Abstract
This paper proposes a dual-loop control strategy to address the trajectory tracking problem of differential wheeled mobile robots (WMRs). First, the kinematic model of the WMR is established, and the dynamic model including the actuators is derived. To tackle the issue of y-axis direction divergence in existing methods, a predefined-time velocity control law based on intermediate variables is proposed. By introducing the y-axis error term into the angular velocity control, the ability to rapidly track the target trajectory is enhanced, providing a reliable velocity tracking target for the dynamic controller. Furthermore, a predefined-time nonsingular fast terminal sliding mode controller is designed, which combines a nonsingular fast terminal sliding surface with predefined-time stability theory to overcome the singularity problem in existing approaches, achieving fast and accurate tracking of velocity errors. Additionally, to improve the system’s disturbance rejection capability, a nonlinear extended state observer (NESO) is proposed to estimate external disturbances and provide feedforward compensation to the dynamic controller. Experimental results demonstrate that the proposed strategy outperforms existing methods in terms of trajectory tracking accuracy and robustness, providing an effective solution for the high-performance control of WMRs.
MSC:
93-10
1. Introduction
As wheeled mobile robots (WMRs) are widely used in many fields, such as logistics, industrial automation, and intelligent inspection, the diversity of their application scenarios also presents a series of challenges for WMR operation performance [1]. The main research interests of WMRs include perception and orientation, motion planning, and motion control. In the field of motion control, motion tasks can be subdivided into point stabilization, path planning, and trajectory tracking, among which the trajectory tracking problem of WMRs is particularly critical and a prominent research hotspot [2]. WMR is a typical non-holonomically constrained, underactuated nonlinear system [3], which significantly increases the complexity of trajectory tracking control. In addition, in real operating environments, WMRs will inevitably encounter a variety of unknown disturbances. For example, external disturbances such as uneven ground, slippage caused by random changes in friction, and uncertainties in load quality and placement may alter the structural parameters of WMRs. All these factors pose significant challenges for WMR trajectory tracking and threaten its accurate and stable operation.
In order to solve this problem, many control strategies have been applied to WMR trajectory tracking. These strategies include intelligent optimization algorithms [4,5], which optimize the objective function to find the best combination of control parameters and improve trajectory tracking performance. Robust and adaptive control [6,7] adjusts the control gain adaptively to enhance system robustness under uncertainty and disturbances; backstepping control [8,9] designs the controller step by step from the system’s output to its input; neural network control [10,11] utilizes the learning capability of neural networks to model complex system relationships and achieve precise trajectory tracking; and sliding mode control (SMC) [12,13,14,15,16] is widely used because of its insensitivity to system uncertainty and interference. However, most of these traditional control methods can only guarantee asymptotic stability with infinite convergence time, which makes it difficult to meet the speed and precision requirements in practical applications.
To enhance convergence efficiency and control performance, terminal sliding mode controllers (TSMCs) [17] were designed for WMRs to achieve trajectory tracking within a finite time. To address the singularity phenomenon, nonsingular terminal sliding mode controllers (NTSMCs) [18] were further proposed. Moreover, to further boost disturbance rejection capability and optimize performance, some improved methods were developed, such as combining TSMCs with an adaptive barrier function mechanism [19], which has shown effectiveness in addressing input saturation. However, the convergence time of these terminal sliding mode controllers is very sensitive to the initial conditions. In practical applications, the initial conditions are often difficult to obtain precisely, which strongly limits the practical deployment of finite-time control approaches for trajectory tracking. To address this problem, the concept of fixed-time stability was proposed [20], which provides a uniform upper bound on the convergence time for any initial state. Unlike finite-time control, fixed-time control ensures that the adjustment time is limited by a fixed value that depends only on the control parameters. Control schemes based on this concept were applied in various nonlinear systems, such as unmanned aerial vehicles (UAVs) [21], unmanned surface ships (USVs) [22], robotic arms [23], and rigid spacecraft [24]. In the field of WMRs, robust trajectory tracking control methods with fixed-time convergence based on extended state observers [25] were also investigated. Although fixed-time control offers clear advantages over finite-time control, it has a significant drawback: the complex relationship between convergence time and control gain makes it challenging to predetermine the adjustment time in practical applications.
To surmount the drawbacks of fixed-time control, the concept of predefined-time stability is introduced [26], where the system’s convergence time is independent of the initial conditions and has an upper bound, which can be explicitly characterized as an adjustable parameter. In recent years, predefined-time stabilization control schemes have gained considerable interest and have been applied to a wide range of related systems. However, relatively little research has been conducted on predefined-time sliding mode tracking control in the context of WMR trajectory tracking. For example, in [27], a kinematics and dynamics controller designed based on the predefined-time stability theorem improved convergence speed but still faced issues, such as significant changes in the heading angle when the y-axis error was large. In [28], a predefined-time observer was designed to observe slip and skid phenomena, along with a predefined-time sliding mode kinematics controller. Similarly to the kinematics controller in [29], although it effectively improved convergence time, it still had problems. Since the angular velocity control law did not include the y-axis error term, when the heading angle and x-axis error had already tracked the target values, the y-axis error would persist.
Furthermore, as WMRs are inevitably affected by external disturbances during motion, most controllers employ observers to estimate and compensate for these disturbances. Currently, disturbance estimation methods are mainly divided into two categories: one involves designing disturbance observers by reconstructing the system dynamics model, and the other involves designing extended state observers (ESOs) by treating external disturbances as extended states. For example, in [30], an adaptive disturbance observer was designed by combining a sliding mode observer with fixed-time stability theory, enabling the disturbance observer to converge within a fixed time, effectively improving convergence speed and disturbance estimation accuracy, and applying it to robotic arm control. In [31], a second-order fixed-time disturbance observer was designed for the vector control of permanent magnet synchronous motors to observe parameter uncertainty disturbances and load disturbances. To address the issue of sudden disturbances and the need for prior information about disturbances in observer design, ref. [32] designed a predefined-time sliding mode disturbance observer.
ESOs have also been widely adopted due to their low model dependency and strong robustness. By treating external disturbances and unmodeled dynamics as extended states for real time estimation, ESOs exhibit strong adaptability in complex nonlinear systems. For example, in [33], unknown skidding, slipping, parameter variations, and uncertainties were unified as a lumped disturbance, and an ESO was designed to estimate the disturbance and compensate the controller. In [34], a second-order ESO was designed to observe disturbances and compensate the dynamics controller. Since the ESO is simple to design and can simultaneously estimate disturbances and unmeasured states, this paper adopts an ESO as the disturbance observer. Additionally, neural network-based observers were used to estimate disturbances and compensate the controller [35].
Based on the above factors, this study proposes a dual-loop predefined-time sliding mode control strategy for WMRs subject to external disturbances. The main contributions of this paper are as follows:
- A predefined-time velocity control law is proposed by introducing an intermediate term and incorporating the y-axis error term into the angular velocity control law to address the issue of y-axis error divergence. The input pose error outputs for linear and angular velocities, providing velocity tracking targets for the dynamics controller.
- For the actuator-included dynamics model, a predefined-time nonsingular fast terminal sliding mode controller is designed by combining a nonsingular fast terminal sliding surface with a reaching law satisfying predefined-time stability theory. This approach overcomes the singularity issue of traditional sliding mode control and achieves fast and accurate tracking of system velocity errors.
- To reduce the computational burden on the dynamics controller, a feedforward compensation scheme based on a nonlinear extended state observer (NESO) is designed. This scheme can estimate external disturbances and modeling uncertainties in real time and improve the system’s anti-disturbance capability through a compensation mechanism.
This paper is structured as follows: Section 2 analyzes the kinematic and dynamic models of the WMR and introduces relevant prior knowledge. Section 3 presents the predefined-time kinematic control law, dynamic control law, and nonlinear extended state observer, along with proof of their stability. Section 4 validates the effectiveness and advantages of the proposed methods through numerical simulations and comparative experiments. Finally, Section 5 concludes the study and discusses potential future research directions.
2. Problem Preliminaries
To better support the subsequent controller design, this section analyzes the kinematic and dynamic models of the WMR and presents some lemmas and definitions.
