Abstract
Geometrical optics stability analysis has proven effective in deriving analytical instability criteria for 3D flows in ideal hydrodynamics and magnetohydrodynamics, encompassing both compressible and incompressible fluids. The method models perturbations as high-frequency wavelets, evolving along fluid trajectories. Detecting local instabilities reduces to solving ODEs for the wave vector and amplitude of the wavelet envelope along streamlines, with coefficients derived from the background flow. While viscosity and diffusivity were traditionally regarded as stabilizing factors, recent extensions of the geometrical optics framework have revealed their destabilizing potential in visco-diffusive and multi-diffusive flows. This review highlights these advancements, with a focus on their application to the azimuthal magnetorotational instability in magnetohydrodynamics and the McIntyre instability in lenticular vortices and swirling differentially heated flows. It introduces new analytical instability criteria, applicable across a wide range of Prandtl, Schmidt, and magnetic Prandtl numbers, which still remains beyond the reach of numerical methods in many important physical and industrial applications.
Keywords:
rotating flows; swirling flows; magnetized flows; double diffusion; dissipation-induced instabilities; local stability analysis; magnetorotational instability; McIntyre instability MSC:
76M45; 76E20; 76E25; 76U05; 35B35; 35Q35; 37J25; 47B50; 58K60; 58K45
1. Introduction
Consider a system of coupled nonlinear partial differential equations (PDEs) modeling a physical phenomenon in hydrodynamics or magnetohydrodynamics, incorporating additional factors such as fluid compressibility, rotation, density stratification, thermal gradients, and electromagnetic fields. Let the vector represent the unknown functions governed by the system. This vector includes the fluid velocity field , pressure , and other quantities that may vary depending on the model, such as electromagnetic fields, temperature, or density, all of which depend on spatial coordinates and time t.
Assume the base state of the system, described by the vector , is known. To analyze its stability, we consider small perturbations such that , where . Linearizing the governing nonlinear equations about the base state produces a system of linear partial differential equations, enabling linear stability analysis and the application of the indirect Lyapunov method to establish instability criteria [1,2]. The validity of this approach is supported, e.g, by the studies [3,4], which demonstrate a connection between linear and nonlinear instability under specific conditions on the associated linear and nonlinear operators.
Introducing a small parameter , we seek solutions to the linearized equations as asymptotic expansions in :
where , is the wave phase (eikonal), and () are complex-valued amplitudes. The remainder is assumed to remain uniformly bounded in over any fixed time interval [5,6,7,8,9,10,11,12].
Substituting (1) into the linearized system and collecting terms at orders and yields a system of PDEs comprising the eikonal equation for and transport equations for the amplitude , with initial conditions and .
Consider a fluid element following the trajectory
Since the eikonal and transport equations involve only the advective derivative along the base flow velocity [9,10,13], the eikonal equation becomes an ODE describing the evolution of the wave vector along the streamline (2), with initial condition . Similarly, the transport equations become a system of ODEs along the streamlines for the amplitudes , forming the complete system of characteristic equations. These describe the motion of the perturbation envelope (viewed as a high-frequency wavelet [9]) initially localized at , along with the fluid elements passing through at [9,10,13].
For a sufficiently small , the leading-order terms dominate the solution (1) over an extended time [9,11]. This reduces the stability analysis to studying the growth rates of solutions of the transport ODEs, which are generally non-autonomous due to the time dependence of the wave vector. Stability conditions are determined by the boundedness of solutions: the existence of unbounded solutions implies instability [9,10]. This localized analysis provides sufficient instability and necessary stability conditions along the trajectories of the flow [9,10].
The geometrical optics stability analysis has proven highly effective in addressing stability problems in ideal hydrodynamics and magnetohydrodynamics for 3D flows, both compressible and incompressible, characterized by complex streamlines. Applications span a broad range of systems, including circular Couette–Taylor flow [14], flows with elliptical [15,16,17,18] and hyperbolic [16,19] streamlines; chaotic streamline systems like the ABC flow [14], helical (swirling) compressible [5,20] and incompressible [7,20] flows; vortex rings with swirl [21,22]; Kelvin–Helmholtz vortices [23]; Riemann ellipsoids in celestial mechanics [24,25,26]; geophysical flows [10]; and hydromagnetic systems [27,28,29,30,31,32]. For ideal flows with elliptical streamlines subject to elliptical parametric instability, the periodic amplitude transport equations are effectively addressed either numerically [26,33] or through perturbation methods [29,30], in combination with Floquet theory [15].
Maslov [34] noted that high-frequency oscillations of the form rapidly decay due to viscosity, unless a quadratic dependence of viscosity on the small parameter is assumed: . This assumption allowed the extension of geometrical optics stability analysis to the Navier-=Stokes equations [11], where an integral transformation of the amplitude reduced the viscous transport equations to their inviscid form, revealing the stabilizing influence of viscosity [9,11,14,19]. Consequently, early applications of geometrical optics stability analysis were restricted to cases where viscosity or diffusivity had a purely stabilizing effect, even in visco-diffusive or multiple-diffusive settings [19,35].
For instance, to reduce mathematical complexity, early studies often assumed a Prandtl number or a Schmidt number , corresponding to an equal ratio of viscosity to either heat conductivity or molecular diffusivity of the stratifying agent, respectively. Leblanc [36] highlighted the unique role of , stating: “The standard transformation used in non-stratified flows [19] is not valid here, except in the exceptional case where , which may be treated in closed form. In that case, introducing a change of variables reduces the amplitude equation to an inviscid homogeneous Hill’s equation. With the wave vector being periodic and bounded in time, inviscid resonances are either damped or eventually suppressed by diffusion”. For large Prandtl (Schmidt) numbers but small viscosity and diffusivity, particularly with vanishing thermal diffusivity, Leblanc further reduced the problem to a damped Mathieu equation, demonstrating that under certain conditions “viscosity suppresses parametric instability”.
Similar observations have been made in magnetohydrodynamics, where both viscous dissipation and magnetic diffusion (their ratio is the magnetic Prandtl number, ) were considered [31]: “This shows first that if the diffusivities are equal, the only effect of dissipation is a reduction in growth rate. Second, assuming magnetic diffusivity is vanishingly small, the impact of dissipation primarily manifests as a decrease in the growth rate”.
Building on the studies [37,38,39], which analyzed helical and azimuthal magnetorotational instabilities under the geometrical optics framework, it became clear that this method is effective even for systems with unequal diffusivities. In particular, it enabled the derivation of new analytical criteria for dissipation-induced instabilities, including the Goldreich–Schubert–Fricke instability [13], McIntyre instability [40,41,42], and salt-fingering double-diffusive instability [42].
Recently, Singh and Mathur [43] applied the geometrical optics approach to investigate the effect of the Schmidt number on elliptical instability under stable stratification. Their findings revealed that significantly alters inviscid instability behavior and introduces a new branch of oscillatory instability, absent when . This observation aligns with earlier studies that demonstrated that damping broadens the region of combination parametric resonance in the context of solid mechanics and nonlinear dynamics [44,45].
These advancements have expanded the applicability of geometrical optics stability analysis to visco-diffusive and multi-diffusive rotating flows with circular and elliptical streamlines over a broad range of Prandtl, Schmidt, and magnetic Prandtl numbers; see, e.g., the recent studies [33,46,47,48].
In this review paper, we address three characteristic problems using the extended geometrical optics analysis. The first of these is the inductionless azimuthal magnetorotational instability (AMRI) in magnetohydrodynamics, important both in the astrophysical context of onset of turbulence in accretion disks and in the engineering context of liquid metal technology and related experiments [49]. The geometrical optics approach enabled us to identify conditions for the instability of quasi-Keplerian, differentially rotating, magnetized fluids subjected to azimuthal non-homogeneous magnetic fields, thereby overcoming the well-known “Liu limit” for the Rossby number, which quantifies the shear strength of the flow [37,38]. Building on the framework introduced in [1,39], we reinterpret AMRI within the broader theory of dissipation-induced instabilities [1,2,45]. Specifically, we analyze it as a Hamilton–Hopf bifurcation in the absence of diffusion and investigate the visco-diffusive AMRI as its dissipative unfolding. This analysis reveals a singular “Whitney umbrella” structure [45,50] on the neutral stability surface, elucidating the critical role of the magnetic Prandtl number . Furthermore, it establishes a connection between viscous or diffusive destabilization and the energy (or Krein) sign of the modes involved in the diffusionless Hamilton–Hopf bifurcation.
Next, following [40], we focus on the visco-diffusive instabilities of a “Gaussian lens” model representing a baroclinic lenticular vortex with the shape of an oblate ellipsoid, differentially rotating in a vertically stratified ambient fluid. This model facilitates the study of coherent lenticular vortices, which are ubiquitous in Earth’s oceans (commonly known as “Meddies” in oceanographic contexts) [51] and were recently observed in Earth’s stratosphere following wildfires in Canada and Australia [52]. Additionally, lenticular vortices represent long-lived coherent structures in the atmospheres of giant planets, such as Jupiter’s Great Red Spot [53]. High temperature and concentration gradients often occur at the periphery of lenticular vortices due to their interaction with colder and more dilute ambient fluid. Both isolated and interacting lenticular vortices can emit internal gravity waves and exhibit fine-scale layering, driven by visco-diffusive and multi-diffusive mechanisms that may eventually lead to their disintegration. In this context, we present the analytical criteria of the McIntyre-like [41] visco-diffusive instability of Gaussian lenses and discuss the role of the Schmidt number in the onset of oscillatory and monotonic instabilities in these coherent structures.
