Abstract
Handover is crucial for ensuring seamless connectivity in heterogeneous networks (HetNet) by enabling user equipment (UE) to switch its connection link between cells based on signal conditions. However, conventional analytical approaches ignored the distinctions between macro-cell to small-cell (M2S) and small-cell to macro-cell (S2M) scenarios during a handover decision-making process, which resulted in handover failures (HoF) or ping-pong handovers. Therefore, this paper proposes a novel framework, Do-SPN-PPP, that combines stochastic Petri net (SPN) and the Poisson point process (PPP) to quantitatively analyze M2S and S2M handover performance differences. The proposed framework also reveals and predicts how handover parameters affect UE residence time in a cell within the HetNet, and it exhibits a higher predictive accuracy compared with the traditional conventional analytical approach. In addition, the Monte Carlo simulation verified the Do-SPN-PPP framework, and the proposed framework exhibits a 96% reduction in computation time while maintaining a 95% confidence interval and 0.5% error tolerance compared with the simulation.
Keywords:
HetNet; handover; decision making; handover failure; Poisson point process; stochastic Petri net MSC:
94-10
1. Introduction
With the rapidly developing LTE and 5G mobile communication networks and the explosion of demand for them, the number of user equipment (UE) is expected to increase to 4.4 billion by 2027 [1]. In mobile networks, handover enables users to switch their communication links between base stations based on their signal conditions, ensuring continuous connectivity and optimal communication quality.
The handover mechanism consists of two sequential processes: handover decision-making (HDM) and handover execution (HOE). Since HDM significantly affects the overall handover performance [2], we focus on the HDM process in this paper, and an overview of the HDM in a co-frequency band is shown in Figure 1.
Figure 1.
An A3 event-based handover decision-making process. The orange and blue lines represent the S-cell and T-cell attributes, respectively.
During HDM, the UE measures the reference signal received power (RSRP) from surrounding cells in real time. The HDM process is completed when two conditions are met: the RSRP from a target cell (T-cell) exceeds that of the source cell (S-cell) by a handover margin (HOM) (known as A3 event), and this condition persists for a TimeToTrigger (TTT) period [3,4]. After HDM completion, the HOE process is triggered. Since HOM determines the HDM trigger timing and is more critical than TTT [5,6], we prioritize the discussion of the HOM parameter.
However, improper HOM parameter setting and co-frequency interference can lead to handover problems such as ping-pong handover and handover failure (HoF); the ping-pong handover means that the handover triggers (HoT) many times within a short time. Specifically, HoF occurs when UEs experience poor downlink SINR, either in the S-cell (before and after satisfying the A3 event) or in the T-cell (during HOE) [4,7]. When HoF occurs, UEs must disconnect from their current cell and initiate a new cell selection process.
In 5G, even momentary interruptions become critical for some applications, such as autonomous vehicle monitoring and industrial automation systems, due to ultra-reliable and low latency communications (URLLC) requirements. Moreover, handover failures pose significant security risks, as failed UEs become vulnerable to replay attacks during reconnection attempts, potentially transforming a network optimization issue into a security threat [8,9].
Therefore, it is necessary to refine the handover analysis approach and conduct targeted analyses, which are essential to enhancing the reliability of future 5G and 6G mobile communication systems.
Although there is much research work on analyzing and optimizing HDM [10,11,12,13,14,15,16,17,18,19,20,21,22,23,24,25], previous work has ignored the directional properties of handovers within the HetNet. In HetNet, unlike in homogeneous networks, the significant power difference between the macro cell and the small cell results in distinct characteristics for macro-cell to small-cell (M2S) and small-cell to macro-cell (S2M) handovers during HDM [26], where inaccurate analysis of these characteristics leads to increased network overhead and inefficient resource utilization in signaling interaction and radio resource allocation processes.
Furthermore, handover evaluation approaches can be categorized into four types: measurement, simulation, analytical, and formal modeling analysis [27]. A measurement-based approach for evaluating handover performance is considered practical and authoritative. However, the high cost of this method, including acquiring experimental licenses and purchasing expensive equipment, results in a significant expense for evaluating handover [28]. A simulation-based approach often requires capturing critical processes and operational details of target systems and networks, resulting in a simulation model of a large-scale system or network that is usually complex and computationally expensive at runtime [29,30]. Analytical and formal modeling-based approaches in which analytical model-based approaches can only provide theoretical support have limited ability to model the level of abstraction and behavior of the target object [27].
Therefore, in this paper, we propose a novel framework combining analytical and formal-based modeling approaches to analyze UE handover properties based on continuous time. The framework quantitative distinguishes between M2S handover and S2M handover within a HetNet and quantitative analyzes the performance difference between these handover directions from the HDM perspective. It also analyzes the M2S and S2M handover to reveal the impact of HOM parameters on the UE’s residence time within different type cells for providing more specific and accurate strategies or suggestions for subsequent network optimization based on the HDM process. Furthermore, we find that the proposed model outperforms discrete time-based models within the existing work in terms of accuracy in capturing and predicting the residence time of UE. Finally, Monte Carlo simulation is used to validate the rationality of the proposed framework and to compare the differences in computational efficiency during the evaluation process based on the proposed and simulation approaches, aiming to provide an efficiency analysis approach when analyzing the handover.
The main contributions of this paper are as follows:
- We propose a novel continuous-time analytical direction-oriented framework that combines stochastic Petri net with Poisson point process, Do-SPN-PPP, enabling differentiated analysis of M2S and S2M handover scenarios in HetNet.
- The proposed framework quantitatively characterizes the impact of HOM on UE residence time in a cell and accurately predicts the residence time with different HOM parameters. Compared to existing discrete time-based models, our approach demonstrates higher accuracy in capturing UE residence time in a cell.
- We validate the framework through Monte Carlo simulations and achieve a 96% reduction in computational time while maintaining comparable accuracy.
2. Literature Review
The literature related to qualitative and quantitative analysis in evaluating handover performance can be categorized according to the approaches used, which are as follows:
- Measurement-based,
- Simulation-based,
- Theoretical analysis modeling-based,
- Formal modeling-based,
where simulation and modeling-based approaches are widely accepted in handover research. Hence, researchers prioritize the performance evaluation of handover based on the simulation and modeling as a low-cost approach compared with the measurement-based. This paper focuses on the literature related to modeling and simulation-based approaches.
2.1. Theoretical Analysis Modeling-Based
The literature on analytical modeling techniques focuses on the use of the Poisson point process (PPP) because the modeling based on the PPP is tractable and spatially averaged, which provides direction and methodology for researchers to quantitatively analyze large and stochastic networks [10].
ElSawy and Hossain [31] proposed a closed expression for increasing small-cell coverage by enabling the small cell to be cognizant of macro-cell interference in a two-tier HetNet. However, the authors did discuss the handover properties of the UE in the HetNet.
Vasudeva et al. [11] presented a geometric model and analyzed the impact of velocity and TTT on the handover probability and HoF in fading and no-fading environments. However, the authors did not consider the impact of the A3 event on the handover and HoF probabilities.
Suarez Rodriguez et al. [12] proposed a base-station association analysis model based on environment maps and evaluated the handover overhead. In addition, the optimal radius of the associated base stations was determined by defining throughput optimization. Then, the rationality of the proposed model was verified using the Monte Carlo simulation. However, the authors only focused on the UE throughput.
Arshad et al. [13] proposed an analytical model considering the antenna height of UE, then analyzed the effect of antenna height on the performance of associated base station probability and handover frequency, and finally verified the reasonableness of the model through Monte Carlo simulation.
Soltani et al. [14] proposed an analytical model for handover in indoor-based optical attocell networks that considers the variation in handover performance due to the rotation angle of the user device and evaluates the performance of the handover probability of the UEs in this network, and finally validates the model through Monte Carlo simulations.
Zulhasnine et al. [32] used stochastic geometry to analyze periodic handover skipping in cellular networks, evaluating handover rates and downlink performance through theoretical analysis and Monte Carlo simulations. While they optimized handoffs for high-mobility scenarios, they did not consider the performance differences between M2S and S2M handovers by HDM directionality within HetNets.
2.2. Formal Modeling-Based
Researchers primarily use Petri net and Markov chain-based modeling approaches to characterize and analyze handover behavior within the formal modeling-based approaches.
