Comparison of Trivariate Copula-Based Conditional Quantile Regression Versus Machine Learning Methods for Estimating Copper Recovery
Abstract
1. Introduction
2. Methodology
- Exploratory Data Analysis (EDA): This is the first stage of the workflow after data collection. Its primary goal is to identify patterns, trends, and outliers through the use of descriptive statistics and visual tools. A fundamental part of this analysis is the study of multivariate dependence, which is based on the calculation of the rank correlation Spearman coefficient (). This coefficient is organized in a symmetric matrix of size , where each element represents the correlation between the variables . The diagonal elements have a value equal to 1, since a variable is perfectly correlated with itself. Equation (3) shows how is calculated:where is the covariance between the rank variables and , while and are the standard deviations of the rank variables. This approach allows nonlinear interactions between different characteristics to be evaluated more effectively. The result of this stage is the identification of key relationships and the selection of features, which forms the basis for defining geometallurgical domains.
- Definition of geometallurgical domains: Based on the dependency analysis carried out on the characteristics of the sample and the selection of those that influence the CR, the geometallurgical domains are constructed. This process can be carried out through various methodologies proposed in studies such as [27,39,41,48].
- Data Preprocessing: The selected features undergo a transformation process to standardize their mean and variance. This step is essential when working with ML models, as it ensures optimal conditions for their operation [49,50]. Although it is not a mandatory requirement for copula models, it is recommended to carry out this normalization, since it simplifies the modeling of marginal distributions and contributes to greater consistency in the results. The transformation formula used is:where is the value of the untransformed variable, and are the mean and standard deviation, respectively, and the transformed value of the variable.
- Split Data: Typically, for ML methods, the sample is partitioned into two data subsets: one for training and the other for testing, using a proportion of 70/30%.
- Modeling:
- –
- Dependency Modeling: The joint probability distribution function is modeled by a multivariate copula and its marginals using a nonparametric approach applying the kernel smoothing method.
- –
- Model Training: ML methods are trained with different hyperparameters until acceptable performance metrics are obtained for the training sample data.
- Validation: At this stage, the previously obtained models are validated using the performance metrics for the testing sample data.
- Estimation: ML and CBQR methods are applied to predict copper recovery, in 95% of the data samples, that are not used in the previous modeling and validation stages.
- Comparison: The comparison of the results obtained in the previous stage is carried out in terms of the performance metrics.
3. Copula-Based Conditional Quantile Regression
3.1. Key Properties of Copulas
- Marginality: , for any .
- Boundary Conditions: , for any .
- Nonnegative Volume: The function C must be d-increasing, meaning the volume it describes within any hyperrectangle in is nonnegative.
3.2. Multivariate Copula-Based Conditional Quantile Regression
3.3. Kernel Smoothing in Copula Estimation
- Generate samples from a uniform distribution.
- Transform these samples using the inverse of the copula function.
4. Machine Learning Methods
4.1. Decision Tree (DT)
- Prediction at each leaf node is often the average of the target values of samples within the node.
- Prone to overfitting, especially if the tree is very deep.
- Easily interpretable but sensitive to changes in the data.
4.2. Support Vector Regression (SVR)
- Aims to fit the error within a certain threshold and focuses on minimizing the model coefficients to enhance generalization.
- Employs kernel functions (e.g., linear, polynomial, and RBF) to manage nonlinear relationships by transforming data into a higher-dimensional space.
- Robust against overfitting in high-dimensional spaces.
4.3. Multilayer Perceptron (MLP)
- An input layer, one or more hidden layers, and an output layer.
- Utilization of backpropagation for training, adjusting weights to minimize prediction errors.
- Activation functions (e.g., ReLU, sigmoid) introduce nonlinearity, enabling the network to learn complex patterns.
- Effective for complex functions but they are computationally expensive and require careful parameter tuning.
4.4. Random Forest (RF)
- Builds multiple decision trees and merges them to enhance accuracy and stability.
- Takes the average of outputs from all trees for final prediction in regression tasks.
- Offers better resistance to overfitting than individual decision trees.
- Effective for a wide range of problems but can be less interpretable due to its ensemble nature.
4.5. Error Performance Metrics Definitions
- Determination coefficient:where are the actual values, are the predictions, and is the average of the actual values.
- Maximum relative error:
- Mean absolute error:
- Mean squared error:
- Median absolute error:
- Mean absolute percentage error:where .