Finally, using the ideas presented in [13,47], we examine the visco-thermodiffusive McIntyre instability of spiral Poiseuille flow (SPF) with a radial temperature gradient (SPFRT) using the generalized geometrical optics approach. The SPFRT combines a circular Couette flow and an annular Poiseuille flow driven by an axial pressure gradient, while the radial temperature gradient induces centrifugal buoyancy. Vertical Archimedean buoyancy is neglected [54] compared to the relevant recent study [47], a simplification that enables the derivation of analytical approximations for the thresholds of both oscillatory and monotonic McIntyre instability in these swirling flows. An important advancement in this study is based on the relationship between parametric optimization and the construction of envelopes of curve families [55]. This approach allows for the derivation of universal stability criteria by computing the envelopes of neutral stability curves, parameterized by the axial (or equivalently, azimuthal) wavenumber. By treating the equations for neutral stability curves as polynomials in the wavenumber, we identify their discriminant set, which includes the equation for the envelope and provides explicit instability criteria.
2. Singular Diffusionless Limit of Visco-Diffusive Instabilities in Magnetohydrodynamics
2.1. Governing Equations and Background Fields
Following [39], we consider azimuthal magnetorotational instability (AMRI) as a visco-diffusive oscillatory instability. The dynamics of a viscous, electrically conducting, incompressible Newtonian fluid interacting with a magnetic field are governed by the coupled Navier–Stokes and induction equations [1,37,38,39]:
where is the total pressure, p is the hydrodynamic pressure, is the density, is the kinematic viscosity, is the magnetic diffusivity, is the fluid’s conductivity, and is the magnetic permeability of free space. The flow velocity field and magnetic field are subject to the incompressibility and solenoidal field constraints:
For a differentially rotating flow in the gap between radii and and purely azimuthal magnetic field, the steady solution to (3) and (4) has the following form:
in cylindrical coordinates .
In the magnetized circular Couette–Taylor flow (5), the angular velocity profile and the azimuthal magnetic field are arbitrary functions of r subject to boundary conditions for an inviscid, non-resistive fluid. For viscous and resistive fluids, these profiles become and , with coefficients determined by boundary conditions. In the context of local linear stability analysis, boundary conditions are neglected, and the steady state of the visco-diffusive system coincides with that of the diffusionless system.
2.2. Transport Equations for Amplitudes and Their Dispersion Relation
Linearizing Equations (3) and (4) near the stationary solution (5), and seeking a solution in asymptotic form (1) under the assumptions and [34], we derive transport equations for the amplitudes and [28,37,38,39]:
where is the identity matrix, and the gradients of the background fields are
with the time evolution of the wave vector given by
where . Equations (6) and (8) hold if .
Defining and , we introduce the Alfvén angular velocity, viscous and resistive frequencies, and the hydrodynamic and magnetic Reynolds numbers [37,38]:
and the fluid and magnetic Rossby numbers [37]:
where . Note that with as the magnetic Prandtl number.
Seeking solutions to Equations (6) in modal form [27,39], and , the amplitude equations yield
where and with
Here, is the modified azimuthal wavenumber, and is the Alfvén angular velocity in units of .
Defining a Hermitian matrix
the indefinite inner product in becomes [1,39], with the standard inner product . The matrix is Hermitian:
The eigenvalue problem transforms to Hamiltonian form with [1,39]:
The symmetry ensures the spectrum of is symmetric about the imaginary axis.
2.3. Krein Sign and Splitting of Double Eigenvalues with Jordan Block
A simple imaginary eigenvalue of the eigenvalue problem (15), with eigenvector , has a positive Krein sign if and a negative Krein sign if [1,39].
Let represent the parameters of the matrix , i.e., . Suppose that, at , the matrix has a double imaginary eigenvalue , with a Jordan chain consisting of eigenvector and associated vector , satisfying
Applying transposition and complex conjugation, we obtain
From these, it follows that and .
Varying the parameters along a curve , where is a real parameter, yields:
with
Given that is real and is imaginary, we assume . For , the eigenvalue splits into (stability). For , the split produces a pair of complex eigenvalues with real parts of opposite signs (instability). Thus, the system exhibits a linear Hamilton–Hopf bifurcation at , which is a regular point on the stability boundary.
For , the indefinite inner product of perturbed eigenvectors gives [1,39]
Hence, and have opposite Krein signs. As decreases towards zero, these eigenvalues merge at and then split into complex eigenvalues for . The presence of opposite Krein signs is both a necessary and sufficient condition for the imaginary eigenvalues to leave the imaginary axis.
Below, we demonstrate the Krein collision at the onset of the diffusionless azimuthal magnetorotational instability (AMRI) by calculating the roots of the dispersion relation both analytically and numerically.
2.4. Threshold of Oscillatory Instability in the Diffusionless Case
In the Hamiltonian case (, ), the dispersion relation has a compact form [1,27,39]:
where . For , this factorizes into
The negative discriminant of the cubic polynomial factor provides the criterion for oscillatory instability [1,39]:
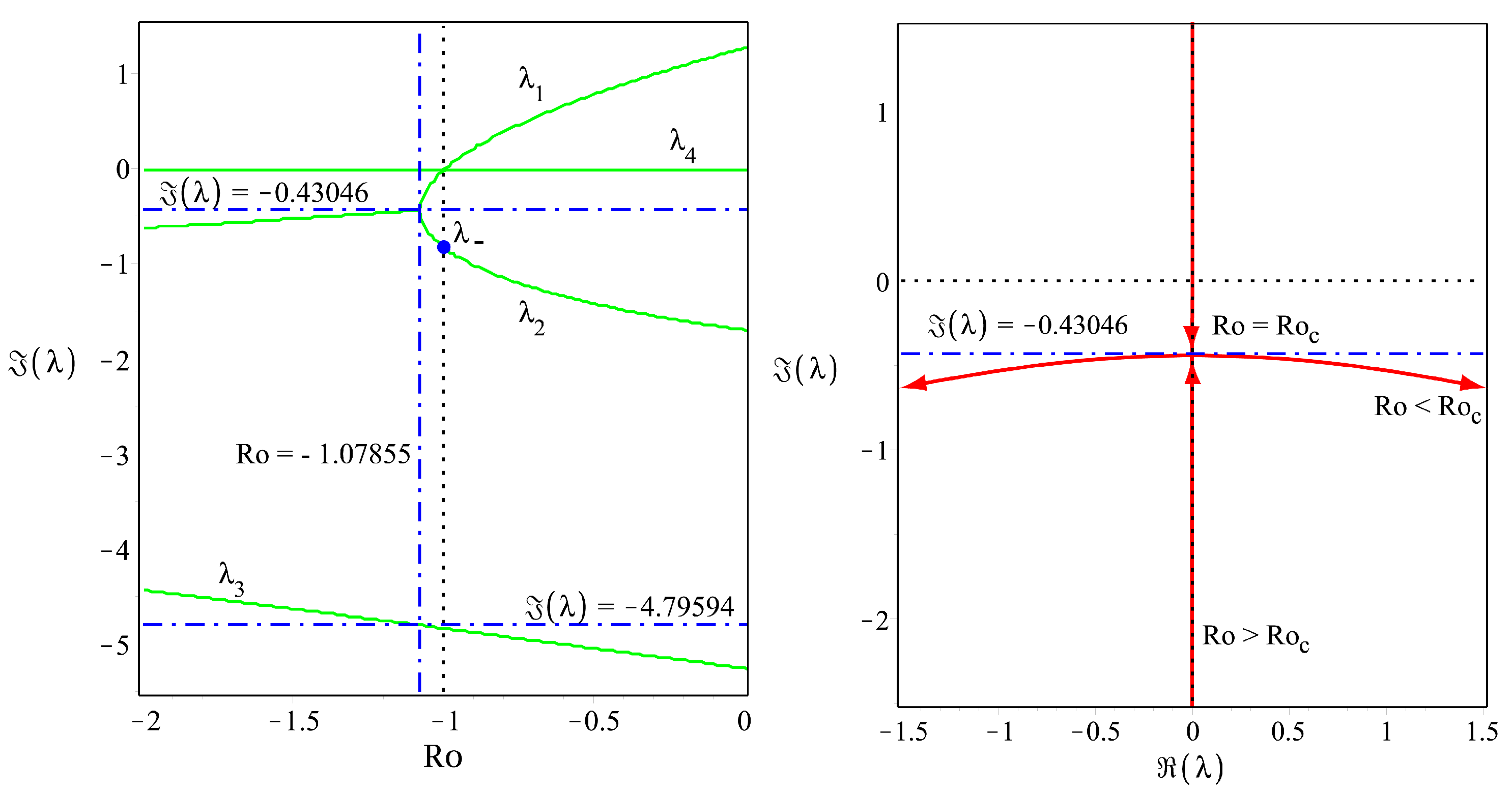
Equality in (26) marks the transition from marginal stability to oscillatory instability via a linear Hamilton–Hopf bifurcation (see Figure 1). Marginal stability corresponds to one eigenvalue being zero and simple, another simple and imaginary, and the last two forming a double imaginary eigenvalue with a Jordan block. At , the critical fluid Rossby number is derived from (26)
Figure 1.
