Two-Dimensional Probability Models for the Weighted Discretized Fréchet–Weibull Random Variable with Min–Max Operators: Mathematical Theory and Statistical Goodness-of-Fit Analysis
Abstract
1. Introduction
- 1.
- The proposed distribution is a bivariate extension of the WDFW distribution, offering a robust framework for modeling dispersion phenomena and addressing complex real-life discrete datasets.
- 2.
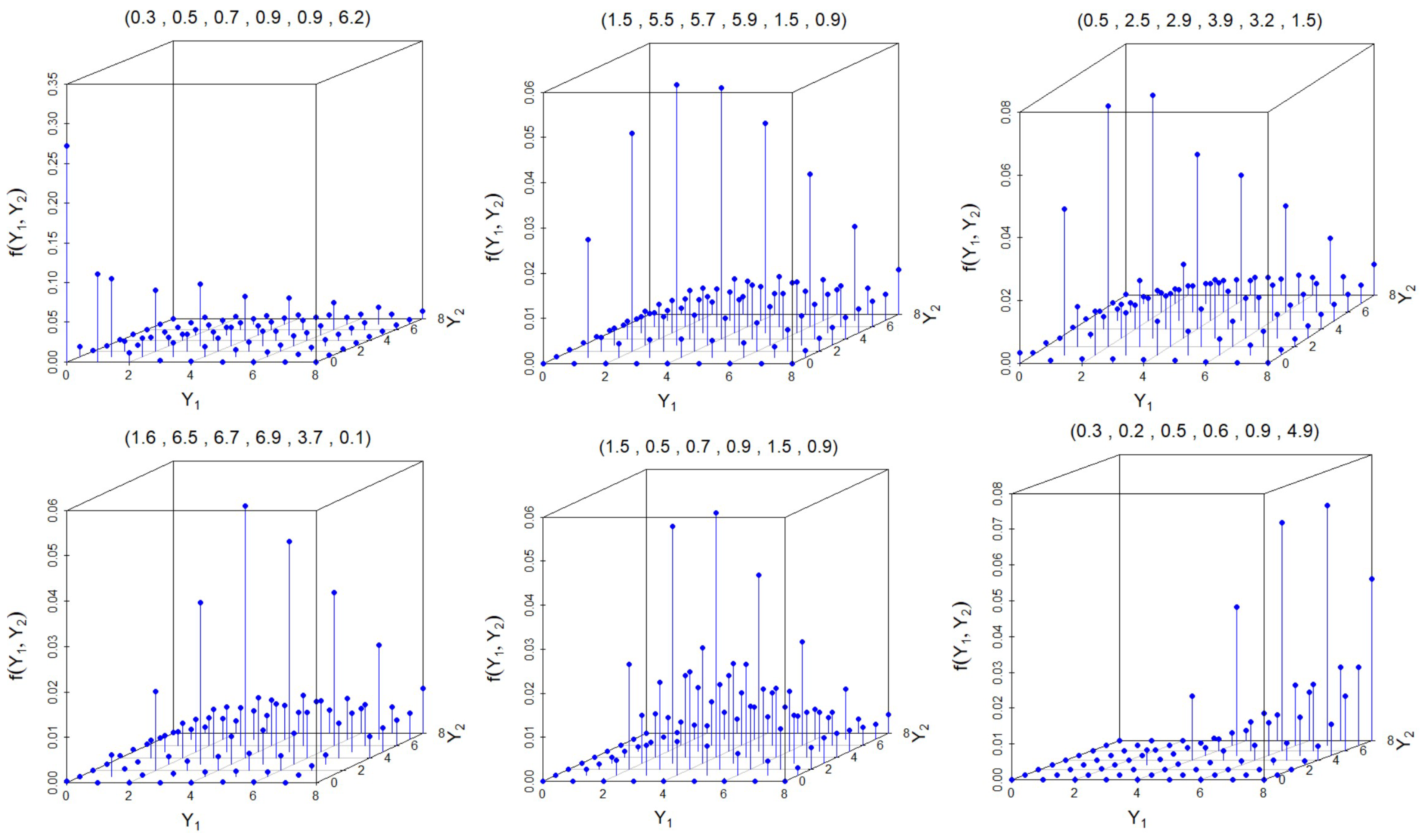
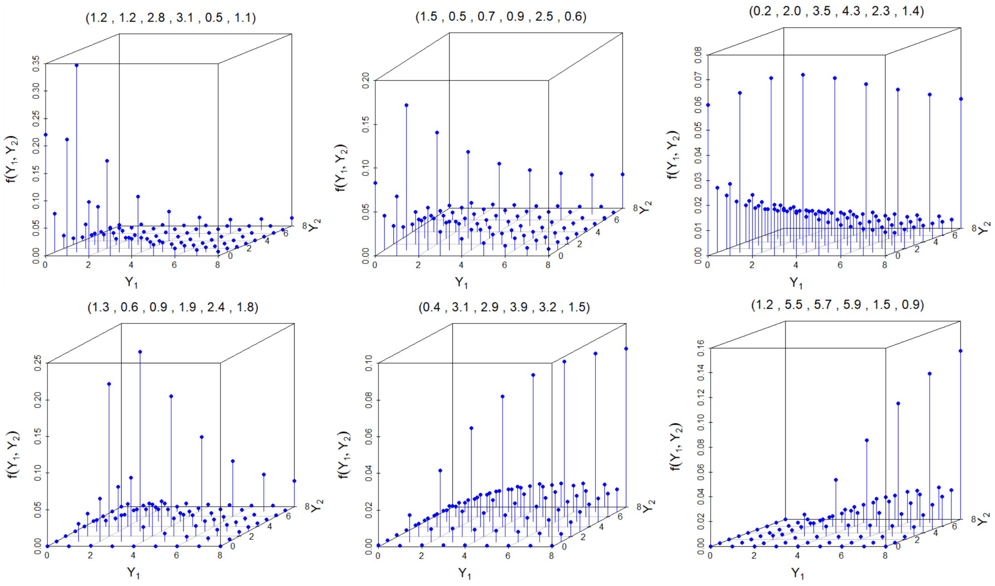
- The joint PMF of the proposed model exhibits remarkable flexibility, allowing for diverse shapes influenced by parameter values. This adaptability makes it suitable for evaluating asymmetric data under various kurtosis structures.
- 3.
- The joint HRF and its marginals of the proposed distribution are WDFW distributions, enabling the analysis of various hazard rate functions, such as increasing, decreasing, and bathtub-shaped rates, in discrete settings. This capability supports the comprehensive modeling of diverse data types.
- 4.
- The BWDFW distribution possesses positive quadrant dependence, a critical property for modeling interdependencies in bivariate data. This characteristic enhances its relevance in applications requiring the joint modeling of correlated phenomena.
- 5.
- The straightforward generation mechanism of the BWDFW distribution facilitates simulation studies, while its versatility makes it applicable to a wide range of fields, including engineering, reliability, and social sciences.