5. Case Study
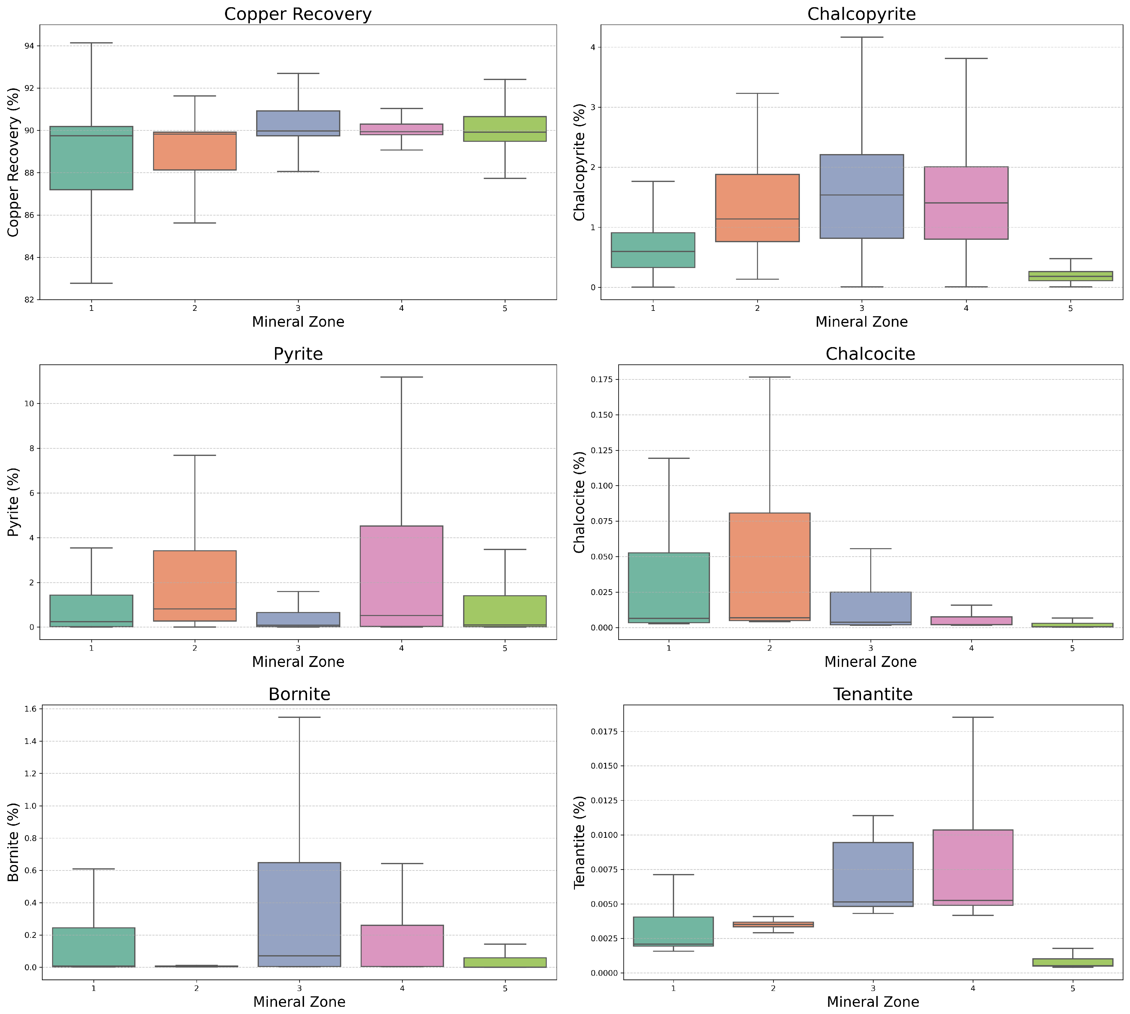
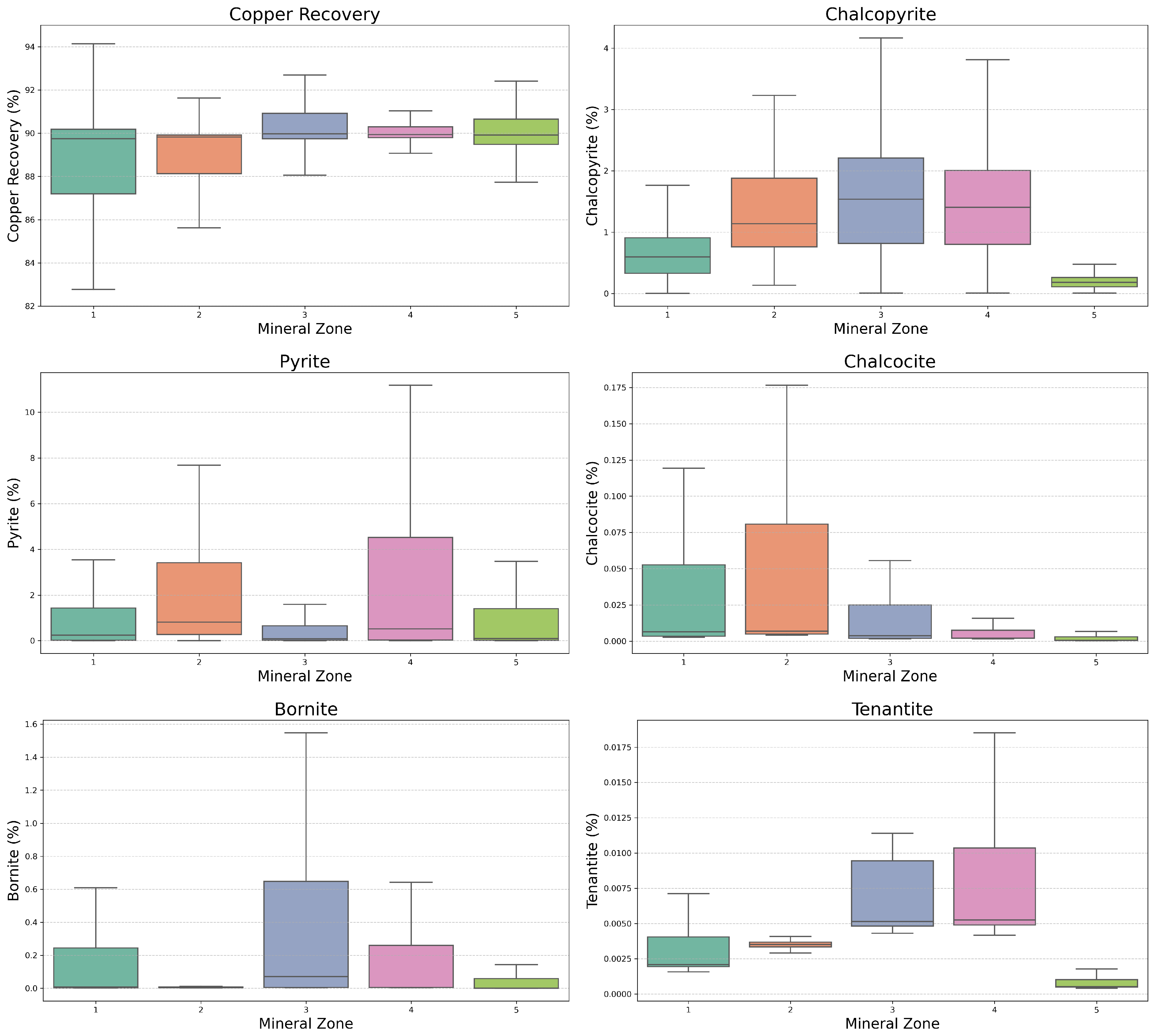
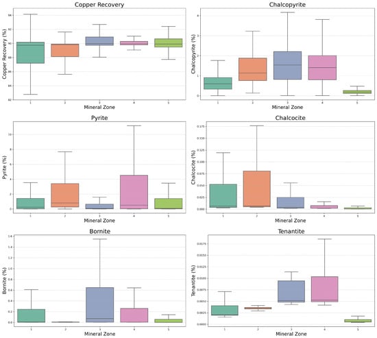
5.1. Geometallurgical Units Definition
5.2. Exploratory Data Analysis
Variable Selection
5.3. Modeling
5.3.1. Dependency Modeling
5.3.2. Model Training
5.4. Validation
- Generation of Uniform Samples: Initially, random values uniformly distributed in the interval are generated for each dimension of the trivariate space. These values represent the cumulative probabilities (CDF) corresponding to the marginal variables.
- Modeling of Dependence through Copula: The copula transforms these uniform samples to ensure that they respect the joint dependency structure defined in the model. This step ensures that relationships between variables, such as correlations or nonlinear dependence patterns, are reflected in the simulated data.
- Transformation to the Marginals: The simulated values are converted from the cumulative probabilities to the original scales of the marginal variables using the inverse cumulative distribution functions (ICDF) of each marginal. This reconstructs the individual characteristics of each variable while preserving their joint relationship. Finally, the simulation generates a synthetic dataset that can be compared with the observed data to validate the model. This process involves analyzing whether the descriptive statistics and the dependence between variables in the simulated sample are consistent with those of the original data (see Table 3 and Figure 11).