Lee et al. [15] assumed the vehicle’s handover as a discrete-time Markov chain (DTMC) and proposed a method to determine the T-cell. The result shows the effectiveness of the proposed model in improving the vehicle throughput.
He et al. [16] used a combination of the PPP and DTMC to model handover in a homogeneous network and evaluated the impact of HOM and TTT parameters on the performance of the HoF and ping-pong handover probabilities. However, the authors considered a homogeneous network environment. Hence, the assumptions and conclusions cannot apply to the HetNet environment. Guidolin et al. [17] proposed a DTMC framework that evaluated the average capacity of UEs at different speeds and the impact of TTT parameters on the average capacity and determined the optimal TTT parameters at different speed scenarios. Zhang et al. [18] modeled a network with only one macro cell and one small cell using DTMC and evaluated the performance impact of the HOM on the handover probability and throughput. However, the authors considered an oversimplified network environment and did not consider the direction of handover or the impact of HOM on HoF probability.
Balakrishnan and Akyildiz [19] proposed a local anchor-based handover mechanism and an evaluation framework based on DTMC, through which closed-form expressions for handover cost and handover interruption time can be derived, and the results of Monte Carlo simulation show that, although the proposed framework has a gap between the numerical and the simulation results, the trend of both results is the same.
Moreover, several studies use the formal modeling-based approach to evaluate the probability of handover packet loss (HPL) due to a lack of network resources under the assumption of a fully loaded state in queueing theory.
Yang et al. [20] modeled the handover behavior of users between 3G and wireless LAN (WLAN) and evaluated the new UE packet loss and the HPL probability based on the assumption of link capacity limit for 3G and WLAN. Gautam and Dharmaraja [21] modeled the call admission control (CAC) protocol using SPN and evaluated the HPL and the packet loss for the new UE due to the full load. Alioua et al. [22] also modeled the handover under the CAC protocol using SPN by assuming handover as a queueing model and evaluated the HPL probability and repeated handover probability by assuming the general number of channels and the number of channels dedicated to handover. Ghazizadeh et al. [33] employed stochastic well-defined Petri nets (SWNs) to model and analyze call admission control (CAC) mechanisms in cellular networks, evaluating the trade-off between the blocking probabilities of handover calls and new calls. However, it should be noted that this study was limited to traditional cellular networks and did not consider the performance in heterogeneous networks (HetNets).
In our previous work [23], we modeled a two-tier HetNet by employing SPN. We evaluated the HPL probability performance of the A2A4 reference signal received quality (RSRQ) HDM under the full load of the network based on the assumptions of the upper capacity limit of the network channel and the UEs reaching the network following a Poisson distribution. In our latest work [24], we modeled the A3 event using a PPP and a stochastic Petri net and investigated the probability of HoT and HoF. Consequently, this paper differs from our latest work in that we improved the model and included a quantitative analysis of the impact of the A3 event on the UE’s different handover directions and the residence time of the UE in a cell, as well as validated the reasonableness of the proposed model through Monte Carlo simulation.
Nguyen et al. [33] employed Petri nets to model data transmission processes in LTE communication systems, including handover procedures, reconnection mechanisms, and data retransmission. The study examined the influence of handover duration on communication errors and validated the Petri net model through Monte Carlo simulations. However, the study was limited to a single LTE network environment and did not examine handover directionality in HetNet scenarios. Nguyen et al. [34] employed stochastic Petri nets (SPN) to model and analyze the probability of emergency braking resulting from communication errors in train control systems. The researchers examined the influence of handover processes on Type B communication errors (excessive handover delay) and investigated the impact of handover triggering intervals and execution times on system performance. The SPN model was validated through Monte Carlo simulations and mathematical modeling, providing probability distributions for various communication errors, including handover delays, that lead to emergency braking. Hao et al. [35] employed Petri nets with unobservable transitions to model the radio block center (RBC) handover process, focusing on detecting and estimating critical states during handover. Sun et al. [36] employed deterministic and stochastic Petri nets (DSPN) to model handover processes in 5G-R environments. They analyzed in detail handover success rates and interruption delays in scenarios involving train speeds exceeding 350 km/h. However, the analysis results of their work cannot be applied to common HetNet scenarios, such as urban ones, due to the ultra-high-speed scenarios.
In a recent paper [25], the authors modeled a highway scenario using continuous-time Markov chain (CTMC) for vehicular mobility that contained an overtaking model and evaluated the impact of vehicle overtaking on communication delays and travel times. However, the authors did not consider the vehicle’s handover scenario. In addition, the authors mention the limitations of the formal modeling approach based on DTMC when evaluating highways.
A summary of the comparisons and advantages of our research with similar and representative previous research is also shown in Table 1.
Table 1.
Brief comparison of different approaches in handover analysis.
Due to the short time granularity and very high randomness of the signal changes under the influence of fading in mobile communication networks, the HDM process is strongly influenced by the signal fluctuations, resulting in the UE’s handover behavior not being discrete.
However, they have not used continuous time-based modeling approaches to analyze the handover behavior in different directions, and no one considered the impact of A3 events on M2S and S2M handover, neither in analytical and formal modeling-based work nor in simulation-based work. Therefore, it is necessary to consider and practice the handover behavior of UEs through continuous time modeling to qualitatively and quantitatively analyze the impact of the A3 event on handovers in different directions and explore the limitations of the existing work with discrete time in analyzing handovers compared to continuous time.
3. Network Assumption
For 5G and 6G, there are a large number of cell base stations and UEs in the network, and the deployment of cellular base stations and the distribution of UEs will be random. Stochastic geometry, such as the Poisson point process, can be utilized to easily capture the distribution of the cell as well as the UEs in the spatial space, which can allow us to easily analyze and evaluate the interference distribution, coverage probability, and throughput, and analyze the handover performance within a large-scale and multiple-tier network for better network design, optimization, and deployment. Moreover, the results obtained through the Poisson point process are averaged, generalized, and not restricted to a specific network distribution.
In this paper, we use PPP to model the RSRP received by a UE in a large stochastic network by considering a HetNet with a topology that includes two tiers of macro cell and small cell, as shown in Figure 2.
Figure 2.
Overview of the proposed framework based on the Poisson point process and stochastic Petri net. The orange and blue lines represent the S-cell and T-cell attributes, respectively.
3.1. Formulation of A3 Event Direction by Poisson Point Process
We assume the distribution of the macro cell and small cell in an area as two independent PPPs. The macro cell is distributed according to PPP with the density , and the small cell is distributed according to PPP with the density . Each PPP is independent and identical distribution and represented in plane.
For instance, if a UE is connected with the nearest cell with density , the random variable distance D to that cell follows an exponential distribution, whose probability density function is
Therefore, based on the above assumptions, a typical UE received RSRP from the macro cell and small cell in a HetNet can be described as follows:
where and denote the RSRP received by the UE from the small cell and macro cell, respectively; and are the output power of the macro cell and the small cell, respectively; with density and with density denote the random variables of channels by Rayleigh distribution for the small cell and macro cell, respectively; and denote the random variables representing the distance from a UE to its nearest small cell and macro cell, respectively; and denotes the exponent of path-loss.
Consequently, we follow [31] and define the handover direction by the A3 event for the UE in the two-tier HetNet as the following lemma:
Lemma 1.
In the two-tier HetNet, the cumulative distribution function (CDF) of the A3 event that is satisfied when the UE triggers the S2M handover is given by
The CDF of the A3 event that is satisfied when the UE triggers the M2S handover is given by
where denote the parameter HOM within the A3 event.
Proof.
The detailed proof is provided in Appendix A. □
Furthermore, as shown in Figure 1, the A3 event that occurs after the RSRP of the T-cell is larger than the RSRP of the S-cell, resulting in the SINR of the UE being less than 0 dB. At the same time, the UE’s HoF occurs due to poor SINR by the co-frequency after the A3 event is satisfied in the HetNet. Thus, we assume that the HoF occurs before the UE enters the HOE process after the A3 event is satisfied. On the other hand, even if the UE completed the HDM process and entered the HOE process before its SINR deterioration, there is a possibility that the UE may experience HoF during the HOE process due to the poor SINR of the T-cell. Accordingly, the CDFs of the SINRs of the UE in the small cell and macro cell when it is less than a certain threshold are and [31], respectively.