2. Construction of a Bivariate Distribution
2.1. The Minimum Operator
- Case 1:
- Case 2:
- Case 3:
2.2. The Maximum Operator
- Case 1:
- Case 2:
- Case 3:
3. The Bivariate Weighted Discretized Fréchet–Weibull Distribution
3.1. The BWDFW Model Constructed Using the Minimum Operator
3.1.1. The Joint SF of the BWDFW-I Model
3.1.2. The Joint CDF of the BWDFW-I Model
3.1.3. The Joint HRF of the BWDFW-I Model
3.1.4. The Joint Reversed HRF of the BWDFW-I Model
3.2. The BWDFW Model Constructed Using the Maximum Operator
3.2.1. The Joint CDF of the BWDFW-II Model
3.2.2. The Joint SF of the BWDFW-II Model
4. Positive Quadrant Dependence
- Case 1:
- Case 2:
5. The Joint Probability-Generating Function Along with Associated Measures
6. The Maximum Likelihood Estimation
7. Simulation: Behaviors of Estimators
7.1. Generation Process of Bivariate Discrete Data
- Generate uniform random variables from .
- Transform these uniform variables using the inverse CDF method:where and are the inverse CDFs of BWDFW-I and BWDFW-II.
- Apply a copula-based transformation if a dependency structure is required.
- Repeat this process until the desired sample size is achieved.
7.2. Sample Size Considerations and Importance
- Small samples () are suitable for preliminary analysis, small samples’ property testing, and exploratory data assessment;
- Medium samples () provide more stability in parameter estimation and model validation;
- Large samples () allow for robust inferential procedures, including hypothesis testing and model selection.