2.1. Kinematic Model of WMR
Figure 1 illustrates the structural schematic of the WMR. The WMR is composed of two independently driven wheels, front and rear castor wheels. Each driving wheel is powered by a DC motor, ensuring precise control and efficient movement. Let denote the geometric center and represent the center of mass. In this article, we assume that and coincide. Meanwhile, serves as the origin of the local coordinate system , while the global coordinate system is composed of . The radius of the driving wheels is , and the distance between the two driving wheels is . The angle between the x-axes of the global coordinate system and the local coordinate system, denoted as , represents the heading angle of the WMR. In the WMR, the velocity along the x-axis direction of its local coordinate system is defined as the linear velocity, denoted as . Meanwhile, the speed of rotation around the origin of the local coordinate system is referred to as the angular velocity, denoted as .
Figure 1.
Structural schematic of WMR.
The motion of WMR is subject to non-holonomic constraints, which arise from the rolling and no-slip conditions of its wheels. These constraints restrict the WMR from lateral motion (perpendicular to its heading direction), allowing it to move only longitudinally or rotate about its vertical axis. The non-holonomic constraints can be expressed as follows:
where represents the generalized coordinates of the WMR in the global frame, denotes the generalized velocity, and is the constraint matrix defined as .
To describe the feasible motion of the WMR under these non-holonomic constraints, we introduce a full-rank matrix , whose column vectors are orthogonal to the row vector of . This matrix represents the directions in which the WMR can move, i.e., its allowable degrees of freedom. The matrix is defined as follows:
The matrix maps the control inputs to the generalized velocity. This process ensures that the motion complies with the constraints defined by the inherent non-holonomic characteristics of the WMR. As a result, the kinematics of the WMR can be mathematically described in the following form:
where . is the linear velocity of the WMR in the forward direction, and is the angular velocity of the WMR about its vertical axis.
2.2. Dynamic Model of WMR
The dynamics of a non-holonomic WMR system are generally described as follows:
where represents the mass (inertia) matrix, and denotes the mass of the WMR. represents the centripetal and Coriolis forces matrix, accounts for external disturbances, describes the forces due to non-holonomic constraints, with being the Lagrange multipliers, represents the input transformation matrix, and represents the torque input to the WMR.
The dynamic model of the WMR, after multiplying both sides of the equation by to eliminate the non-holonomic constraint forces, can be simplified and expressed as follows:
where , , .
To accurately model the WMR, it is essential to consider not only the robot’s dynamic equations but also the dynamics of the driving system. The driving system used in this paper consists of two DC motors with gearboxes, where the torque output by the motors is amplified through the gearboxes to drive the WMR’s motion. Incorporating the dynamics of the driving system allows for a more realistic representation of the interaction between the electrical control and mechanical motion of the system.
The mathematical model of the DC motor is as follows:
where . represents the left wheel motor, represents the left wheel motor, is the armature voltage (V), is the armature resistance (Ω), is the armature inductance (H), is the armature current (A), is the back electromotive force (EMF) (V), is the back EMF constant (V·s/rad), is the rotor angular velocity (rad/s), is the torque (N·m), and is the torque constant (N·m/A).
The reduction ratio of the gearbox is . The output torque is , and the output rotational speed is .
After combining the generalized dynamic equations of the WMR with the DC motor model, the final dynamic model incorporating the motor dynamics can be expressed as follows:
where , , , , .
Assumption 1.
The wheels on the ground are non-slipping and pure rolling.
Assumption 2.
represents unknown, slow-changing total disturbances, and their derivatives are bounded and conform the following inequality, and , respectively, where .
Remark 1.
The kinematic and dynamic models in this study are constructed based on the parameters of the Qbot2 robot [29], while the motor parameters are obtained from manufacturer’s provided specifications. The derivation of the dynamic model follows the methodology presented in reference [36], where the generalized dynamic equations are simplified and combined with the mathematical model of the motor to formulate a complete system dynamics model. This study does not include experimental or simulation validation, and future research will further explore the model’s practical applicability.
2.3. Lemmas and Definitions
Consider a general nonlinear system expressed as follows:
where is the state vector, is a smooth nonlinear function, and represents the initial condition.
Definition 1
([37]). Assuming the origin of the system (9) is globally asymptotically stable, it can be considered globally finite-time stable if all solutions reach equilibrium within a finite time.
Definition 2
([38]). Assuming the origin of the system (9) is global finite-time stable, and the settling-time function is bounded, i.e., the following occurs:
Definition 3
([39]). Assume the origin of the system (9) is global fixed-time stable, and there exists an adjustable parameter such that the convergence time of the system satisfies the following:
Lemma 1
([40]). Consider the system (9), if there exists a Lyapunov function such that the system satisfies the following inequality:
where and . Under these conditions, the system in (9) is predefined-time stable, and the convergence time is bounded by the predefined parameter , i.e., .
To facilitate the subsequent analysis, this paper introduces the following notation:
where , represents the sign function, and denotes the absolute value of .
3. Controller Design
The control architecture for trajectory tracking, illustrated in Figure 2, consists of two main components.
Figure 2.
Trajectory tracking control block diagram.
- The first part is the outer-loop control, where a velocity control law is designed for the WMR’s motion system to enable the WMR to track the reference velocity generated by the virtual WMR within a predefined-time. This control law provides a velocity tracking objective for the WMR’s dynamic model.
- The second part is the inner-loop control, where a predefined-time tracking control law is proposed to enable the WMR to track the target control velocity generated by the kinematic controller. Meanwhile, to mitigate the effects of external disturbances, an extended state observer is designed to provide feedforward compensation for the WMR’s dynamic controller.
3.1. Kinematic Controller Design
First, the pose error system is established as shown in Figure 3. The desired pose of the WMR is represented as , and the actual pose is denoted as .
Figure 3.
Pose error system.
Denoting as the trajectory tracking error, it can be stated as follows:
where represents the transformation matrix for converting the pose error from the global coordinate frame to the local coordinate frame.
Building upon the kinematic model and the previously defined trajectory tracking error mapping, the pose error dynamics equation is derived to describe how the position errors and orientation error
evolve under the influence of the reference velocities
and the current control inputs
. The equation is expressed as follows:
Theorem 1.
Based on the pose error dynamics equation in (15), the predefined-time velocity control laws be designed as follows:
where , are positive constanst, , , , , , , are positive constants, and .
The intermediate term is specially designed as follows:
Proof.
The proof process is going to be divided into the following two steps:
- Analyzing the predefined-time convergence property of the intermediate term ;
- Demonstrating the convergence of tracking errors , , and to a set around the origin within a predefined-time.
Step1: By taking the time derivative of (17), we obtain the following:
A Lyapunov function is selected as , and the time derivative is as follows:
where is the predefined-time, where, according to Lemma 1, the intermediate term converges to zero within the predetermined time .
Step2: When , substitute the control laws (16) into the subsystem (15) and obtain the following:
Select a Lyapunov function as follows:
The time derivative of (21) obtains the following:
where is predefined-time, where, according to Lemma 1, the position error will converge to zero on the sliding surface within the predetermined-time . □
Remark 2.
The kinematic controller calculates the output linear and angular velocities based on the pose error and target velocity. The control law proposed in Theorem 1 is designed based on predefined-time stability theory, where the parameters , , , , , and can be obtained from the preset parameters , , and . The parameter enhances the system’s robustness and controls the smoothness of the error response, typically set to 0.5 to ensure a balance between stability and response speed. The predefined-time determines the convergence speed. While a smaller predefined-time can accelerate convergence, a very small preset time forces the controller to eliminate errors in a very short time, leading to excessively strong control signals that may cause large instantaneous responses and affect system stability. Therefore, a trade-off between convergence speed and system smoothness must be made in the design process. Parameter is primarily used to eliminate the error in the y-axis direction. If is too small, the convergence speed in the y-direction will be slow; if it is too large, it will affect the linear velocity. Therefore, is introduced, and typically is set to half of .
3.2. Dynamic Controller Design
In this section, a predefined-time tracking control law will be proposed to enable the WMR to track the velocity generated by the kinematic system within a predefined-time.