5.5. Estimation
6. Comparison
7. Discussion
- Dependency between predictive characteristics and variable of interest: There must be at least a weak dependence between the predictor characteristics and the target variable, and these must not be redundant, that is, they must not be correlated with each other. Otherwise, a trivariate copula does not present significant improvements over a bivariate copula [23].
- Estimation limited to locations with known data: CR can only be estimated at locations where predictive characteristics are available. For the application case, this involves deriving the estimate of CR from an imputation of data at the exploration drilling level. For the estimation of mineral resources and the economic valuation of blocks before optimization, design and mining planning, it is essential to know these predictive characteristics, in this case, the bornite and chalcocite contents at the level of blocks that represent the geometallurgical domain.
8. Conclusions
Author Contributions
Funding
Data Availability Statement
Conflicts of Interest
Abbreviations
| CR | Copper Recovery |
| CBQR | Copula-Based Conditional Quantile Regression |
| DT | Decision Tree |
| ET | Extra Trees |
| SVRL | Support Vector Regression (linear) |
| SVRE | Support Vector Regression (with epsilon) |
| MLP | Multi-Layer Perceptron |
| RF | Random Forest |
| R2 | Determination coefficient |
| MAE | Mean absolute error |
| MAPE | Mean absolute percentage error |
| MedAE | Median Absolute Error |
| MaxRE | Maximum Relative Error |
| ML | Machine Learning |
| MSE | Mean Squared Error |
| Probability Density Function |
References
- Afum, B.; Ben-Awuah, E. A Review of Models and Algorithms for Surface-Underground Mining Options and Transitions Optimization: Some Lessons Learnt and the Way Forward. Mining 2021, 1, 112–134. [Google Scholar] [CrossRef]
- Jara, R.; Couble, A.; Emery, X.; Magri, E.; Ortiz, J. Block size selection and its impact on open-pit design and mine planning. J. S. Afr. Inst. Min. Metall. 2006, 106, 205–211. [Google Scholar]
- Letelier, O.; Espinoza, D.; Goycoolea, M.; Moreno, E.; Muñoz, G. Production scheduling for strategic open pit mine planning: A mixed-integer programming approach. Oper. Res. 2020, 68, 1425–1444. [Google Scholar] [CrossRef]
- Mai, N.; Topal, E.; Erten, O. A new open-pit mine planning optimization method using block aggregation and integer programming. J. S. Afr. Inst. Min. Metall. 2018, 118, 705–714. [Google Scholar] [CrossRef]
- Pell, R.; Tijsseling, L.; Palmer, L.; Glass, H.; Yan, X.; Wall, F.; Zeng, X.; Li, J. Environmental optimisation of mine scheduling through life cycle assessment integration. Resour. Conserv. Recycl. 2019, 142, 267–276. [Google Scholar] [CrossRef]
- Morales, N.; Seguel, S.; Cáceres, A.; Jélvez, E.; Alarcón, M. Incorporation of geometallurgical attributes and geological uncertainty into long-term open-pit mine planning. Minerals 2019, 9, 108. [Google Scholar] [CrossRef]
- Becerra, M.; Jerez, A.; Garcés, H.; Demarco, R. Copper price: A brief analysis of China’s impact over its short-term forecasting. Resour. Policy 2022, 75, 102449. [Google Scholar] [CrossRef]
- Yushan, P.; Ni, M.; Wang, X. Identifying price bubbles in copper market: Evidence from a GSADF test approach. PLoS ONE 2023, 18, e0290983. [Google Scholar] [CrossRef]
- Alberdi, E.; Hernández, H.; Goti, A. Development of methods based on neural networks in the estimation of mineral resources. Dyna 2024, 99, 303–310. [Google Scholar] [CrossRef]