7.3. The Accuracy and Precision of the Estimation Method
- Bias:
- Mean-squared error (MSE):
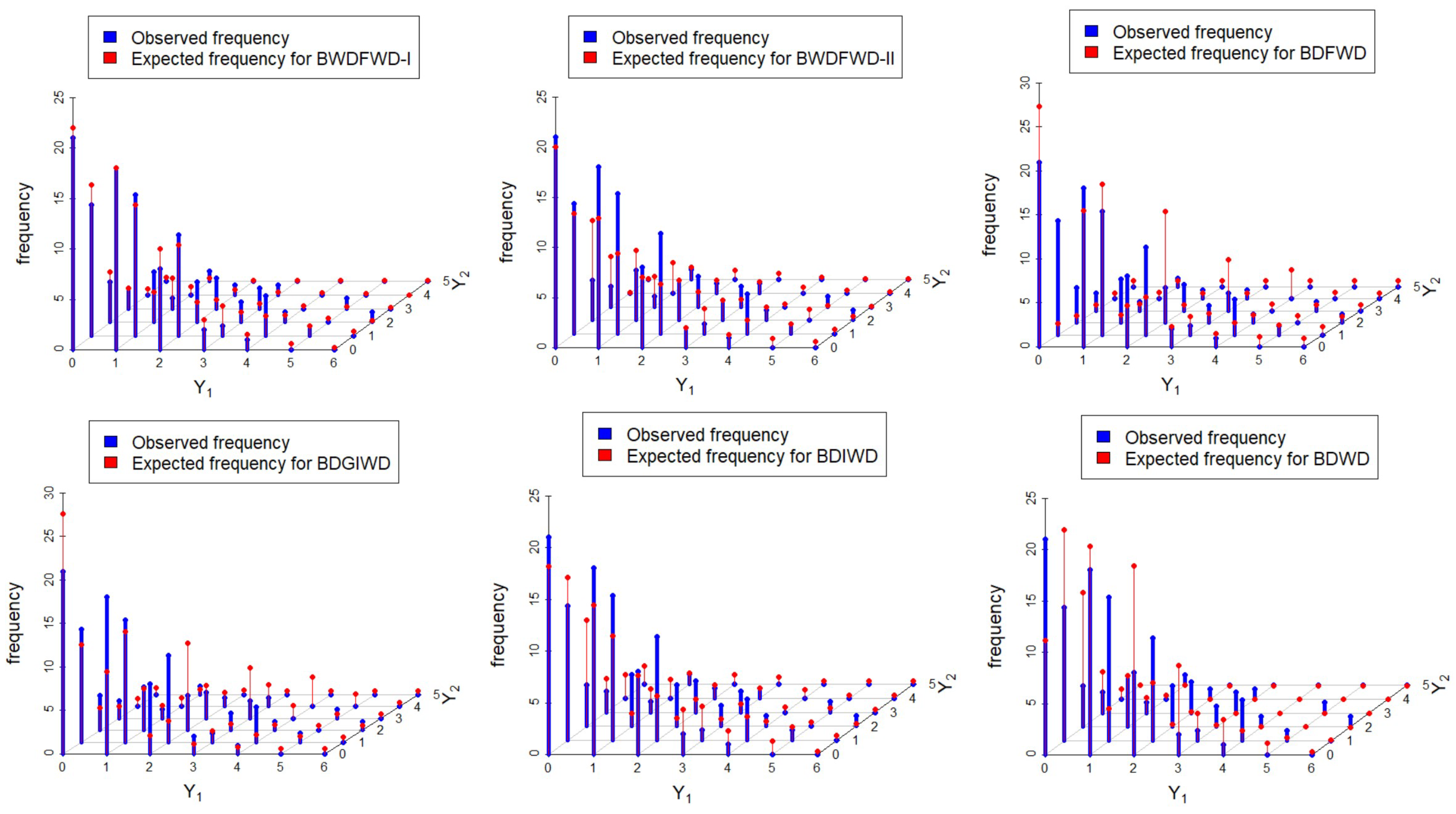
8. Goodness of Fit and Decision Making in Real Data Analysis
8.1. Aviation Field: Dataset I
8.2. Security and Safety Field: Dataset II
9. Summary of the Key Findings
10. Future Directions
Author Contributions
Funding
Data Availability Statement
Acknowledgments
Conflicts of Interest
References
- Teamah, A.-E.A.M.; Elbanna, A.; Ahmed, M. Fréchet-Weibull distribution with application to earthquakes data sets. Pak. J. Stat. 2020, 36, 135–147. [Google Scholar]
- Alzaatreh, A.; Lee, C.; Famoye, F. A new method for generating families of continuous distributions. Metron 2013, 71, 63–79. [Google Scholar] [CrossRef]
- Das, D.; Das, B. Discretized Fréchet–Weibull distribution: Properties and application. J. Indian Soc. Probab. Stat. 2023, 24, 243–282. [Google Scholar] [CrossRef]
- Das, D.; Das, B. On weighted discretized Fréchet–Weibull distribution with application to real life data. Appl. Math. Inf. Sci. Int. J. 2023, 7, 791–806. [Google Scholar]
- Johnson, N.L.; Kotz, S.; Balakrishnan, N. Discrete Multivariate Distributions; Wiley: Hoboken, NJ, USA, 1997. [Google Scholar]
- Balakrishnan, N.; Lai, C. Continuous Bivariate Distributions, 2nd ed.; Springer: Berlin/Heidelberg, Germany, 2009. [Google Scholar]
- Kundu, D.; Gupta, R.D. Bivariate generalized exponential distribution. J. Multivar. Anal. 2009, 100, 581–593. [Google Scholar] [CrossRef]
- Sarhan, A.; Hamilton, D.C.; Smith, B.; Kundu, D. The bivariate generalized linear failure rate distribution and its multivariate extension. Comput. Stat. Data Anal. 2011, 55, 644–654. [Google Scholar] [CrossRef]
- El-Sherpieny, E.A.; Ibrahim, S.A.; Bedar, R.E. A new bivariate distribution with generalized Gompertz marginals. Asian J. Appl. Sci. 2013, 1, 141–150. [Google Scholar]
- Wagner, B.S.; Artur, J.L. Bivariate Kumaraswamy distribution: Properties and a new method to generate bivariate classes. Statistics 2013, 47, 1321–1342. [Google Scholar]
- Balakrishnan, N.; Shiji, K. On a class of bivariate exponential distributions. Stat. Probab. Lett. 2014, 85, 153–160. [Google Scholar] [CrossRef]
- El-Gohary, A.; El-Bassiouny, A.H.; El-Morshedy, M. Bivariate exponentiated modified Weibull extension distribution. J. Appl. Probab. Stat. 2016, 5, 67–78. [Google Scholar] [CrossRef]
- Hiba, Z.M. Bivariate inverse Weibull distribution. J. Stat. Comput. Simul. 2016, 86, 2335–2345. [Google Scholar]
- Rasool, R.; Akbar, A.J. On bivariate exponentiated extended Weibull family of distributions. Ciência Nat. 2016, 38, 564–576. [Google Scholar]
