Abstract
This paper tackles the green permutation flow shop scheduling problem (GPFSP) with the goal of minimizing both the maximum completion time and energy consumption. It introduces a novel hybrid approach that combines end-to-end deep reinforcement learning with an improved genetic algorithm. Firstly, the PFSP is modeled using an end-to-end deep reinforcement learning (DRL) approach, named PFSP_NET, which is designed based on the characteristics of the PFSP, with the actor–critic algorithm employed to train the model. Once trained, this model can quickly and directly produce relatively high-quality solutions. Secondly, to further enhance the quality of the solutions, the outputs from PFSP_NET are used as the initial population for the improved genetic algorithm (IGA). Building upon the traditional genetic algorithm, the IGA utilizes three crossover operators, four mutation operators, and incorporates hamming distance, effectively preventing the algorithm from prematurely converging to local optimal solutions. Then, to optimize energy consumption, an energy-saving strategy is proposed that reasonably adjusts the job scheduling order by shifting jobs backward without increasing the maximum completion time. Finally, extensive experimental validation is conducted on the 120 test instances of the Taillard standard dataset. By comparing the proposed method with algorithms such as the standard genetic algorithm (SGA), elite genetic algorithm (EGA), hybrid genetic algorithm (HGA), discrete self-organizing migrating algorithm (DSOMA), discrete water wave optimization algorithm (DWWO), and hybrid monkey search algorithm (HMSA), the results demonstrate the effectiveness of the proposed method. Optimal solutions are achieved in 28 test instances, and the latest solutions are updated in instances Ta005 and Ta068 with values of 1235 and 5101, respectively. Additionally, experiments on 30 instances, including Taillard 20-10, Taillard 50-10, and Taillard 100-10, indicate that the proposed energy strategy can effectively reduce energy consumption.
MSC:
90B35
1. Introduction
In modern manufacturing systems, multi-objective optimization has become one of the core topics in both research and application [1]. As a crucial element of manufacturing systems, the flow shop is extensively employed in industries such as semiconductor, automotive, steel, and others. An efficient scheduling strategy can significantly boost production efficiency while also lowering operational costs for the company. The permutation flow shop scheduling problem (PFSP) is a typical combinatorial optimization problem (COP). In this problem, a set of jobs requires processing on a group of machines, and each workpiece must pass through the group of machines sequentially to complete the predetermined processes. The primary objective of the PFSP is usually to minimize the system’s makespan (the maximum completion time) or to optimize other performance metrics related to production efficiency and resource utilization, such as total tardiness, energy consumption, and so on. Due to the high complexity of the PFSP, it is categorized as an NP-hard problem, and the complexity of solving the problem grows exponentially with the increase in the number of workpieces and machines. Consequently, finding a near-optimal solution within a reasonable computational time has become a significant challenge in practical applications.
With the rapid development of Industry 4.0 and smart manufacturing, traditional scheduling methods are increasingly inadequate to meet the demands for high efficiency, low energy consumption, and flexible scheduling in modern manufacturing environments. In particular, in the field of green manufacturing, in addition to traditional makespan optimization, effectively reducing energy consumption and carbon emissions during the production process has become a critical issue. As a result, in recent years, researchers have sought to integrate energy optimization with production scheduling, leading to the formulation of the green permutation flow shop scheduling problem (GPFSP), which not only aims to minimize the makespan but also takes into account the reduction of energy consumption by machines during production.
Over the years, common methods for solving the PFSP and GPFSP have been mainly divided into two types, namely exact algorithms and approximate algorithms. Exact algorithms provide global best solutions for small-scale problems, but as the problem size increases, the computational time and resource consumption grow exponentially, making them difficult to apply to large-scale problems. Approximation algorithms, such as heuristic and metaheuristic algorithms, although they cannot guarantee global optimal solutions, are able to find near-optimal solutions within a reasonable time due to their lower computational complexity, making them more suitable for solving large-scale problems.
In recent years, with the rapid development of artificial intelligence and machine learning technologies, particularly the rise of reinforcement learning (RL), researchers have begun exploring the use of reinforcement learning combined with metaheuristic algorithms to solve shop scheduling problems. Reinforcement learning, through the interaction between the agent and the environment, learns and optimizes decision-making strategies, gradually improving the scheduling process to tackle complex scheduling problems. Among the many metaheuristic algorithms, the GA has been widely applied to scheduling problems due to its global search ability and powerful optimization performance. However, the GA is sensitive to the selection of the initial population, and the quality of this population directly affects the quality of the final solution. Furthermore, when handling large-scale problems, the GA is prone to getting stuck in local optima and fails to explore better solution spaces effectively.
To overcome these shortcomings, this paper proposes a new approach that combines deep reinforcement learning (DRL) with an improved genetic algorithm (IGA) to solve the GPFSP, based on the characteristics of the GPFSP. The main advancements presented in this paper are outlined as follows:
To begin with, based on the characteristics of the PFSP, an end-to-end DRL framework is employed to model it, with the model named PFSP_NET.
Secondly, this paper uses the actor–critic algorithm to train the PFSP_NET model. The actor network generates scheduling strategies, while the critic network evaluates and provides feedback to optimize the actor. This training mechanism enables PFSP_NET to quickly generate high-quality initial scheduling solutions for PFSP instances of varying scales and complexities, supporting subsequent optimization.
Next, to improve the solutions from PFSP_NET, this paper uses them as the initial population for the IGA. The IGA extends traditional genetic algorithms by adding three crossover operators (C1, OX, PBX) and four mutation operators (swapping, inverse, inserting, and insert inverted block). Hamming distance is also used to prevent premature convergence to local optima. This combination of operators enhances genetic diversity and improves the algorithm’s ability to explore a broad solution space.
Furthermore, to optimize the critical objective of energy consumption, this paper proposes a job postponement energy-saving strategy. This strategy reduces energy consumption of machines during idle states by reasonably adjusting the scheduling order of jobs without increasing the maximum makespan.
Finally, extensive experiments on 120 Taillard benchmark instances show that PFSP_NET_IGA outperforms traditional genetic algorithms (SGA, EGA, HGA) and metaheuristic algorithms (DSOMA, DWWO, HMSA). PFSP_NET_IGA achieved optimal solutions in 28 instances and new optimal solutions in Ta005 and Ta068 (1235 and 5101, respectively). Comparisons with PFSP_NET_IGA without the energy-saving strategy highlight the effectiveness of the job postponement strategy in reducing machine energy consumption. In tests with 30 instances from Taillard datasets, PFSP_NET_IGA with the energy-saving strategy significantly reduced energy use while maintaining efficiency, showing its potential for green manufacturing.
The organization of the rest of this paper is arranged as follows: Section 2 examines the common approaches for solving the PFSP, the application of green scheduling, and the research progress of reinforcement learning in shop floor scheduling. Section 3 comprehensively constructs and thoroughly analyzes the mathematical model of the PFSP studied in this paper, clarifying its key elements, constraints, and optimization objectives. Section 4 provides a detailed explanation of the design philosophy and implementation details of the proposed GPFSP_NET_IGA. Section 5 demonstrates the efficiency and superiority of the suggested approach with extensive numerical experiments. Section 6 concludes the paper by summarizing the key contributions and results achieved. Section 7 presents an outlook on future work, proposing directions for further optimization and expansion.
2. Literature Review
2.1. Traditional Methods for Solving the PFSP
Typically, methods for solving the PFSP are primarily divided into exact algorithms and approximate algorithms. Exact methods are designed to find the optimal solution to the problem with maximum precision and accuracy. These methods typically include techniques such as branch-and-bound [2], dynamic programming [3], and mixed integer programming [4], among others. For example, Nagano et al. [5] designed an improved branch-and-bound method to address the PFSP considering process blocking and setup times, with the goal of minimizing the total flow time and tardiness. Gmys et al. [6] introduced an efficient branch-and-bound algorithm to tackle the PFSP, aiming to minimize the makespan. Ozolins et al. [7] developed an exact method based on bounded dynamic programming to solve the blocking PFSP with the objective of minimizing the makespan. However, exact methods require extensive computation time, making them suitable only for small-scale PFSPs. Additionally, they are unable to ensure solution quality for large-scale problems.
Approximated methods can be further divided into heuristic approaches and metaheuristic approaches. The prominent heuristics include the Campbell Dudek Smith algorithm (CDS) [8], the Gupta algorithm [9], and the Nawaz Enscore Ham algorithm (NEH) [10], with NEH being widely regarded as the most well-known, efficient, and frequently utilized [11,12,13,14]. As for metaheuristic methods, Reeves et al. [15] introduced a genetic algorithm (GA) to address the PFSP, with the goal of reducing the maximum completion time required for all tasks. De Fátima Morais et al. [16] put forward three methods based on discrete differential evolution algorithms (DEAs) for solving the PFSP, aiming to minimize the maximum completion time. Abdel-Basset et al. [17] improved the GA by combining the strategies of arithmetic crossover and uniform crossover. They also reinitialized randomly selected individuals in the population, aiming to solve the PFSP problem with the objective of minimizing the maximum completion time. Arık et al. [18] integrated the iterative greedy algorithm into the artificial bee colony (ABC) algorithm to solve the PFSP. Zhang et al. [19] suggested a cooperative game model integrated with a hybrid particle swarm optimization algorithm (HPSOA) to address the PFSP with multiple customer tasks. Bellabai et al. [20] presented a bat algorithm (BA) to solve the PFSP, minimizing the maximum completion time. Kurdi et al. [21] proposed a novel hybrid algorithm that integrates ant colony optimization (ACO) and the NEH heuristic algorithm for solving the PFSP. Xin et al. [22] presented an enhanced discrete whale optimization algorithm (WOA) derived from differential evolution. The algorithm incorporates enhanced search and job exchange mutation strategies to address the PFSP, considering transportation time variations. Chen et al. [23] designed a hybrid grey wolf optimizer algorithm (HGWOA) that integrates the NEH, a levy flights strategy, and a critical block exchange strategy based on the critical path, aiming to solve the PFSP. It is evident that in recent years, numerous scholars have been dedicated to exploring and attempting strategies that combine heuristic and metaheuristic algorithms, aiming to achieve more significant results and breakthroughs in solving the PFSP. This integration not only boosts the search efficiency of algorithms but also increases the effectiveness and flexibility in addressing problems.