- Chilès, J.; Desassis, N. Fifty years of kriging. In Handbook of Mathematical Geosciences: Fifty Years of IAMG; Springer: Cham, Switzerland, 2018; pp. 589–612. [Google Scholar] [CrossRef]
- Remy, N.; Boucher, A.; Wu, J. Applied Geostatistics with SGeMS; Cambridge University Press: Cambridge, UK, 2009. [Google Scholar] [CrossRef]
- Henckens, M.; van Ierland, E.; Driessen, P.; Worrell, E. Mineral resources: Geological scarcity, market price trends, and future generations. Resour. Policy 2016, 49, 102–111. [Google Scholar] [CrossRef]
- Dominy, S.; O’Connor, L.; Parbhakar-Fox, A.; Glass, H.; Purevgerel, S. Geometallurgy—A route to more resilient mine operations. Minerals 2018, 8, 560. [Google Scholar] [CrossRef]
- Mu, Y.; Salas, J. Data-Driven Synthesis of a Geometallurgical Model for a Copper Deposit. Processes 2023, 11, 1775. [Google Scholar] [CrossRef]
- van den Boogaart, K.G.; Tolosana-Delgado, R. Predictive geometallurgy: An interdisciplinary key challenge for mathematical geosciences. In Handbook of Mathematical Geosciences: Fifty Years of IAMG; Springer: Cham, Switzerland, 2018; pp. 673–686. [Google Scholar] [CrossRef]
- Abildin, Y.; Madani, N.; Topal, E. A hybrid approach for joint simulation of geometallurgical variables with inequality constraint. Minerals 2019, 9, 24. [Google Scholar] [CrossRef]
- Boisvert, J.; Rossi, M.; Ehrig, K.; Deutsch, C. Geometallurgical Modeling at Olympic Dam Mine, South Australia. Math. Geosci. 2023, 45, 901–925. [Google Scholar] [CrossRef]
- Both, C.; Dimitrakopoulos, R. Geometallurgical prediction models of processing plant indicators for stochastic mine production scheduling. IFAC-PapersOnLine 2022, 55, 1267. [Google Scholar] [CrossRef]
- Deutsch, J.; Palmer, K.; Deutsch, C.; Szymanski, J.; Etsell, T. Spatial Modeling of Geometallurgical Properties: Techniques and a Case Study. Nat. Resour. Res. 2016, 25, 161–181. [Google Scholar] [CrossRef]
- Deutsch, J.; Szymanski, J.; Etsell, T. Metallurgical variable re-expression for geostatistics. In Geostatistical and Geospatial Approaches for the Characterization of Natural Resources in the Environment: Challenges, Processes and Strategies; Springer International Publishing: Berlin, Germany, 2016; pp. 83–88. [Google Scholar] [CrossRef]
- Garrido, M.; Ortiz, J.; Villaseca, F.; Kracht, W.; Townley, B.; Miranda, R. Change of support using non-additive variables with Gibbs Sampler: Application to metallurgical recovery of sulphide ores. Comput. Geosci. 2019, 122, 68–76. [Google Scholar] [CrossRef]
- Garrido, M.; Sepúlveda, E.; Ortiz, J.; Townley, B. Simulation of Synthetic Exploration and Geometallurgical Database of Porphyry Copper Deposits for Educational Purposes. Nat. Resour. Res. 2020, 29, 3527–3545. [Google Scholar] [CrossRef]
- Hernández, H.; Díaz-Viera, M.; Alberdi, E.; Oyarbide-Zubillaga, A.; Goti, A. Metallurgical Copper Recovery Prediction Using Conditional Quantile Regression Based on a Copula Model. Minerals 2024, 14, 691. [Google Scholar] [CrossRef]
- Hosseini, S.; Asghari, O. Simulation of geometallurgical variables through stepwise conditional transformation in Sungun copper deposit, Iran. Arab. J. Geosci. 2015, 8, 3821–3831. [Google Scholar] [CrossRef]
- Hunt, J.; Berry, R. Economic geology models 3. Geological contributions to geometallurgy: A review. Geosci. Can. 2017, 44, 103–118. [Google Scholar] [CrossRef]
- Van Tonder, E.; Deglon, D.; Napier-Munn, T. The effect of ore blends on the mineral processing of platinum ores. Miner. Eng. 2010, 23, 621–626. [Google Scholar] [CrossRef]