- Eliwa, M.; El-Morshedy, M. Bivariate odd Weibull-G family of distributions: Properties, Bayesian and non-Bayesian estimation with bootstrap confidence intervals and application. J. Taibah Univ. Sci. 2020, 14, 331–345. [Google Scholar] [CrossRef]
- Kocherlakota, S.; Kocherlakota, K. Bivariate Discrete Distributions; Marcel Dekker: New York, NY, USA, 1992. [Google Scholar]
- Basu, A.P.; Dhar, S.K. Bivariate geometric distribution. J. Appl. Stat. Sci. 1995, 2, 33–44. [Google Scholar]
- Kumar, C.S. A unified approach to bivariate discrete distributions. Metrika 2008, 67, 113–123. [Google Scholar] [CrossRef]
- Kemp, A.W. New discrete Appell and Humbert distributions with relevance to bivariate accident data. J. Multivar. Anal. 2013, 113, 2–6. [Google Scholar] [CrossRef]
- Lee, H.; Cha, J.H. On two general classes of discrete bivariate distributions. Am. Stat. 2015, 69, 221–230. [Google Scholar] [CrossRef]
- Nekoukhou, V.; Kundu, D. Bivariate discrete generalized exponential distribution. Statistics 2017, 51, 1143–1158. [Google Scholar] [CrossRef]
- El-Morshedy, M.; Eliwa, M.S.; Gohary, A.E.; Khalil, A.A. Bivariate exponentiated discrete Weibull distribution: Statistical properties, estimation, simulation and applications. Math. Sci. 2020, 14, 29–42. [Google Scholar] [CrossRef]
- Ali, S.; Shafqat, M.; Shah, I.; Dey, S. Bivariate discrete Nadarajah and Haghighi distribution: Properties and different methods of estimation. Filomat 2019, 33, 5589–5610. [Google Scholar] [CrossRef]
- Kundu, D.; Nekoukhou, V. On bivariate discrete Weibull distribution. Commun. Stat.—Theory Methods 2019, 48, 3464–3481. [Google Scholar] [CrossRef]
- Shibu, D.S.; Beegum, N. Bivariate Discrete Modified Weibull (BDMW) Distribution. Statistica 2021, 81, 231–264. [Google Scholar]
- Barbiero, A. Discrete analogues of continuous bivariate probability distributions. Ann. Oper. Res. 2022, 312, 23–43. [Google Scholar] [CrossRef]
- Mitchell, C.R.; Paulson, A.S. A new bivariate negative binomial distribution. Nav. Res. Logist. Q. 1981, 28, 359–374. [Google Scholar] [CrossRef]
- Zamani, H.; Faroughi, P.; Ismail, N. Bivariate Poisson-weighted exponential distribution with applications. AIP Conf. Proc. 2014, 1602, 964–968. [Google Scholar]
- Xu, A.; Fang, G.; Zhuang, L.; Gu, C. A multivariate student-t process model for dependent tail-weighted degradation data. IISE Trans. 2024, 1–17. [Google Scholar] [CrossRef]
- Chandra, N.; James, A.; Domma, F.; Rehman, H. Bivariate iterated Farlie–Gumbel–Morgenstern stress–strength reliability model for Rayleigh margins: Properties and estimation. Stat. Theory Relat. Field 2024, 8, 315–334. [Google Scholar] [CrossRef]










| m | k | Cov() | Cor() | () | () | ||||
|---|---|---|---|---|---|---|---|---|---|