2.2. Green Scheduling Approaches for Flow Shop Problems
Currently, most research in the field of green scheduling for flow shop problems focuses on the distributed PFSP (DPFSP) and the hybrid flow shop scheduling problem (HFSP), particularly in optimizing energy consumption and carbon emissions. However, research on green scheduling for the PFSP is relatively limited. Schulz et al. [24] proposed the adaptive bisection ϵ-constraint method and a novel multi-objective iterated greedy algorithm to solve the DPFSP, with the goal of minimizing the makespan and carbon emissions during both production and transportation. Lu et al. [25] proposed a pareto-based collaborative multi-objective optimization algorithm to solve the DPFSP with limited buffers (DPFSP-LB), aiming to minimize both the makespan and total energy consumption. Gu et al. [26] proposed a hybrid cuckoo search algorithm (HCSA) that combines the maximum-order-value method and adaptive step size factor to solve the GPFSP, with the optimization objectives of minimizing the makespan and carbon emissions. This approach enhances the exploration ability of the solution space by incorporating the maximum-order-value method and introduces the adaptive step size factor to effectively control the search scope and accuracy. Wang et al. [27], taking into account the complexity of the DPFSP and multi-objective optimization, proposed a knowledge-based collaborative algorithm (KCA) with the goal of minimizing the makespan and total energy consumption. Fernandez-Viagas et al. [28] proposed a critical-path-based iterated local search algorithm to solve the GPFSP. Li et al. [29] developed a discrete artificial bee colony (DABC) framework, which utilizes similarity and non-dominated solution ranking, to tackle the hybrid flow shop scheduling problem (HFSP) with fuzzy processing times. The algorithm aims to minimize both the makespan and total energy consumption. Zhao et al. [30] designed a multi-objective discrete differential evolution algorithm (MODEA) to address the distributed blocking flow shop scheduling problem (DBFSP), aiming to minimize the makespan and total energy consumption. Kong et al. [31] proposed an improved GA to solve the HFSP with the objective of minimizing the makespan and energy consumption. The method accelerates the convergence of the algorithm by introducing the matching distance between parallel machines and the weighted optimization objectives. Zhou et al. [32] introduced a multi-objective differential evolution approach to solve the HFSP with fuzzy processing times, with the objective of minimizing total weighted delivery penalty and total energy consumption simultaneously. The method generates the initial population based on the NEH algorithm and significantly improves global search capability by incorporating opposition-based learning and chaotic search strategies. Xu et al. [33] presented an enhanced moth–flame optimization method to tackle the green reentrant hybrid flow shop scheduling problem (GRHFSP), aiming to minimize the makespan and reduce the comprehensive impact of resources and the environment. The algorithm incorporates a lifecycle assessment approach, designs specific coding schemes and population initialization strategies, and introduces two update strategies and a population evolution strategy to enhance the search efficiency and solution quality.
2.3. RL for Production Scheduling
RL, as an emerging approach for solving combinatorial optimization problems, has been widely applied to fields such as the traveling salesman problems (TSPs) [34,35,36,37,38,39], vehicle routing problems (VRPs) [40,41,42,43,44,45], and workshop scheduling problems due to its great potential in addressing complex issues. The RL agent learns through interaction with the environment, continuously optimizing decision-making strategies via a reward mechanism. It is particularly suitable for problems with large decision spaces that are difficult to model precisely using traditional methods. In the field of workshop scheduling, RL applications can mainly be divided into two categories: methods entirely based on reinforcement learning and hybrid methods that combine reinforcement learning with metaheuristic approaches.
For methods based entirely on reinforcement learning, Pan et al. [46] developed a knowledge-guided end-to-end optimization framework based on RL to address the PFSP, with the objective of minimizing the makespan. Dong et al. [47] proposed an innovative approach by combining DRL with an iterative greedy algorithm. The method aims to predict sequencing information for the PFSP and minimize late work. Wang et al. [48] established a Markov Decision Process (MDP) framework for the non-permutation flow shop scheduling problem (non-PFSP). They combined Long Short-Term Memory (LSTM) networks with reinforcement learning (RL) to develop a scheduling strategy targeting the minimization of the makespan. Liu et al. [36] developed a parallel training framework integrating asynchronous updates with the deep deterministic policy gradient (DDPG). This approach addresses the job shop scheduling problem (JSSP), targeting makespan minimization. Zhang et al. [49] developed a novel framework using DRL with multi-agent graphs to address the flexible job shop scheduling problem (FJSP), targeting the minimization of the makespan. Jing et al. [50] introduced a centralized-learning decentralized-execution (CLDE) multi-agent reinforcement learning framework, which utilizes graph convolutional networks (GCNs) to tackle the FJSP. Lei et al. [51] introduced an integrated DRL framework that utilizes multi-pointer graph networks. This method autonomously discovers a strategy for solving the FJSP, aiming to reduce the makespan. Wang et al. [52] designed a novel dynamic multi-objective method for the FJSP. This method combines two deep Q-learning networks with a real-time processing framework.
For hybrid methods that combine reinforcement learning with metaheuristic techniques, Chen et al. [53] developed a self-learning GA that merges the GA with RL to tackle the FJSP, focusing on minimizing the makespan. Li et al. [54] introduced a hybrid approach that integrates the ABC with the Q-learning algorithm, aiming to minimize the makespan of the PFSP. Pan et al. [55] developed an optimization method that combines the NEH algorithm with DRL to tackle the PFSP, aiming to reduce the makespan. Li et al. [56] designed an approach that employs a deep learning strategy based on residual networks to optimize the parameters of the simulated annealing algorithm (SAA), thereby significantly improving the algorithm’s performance and making it more efficient in solving the PFSP. Guo et al. [57] put forward a reinforcement learning (RL) approach that integrates the NEH into the Q-learning algorithm to solve the PFSP with the makespan criterion. Zhao et al. [58] presented a cooperative metaheuristic algorithm based on Q-learning to solve the distributed no-wait flow shop problem (DNFSP), aiming to minimize the maximum completion time and total energy consumption. Bao et al. [59] introduced a cooperative iterative greedy algorithm (IGA) based on Q-learning to solve the distributed blocking flow shop scheduling problem (DBFSP), aiming to minimize the makespan and total energy consumption. Yu et al. [60] incorporated Q-learning into the ABC, GA, PSOA, IGA, and Jaya algorithm to solve the distributed assembly PFSP (DAPFSP). The optimization objectives were to minimize the maximum completion time, the average of earliness and tardiness, and the total carbon emissions. The results showed that the Jaya algorithm enhanced with Q-learning delivers the best performance. Li et al. [59] introduced a method that combines Q-learning with the ABC algorithm to address the flexible job shop scheduling problem (FJSP) with the objective of minimizing the maximum completion time. Li et al. [61] developed a hybrid algorithm that combines Q-learning and the multi-objective evolutionary algorithm based on decomposition (MOEA/D) to address the scheduling problem in FJSP with uncertain processing times. The algorithm aims to minimize the makespan and the total workload of the machines. Gu et al. [62] proposed a method that combines the Deep Q-Network (DQN) with the salp swarm algorithm (SSA) for solving the dynamic job shop scheduling problem (DJSP). Zhang et al. [63] presented a cooperative strategy based on Q-learning to enhance the ABC algorithm’s exploration and exploitation capabilities for solving the distributed flexible job shop scheduling problem (DFJSP). The strategy focuses on reducing the makespan and balancing factory workload, establishing effective cooperative relationships within the population and among non-dominant individuals. Tang et al. [64] proposed a hybrid optimization algorithm that combines DQN with the non-dominated sorting genetic algorithm-III (NSGA-III) for the dynamic scheduling problem of flexible job shops (DFJSP) with transportation resource constraints.
From the aforementioned literature, it is evident that in solving workshop scheduling problems, whether using purely RL methods or hybrid approaches that combine RL with metaheuristic algorithms, most studies have focused primarily on JSSP, with relatively few addressing the PFSP. Additionally, the majority of existing research tends to focus on single-objective optimization, particularly minimizing the makespan, while multi-objective optimization is less commonly explored. Regarding the integration of RL with metaheuristic methods, the literature shows that these hybrid algorithms often rely on GA operators to enhance performance, highlighting the key role that the GA plays in these approaches.
In this paper, a hybrid algorithm combining DRL with an IGA is presented to handle the PFSP, with the objective of minimizing the makespan and energy consumption. Table 1 provides a brief summary of the literature related to shop scheduling.
Table 1.
A brief summary of the literature related to shop scheduling.
3. Problem Formulation
3.1. Problem Description
The GPFSP addressed in this paper is formally defined as follows. A production system handles non-preemptive independent jobs through sequential processing on distinct machines . Job contains operations in a fixed sequence, and each operation must be processed on a different machine. represents the operation of job on machine , requiring a known non-negative processing time . All jobs follow an identical machine, being sequentially routed from to (i.e., starting at machine , transitioning to , and terminating at ). The GPFSP optimization objectives involve identifying an optimal job permutation to achieve dual optimization of makespan minimization (total completion time) and machine energy reduction. Figure 1 illustrates the manufacturing workflow schematic.
Figure 1.
The processing process diagram of GPFSP.
In general, several assumptions are made for the GPFSP to facilitate research, as follows:
- All jobs are non-interruptible and immediately available for processing with no setup delays;
- Each machine exclusively processes one job at any given time;
- Jobs must follow identical processing sequences across all machines;
- Machine-job processing units are non-preemptive and failure-free;
- Only after the former operation of jobs has been completed on the machine can the next operation start processing;
- Transportation and setup times are inherently incorporated into processing durations.
Taking GPFSP with 10 jobs and five machines as an example, the Gantt chart in Figure 2 presents one of the scheduling solutions, with the job sequence being [3, 2, 10, 7, 1, 4, 8, 9, 6, 5].
Figure 2.
Gantt chart of the instance for GPFSP.
3.2. Mathematical Model
The mathematical modeling of the GPFSP employs the symbolic notations systematically compiled in Table 2.
Table 2.
Notation descriptions.
The total energy consumption of the machines consists of processing energy consumption and idle energy consumption, defined as follows:
The processing energy consumption is defined as follows:
The idle energy consumption is defined as follows:
The mathematical model of the PFSP as follows:
where Equations (5) and (6), respectively, represent the optimization objectives of this paper, namely minimizing the makespan and the total energy consumption of the machines. Equation (7) represents the makespan constraint. Equation (8) ensures that a machine can process a job only after it has been processed on the previous machine. Equation (9) ensures that a feasible sequence is established for all jobs across all machines. Equation (10) indicates that the variable determines the processing sequence of the jobs on a machine. Equation (11) states that the start processing time of a job is non-negative.