3.2. Stochastic Petri Net
Stochastic Petri net (SPN) has a strong descriptive ability in modeling objects with randomness, uncertainty, and time dependence, and the SPN has an outstanding ability in compressing the state space of the modeling object compared to CTMC and strong model extensibility. Therefore, we prioritize using SPN to model the behavior of the UE.
In SPN, places and transitions are represented by circles and rectangles, respectively, and are connected by directed arcs. Each place may contain tokens, which are distributed among all the places in the network. A transition is enabled when each of its input places contains at least one token. Once enabled, a transition can fire by immediately removing one token from each input place and depositing one token into each output place. An SPN’s state or marking is represented by a vector that denotes the number of tokens in each place, thus providing a snapshot of the current state of the modeling target.
An SPN can incorporate three types of transitions: immediate (IMM) transitions, which fire instantaneously (i.e., with zero time delay); exponentially distributed (EXP) transitions, which fire after a delay governed by an exponential distribution; and generally distributed (GEN) transitions, which fire after a delay determined by a general distribution. Typically, IMM, EXP, and GEN transitions are represented by thin black bars, white rectangles, and black rectangles, respectively. Notably, IMM transitions take precedence over timed transitions [37].
Moreover, an SPN is computationally equivalent to a CTMC. Consequently, any SPN model can be converted into an equivalent CTMC, and the same analytical techniques used to calculate steady-state, transient, cumulative, and sensitivity measures in the CTMC can be applied to solve for these measures in SPNs.
3.3. Qualitative Handover Procedure Using SPN
Despite the PPP-based analytical modeling approach having obvious advantages in describing the spatial distribution of the network, it has limitations in describing the target object in terms of intuitiveness, time dependence, qualitative behavioral characteristics, and transient behavioral analysis as compared to the formal-based modeling approach. Therefore, the specific qualitative UE handover process within a HetNet using the SPN is shown in Figure 3.
Figure 3.
Handover modeling process by the SPN.
In a HetNet environment, the coverage of the macro cell is generally broader than that of the small cell due to its higher output power. Therefore, the UEs usually connect to the macro cell during network initialization.
The UE in a network usually moves, where the UE moves from one area to another after a certain period of time. Therefore, we assume that the UE in the cell will move to the handover area after some time. Moreover, we assume that the time from the UE connecting to the cell until the HOE trigger is the residence time of the UE in a cell, and the UE has two A3 event directions corresponding to the two behaviors of handover: M2S and S2M handover.
The UE reaching the handover area will determine whether it needs to trigger the M2S handover or S2M handover based on the A3 event, and the UE completes the HDM and enters the HOE process if the UE satisfies the conditions of the A3 event and the SINR of the S-cell is not lower than a threshold. On the contrary, the HoF occurs if the UE satisfies the conditions of the A3 event while the SINR of the S-cell becomes worse than a particular threshold.
During the handover execution process, the UE completes the handover if the SINR of the T-cell is not lower than a threshold. On the contrary, HoF occurs.
In addition, the specifical movement of the UE is not considered in the model because we capture the spatial characteristics of the user in the two-layer HetNet through PPP, and the condition for triggering the handover is based on the A3 event regardless of how the UE moves.
3.4. Quantitative Handover Using SPN
Figure 4.
Handover direction modeling by SPN.
Let and denote the state of the UE when it is in a macro cell and a small cell, respectively, and the UE is in , indicating that the UE will be connected to the macro cell at an initial time.
Let and denote the immediate states where the UE has reached the handover area (satisfying the condition in Equations (3) or (4)) and needs to evaluate SINR conditions for potential handover triggering.
Let and denote the states in which the UE completes HDM in the small cell and macro cell, respectively, and successfully enters the HOE process.
Let and denote the state of the HoF due to the UE failing to successfully enter into the handover execution process in the small cell and macro cell, respectively.
Let and denote the EXP transitions when the UE reaches the area where the handover should be triggered in a small and macro cell, respectively, as shown in Figure 5.
Figure 5.
Monte Carlo simulation scenario. The orange and green colors represent the macro-cell and small-cell attributes.
In general, no fixed distribution can fully describe the time that the UE is in the and states, as well as the movement of the UE in the cell, because it is highly random. However, the HOM parameter in the A3 event, the SINR performance of S-cell, and the cell density in a region may affect the time the UE resides in the cell until the HDM is triggered. Therefore, we consider that the A3 event trigger probability, cell density, and the SINR performance of S-cells are proportional to the firing rates of and . The firing rates of and are defined as follows:
where is the time factor that affects the residence time of the UE in the cell, which is inversely proportional to the firing rates; and denote the densities of the small cell and the macro cell, respectively; and denote the CDFs of A3 events in HDM for S2M and M2S handover, respectively, as shown in Equations (3) and (4); and denotes a multiplier, in which the residence time in the macro cell is times that in the small cell.
Let and denote that, after the UE satisfies the A3 event, it determines whether the SINR of the UE’s current S-cell is not less than a certain threshold, and if it is not less than a certain threshold, then the UE completes the HDM and enters into the HOE process. Therefore, the firing probabilities are defined as follows:
Let and denote the probability that a UE fails to trigger HOE in the small and macro cells, respectively. Due to the SINR being less than 0 dB after the UE satisfies the A3 event because the strength of the interference signal received by the UE is stronger than the strength of the received signal source, the UE will improve the current environment by handover, as shown in Figure 1. Therefore, the HoF occurs before triggering the HOE process if the UE receives the SINR from the S-cell that is less than a threshold, and the firing probability of and are defined as follows:
Let and denote the EXP transitions when the UE completes handover in the places of the and , respectively, as shown in Figure 5.
The UE in the HOE state tends to complete the handover process, including HDM and HoE processes, faster if the HOM is smaller [38,39], which means that the time for the completion of the HOE process is directly proportional to the HOM scale and inversely proportional to the probability of triggering the A3 event because the HOM scale and the probability of triggering the A3 event are inversely proportional according to Equations (3) and (4). Therefore, the probability of the A3 event trigger is proportional to the firing rates of the and .
In addition, we consider that the SINR performance and the density of the T-cell also affect the HOE process. The SINR performance of T-cells is proportional to the firing rate, and the density of the T-cell is inversely proportional to the firing rate. Accordingly, the firing rates of and are defined as follows:
Let and denote the EXP transitions when the UE cannot complete handover in the places of the and , resulting in the HoF.
In contrast to and , the UE that entered the HOE process faces a poor SINR in T-cell if the HOM in the A3 event takes a small value. Therefore, we assume that the triggering probability of the A3 event is inversely proportional to the firing rates of and , and the relationship between the density of the T-cell and the firing rates is the same as with and . Accordingly, the firing rates are defined as follows:
Let and denote the EXP transitions when the UE reconnects the T-cell after a HoF.
As shown in Figure 5, we consider that the movement direction of the UE is always away from the S-cell. Hence, when the UE reconnects the cell after the HoF occurs, the RSRP of the T-cell received by the UE is larger than the RSRP of the S-cell by a value. Furthermore, we assume that the higher the density of surrounding cells, the longer the time for UE to search the cell, which means that the density of surrounding cells is inversely proportional to the firing rate of and . The firing rates are defined as follows:
where denotes a time factor that is proportional to the and firing rates and inversely proportional to the cell searching time of the UE.
3.5. Equivalent Continuous-Time Markov Chain
Figure 4 illustrates an SPN that contains only immediate and exponentially distributed transitions. Consequently, the equivalent model of the proposed SPN is a CTMC, as shown in Figure 6.
Figure 6.
Equivalent continuous-time Markov chain of the SPN.
In Figure 6, the states of , , , , , and correspond to the states of , , , , , and in the SPN, respectively. In addition, since the places of and in SPN are connected with the IMM transitions, which are considered as vanishing states when transformed into a CTMC, they are not presented in the equivalent CTMC. Nevertheless, the probability of the IMM transitions of the vanishing states is multiplied by the EXP transition firing rate before it.
Therefore, we will quantitatively analyze the behavior of UE in continuous time based on the underlying CTMC to simplify the analysis of the proposed SPN. Moreover, we consider the handover behavior based on the CTMC transient solution to validate the results of the proposed model through simulation.