| 0.5 | 4.5 | 2.5 | 6.4 | 2.5 | 7.5 | 2.39225 | 0.96608 | 0.90881 | 0.87911 |
| 0.9 | 0.46123 | 0.85967 | 0.82312 | 0.80758 | |||||
| 1.7 | 0.13837 | 0.53373 | 0.50025 | 0.49463 | |||||
| 0.7 | 1.7 | 2.3 | 6.0 | 2.7 | 7.2 | 1.07347 | 0.92541 | 0.85927 | 0.83332 |
| 4.5 | 1.14286 | 0.90563 | 0.81902 | 0.78072 | |||||
| 6.0 | 1.18204 | 0.90642 | 0.78258 | 0.74836 | |||||
| 1.8 | 4.0 | 2.5 | 5.2 | 3.5 | 6.5 | 0.17551 | 0.61911 | 0.58162 | 0.55979 |
| 4.5 | 0.12939 | 0.79906 | 0.69577 | 0.68757 | |||||
| 6.0 | 0.28939 | 0.82651 | 0.87992 | 0.86742 | |||||
| 1.5 | 5.2 | 2.4 | 3.8 | 2.6 | 5.1 | 0.11673 | 0.54648 | 0.53101 | 0.51852 |
| 4.8 | 0.12490 | 0.51522 | 0.48029 | 0.46688 | |||||
| 5.2 | 0.17551 | 0.59312 | 0.52037 | 0.50695 | |||||
| 1.3 | 5.4 | 2.5 | 3.5 | 2.4 | 5.5 | 0.29918 | 0.73049 | 0.66068 | 0.64165 |
| 3.5 | 0.44898 | 0.80526 | 0.74152 | 0.70841 | |||||
| 4.5 | 0.78928 | 0.87736 | 0.82274 | 0.78307 | |||||
| 1.7 | 4.5 | 3.2 | 4.2 | 2.7 | 2.5 | 1.71511 | 0.96606 | 0.95796 | 0.92875 |
| 4.0 | 0.33347 | 0.72678 | 0.66341 | 0.63503 | |||||
| 7.2 | 0.01633 | 0.14744 | 0.14744 | 0.14744 |
| m | k | Cov() | Cor() | () | () | ||||
|---|---|---|---|---|---|---|---|---|---|
| 0.6 | 3.8 | 5.5 | 4.2 | 1.9 | 5.6 | 3.04980 | 0.98617 | 0.97905 | 0.96399 |
| 1.3 | 1.56408 | 0.89377 | 0.90127 | 0.89458 | |||||
| 1.8 | 0.53061 | 0.93037 | 0.92779 | 0.92758 | |||||
| 0.8 | 1.5 | 4.5 | 3.4 | 1.5 | 6.2 | 0.30082 | 0.82114 | 0.80861 | 0.79306 |
| 2.4 | 0.37755 | 0.95183 | 0.96047 | 0.95197 | |||||
| 3.2 | 0.40735 | 0.97604 | 0.96826 | 0.96753 | |||||
| 1.5 | 0.9 | 1.5 | 3.0 | 2.7 | 4.1 | 0.35918 | 0.75211 | 0.69959 | 0.66731 |
| 2.7 | 0.48980 | 0.88828 | 0.89514 | 0.85235 | |||||
| 3.2 | 0.46939 | 0.90915 | 0.93774 | 0.90086 | |||||
| 1.2 | 0.9 | 2.7 | 1.3 | 2.5 | 4.5 | 0.18491 | 0.67127 | 0.59604 | 0.58744 |
| 2.2 | 0.22908 | 0.73535 | 0.63395 | 0.61371 | |||||
| 2.9 | 0.23306 | 0.75522 | 0.67167 | 0.65002 | |||||
| 2.2 | 1.8 | 1.9 | 2.8 | 1.5 | 3.4 | 0.29918 | 0.73049 | 0.66068 | 0.64165 |
| 2.4 | 0.44898 | 0.80526 | 0.74152 | 0.70841 | |||||
| 3.3 | 0.78928 | 0.87736 | 0.82274 | 0.78307 | |||||
| 1.9 | 1.7 | 2.3 | 2.4 | 2.3 | 2.7 | 0.85878 | 0.88365 | 0.84753 | 0.79743 |
| 3.5 | 0.51265 | 0.82018 | 0.79669 | 0.78712 | |||||
| 4.4 | 0.22082 | 0.75264 | 0.76424 | 0.74579 |
| Case I | , , , , , | ||||||
| Avg. Est. | Size “n” | ||||||
| 50 | 1.0788 | 3.3717 | 1.8259 | 7.2105 | 3.4408 | 6.8215 | |
| 80 | 1.3655 | 3.3952 | 1.8259 | 7.2105 | 3.4408 | 6.8215 | |
| 120 | 1.7361 | 4.1145 | 2.2081 | 6.7314 | 2.8126 | 7.2314 | |
| 150 | 1.6221 | 4.3336 | 2.4002 | 6.5121 | 2.7003 | 7.4008 | |
| 200 | 1.5113 | 4.5112 | 2.5013 | 6.3908 | 2.5022 | 7.5040 | |
| Bias | 50 | −0.4212 | −0.1283 | −0.6741 | 0.8105 | 0.9408 | −0.6785 |