4. The Proposed Method
This section provides a detailed description of the specific process of the hybrid algorithm proposed in this paper, as shown in Figure 3. First, an end-to-end reinforcement learning method is used to model the PFSP (referred to as PFSP_NET), and the actor–critic algorithm is employed to train the model. After training, PFSP_NET can rapidly generate high-quality scheduling solutions, regardless of the problem size. These solutions will serve as the initial population for the IGA, which not only significantly accelerates the convergence speed of the algorithm but also enhances the diversity of the population, providing a higher-quality starting point for subsequent optimization.
Figure 3.
The process of the proposed method.
In the following optimization process, the algorithm performs selection, crossover, and mutation operations sequentially, as in a traditional GA. Additionally, an improved population evolution mechanism is introduced to ensure continuous improvement in solution quality. The primary goal of the algorithm is to minimize the makespan, gradually converging to an optimal scheduling solution through iterative optimization.
Finally, to reduce the energy consumption of the scheduling solutions, a dedicated energy-saving strategy is designed to optimize and adjust the existing solutions. This strategy ensures that scheduling performance remains unaffected while producing an optimal solution that balances both energy efficiency and performance. In this paper, we name the hybrid algorithm that integrates the DRL method with the improved GA as GPFSP_NET_IGA.
4.1. Initialize Population
This section proposes an end-to-end reinforcement learning method for generating the initial population of the IGA. The method first models the PFSP and then uses the actor–critic algorithm to train the model. Once trained, the model can quickly generate PFSP solutions suitable for different problem sizes. These solutions serve as the initial population for the IGA, effectively improving the convergence speed and solution quality of the IGA while avoiding the instability caused by random initialization. The following section explains how to apply reinforcement learning techniques to model the PFSP and provides a detailed description of the specific steps involved in training the model.
4.1.1. The PFSP_NET Model
In this part, the PFSP is modeled using an improved Pointer Network (PN) [43], and the model is named PFSP_NET. The goal of this section is to find an optimal scheduling sequence that minimizes the makespan in the PFSP. Since the PN is a sequence-to-sequence end-to-end reinforcement learning method, it is both reasonable and advantageous to model the PFSP using PN. First, the input and output structure of the PFSP_NET model is described. The input of the network model consists of the processing times of each job on all machines, represented as a sequence of fixed-dimensional vectors , where . In this sequence, represents the processing time of job on machine . The output of the model is a permutation of the jobs . To precisely map the input to the output , the chain rule of probability is applied, as shown in Equation (12).
First, a job is randomly selected as . In each decoding step , 2, 3, …, the next job is selected from the current set of available jobs . Each time a job is visited, the available job set is dynamically updated. Specifically, Equation (12) computes and provides the probability of selecting the next job based on the information of the visited jobs , guiding the decoding process step by step toward the optimal solution.
Then, the improved PN is used to model Equation (12). The basic structure of this network consists of an encoder, a decoder, and an attention mechanism, aiming to map one sequence to another. The encoder is responsible for extracting features and encoding information from the input sequence, transforming it into hidden state vectors. The decoder, based on the output of the encoder, gradually generates the target sequence and uses the attention mechanism to dynamically focus on key parts of the input sequence, thereby improving the model’s efficiency and accuracy in complex sequence mapping tasks. Typically, the encoder–decoder architectures employ recurrent neural networks (RNNs) and their variants—such as long short-term memory networks (LSTMs) and gated recurrent units (GRUs)—which leverage gated memory mechanisms to effectively capture temporal dependencies inherent in sequential data. The goal of this paper is to determine a job scheduling sequence that simultaneously minimizes the makespan and the total machine energy consumption. Therefore, applying the PN to model the PFSP is particularly appropriate. The structure of the PFSP_NET model is illustrated in Figure 4, and a detailed explanation of each part of the model is provided below.
Figure 4.
The structure of the PFSP_NET model. The red arrow shows that Job 2 has been chosen for the current time step.
- Encoder
The encoder serves to identify the input sequence and compress the job features into a constant-dimensional vector. In conventional PN architectures, RNNs are typically employed as encoder modules to encode input features and aggregate their sequential dependencies through inherent cyclic connectivity. This is especially important in tasks like machine translation, where the word order in a sentence has a significant impact on the translation result in the job scheduling problem studied in this paper; the input jobs are independent entities with no temporal dependencies between them. Consequently, this paper adopts a simpler and more efficient embedding layer in place of an RNN to encode the input data into vectors, which not only simplifies the model structure but also reduces computational resource requirements. Specifically, a one-dimensional convolutional layer is employed to encode the input data, transforming them into high-dimensional vectors, where the number of input channels correspond to the dimensionality of the input features.
- 2.
- Decoder
The decoder converts the encoded input information (called the context vector) into an output sequence. It does this step by step, using attention mechanisms to focus on relevant parts of the input while generating each output element, ensuring the final result matches the original input’s meaning and structure. In contrast to the encoder, the decoder incorporates an RNN to summarize the information from previously selected jobs for determining the next job . The RNN is designed to maintain and store historical output states. In this work, the decoder network employs a gated recurrent unit (GRU) RNN model. The performance of this model is on par with that of the LSTM network, yet it achieves a reduction in the number of parameters compared to the LSTM employed in the original pointer network outlined in reference [65]. In each decoding step , the GRU decoder integrates the hidden state (which contains the knowledge from the previous steps ) with the input encoding representation , and together they compute the conditional probability for selecting the next job. This computation is performed using an attention mechanism, as illustrated in Figure 4.
- 3.
- Attention Mechanism
The attention mechanism processes two key inputs at each iteration: the contextual embedding generated by the encoder and the current decoding state vector from the decoder. Using these inputs, it computes correlation scores between each candidate job and the next scheduled visit position. The job with the highest score is then selected as the subsequent target node in the sequence. The specific calculation process is as follows [43]:
where “;” represents the combination of two vectors, , , , and are all learnable parameters, and , respectively, represent the “attention” mask over the inputs and the context vector in the given step , and represents the probability that job is chosen for visitation in the next step . The softmax operator is applied to normalize both and , which ultimately yields the probabilities of selecting each job in step . As illustrated in Figure 4, Job 2 has the highest and is therefore chosen as the next job to visit. Rather than selecting the job with the highest probability in a greedy manner, the model samples from the probability distribution to determine the next job during training.
4.1.2. Training Method
To train the PFSP_NET model, this paper employs the widely adopted actor–critic framework. The architecture consists of two trainable components: an actor network (designated as PN in our implementation) with parameters , and a critic network with parameters .
To address the training of the PFSP_NET model, the widely recognized actor–critic method is employed in this paper. The actor–critic method is comprised of two trainable networks with an actor network and a critic network, whose network parameters can be denoted as and , respectively. The actor network, precisely identified as the PN in this paper, not only generates a probability distribution to determine the optimal choice for the subsequent action, but also acquires an anticipated solution by randomly selecting an action from this distribution, and evaluates its objective function as the reward according to Equation (5). On the other hand, the critic network is utilized to estimate the anticipated reward of the solution obtained by the actor network based on the relevant information of the given problem. Meanwhile, the critic network adopts the identical structural design as the encoder of PN, which maps the hidden state of the encoder into the critic output.
Training proceeds through unsupervised learning with the following protocol: First, PFSP training instances are generated according to distribution , where represents job input features (e.g., the processing times of jobs on machines). To train the model parameters of the actor network and the critic network, instances are randomly sampled from distribution as training data. For each instance, the actor network processes each instance to produce scheduling solutions and compute associated rewards, while the critic estimates expected reward values. Network parameters are then jointly optimized using policy gradient updates, as formalized in Equations (18) and (19) for the actor and critic, respectively.
where represents the actual reward obtained from the actor network and represents the estimated reward value for the instance , computed by the critic network. The training process is detailed in Algorithm 1.
Furthermore, the critic network takes the job processing times across machines as input. The architecture comprises three convolutional layers following an encoding network. The final layer aggregates outputs from the last convolutional layer through summation to derive the value estimate for each instance.
| Algorithm 1: The Framework of the Actor–Critic Training Algorithm. | ||||
| Input: : the parameters of the actor network; : the parameters of the critic network | ||||
| Output: The optimal parameters | ||||
| 1 | for do | |||
| 2 | Generate instances based on PFSP | |||
| 3 | for do | |||
| 4 | ||||
| 5 | while the jobs have not been fully accessed do | |||
| 6 | select the next job according to | |||
| 7 | and update | |||
| 8 | end while | |||
| 9 | compute the reward : | |||
| 10 | end for | |||
| 11 | Calculate the strategy gradient of actor network and critic network: | |||
| 12 | ||||
| 13 | ||||
| 14 | Optimize the network parameters of actor network and critic network based on strategy gradient: | |||
| 15 | ||||
| 16 | ||||
| 17 | return | |||
| 18 | end for | |||
4.2. Select Operation
In the GA, the selection operation involves choosing individuals from the current population to serve as parents for the next generation, promoting the evolution of high-quality solutions. The core objective is to preferentially preserve better individuals based on their fitness, thereby improving the quality of the population. Common selection methods include:
- Roulette wheel selection, which allocates selection probabilities proportionally to individual fitness, preferentially selecting individuals with higher fitness, simulating “survival of the fittest”;
- Tournament selection, where a group of individuals is randomly selected from the population, and their fitness is compared, selecting the best individual to be part of the next generation’s population;
- Ranking selection, which involves sorting individuals by fitness and assigning selection probabilities, ensuring that even less fit individuals have a chance to be selected, thus increasing population diversity;
- Random selection, which does not consider fitness, is suitable for generating the initial population.
This paper uses the tournament selection operator, which randomly selects a group of individuals to compete in a “tournament”, and then chooses the fittest individual to proceed to the next generation. Compared to roulette wheel selection, tournament selection is simpler and more efficient, with stronger selection pressure. The number of individuals in the tournament can be adjusted to control the diversity of the selection. At the same time, tournament selection ensures that high-quality individuals are selected while preventing the dominance of certain individuals from negatively impacting the diversity of the population. Therefore, the use of this selection operator in this paper helps better balance selection pressure and population diversity, promoting the convergence and global search capability of the GA.
4.3. Crossover Operation
In the GA, the crossover operation combines the genes of two parent individuals to generate new offspring, thus exploring the solution space and inheriting excellent genetic traits, which in turn improves the diversity of the population and the quality of the solutions. Crossover typically involves selecting one or more positions on the parent chromosomes to exchange genes, and these positions can either be fixed (such as in single-point crossover or multi-point crossover) or random (such as in uniform crossover). However, in COPs, a single crossover operator may lead to insufficient local search capabilities, issues with the effectiveness of solutions, and the loss of population diversity, which can cause the algorithm to easily fall into local optima or converge prematurely. Therefore, it is often necessary to combine different crossover operators to enhance the algorithm’s exploration capabilities and maintain the diversity of the solution space, thereby improving the efficiency and accuracy of the solution. In this paper, three crossover operators are selected for crossover.