- Bhuiyan, M.; Esmaieli, K.; Ordóñez-Calderón, J. Application of data analytics techniques to establish geometallurgical relationships to bond work index at the Paracutu Mine, Minas Gerais, Brazil. Minerals 2019, 9, 302. [Google Scholar] [CrossRef]
- Dachri, K.; Bouabidi, M.; Naji, K.; Nouar, K.; Benzakour, I.; Oummouch, A.; Hibti, M.; El Amari, K. Predictive insights for copper recovery: A synergistic approach integrating variability data and machine learning in the geometallurgical study of the Tizert deposit, Morocco. J. Afr. Earth Sci. 2024, 212, 105208. [Google Scholar] [CrossRef]
- Fouedjio, F.; Hill, E.; Laukamp, C. Geostatistical clustering as an aid for ore body domaining: Case study at the Rocklea Dome channel iron ore deposit, Western Australia. Appl. Earth Sci. Trans. Inst. Min. Metall. 2018, 127, 15–29. [Google Scholar] [CrossRef]
- Tiu, G.; Ghorbani, Y.; Jansson, N.; Wanhainen, C.; Bolin, N. Quantifying the variability of a complex ore using geometallurgical domains. Miner. Eng. 2023, 203, 108323. [Google Scholar] [CrossRef]
- Bruckard, W.; Sparrow, G.; Woodcock, J. A review of the effects of the grinding environment on the flotation of copper sulphides. Int. J. Miner. Process. 2011, 100, 1–13. [Google Scholar] [CrossRef]
- Lee, K.; Archibald, D.; McLean, J.; Reuter, M. Flotation of mixed copper oxide and sulphide minerals with xanthate and hydroxamate collectors. Miner. Eng. 2009, 22, 395–401. [Google Scholar] [CrossRef]
- Hoffimann, J.; Augusto, J.; Resende, L.; Mathias, M.; Mazzinghy, D.; Bianchetti, M.; Mendes, M.; Souza, T.; Andrade, V.; Domingues, T.; et al. Modeling Geospatial Uncertainty of Geometallurgical Variables with Bayesian Models and Hilbert–Kriging. Math. Geosci. 2022, 54, 1227–1253. [Google Scholar] [CrossRef]
- Carrasco, P.; Chilès, J.; Séguret, S.A. Additivity, Metallurgical Recovery, and Grade. In Proceedings of the 8th International Geostatistics Congress, Santiago, Chile, 1–5 December 2008; p. 1188. [Google Scholar]
- Lishchuk, V.; Koch, P.; Ghorbani, Y.; Butcher, A. Towards integrated geometallurgical approach: Critical review of current practices and future trends. Miner. Eng. 2020, 145, 106072. [Google Scholar] [CrossRef]
- McCoy, J.; Auret, L. Machine learning applications in minerals processing: A review. Miner. Eng. 2019, 132, 95–109. [Google Scholar] [CrossRef]
- Sepulveda, E.; Dowd, P.; Xu, C.; Addo, E. Multivariate Modelling of Geometallurgical Variables by Projection Pursuit. Math. Geosci. 2017, 49, 121–143. [Google Scholar] [CrossRef]
- Ortiz, J.; Kracht, W.; Townley, B.; Lois, P.; Cardenas, E.; Miranda, R.; Alvarez, M. Workflows in geometallurgical prediction: Challenges and outlook. In Proceedings of the IAMG 2015–17th Annual Conference of the International Association for Mathematical Geosciences, Freiberg, Germany, 5–13 September 2015; pp. 228–234. [Google Scholar]
- Rajabinasab, B.; Asghari, O. Geometallurgical Domaining by Cluster Analysis: Iron Ore Deposit Case Study. Nat. Resour. Res. 2019, 28, 665–684. [Google Scholar] [CrossRef]
- Sepúlveda, E.; Dowd, P.; Xu, C. Fuzzy Clustering with Spatial Correction and Its Application to Geometallurgical Domaining. Math. Geosci. 2018, 50, 895–928. [Google Scholar] [CrossRef]
- Madenova, Y.; Madani, N. Application of Gaussian Mixture Model and Geostatistical Co-simulation for Resource Modeling of Geometallurgical Variables. Nat. Resour. Res. 2021, 30, 1199–1228. [Google Scholar] [CrossRef]
- Both, C.; Dimitrakopoulos, R. Applied machine learning for geometallurgical throughput prediction—A case study using production data at the tropicana gold mining complex. Minerals 2021, 11, 1257. [Google Scholar] [CrossRef]