| 80 | −0.1345 | −0.6048 | −0.4774 | 0.5042 | 0.7511 | −0.5379 | |
| 120 | 0.2361 | −0.3855 | −0.2919 | 0.3314 | 0.3126 | −0.2686 | |
| 150 | 0.1221 | −0.1664 | −0.0998 | 0.1121 | 0.2003 | −0.0992 | |
| 200 | 0.0113 | 0.0111 | 0.0103 | −0.0092 | 0.0022 | 0.0040 | |
| MSE | 50 | 1.0159 | 1.0047 | 0.8543 | 0.9373 | 1.0049 | 1.0008 |
| 80 | 0.8241 | 0.7341 | 0.5225 | 0.7714 | 0.6674 | 0.4673 | |
| 120 | 0.4304 | 0.5201 | 0.4927 | 0.4218 | 0.5005 | 0.2155 | |
| 150 | 0.2005 | 0.1404 | 0.1881 | 0.1994 | 0.3117 | 0.1074 | |
| 200 | 0.0541 | 0.0715 | 0.0335 | 0.0392 | 0.1022 | 0.0093 | |
| Case II | , , , , , | ||||||
| Avg. Est. | Size “n” | ||||||
| 50 | 1.6323 | 0.8942 | 1.1347 | 1.5252 | 2.1056 | 2.1104 | |
| 80 | 1.5005 | 0.8095 | 1.1058 | 1.6866 | 2.2217 | 2.0026 | |
| 120 | 1.4702 | 0.7522 | 1.0448 | 1.8014 | 2.2993 | 1.9413 | |
| 150 | 1.3908 | 0.6995 | 1.9213 | 1.8657 | 2.3541 | 1.8522 | |
| 200 | 1.3152 | 0.6092 | 0.9047 | 1.8878 | 2.3982 | 1.8041 | |
| Bias | 50 | 0.3323 | 0.2942 | 0.3347 | −0.3748 | −0.2944 | 0.3104 |
| 80 | 0.2005 | 0.2095 | 0.2058 | −0.2134 | −0.1783 | 0.2026 | |
| 120 | 0.1702 | 0.1522 | 0.1448 | −0.0986 | −0.1007 | 0.1413 | |
| 150 | 0.0908 | 0.0995 | 0.0213 | −0.0343 | −0.0459 | 0.0522 | |
| 200 | 0.0152 | 0.0092 | 0.0247 | −0.0122 | −0.0018 | 0.0041 | |
| MSE | 50 | 0.8542 | 1.0243 | 09747 | 1.0051 | 0.9827 | 0.8073 |
| 80 | 0.5313 | 0.7204 | 0.6053 | 0.8252 | 0.7224 | 0.4517 | |
| 120 | 0.2252 | 0.2415 | 0.1838 | 0.4107 | 0.4318 | 0.1038 | |
| 150 | 0.0827 | 0.1008 | 0.0172 | 0.1228 | 0.1427 | 0.0574 | |
| 200 | 0.0414 | 0.0342 | 0.0094 | 0.0415 | 0.0219 | 0.0033 | |
| 0 | 1 | 2 | 3 | ≥4 | Total | ||
| 0 | 34 | 20 | 4 | 6 | 4 | 68 | |
| 1 | 17 | 7 | 0 | 0 | 0 | 24 | |
| 2 | 6 | 4 | 1 | 0 | 0 | 11 | |
| 3 | 0 | 4 | 0 | 0 | 0 | 4 | |
| 4 | 0 | 0 | 0 | 0 | 0 | 0 | |
| ≥5 | 2 | 0 | 0 | 0 | 0 | 2 | |
| Total | 59 | 35 | 5 | 6 | 4 | 109 | |
| Median | Mean | Covariance | Pearson’s Correlation | Spearman’s Rho | Kendall’s Tau | ||
|---|---|---|---|---|---|---|---|
| Cov(,) | Cor(,) | ||||||
| 0.00 | 0.00 | 0.6239 | 0.7248 | 0.96959 | 0.92146 | 0.88893 | 0.87359 |
| Model | Estimate (SE) | CI | −log l | AIC | BIC | CAIC |
|---|---|---|---|---|---|---|
| BWDFW-I | = 0.34295 (0.07636) | (0.1933, 0.4926) | 75.0703 | 162.1406 | 170.5477 | 166.3442 |
| = 2.23410 (0.32125) | (1.6045, 2.8638) | |||||
| = 0.50341 (0.14022) | (0.2286, 0.7782) | |||||
| = 0.85167 (0.29515) | (0.2732, 1.4302) | |||||
| = 0.12472 (0.02116) | (0.0832, 0.1662) | |||||
| = 0.02679 (0.00587) | (0.0153, 0.0383) | |||||
| BWDFW-II | = 0.53243 (0.14004) | (0.2580, 0.8069) | 103.9928 | 219.9856 | 228.3928 | 224.1892 |
| = 1.03863 (0.50223) | (0.0543, 2.0230) | |||||