(Left) Evolution of the root frequencies of the dispersion relation (25) as varies for , , and , highlighting the Hamilton–Hopf bifurcation at as determined by (27). (Right) The corresponding linear Hamilton–Hopf bifurcation in the complex plane. As decreases, two simple imaginary eigenvalues collide to form a double imaginary eigenvalue with a Jordan block (an exceptional point [1,39]). This eigenvalue then splits into two complex ones, signaling the onset of oscillatory instability.
Although Krein signs of the imaginary eigenvalues in Figure 1 can be evaluated numerically, it is instructive to analyze the case and . Here, Equation (25) yields a double semi-simple zero eigenvalue with eigenvectors and , and two imaginary eigenvalues with eigenvectors and . See Figure 1 (left). These eigenvalues have opposite Krein signs [1,39]:
For instance, at , , implying that has a positive Krein sign. The solid circle representing belongs to the branch labeled in Figure 1 (left), where all eigenvalues for have positive Krein signs. Conversely, according to (23), the branch eigenvalues in Figure 1 (left) have negative Krein signs in the same range.
Thus, the onset of nonaxisymmetric oscillatory instability (diffusionless AMRI) involves a Krein collision between modes of positive and negative Krein signs. Krein signs directly relate to the energy sign of a mode, and the linear Hamilton–Hopf bifurcation represents a collision of imaginary eigenvalues with opposite Krein (energy) signs [1,2,39].
2.5. Dissipative Perturbation of Simple Imaginary Eigenvalues
The complex non-Hermitian matrix of the dissipative perturbation, , can be decomposed into Hermitian and anti-Hermitian components: , where [1,39]
At a large , the increment to a simple imaginary eigenvalue with eigenvector is determined using standard perturbation theory [1,39]:
The increment due to the Hermitian component, , is purely imaginary. Notably, when , implying that frequencies are unaffected by the Hermitian component of the dissipative perturbation when the contributions of viscosity and resistivity are equal.
In contrast, the increment due to the anti-Hermitian component, , is real. For example, the eigenvalues and in Figure 1 (left) acquire the following increments:
where h is the harmonic mean of the two Reynolds numbers.
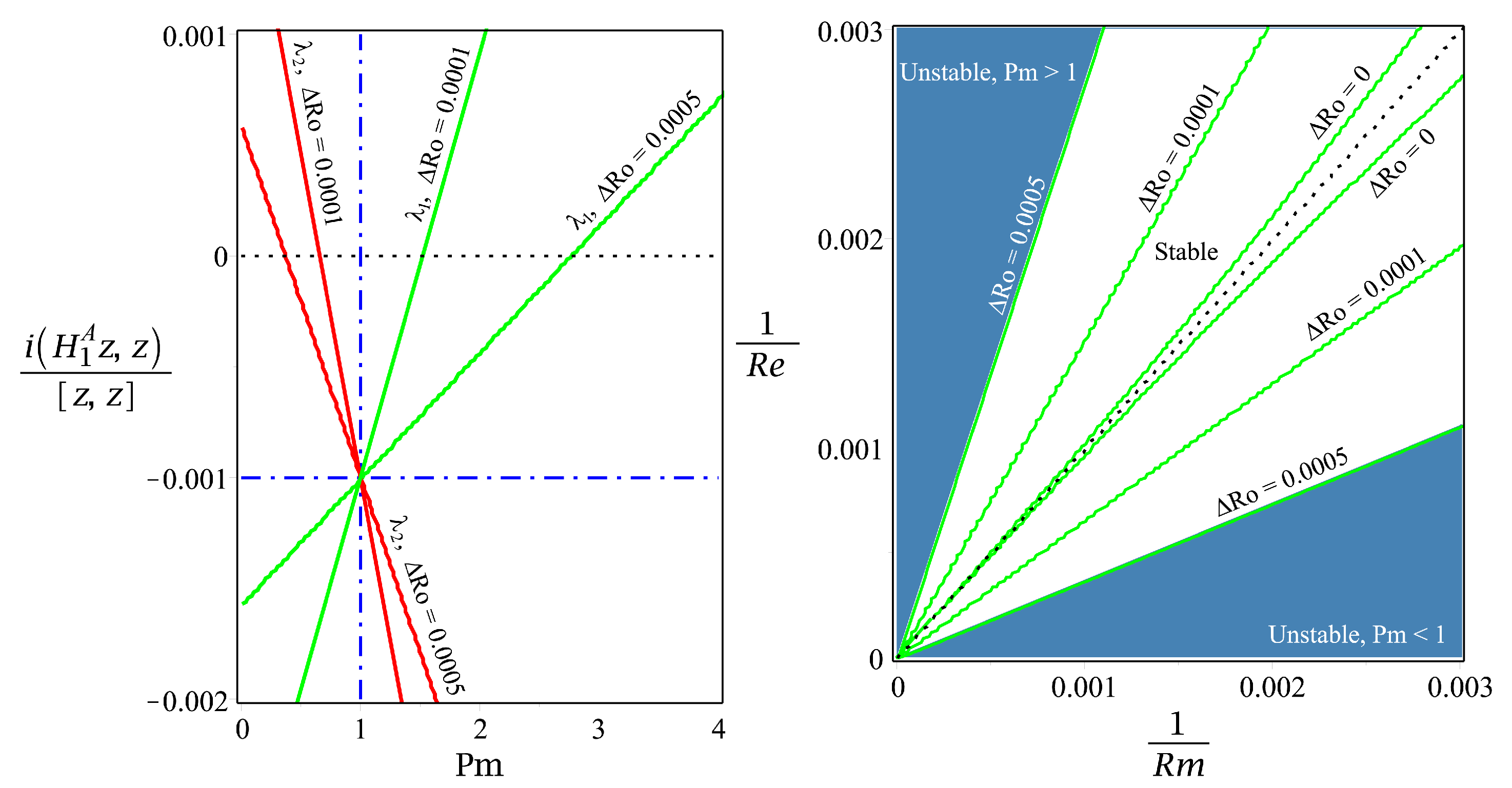
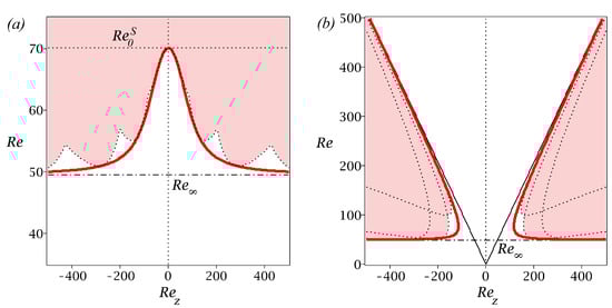
In the vicinity of the critical Rossby number for the Hamilton–Hopf bifurcation, , the real increment to the imaginary eigenvalues (with a negative Krein sign) and (with a positive Krein sign) is shown in Figure 2 (left) for fixed and varying (where the fluid Reynolds number is calculated as ).