Generally, the expression of the transient solution of CTMC can be written in the following form:
where is the probability distribution of all states at any time point; is the initial vector of modeling objects; and is the transition rate matrix of the CTMC, which also denotes the state transition rate in the infinitesimal time interval. Therefore, according to Equation (11), it is possible to calculate the probability distribution of all states in Figure 6 at any time.
Based on the software JSPetriNet 0.10.4 [40], which is publicly available on GitHub for the parsing of Petri net, the transition rate matrix with the initial state of the can be obtained.
4. Numerical and Simulation Experiment
To validate the results of our model, we design Monte Carlo simulations with a simulation time of 1000 s. We focus on considering and analyzing the performance impact of the A3 event on the handover direction. However, a HoF also occurs due to insufficient channel resources and communication congestion when there are many UEs in a network. Therefore, we do not consider a large number of UEs and only consider the behavior of one UE in the network to better analyze the impact of the A3 event.
Regarding the numerical experiment, the and states represent their respective HoF probabilities, and the and states represent M2S and S2M HoT probabilities based on the CTMC in Figure 6.
Regarding the simulation environment, we consider a 1 km × 1 km area so that the number of macro cells is not dense in the area and the number of the macro cell is one. The locations of the small cells are randomly generated by PPP, but the distance between any two small cells is not less than 200 m. Each small cell has a coverage diameter of 100 m. Since we are considering a co-frequency HetNet environment, each small cell is placed at least 400 m away from the center of the macro cell to manage co-frequency interference. The channel model for both the macro and small cells follows Rayleigh distribution. Refer to Table 2 for detailed parameters setting.
Table 2.
Simulation parameters setting.
In addition, since we consider comparisons with simulation results based on larger time, the results can be considered as long-term averaged even if we consider the transient solution of CTMC, which has converged under the time parameter. Refer to Table 3 for detailed numerical experiment parameters setting.
Table 3.
Numerical experiment parameters setting.
At the beginning of the simulation, the UE randomly appears at a position close to the macro cell and moves straight with an average speed of 20 m/s, where the average speed is calculated based on the total distance moved by the UE during the simulation time.
The UE in the macro cell moves to the coverage area of the small cell and determines the M2S handover according to the A3 event in the HDM. The UE in the small cell moves to the coverage area of the small cell and determines the S2M handover according to the A3 event. Moreover, the UE randomly selects a new direction and moves out of the small cell when it completes the HOE. This is to maximize the testing of the UE handover in a limited simulation time. The specific simulation scenario is shown in Figure 5.
By repeating the above process in each iteration through Monte Carlo simulation, the proportion of the total time occupied by each state during the movement of the UE can be calculated. Therefore, different from the discrete-time model, the HoT and HoF evaluations here represent the probability distributions of the UE being in the states corresponding to , , , and , respectively, at a given time.
4.1. Evaluation of HoT and HoF Probability
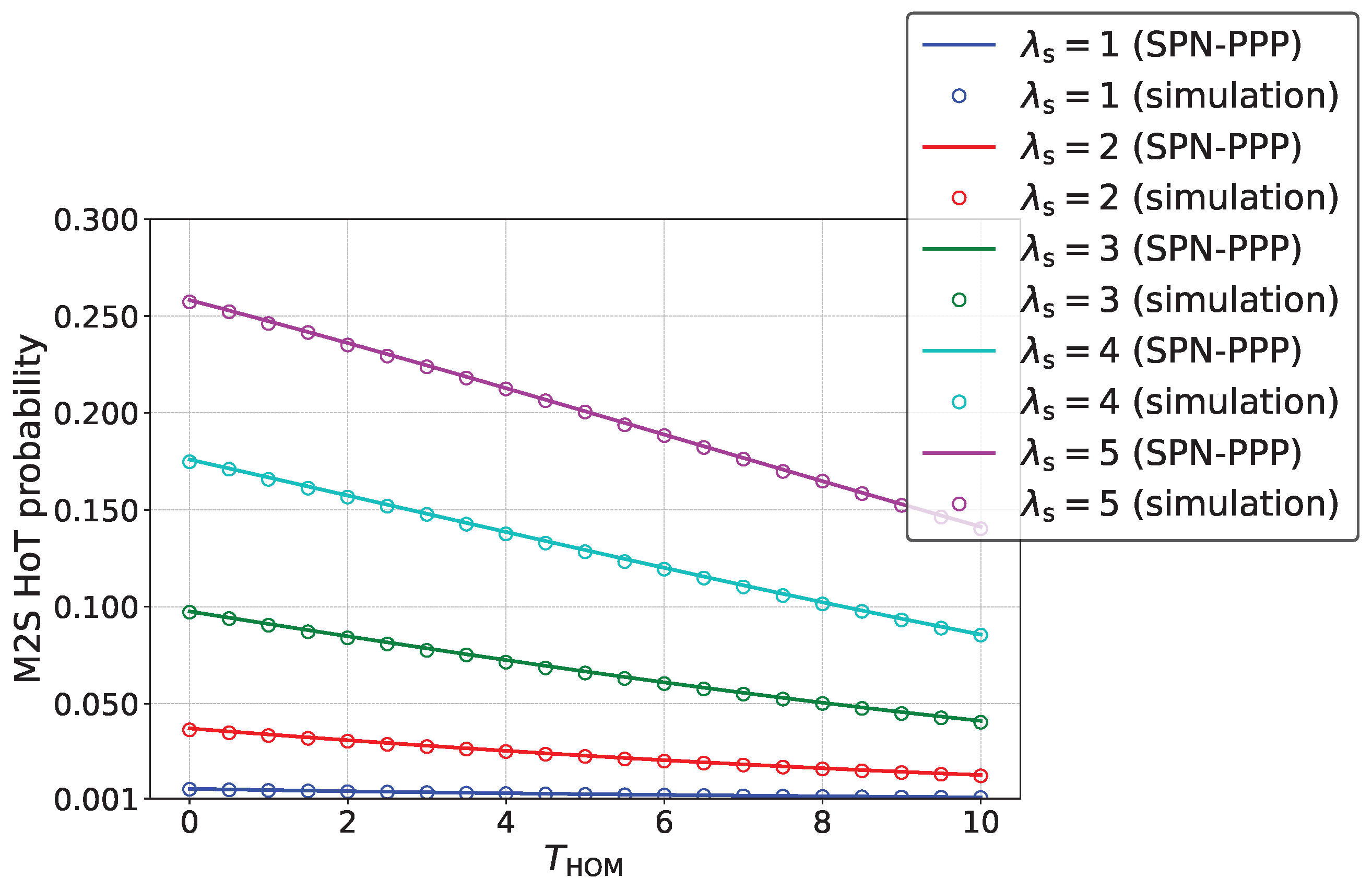
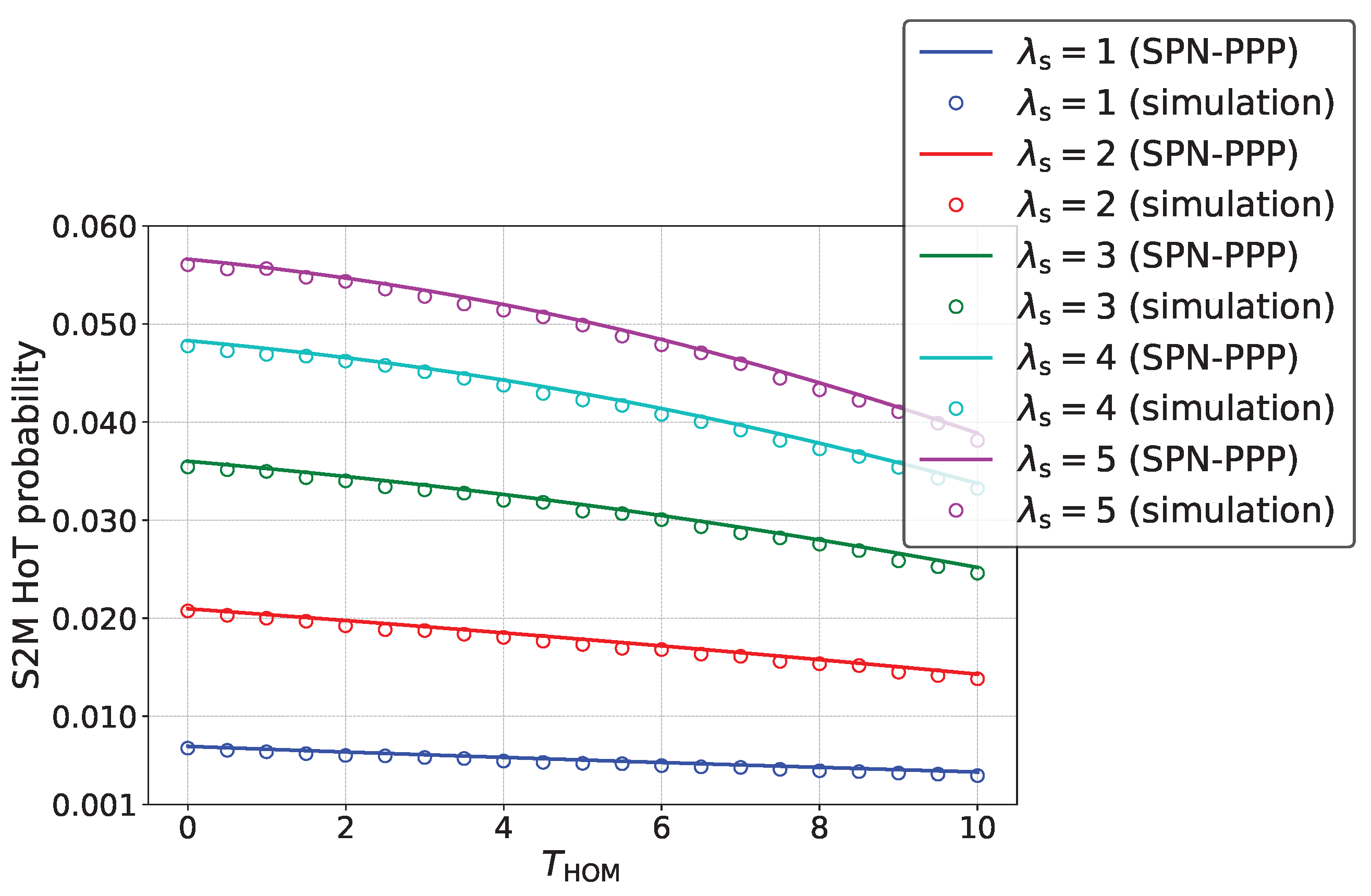
Figure 7 and Figure 8 show a pronounced difference between M2S and S2M HoT probabilities with the same parameters. The M2S HoT probability consistently shows higher values than the S2M HoT probability because of the inherent coverage differences between the macro cell and small cell within HetNets. The increase in makes it difficult to satisfy the A3 event triggering conditions, reducing HoT probability for both M2S and S2M handover. The reduction in M2S HoT probability is more significant because of the extended UE residence time within a larger coverage macro cell. The S2M HoT probability remains lower than the M2S HoT probability since S2M handovers can only occur after an M2S handover has either been completed or failed, a natural consequence of a limited coverage area of the small cell.
Figure 7.
The impact on M2S HoT probability (for = 5).
Figure 8.
The impact on S2M HoT probability (for = 5).
On the other hand, small-cell density also significantly affects both handover probabilities. Both M2S and S2M HoT probabilities are close to zero because UEs connected to the macro cell rarely encounter adjacent cells that could trigger handovers with low small-cell density. As the density increases, UEs more frequently enter the small cell from the macro cell, leading to increased HoT probabilities for both handover types. The increase in M2S HoT is particularly pronounced because UEs connected with the macro cell have more opportunities to move to nearby small cells and hand over with them.