When Reeves et al. [15] used the GA to solve the PFSP, they introduced two crossover operators, “C1”and “C2”. The “C2” crossover operator causes more interference with the chromosomes compared to the “C1” operator. Therefore, the “C1” crossover operator is typically chosen as the preferred method. As shown in Figure 5a, this crossover operator works by selecting a portion of the genes from the parent chromosomes for exchange, while preserving their relative order to create offspring individuals. Specifically, the “C1” crossover operator first randomly selects a subsequence from the two parent chromosomes and directly copies it to the corresponding positions in the offspring. The remaining positions are then filled with genes from the other part of the parents’ chromosomes, while maintaining the original gene order.
Figure 5.
Crossover operators.
The core idea of the order crossover (OX) operator is to generate offspring individuals by preserving the relative order information of the parent individuals. The specific operation is as follows: First, randomly select a subsequence from two parent individuals and directly copy this subsequence to the corresponding position in the offspring chromosome. Then, when filling the remaining positions, it is ensured that the genes not present in the offspring subsequence from the parents are arranged in order, thereby maintaining the relative order of the genes and ensuring that the generated offspring meet the constraint conditions of the permutation problem. This is illustrated in Figure 5b.
The core idea of the position-based crossover (PBX) operation is to preserve the positional information of the parent individuals, fix the genes at some positions, and then fill in the remaining genes from another parent. Specifically, several positions are randomly selected from one parent, and the genes at these positions are directly passed to the offspring. Once these genes are fixed, the remaining positions in the offspring are sequentially filled with genes from the other parent, ensuring that the offspring maintains a unique arrangement, as shown in Figure 5c.
The above three crossover operators show no significant difference in search quality. However, the use of a single crossover operator may lead to insufficient diversity within the population, which in turn affects the global search capability. Therefore, this paper adopts a strategy combining the aforementioned three operators, utilizing random selection of different crossover operators to enhance population diversity.
4.4. Mutation Operation
The mutation operation in the GA refers to making random adjustments to an individual’s gene sequence when generating a new generation. This increases population diversity and helps prevent the algorithm from getting trapped in local optima. Typically, mutation is performed as two-point mutation, where two positions in the gene sequence are randomly selected, and the gene segment between these two points is subjected to operations such as swapping, reversing, or inserting a new gene segment. Figure 6 illustrates the principles of these three mutation methods. Furthermore, building upon the aforementioned mutation operations, this paper introduces an insert-reversed block operation aimed at further optimizing the quality of PFSP solutions. The specific process is as follows:
Figure 6.
Common mutation operators.
- Select reversed block: first, randomly select two positions in the current job sequence to determine the range of a job subsequence (reversed block);
- Reverse job order: reverse the order of jobs within the selected range to form a new job subsequence;
- Cut reversed block: remove the reversed job subsequence from the original sequence, creating a disconnected job sequence;
- Insert reversed block: insert the reversed block into all possible positions in the original job sequence. This means the reversed block can be placed in any gap within the sequence, thereby generating multiple new job sequence combinations;
- Evaluate new sequences: evaluate each new job sequence generated by inserting the reversed block by calculating its corresponding maximum completion time and energy consumption;
- Update best solution: if a newly generated job sequence outperforms the original sequence in terms of the optimization objectives, set this new sequence as the current best solution. The insert-reversed block operation is illustrated in Figure 7.
Figure 7. Insert-reversed block operation.
The mutation operation maintains diversity without causing excessive disruption to the original solution, aiding in the exploration of new solution spaces and enhancing the global search capability of the algorithm. This paper randomly applies the above four mutation operators in the GA, aiming to expand the search scope of the solution space by introducing greater randomness.
4.5. Population Evolution Mechanism
To further improve the quality of the solutions, this subsection proposes an evolution mechanism based on Hamming distance, aiming to optimize the search process by dynamically adjusting the diversity between individuals in the population. Specifically, when the Hamming distance between two individuals in the population is smaller than a preset threshold , it indicates that these two individuals are very similar in the solution space. Therefore, the fitness of these two individuals is further compared, and a penalty function is applied to the individual with higher fitness. The purpose of the penalty function is to significantly reduce the performance of the individual with higher fitness, ensuring that they are either eliminated or restricted in the selection process for the next generation. By applying this penalty, the mechanism effectively avoids excessive similarity between individuals during the evolution, maintains the diversity of the population, and ultimately improves the quality of the solutions. The steps are as follows:
- Step 1: using the PFSP_NET model proposed in Section 4.1, generate individuals as the initial population for the GA, and calculate the fitness function value for each individual;
- Step 2: based on the calculated fitness values, sort the individuals in population in descending order, and record the top individuals into a new subpopulation ;
- Step 3: perform selection, crossover, and mutation operations on population to generate the updated ;
- Step 4: merge the updated population with the subpopulation , and calculate the Hamming distance between all pairs of individuals in the combined population of . If , then set , where ;
- Step 5: recalculate the fitness of the individuals in the merged population, sort them in descending order, and select the top individuals to form the new population ;
- Step 6: if the termination condition is not satisfied, proceed to step 2; otherwise, terminate the loop.
4.6. The Strategy of Energy Saving
Section 4.5 presents a near-optimal solution for the completion time of the PFSP. To achieve the optimization goal of minimizing energy consumption, this section proposes an innovative energy-saving strategy designed to reduce total energy usage while maintaining the maximum completion time unchanged. As derived from the objective function in Equation (6), the energy consumption is composed of the processing energy consumption and idle energy consumption of machines. Specifically, can be obtained by multiplying the processing power of machines and the processing time of jobs, while is defined as the idle power of machines multiplied by their idle time. Given fixed processing times, processing power, and idle power, the sole method to reduce total energy consumption lies in minimizing machines’ idle energy expenditure—specifically, by reducing their idle time.
Therefore, this paper proposes a job setback strategy to optimize machine idle time. While not all jobs are postponable, eligible jobs must satisfy two conditions: (1) the postponed job’s completion time must precede its immediate successor’s start time, i.e., ; (2) the postponed job’s completion time must also precede its subsequent operation’s start time, i.e., . Begin by traversing all processed jobs on machine in reverse order, shifting eligible jobs backward if they meet condition (1). Next, traverse jobs on machine similarly, but only shift those satisfying both conditions (1) and (2). Iterate this backward traversal from to , finalizing the process once all machines are covered.
To clarify the energy-saving strategy, we demonstrate its implementation using the job sequence from Section 3.1 as a case study. Firstly, traverse backward through all the jobs on machine to confirm that jobs 6, 9, 8, 4, 1, 7, 10, 2, and 3 meet condition 1, and then move these jobs backward. Subsequently, continue to traverse backward through all the jobs on machine , and find that jobs 6, 9, 8, 4, 1, 7, 10, 2, and 3 satisfy both condition 1 and condition 2 simultaneously; thus, these jobs are moved backward as well. Next, traverse all the jobs on machine , finding that jobs 7, 10, 2, and 3 simultaneously satisfy condition (1) and (2), so the postponement operation is applied to these jobs. Following that, traverse all workpieces on machine and determine that no jobs simultaneously satisfy conditions (1) and (2), prompting an exit from the loop. As shown in Figure 8, the optimized Gantt chart demonstrates how the rescheduled job sequence notably reduces machine idle time compared to the original configuration. This structural adjustment directly contributes to diminished energy consumption across the system. Thus, the energy-saving strategy presented in this section effectively reduces overall energy consumption.
Figure 8.
An illustration of the energy conservation strategy applied to the PFSP. (a) represents the Gantt chart without the energy-saving strategy applied; (b) the Gantt chart with the energy-saving strategy applied.
In this section, the computational complexity of the energy-saving strategy is . Taking Figure 8 as an example, it is necessary to evaluate whether all other jobs, except for Job 5, can be delayed on the machines (excluding Machine 1). Therefore, the computational complexity along the horizontal axis (number of jobs) is and along the vertical axis (number of machines) is . Although the introduction of the energy-saving strategy increases the computational time to some extent, its complexity is much lower compared to the overall computational complexity of the NP-hard scheduling problem.
5. Numerical Experiments
5.1. Experimental Settings
To assess the efficacy of the algorithm developed in this study, the 120 problems from the Taillard benchmark dataset are used for testing [66]. The dataset can be found at the following URL: http://mistic.heig-vd.ch/taillard/problemes.dir/ordonnancement.dir/ordonnancement.html (accessed on 12 November 2024). The dataset consists of 120 problems, each with a scale of 10. The presented method is implemented in Python 3.7 and runs on a PC with an Intel Core i7 CPU (2.8GHz), a GTX 2060 GPU, and Windows 11 operating system. This paper uses the training epochs of the PFSP_NET model and the maximum number of iterations of the IGA as the convergence criteria for the two components. The computational complexity of the algorithm proposed in this paper is the same as that of the traditional GA, both being . For example, with 10 jobs, the solution space is 10! = 3,628,800. Through appropriate parameter settings, the algorithm can obtain relatively optimal solutions.
The PFSP_NET model is trained using 10,000 stochastically generated instances per epoch, where each instance comprises 50 jobs, with machine counts discretely sampled from {5, 10, 20}. Job processing times are uniformly distributed over the interval [0, 1] and the model is trained for 3 epochs. This strategy not only substantially enhances the model’s computational efficiency but also improves its adaptability to PFSPs of varying scales, consequently reinforcing structural robustness. The complete training cycle concludes in approximately 3 h. The network architecture configuration is detailed in Table 3, where denotes the dimensionality of the input data. Both the decoder and critic networks employ single-layer GRU RNN architectures with 128 hidden units. The actor and critic networks are trained using the Adam optimizer, with a learning rate of 0.001 and a batch size of 256 for each iteration. It is important to note that the model’s parameter settings were determined by reviewing relevant deep reinforcement learning literature and considering the computer configuration (such as CPU/GPU configuration, memory limitations, etc.).
Table 3.
The parameter settings of the PFSP_NET model.