3.2.1. Nonlinear Extended State Observer Design
To enhance system robustness and estimate external disturbances, this subsection focuses on the design of NESO. The system variables are defined as , , and . Based on these variables, the dynamic system (7) can be expressed as follows:
Following the NESO design approach, , , and are defined as the estimates of , , and . Then, the NESO is designed as given in (24).
where , , are observation errors; , , and are the positive gains of the NESO; and is the defined nonlinear function, which is defined as follows:
where is the length of the linear interval, and is the adjustment parameter.
The error equations for the NESO can be obtained as follows:
To examine the stability of the NESO, define and, in conjunction with Assumption 1, rewrite Equation (26) in the form of a state-space equation.
where , .
The eigenequation of matrix is the following:
The characteristic polynomial of Equation (28) is as follows:
When , , and are chosen with the appropriate parameters such that matrix satisfies the Hurwitz stability condition, the system’s stability can be further analyzed using Lyapunov’s second method. Specifically, to ensure the system’s convergence, we define a Lyapunov function . The stability of the system can then be verified by checking whether the following Lyapunov equation holds:
The derivative of is as follows:
where . The quadratic inequality holds: , , and are the minimum and maximum eigenvalue of the matrix , which satisfied .
Then, Equation (31) can be written as follows:
where , then , it can be proved that NESO is convergent.
Remark 3.
The nonlinear function is the core part of NESO, satisfying the engineering principle of “large error, small gain; small error, large gain”. The parameter determines the linearity of the function. The smaller is, the higher the nonlinearity; it is typically set to 0.5. The parameter determines the length of the linear region. The larger is, the longer the linear region. The setting of the observer gains , , and refers to the bandwidth method proposed in [41]. , , and , is the bandwidth of the NESO; this paper adopts 150.
3.2.2. Predefined-Time Nonsingular Fast Terminal Sliding Mode Controller Design
The velocity errors are defined as follows:
Its first-order and second-order derivatives are as follows:
Selecting an appropriate sliding surface can effectively improve the system tracking performance. Considering the convergence speed and singularity issues, the NFTSMC sliding surface is designed as follows:
where is the sliding surface vector, and are positive constants, and and must fulfill the conditions , .
The sliding surface combines the advantages of linear and nonlinear terms, demonstrating excellent performance throughout the control process. In cases where the system state is far removed from the equilibrium point, the nonlinear term dominates, accelerating convergence through nonlinear amplification and improving dynamic performance for large errors. As the system approaches the equilibrium point, the nonlinear term takes over, effectively suppressing chattering and ensuring smooth stability in the small error region. Meanwhile, the linear term ensures stable convergence and control accuracy. This overall design achieves a balance between fast convergence and high steady-state precision.
The derivative of the sliding surface (35) is given as follows:
Substituting Equation (34) into Equation (36) yields the following:
Design an equivalent control law to offset the known dynamics of the system, and a switching control law to compensate for system disturbances. The specific control law is as follows:
To achieve , the equivalent control law is given as follows:
Combining Lemma 1 and the design approach of the switching control law, the following theorem is proposed:
Theorem 2.
The PTNFTSMC law for the dynamic system (7) as follows:
where , , , , .
Proof.
Select the following Lyapunov function:
The Lyapunov function satisfies . Taking the derivative of it, we can obtain the following:
Substituting the control law (40) into (42), we can obtain the following:
According to the Lyapunov stability principle, and , then the proposed controller achieves asymptotic stability, thereby ensuring the stability of the controller is established. □
Remark 4.
The selection of parameters , , , and in the sliding surface (35) is crucial for balancing convergence speed and steady-state accuracy. First, and control the relative weight of the nonlinear terms, which mainly affect the speed and acceleration control of the WMR. Smaller values of and enhance the effect of the nonlinear terms, accelerating convergence when the error is large. However, if set too small, they may cause the controller’s output to become excessively large, potentially affecting system stability. Larger values of and strengthen the linear terms, helping to improve the system’s steady-state accuracy, but the convergence speed may be slower. Therefore, an appropriate balance needs to be found between these two parameters to achieve both fast convergence and high accuracy near the equilibrium point. The parameters and control the gain characteristics of the nonlinear terms while ensuring the sliding surface remains nonsingular and avoids chattering. To balance convergence speed and chattering, and are typically chosen.
Remark 5.
To reduce chattering, this paper uses the sat function to replace the sign function.
4. Experimental Results and Analysis
Numerical simulations were performed using Simulink to verify the effectiveness of the proposed approach. Table 1 provides a summary of the configuration parameters for the WMR utilized in the simulations, while Table 2 lists the controller parameters employed during the testing process.
Table 1.
Parameters of WMR.
Table 2.
Parameters of controller.
To comprehensively assess the performance of the proposed method, two experimental setups were designed. The first group utilized the adaptive integral terminal sliding mode control (AITSMC) method, and the second group employed the fixed-time nonsingular fast terminal sliding mode control (FTNFTSMC) method for comparison. To more effectively evaluate the trajectory tracking performance of control strategies, this paper uses the root mean square (RMS) as the evaluation metric to compare the effectiveness of different control strategies.
where is the simulation time.
Experimental Group 1: In [36], a fixed-time nonsingular fast terminal sliding mode control (FTNFTSMC) method serves as the dynamics controller for the WMR, and the kinematic controller uses the classical feedback control with the specific parameters designed as follows:
where , , , , , , , , .
Experimental Group 2: In [17], an adaptive integral terminal sliding mode control method is proposed as a dynamics controller. A classical feedback controller was utilized for the kinematic controller with the following parameter settings:
where , , , , , , , , .
4.1. Example 1: Circular Trajectory Tracking
In this experiment, the selected circular trajectory is shown as follows: , , , , . The initial position of the WMR is . The three selected speeds are 0.25 m/s, 0.5 m/s, and 1.0 m/s.
To verify the performance of the different control strategies in tracking the circular trajectory, this experiment was set with three different speeds and external disturbances, as described below.
As shown in Figure 4 and Figure 5, the tracking results of the three control strategies under conditions of without ESO, with ESO, and at different speeds are compared. Combining with the pose error convergence plot in Figure 6, it can be seen that starting from the initial point, the control strategy proposed in this paper tracks the target trajectory the fastest, followed by Group 1. Due to a large initial error, and the presence of an integral term in Group 2, there is significant oscillation in the early control stages. As the target speed increases, the oscillation problem becomes more severe, resulting in the longest convergence time.
Figure 4.
Tracking trajectories of circular road without NESO.
Figure 5.
Tracking trajectories of circular road with NESO.