Although S2M handover probabilities remain consistently low, they cannot be ignored in 5G URLLC scenarios, because even lower probability events can trigger undesirable situations, such as ping-pong handovers or HoFs, which may be unacceptable in 5G URLLC scenarios. Therefore, while M2S HoT dominates handover trigger behavior in HetNets, M2S and S2M handovers require careful optimization for specific 5G application scenarios.
Figure 9 and Figure 10 show the impact of the HoF probabilities of M2S and S2M handover by the density of the small cell and the parameter, respectively. The HoF of M2S and S2M handover increases with an increase in , while the HoT probability of M2S and S2M handover is close to 0 when the small-cell density is low. The HoF probability of the M2S handover is higher than the HoT probability of the M2S handover when the small-cell density is 1. This is because the density of the small cell is too low, resulting in the UE more easily experiencing poor SINR when further away from the macro cell.
Figure 9.
The impact on M2S HoF probability (for = 5).
Figure 10.
The impact on S2M HoF probability (for = 5).
On the other hand, as the density of the small cell increases, the probability of HoF for M2S and S2M handover also increases. In particular, the HoF probability of the S2M handover is higher than that of the M2S handover when the is large, and the density of the small cell is also high. This is because the S-cell is the small cell in an S2M handover, and the A3 event is triggered later when the is large, resulting in the UE easily experiencing poor SINR in the S-cell, where the RSRP variation is unstable.
In Equation (5), we assumed the , which is inversely proportional to the fire rate and proportional to the residence time of the user in the cell. By changing the value of the , this equation can be used to describe changes in the residence time or the speed of the UE in the cell.
Figure 11 and Figure 12 show the impact on the HoT probability of M2S and S2M handover by the variation of the and parameters.
Figure 11.
The impact on M2S HoT probability (for = 3).
Figure 12.
The impact on S2M HoT probability (for = 3).
The HoT probability of M2S and S2M handover decreases with increasing and parameters. This reason is the same as in Figure 7 and Figure 8.
Furthermore, an increase in will increase the residence time in the cell, which represents a slowing down of the UE movement speed. Therefore, the HoT probability of M2S and S2M handovers decreases when increases.
Figure 13 and Figure 14 show the impact on the HoF probability of M2S and S2M by the variation of the and the parameters. The HoF probability of both M2S and S2M decreases with the increase in , and the HoF probability of M2S is larger than the HoT probability of S2M. This is the same as in Figure 9 and Figure 10.
Figure 13.
The impact on M2S HoF probability (for = 3).
Figure 14.
The impact on S2M HoF probability (for = 3).
On the other hand, an increase in will increase the residence time of the UE in the cell and slow down the UE movement speed. Therefore, the probability of the UE experiencing HoF decreases. Moreover, the HoF probability of the M2S and S2M handover increases significantly with the increase in when is small. This is because the UE with shorter residence time in the cell and faster speed requires a smaller to ensure a lower HoF probability.
Through Figure 7, Figure 8, Figure 9 and Figure 10, it can be observed that the results obtained from Monte Carlo simulations closely align with the numerical results calculated from the proposed Do-SPN-PPP framework. This high degree of consistency underscores the validity and reliability of the proposed framework.
Nonetheless, in the results in Figure 11, Figure 12, Figure 13 and Figure 14, slight gaps between the two methods are observed.
These gaps stem from the distinct relationships between parameters and the firing rate of transition and based on (5):
- Linear relationship with and : The parameters and haave a linear relationship with the and firing rate, respectively. Consequently, variations in and result in proportional and predictable changes in the firing rate, thereby minimizing deviations between the two approaches.
- Non-linear relationship with : The parameter exhibits a non-linear relationship with the and firing rate. As increases, the and firing rates decrease markedly, leading to increased average firing time. This non-linear dynamic amplifies the discrepancies, particularly in Monte Carlo simulations.
The increased average firing time caused by larger ‘seta’ values can lead to insufficient sampling in Monte Carlo simulations. Overall, these findings emphasize the sensitivity of the proposed Do-SPN-PPP model to non-linear parameter relationships, especially those influencing transition rates and average transition times. This sensitivity highlights the importance of accurately modeling such parameters to maintain consistency across analytical and simulation-based methods.
4.1.1. Monte Carlo Simulation Variability and Model Reliability
In Figure 7, Figure 8, Figure 9, Figure 10, Figure 11, Figure 12, Figure 13 and Figure 14, we verified the results of the proposed model through Monte Carlo simulation. The proposed model and the Monte Carlo simulation results are highly consistent. Therefore, the proposed model can be considered reasonable and reliable.