After the PFSP_NET model is trained, the processing times of different instances are input into the model to quickly generate relatively good solutions. To further improve these solutions, they are used as the initial population for the IGA in this paper. The configuration of algorithm parameters plays a crucial role in algorithm performance. Therefore, evaluating different parameter combinations and determining the optimal configuration is key to enhancing algorithm performance. This paper focuses on several key parameters that influence algorithm performance, including population combinations (u, v), crossover probability, mutation probability, and Hamming distance. According to recommendations in related literature [67], when the problem size n is less than or equal to 20, the population size should be set to 100; for n greater than 20, the population size should be set to 200. Thus, in this paper, experiments are conducted based on 10 instances from the Taillard 20-20 dataset. The specific parameter settings are as follows:
- Population combinations (u, v): three population size combinations are chosen: {(90, 10), (80, 20), (70, 30)}, where each combination represents the ratio of the two types of individuals in the population;
- Crossover probability: three levels of crossover probability are considered: {0.9, 0.8, 0.7}, which control the frequency of the crossover operation;
- Mutation probability: three levels of mutation probability are set: {0.1, 0.2, 0.3}, influencing the frequency of genetic mutations;
- Hamming distance: three levels of Hamming distance are selected: {7, 8, 9}, used to control the genetic difference between individuals, ensuring population diversity.
To comprehensively evaluate the effects of these parameter combinations, an orthogonal experiment is designed to optimize the parameter configuration. The L9 (34) orthogonal table is adopted in the experimental design to efficiently explore the different combinations of these four factors. Each instance is run three times, and the average makespan is calculated for each experiment. Statistical analysis is performed on the average makespan for different parameter configurations, and range analysis is conducted on the data. The results are shown in Table 4, and the main effect plots of each factor are presented in Figure 9.
Table 4.
Orthogonal experiment results and range analysis of the Taillard 20-20 dataset.
Figure 9.
Main effect plot of the mean values of each factor.
According to Table 4 and Figure 9, when the number of workpieces is 20, the optimal parameter combination for the IGA is as follows: population size (80, 20), crossover probability 0.8, mutation probability 0.2, and Hamming distance 8. For other workpiece quantities, the same method can be used to design orthogonal experiments to obtain the optimal parameter combination. Ultimately, the parameter settings of the algorithm in this paper are shown in Table 5.
Table 5.
The parameters of the PFSP_NET_IGA.
5.2. Experimental Results and Discussions
In this section, the effectiveness of the algorithm is validated from two aspects: maximum completion time and energy consumption. The results indicate that the algorithm proposed in this paper outperforms other metaheuristic algorithms in terms of maximum completion time. Regarding energy consumption, the proposed energy-saving strategy effectively reduces energy usage without extending the maximum completion time.
5.2.1. Effectiveness in Terms of Maximum Completion Time
- Effectiveness of Population Initialization
This section aims to verify the effectiveness of the initial population generated by the PFSP_NET model in improving the solution accuracy of the GA. Comparative experiments are conducted on 20 instances of Taillard 20-20 and 50-10, comparing the PFSP_NET_GA with the traditional GA. Except for the initial population, all other parameters remain consistent. Each instance runs three times, and the average value is taken. The experimental results, shown in Table 6, indicate that PFSP_NET_GA outperforms the traditional GA across all test sets.
Table 6.
The results of the PFSP_NET_GA and traditional GA.
- 2.
- Effectiveness of Hybrid Operators
To verify the effectiveness of the hybrid crossover and hybrid mutation operators used in this paper, this section conducts comparative experiments on 20 instances of Taillard 50-10 and 100-10, comparing the GA with hybrid operators to the GA without hybrid operators. Since there are three crossover operators and four mutation operators in the experiment, there are 12 possible combinations. To reduce the number of experiments, the GA without hybrid operators uses the OX crossover operator and inverse mutation operator, with other parameters kept consistent. Each instance runs three times, and the average value is taken, with the results recorded in Table 7.
Table 7.
Comparison of experimental results between the GA using hybrid operators and the GA without hybrid operators.
From Table 7, it can be seen that the genetic algorithm with hybrid operators outperforms the traditional operators in all instances. This demonstrates that the introduction of hybrid operators significantly enhances the global search ability of the algorithm and avoids premature convergence.
- 3.
- Comparison with Different GA Variants
In this experiment, the performance of the proposed PFSP_NET_IGA is compared with the standard genetic algorithm (SGA), elite genetic algorithm (EGA), and hybrid genetic algorithm (HGA) [68] using 110 instances from the Taillard benchmark dataset. The parameter settings for the SGA and EGA are kept consistent with those of PFSP_NET_IGA. The best relative error (BRE) metrics of the algorithms are used to quantitatively compare their performances. The calculation formula is as follows:
where represents the best solution obtained by each algorithm for each instance during execution, and represents the currently known best solution for each instance. These known optimal solutions can be found in [69]. The experimental results are recorded in Table 8.
Table 8.
Comparison of GA variants on the Taillard benchmark based on the best scheduling.
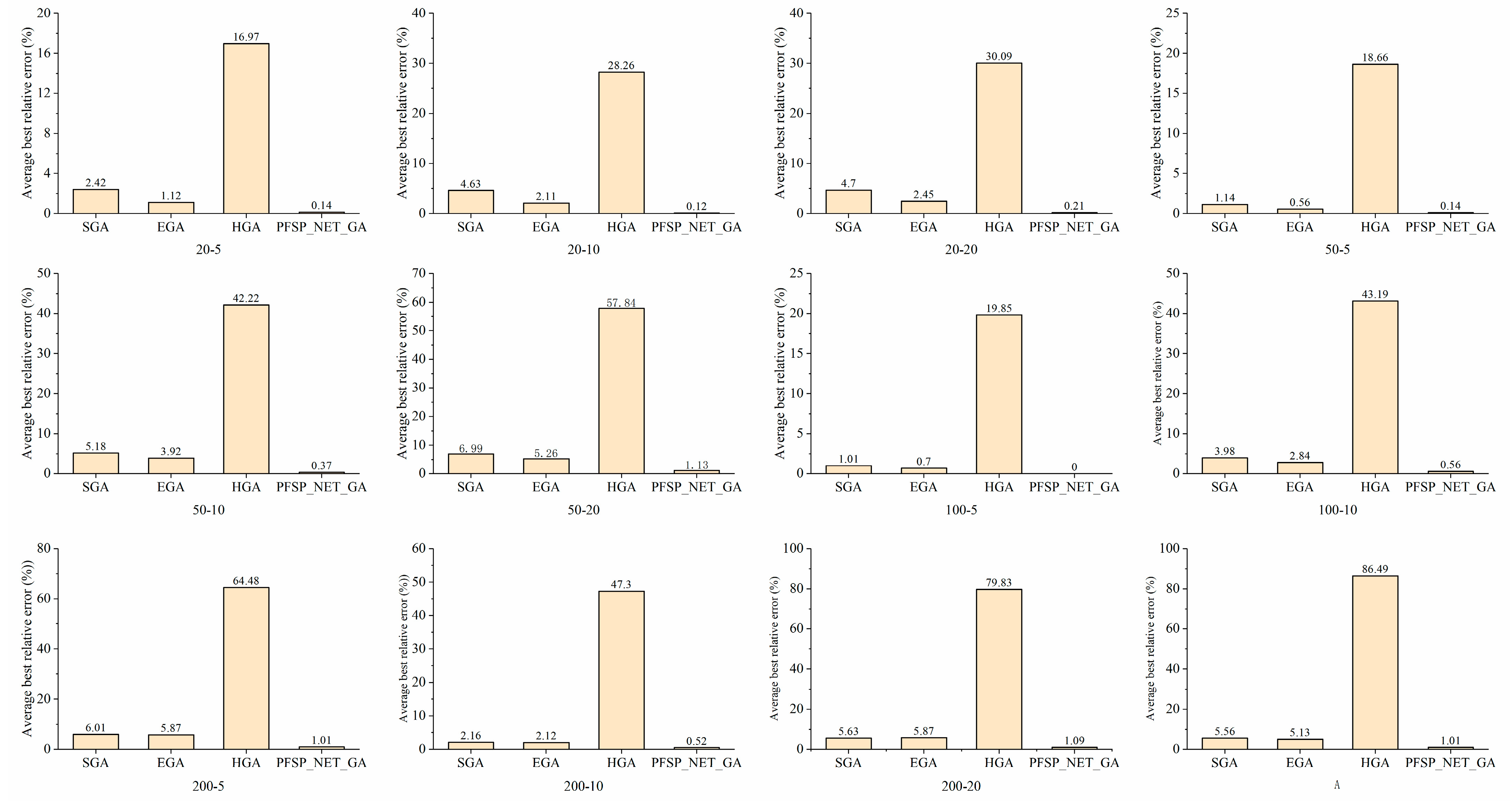
To provide a more intuitive presentation of the performance of different algorithms on the Taillard benchmark dataset, this paper visualizes the data in Table 8, and the comparison results are shown in Figure 10. From the data analysis of Table 8 and Figure 10, it can be seen that the PFSP_NET_IGA algorithm proposed in this study outperforms the SGA, EGA, and HGA algorithms on all test sets. Specifically, on 28 test sets such as Ta001, Ta003, Ta006, etc., this algorithm successfully achieved the currently known optimal solution. It is worth noting that this algorithm found new optimal solutions for the Ta005 and Ta068 case sets, with values of 1235 and 5101, respectively. For these two case sets, the corresponding scheduling solutions are [12, 4, 3, 19, 9, 5, 17, 16, 10, 2, 15, 13, 6, 11, 14, 7, 18, 1, 20, 8] and [29, 21, 83, 96, 56, 80, 12, 26, 73, 55, 49, 57, 42, 77, 85, 7, 59, 79, 88, 31, 46, 65, 60, 32, 94, 44, 18, 9, 76, 4, 48, 14, 17, 6, 78, 86, 84, 81, 67, 53, 93, 74, 39, 23, 68, 27, 37, 98, 11, 54, 8, 10, 13, 70, 58, 69, 62, 91, 51, 30, 47, 92, 64, 52, 35, 43, 38, 20, 63, 3, 99, 2, 72, 89, 82, 15, 24, 100, 25, 34, 97, 75, 50, 19, 90, 87, 61, 16, 22, 41, 71, 1, 95, 28, 45, 33, 5, 66, 40, 36], and the scheduling Gantt chart of the Ta005 is shown in Figure 11.
Figure 10.
The average best relative error of different GA variants for different problem scales.
Figure 11.
The Gantt chart of a solution for Ta005 obtained by PFSP_NET_IGA.