| = 1.12495 (0.53445) | (0.0774, 2.1725) | |||||
| = 0.65389 (0.29125) | (0.0830, 1.2247) | |||||
| = 0.19232 (0.01557) | (0.1618, 0.2228) | |||||
| = 0.04263 (0.00116) | (0.0404, 0.0449) | |||||
| BDFW | = 0.93438 (0.03144) | (0.8728, 0.9960) | 202.6919 | 413.3838 | 418.9889 | 416.1862 |
| = 0.79851 (0.04603) | (0.7083, 0.8887) | |||||
| = 0.64339 (0.04776) | (0.5498, 0.7370) | |||||
| = 1.77364 (0.21815) | (1.3461, 2.2012) | |||||
| BDGIW | = 0.95428 (0.03247) | (0.8906, 1.0179) | 202.9543 | 413.9086 | 419.5133 | 416.7109 |
| = 0.80018 (0.04271) | (0.7165, 0.8839) | |||||
| = 0.64235 (0.04590) | (0.5524, 0.7323) | |||||
| = 1.80019 (0.21268) | (1.3833, 2.2170) | |||||
| BDIW | = 0.91438 (0.04139) | (0.8333, 0.9955) | 207.2054 | 422.4107 | 428.9611 | 425.6859 |
| = 0.75121 (0.02448) | (0.7032, 0.7992) | |||||
| = 0.54523 (0.06228) | (0.4232, 0.6673) | |||||
| = 1.47366 (0.30729) | (0.8714, 2.0759) | |||||
| BDW | = 0.39143 (0.04539) | (0.3025, 0.4804) | 249.5335 | 507.067 | 512.6718 | 509.8694 |
| = 0.44779 (0.08535) | (0.2805, 0.6151) | |||||
| = 0.96749 (0.20109) | (0.5734, 1.3616) | |||||
| = 1.12852 (0.10729) | (0.9182, 1.3388) |
| 0 | 1 | 2 | 3 | 4 | ≥5 | Total | ||
| 0 | 21 | 13 | 4 | 2 | 0 | 0 | 40 | |
| 1 | 18 | 14 | 5 | 1 | 0 | 1 | 39 | |
| 2 | 8 | 10 | 4 | 3 | 1 | 0 | 26 | |
| 3 | 2 | 1 | 2 | 2 | 1 | 0 | 8 | |
| 4 | 1 | 4 | 1 | 0 | 0 | 0 | 6 | |
| 5 | 0 | 1 | 0 | 1 | 0 | 0 | 2 | |
| 6 | 0 | 0 | 1 | 0 | 0 | 0 | 1 | |
| Total | 50 | 43 | 17 | 9 | 2 | 1 | 122 | |
| Median | Mean | Covariance | Pearson’s Correlation | Spearman’s Rho | Kendall’s Tau | ||
|---|---|---|---|---|---|---|---|
| Cov(,) | Cor(,) | ||||||
| 1.00 | 1.00 | 1.2700 | 0.9754 | 1.36208 | 0.93013 | 0.91082 | 0.87229 |
| Model | Estimate (SE) | CI | −log l | AIC | BIC | CAIC |
|---|---|---|---|---|---|---|
| BWDFW-I | = 1.45323 (0.19872) | (1.0637, 1.8427) | 118.0931 | 248.1862 | 258.6122 | 253.3992 |
| = 2.08623 (0.32629) | (1.4467, 2.7258) | |||||
| = 2.22495 (0.38345) | (1.4734, 2.9765) | |||||
| = 0.64388 (0.08354) | (0.4801, 0.8076) | |||||
| = 1.19231 (0.12209) | (0.9530, 1.4316) | |||||
| = 0.03662 (0.00561) | (0.0256, 0.0476) | |||||
| BWDFW-II | = 0.21199 (0.03842) | (0.1367, 0.2873) | 123.6967 | 259.3934 | 269.8194 | 264.6064 |
| = 1.61515 (0.38433) | (0.8619, 2.3684) | |||||
| = 1.25150 (0.29413) | (0.6750, 1.8280) | |||||
| = 1.23137 (0.18540) | (0.8680, 1.5948) | |||||
| = 1.04923 (0.22088) | (0.6163, 1.4822) | |||||
| = 0.11366 (0.04613) | (0.0232, 0.2041) | |||||
| BDFW | = 0.53722 (0.05599) | (0.4275, 0.6470) | 304.4232 | 616.8464 | 623.7971 | 620.3218 |
| = 0.96836 (0.03091) | (0.9078, 1.0289) | |||||
| = 0.42012 (0.04545) | (0.3310, 0.5092) | |||||
| = 1.78756 (0.15202) | (1.4896, 2.0855) | |||||