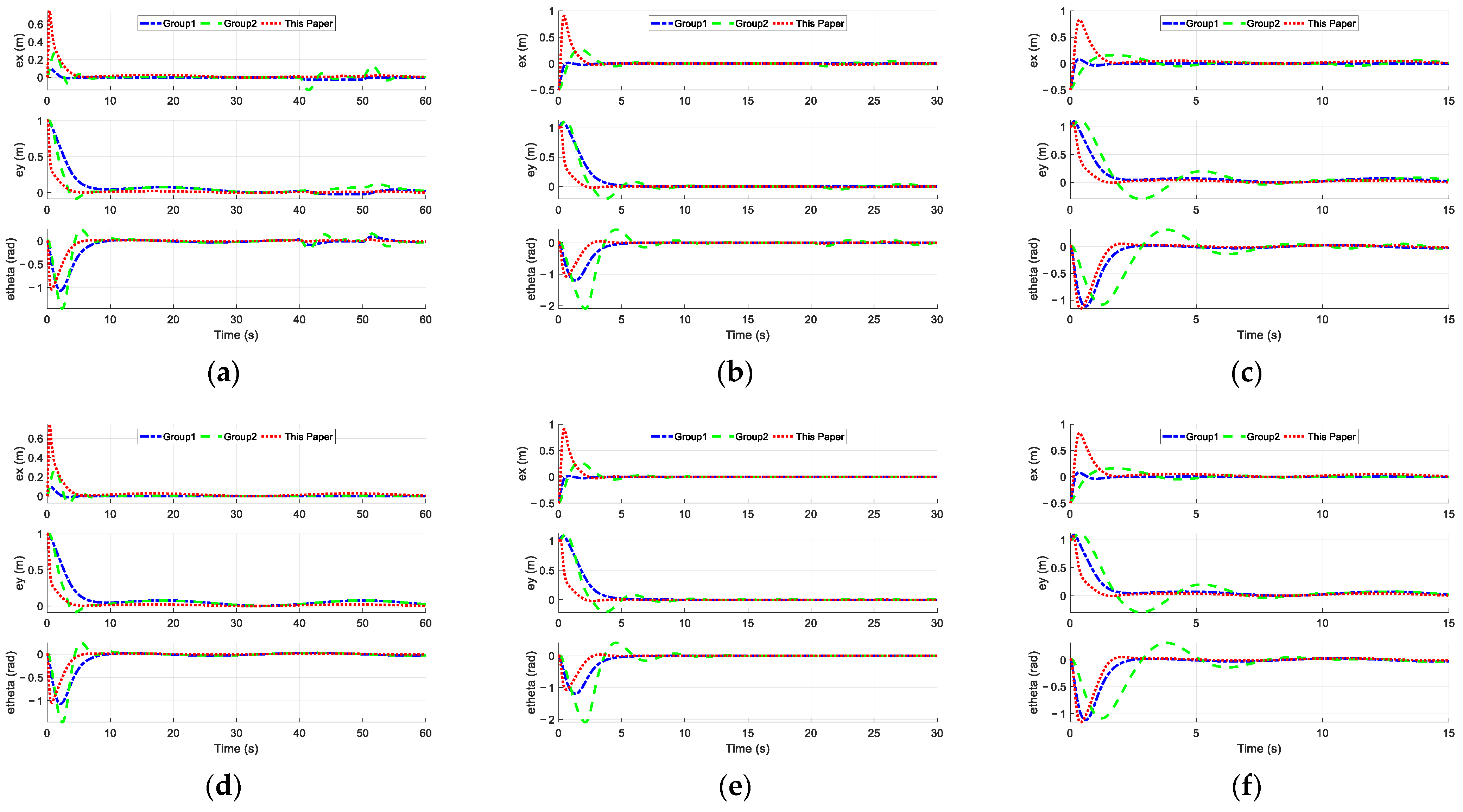
Figure 6.
Pose error in tracking circular road trajectory: (a–c) without NESO, (d–f) with NESO.
As the target speed increases, the tracking accuracy of all three control strategies decreases. The zoomed-in plots show that the proposed strategy still has better accuracy than the other two groups, and it also performs better in terms of disturbance rejection. The pose error plots in Figure 6d–f indicate that the NESO significantly reduces the impact of disturbances and improves the tracking accuracy.
Figure 7 presents a comparison of the speed errors (linear and angular velocity) for three control strategies, where (a–c) show the speed error without NESO compensation, and (d–f) show the results with NESO compensation. The results indicate that the dynamic controller proposed in this paper can effectively and rapidly track the target speed, with a convergence time significantly shorter than the other two control strategies, and a smaller error after NESO compensation.
Figure 7.
Speed error in tracking circular road trajectory: (a–c) without NESO, (d–f) with NESO.
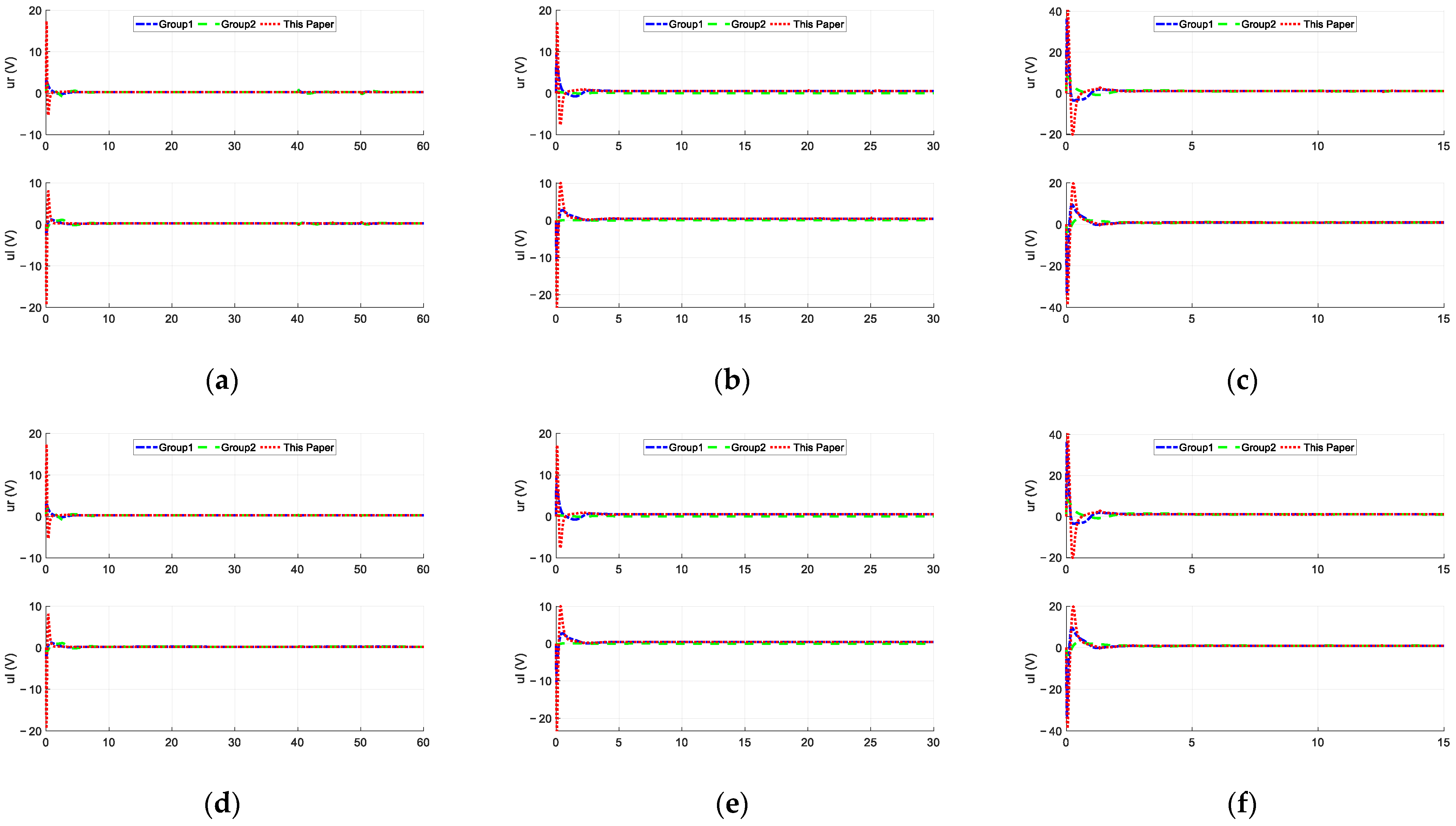
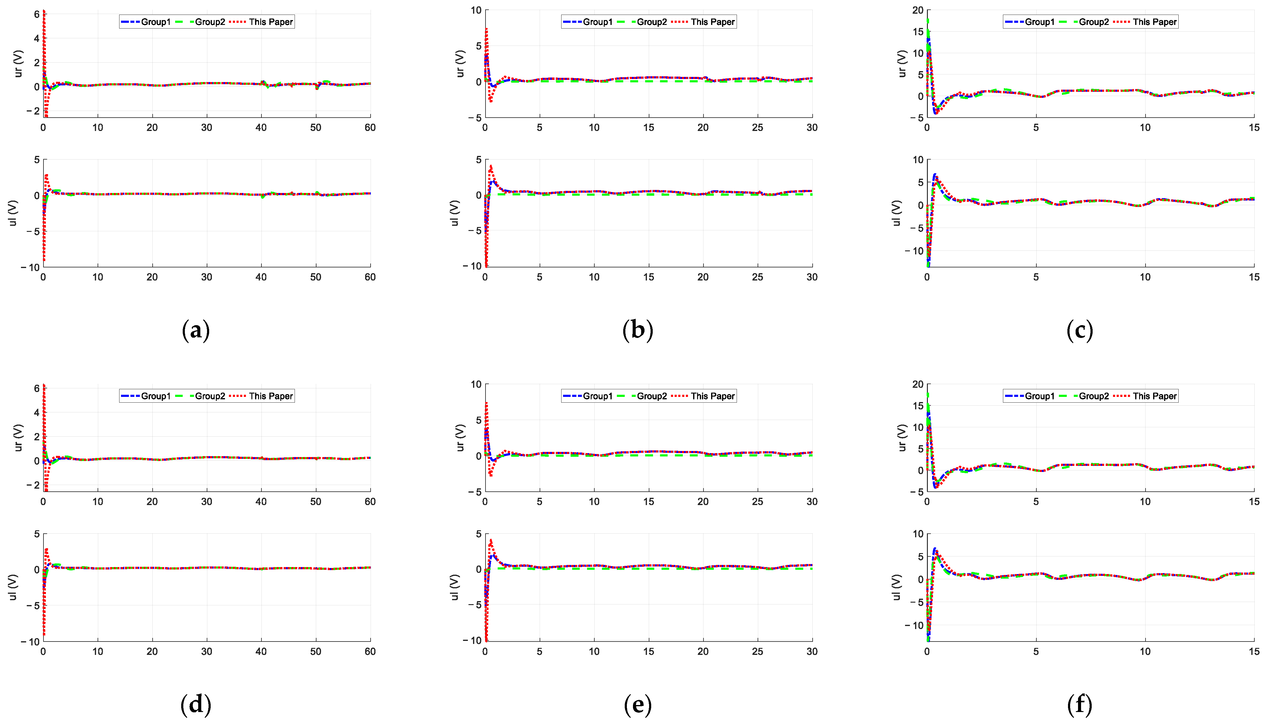
Figure 8 shows the output of the dynamic controller proposed in this paper. Similarly, (a–c) are the comparison plots without NESO compensation, while (d–f) show the results with NESO compensation. From the figure, it can be observed that the strategy proposed in this paper converges the fastest, demonstrates strong disturbance rejection capability, and becomes more stable with the addition of NESO.