Furthermore, as shown in Table 8 and Figure 10, the BRE of all algorithms generally exhibits an upward trend with the increasing problem size. This is mainly due to the substantial increase in the search space as the problem size expands, which in turn requires more computational resources and time for the algorithms to search for optimal solutions within the larger search space. Specifically, the HGA algorithm demonstrates the poorest performance, with an average BRE as high as 16.97% when solving small-scale problems (such as Taillard 20-5). This may be attributed to limitations in computer performance as well as the inefficiency of the HGA algorithm in handling larger-scale problems.
In contrast, the EGA generally outperforms the SGA in terms of solution accuracy across all test sets. Although the EGA performs slightly worse in certain instances (such as Taillard 200-20), the average BRE of the two algorithms is not significantly different, at 5.87% for the EGA and 5.63% for the SGA. This difference is mainly due to the EGA adopting an elite strategy, which preserves the best-performing individuals in each generation, thereby ensuring the transmission of superior genes and enhancing the quality of the population. This indirectly demonstrates that the quality of the population has a direct impact on the overall performance of the algorithm.
Additionally, the comparative results between the proposed PFSP_NET_IGA and the SGA demonstrate that the PFSP_NET constructed in this study significantly improves the diversity and quality of the initial population during initialization. Specifically, PFSP_NET effectively generates high-quality initial solutions through a pre-trained network, thereby accelerating the convergence process of the GA and enhancing the accuracy of the final solutions. This improvement not only increases the efficiency of the algorithm in solving complex scheduling problems but also reduces computational time, making the PFSP_NET_IGA exhibit superior performance when handling large-scale problems.
- 4.
- Comparison with Other Metaheuristic Algorithms
To further validate the performance of the proposed PFSP_NET_IGA algorithm, we compared PFSP_NET_IGA with the following three metaheuristic algorithms based on the best completion time:
- Discrete self-organizing migrating algorithm (DSOMA) [70];
- Discrete water wave optimization algorithm (DWWO) [71];
- Hybrid monkey search algorithm (HMSA) [72].
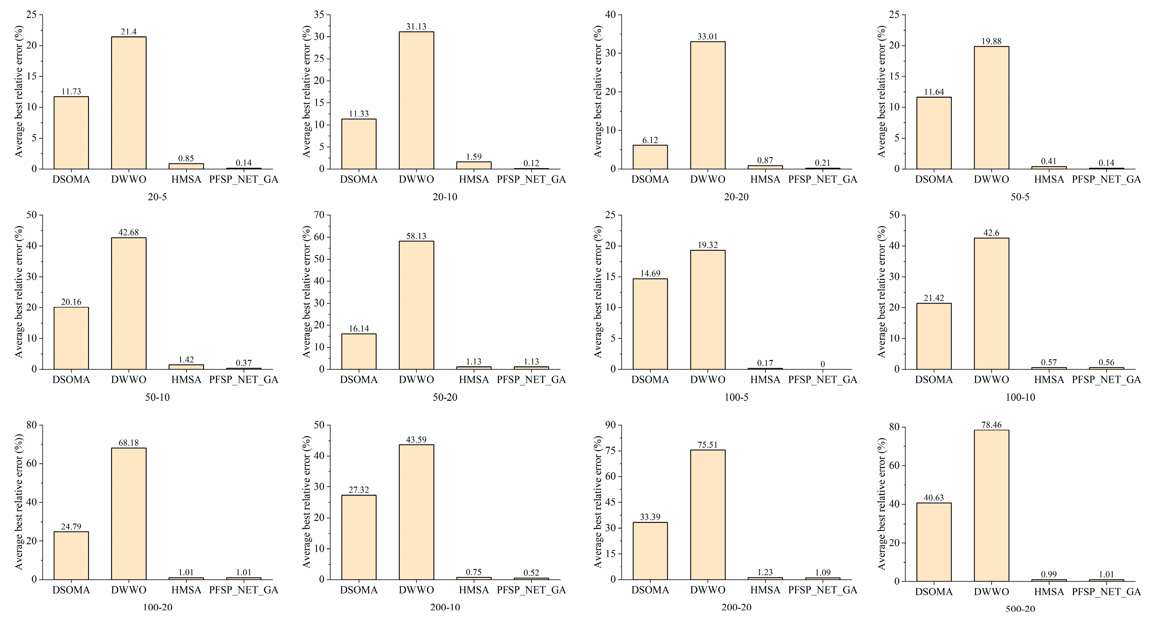
The results are presented in Table 9, where the calculation method for BRE is consistent with Equation (20) from the previous section. The findings demonstrate the superiority of the PFSP_NET_IGA. Additionally, the data in Table 9 indicate that PFSP_NET_IGA outperforms both DSOMA and DWWO across all 110 instances. Similar to the previous section, Figure 12 illustrates the average BRE of all algorithms across different problem sizes. From Figure 12, it is evident that the HMSA shows significant improvements in solution accuracy compared to DSOMA and DWWO, maintaining an average BRE stable around 1%. In contrast, the average BRE of the proposed PFSP_NET_IGA algorithm is below 1% for the vast majority of problem sizes, only slightly exceeding 1% in instances such as Taillard 50-20, Taillard 100-20, and Taillard 200-20, yet still outperforming HMSA. In the large-scale problem Taillard 500-20, the performance of the two algorithms is relatively close.
Table 9.
Comparison of metaheuristic algorithms on Taillard benchmark based on the best scheduling.
Figure 12.
The average best relative error of metaheuristic algorithms for different problem scales.
Furthermore, PFSP_NET_IGA achieved known optimal solutions in 28 instances, including the latest solutions in TA005 and TA068. In comparison, the HMSA algorithm did not reach known optimal solutions in any of the test sets. Additionally, literature on the proposed HMSA indicates that it requires up to 2000 runs, whereas the PFSP_NET_IGA algorithm only necessitates three runs to obtain excellent results. This clearly demonstrates that PFSP_NET_IGA not only surpasses existing algorithms in solution accuracy but also offers significant advantages in computational efficiency.
5.2.2. Effectiveness in Terms of Energy Consumption
In Section 4.6, an energy-saving strategy is proposed to reduce energy consumption without increasing the makespan. In this section, to verify the effectiveness of this strategy, validations are conducted on all instances of Taillard 20-10, Taillard 50-10, and Taillard 100-10 based on the scheduling solutions obtained in Section 4.2. It is important to note that the scheduling solution for each instance represents only one of the optimal solutions.
To simplify the calculation process, the processing energy consumption of all machines in the experiments is set to five, and the idle energy consumption is set to two. This setup aims to simulate the energy consumption differences of machines in operating and idle states in a real production environment, thereby more accurately evaluating the effectiveness of the energy-saving strategy. The experimental results are shown in Table 10, where “PFSP_NET_IGA” represents the algorithm without the energy-saving strategy and “GPFSP_NET_IGA” represents the algorithm with the applied energy-saving strategy.
Table 10.
The comparative results of PFSP_NET_IGA and GPFSP_NET_IGA.
From the results in Table 10, it can be seen that the GPFSP_NET_IGA, which incorporates the energy-saving strategy, significantly reduces energy consumption across all instances, achieving the expected energy-saving goals without increasing the makespan. Specifically, in the instances of Taillard 20-10, Taillard 50-10, and Taillard 100-10, the GPFSP_NET_IGA reduced average energy consumption by approximately 8.69%, 8.51%, and 8.65%, respectively, compared to the PFSP_NET_IGA. These results indicate that the proposed energy-saving strategy is both applicable and effective across scheduling problems of different scales.
Furthermore, through comparative analysis, it is found that the energy-saving strategy exhibits significant energy-saving effects in both small-scale and large-scale instances. This is primarily attributed to the strategy’s optimization of energy consumption distribution during machine idle states, thereby achieving more efficient energy utilization throughout the entire scheduling process. Additionally, the energy-saving strategy does not have a negative impact on the scheduling completion time, validating its feasibility in achieving energy savings while maintaining production efficiency.
In summary, the proposed energy-saving strategy demonstrates good energy-saving performance and applicability across scheduling instances of various scales.
6. Conclusions
This paper addresses the green permutation flow shop scheduling problem, aiming to minimize both the makespan of jobs and the total energy consumption of machines. To achieve these dual objectives, a novel hybrid scheduling method that integrates end-to-end DRL with an improved genetic algorithm is proposed. Specifically, an end-to-end reinforcement learning (RL) approach is first used to model the PFSP, with the actor–critic algorithm for training. Unlike traditional methods relying on data-driven or heuristic search techniques, this DRL model does not require high-quality labeled data and can quickly generate feasible solutions after training, regardless of the scheduling scale. Next, the initial scheduling solutions from the DRL model serve as the initial population for the improved genetic algorithm (IGA), which iteratively optimizes the schedule through crossover and mutation. This hybrid approach leverages the fast solution capabilities of RL and the global search strengths of the genetic algorithm, enhancing both efficiency and solution quality. To minimize energy consumption without increasing the makespan, a job postponement strategy is proposed, adjusting job positions to reduce machine energy use during idle periods.
Finally, comparative experiments using 120 instances from the Taillard benchmark library demonstrate that PFSP_NET_IGA outperforms genetic algorithm variants (SGA, EGA, HGA) and other metaheuristics (DSOMA, DWWO, HMSA). PFSP_NET_IGA achieves known optimal solutions in 28 instances and new solutions for two (Ta005 and Ta068). Further tests on 30 instances from Taillard 20-10, 50-10, and 100-10 show that the energy-saving strategy significantly reduces machine energy consumption without increasing the makespan, confirming the method’s effectiveness and superiority in solving the GPFSP.
7. Future Work
The method proposed in this paper can be applied to enterprises that still rely on manual scheduling, especially those facing issues such as low production scheduling efficiency, poor resource utilization, and significant scheduling errors. By implementing this method, companies can achieve more precise and efficient production scheduling, thereby improving overall production efficiency, reducing energy consumption, and optimizing resource allocation, ultimately gaining a competitive edge in a highly competitive market.
This paper primarily discusses two objectives, namely the maximum completion time of jobs and energy consumption. However, actual production environments often involve more indicators that need to be balanced, such as production costs, inventory levels, equipment maintenance expenses, and carbon emissions. Future research could further incorporate these indicators into a multi-objective optimization framework.
Although the algorithm proposed in this paper has achieved some success, it currently only addresses static problems. There are still limitations when it comes to dynamic events, such as urgent order insertion, machine failures, and random order arrivals. In the future, we will apply the end-to-end approach proposed in this paper to solve the green flow shop scheduling problem with random order arrivals, to meet the increasingly complex and dynamic demands of industrial scenarios. Currently, this part of the work has already begun.