| BDGIW | = 0.73722 (0.08495) | (0.5707, 0.9037) | 324.4139 | 656.8277 | 663.7784 | 660.3031 |
| = 0.68359 (0.01927) | (0.6458, 0.7214) | |||||
| = 0.44223 (0.03147) | (0.3805, 0.5039) | |||||
| = 1.55918 (0.12410) | (1.3159, 1.8024) | |||||
| BDIW | = 0.61985 (0.07761) | (0.4677, 0.7720) | 335.704 | 679.408 | 686.3587 | 682.8833 |
| = 0.80355 (0.09387) | (0.6196, 0.9875) | |||||
| = 0.17942 (0.02531) | (0.1298, 0.2290) | |||||
| = 1.61787 (0.18622) | (1.2529, 1.9829) | |||||
| BDW | = 0.68978 (0.03364) | (0.6238, 0.7557) | 367.2133 | 742.4266 | 749.3772 | 745.9019 |
| = 0.57694 (0.04008) | (0.4984, 0.6555) | |||||
| = 0.43879 (0.07138) | (0.2989, 0.5787) | |||||
| = 1.47306 (0.09988) | (1.2773, 1.6688) |
Disclaimer/Publisher’s Note: The statements, opinions and data contained in all publications are solely those of the individual author(s) and contributor(s) and not of MDPI and/or the editor(s). MDPI and/or the editor(s) disclaim responsibility for any injury to people or property resulting from any ideas, methods, instructions or products referred to in the content. |
© 2025 by the authors. Licensee MDPI, Basel, Switzerland. This article is an open access article distributed under the terms and conditions of the Creative Commons Attribution (CC BY) license (https://creativecommons.org/licenses/by/4.0/).
Share and Cite
Obeidat, S.T.; Das, D.; Eliwa, M.S.; Das, B.; Hazarika, P.J.; Mohammed, W.W. Two-Dimensional Probability Models for the Weighted Discretized Fréchet–Weibull Random Variable with Min–Max Operators: Mathematical Theory and Statistical Goodness-of-Fit Analysis. Mathematics 2025, 13, 625. https://doi.org/10.3390/math13040625
Obeidat ST, Das D, Eliwa MS, Das B, Hazarika PJ, Mohammed WW. Two-Dimensional Probability Models for the Weighted Discretized Fréchet–Weibull Random Variable with Min–Max Operators: Mathematical Theory and Statistical Goodness-of-Fit Analysis. Mathematics. 2025; 13(4):625. https://doi.org/10.3390/math13040625
Chicago/Turabian StyleObeidat, Sofian T., Diksha Das, Mohamed S. Eliwa, Bhanita Das, Partha Jyoti Hazarika, and Wael W. Mohammed. 2025. "Two-Dimensional Probability Models for the Weighted Discretized Fréchet–Weibull Random Variable with Min–Max Operators: Mathematical Theory and Statistical Goodness-of-Fit Analysis" Mathematics 13, no. 4: 625. https://doi.org/10.3390/math13040625
APA StyleObeidat, S. T., Das, D., Eliwa, M. S., Das, B., Hazarika, P. J., & Mohammed, W. W. (2025). Two-Dimensional Probability Models for the Weighted Discretized Fréchet–Weibull Random Variable with Min–Max Operators: Mathematical Theory and Statistical Goodness-of-Fit Analysis. Mathematics, 13(4), 625. https://doi.org/10.3390/math13040625