Figure 8.
Dynamic controller output in tracking circular road trajectory: (a–c) without NESO, (d–f) with NESO.
4.2. Example 2: Eight-Shaped Trajectory Tracking
In this experiment, the selected figure-eight trajectory is defined as , , , . The initial position of the WMR is . The three selected speeds are 0.25 m/s, 0.5 m/s, and 1.0 m/s.
Compared to the constant-speed circular trajectory, the variable-speed eight-shaped trajectory better validates the performance of the three control strategies. The experiment also uses three different speeds for the trajectory and introduces the same Gaussian noise disturbance.
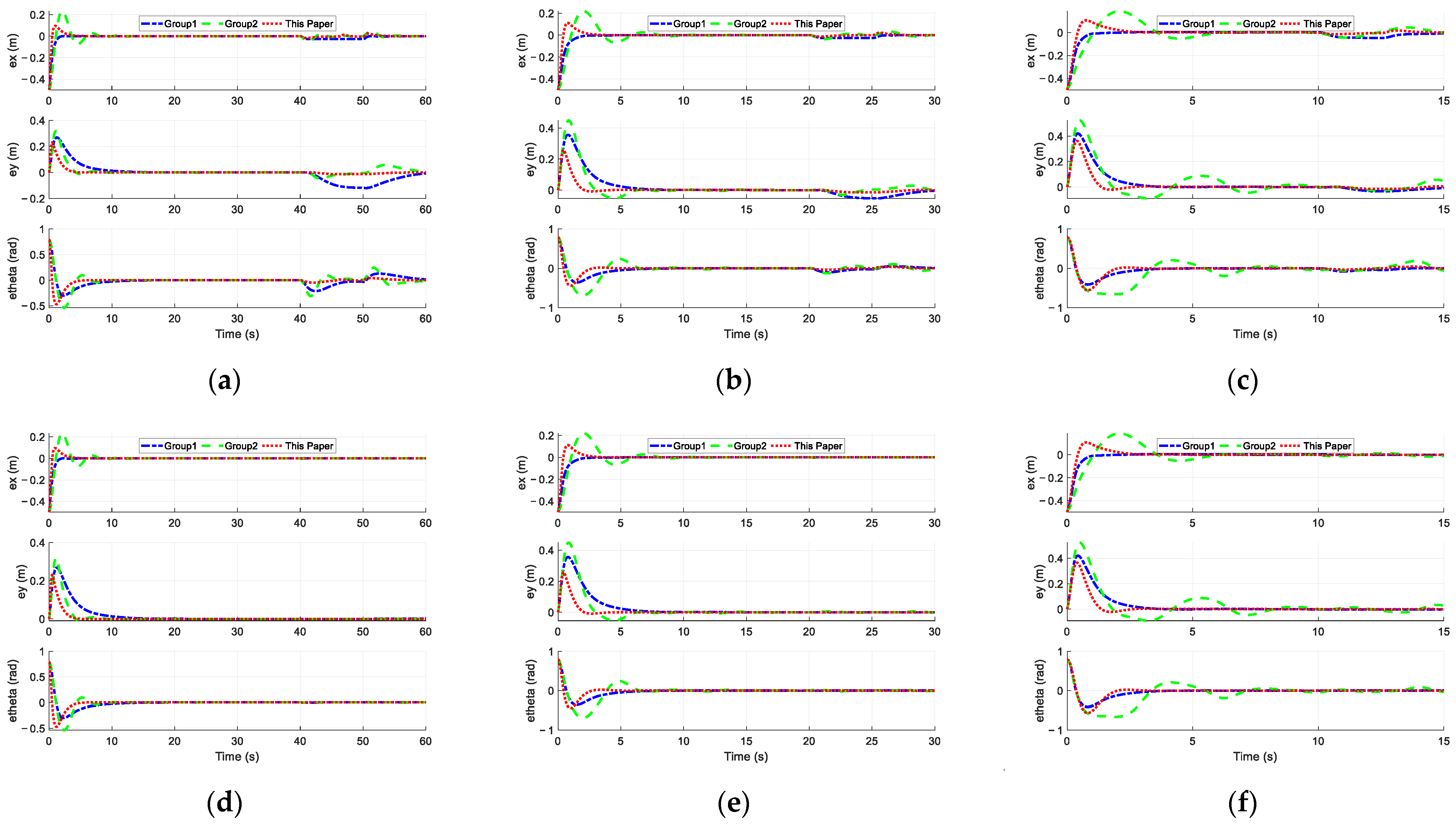
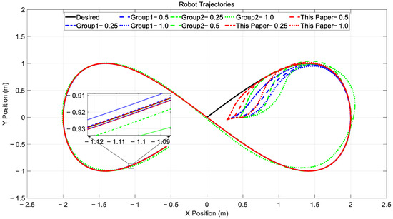
Figure 9 and Figure 10 show the comparison of trajectory tracking performance with and without NESO compensation. The figures display the trajectories of the three control strategies at three target speeds. It can be seen that the control strategy proposed in this paper has the fastest convergence speed and maintains a high tracking accuracy even at large turns. As the target speed increases, although slight deviations occur, the system is still able to quickly recover and track the target trajectory. This is further supported by the pose error convergence results in Figure 11 and the speed error convergence results in Figure 12.
Figure 9.
Tracking trajectories of eight-shaped road without NESO.
Figure 10.
Tracking trajectories of eight-shaped road with ESO.
Figure 11.
Pose error in tracking eight-shaped trajectory: (a–c) without NESO, (d–f) with NESO.
Figure 12.
Speed error in tracking eight-shaped trajectory: (a–c) without NESO, (d–f) with NESO.