Meanwhile, although existing end-to-end reinforcement learning models have improved scheduling efficiency to some extent, their generalization capability and convergence speed have yet to be fully verified and enhanced in larger-scale and more complex workshop environments. In the future, it would be feasible to integrate more advanced deep reinforcement learning algorithms (e.g., proximal policy optimization (PPO), asynchronous advantage actor–critic (A3C), Monte Carlo Tree Search (MCTS)) with scheduling algorithms. Furthermore, the incorporation of attention mechanisms and graph neural networks could enhance the model’s transferability and solution quality across problems of various scales and complexities.
Author Contributions
Conceptualization, Y.L. and Y.Y.; methodology, Y.L.; software, Y.L.; validation, Y.L.; data curation, Y.L.; writing—original draft preparation, Y.L.; writing—review and editing, Y.Y., J.Y., A.S. and Y.C.; visualization, Y.L.; supervision, Y.Y., J.Y., A.S., Y.C. and Y.W.; project administration, Y.Y., J.Y. and Y.C. All authors have read and agreed to the published version of the manuscript.
Funding
This research was funded by the National Natural Science Foundation of China (72361032), the Xinjiang Autonomous Region Key R&D Projects (2022B01057-2), (2023B01027-2) and the Xinjiang Autonomous Region Natural Science Foundation-Youth Fund (2023D01C177).
Data Availability Statement
The dataset we used in the paper can be found at the URL http://mistic.heig-vd.ch/taillard/problemes.dir/ordonnancement.dir/ordonnancement.html (accessed on 12 November 2024).
Conflicts of Interest
The authors declare no conflicts of interest.
References
- Bagherzadeh, S.A.; Asadi, D. Detection of the ice assertion on aircraft using empirical mode decomposition enhanced by multi-objective optimization. Mech. Syst. Signal Process. 2017, 88, 9–24. [Google Scholar] [CrossRef]
- McMahon, G.; Burton, P. Flow-shop scheduling with the branch-and-bound method. Oper. Res. 1967, 15, 473–481. [Google Scholar] [CrossRef]
- Yavuz, M.; Tufekci, S. Dynamic programming solution to the batching problem in just-in-time flow-shops. Comput. Ind. Eng. 2006, 51, 416–432. [Google Scholar] [CrossRef]
- Ronconi, D.P.; Birgin, E.G. Mixed-integer programming models for flowshop scheduling problems minimizing the total earliness and tardiness. Just-in-Time Syst. 2012, 60, 91–105. [Google Scholar] [CrossRef]
- Nagano, M.; Takano, M.; Robazzi, J. A branch and bound method in a permutation flow shop with blocking and setup times. Int. J. Ind. Eng. Comput. 2022, 13, 255–266. [Google Scholar] [CrossRef]
- Gmys, J.; Mezmaz, M.; Melab, N.; Tuyttens, D. A computationally efficient Branch-and-Bound algorithm for the permutation flow-shop scheduling problem. Eur. J. Oper. Res. 2020, 284, 814–833. [Google Scholar] [CrossRef]
- Ozolins, A. Improved bounded dynamic programming algorithm for solving the blocking flow shop problem. Cent. Eur. J. Oper. Res. 2019, 27, 15–38. [Google Scholar] [CrossRef]
- Campbell, H.G.; Dudek, R.A.; Smith, M.L. A heuristic algorithm for the n job, m machine sequencing problem. Manag. Sci. 1970, 16, B-630–B-637. [Google Scholar] [CrossRef]
- Gupta, J.N. A functional heuristic algorithm for the flowshop scheduling problem. J. Oper. Res. Soc. 1971, 22, 39–47. [Google Scholar] [CrossRef]
- Nawaz, M.; Enscore Jr, E.E.; Ham, I. A heuristic algorithm for the m-machine, n-job flow-shop sequencing problem. Omega 1983, 11, 91–95. [Google Scholar] [CrossRef]
- Puka, R.; Duda, J.; Stawowy, A.; Skalna, I. N-NEH+ algorithm for solving permutation flow shop problems. Comput. Oper. Res. 2021, 132, 105296. [Google Scholar] [CrossRef]
- Puka, R.; Skalna, I.; Duda, J.; Stawowy, A. Deterministic constructive vN-NEH+ algorithm to solve permutation flow shop scheduling problem with makespan criterion. Comput. Oper. Res. 2024, 162, 106473. [Google Scholar] [CrossRef]
- Puka, R.; Skalna, I.; Łamasz, B.; Duda, J.; Stawowy, A. Deterministic method for input sequence modification in NEH-based algorithms. IEEE Access 2024, 12, 68940–68953. [Google Scholar] [CrossRef]
- Zhang, J.; Dao, S.D.; Zhang, W.; Goh, M.; Yu, G.; Jin, Y.; Liu, W. A new job priority rule for the NEH-based heuristic to minimize makespan in permutation flowshops. Eng. Optim. 2023, 55, 1296–1315. [Google Scholar] [CrossRef]
- Reeves, C.R. A genetic algorithm for flowshop sequencing. Comput. Oper. Res. 1995, 22, 5–13. [Google Scholar] [CrossRef]
- de Fátima Morais, M.; Ribeiro, M.H.D.M.; da Silva, R.G.; Mariani, V.C.; dos Santos Coelho, L. Discrete differential evolution metaheuristics for permutation flow shop scheduling problems. Comput. Ind. Eng. 2022, 166, 107956. [Google Scholar] [CrossRef]
- Abdel-Basset, M.; Mohamed, R.; Abouhawwash, M.; Chakrabortty, R.K.; Ryan, M.J. A simple and effective approach for tackling the permutation flow shop scheduling problem. Mathematics 2021, 9, 270. [Google Scholar] [CrossRef]
- Arık, O.A. Artificial bee colony algorithm including some components of iterated greedy algorithm for permutation flow shop scheduling problems. Neural Comput. Appl. 2021, 33, 3469–3486. [Google Scholar] [CrossRef]
- Zhang, T.; Guo, X.; Ji, G. Permutation flow shop scheduling optimization method based on cooperative games. IEEE Access 2023, 11, 47377–47389. [Google Scholar] [CrossRef]
- Bellabai, J.R.; Leela, B.N.M.; Kennedy, S.M.R. Testing the Performance of Bat-Algorithm for Permutation Flow Shop Scheduling Problems with Makespan Minimization. Braz. Arch. Biol. Technol. 2022, 65, e20210840. [Google Scholar] [CrossRef]
- Kurdi, M. Ant colony optimization with a new exploratory heuristic information approach for open shop scheduling problem. Knowl.-Based Syst. 2022, 242, 108323. [Google Scholar] [CrossRef]
- Xin, X.; Jiang, Q.; Li, S.; Gong, S.; Chen, K. Energy-efficient scheduling for a permutation flow shop with variable transportation time using an improved discrete whale swarm optimization. J. Clean. Prod. 2021, 293, 126121. [Google Scholar] [CrossRef]
- Chen, S.; Zheng, J. Hybrid grey wolf optimizer for solving permutation flow shop scheduling problem. Concurr. Comput. Pract. Exp. 2024, 36, e7942. [Google Scholar] [CrossRef]
- Schulz, S.; Schönheit, M.; Neufeld, J.S. Multi-objective carbon-efficient scheduling in distributed permutation flow shops under consideration of transportation efforts. J. Clean. Prod. 2022, 365, 132551. [Google Scholar] [CrossRef]
- Lu, C.; Huang, Y.; Meng, L.; Gao, L.; Zhang, B.; Zhou, J. A Pareto-based collaborative multi-objective optimization algorithm for energy-efficient scheduling of distributed permutation flow-shop with limited buffers. Robot. Comput.-Integr. Manuf. 2022, 74, 102277. [Google Scholar] [CrossRef]
- Gu, W.; Li, Z.; Dai, M.; Yuan, M. An energy-efficient multi-objective permutation flow shop scheduling problem using an improved hybrid cuckoo search algorithm. Adv. Mech. Eng. 2021, 13, 16878140211023603. [Google Scholar] [CrossRef]
- Wang, J.-J.; Wang, L. A knowledge-based cooperative algorithm for energy-efficient scheduling of distributed flow-shop. IEEE Trans. Syst. Man Cybern. Syst. 2018, 50, 1805–1819. [Google Scholar] [CrossRef]
- Fernandez-Viagas, V.; de Athayde Prata, B.; Framinan, J.M. A critical-path based iterated local search for the green permutation flowshop problem. Comput. Ind. Eng. 2022, 169, 108276. [Google Scholar] [CrossRef]
- Li, M.; Wang, G.-G.; Yu, H. Sorting-based discrete artificial bee colony algorithm for solving fuzzy hybrid flow shop green scheduling problem. Mathematics 2021, 9, 2250. [Google Scholar] [CrossRef]
- Zhao, F.; Zhang, H.; Wang, L.; Xu, T.; Zhu, N.; Jonrinaldi, J. A multi-objective discrete differential evolution algorithm for energy-efficient distributed blocking flow shop scheduling problem. Int. J. Prod. Res. 2024, 62, 4226–4244. [Google Scholar] [CrossRef]
- Kong, L.; Wang, L.; Li, F.; Wang, G.; Fu, Y.; Liu, J. A new sustainable scheduling method for hybrid flow-shop subject to the characteristics of parallel machines. IEEE Access 2020, 8, 79998–80009. [Google Scholar] [CrossRef]
- Zhou, B.; Liu, W. Energy-efficient multi-objective scheduling algorithm for hybrid flow shop with fuzzy processing time. Proc. Inst. Mech. Eng. Part I J. Syst. Control Eng. 2019, 233, 1282–1297. [Google Scholar] [CrossRef]
- Xu, F.; Tang, H.; Xun, Q.; Lan, H.; Liu, X.; Xing, W.; Zhu, T.; Wang, L.; Pang, S. Research on green reentrant hybrid flow shop scheduling problem based on improved moth-flame optimization algorithm. Processes 2022, 10, 2475. [Google Scholar] [CrossRef]
- Bello, I.; Pham, H.; Le, Q.V.; Norouzi, M.; Bengio, S. Neural combinatorial optimization with reinforcement learning. arXiv 2016, arXiv:1611.09940. [Google Scholar] [CrossRef]