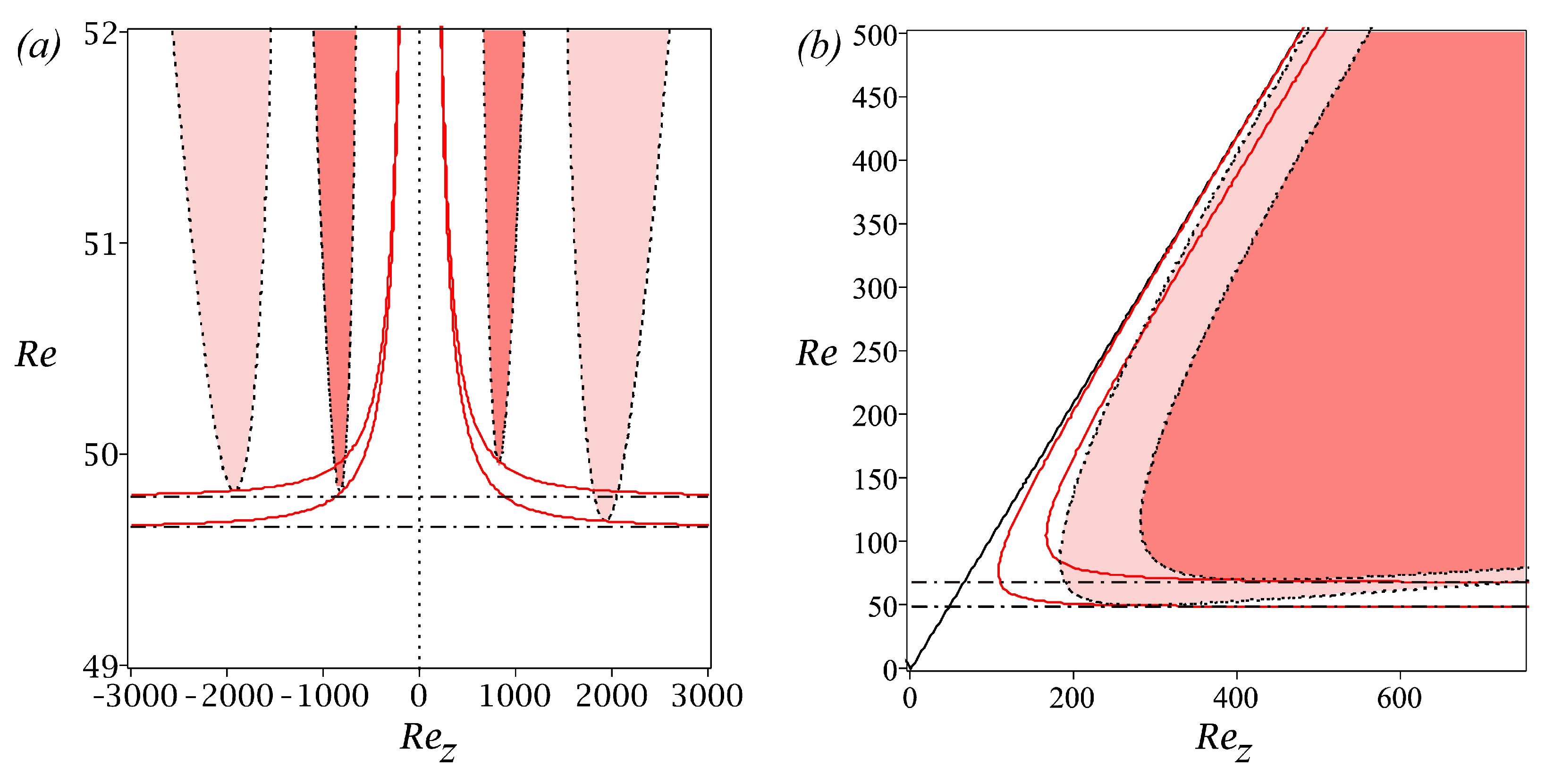
Figure 2.
(Left) Real increments for eigenvalues (negative Krein sign) and (positive Krein sign) as computed from Equation (29), with . The stability interval (negative increments) around narrows as approaches zero. (Right) Neutral stability curves in the plane, corresponding to inverse magnetic and fluid Reynolds numbers, for , , and , at various values of . For , the stability domain forms an angular sector, while at , it exhibits a cusp with a single tangent line at [1,39].
Eigenvalues with a negative Krein sign become dissipatively destabilized when , i.e., when fluid viscosity dominates over ohmic losses. Interestingly, eigenvalues with a positive Krein sign can also develop positive growth rates. This occurs for , where electrical resistivity outweighs kinematic viscosity.
The interval of negative real increments in Figure 2 (left) shrinks as the deviation from the critical Rossby number, , approaches zero. At , the stable interval reduces to a single point: . Thus, weak ohmic diffusion () destabilizes positive-energy waves, while weak kinematic viscosity () destabilizes negative-energy waves, provided is sufficiently small.
2.6. Diffusionless and Visco-Diffusive Criteria Meet at
We extend the sensitivity analysis of eigenvalues for the diffusionless Hamiltonian eigenvalue problem under visco-diffusive perturbation by directly computing the stability boundaries using the algebraic Bilharz stability criterion. This criterion ensures that all roots of a complex polynomial of degree n lie to the left of the imaginary axis in the complex plane if all even-order principal minors of the Bilharz matrix, constructed from the real and imaginary parts of the polynomial coefficients, are positive [1].
Applying the Bilharz criterion to (18), we plot the neutral stability curves in the plane of inverse Reynolds numbers, and , for various values of , where is defined in (27). These plots, shown in Figure 2 (right), correspond to , , and . Notably, the diagonal line corresponding to remains within the stability domain for and is the only tangent to the stability boundary at the cuspidal origin when .
2.7. Visco-Diffusive Instability at
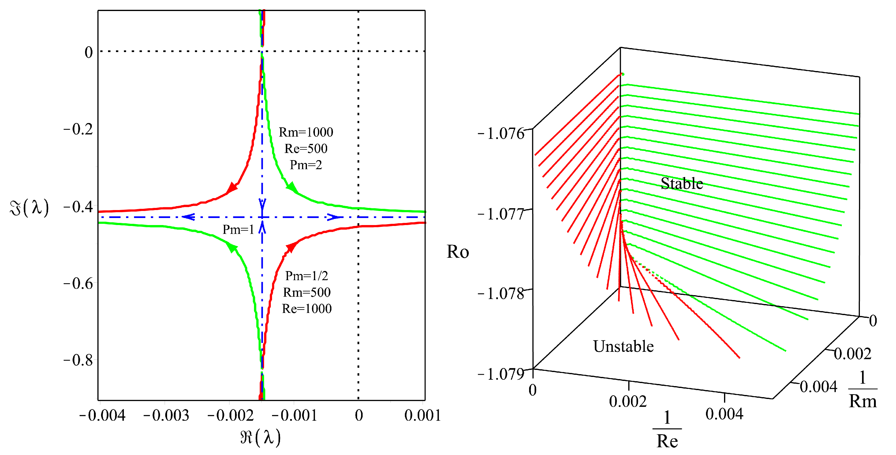
As , varying at fixed , , and n leads to a bifurcation at of the double complex eigenvalue (31) with a negative real part of , as shown in Figure 3 (left). At , dissipation shifts the Hamilton–Hopf bifurcation to the left in the complex plane, so the oscillatory instability in the visco-diffusive system with equal viscosity and resistivity occurs through the classical Hopf bifurcation at , with approaching as .
Figure 3.
(Left) At , , and , the dot-dashed lines illustrate the interaction of complex eigenvalues with negative real parts in the complex -plane as decreases, with , i.e., . At , the eigenvalues merge into the double complex eigenvalue (31). The quasi-hyperbolic curves show the imperfect merging of modes (avoided crossing), where the mode with positive Krein (energy) sign becomes unstable for and the mode with negative Krein (energy) sign becomes unstable for . (Right) The neutral stability surface, represented by contours of in the -space, has a “Whitney umbrella” singular point at , yielding a cusp in the cross-section with a single tangent line at [1,39].
When the magnetic Prandtl number deviates slightly from , the shifted Hamilton–Hopf bifurcation unfolds into two quasi-hyperbolic eigenvalue branches, passing close in an avoided crossing [56] centered at the exceptional point of (31) with a real part, , where is the harmonic mean of the fluid and magnetic Reynolds numbers (), as seen in Figure 3 (left).
The unfolding of the eigenvalue crossing into an avoided crossing depends on the sign of . For (), the complex eigenvalues, originating from the imaginary eigenvalues of the diffusionless system with positive (negative) Krein sign, form a branch that bends rightward and crosses the imaginary axis at some , as shown in Figure 3 (left), cf. [56]. The critical values of the visco-diffusive system lie on a surface in the -space, with a self-intersection along the -axis, as depicted in Figure 3 (right). The angle of the self-intersection tends to zero as , and at the point , the surface has a singularity, known as the Whitney umbrella [1,45,50].
Near the -axis, the instability threshold forms a ruled surface [50], with each ruler’s slope determined by . As the Reynolds numbers approach infinity while remains fixed, the -axis is approached along a ruler corresponding to that value of . For all values of except , a ruler leads to a limiting value of greater than , extending the instability interval compared to the diffusionless system, as seen in Figure 3 (right). The plane divides the neutral stability surface near into two regions, one for positive-energy modes destabilized by dominant ohmic diffusion at and one for negative-energy modes destabilized by dominant fluid viscosity at , as shown in Figure 3 (right). The ray defined by , lies within the stability domain and contains exceptional points (31) that govern the eigenvalue behavior shown in Figure 3 (left). The Whitney umbrella singularity of the neutral stability surface is the reason for persistence of diffusive destabilization even in the limit of vanishing dissipation [1,41,45,50].
3. Diffusive Instabilities of Baroclinic Lenticular Vortices
3.1. Nonlinear Equations of Motion and the Base State
Following [40], we consider a model of a circular lenticular vortex immersed in a deep, vertically stratified viscous incompressible Newtonian fluid under gravity and rotation. The coordinate system rotates with angular velocity , where f (the Coriolis parameter) can be positive or negative. Gravity is antiparallel to the -axis, and the centrifugal force is negligible [40,41]. The ambient fluid is linearly stratified along the direction of gravity, incorporating viscosity () and diffusion () of the stratifying agent, unlike McIntyre’s study [41], which considered viscosity and thermal diffusion.
The baroclinic vortex, modeled as an ellipsoid with angular velocity , is embedded in a motionless (in the rotating frame), stratified fluid far from the vortex core, with boundaries assumed non-influential. Adopting the Boussinesq–Oberbeck approximation, we describe the stable background density gradient as , where is the Brunt–Väisälä frequency. The total density is then presented as [40]
where the density anomaly captures the vortex’s internal stratification.
Introducing characteristic scales , with and , and the time scale yields the scales for pressure and for density [40]. The horizontal Froude number , vortex Rossby number , and Burger number are defined as
Anticyclonic (cyclonic) eddies correspond to () for . The Schmidt and Ekman numbers are given by:
where is the Reynolds number. Both and can be positive or negative but share the same sign.