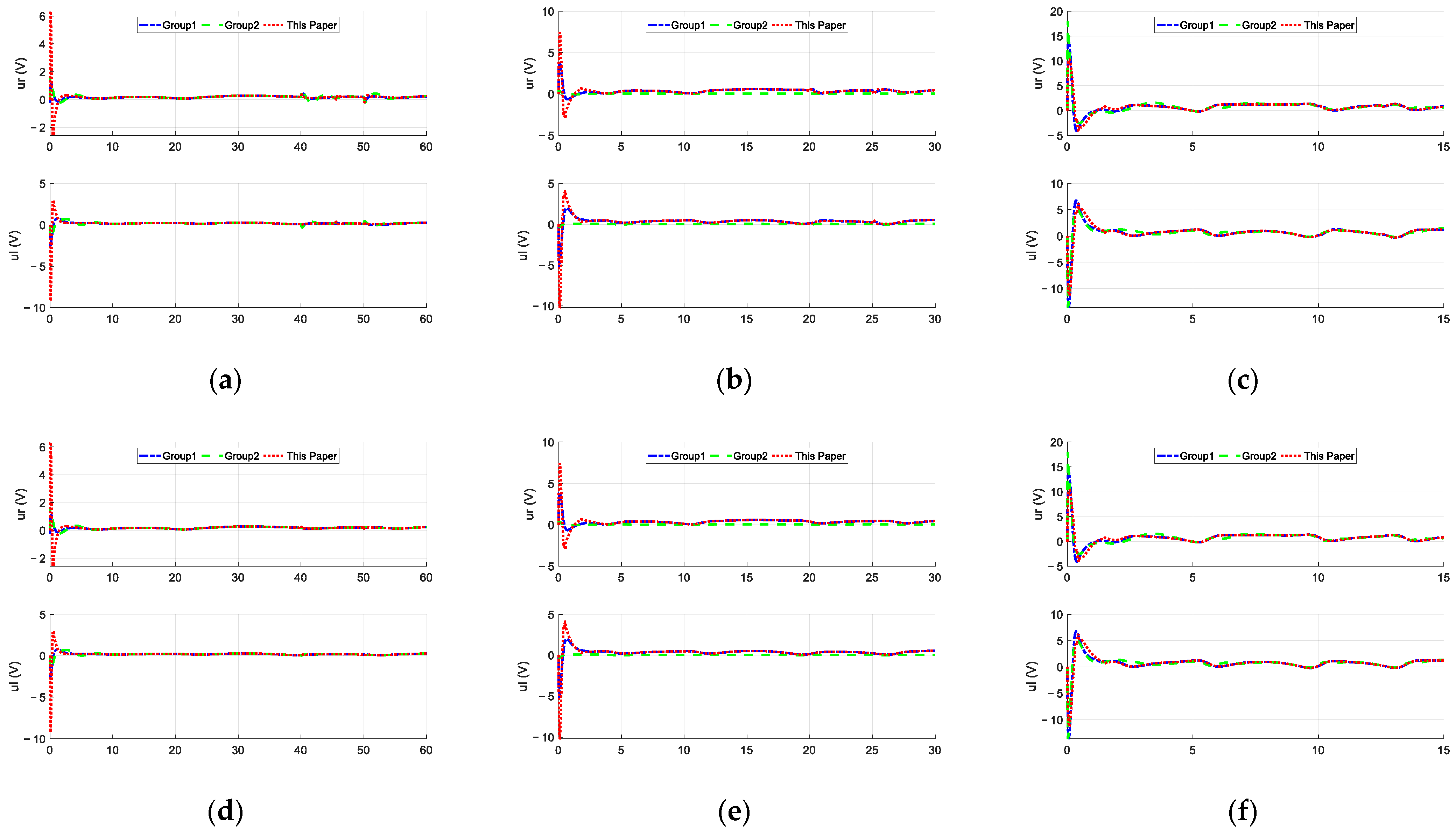
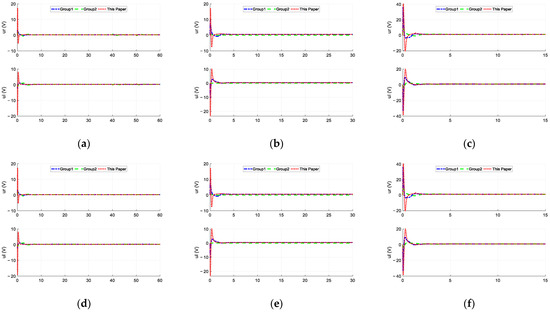
The dynamic controller output shown in Figure 13 demonstrates that for the variable-speed eight-shaped trajectory, the controller is still able to adjust quickly and stably to accurately track the target speed.
Figure 13.
Dynamic controller output in tracking eight-shaped trajectory: (a–c) without NESO, (d–f) with NESO.
4.3. Example 3: Right-Angle Trajectory Tracking
To validate the trajectory with a large range of angle variations in tracking a right-angle trajectory, this experiment is designed with a square trajectory of side length 2, and the initial pose is set as . The three selected speeds are 0.15 m/s, 0.3 m/s, and 0.6 m/s.
Figure 14 and Figure 15 show the performance of the three control strategies in tracking trajectories with right-angle turns. It is clearly observed that the control strategy proposed in this paper is more stable and has a faster convergence rate. Starting from the initial point, a 90-degree turn is required, leading to a large initial error. The other two control strategies exhibit noticeable oscillations, which become more severe as the target speed increases. When passing through the second right-angle turn, the performance of Group 2 deteriorates further.
Figure 14.
Tracking trajectories of right-angle road without NESO.
Figure 15.
Tracking trajectories of right-angle road with NESO.
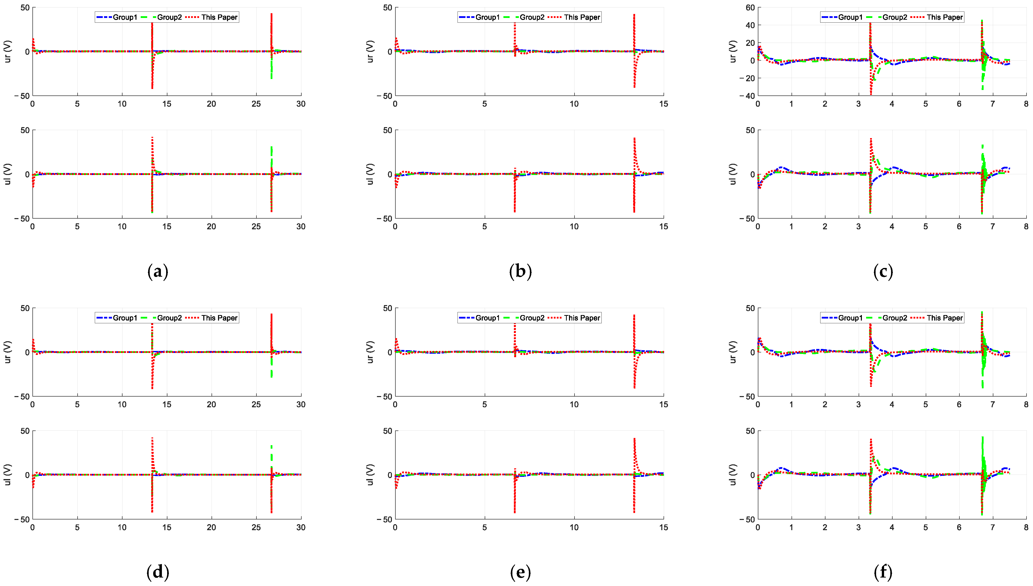
From the zoomed-in plot, it can be seen that the proposed control strategy has higher tracking accuracy. This is further supported by the results in Figure 16 and Figure 17, which demonstrate the advantages of the proposed control strategy. The dynamic controller output shown in Figure 18 indicates that, when passing through the right-angle, the proposed control strategy provides a larger control output and a shorter response time, effectively completing the large-angle turn.
Figure 16.
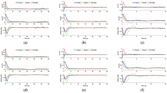
Pose error in tracking right-angle trajectory: (a–c) without NESO, (d–f) with NESO.
Figure 17.
Speed error in tracking right-angle trajectory: (a–c) without NESO, (d–f) with NESO.
Figure 18.
Dynamic controller output in tracking right-angle trajectory: (a–c) without NESO, (d–f) with NESO.
4.4. RMS Analysis and Comparison of Control Strategies
Based on the data from Table 3, Table 4, Table 5, Table 6, Table 7 and Table 8, the following analysis can be made: under different trajectory types (circular trajectory, eight-shaped trajectory, and right-angle trajectory) and speed conditions, the control strategy proposed in this paper shows clear advantages over Group 1 and Group 2. Without NESO compensation, the control strategy in this paper exhibits the lowest root mean square (RMS) error at all speeds. Particularly at low speeds, the proposed strategy has the smallest error, demonstrating its excellent trajectory tracking capability. At higher speeds, although the error increases for all control strategies, the proposed strategy still maintains the lowest error, proving its stability and precision under high-speed conditions.