In addition, since the evaluation results of the Monte Carlo simulation will show variability, it is important to investigate the variability of parameters in the probabilities of HoF and HOT for reliable network performances. Accordingly, Monte Carlo simulations were performed 5000 times for each of these three parameters , , and , and the standard deviations of the probabilities of HOT and HoF are shown in Figure 15a–c.

Figure 15.
Standard deviations of HoT and HoF probabilities by , , and .
Figure 15a–c illustrates the standard deviations of HoT and HoF probabilities with respect to , , and parameters. The Monte Carlo simulation results show that a decrease in handover trigger probabilities leads to a low variability across multiple simulations. This relationship is observed in both Figure 15a,c. In Figure 15a, increasing reduces handover trigger probability and results in lower the standard deviations. Similarly, in Figure 15c, larger values increase UE residence time, which also decreases handover trigger probability and results in lower standard deviations. In contrast, Figure 15b shows increasing standard deviations with an increase in values, as the increased leads to more frequent handover triggers.
According to the standard deviation of the HoF and HoT probabilities with different parameters simulated by Monte Carlo, the variation of the results under different parameters is within an acceptable range, and the results can be considered reliable.
4.1.2. A Case Study on Quantitative M2S and S2M Handovers
We present a case study of M2S and S2M handovers based on our proposed framework, as shown in Figure 16. A UE moves from a macro cell toward a small cell with a direct line, and it experiences decreasing macro-cell RSRP and increasing small-cell RSRP. For M2S HoT probability, the UE success trigger handover based on the A3 event and the SINR condition, and it corresponds to the probability of the state in Figure 6. For the S2M HoT probability, it follows a similar logic but with reversed RSRP patterns and corresponds to the probability of the state in Figure 6.
Figure 16.
A case study on quantifying M2S and S2M handovers.
In contrast, a HoF occurs if the SINR of the UE falls below the threshold during the handover process; M2S HoF and S2M HoF probability are represented by states and probability, respectively.
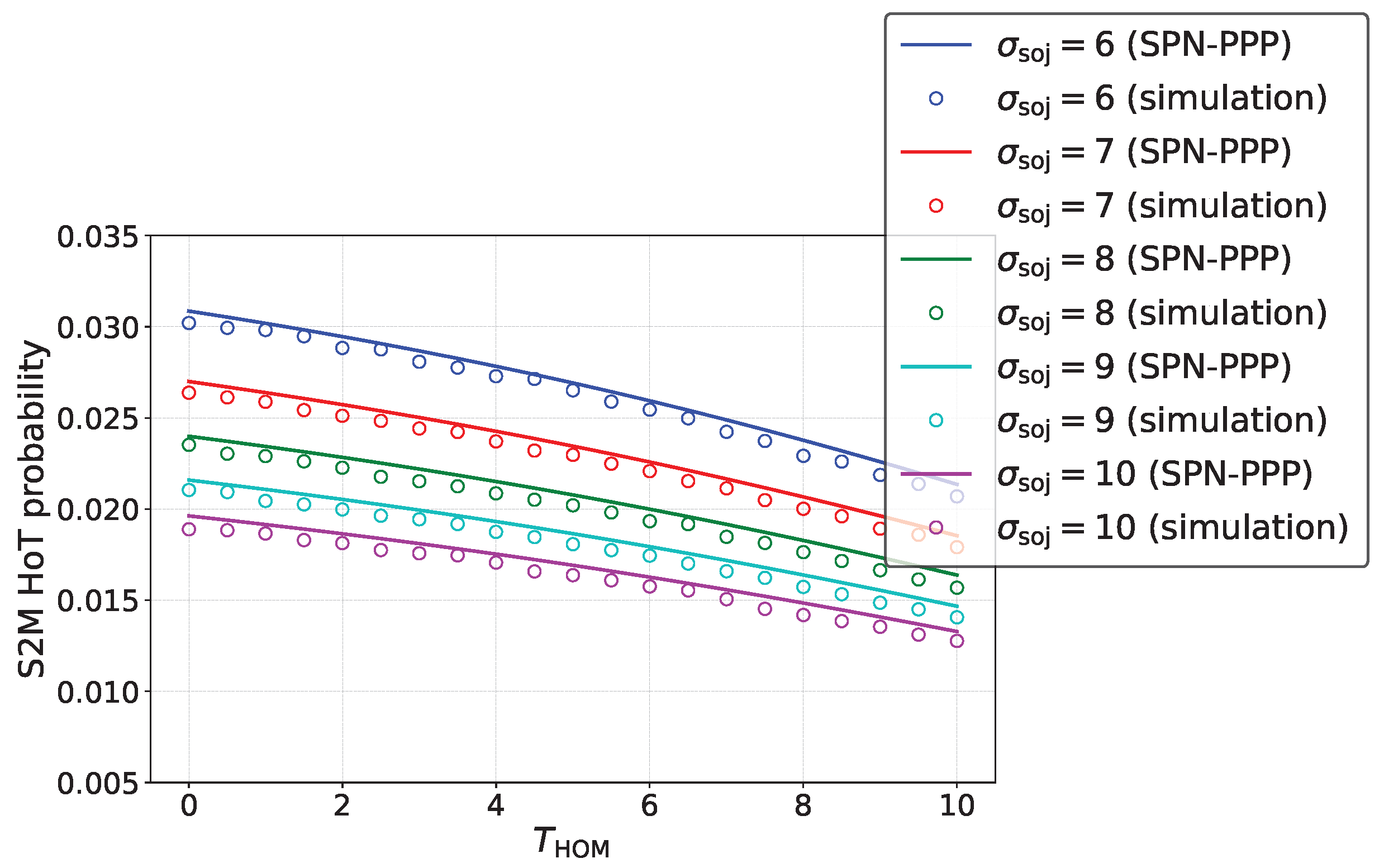
4.2. Evaluation of UE Residence Time
In addition to the impact on the HoT and HoF probabilities, the parameter can also significantly affect the UE residence time in the cell.
Figure 17 and Figure 18 show the CDF variation of the UE residence time in the small cell and the macro cell for the A3 event with the parameter. For the UE, residence time in the small cell and macro cell is based on the characteristics of CTMC; the CDF of residence time can be defined as follows:
where and represent the probability that the UE has left the respective state by time t; and and denote the negative of the diagonal elements in the ith and jth rows of the matrix, corresponding to the and states, respectively. The results reveal several important findings:
Figure 17.
The CDF of the residence time of the UE in the macro cell (for = 5 and = 3).
Figure 18.
The CDF of the residence time of the UE in the small cell (for = 5 and = 3).
- In the macro cell (Figure 17), the maximum residence time is less than 150 s, with over 90% probability of triggering M2S handover or HoF after 60 s (for = 3, = 5).
- In the small cell (Figure 18), the maximum residence time is shorter, not exceeding 30 s, with over 90% probability of triggering S2M handover or HoF after 10 s.
- Increasing leads to longer residence times in both cells, as it increases the difficulty of satisfying the A3 event condition.
These CDF results have practical implications for network management: they can be used to predict handover timing under specific deployment scenarios, enabling efficient resource allocation and handover control in HetNet environments.
4.3. Comparison of the Do-SPN-PPP and DTMC in Predicting the UE Residence Time
To compare the prediction accuracy of UE residence time between Do-SPN-PPP and DTMC approaches, we first present the theoretical framework for converting CTMC to DTMC. While our Do-SPN-PPP model is based on CTMC, the DTMC approach requires discretization of the continuous-time process. The conversion from CTMC to DTMC involves three key steps:
where is the transition probability matrix of DTMC, is the rate matrix of CTMC, and is the discretization time step.
To ensure valid transition probabilities, we adjust and normalize :
where is the Kronecker delta function (1 if , 0 otherwise).
The CDF of residence time in DTMC can then be computed as
where and are probabilities of leaving states i and j, and represents discrete time steps.
To evaluate the prediction accuracy, we compare the residence time CDFs using different DTMC time steps (r = 0.1 s, 1.0 s, and 2.0 s) against our Do-SPN-PPP results from Figure 17 and Figure 18. The comparison results in Figure 19 and Figure 20 demonstrate the advantages of our Do-SPN-PPP approach:
Figure 19.
Differences between the Do-SPN-PPP and DTMC in predicting the residence time of the UE in the macro cell.
Figure 20.
Differences between the Do-SPN-PPP and DTMC in predicting the residence time of the UE in the small cell.