- Bogyrbayeva, A.; Yoon, T.; Ko, H.; Lim, S.; Yun, H.; Kwon, C. A deep reinforcement learning approach for solving the traveling salesman problem with drone. Transp. Res. Part C Emerg. Technol. 2023, 148, 103981. [Google Scholar] [CrossRef]
- Liu, C.-L.; Chang, C.-C.; Tseng, C.-J. Actor-critic deep reinforcement learning for solving job shop scheduling problems. IEEE Access 2020, 8, 71752–71762. [Google Scholar] [CrossRef]
- Luo, J.; Li, C.; Fan, Q.; Liu, Y. A graph convolutional encoder and multi-head attention decoder network for TSP via reinforcement learning. Eng. Appl. Artif. Intell. 2022, 112, 104848. [Google Scholar] [CrossRef]
- Ma, Q.; Ge, S.; He, D.; Thaker, D.; Drori, I. Combinatorial optimization by graph pointer networks and hierarchical reinforcement learning. arXiv 2019, arXiv:1911.04936. [Google Scholar] [CrossRef]
- Zhang, R.; Zhang, C.; Cao, Z.; Song, W.; Tan, P.S.; Zhang, J.; Wen, B.; Dauwels, J. Learning to solve multiple-TSP with time window and rejections via deep reinforcement learning. IEEE Trans. Intell. Transp. Syst. 2022, 24, 1325–1336. [Google Scholar] [CrossRef]
- Fellek, G.; Farid, A.; Gebreyesus, G.; Fujimura, S.; Yoshie, O. Graph transformer with reinforcement learning for vehicle routing problem. IEEJ Trans. Electr. Electron. Eng. 2023, 18, 701–713. [Google Scholar] [CrossRef]
- Foa, S.; Coppola, C.; Grani, G.; Palagi, L. Solving the vehicle routing problem with deep reinforcement learning. arXiv 2022, arXiv:2208.0020. [Google Scholar]
- Lin, B.; Ghaddar, B.; Nathwani, J. Deep reinforcement learning for the electric vehicle routing problem with time windows. IEEE Trans. Intell. Transp. Syst. 2021, 23, 11528–11538. [Google Scholar] [CrossRef]
- Nazari, M.; Oroojlooy, A.; Snyder, L.; Takác, M. Reinforcement learning for solving the vehicle routing problem. Adv. Neural Inf. Process. Syst. 2018, 31, 9861–9871. [Google Scholar]
- Pan, W.; Liu, S.Q. Deep reinforcement learning for the dynamic and uncertain vehicle routing problem. Appl. Intell. 2023, 53, 405–422. [Google Scholar] [CrossRef]
- Phiboonbanakit, T.; Horanont, T.; Huynh, V.-N.; Supnithi, T. A hybrid reinforcement learning-based model for the vehicle routing problem in transportation logistics. IEEE Access 2021, 9, 163325–163347. [Google Scholar] [CrossRef]
- Pan, Z.; Wang, L.; Dong, C.; Chen, J.-F. A knowledge-guided end-to-end optimization framework based on reinforcement learning for flow shop scheduling. IEEE Trans. Ind. Inform. 2023, 20, 1853–1861. [Google Scholar] [CrossRef]
- Dong, Z.; Ren, T.; Weng, J.; Qi, F.; Wang, X. Minimizing the late work of the flow shop scheduling problem with a deep reinforcement learning based approach. Appl. Sci. 2022, 12, 2366. [Google Scholar] [CrossRef]
- Wang, Z.; Cai, B.; Li, J.; Yang, D.; Zhao, Y.; Xie, H. Solving non-permutation flow-shop scheduling problem via a novel deep reinforcement learning approach. Comput. Oper. Res. 2023, 151, 106095. [Google Scholar] [CrossRef]
- Zhang, J.-D.; He, Z.; Chan, W.-H.; Chow, C.-Y. DeepMAG: Deep reinforcement learning with multi-agent graphs for flexible job shop scheduling. Knowl.-Based Syst. 2023, 259, 110083. [Google Scholar] [CrossRef]
- Jing, X.; Yao, X.; Liu, M.; Zhou, J. Multi-agent reinforcement learning based on graph convolutional network for flexible job shop scheduling. J. Intell. Manuf. 2024, 35, 75–93. [Google Scholar] [CrossRef]
- Lei, K.; Guo, P.; Zhao, W.; Wang, Y.; Qian, L.; Meng, X.; Tang, L. A multi-action deep reinforcement learning framework for flexible Job-shop scheduling problem. Expert Syst. Appl. 2022, 205, 117796. [Google Scholar] [CrossRef]
- Wang, H.; Cheng, J.; Liu, C.; Zhang, Y.; Hu, S.; Chen, L. Multi-objective reinforcement learning framework for dynamic flexible job shop scheduling problem with uncertain events. Appl. Soft Comput. 2022, 131, 109717. [Google Scholar] [CrossRef]
- Chen, R.; Yang, B.; Li, S.; Wang, S. A self-learning genetic algorithm based on reinforcement learning for flexible job-shop scheduling problem. Comput. Ind. Eng. 2020, 149, 106778. [Google Scholar] [CrossRef]
- Li, H.; Gao, K.; Duan, P.-Y.; Li, J.-Q.; Zhang, L. An improved artificial bee colony algorithm with Q-learning for solving permutation flow-shop scheduling problems. IEEE Trans. Syst. Man Cybern. Syst. 2022, 53, 2684–2693. [Google Scholar] [CrossRef]
- Pan, Z.; Wang, L.; Wang, J.; Lu, J. Deep reinforcement learning based optimization algorithm for permutation flow-shop scheduling. IEEE Trans. Emerg. Top. Comput. Intell. 2021, 7, 983–994. [Google Scholar] [CrossRef]
- Li, Y.; Wang, C.; Gao, L.; Song, Y.; Li, X. An improved simulated annealing algorithm based on residual network for permutation flow shop scheduling. Complex Intell. Syst. 2021, 7, 1173–1183. [Google Scholar] [CrossRef]
- Guo, D.; Liu, S.; Ling, S.; Li, M.; Jiang, Y.; Li, M.; Huang, G.Q. The marriage of operations research and reinforcement learning: Integration of NEH into Q-learning algorithm for the permutation flowshop scheduling problem. Expert Syst. Appl. 2024, 255, 124779. [Google Scholar] [CrossRef]
- Zhao, F.; Jiang, T.; Wang, L. A reinforcement learning driven cooperative meta-heuristic algorithm for energy-efficient distributed no-wait flow-shop scheduling with sequence-dependent setup time. IEEE Trans. Ind. Inform. 2022, 19, 8427–8440. [Google Scholar] [CrossRef]
- Bao, H.; Pan, Q.; Ruiz, R.; Gao, L. A collaborative iterated greedy algorithm with reinforcement learning for energy-aware distributed blocking flow-shop scheduling. Swarm Evol. Comput. 2023, 83, 101399. [Google Scholar] [CrossRef]
- Yu, H.; Gao, K.; Li, Z.; Suganthan, P.N. Energy-efficient multi-objective distributed assembly permutation flowshop scheduling by Q-learning based meta-heuristics. Appl. Soft Comput. 2024, 166, 112247. [Google Scholar] [CrossRef]
- Li, R.; Gong, W.; Lu, C. A reinforcement learning based RMOEA/D for bi-objective fuzzy flexible job shop scheduling. Expert Syst. Appl. 2022, 203, 117380. [Google Scholar] [CrossRef]
- Li, Y.; Liao, C.; Wang, L.; Xiao, Y.; Cao, Y.; Guo, S. A reinforcement learning-artificial bee colony algorithm for flexible job-shop scheduling problem with lot streaming. Appl. Soft Comput. 2023, 146, 110658. [Google Scholar] [CrossRef]
- Zhang, Z.; Fu, Y.; Gao, K.; Pan, Q.; Huang, M. A learning-driven multi-objective cooperative artificial bee colony algorithm for distributed flexible job shop scheduling problems with preventive maintenance and transportation operations. Comput. Ind. Eng. 2024, 196, 110484. [Google Scholar] [CrossRef]
- Tang, H.; Xiao, Y.; Zhang, W.; Lei, D.; Wang, J.; Xu, T. A DQL-NSGA-III algorithm for solving the flexible job shop dynamic scheduling problem. Expert Syst. Appl. 2024, 237, 121723. [Google Scholar] [CrossRef]
- Vinyals, O.; Fortunato, M.; Jaitly, N. Pointer networks. Adv. Neural Inf. Process. Syst. 2015, 28, 2692–2700. [Google Scholar]
- Taillard, E. Benchmarks for basic scheduling problems. Eur. J. Oper. Res. 1993, 64, 278–285. [Google Scholar] [CrossRef]
- Liang, Z.; Zhong, P.; Liu, M.; Zhang, C.; Zhang, Z. A computational efficient optimization of flow shop scheduling problems. Sci. Rep. 2022, 12, 845. [Google Scholar] [CrossRef]
- Tseng, L.-Y.; Lin, Y.-T. A hybrid genetic algorithm for no-wait flowshop scheduling problem. Int. J. Prod. Econ. 2010, 128, 144–152. [Google Scholar] [CrossRef]
- Zobolas, G.; Tarantilis, C.D.; Ioannou, G. Minimizing makespan in permutation flow shop scheduling problems using a hybrid metaheuristic algorithm. Comput. Oper. Res. 2009, 36, 1249–1267. [Google Scholar] [CrossRef]
- Davendra, D.; Bialic-Davendra, M. Scheduling flow shops with blocking using a discrete self-organising migrating algorithm. Int. J. Prod. Res. 2013, 51, 2200–2218. [Google Scholar] [CrossRef]
- Zhao, F.; Liu, H.; Zhang, Y.; Ma, W.; Zhang, C. A discrete water wave optimization algorithm for no-wait flow shop scheduling problem. Expert Syst. Appl. 2018, 91, 347–363. [Google Scholar] [CrossRef]
- Marichelvam, M.; Tosun, Ö.; Geetha, M. Hybrid monkey search algorithm for flow shop scheduling problem under makespan and total flow time. Appl. Soft Comput. 2017, 55, 82–92. [Google Scholar] [CrossRef]
Disclaimer/Publisher’s Note: The statements, opinions and data contained in all publications are solely those of the individual author(s) and contributor(s) and not of MDPI and/or the editor(s). MDPI and/or the editor(s) disclaim responsibility for any injury to people or property resulting from any ideas, methods, instructions or products referred to in the content. |
© 2025 by the authors. Licensee MDPI, Basel, Switzerland. This article is an open access article distributed under the terms and conditions of the Creative Commons Attribution (CC BY) license (https://creativecommons.org/licenses/by/4.0/).