Table 3.
RMS of circular trajectory tracking without NESO.
Table 4.
RMS of eight-shaped trajectory tracking without NESO.
Table 5.
RMS of right-angle trajectory tracking without NESO.
Table 6.
RMS of circular trajectory tracking with NESO.
Table 7.
RMS of eight-shaped trajectory tracking with NESO.
Table 8.
RMS of right-angle trajectory tracking with NESO.
After adding NESO compensation, the errors of all control strategies generally decrease, especially at high speeds and with complex trajectories (such as the eight-shaped and right-angle trajectories), where NESO compensation shows significant effects. The control strategy proposed in this paper still maintains the lowest RMS value in all cases, particularly when faced with high speeds and complex trajectories, showing a strong disturbance rejection ability and faster convergence. In contrast, Group 1 and Group 2 exhibit worse performance at higher speeds, especially when passing through right-angle turns, where Group 2’s control performance significantly deteriorates.
In summary, the control strategy proposed in this paper demonstrates optimal performance in trajectory tracking tasks, particularly under complex trajectories and high speeds, while also proving the effectiveness of NESO compensation.
5. Conclusions
This paper proposes a predefined-time trajectory tracking control strategy for the WMR with external disturbances. The control strategy includes a predefined-time kinematic velocity controller and a predefined-time dynamic tracking controller. Firstly, the kinematic velocity controller is designed to track the velocity of the reference trajectory. Secondly, the dynamic tracking controller is designed to enable the WMR to track the velocity generated by the upper-level kinematic control. Finally, a nonlinear extended state observer is designed to accurately estimate the external disturbances and feed them forward to the dynamic controller for better anti-disturbance performance.
Based on the simulation results, the proposed predefined-time sliding mode controller achieves rapid and accurate tracking of the specified trajectory and effectively handles different trajectory patterns, thereby verifying the effectiveness of the proposed algorithm. In future work, the following research directions will be considered: (1) This paper only includes numerical simulations, without physical experiments. The next step will be to implement the proposed algorithm on a physical robot and conduct trajectory tracking experiments to validate its performance in real-world scenarios. (2) This paper does not consider the phenomenon of actuator input saturation. Future work will investigate the impact of input saturation on trajectory tracking and explore methods to mitigate its effects.
Author Contributions
Conceptualization, Z.Z.; methodology, Z.Z.; software, Z.Z.; validation, Z.Z. and J.Z.; formal analysis, Z.Z.; investigation, Z.Z.; resources, J.Z. and H.Z.; data curation, Z.Z.; Funding acquisition, Z.X.; writing—original draft preparation, Z.Z.; writing—review and editing, Z.Z., J.Z., Z.X., M.S. and H.Z.; visualization, Z.Z. and J.Z.; supervision, J.Z., Z.X. and H.Z.; project administration, J.Z., Z.X. and H.Z. All authors have read and agreed to the published version of the manuscript.
Funding
This work was partly funded by the Open Fund of Chongqing Key Laboratory of Intelligent Logistics Network, Chongqing Jiaotong University (Project No. KLILN2023YB001); the Youth Foundation of Zhejiang University of Science and Technology (Project No. 2023QN033); the National College Students Innovation and Entrepreneurship Training Program of China (Project No. 202411057010); and the Introduction of Talent Research Initiation Fund (Project No. F701101N04).
Data Availability Statement
The data presented in this study are available in this article.
Conflicts of Interest
Hongbo Zheng was employed by Zhejiang Guozi Robotics Co., Ltd. The remaining authors declare that the research was conducted in the absence of any commercial or financial relationships that could be construed as a potential conflict of interest.
References
- Rubio, F.; Valero, F.; Llopis-Albert, C. A Review of Mobile Robots: Concepts, Methods, Theoretical Framework, and Applications. Int. J. Adv. Robot. Syst. 2019, 16, 172988141983959. [Google Scholar] [CrossRef]
- Borkar, K.; Aljrees, T.; Pandey, S.; Kumar, A.; Singh, M.; Sinha, A.; Singh, K.; Sharma, V. Stability Analysis and Navigational Techniques of Wheeled Mobile Robot: A Review. Processes 2023, 11, 3302. [Google Scholar] [CrossRef]
- Mirzaeinejad, H. Optimization-Based Nonlinear Control Laws with Increased Robustness for Trajectory Tracking of Non-Holonomic Wheeled Mobile Robots. Transp. Res. Part C Emerg. Technol. 2019, 101, 1–17. [Google Scholar] [CrossRef]
- Hussein, R. Design a New Hybrid Controller Based on an Improvement Version of Grey Wolf Optimization for Trajectory Tracking of Wheeled Mobile Robot. FME Trans. 2023, 51, 140–148. [Google Scholar] [CrossRef]
- Chai, B.; Zhang, K.; Tan, M. Optimized Trajectory Tracking Control with Disturbance Resistance for Wheeled Mobile Robot. Trans. Inst. Meas. Control 2024, 01423312241283522. [Google Scholar] [CrossRef]
- Kochumon, K.; Lal Priya, P.S.; Kumar, H. Self-Tuning Backstepping and Sliding Mode Control for Robust Trajectory Tracking in Differential Drive Wheeled Mobile Robots. In Proceedings of the 2023 International Conference on Power, Instrumentation, Control and Computing (PICC), Thrissur, India, 19–21 April 2023; pp. 1–6. [Google Scholar]
- Chwa, D.; Boo, J. Adaptive Fuzzy Output Feedback Simultaneous Posture Stabilization and Tracking Control of Wheeled Mobile Robots With Kinematic and Dynamic Disturbances. IEEE Access 2020, 8, 228863–228878. [Google Scholar] [CrossRef]
- Rabbani, M.J.; Memon, A.Y. Trajectory Tracking and Stabilization of Nonholonomic Wheeled Mobile Robot Using Recursive Integral Backstepping Control. Electronics 2021, 10, 1992. [Google Scholar] [CrossRef]
- Binh, N.; Tung, N.; Nam, D.; Quang, N. An Adaptive Backstepping Trajectory Tracking Control of a Tractor Trailer Wheeled Mobile Robot. Int. J. Control Autom. Syst. 2019, 17, 465–473. [Google Scholar] [CrossRef]
- Chen, Z.; Liu, Y.; He, W.; Qiao, H.; Ji, H. Adaptive-Neural-Network-Based Trajectory Tracking Control for a Nonholonomic Wheeled Mobile Robot With Velocity Constraints. IEEE Trans. Ind. Electron. 2021, 68, 5057–5067. [Google Scholar] [CrossRef]
- Hassan, N.; Saleem, A. Neural Network-Based Adaptive Controller for Trajectory Tracking of Wheeled Mobile Robots. IEEE Access 2022, 10, 13582–13597. [Google Scholar] [CrossRef]
- Yang, Y.; Yan, X.; Sirlantzis, K.; Howells, G. Application of Sliding Mode Trajectory Tracking Control Design for Two-Wheeled Mobile Robots. In Proceedings of the 2019 NASA/ESA Conference on Adaptive Hardware and Systems (AHS), Colchester, UK, 22–24 July 2019; pp. 109–114. [Google Scholar]