- Durante, F.; Puccetti, G.; Scherer, M.; Vanduffel, S. My introduction to copulas. Depend. Model. 2017, 5, 88–98. [Google Scholar] [CrossRef]
- Genest, C.; Rivest, L. Statistical inference procedures for bivariate Archimedean copulas. J. Am. Stat. Assoc. 1993, 88, 1034–1043. [Google Scholar] [CrossRef]
- Joe, H. Dependence Modeling with Copulas; CRC Press: Vancouver, BC, Canada, 2014. [Google Scholar] [CrossRef]
- Trivedi, P.; Zimmer, D. Copula modeling: An introduction for practitioners. Found. Trends Econom. 2005, 1, 1–111. [Google Scholar] [CrossRef]
- Frenzel, M.; Baumgartner, R.; Tolosana-Delgado, R.; Gutzmer, J. Geometallurgy: Present and Future. Elements 2023, 19, 345–351. [Google Scholar] [CrossRef]
- Suazo, C.; Kracht, W.; Alruiz, O. Geometallurgical modelling of the Collahuasi flotation circuit. Miner. Eng. 2010, 23, 137–142. [Google Scholar] [CrossRef]
- Adugna, T.D.; Ramu, A.; Haldorai, A. A Review of Pattern Recognition and Machine Learning. J. Mach. Comput. 2024, 4, 210–220. [Google Scholar] [CrossRef]
- Heaton, J.; Goodfellow, I.; Bengio, Y.; Courville, A. Deep learning. Genet. Program. Evolvable Mach. 2018, 19, 305–307. [Google Scholar] [CrossRef]
- Lai, C.; Balakrishna, N. Continuous Bivariate Distributions; Springer: New York, NY, USA, 2009. [Google Scholar] [CrossRef]
- Jaworski, P.; Fabrizio, D.; Wolfgang, R.; HärdleTomasz, K. Copula Theory and Its Applications. In Copula Theory and Its Applications; Bickel, P., Diggle, P., Fienberg, S., Gather, U., Olkin, I., Zeger, S., Eds.; Springer: Berlin, Germany, 2010; p. 198. [Google Scholar] [CrossRef]
- Nelsen, R. Properties and applications of copulas: A brief survey. In Proceedings of the Proceedings of the first Brazilian conference on statistical modeling in insurance and finance, Sao Paulo, Brazil, 1–6 September 2003; pp. 10–28. [Google Scholar]
- Sklar, M. Fonctions de répartition à n dimensions et leurs marges. Ann. De L’ISUP 1959, 8, 229–231. [Google Scholar]
- Nelsen, R. An Introduction to Copulas, 2nd ed.; Springer: New York, NY, USA, 2006. [Google Scholar] [CrossRef]
- Baudin, M.; Dutfoy, A.; Iooss, B.; Popelin, A. OpenTURNS: An Industrial Software for Uncertainty Quantification in Simulation. In Handbook of Uncertainty Quantification; Ghanem, R., Higdon, D., Owhadi, H., Eds.; Springer: Cham, Switzerland, 2015; pp. 1–38. [Google Scholar] [CrossRef]
- Song, Y.Y.; Lu, Y. Decision tree methods: Applications for classification and prediction. Shanghai Arch. Psychiatry 2015, 27, 130. [Google Scholar] [CrossRef] [PubMed]
- Zhang, F.; O’Donnell, L.J. Chapter 7—Support vector regression. In Machine Learning; Mechelli, A., Vieira, S., Eds.; Academic Press: Cambridge, MA, USA, 2020; pp. 123–140. [Google Scholar] [CrossRef]
- Du, K.L.; Leung, C.S.; Mow, W.H.; Swamy, M.N.S. Perceptron: Learning, Generalization, Model Selection, Fault Tolerance, and Role in the Deep Learning Era. Mathematics 2022, 10, 4730. [Google Scholar] [CrossRef]
- Schonlau, M.; Zou, R.Y. The random forest algorithm for statistical learning. Stata J. 2020, 20, 3–29. [Google Scholar] [CrossRef]
- Pedregosa, F.; Varoquaux, G.; Gramfort, A.; Michel, V.; Thirion, B.; Grisel, O.; Blondel, M.; Prettenhofer, P.; Weiss, R.; Dubourg, V.; et al. Scikit-learn: Machine Learning in Python. J. Mach. Learn. Res. 2011, 12, 2825–2830. [Google Scholar]
- Käyhkö, T.; Sinche-Gonzalez, M.; Khizanishvili, S.; Liipo, J. Validation of predictive flotation models in blended ores for concentrator process design. Miner. Eng. 2022, 185, 107685. [Google Scholar] [CrossRef]