The background flow is assumed to be purely azimuthal:
where is the dimensionless angular velocity. Then, from (32), the dimensionless density is [40]
with the density anomaly
and , , .
With the scaling adopted, the dimensionless equations of motion are
where , is the velocity field, P is the pressure, , , is the horizontal Laplacian, and is the modified gradient operator [40].
3.2. Linearization and Geometrical Optics Equations
Linearizing (38) about the base state (35), assuming [34,40], and seeking solutions in the asymptotic form (1), we derive transport equations for the leading-order amplitudes and of a localized wave packet moving along the base flow streamlines [40]:
where , , is the identity matrix, , and , given by
The matrix in (39) is defined by the wavevector and its scaled counterpart , where satisfies the eikonal equation
From (41), we find and to be constants, while . Introducing scaled wavenumbers and , where , we have . The matrix can then be expressed as
3.3. Dispersion Relation
As shown in [13,40], eliminating from (39) reduces the system to three equations for , , and . Introducing the complex growth rate and azimuthal wavenumber m via the ansatz,
yields the eigenvalue problem , where , , and is a matrix:
where is the angular momentum per unit mass, is the epicyclic frequency, and is the vertical oscillation frequency, given by
The dispersion relation is a cubic polynomial [40]:
where
and and are given by (40). The parameters and represent shear effects from differential rotation and buoyancy effects from ambient density stratification, respectively. Both can take positive or negative values depending on the vortex and stratification properties.
3.4. Stability Analysis
3.4.1. Diffusionless and Cases
When or , the dispersion relation (42) simplifies, factorizing into a product of quadratic and linear polynomials in , allowing explicit solutions.
In these cases, the eigenvalues associated with centrifugal instability are given by [40]
leading to the instability criterion:
3.4.2. Criteria for Visco-Diffusive Monotonic and Oscillatory Instabilities
Applying the Bilharz criterion to (42) with , the base flow is stable for and if and only if the following three inequalities are satisfied simultaneously [40]:
Conditions (46) are linear in and , allowing the stability domain to be represented in the plane [40,43]. The stability region is the intersection of the half-planes defined by (46a)–(46c), as shown in Figure 4.
Figure 4.
Stability maps showing codimension-2 points (47) on the neutral stability curve for and (a) , (b) , (c) , (d) , (e) , (f) . The red solid line marks the boundary of the monotonic axisymmetric (MA) instability domain (46c) (pink, light-shaded), while the blue solid line represents the boundary of the oscillatory axisymmetric (OA) instability domain (46a) (blue, dark-shaded). The stability domain is indicated in white. The dashed line corresponds to the envelope of the OA instability boundaries parametrized by , and the dot-dashed line indicates the neutral stability boundary for the diffusionless system (45). The oblique dotted line represents the condition (46b) [40].
The intersection of the neutral stability lines corresponding to the criteria (46) defines a codimension-2 point with the following coordinates [40,43]:
At this point, the slopes of the lines defining the inequalities (46a)–(46c) are
The relationships between the slopes depend on [40]:
Actually, reversed inequality (46c) determines monotonic axisymmetric (MA) instability, corresponding to a monotonically growing perturbation, while the reversed inequality (46a) stands for oscillatory axisymmetric (OA) instability, i.e., growing oscillation.
For , the slope of the neutral stability line defining (46c) is steeper than that defining (46a) (Figure 4a–c). This causes the stability domain to be convex, with a wedge extending into the region of centrifugal instability. The codimension-2 point, a well-known phenomenon in hydrodynamics [13], existing for , separates OA and MA instability regions. Diffusion destabilizes centrifugally stable vortices due to difference in the slopes and from , if the absolute values of and are large enough, as shown in Figure 4a–c.
At , the slopes (48) converge (), and the stability boundaries of the diffusionless and visco-diffusive systems coincide for . However, for , viscosity and diffusion can stabilize centrifugally unstable diffusionless vortices (Figure 4d).
For , the codimension-2 point reappears at infinity for and moves along an asymptotic direction until it reaches the final location at and as (Figure 4f). This qualitative change in location of the codimension-2 point is accompanied by the exchange of the stability criteria: the condition (46c) becomes dominating over (46a) and vice versa (Figure 4e,f).
Figure 4 provides evidence that stability boundary consisting of two straight lines that intersect at a codimension-2 point in the plane exhibit a qualitative change at such that, for (), the upper (lower) line corresponds to the onset of MA instability and the lower (upper) line to the onset of OA instability.
Even as , these qualitative phenomena persist, aligning with the properties of McIntyre instability [41] and other dissipation-induced instabilities [1,45,50]. The existence of the codimension-2 point qualitatively distinguishes the diffusive case from the diffusionless one, where the onset of instability corresponds to the monotonic axisymmetric centrifugal instability only, Figure 4d. Hence, the oscillatory axisymmetric instability is a genuine dissipation-induced instability [1] which is as important as the monotonic axisymmetric one despite its relatively low growth rate, because in a large set of parameters, the oscillatory axissymmetric modes are the first to be destabilized by the differential diffusion of mass and momentum.
4. Spiral Poiseuille Flow with Radial Temperature Gradient
4.1. Nonlinear Equations of Motion
Following [13,47,54], we consider an incompressible Newtonian fluid with constant reference density and constant thermal expansion coefficient , kinematic viscosity , and thermal diffusivity within an infinitely long cylindrical annulus with a gap width , where is the radius of the inner cylinder at temperature , rotating with angular velocity , and is the radius of the outer cylinder at temperature , rotating with angular velocity . The Z-axis of the cylindrical coordinates aligns with the common rotation axis of the cylinders. We assume the inner cylinder velocity, , to be the velocity scale, d the length scale, the time scale, and the pressure scale to write the dimensionless governing equations in the Boussinesq–Oberbeck approximation:
Here, p is pressure, represents the velocity field, is the temperature deviation, , , , and . The dimensionless control parameter in Equation (50) is the Reynolds number associated with the rotation of the inner cylinder, is the Prandtl number, and , with for inward heating [13,47].
4.2. Base State
We assume the base flow to be the spiral Poiseuille flow (SPF), which combines the annular Poiseuille flow, characterized by an axial velocity driven by an external pressure gradient, and the circular Couette flow, defined by the azimuthal velocity profile induced by the differential rotation of the cylinders. The two-component dimensionless velocity field of SPF and the base temperature distribution are expressed as
where is the swirl parameter, is the mean velocity of the annular Poiseuille flow, and , , and are the dimensionless axial, azimuthal, and temperature profiles, respectively. Defining the axial Reynolds number as , we can write .
The axial velocity profile of SPF is given by [54]
The azimuthal velocity profile in (51) corresponds to the circular Couette flow [13,54]:
The temperature profile in (51) is expressed as [13,54]
Here, the geometric and rotational parameters are defined as follows:
- , the ratio of the inner () to outer () cylinder radii;
- , the ratio of the angular velocities of the outer () to inner () cylinders;
- , the inner radius in dimensionless form;
- , the outer radius in dimensionless form;
- , the geometric mean radius, at which we will evaluate all parameters in subsequent analyses.
4.3. Geometrical Optics Equations
After linearization of the governing equations (50) about the base SPF flow (51), assuming in the linearized equations [34] and seeking a solution in the asymptotic form (1), we find the transport equations for the leading-order amplitudes and of the localized wave packet moving along the streamlines of the base flow written in the stationary frame [13,47]:
where is the identity matrix, and the eikonal equation determining the evolution of the wavevector , ; in the stationary frame,
The gradients of the base state are given by
with , , and the Rossby number is defined in (10).
4.4. Dispersion Relation
From Equation (56), it follows that, under the condition [5,7,47],
the components of the wave vector remain time-independent in the rotating frame: , , . This condition describes the most unstable and exponentially growing 3D perturbations in swirling flows that exhibit helical symmetry, i.e., remain invariant along circular helices with a pitch of [5,7,47]. Additionally, under the constraint (58), the amplitude equations (55) are autonomous in the rotating frame [5,7,47].
Writing explicitly the material derivative in the left side of the amplitude equations, explicitly computing its right hand side, exploiting the relation
and assuming , where , is the complex growth rate, and and are the integer azimuthal and real axial wavenumbers, we find the dispersion relation as the characteristic polynomial
of the matrix , where and
4.5. Stability Analysis
The dispersion relation (60) has real coefficients. Consequently, the stability conditions of the base flow are determined by the Liénard–Chipart stability criterion: , , and [1]. Note that is positive in both the isothermal case and the pure azimuthal circular Couette flow with a radial temperature gradient . In these cases, the inequality extends the Rayleigh centrifugal instability criterion, while the inequality characterizes oscillatory instability [13,40,41].