- The Do-SPN-PPP framework provides higher prediction accuracy than the DTMC used in the previous work, as DTMC cannot capture continuous variations in RSRP and SINR affected by fading, making it less suitable for analyzing handover processes.
- The superiority of Do-SPN-PPP is particularly evident when compared to DTMC with larger time steps r, especially for the UE residence time within the small cell where accurate modeling is crucial due to their lower output power and smaller coverage area.
4.4. Comparison of Computation Time Between the Do-SPN-PPP and Simulation
Generally, simulation is considered to be time-consuming, and, if large-scale simulation is encountered, the time consumption of a simulation-based approach cannot be ignored. Even though the simulation environments considered here are simple, we hope to provide a basic reference on the time consumption of simulation and the proposed approach (modeling-based) in evaluation.
To compare the time consumption in the evaluation process between both the proposed approach and simulation-based approaches, we determined the appropriate sample size for the Monte Carlo simulation through a rigorous statistical analysis.
Initially, we conducted a preliminary simulation with 100 samples for a selected set of parameters. For each state i in the CTMC, we calculated the sample standard deviation using the following formula:
where represents the probability of state i in the jth simulation, and denotes the average probability of state i across these 100 simulations.
Next, using the initial estimate of the standard deviation, we calculated the required sample size for each state to achieve a 95% confidence interval with a maximum error of 0.5%, using the following equation:
where is the required sample size for state i; z is the z-value (1.96 for a 95% confidence interval from the standard normal distribution); is the previously calculated sample standard deviation, and E represents the allowable absolute error (0.5%).
We used the sample standard deviation from the preliminary simulation to directly determine the required sample size . This approach enables us to estimate the variability of the result by and calculate the number of samples necessary to achieve our desired precision level. After calculating for all states, we selected the maximum value as the estimate for the required sample size:
Finally, to validate the applicability of this sample size across different parameter combinations of , , and , we conducted n simulations for each parameter combination to ensure robustness.
Therefore, we compare the time consumption of the two approaches based on n sampling and based on the evaluation of five cases . We perform the simulation 10 times for each of the n samples and calculate the average time consumption. On the other hand, the numerical experiments by the Do-SPN-PPP with uniformization solution and time step 0.1 s are also performed 10 times, and the average time consumption is calculated. Consequently, the difference in time consumption between the two approaches is shown in Figure 21.
Figure 21.
Comparison of the computation time based on the two approaches.
According to Figure 21, the difference in time consumption between the proposed approach and simulation-based approaches is significant even if the simulation scenario is simple, and the difference in time consumption between simulation and the proposed approach will be more significant if more factors and a longer simulation time are considered in the simulation scenario. Therefore, our proposed Do-SPN-PPP framework based on the modeling approach achieves about 96% improvement in computational efficiency while obtaining the same results as those based on the simulation approach.
5. Conclusions
This paper proposed a continuous-time framework for analyzing different handover directions within HetNets, Do-SPN-PPP, by integrating Poisson point processes and stochastic Petri nets to analyze the M2S and S2M handovers within HetNets. By analyzing the HoT and HoF probabilities, the distinct influence of the HOM parameter on M2S and S2M performance was exhibited, and Monte Carlo simulations were used to verify the results by the proposed framework.
Furthermore, we analyzed how different HOM parameters influence UE residence time in a macro cell and small cell. The findings revealed that different HOMs can significantly increase or decrease the UE residence time in a cell. The potential application of these results is to set different handover parameters according to the handover direction of the UEs and deploy different resource allocation policies for the UEs in HetNet to improve the handover performance and resource allocation efficiency.
Moreover, the proposed framework exhibited enhanced accuracy in capturing UE residence time compared with the conventional discrete-time model and achieved a 96% reduction in computational overhead compared with the simulation-based approach.
Future work will focus on the following: First, a systematic determination of HOM configurations should be investigated to achieve a balanced trade-off between HoT and HoF probabilities. Second, proactive channel resource allocation strategies and parameter setting for M2S and S2M handovers, respectively, should be investigated to further enhance network performance and reliability.
Author Contributions
Methodology, Z.Z.; Validation, E.T. and J.Z.; Resources, P.F. and C.O. All authors have read and agreed to the published version of the manuscript.
Funding
This work was supported by JST SPRING, Grant Number JPMJSP2148.
Data Availability Statement
The original contributions presented in this study are included in the article. Further inquiries can be directed to the corresponding author.
Conflicts of Interest
The authors declare no conflict of interest.
Appendix A
References
- Ericsson. Ericsson Mobility Report; Ericsson: Stockholm, Sweden, 2022. [Google Scholar]
- Zhu, Z.; Takimoto, E.; Finnerty, P.; Ohta, C. A CQI and Hysteretic-Based Decision Algorithm to Prevent Handover Failures for Pedestrian Mobility in Mobile Communication HetNet. IEEE Access 2024, 12, 92348–92367. [Google Scholar] [CrossRef]
- Bang, J.h.; Oh, S.; Kang, K.; Cho, Y.J. A Bayesian Regression Based LTE-R Handover Decision Algorithm for High-Speed Railway Systems. IEEE Trans. Veh. Technol. 2019, 68, 10160–10173. [Google Scholar] [CrossRef]
- Nayak, S. ns-3 Simulation Based Exploration of LTE Handover Optimization. EAI Endorsed Trans. Mob. Commun. Appl. 2023, 7, e4. [Google Scholar] [CrossRef]
- Xenakis, D.; Passas, N.; Merakos, L.; Verikoukis, C. Mobility Management for Femtocells in LTE-Advanced: Key Aspects and Survey of Handover Decision Algorithms. IEEE Commun. Surv. Tutor. 2014, 16, 64–91. [Google Scholar] [CrossRef]
- Hasan, M.M.; Kwon, S.; Oh, S. Frequent-Handover Mitigation in Ultra-Dense Heterogeneous Networks. IEEE Trans. Veh. Technol. 2019, 68, 1035–1040. [Google Scholar] [CrossRef]
- Li, Y.; Cao, B.; Wang, C. Handover schemes in heterogeneous LTE networks: Challenges and opportunities. IEEE Wirel. Commun. 2016, 23, 112–117. [Google Scholar] [CrossRef]
- Haghrah, A.; Abdollahi, M.P.; Azarhava, H.; Niya, J.M. A survey on the handover management in 5G-NR cellular networks: Aspects, approaches and challenges. J. Wirel. Commun. Netw. 2023, 52. [Google Scholar] [CrossRef]
- 3rd Generation Partnership Project (3GPP). Security Architecture and Procedures for 5G System; Technical Specification 33.501 V16.4.0, Release 16, ETSI TS 133 515; 3GPP Organizational Partners: Sophia Antipolis Cedex, France, 2021. [Google Scholar]
- ElSawy, H.; Sultan-Salem, A.; Alouini, M.S.; Win, M.Z. Modeling and Analysis of Cellular Networks Using Stochastic Geometry: A Tutorial. IEEE Commun. Surv. Tutor. 2017, 19, 167–203. [Google Scholar] [CrossRef]