| Statistics | 5% CR Sample | 100% CR Sample | 5% CR Simulated |
|---|---|---|---|
| Count | 229 | 4.597 | 229 |
| Mean | 88.31 | 88.08 | 88.25 |
| Std | 4.87 | 5.30 | 4.61 |
| Min | 66.90 | 60.34 | 67.23 |
| Q1 | 89.13 | 88.91 | 88.31 |
| Q2 | 89.89 | 89.87 | 89.89 |
| Q3 | 90.62 | 90.35 | 90.49 |
| Max | 93.98 | 94.15 | 94.32 |
| Kurt | 6.26 | 6.26 | 8.89 |
| Skew | −2.59 | −2.59 | −2.46 |
| ML | Hyperparameters | Value |
|---|---|---|
| DT | max depth | 7 |
| ET | max depth | 7 |
| SVRL | max iter | 1000 |
| tol | 0.001 | |
| SVRE | kernel | rbf |
| gamma | scale | |
| tol | 0.001 | |
| C | 80 | |
| DTMLP | hidden layer | 2 |
| n neurons | (200, 100) | |
| max iter | 5000 | |
| solver | adam | |
| learning rate | 0.001 | |
| alpha | 0.0001 | |
| batch size | auto | |
| activation | relu | |
| RF | n estimators | 1000 |
| max depth | 7 | |
| bootstrap | True |
| CBQR | DT | ET | SVRL | SVRE | MLP | RF | |
|---|---|---|---|---|---|---|---|
| Train. score (%) | 1.00 | 1.00 | 0.98 | 0.64 | 0.89 | 0.95 | 0.98 |
| Train. Time (s) | 0.002 | 0.005 | 0.002 | 0.006 | 0.008 | 3.634 | 0.740 |
| R2 | 0.89 | 0.93 | 0.79 | 0.68 | 0.87 | 0.88 | 0.93 |
| MaxRE | 0.11 | 3.85 | 9.13 | 11.35 | 7.22 | 7.12 | 3.95 |
| MAE | 0.78 | 0.72 | 1.12 | 1.30 | 0.83 | 0.82 | 0.75 |
| MSE | 2.05 | 1.29 | 4.18 | 6.33 | 2.57 | 2.24 | 1.43 |
| MedAE | 0.38 | 0.38 | 0.36 | 0.50 | 0.30 | 0.34 | 0.40 |
| MAPE | 0.01 | 0.01 | 0.01 | 0.02 | 0.01 | 0.01 | 0.01 |
| CBQR | DT | ET | SVRL | SVRE | MLP | RF | |
|---|---|---|---|---|---|---|---|
| R2 | 0.77 | 0.62 | 0.54 | 0.49 | 0.71 | 0.71 | 0.67 |
| MaxRE | 22.66 | 26.39 | 25.13 | 65.18 | 24.35 | 23.51 | 25.42 |
| MAE | 1.11 | 1.45 | 1.97 | 1.68 | 1.20 | 1.24 | 1.33 |
| MSE | 6.61 | 10.67 | 13.15 | 14.52 | 8.16 | 8.17 | 9.19 |
| MedAE | 0.23 | 0.38 | 0.94 | 0.50 | 0.25 | 0.32 | 0.39 |
| MAPE | 0.014 | 0.019 | 0.024 | 0.021 | 0.015 | 0.015 | 0.017 |
Disclaimer/Publisher’s Note: The statements, opinions and data contained in all publications are solely those of the individual author(s) and contributor(s) and not of MDPI and/or the editor(s). MDPI and/or the editor(s) disclaim responsibility for any injury to people or property resulting from any ideas, methods, instructions or products referred to in the content. |
© 2025 by the authors. Licensee MDPI, Basel, Switzerland. This article is an open access article distributed under the terms and conditions of the Creative Commons Attribution (CC BY) license (https://creativecommons.org/licenses/by/4.0/).
Share and Cite
Hernández, H.; Díaz-Viera, M.A.; Alberdi, E.; Goti, A. Comparison of Trivariate Copula-Based Conditional Quantile Regression Versus Machine Learning Methods for Estimating Copper Recovery. Mathematics 2025, 13, 576. https://doi.org/10.3390/math13040576
Hernández H, Díaz-Viera MA, Alberdi E, Goti A. Comparison of Trivariate Copula-Based Conditional Quantile Regression Versus Machine Learning Methods for Estimating Copper Recovery. Mathematics. 2025; 13(4):576. https://doi.org/10.3390/math13040576
Chicago/Turabian StyleHernández, Heber, Martín Alberto Díaz-Viera, Elisabete Alberdi, and Aitor Goti. 2025. "Comparison of Trivariate Copula-Based Conditional Quantile Regression Versus Machine Learning Methods for Estimating Copper Recovery" Mathematics 13, no. 4: 576. https://doi.org/10.3390/math13040576
APA StyleHernández, H., Díaz-Viera, M. A., Alberdi, E., & Goti, A. (2025). Comparison of Trivariate Copula-Based Conditional Quantile Regression Versus Machine Learning Methods for Estimating Copper Recovery. Mathematics, 13(4), 576. https://doi.org/10.3390/math13040576