4.5.1. Pure Azimuthal Circular Couette Flow with Radial Temperature Gradient
The condition defines the neutral stability boundary in the plane for the non-oscillatory (stationary) Goldreich–Schubert–Fricke (GSF) instability [13,46]. The neutral stability curves are parameterized by the axial wavenumber , with leading to a polynomial equation in . The envelope of this family of curves can be determined through three equivalent approaches: (1) computing the discriminant of the polynomial; (2) solving the equations and simultaneously; or (3) expressing as a function of from and minimizing with respect to [55]. All approaches yield the same expression for the envelope:
where is the modified Rayleigh line for non-isothermal flows [47]:
The same procedure applied to the equation yields the envelope of the neutral stability curves for the oscillatory instability:
where
Note that and at . Moreover, rewriting Equation (62) and Equation (64) in terms of the Taylor number exactly reproduces the result of [13].
The criterion for the stationary GSF instability given by the inequality can be written in terms of the Rayleigh discriminant and the square of the centrifugal Brunt–Väissälä frequency as follows:
while the criterion for oscillatory instability takes the form of
Setting and in (66) exactly reproduces the centrifugal instability criterion for isothermal viscous Couette–Taylor flow found in [14] through a local geometrical optics approach.
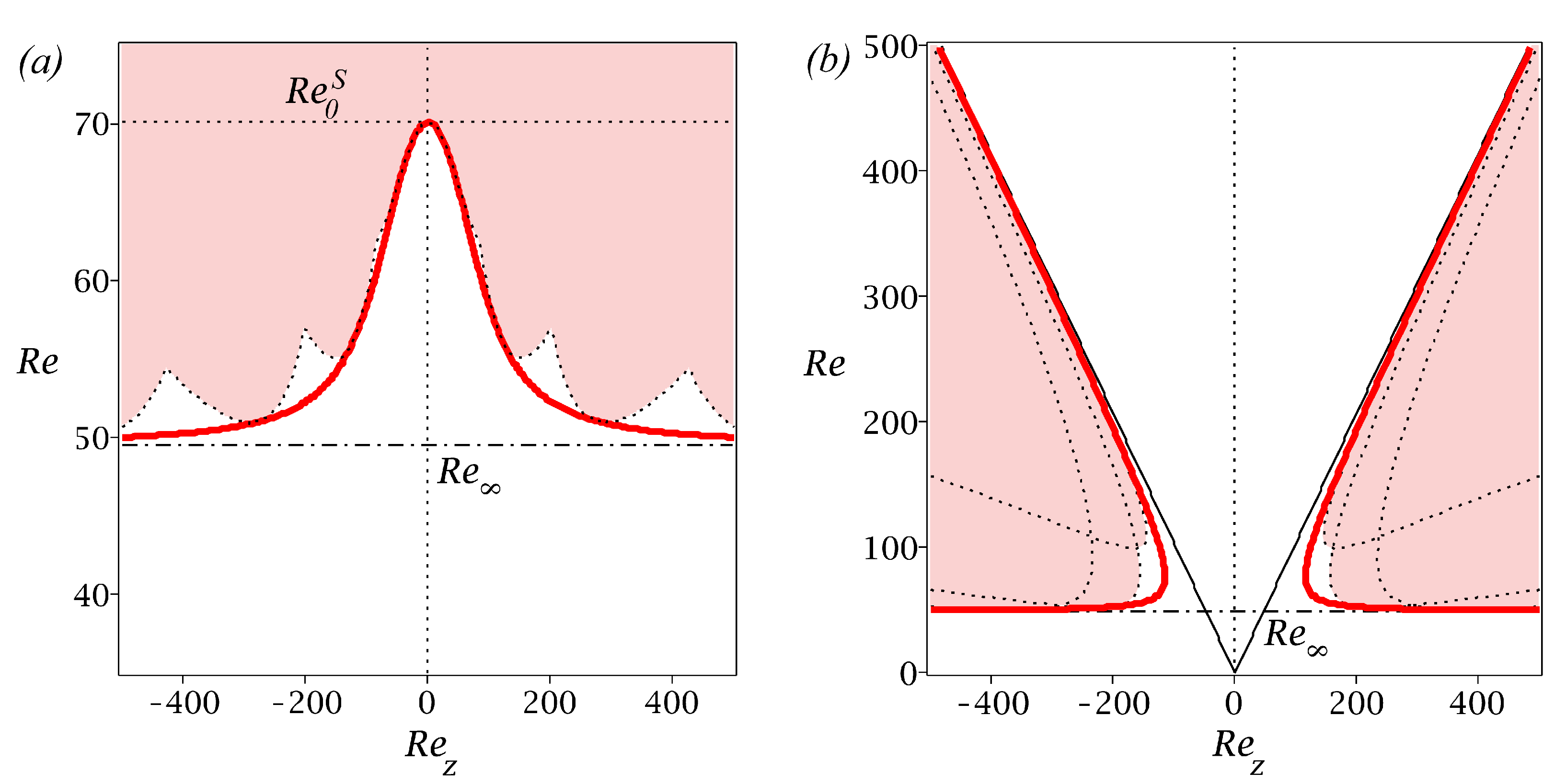
In Figure 5, the envelopes (62) and (64) are depicted in the plane by red and blue curves, respectively, with the instability domain located above these curves. In the Rayleigh-unstable case () shown in Figure 5a, for outward heating (), the envelopes intersect, forming a codimension-2 point at a specific value of , which is detailed in [13]. In this scenario, the GSF instability dominates for , while the oscillatory instability becomes critical for .
Figure 5.
The envelope (red) of the neutral stability curves (62) and (blue) of the neutral stability curves (64) in the plane for pure azimuthal circular Couette flow with a radial temperature gradient. The parameters are , with (a) , , (Rayleigh-unstable, outward heating), and (b) , , (Rayleigh-stable, quasi-Keplerian, inward heating). All computations were performed at the mean geometric radius . Instability is above the curves [13,57].
Conversely, for Rayleigh-stable flow (), inward heating destabilizes the system through an oscillatory instability mechanism when and through GSF when , as illustrated in Figure 5b. This behavior was first identified using the local geometrical optics approach in [13] and later confirmed by numerical global stability analysis in [57]. The parameters characterized by low Prandtl numbers and high Reynolds numbers, corresponding to oscillatory instability as shown in Figure 5b, are particularly relevant to the dynamics of accretion disks in astrophysics [49,58,59].
4.5.2. Isothermal Spiral Poiseuille Flow (SPF)
Setting and in the matrix (61) corresponds to the isothermal spiral Poiseuille flow. Under these conditions, the dispersion relation simplifies, separating into a linear equation with no physical significance and a quadratic polynomial. The quadratic polynomial determines centrifugal instability via the sole relevant condition of the Liénard–Chipart criterion: . Computing the discriminant of , considered a polynomial in , yields the envelope of the neutral stability curves in the plane [47]:
The centrifugal instability of the isothermal viscous swirling flow is then determined by the condition [47] that for isothermal inviscid swirling flows reduces to the result
previously obtained in [5,7] using the local geometrical optics approach, and in [60,61] via the global stability analysis. The equality in (69) determines asymptotes to the envelope (68) shown in Figure 6b by oblique straight lines for the Rayleigh-stable flow. The envelope (68) also has a horizontal asymptote [47]
as shown in Figure 6a,b by the dot-dashed line.
Figure 6.
For isothermal SPF with , the thick red line represents the envelope (68) of the neutral stability curves () that bounds the union (shaded area) of individual instability domains. These domains are shown for (a) for the Rayleigh-unstable flow (, ) and (b) for the Rayleigh-stable flow (, ). The dot-dashed horizontal asymptotes of the envelope correspond to , from Equation (70). The envelope’s maximum value for the Rayleigh-unstable flow at is , derived from Equation (62) for . The solid oblique lines in (b) represent the inviscid criterion (69).
4.5.3. Spiral Poiseuille Flow with Radial Temperature Gradient (SPFRT)
The radial temperature gradient induces a splitting of the envelope bounding the domain of centrifugal instability in swirling flows [47].
For Rayleigh-unstable, non-isothermal swirling flows, the envelope comprises two branches that intersect at and , where is defined in (62). A linear approximation for the branches of the envelope near the intersection is given by the following formula [47]:
The horizontal asymptote (70) also splits, with the new values of determined as the roots of the following bicubic equation:
where the coefficients are defined as
and where is the modified Rayleigh line (63).
Using perturbation theory for , an approximate expression for the splitting of the horizontal asymptote can be derived from (72)
where is defined in (70), and [13].
In Figure 7a, the envelope of the centrifugal instability domains of the Rayleigh-unstable SPF with a radial temperature gradient (SPFRT) is split, exhibiting two horizontal asymptotes at and . These values, derived from (74), are indistinguishable from the exact results given by (72). Furthermore, as predicted by (74), these values demonstrate that the temperature gradient not only splits the isothermal horizontal asymptote shown in Figure 6a for the same parameter values as in Figure 7a, but also shifts it vertically. Note that the splitting of the envelope introduces asymmetry in the instability domains with respect to the sign of : for , the critical corresponding to the lower branch of the envelope has , whereas for , the critical corresponding to the lower branch has (Figure 7a).
Figure 7.
