathematics. 2025; 13(4):665. https://doi.org/10.3390/math13040665
Chicago/Turabian StyleZhou, Pengjie, Haoyu Wei, and Huiming Zhang. 2025. "Selective Reviews of Bandit Problems in AI via a Statistical View" Mathematics 13, no. 4: 665. https://doi.org/10.3390/math13040665
APA StyleZhou, P., Wei, H., & Zhang, H. (2025). Selective Reviews of Bandit Problems in AI via a Statistical View. Mathematics, 13(4), 665. https://doi.org/10.3390/math13040665