- Moudoud, B.; Aissaoui, H.; Diany, M. Robust Trajectory Tracking Control Based on Sliding Mode of Differential Driving Four-Wheeled Mobile Robot. In Proceedings of the 2020 IEEE 6th International Conference on Optimization and Applications (ICOA), Beni Mellal, Morocco, 20–21 April 2020; pp. 1–5. [Google Scholar]
- Ren, C.; Li, X.; Yang, X.; Ma, S. Extended State Observer-Based Sliding Mode Control of an Omnidirectional Mobile Robot With Friction Compensation. IEEE Trans. Ind. Electron. 2019, 66, 9480–9489. [Google Scholar] [CrossRef]
- Zhai, J.; Song, Z. Adaptive Sliding Mode Trajectory Tracking Control for Wheeled Mobile Robots. Int. J. Control 2019, 92, 2255–2262. [Google Scholar] [CrossRef]
- Wendemagegn, Y.; Asfaw, W.; Abdissa, C.; Lemma, L. Enhancing Trajectory Tracking Accuracy in Three-Wheeled Mobile Robots Using Backstepping Fuzzy Sliding Mode Control. Eng. Res. Express 2024, 6, 045204. [Google Scholar] [CrossRef]
- Moudoud, B.; Aissaoui, H.; Diany, M. Adaptive Integral-type Terminal Sliding Mode Control: Application to Trajectory Tracking for Mobile Robot. Int. J. Adapt. Control Signal Process. 2023, 37, 603–616. [Google Scholar] [CrossRef]
- Wang, H.; Zuo, Z.; Wang, Y.; Yang, H. Composite Control for Trajectory Tracking of Wheeled Mobile Robots with NLESO and NTSMC. IET Control Theory Appl. 2021, 15, 1686–1694. [Google Scholar] [CrossRef]
- Zheng, Y.; Zheng, J.; Shao, K.; Zhao, H.; Xie, H.; Wang, H. Adaptive Trajectory Tracking Control for Nonholonomic Wheeled Mobile Robots: A Barrier Function Sliding Mode Approach. IEEE/CAA J. Autom. Sin. 2024, 11, 1007–1021. [Google Scholar] [CrossRef]
- Polyakov, A. Nonlinear Feedback Design for Fixed-Time Stabilization of Linear Control Systems. IEEE Trans. Autom. Control 2012, 57, 2106–2110. [Google Scholar] [CrossRef]
- Li, B.; Gong, W.; Yang, Y.; Xiao, B.; Ran, D. Appointed Fixed Time Observer-Based Sliding Mode Control for a Quadrotor UAV Under External Disturbances. IEEE Trans. Aerosp. Electron. Syst. 2022, 58, 290–303. [Google Scholar] [CrossRef]
- Li, X.; Li, X.; Ma, D.; Kong, X. Trajectory Tracking Control of Unmanned Surface Vehicles Based on a Fixed-Time Disturbance Observer. Electronics 2023, 12, 2896. [Google Scholar] [CrossRef]
- Pan, Y.; Du, P.; Xue, H.; Lam, H.-K. Singularity-Free Fixed-Time Fuzzy Control for Robotic Systems With User-Defined Performance. IEEE Trans. Fuzzy Syst. 2021, 29, 2388–2398. [Google Scholar] [CrossRef]
- Zou, A.-M.; Kumar, K.; de Ruiter, A.H. Fixed-Time Attitude Tracking Control for Rigid Spacecraft. Automatica 2020, 113, 108792. [Google Scholar] [CrossRef]
- Lu, Q.; Chen, J.; Wang, Q.; Zhang, D.; Sun, M.; Su, C.-Y. Practical Fixed-Time Trajectory Tracking Control of Constrained Wheeled Mobile Robots with Kinematic Disturbances. ISA Trans. 2022, 129, 273–286. [Google Scholar] [CrossRef]
- Jimenez-Rodriguez, E.; Munoz-Vazquez, A.; Sanchez-Torres, J.; Defoort, M.; Loukianov, A.G. A Lyapunov-Like Characterization of Predefined-Time Stability. IEEE Trans. Autom. Control 2020, 65, 4922–4927. [Google Scholar] [CrossRef]
- Cong, S.; Wang, Z.; Li, M.; Jiang, Y.; Zhang, R. Trajectory Tracking of a Wheeled Mobile Robot Based on the Predefined-time Sliding Mode Control Scheme. Asian J. Control 2024, 26, 3275–3290. [Google Scholar] [CrossRef]
- Lin, L.; Xu, Z.; Zheng, J. Predefined Time Active Disturbance Rejection for Nonholonomic Mobile Robots. Mathematics 2023, 11, 2704. [Google Scholar] [CrossRef]
- Li, B.; Liu, H.; Ahn, C.; Wang, C.; Zhu, X. Fixed-Time Tracking Control of Wheel Mobile Robot in Slipping and Skidding Conditions. IEEE/ASME Trans. Mechatron. 2024, 1–11. [Google Scholar] [CrossRef]
- Liu, Z.; Liu, J.; Zhang, O.; Zhao, Y.; Chen, W.; Gao, Y. Adaptive Disturbance Observer-Based Fixed-Time Tracking Control for Uncertain Robotic Systems. IEEE Trans. Ind. Electron. 2024, 71, 14823–14831. [Google Scholar] [CrossRef]
- Lin, X.; Wu, C.; Yao, W.; Liu, Z.; Shen, X.; Xu, R.; Sun, G.; Liu, J. Observer-Based Fixed-Time Control for Permanent-Magnet Synchronous Motors With Parameter Uncertainties. IEEE Trans. Power Electron. 2022, 38, 4335–4344. [Google Scholar] [CrossRef]
- Yan, Y.; Cui, H.; Han, P. A non-singular predefined-time sliding mode tracking control for space manipulators. Adv. Space Res. 2025, 75, 3284–3297. [Google Scholar] [CrossRef]
- Wang, G.; Zhou, C.; Yu, Y.; Liu, X. Adaptive Sliding Mode Trajectory Tracking Control for WMR Considering Skidding and Slipping via Extended State Observer. Energies 2019, 12, 3305. [Google Scholar] [CrossRef]
- Tang, M.; Tang, K.; Zhang, Y.; Qiu, J.; Chen, X. Motion/force coordinated trajectory tracking control of nonholonomic wheeled mobile robot via LMPC-AISMC strategy. Sci. Rep. 2024, 14, 18504. [Google Scholar] [CrossRef] [PubMed]
- Liu, Z.; Wu, C.; Shen, X.; Yao, W.; Liu, J.; Wu, L. Adaptive Interval Type-2 Fuzzy Neural Network-Based Novel Fixed-Time Backstepping Control for Uncertain Euler–Lagrange Systems. IEEE Trans. Fuzzy Syst. 2024, 32, 2966–2975. [Google Scholar] [CrossRef]
- Moudoud, B.; Aissaoui, H.; Diany, M. Fixed-Time Non-Singular Fast TSM Control for WMR with Disturbance Observer. IFAC-Pap. 2022, 55, 647–652. [Google Scholar] [CrossRef]
- Yang, Y.; Wu, X. Global Finite-Time Synchronization of a Class of the Non-Autonomous Chaotic Systems. Nonlinear Dyn. 2012, 70, 197–208. [Google Scholar] [CrossRef]
- Ning, P.; Hua, C.; Li, K.; Meng, R. Adaptive Fixed-Time Control for Uncertain Nonlinear Cascade Systems by Dynamic Feedback. IEEE Trans. Syst. Man Cybern. Syst. 2023, 53, 2961–2970. [Google Scholar] [CrossRef]
- Jiménez-Rodríguez, E.; Sánchez-Torres, J.D.; Loukianov, A.G. On Optimal Predefined-Time Stabilization. Int. J. Robust Nonlinear Control 2017, 27, 3620–3642. [Google Scholar] [CrossRef]
- Zhang, M.; Zang, H.; Bai, L. A New Predefined-Time Sliding Mode Control Scheme for Synchronizing Chaotic Systems. Chaos Solitons & Fractals 2022, 164, 112745. [Google Scholar] [CrossRef]
- Gao, Z. Scaling and Bandwidth-Parameterization Based Controller Tuning. In Proceedings of the 2003 American Control Conference, Denver, CO, USA, 4–6 June 2003; Volume 6, pp. 4989–4996. [Google Scholar]
Disclaimer/Publisher’s Note: The statements, opinions and data contained in all publications are solely those of the individual author(s) and contributor(s) and not of MDPI and/or the editor(s). MDPI and/or the editor(s) disclaim responsibility for any injury to people or property resulting from any ideas, methods, instructions or products referred to in the content. |
© 2025 by the authors. Licensee MDPI, Basel, Switzerland. This article is an open access article distributed under the terms and conditions of the Creative Commons Attribution (CC BY) license (https://creativecommons.org/licenses/by/4.0/).

