(a) The outward radial temperature gradient with and causes a splitting of the envelope (red lines) of the neutral stability curves bounding the GSF instability domains (shown light-shaded for and dark-shaded for ) for non-isothermal Rayleigh-unstable SPFRT with , , and . The maximum value of the envelope (, not shown) is given by (62), while (dot-dashed) the two horizontal asymptotes at and are provided by (74), in excellent agreement with (72). (b) For the Rayleigh-stable SPFRT with , , , , and , the (red) envelope of the neutral stability curves splits into two branches. The outer branch touches the GSF instability domains with (light-shaded, ), while the inner branch touches the GSF instability domains with (dark-shaded, ). The oblique straight line represents the asymptote (75). The dot-dashed lines correspond to and , as provided by (72).
Figure 7b illustrates that the splitting of the envelope of the centrifugal instability domains for the Rayleigh-stable SPFRT results in not only the two horizontal asymptotes from (74) as , but also two oblique asymptotic lines as . The outer branch of the envelope follows the asymptotic line given by the following expression:
If the left-hand side of (75) exceeds its right-hand side, this inequality defines the centrifugal stability of the SPFRT. The inner branch of the envelope lies within the centrifugal instability domain and has the asymptote
Since the splitting of the envelope of the centrifugal instability domains is small for , we can derive a simple approximation by substituting into the equation , taking the limit as while keeping the centrifugal Brunt–Väissälä frequency N fixed, and then calculating the discriminant of the resulting equation (treated as a polynomial in ). This procedure yields the following approximate expression for the envelope:
As , the approximation (79) to the envelope has a horizontal asymptote:
The approximation (77) represents a non-isothermal extension of the envelope (68) for the centrifugal instability domains of viscous swirling flows and is valid when . It forms a single smooth curve (see Figure 8) that aligns closely with the minimal splitting of individual neutral stability curves for specific . This splitting is so subtle that it is imperceptible to the naked eye in Figure 8.
Figure 8.
(a,b) Rayleigh -unstable SPFRT with , , , , and (a) and (b) , cf. Figure 5a. Pink (light-shaded) and blue (dark-shaded) areas represent the domains of centrifugal and oscillatory instability, respectively, for . The thick red and blue lines denote approximations to the envelopes (77) and (79), respectively. The maximal Reynolds numbers are (a) and (b) from (62), and in (a) and in (b) from (64). The dot-dashed line corresponds to in (a) and in (b), as given by (78). The dashed line corresponds to in (a) and in (b), as given by (80). (c,d) Rayleigh-stable SPFRT with , : (c) , , , , , and ; (d) , , , , , 17,657.29, and 24,277.26.
Applying the above procedure to the equation , we derive a similar approximation for the envelope of the oscillatory instability domains of SPFRT in the -plane, shown as thick blue lines in Figure 8:
The approximation (79) is valid when . Requiring the left-hand side of (79) to be negative extends the criterion (67) to swirling flows with a radial temperature gradient. As , the approximation (79) to the envelope has a horizontal asymptote:
A comparison of Figure 8a,b and Figure 5a reveals that the Rayleigh-unstable SPFRT with an outward temperature gradient () can exhibit either centrifugal instability (at small ) or oscillatory instability (at large ). The transition between these regimes occurs at a critical , corresponding to a codimension-2 point in the -plane at , as shown in Figure 5a.
The Rayleigh-stable SPFRT depicted in Figure 8c,d can exhibit oscillatory instability in the presence of an outward temperature gradient () at large , as shown in Figure 8c, when exceeds a critical value. For an inward temperature gradient (), Figure 8d indicates that stability is lost via oscillatory instability at small and via centrifugal instability at large axial Reynolds numbers when , consistent with the numerical results of [54]. For , this behavior is reversed.
5. Conclusions
The geometrical optics local stability analysis, initially developed for the hydrodynamics of ideal fluids, was revisited and extended to visco-diffusive rotating flows. This approach was applied to three cases: the azimuthal magnetorotational instability (AMRI) in magnetized differentially rotating flows, the McIntyre instability in baroclinic lenticular vortices and the spiral Poiseuille flow with a radial temperature gradient (SPFRT).
The influence of the hydrodynamic () and magnetic () Prandtl numbers, and Schmidt () number on the onset of stationary and oscillatory instabilities was explored, with a focus on the exchange of instabilities near the critical value where the ratio of viscosity to diffusivity equals a finite value, which, in many applications, is simply one.
It was demonstrated that AMRI can be interpreted as a dissipative unfolding of the linear Hamilton–Hopf bifurcation, represented by the Whitney umbrella singularity on the neutral stability surface. This singularity explains the persistence of diffusive destabilization even in the limit of vanishing dissipation, provided . The thresholds for diffusive and diffusionless AMRI coincide only at .
A special role of was observed in the visco-diffusive McIntyre-like instability of lenticular vortices, where it acts as the trigger between oscillatory and stationary instabilities, determining the transition between these regimes. This method also proved effective in deriving instability criteria for swirling flows with radial temperature gradients, highlighting the role of in the exchange between centrifugal and oscillatory instabilities.
This analysis offers a robust framework for deriving instability criteria analytically, even for parameter values inaccessible in numerical or physical experiments, providing valuable insights and guidance for future studies.
Funding
This research received no external funding.
Data Availability Statement
The original contributions presented in this study are included in the article. Further inquiries can be directed to the corresponding author.
Conflicts of Interest
The author declares no conflicts of interest.
References
- Kirillov, O.N. Nonconservative Stability Problems of Modern Physics, 2nd ed.; De Gruyter: Berlin, Germany, 2021; pp. 1–548. [Google Scholar]
- Krechetnikov, R.; Marsden, J.E. Dissipation-induced instabilities in finite dimensions. Rev. Mod. Phys. 2007, 79, 519–553. [Google Scholar] [CrossRef]
- Daleckii, J.L.; Krein, M.G. Stability of Solutions of Differential Equations in Banach Space; AMS: Providence, RI, USA, 1974. [Google Scholar]
- Yudovich, V.I. The Linearization Method in Hydrodynamic Stability Theory; AMS: Providence, RI, USA, 1989. [Google Scholar]
- Eckhoff, K.S.; Storesletten, L. A note on the stability of steady inviscid helical gas flows. J. Fluid Mech. 1978, 89, 401–411. [Google Scholar] [CrossRef]
- Eckhoff, K.S. On stability for symmetric hyperbolic systems, I. J. Diff. Eq. 1981, 40, 94–115. [Google Scholar] [CrossRef][Green Version]
- Eckhoff, K.S. A note on the instability of columnar vortices. J. Fluid Mech. 1984, 145, 417–421. [Google Scholar] [CrossRef]
- Friedlander, S.; Vishik, M.M. Instability criteria for the flow of an inviscid incompressible fluid. Phys. Rev. Lett. 1991, 66, 2204–2206. [Google Scholar] [CrossRef]
- Friedlander, S.; Lipton-Lifschitz, A. Localized instabilities in fluids. In Handbook of Mathematical Fluid Dynamics 2; Friedlander, S.J., Serre, D., Eds.; North-Holland: Amsterdam, The Netherlands, 2003; pp. 289–354. [Google Scholar]
- Ionescu-Kruse, D. On the short-wavelength stabilities of some geophysical flows. Philos. Trans. R. Soc. A 2017, 376, 20170090. [Google Scholar] [CrossRef]
- Lifschitz, A. Short wavelength instabilities of incompressible threedimensional flows and generation of vorticity. Phys. Lett. A 1991, 157, 481–487. [Google Scholar] [CrossRef]
- Lifschitz, A.; Hameiri, E. Local stability conditions in fluid dynamics. Phys. Fluids A Fluid Dyn. 1991, 3, 2644–2651. [Google Scholar] [CrossRef]
- Kirillov, O.N.; Mutabazi, I. Short wavelength local instabilities of a circular Couette flow with radial temperature gradient. J. Fluid Mech. 2017, 818, 319–343. [Google Scholar] [CrossRef]
- Eckhardt, B.; Yao, D. Local stability snalysis along Lagrangian paths. Chaos Solit. Fract. 1995, 5, 2073–2088. [Google Scholar] [CrossRef]