- Vasudeva, K.; Simsek, M.; López-Pérez, D.; Güvenç, I. Analysis of Handover Failures in Heterogeneous Networks With Fading. IEEE Trans. Veh. Technol. 2017, 66, 6060–6074. [Google Scholar] [CrossRef]
- Suarez Rodriguez, A.C.; Haider, N.; He, Y.; Dutkiewicz, E. Network Optimisation in 5G Networks: A Radio Environment Map Approach. IEEE Trans. Veh. Technol. 2020, 69, 12043–12057. [Google Scholar] [CrossRef]
- Arshad, R.; Elsawy, H.; Lampe, L.; Hossain, M.J. Handover Rate Characterization in 3D Ultra-Dense Heterogeneous Networks. IEEE Trans. Veh. Technol. 2019, 68, 10340–10345. [Google Scholar] [CrossRef]
- Soltani, M.D.; Kazemi, H.; Safari, M.; Haas, H. Handover Modeling for Indoor Li-Fi Cellular Networks: The Effects of Receiver Mobility and Rotation. In Proceedings of the IEEE Wireless Communications and Networking Conference (WCNC), San Francisco, CA, USA, 19–22 March 2017. [Google Scholar]
- Lee, J.R.; Han, S.H.; Choi, Y.H. Vehicle mobility pattern-based handover scheme using discrete-time Markov chain. Comput. Electr. Eng. 2014, 40, 100–108. [Google Scholar] [CrossRef]
- He, Y.; Huang, W.; Wei, H.; Zhang, H. Effect of Channel Fading and Time-to-Trigger Duration on Handover Performance in UAV Networks. IEEE Commun. Lett. 2021, 25, 308–312. [Google Scholar] [CrossRef]
- Guidolin, F.; Pappalardo, I.; Zanella, A.; Zorzi, M. A Markov-Based Framework for Handover Optimization in HetNets. In Proceedings of the 13th Annual Mediterranean Ad Hoc Networking Workshop (MED-HOC-NET), Piran, Slovenia, 2–4 June 2014. [Google Scholar]
- Zhang, B.; Qi, W.; Zhang, J. A Markov Based Performance Analysis of Handover and Load Balancing in HetNets. Int. J. Commun. Netw. Syst. Sci. 2017, 10, 223–233. [Google Scholar] [CrossRef]
- Balakrishnan, R.; Akyildiz, I. Local Anchor Schemes for Seamless and Low-Cost Handover in Coordinated Small Cells. IEEE Trans. Mob. Comput. 2016, 15, 1182–1196. [Google Scholar] [CrossRef]
- Yang, S.; Song, W.; Zhong, Z. Resource Allocation for Aggregate Multimedia and Healthcare Services over Heterogeneous Multi-Hop Wireless Networks. Wirel. Pers. Commun. 2013, 69, 229–251. [Google Scholar] [CrossRef]
- Gautam, A.; Dharmaraja, S. Adaptive Joint Call Admission Control Scheme for LTE-A in Mobile Communication Network and Its Performance Analysis. OPSEARCH 2024, 1–15. [Google Scholar] [CrossRef]
- Alioua, A.; Gharbi, N.; Senouci, S.M. Call Admission Control Scheme Using Borrowable Guard Channels and Prioritizing Fresh Calls Retrials in Small Cell Networks. In Proceedings of the 2014 Global Information Infrastructure and Networking Symposium (GIIS), Montreal, QC, Canada, 15–19 September 2014. [Google Scholar]
- Zhu, Z.; Nishimura, T.; Takimoto, E.; Zheng, J. Performance Evaluation of Heterogeneous Cellular Networks Using Stochastic Petri Nets. In Proceedings of the 2021 International Conference on Software, Telecommunications and Computer Networks (SoftCOM), Split, Croatia, 23–25 September 2021. [Google Scholar]
- Zhu, Z.; Zheng, J.; Takimoto, E.; Finnerty, P.; Ohta, C. Evaluating the A3RSRP Handover to Determine Optimal Performance in HetNet Using Stochastic Petri Net. In Proceedings of the 2024 6th International Conference on System Reliability and Safety Engineering (SRSE), Hangzhou, China, 11–14 October 2024. [Google Scholar]
- Ben Othman, J.; Mokdad, L. Performance analysis to evaluate overtaking behavior on highways. Simul. Model. Pract. Theory 2023, 124, 102721. [Google Scholar] [CrossRef]
- Alam, M.J.; Chugh, R.; Azad, S.; Hossain, M.R. Optimizing Cell Association in 5G and Beyond Networks: A Modified Load-Aware Biased Technique. Telecommun. Syst. 2024, 87, 731–742. [Google Scholar] [CrossRef]
- Ghosh, D.; Pandey, M.; Gautam, C.; Vidyarthi, A.; Sharma, R.; Draheim, D. Utilizing Continuous Time Markov Chain for analyzing video-on-demand streaming in multimedia systems. Expert Syst. Appl. 2023, 223, 119857. [Google Scholar] [CrossRef]
- Parichehreh, A.; Moosavi, R.; Ramachandra, P.; Alfredsson, S.; Brunstrom, A. LTE as a Road Toward 5G: QoS Analysis in Mobility Scenario Using the Monroe Platform. In Proceedings of the 2019 IEEE Wireless Communications and Networking Conference (WCNC), Marrakesh, Morocco, 15–18 April 2019. [Google Scholar]
- Xu, J.; Huang, E.; Hsieh, L.; Lee, L.H.; Jia, Q.S.; Chen, C.H. Simulation optimization in the era of Industrial 4.0 and the Industrial Internet. J. Simul. 2016, 10, 310–320. [Google Scholar] [CrossRef]
- Ormándi, T.; Varga, B. The importance of V2X simulation: An in-depth comparison of intersection control algorithms using a high-fidelity communication simulation. Veh. Commun. 2023, 44, 100676. [Google Scholar] [CrossRef]
- ElSawy, H.; Hossain, E. Two-Tier HetNets with Cognitive Femtocells: Downlink Performance Modeling and Analysis in a Multichannel Environment. IEEE Trans. Mob. Comput. 2014, 13, 649–663. [Google Scholar] [CrossRef]
- Tokuyama, K.; Kimura, T.; Miyoshi, N. Periodic Handover Skipping in Cellular Networks: Spatially Stochastic Modeling and Analysis. IEEE Trans. Wirel. Commun. 2024, 23, 91–103. [Google Scholar] [CrossRef]
- Mokdad, L.; Sene, M.; Boukerche, A. Call Admission Control Performance Analysis in Mobile Networks Using Stochastic Well-Formed Petri Nets. IEEE Trans. Parallel Distrib. Syst. 2011, 22, 1332–1341. [Google Scholar] [CrossRef]
- Nguyen, K.T.P.; Beugin, J.; Berbineau, M.; Kassab, M. A New Analytical Approach to Evaluate the Critical-Event Probability Due to Wireless Communication Errors in Train Control Systems. IEEE Trans. Intell. Transp. Syst. 2017, 18, 1380–1392. [Google Scholar] [CrossRef]
- Lan, H.; Tong, Y.; Seatzu, C. Crucial States Estimation in Radio Block Center Handover Using Petri Nets With Unobservable Transitions. IEEE Trans. Autom. Sci. Eng. 2022, 19, 1268–1276. [Google Scholar] [CrossRef]
- Sun, B.; Guo, Y.; Yu, Y.; Liu, J.; Ai, B.; Zhong, Z.; Sun, X.; Wang, W. Reliability Analysis of CTCS-3 Train-Ground Communication System Based on 5G-R. IEEE Trans. Veh. Technol. 2023, 72, 12927–12940. [Google Scholar] [CrossRef]
- Zheng, J.; Okamura, H.; Dohi, T. Security Evaluation of a VM-Based Intrusion-Tolerant System with Pull-Type Patch Management. In Proceedings of the 2019 IEEE 19th International Symposium on High Assurance Systems Engineering (HASE), Hangzhou, China, 3–5 January 2019. [Google Scholar]
- Alraih, S.; Nordin, R.; Shayea, I.; Abdullah, N.F.; Abu-Samah, A.; Alhammadi, A. Effectiveness of Handover Control Parameters on Handover Performance in 5G and beyond Mobile Networks. Wirel. Commun. Mob. Comput. 2022, 2022, 2266282. [Google Scholar] [CrossRef]
- Adewale, A.A.; Ekong, E.E.; Ibikunle, F.A.; Orimogunje, A.; Abolade, J. Ping-pong reduction for handover process using adaptive hysteresis margin: A methodological approach. IOP Conf. Ser. Mater. Sci. Eng. 2019, 640, 012118. [Google Scholar] [CrossRef]
- Okamura, H. JSPetriNet: A Tool That Can Analyze Markov Regenerative. 2018. Available online: https://github.com/okamumu/JSPetriNet (accessed on 1 September 2024).
Disclaimer/Publisher’s Note: The statements, opinions and data contained in all publications are solely those of the individual author(s) and contributor(s) and not of MDPI and/or the editor(s). MDPI and/or the editor(s) disclaim responsibility for any injury to people or property resulting from any ideas, methods, instructions or products referred to in the content. |
© 2025 by the authors. Licensee MDPI, Basel, Switzerland. This article is an open access article distributed under the terms and conditions of the Creative Commons Attribution (CC BY) license (https://creativecommons.org/licenses/by/4.0/).





