- Bayly, B.J. Three-dimensional instability of elliptical flow. Phys. Rev. Lett. 1986, 57, 2160–2163. [Google Scholar] [CrossRef] [PubMed]
- Mathur, M.; Ortiz, S.; Dubos, T.; Chomaz, J.-M. Effects of an axial flow on the centrifugal, elliptic and hyperbolic instabilities in Stuart vortices. J. Fluid Mech. 2014, 758, 565–585. [Google Scholar] [CrossRef]
- Nagarathinam, D.; Sameen, A.; Mathur, M. Centrifugal instability in non-axisymmetric vortices. J. Fluid Mech. 2015, 769, 26–45. [Google Scholar] [CrossRef]
- Pierrehumbert, R.T. Universal short-wave instability of two-dimensional eddies in an inviscid fluid. Phys. Rev. Lett. 1986, 57, 2157–2159. [Google Scholar] [CrossRef]
- Lagnado, R.R.; Phan-Thien, N.; Leal, L.G. The stability of two-dimensional linear flows. Phys. Fluids 1984, 27, 1094–1101. [Google Scholar] [CrossRef]
- Leblanc, S.; Le Duc, A. The unstable spectrum of swirling gas flows. J. Fluid Mech. 2005, 537, 433–442. [Google Scholar] [CrossRef]
- Hattori, Y.; Hijiya, K. Short-wavelength stability analysis of Hill’s vortex with/without swirl. Phys. Fluids 2010, 22, 074104. [Google Scholar] [CrossRef]
- Lifschitz, A.; Hameiri, E. Localized instabilities of vortex rings with swirl. Comm. Pure Appl. Math. 1993, 46, 1379–1408. [Google Scholar] [CrossRef]
- Aravind, H.M.; Dubos, T.; Mathur, M. Local stability analysis of homogeneous and stratified Kelvin–Helmholtz vortices. J. Fluid Mech. 2022, 943, A18. [Google Scholar] [CrossRef]
- Lebovitz, N.R.; Lifschitz, A. Short-wavelength instabilities of Riemann ellipsoids. Philos. Trans. R. Soc. A 1996, 354, 927–950. [Google Scholar]
- Mizerski, K.A.; Bajer, K. The influence of magnetic field on short-wavelength instability of Riemann ellipsoids. Phys. D Nonlin. Phen. 2011, 240, 1629–1635. [Google Scholar] [CrossRef]
- Vidal, J.; Cébron, D. Inviscid instabilities in rotating ellipsoids on eccentric Kepler orbits. J. Fluid Mech. 2017, 833, 469–511. [Google Scholar] [CrossRef]
- Friedlander, S.; Vishik, M.M. On stability and instability criteria for magnetohydrodynamics. Chaos 1995, 5, 416–423. [Google Scholar] [CrossRef]
- Kucherenko, V.V.; Kryvko, A. Interaction of Alfvèn waves in the linearized system of magnetohydrodynamics for an incompressible ideal fluid. Russ. J. Math. Phys. 2013, 20, 56–67. [Google Scholar] [CrossRef]
- Lebovitz, N.R.; Zweibel, E. Magnetoelliptic instabilities. Astrophys. J. 2004, 609, 301–312. [Google Scholar] [CrossRef]
- Mizerski, K.A.; Bajer, K. The magnetoelliptic instability of rotating systems. J. Fluid Mech. 2009, 632, 401–430. [Google Scholar] [CrossRef]
- Mizerski, K.A.; Bajer, K.; Moffatt, H.K. The mean electromotive force generated by elliptic instability. J. Fluid Mech. 2012, 707, 111–128. [Google Scholar] [CrossRef]
- Salhi, A.; Cambon, C. Magneto-gravity-elliptic instability. J. Fluid Mech. 2023, 963, A9. [Google Scholar] [CrossRef]
- Vidal, J.; Cébron, D.; ud-Doula, A.; Alecian, E. Fossil field decay due to nonlinear tides in massive binaries. A&A 2019, 629, A142. [Google Scholar]
- Maslov, V.P. Coherent structures, resonances, and asymptotic non-uniqueness for Navier-Stokes equations with large Reynolds numbers. Russ. Math. Surv. 1986, 41, 23–42. [Google Scholar] [CrossRef]
- Craik, A.D.D.; Criminale, W.O. Evolution of wavelike disturbances in shear flows: A class of exact solutions of the Navier-Stokes equations. Proc. R. Soc. London. A 1986, 406, 13–26. [Google Scholar]
- Leblanc, S. Internal wave resonances in strain flows. J. Fluid. Mech. 2003, 477, 259–283. [Google Scholar] [CrossRef]
- Kirillov, O.N.; Stefani, F. Extending the range of the inductionless magnetorotational instability. Phys. Rev. Lett. 2013, 111, 061103. [Google Scholar] [CrossRef] [PubMed]
- Kirillov, O.N.; Stefani, F.; Fukumoto, Y. Local instabilities in magnetized rotational flows: A short-wavelength approach. J. Fluid Mech. 2014, 760, 591–633. [Google Scholar] [CrossRef][Green Version]
- Kirillov, O.N. Singular diffusionless limits of double-diffusive instabilities in magnetohydrodynamics. Proc. R. Soc. A 2017, 473, 20170344. [Google Scholar] [CrossRef]
- Labarbe, J.; Kirillov, O.N. Diffusive instabilities of baroclinic lenticular vortices. Phys. Fluids 2021, 33, 104108. [Google Scholar] [CrossRef]
- McIntyre, M.E. Diffusive destabilisation of the baroclinic circular vortex. Geophys. Fluid Dyn. 1970, 1, 19–57. [Google Scholar] [CrossRef]
- Singh, S.; Mathur, M. Diffusive effects in local instabilities of a baroclinic axisymmetric vortex. J. Fluid Mech. 2021, 928, A14. [Google Scholar] [CrossRef]
- Singh, S.; Mathur, M. Effects of Schmidt number on the short-wavelength instabilities in stratified vortices. J. Fluid Mech. 2019, 867, 765–803. [Google Scholar] [CrossRef]
- Hoveijn, I.; Ruijgrok, M. The stability of parametrically forced coupled oscillators in sum resonance. Z. Angew. Math. Phys. 1995, 46, 384–392. [Google Scholar] [CrossRef]
- Kirillov, O.N.; Verhulst, F. Paradoxes of dissipation-induced destabilization or who opened Whitney’s umbrella? Z. Angew. Math. Mech. 2010, 90, 462–488. [Google Scholar] [CrossRef]
- Dymott, R.W.; Barker, A.J.; Jones, C.A.; Tobias, S.M. Linear and non-linear properties of the Goldreich–Schubert–Fricke instability in stellar interiors with arbitrary local radial and latitudinal differential rotation. Mon. Not. R. Astron. Soc. 2023, 524, 2857–2882. [Google Scholar] [CrossRef]
- Kirillov, O.N.; Mutabazi, I. Unification theory of instabilities of visco-diffusive swirling flows. Phys. Rev. Fluids 2024, 9, 124802. [Google Scholar] [CrossRef]
- Petitdemange, L.; Marcotte, F.; Gissinger, C.; Daniel, F. Tayler–Spruit dynamo simulations for the modeling of radiative stellar layers. A&A 2024, 681, A75. [Google Scholar]
- Stefani, F. Liquid-metal experiments on geophysical and astrophysical phenomena. Nat. Rev. Phys. 2024, 6, 409–425. [Google Scholar] [CrossRef]
- Bottema, O. The Routh-Hurwitz condition for the biquadratic equation. Indag. Math. 1956, 59, 403–406. [Google Scholar] [CrossRef]
- Chen, G.; Han, G.G.; Yang, X. On the intrinsic shape of oceanic eddies derived from satellite altimetry. Remote Sens. Environ. 2019, 228, 75–89. [Google Scholar] [CrossRef]
- Lestrelin, H.; Legras, B.; Podglajen, A.; Salihoglu, M. Smoke-charged vortices in the stratosphere generated by wildfires and their behaviour in both hemispheres: Comparing Australia 2020 to Canada 2017. Atmos. Chem. Phys. 2021, 21, 7113–7134. [Google Scholar] [CrossRef]
- Lemasquerier, D.; Facchini, G.; Favier, B.; Le Bars, M. Remote determination of the shape of Jupiter’s vortices from laboratory experiments. Nat. Phys. 2020, 16, 695–700. [Google Scholar] [CrossRef]
- Cotrell, D.L.; McFadden, G.B. Linear stability of spiral Poiseuille flow with a radial temperature gradient: Centrifugal buoyancy effects. Phys. Fluids 2005, 17, 114102. [Google Scholar] [CrossRef]
- Hull, D. Finding envelope is an optimization problem. J. Optim. Theory Appl. 2020, 186, 453–458. [Google Scholar] [CrossRef]
- Jones, C.A. Multiple eigenvalues and mode classification in plane Poiseuille flow. Q. J. Mech. Appl. Math. 1988, 41, 363–382. [Google Scholar] [CrossRef]
- Meyer, A.; Mutabazi, I.; Yoshikawa, H.N. Stability of Rayleigh-stable Couette flow between two differentially heated cylinders. Phys. Rev. Fluids 2021, 6, 033905. [Google Scholar] [CrossRef]
- Garaud, P. Double diffusive convection at low Prandtl number. Annu. Rev. Fluid Mech. 2018, 50, 275–298. [Google Scholar] [CrossRef]
- Garaud, P. Journey to the center of stars: The realm of low Prandtl number fluid dynamics. Phys. Rev. Fluids 2021, 6, 030501. [Google Scholar] [CrossRef]
- Leibovich, S.; Stewartson, K. A sufficient condition for the instability of columnar vortices. J. Fluid Mech. 1983, 126, 335–356. [Google Scholar] [CrossRef]
- Ludwieg, H. Stabilität der Strömung in einem zylindrischen Ringraum. Z. Flugwiss. 1960, 5, 135–140. [Google Scholar]
Disclaimer/Publisher’s Note: The statements, opinions and data contained in all publications are solely those of the individual author(s) and contributor(s) and not of MDPI and/or the editor(s). MDPI and/or the editor(s) disclaim responsibility for any injury to people or property resulting from any ideas, methods, instructions or products referred to in the content. |
© 2025 by the author. Licensee MDPI, Basel, Switzerland. This article is an open access article distributed under the terms and conditions of the Creative Commons Attribution (CC BY) license (https://creativecommons.org/licenses/by/4.0/).







